Research

Dynamic Perception of Landscape Along Beijing − Qinhuangdao Railway in the Central Urban Area of Beijing

  • MENG Xiaoying ,
  • ZHANG Zihan ,
  • CHEN Yuqing
Expand
  • School of Architecture and Design, Beijing Jiaotong University

MENG Xiaoying, Ph.D., is a professor in the School of Architecture and Design, Beijing Jiaotong University. Her research focuses on urban public space design, and transportation landscape

ZHANG Zihan gained her master degree in the School of Architecture and Design, Beijing Jiaotong University. Her research focuses on urban public space design

CHEN Yuqing is a master student in the School of Architecture and Design, Beijing Jiaotong University. Her research focuses on urban public space design

Received date: 2024-02-29

  Revised date: 2024-10-28

  Online published: 2025-12-16

Copyright

Copyright reserved © 2024.

Abstract

[Objective]

Landscapes along the railway in urban center are important for measuring the perception of cityscape by passengers, which may provide an opportunity for passengers to get to know a city and its culture. Since 2021 in Beijing, the comprehensive improvement of landscape along the railway corridors featuring the integration of safe driving and environmental improvement has been carried out under the background of creating the “most beautiful first impression for people initially entering Beijing”. Despite the increased landscape governance along the railway in Beijing in recent years, the research on landscape along the railway lacks the perception of real scenes from the perspective of passengers.

[Methods]

This research applies ErgoLAB (Human – Machine – Environment Synchronization Cloud Platform‌) for data collection, stimulus presentation and data analysis. Passengers on moving train with regular speed are tested while they watch outside from window landscape along the Beijing – Qinhuangdao Railway in the central urban area of Beijing. Eye tracker and wearable ear clip sensors are used to obtain the physiological indicators of passengers taking the train. SPSS is adopted to correlate the aforesaid indicators in combination with ErgoLAB data, and landscape characters and types of landscape elements that affect passengers’ perceptual experience is explored.

[Results]

Through analyzing the correlation between landscape characters, eye movement indicator and heart rate indicator, the research mainly obtains the following findings. 1) Artificial elements are more attractive than natural ones. The sequence of fixation duration among all landscape elements is listed as follows: Building > plant > road > railway. In addition, the sequence of people’s attention to architecture from high to low is listed as follows: Public buildings along the water > public buildings with varied skylines > antique style buildings > campus buildings > railway buildings > residential buildings > bungalows. As for the indicators of the first fixation duration and average fixation duration, it looks significantly different (p<0.01) for the buildings, roads, railroads and plants located in the north side of the railroad. After testing, it is found that first fixation duration looks significantly different between buildings and railroads (p<0.01), and between buildings and plants (p<0.05) on the north side of the railroad, and average fixation duration looks significantly different between buildings and plants on the north side of the railroad (p<0.01); whereas it looks that there is no statistically significant difference between the buildings, roads, railroads and plant elements located in the south side of the railroad in terms of both first fixation duration and average fixation duration. Upon standardization of the fixation durations of various elements on the north and south sides, it is found that there exist significant differences in relative fixation duration between plants, buildings, railroads, and roads on the north and south sides (p<0.01). 2) Sky openness and skyline richness positively affect the physical activity level of the subjects. The frequency domain indicators LF/HF of heart rate data in spaces at both the north and south sides show a positive correlation with sky openness (north side: correlation value is 0.55, p<0.05; south side: correlation value is 0.54, p<0.05). 3) Scenes containing water and plant groups with rich layers, colors and varieties are more attractive to the eye. In general, water bodies may obtain the longest fixation duration, followed by buildings. With a shorter fixation duration overall, are less attractive to people. Compared with single plant, the fixation duration of group plants with rich vertical structures and colorful leaves is longer. 4) In terms of continuous landscape, passengers’ attention is more easily attracted by special landscape nodes. The preference degree on the north side is higher than that on the south side. Specifically, the segments with higher preference degrees within the research area include the train parking area, Qingfeng Park activity field, Beijing East Station, Gaobeidian ancient block, heritage park, and green park.

[Conclusion]

It is suggested to incorporate the landscape along the railway in the central urban area of Beijing into the governance of overlooking landscape. According to the findings, four options to better enhance passengers’ landscape perception are proposed as follows. 1) Enhance the visual appeal of buildings along the railway as key landscape elements, especially their form. 2) Consider the overall visual picture of the landscape along the railway to optimize the urban skyline in important sections along the railway. Continuously renew outdoor spaces along the railway corridor to create more open spaces, even including building contour. 3) Improve passengers’ visual perception with the vegetations planted in front of fence wall or huge structure to protect the railway from being damaged and help trains run safely without experiencing any accident. It is helpful to attract the attention of passengers by increasing the richness of plant interface. 4) Improve the visual quality of special nodes, such as railway stations and their surrounding areas, and extend the residence time of nodes in vision.

Cite this article

MENG Xiaoying , ZHANG Zihan , CHEN Yuqing . Dynamic Perception of Landscape Along Beijing − Qinhuangdao Railway in the Central Urban Area of Beijing[J]. Landscape Architecture, 2024 , 31(12) : 105 -112 . DOI: 10.3724/j.fjyl.202402290123

北京中心城区运营铁路共22条,因历史原因留下的违法建设等乱象,给不少旅客留下了较差的进京“第一印象”。2021年起,北京市将铁路沿线综合整治提升纳入“疏整促”专项行动,将铁路安全运行和城市环境提升有机结合,打造“最美进京第一印象”。城区铁路沿线景观是动态、连续感知城市门户风貌、认知城市形象的重要窗口,在建设花园城市的目标下,北京铁路沿线景观质量提升应得到重视。视觉是人们感知外界环境的主要知觉,但目前对于铁路景观的研究中,多探讨交通对于城市结构的影响[1-2],偏重于景观的生态性[3-4],鲜有涉及视觉层面的研究[5-9]。而对城区铁路沿线景观进行优化提升,不仅能提升对外的城市形象,还能成为城市交通空间治理和高质量发展的典范。因此在满足城区铁路沿线景观自身生态结构的功能性、实用性的基础上,还应探索铁路沿线景观能否为乘客的景观感知提供更好的体验。由于感知测度层面的复杂性,现有相关研究和实践多集中于景观复现场景的评价[10-14],较少关注动态实景空间[15-19]。针对视觉进行测量的眼动追踪广泛应用于认知语言学和心理学,现也逐渐被运用于景观视觉感知和风景园林研究领域。但眼动追踪技术在景观感知测度方面仍有不足,难以完全体现心理情绪的复杂性。为避免被试者个人情绪、注意力等特殊情况影响数据的准确性,故本研究将心率与眼动相结合进行多模态分析,以乘客为被试对象,在动态、实景的场景中使用多模态人因技术,记录被试者观看车窗外沿线景观的行为与生理变化,获取被试者对研究区内京秦铁路沿线景观感知偏好。

1 研究方法

1.1 研究场地选取

笔者团队基于对北京中心城区铁路沿线用地的多次实地调研,对城市空间景观元素进行归纳与分类后,将京秦铁路拟定为研究场地,以京秦铁路上正常运行的市郊列车车厢为载体,进行景观感知测度研究。研究区间西起北京站、东至朝阳区行政边界,铁路段全长17.2 km(图1)。根据沿线景观风貌,将研究区域内的京秦铁路分为3段:第一段为北京站至东四环中路,该区间沿线居住用地较多,途经北京铁路局车辆段与北京东站等铁路用地,以及角楼映秀公园、大通滨河公园等大型绿地;第二段为东四环至东五环,景观疏密适中,沿途以商业用地为主;第三段为东五环至民俗文化街附近,沿线空间疏朗,绿地空间增加,人工构筑物减少。
图1 研究场地范围及景观片段分布

Fig. 1 Research area and landscape fragment distribution

由于在室内使用视频材料与真实环境的测试结果具有差异[20],且笔者通过预实验也验证了这一结论:相较于室内,虽然火车上受到外界干扰因素较多,但极大地保留了被试者在真实场景中的真实感受。因此本研究选择在正常行驶的列车中开展景观感知测度,获得人们在行车状态下对窗外景观空间产生的视觉感知信息。铁路沿线景观是指乘客从列车内向车窗外眺望时视线所及的景观,包括天空、植物、建筑、挡墙、道路、铁路、水体、人工物体(广场、其他等)、火车。
人眼观察看清物体需要进行1/16 s的注视,如要对一个物体产生认知,则需要3 s或更长的辨别时间[21]。本研究中实验车次的行驶速度为80~120 km/h,结合人眼注视的3 s时长,计算出每段景观片段对应的长度约为60~100 m,故选取100 m为最小的景观单元,划分景观片段。通过同步被试者们的实验数据,整理统计皮肤电导反应峰值发生的高频时段被试者看到的眼动场景,结合研究区间现状,在铁路沿线南、北两侧各选出16个片段(图1)。

1.2 场景实验

为保持实验环境的一致性,降低环境因素对实验的影响,首先,选择市郊列车S103、S111次为实验车次,以北京站为测试的起点、近通州站的朝阳区边界为测试的终点,列车在测试段的行驶时间约为12 min;其次,实验时间为2022年8月—10月,选取列车运行时车窗外能见度高、车厢内温度适宜、无拥挤与嘈杂声音影响的时段进行测试。笔者团队面向社会招募被试者共37人,在实验过程中采集他们对铁路南、北两侧沿线的景观感知信息。被试者通过佩戴Tobii Glasses 2穿戴式眼动仪和智能穿戴耳夹传感器分别收集眼动指标数据和心率指标数据。最终获得31名被试者的有效研究数据41条,其中北侧20条、南侧21条。将被试者的原始眼动视频导入ErgoLAB平台进行分析,得到眼动基本数据、热力图、眼动兴趣区(area of interest, AOI)分区图、注视百分比等数据。

1.3 景观感知测度指标选取

1.3.1 景观要素量化指标

根据线性交通空间的视觉空间感知要素的划分和相关视觉景观评价的现状研究,以及城市空间形态特征分类研究[22-24],结合对研究区内32个景观片段图像分割的分析,归纳后筛选出建筑视觉占比、绿视率、色彩丰富度、天际线变化指数、天空开阔度与场景视觉熵6个视觉参数,来量化铁路沿线视觉景观要素。量化的目的是便于分析真实场景实验获得的原始生理指标与空间映射后的数据,从而建立数据与片段景观特征之间的对应关系,以揭示景观感知偏好。

1.3.2 眼动指标

眼动指标反映人们在观看时的视觉行为信息,能帮助分析人们的内在心理活动与偏好。眼动AOI及注视百分比反映了场景中被试者感兴趣的区域。通过对AOI停留时间的比较分析,可以确定各类AOI的视觉重要程度。考虑到每一位被试者的身高、头部角度差异,以及列车快速行驶导致景观呈现出单向性、瞬时性的特点,本研究采用瞳孔直径、眼跳次数、眨眼次数、AOI首次注视持续时间、AOI平均访问时间、AOI平均注视时间、AOI相对注视时间以及AOI平均访问持续时间作为眼动指标。

1.3.3 心率指标

参照既有研究[25],本研究选取心率变异性(heart rate variability, HRV)信号的频域指标——低频(low frequency, LF)与高频(high frequency, HF)的能量比值(LF/HF)作为心率测度指标。它能反映自主神经的均衡控制,体现机体的应激水平,应激水平越高,反映出机体的活跃程度越高,即对测试片段的关注越高。

1.4 数据处理

1.4.1 景观要素量化处理

在真实场景实验完成后,对32个片段进行量化处理,分为3个步骤。1)图像分割:利用PSPnet语义分割框架,基于数据增强后的ADE-20K数据集,对32个片段进行分割。分割的视觉对象分为8类(图2),这8类是京秦铁路沿线现状景观组成最多的要素。其中人工物体及火车这类极少出现的景观要素以同种颜色、不同填充图案来区别。植物和水体为自然要素,其他为人工要素。2)色彩提取:通过卷积神经网络对片段进行图像识别,得到色块分区图。3)要素占比归纳:借助ImageJ图像处理软件对色块分区图的数据进行提取,计算每一个片段中的绿视率、建筑视觉占比、天空开阔度这3个视觉参数。
图2 图像分割结果示意

Fig. 2 Schematic diagram of image segmentation results

片段的景观特征量化中的色彩丰富度、天际线变化指数、场景视觉熵这3个视觉参数则通过相应计算式求得。这6个视觉参数,即每个片段景观特征的表征。将6个视觉参数导入SPSS软件,根据欧氏距离将这些不同属性值的片段进行聚类分析,得到5类场景分类,进一步结合眼动、心率指标进行感知偏好的分析。

1.4.2 眼动指标数据处理

不同于VR和AR实验,真实场景下的眼动实验无法提前加载实验的刺激材料,需要通过手动映射的数据预处理,把真实环境中拍摄的视频和拟分析的目标对应起来,才能生成眼动数据。因眼动数据的注视点会随着被试者头部的移动而发生改变,故须将眼动数据点手动映射至静态图像上的相应位置。然后,再对静态图像中的景观区域进行AOI划分,便于后续的数据叠加分析。AOI的形状、大小、数量等由刺激因素本身决定。将各片段的刺激图片按照景观要素进行划分,在ErgoLAB软件中进行AOI的绘制。

1.4.3 心率指标数据处理

为了降低电磁干扰和环境噪声对原始心率信号的干扰,采用小波降噪预处理HRV信号,使用归一化消除信号个体差异,再将32个景观片段所对应的心率信号的分析数据导出。

1.4.4 相关性分析

在分析由ErgoLAB平台获得的生理及特征指标数据的基础上,利用SPSS统计软件对8类景观要素、6个视觉参数与眼动指标、心率指标进行相关性分析,探索被试者在感知不同景观构成要素上的差异。

2 京秦铁路沿线景观特征与感知偏好相关性分析

2.1 京秦铁路沿线景观特征的分类

将南北两侧的32个景观片段运用6个视觉参数进行量化后,对具有不同属性值的场景进行聚类分析,根据谱系图图3)将京秦铁路沿线景观的场景划分为A、B、C、D、E五大类。A类场景包含的景观片段数量最多(图4),共20个,说明这是京秦沿线景观中最常见的一类景观,即人工要素与自然要素结合的城市空间景观。B类场景包含3个景观片段,该类场景的6个视觉参数值均较低,景观界面几乎被建筑、人工物体与铁路占据,人工要素占比较高。C类场景包含2个景观片段,位置近市郊,绿视率较高,植物要素视觉占比大于50%,包含绿色叶植被和彩色叶乔灌等,几乎不包含建筑,更接近于自然景观。D类场景只包含1个景观片段,为铁路南侧空间的东四环西侧,场景中铁路与天空的比例接近于1∶1。E类场景包含4个景观片段,拥有较高的建筑视觉占比与较小的天空开阔度,与B类场景相比,E类场景天空开阔度更小,天空占比基本小于20%,视觉界面较为封闭。
图3 场景片段量化结果的层次聚类等级

Fig. 3 Hierarchical clustering grade of quantification results of scene fragments

图4 5类场景片段

Fig. 4 5 types of scene fragments

2.2 景观感知偏好与相关性分析

2.2.1 景观要素的偏好与相关性分析

2.2.1.1 场景热力图分析

对片段区域内被试者的眼动注视点进行映射,形成注视热力图(图5)。分析所有景观片段的热力图,发现天空是最少吸引被试者注意力的区域,被试者的视线更多分布在5类场景的建筑要素与植物要素上,自然要素中被试者的注意力主要集中在植物的冠部,红色与黄色叶相的植物比绿色叶植物更能吸引被试者的注意力。热力图分析显示,铁路沿线场景中建筑和人工物体始终是最吸引注意力的因素,人工要素比自然要素吸引力强,景观要素偏好排序为建筑>植物>天空。
图5 部分景观节点AOI区域与注视热力图叠加示意

Fig. 5 Schematic diagram of the overlaying of the AOI area of some landscape nodes and the fixation heat map

2.2.1.2 AOI的注视时间分析

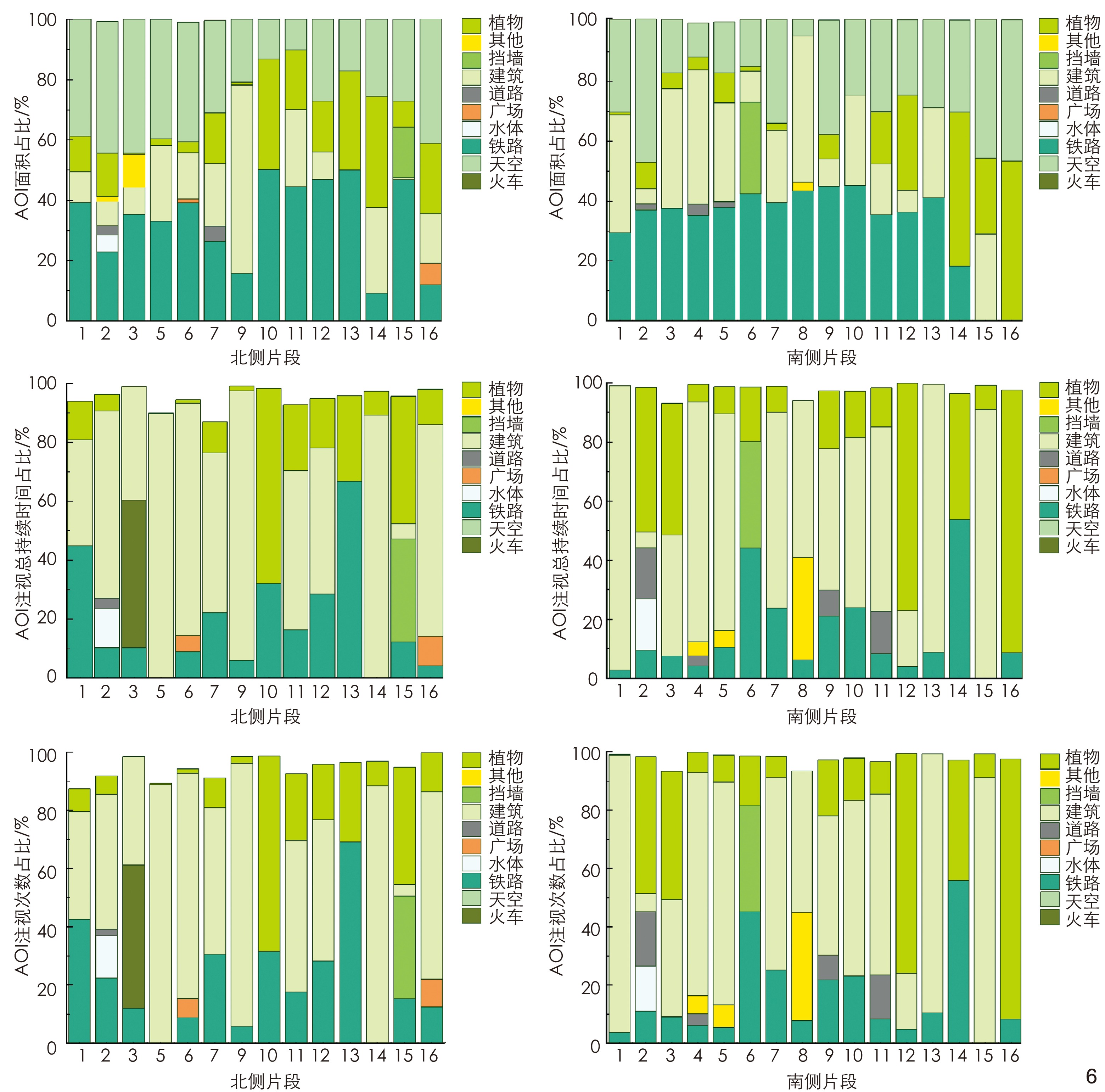
为进一步探讨各片段中不同景观要素占比对被试者注视行为的影响,本研究对每个片段内的不同景观要素的色块像素进行统计(图6)。将AOI各类景观要素区域面积在场景中的占比,与AOI在各类区域内注视持续时间和注视次数的占比相比较,可以看出:铁路在每个片段中有较大的视野占比,但不会占据较多的视觉注意力,建筑的视野占比不大,但吸引的视觉注意力成比增加;北侧N3片段内的火车元素,在视野内占比不大,但对人们的视觉吸引力较大。
图6 各片段AOI数据统计

Fig. 6 AOI data statistics for each segment

根据各片段AOI注视时间分析,平均访问时间和平均注视持续时间的中位数排序表明,被试者对各AOI的注意程度依次为水体>建筑>道路>植物>广场>铁路,而天空和挡墙这2个景观要素因基本无注视数据而未分析。经Mann-Whitney U检验,在平均注视持续时间上与注视总持续时间占比上,这些要素在南北两侧无显著差异,即注视行为未因空间不同而产生变化。
将植物、水体、铁路、道路、建筑、挡墙、广场要素的AOI首次注视持续时间、平均注视持续时间、平均访问时间进行统计分析,发现水体的AOI注视指标明显高于其他要素。眼动注视行为指标的分析结果显示:1)大部分被试者的注意力都集中在视域中心,水域是平均注视时间最长的;2)对建筑的关注居第二,不同建筑的关注度排序为水域沿岸公共建筑>天际线丰富变化的公共建筑群>仿古风格建筑>校园区建筑>铁路建筑>居住区建筑;3)植物整体的注视时长较短,对人的吸引力较弱,相较于单株植物,垂直结构丰富的植物群落与色彩较丰富的植物群落的注视时间更长;4)不同等级道路的平均注视时长存在差异,等级越高人们注视的时间越长;5)不同区域的关注点有差异。在开放空间区域,关注更多的是远处变化丰富的建筑群;在铁路驻车区域,对停靠列车的关注度大于远处建筑。驻车区域天空开阔度高、色彩度更丰富,吸引了大量视线。采用Kruskal-Wallis H检验南北两侧平均注视持续时间与首次注视时间,结果显示:在首次注视持续时间上,北侧的建筑、道路、铁路、植物之间存在极显著差异(p<0.01),经过事后Dunnett-t检验,发现首次注视持续时间在建筑与铁路之间存在极显著相关(p<0.01)、建筑与植物之间存在显著差异(p<0.05);在平均注视持续时间上,北侧的建筑、道路、铁路、植物之间存在极显著差异(p<0.01),对北侧进行事后Dunnett-t检验,发现在建筑与植物之间存在极显著差异(p<0.01);而南侧的建筑、道路、铁路、植物要素在首次注视持续时间和平均注视持续时间上无统计学上的显著差异,这可能是京秦沿线南侧与北侧相比,在靠近西侧市中心的位置天空开阔度较低、建筑与铁路占据较大视野面积、景观吸引力不高导致的。

2.2.1.3 注视时间标准化分析

南北两侧各片段分布的各类景观要素占比不相同,以AOI面积的大小或占比来解释相同要素注视时间上的差异,如与北侧相比,南侧的S1、S8、S10、S13中植物占比较少,北侧的植物分布相对更均匀。将两侧的各类景观要素注视总持续时间除以AOI的面积,即标准化南北侧各类元素的注视时间,绘制箱型图(图7)。可以发现建筑的注视总持续时间中位值最高,且离散度最大;水体在北侧比南侧的注视时间长;铁路在两侧的注视持续时间分布较为相似,无明显差异。
图7 注视时间标准化统计

Fig. 7 Standardized statistics of fixation time

采用Kruskal-Wallis H检验南北两侧各类景观要素的相对注视时间,发现南北两侧的植物、建筑、铁路、道路之间的相对注视时间均存在极显著差异(p<0.01)。
采用Mann-Whitney U检验南北两侧同一景观要素的相对注视时间,统计结果显示:南北两侧的铁路要素的注视时间无较大差异,铁路虽在视野中占据了相对其他元素而言更大的面积,但相对注视时间并没有更长;在植物上,不存在显著差异,与铁路相比,植物在视野中的占比相对较小,其相对注视时间大于铁路;在建筑上,无统计学上的显著差异,建筑的南侧中位数为2.242、北侧为3.552,均大于其他元素的中位数值,即,建筑的相对注视时间最长。这些要素在南北两侧无显著差异,也表明注视行为未因空间不同而产生变化,这与AOI的平均注视持续时间与注视总持续时间的统计分析结果一致。
综上,景观要素的注视分析表明:同一类景观要素的注视行为,不因位于铁路南北两侧空间的不同而产生变化;京秦铁路沿线景观要素中,人工要素比自然要素更具吸引力。各景观要素之间的注视持续时间的排序为建筑>植物>道路>铁路。除了建筑和人工物体外,含有水体的场景与层次丰富、色彩丰富、种类繁多的植物组团对视线的吸引力较大。

2.2.2 景观特征的偏好与相关性分析

2.2.2.1 眼动指标的分析

通过对眼动指标与单个空间量化指标进行相关性分析,探究不同类型场景的景观特征之间是否存在眼动指标上的差异。结果显示:在平均眨眼次数与最小瞳孔直径上,不同景观特征之间存在极显著差异(p<0.01),经过事后Dunnett-t检验,发现C类场景之间存在显著差异(p<0.05),A类场景之间存在极显著差异(p<0.01)。C类场景的平均眨眼次数的中位数大于其他场景,最小瞳孔直径的数值均小于其他场景,说明在经过C类场景时,人们的眨眼频率更高,瞳孔收缩更大。C类场景比A类场景更具有自然属性,天空开阔度更高,瞳孔与眨眼次数除了受人的主观意识调节,也受到外界客观因素影响。C类场景片段中出现大量植物,增加了场景复杂度,铁路沿线均有种植距离较近的植物,这可能增加人们在移动场景下的眨眼频率。C类场景更高的天空开阔度使视野更加开阔,可进入更多光线,这可能是导致瞳孔变化的主要因素。
从眼动指标数据来看,在南侧空间发现平均、最小瞳孔直径与天空开阔度之间负相关,平均瞳孔直径与建筑视觉占比正相关,说明在建筑占比较多的区域,可能产生更多的认知加工;景观要素较多的空间场景更吸引人的注意。

2.2.2.2 心率指标的分析

在频域指标LF/HF上,不同景观特征之间存在极显著差异(p<0.01),经过事后Dunnett-t检验,发现C与A、D、E类场景存在极显著差异(p<0.01)。从数据来看,C类场景的LF/HF数值中位数大于其他4类场景,说明在经过C类场景时,人们的机体活跃度高于其他场景,其比值更接近于1,自主神经系统更接近于均衡的状态,更为舒适。相比于D、E类场景,C类场景自然属性更强,天空开阔度更高,这也与自然景观的恢复性效应[23]理论相吻合。
为了探讨天空开阔度的变化与其他属性是否为引起心率变化的影响因素,将心率数据与各片段的景观特征进行Pearson相关性分析。可知南北两侧空间的LF/HF均与天空开阔度之间正相关(北侧r=0.55,p<0.05;南侧r=0.54,p<0.05),推测对于移动中的列车,天空开阔度高的场景视觉更舒适,更容易引起人们产生积极的正向情绪,人们的偏好程度更高。

2.2.2.3 眼动和心率指标的综合分析

上述对眼动、心率数据的独立分析,完成的是5类场景之间各种指标间的横向对比,这里将眼动指标中情感表征较高的片段与心率数据频域指标进行归一化后再进行结合比较,以探讨被试者们更确切的景观感知偏好。
平均眼跳次数与被试者的个体偏好相关,次数越低,表明相对注视时间越长,被试者的偏好程度越高。动态场景下景观要素的种类会影响到眼跳的频率,因此将眼跳指标与LF/HF进行结合比较(图8),LF/HF越高,即被试者的机体活跃度越高,偏好程度越高,当二者数值呈现相反趋势时,能有力地说明被试者的偏好特征。对于北侧空间,4个片段的眼跳次数与LF/HF的数据呈相反的趋势,与被试者的真实感受反映较为一致,其中N12、N15的LF/HF相似,但N12的眼跳次数要明显高于N15,查看景观片段可知,N15为混凝土挡墙区域,景观界面特征单一,可能导致眼跳次数下降,N16、N1片段数值相近,与N12、N15相比,眼跳次数更少、LF/HF更高,其景观要素的复杂度相似,较好地解释了被试者在这2个区间呈现出的较高偏好度。对于南侧空间,其中S9、S16两指标的数值趋势相反,S9的眼跳次数最高、LF/HF最低,S16眼跳次数最低、LF/HF最高,说明S16偏好度最高,S9的偏好度最低,在S2与S6片段中的两指标数值差异不大,但趋势相同,不能通过生理测量指标去解释被试者对这些片段中的偏好情况,但总体比较来看其偏好程度应高于S9、低于S16。
图8 视觉指标与心率指标结合分析

Fig. 8 Analysis of saccade indicator and heart rate for landscape

瞳孔直径与被试者的偏好关联程度较高,被试者的瞳孔大,说明其情感处于积极正向的状态,真实环境中空间环境的改变同样会导致被试者的瞳孔变化,因此将瞳孔指标与LF/HF进行结合比较(图9),LF/HF越高,即被试者的机体活跃度越高,偏好程度越高,当二者数值呈现相同趋势时能有力地说明被试者的偏好特征。对于北侧空间,N4的瞳孔指标最高,但LF/HF较低,可能是由于该片段空间郁闭度较高,受到光线的影响较多;另外3个片段中,N11与N14的天空开阔度相似,在同样光线的情况下,N14的LF/HF与平均瞳孔直径高于N11,说明N14的偏好度要大于N11。对于南侧空间,平均瞳孔直径、最小瞳孔直径与天空开阔度之间负相关,平均瞳孔直径与建筑视觉占比正相关,说明在建筑占比较多的区域,可能产生更多的认知加工,景观要素更多的空间场景更吸引人的注意。
综上,研究区内京秦铁路沿线景观特征中的天空开阔度、天际线变化指数越高,人们的机体活跃程度越高;在连续性的景观中,乘客的视觉容易被特殊景观节点或视觉要素复杂的景观画面所吸引。

3 铁路沿线景观优化建议

3.1 改善铁路沿线建筑形象

研究结果显示建筑是研究区内被试者们最突出的景观要素感知偏好,而在打造“最美进京第一印象”的“疏整促”专项行动中,铁路沿线的建筑可能尚未引起重视。结合研究结果,建议充分考虑乘客的感知,将铁路沿线的低效建筑(群)、铁路建筑、设施遗存等进行功能改造或形态提升,或者与绿地结合形成开放空间,以提升乘客的注视时间(图10)。也可以结合沿线铁路设施,给乘客带来较好的视觉体验,彰显城市风貌与形象。
图9 景观瞳孔直径与心率分析

Fig. 9 Analysis of pupil diameter and heart rate for landscape

图10 策略优化示意

Fig. 10 Schematic diagram of the optimization strategy proposed

3.2 优化铁路沿线重点区域的城市天际线

从景观特征与眼动、心率指标的综合分析发现,天空开阔度、天际线变化指数越高,人们机体活跃程度越高。不同类型景观在心率指标上的差异,也表明天空开阔度的重要性,目前城区内部的文化景观资源密集,标志物景观作为观赏者的外部参考点,是人们在这座城市中的向导,尤其在景观动态、连续呈现的地方,人们会欣赏其独特性。因此对于沿线景观中标志物景观的打造,应进行节奏的把控,考虑整体视觉画面,在重点的区域进行留白与天际线的描绘。

3.3 巧用植物丰富界面

眼动数据中各景观要素的比较分析显示植物景观品质有提升的潜力,植物的色彩、层次等也会影响人们的注视时间。现在铁路安全区内的保护设施占据了乘客视线的大部分范围,视觉体验感不佳,可在安全区挡墙前方种植植物,根据植物生长习性和挡墙尺寸确定植物的布局方式,凸显景观的层次感和立体感。同时心率指标数据与景观特征的相关性分析也表明了景观多样性的积极作用,因此丰富现有铁路沿线绿地的植物种类,选择分枝点低、树冠茂密的彩色叶乔木,进行乔灌搭配、合理密植,团簇或成列布置具有韵律的景观空间,在加强沿线景观观赏性的同时,为乘客营造良好的视觉体验。

3.4 重视车站、站区景观等特殊节点

本研究发现在连续、动态的景观中,特殊场景元素对乘客的注意力有着显著的吸引效果,特殊场景元素的出现给乘客带来了情绪刺激,促使机体活跃。因此对于列车、站台这种特色节点,应增加节点在视觉中的停留时间。对于正在使用的火车站台,优化内部装饰装修,对于已废弃的站台,可结合人文历史,进行多样化的城市景观设计,从而体现城市的文化脉络,并整合周边用地,提升土地价值和区域环境品质。

4 结论

本研究运用多模态人因技术,探索了动态的真实场景下乘客对铁路沿线景观的生理反馈和视觉差异,对比分析出乘客感知偏好的景观特征与要素种类,发现建筑要素与天空开阔度、植物配置的丰富度、天际线、特殊节点等景观特征,能较为显著地吸引人的兴趣。同时发现,人对同一类景观要素的注视行为不会因铁路南北两侧空间不同而发生变化。在高密度的中心城区,铁路沿线景观是感知城市风貌和形象认知的门户。作为城市中显著且连续的地面廊道空间,铁路沿线空间是可以在多种距离和多个视角与维度被连续性感知的城市景观。于乘客视角,列车行驶时,他自觉、不自觉地平视车窗外所呈现的连续、动态景观,或是抬头、起身眺望沿线景观;列车停靠时,他可以感知站场的静态景观。于城市视角,居于高楼的人自觉、不自觉地俯瞰铁路沿线空间。这些不同人群、不同视角对铁路沿线景观的注视和观看,对中心城区铁路沿线景观的打造提出了满足全方位观看的需求,因此建议将北京中心城区铁路沿线景观纳入城市眺望景观治理,全方位打造门户景观,这也将在一定程度上缓解铁路线对城市空间割裂的感知。
本研究还为京秦铁路沿线景观建设和城市视觉印象优化提供了真实的视觉体验数据,为动态景观感知评价的客观量化提供了一种参考方法。但被试者群体的数量有限,导致无法探究不同背景群体之间更为细节的差异及原因。后续研究中应增加样本的多样性,考虑年龄范围、教育水平等社会属性的差异。真实场景中难以避开外界环境因素的干扰,在未来可对大体量室外空间进行仿真模型构建,精准控制景观要素、空间距离的变化。在降低研究成本的同时,最大程度地还原真实的空间体验,减少研究误差。在未来,可进一步将眼动、脑电、心电等多项生理数据进行集成,与景观进行多模态的感知评估分析,更全面地体现被试者复杂心理情绪,精确地探讨景观要素与人的交互作用,解读空间场景信息,使研究结果更好地为景观优化方案提供依据,有效提高城市空间活力。

致谢(Acknowledgments):

感谢北京津发科技股份有限公司“科研支持计划”为本研究开展提供的人因工程与工效学相关设备和科研技术支持,以及研究中参与的所有被试者。

1 S103次列车07:31驶离北京站,07:50到达通州站;S111次列车13:39驶离北京站,13:58到达通州站。

2 AOI平均注视时间表示被试者在此AOI中停留的平均时间,由总注视时间除以注视点的个数得出,平均注视持续时间是对景观要素或景观特征认知的理解度。

3 AOI平均访问持续时间为被试者对此AOI访问的平均时间,访问时间越长表示被试者对此AOI的认知加工越大。

4 32个片段中的另外2个片段都是高的挡墙,没有很好的观看视野,故场景分类未将其纳入,只是在经过时做了生理的分析,没有和其他进行对比。这2段高的挡墙在整个实验过程中占据了一定的时间,而且产生了一定生理上的变化,故也将它们划分为片段。

文中图片均由作者绘制或拍摄,其中图2底图来源于百度影像地图(2022年采集)。

[1]
BAŞ BÜTÜNER F, ÇAVDAR SERT S, ALANYALI ARAL E. Decoding Infrastructural Terrain: The Landscape Fabric Along the Sincan-Kayaş Commuter Line in Ankara[J]. Landscape Research, 2020, 45 (6): 724-741

DOI

[2]
LIN G Y, XIANG L N, SANG K. Scenic Railway Mapping: An Analysis of Spatial Patterns in France Based on Historical GIS[J]. ISPRS International Journal of Geo-Information, 2022, 11 (2): 99.

DOI

[3]
MOROŃ D, SKÓRKA P, LENDA M, et al. Railway Lines Affect Spatial Turnover of Pollinator Communities in an Agricultural Landscape[J]. Diversity and Distributions, 2017, 23 (9): 1090-1097

DOI

[4]
周益. 基于生态经济需求综合视角的城市铁路景观设计策略研究[J]. 建筑与文化, 2024 (3): 245-247

ZHOU Y. Research on Urban Railway Landscape Design Strategy Based on the Comprehensive Perspective of Eco-economic Needs[J]. Architecture & Culture, 2024 (3): 245-247.

[5]
刘旭. 大尺度生态景观营造探索: 以京张高铁延庆段景观提升为例[J]. 现代园艺, 2021, 44 (12): 52-54

LIU X. Exploration of Large-scale Ecological Landscape Creation: Taking the Landscape Enhancement of Yanqing Section of Beijing-Zhangjiakou High-Speed Railway as an Example[J]. Contemporary Horticulture, 2021, 44 (12): 52-54.

[6]
SOMOGYI B, CSAPÓ J. The Role of Landscape Preferences in the Travel Decisions of Railway Passengers: Evidence from Hungary[J]. Moravian Geographical Reports, 2018, 26 (4): 298-309

DOI

[7]
张泉. 城市轨道交通沿线景观分析与评价: 以合肥轨道交通一号线为例[J]. 建筑与文化, 2015 (11): 138-139

DOI

ZHANG Q. Analysis and Evaluation of the Landscape Along the Route of Urban Rail Transit: Taking Hefei Rail Transit Line 1 as an Example[J]. Architecture & Culture, 2015 (11): 138-139

DOI

[8]
邓敬, 邱建, 殷荭. 基于Mapping方法的京沪高速铁路区域景观规划分析[J]. 中国园林, 2019, 35 (5): 96-101

DENG J, QIU J, YIN H. The Mapping-Based Analysis on Regional Landscape Planning of Beijing-Shanghai Highspeed Railway[J]. Chinese Landscape Architecture, 2019, 35 (5): 96-101.

[9]
陈茹, 姬琳, 夏鹏. 基于层次分析与GIS方法的汉冶萍铁路沿线景观评价[J]. 安全与环境工程, 2021, 28 (4): 213-222

CHEN R, JI L, XIA P. Landscape Evaluation Along Hanyeping Railway Based on AHP and GIS[J]. Safety and Environmental Engineering, 2021, 28 (4): 213-222.

[10]
HE H, LI J, LIN X, et al. Greenway Cyclists’ Visual Perception and Landscape Imagery Assessment[J]. Frontiers in Psychology, 2021, 12: 541469.

DOI

[11]
LEE C H. Comparing Subjective Landscape Perceptions Between the Native and Non-native Residents in Suburban Rural Area-Searching for a Landscape Management Based on the Characteristics of Urban to Rural Migrants[J]. Journal of Korean Society of Rural Planning, 2020, 26 (3): 13-24.

[12]
唐真, 刘滨谊. 视觉景观评估的研究进展[J]. 风景园林, 2015, 22 (9): 113-120

TANG Z, LIU B Y. Progress in Visual Landscape Evaluation[J]. Landscape Architecture, 2015, 22 (9): 113-120.

[13]
LEE C H, YUN S Y, SON Y H. Walking as Research Method for Revealing Subjective Perceptions on Landscape: Rural Village Sucheong-ri, Gwangju[J]. Journal of Korean Society of Rural Planning, 2016, 22 (2): 31-43.

[14]
翟宇佳, 吴承照. 城市公园总体满意度主要影响因素识别: 基于不同年龄组使用者的分析[J]. 风景园林, 2021, 28 (5): 57-62

ZHAI Y J, WU C Z. Identification of Main Influencing Factors on Urban Park Overall Satisfaction: Based on Analysis of Users of Different Age Groups[J]. Landscape Architecture, 2021, 28 (5): 57-62.

[15]
孙漪南, 赵芯, 王宇泓, 等. 基于VR全景图技术的乡村景观视觉评价偏好研究[J]. 北京林业大学学报, 2016, 38 (12): 104-112

SUN Y, ZHAO X, WANG Y H, et al. Study on the Visual Evaluation Preference of Rural Landscape Based on VR Panorama[J]. Journal of Beijing Forestry University, 2016, 38 (12): 104-112.

[16]
CHEN X Y, QIAO L F. Applicable Prospects of Eye Tracking Technology in the Research of Landscape Visual Perception[J]. International Journal of Multimedia and Ubiquitous Engineering, 2015, 10: 111-118

DOI

[17]
鲁苗. 基于眼动技术的景观视觉感知分析: 以清华大学校园景观为例[J]. 艺苑, 2019 (1): 98-101

LU M. Analysis of Landscape Visual Perception Based on Eye Movement Technology: Taking Tsinghua University Campus Landscape as an Example[J]. Forum of Arts, 2019 (1): 98-101.

[18]
陈筝, 刘颂. 基于可穿戴传感器的实时环境情绪感受评价[J]. 中国园林, 2018, 34 (3): 12-17

CHEN Z, LIU S. Real-Time Environmental Affective Experience Assessment Via Wearable Sensors[J]. Chinese Landscape Architecture, 2018, 34 (3): 12-17.

[19]
张若诗, 颜夏悦, 王晨, 等. 多模态数据驱动的人与建成环境情感交互研究: 以京张铁路遗址公园五道口段为例[J]. 城市发展研究, 2022, 29 (7): 55-66

ZHANG R S, YAN X Y, WANG C, et al. Research on Emotional Interaction Between People and Built Environment Driven by Multi-modal Data: Take Wudaokou Jingzhang Railway Park as an Example[J]. Urban Development Studies, 2022, 29 (7): 55-66.

[20]
FOULSHAM T, WALKER E, KINGSTONE A. The Where, What and When of Gaze Allocation in the Lab and the Natural Environment[J]. Vision Research, 2011, 51 (17): 1920-1931

DOI

[21]
熊广忠.论公路美学的研究与应用[J].中国公路学报, 1994, 7(1): 40-46.

XIONG G Z. On the Study and Application of Highway Aesthetics[J]. China Journal of Highway and Transport, 1994, 7(1): 40-46.

[22]
韩君伟, 董靓. 基于心理物理方法的街道景观视觉评价研究[J]. 中国园林, 2015, 31 (5): 116-119

HAN J W, DONG L. A Study of Visual Evaluation of Streetscape Based on the Psychophysical Method[J]. Chinese Landscape Architecture, 2015, 31 (5): 116-119.

[23]
胡一可, 张天霖, 王磊, 等. 景观服务视角下城市街区感知测度及空间分布特征[J]. 风景园林, 2022, 29 (10): 45-52

HU Y K, ZHANG T L, WANG L, et al. Measurement and Spatial Distribution of Perception in Urban Blocks from the Perspective of Landscape Service[J]. Landscape Architecture, 2022, 29 (10): 45-52.

[24]
季惠敏, 丁沃沃. 基于量化的城市街廓空间形态分类研究[J]. 新建筑, 2019 (6): 4-8

JI H M, DING W W. A Study on Classification of Urban Space in the Block Based on Quantification[J]. New Architecture, 2019 (6): 4-8.

[25]
VAN LIER H G, PIETERSE M E, GARDE A, et al. A Standardized Validity Assessment Protocol for Physiological Signals from Wearable Technology: Methodological Underpinnings and An Application to the E4 Biosensor[J]. Behavior Research Methods, 2020, 52: 607-629

DOI

Outlines

/