Research

Thermal Characteristics and Material Optimization of the Underlying Surface in the Central Plaza of Beijing Olympic Park

  • Jiahui WANG , 1 ,
  • Yutian HU , 1 ,
  • Danning LI , 1 ,
  • Dongyun LIU , 1, 2, *
Expand
  • 1 School of Landscape Architecture, Beijing Forestry University
  • 2 LAURSTUDIO

WANG Jiahui is a master student in the School of Landscape Architecture, Beijing Forestry University. His research focuses on landscape planning and design

HU Yutian gained her Master degree in Beijing Forestry University. Her research focuses on landscape planning and design

LI Danning gained her Master degree in Beijing Forestry University. Her research focuses on landscape planning and design

LIU Dongyun, Ph.D., is a professor in the School of Landscape Architecture, Beijing Forestry University, and a principal designer in LAURSTUDIO. His research focuses on ecological planning, urban landscape planning and design, and sustainable environmental design

Received date: 2023-09-25

  Revised date: 2024-08-15

  Online published: 2025-12-16

Copyright

Copyright © 2024 Landscape Architecture. All rights reserved.

Abstract

[Objective] The large, continuous and hard urban underlying surface is an important cause of the deterioration of the near-surface thermal environment, and an increase in albedo can usually coolit. With global warming and rapid urbanization, urban heat island (UHI) has significantly impacted urban living comfort, air quality, and energy consumption. Mitigating urban high temperature and optimizing the urban thermal environment have become core issues in building low-carbon, green, and sustainable cities. Existing research indicates that the differences in thermal properties between hard underlying surfaces may affect the urban near-surface energy balance, significantly impacting surface temperature (ST). In recent years, scholars at home and abroad have conducted multi-indicator research on the thermal environment of different hard underlying surfaces, with a view to exploring their thermal environment effects, temperature, humidity and microclimate change characteristics, as well as thermal comfort in specific activity spaces. However, such research seldom combines actual measurements with numerical simulations for thermal environment optimization. This research aims to investigate the thermal environment characteristics and temperature interval ranges of six typical underlying surfaces in the central plaza of Beijing Olympic Park through actual measurements and numerical simulations using the ENVI-met model. The research also explores the specific impact of overall albedo changes on the thermal environment, and provides suggestions for the material selection and configuration of hard underlying surfaces in public spaces in Beijing.

[Methods] In the central plaza of Beijing Olympic Park, the surface temperature of six typical underlying surfaces (asphalt, concrete, brick, granite, gravel, and grass) is measured to analyze the thermal environment characteristics and temperature interval range. The research also adopts the ENVI-met numerical simulation method to explore the specific impact of numerical changes in the overall albedo on the thermal environment. ENVI-met is a three-dimensional microclimate numerical simulation software based on computational fluid dynamics (CFD) principles. The model is built using actual measurement data for an 860 m × 580 m research area, with the core research area covering an area of 260 m × 500 m. Different albedo scenarios are simulated by applying high-reflectance coatings to the hard underlying surfaces, with the overall albedo being increased to 0.40, 0.60, and 0.80 in scenarios S1, S2, and S3, respectively. The simulation results are compared to the base scenario (S0) to analyze the cooling effect of increased albedo on surface and air temperatures.

[Results] The measurement results show that different underlying surfaces produce different thermal effects due to variations in specific heat capacity and thermal conductivity. Seasonal variation patterns indicate that in spring, summer, and autumn, the surface temperatures of hard underlying surfaces (asphalt, concrete, brick, and granite) are significantly higher than the air temperature, indicating their role in heating the air. However, in winter, most hard surfaces’ temperatures drop below the air temperature after 16:00. One-way ANOVA results indicate that the average surface temperature of grass in spring, summer, and autumn is the lowest and significantly different from other underlying surfaces (p<0.01). In winter, the average surface temperature of grass is higher than all hard underlying surfaces except asphalt. Among hard surfaces, granite has the lowest annual average surface temperature, significantly lower than asphalt, concrete, and brick, while asphalt has the highest annual average surface temperature, significantly higher than concrete, granite, and brick. Overall, hotter hard surfaces like asphalt, concrete, and brick have a wider temperature range compared to cooler surfaces like granite. For similar types of surfaces, darker ones have a higher temperature range than lighter ones. In summer, dark surfaces with a lower daily average temperature may be hotter than light surfaces with a higher daily average temperature. The research also finds that increasing the overall albedo can effectively reduce surface and air temperatures. The maximum cooling intensity is observed at an albedo of approximately 0.56, with cooling effects increasing initially and then decreasing as albedo increases.

[Conclusion] This research reveals the thermal environment characteristics of common hard underlying surfaces in urban squares in Beijing, showing that asphalt surfaces are the hottest while granite surfaces are the coolest. Additionally, the surface temperature of grass in spring, summer, and autumn is significantly lower than that of hard surfaces. The research finds that among similar hard surfaces, lighter types have lower daily average temperatures and smaller temperature variations compared to darker types. Furthermore, light-colored surfaces with higher annual average temperatures may be cooler in summer than dark-colored surfaces with lower annual average temperatures, indicating that selecting light-colored materials can more effectively mitigate the urban heat island effect. ENVI-met simulation results show that increasing the overall albedo of urban surfaces can significantly reduce surface and air temperatures. The research area achieves the maximum cooling intensity at an albedo of around 0.56, with the optimal albedo range for cooling benefits being between 0.50 and 0.60. These insights may provide valuable guidance for the design and material selection of hard surfaces in public spaces, thus helping enhance urban thermal comfort and sustainability.

Cite this article

Jiahui WANG , Yutian HU , Danning LI , Dongyun LIU . Thermal Characteristics and Material Optimization of the Underlying Surface in the Central Plaza of Beijing Olympic Park[J]. Landscape Architecture, 2024 , 31(10) : 90 -97 . DOI: 10.3724/j.fjyl.202309250440

城市热岛(urban heat island, UHI)主要指城市高速扩张引起的市中心温度高于郊区,形成高温孤岛的现象[1-2]。伴随全球变暖趋势和高速城市化进程,UHI已对城市的居住舒适度、空气质量及能源消耗产生深刻影响[3-5]。缓解城市高温、优化城市热环境已成为低碳绿色可持续城市建设的核心议题。已有研究表明,城市下垫面变化是UHI的重要驱动机制之一[2, 6],具体表现为硬质下垫面之间的热力属性差异影响了城市近地表能量平衡[7],对地表温度产生重大影响。近年来,国内外学者对不同的硬质下垫面地表热环境展开多指标研究,在热环境效应[8]、温湿度及小气候变化特征[9]以及特定活动空间热舒适度等方面进行了深入探讨[10-11],但通过实测结合数值模拟进行多种硬质下垫面热环境特征及优化分析的研究仍有不足。
对于拥有连续、大面积硬质表面的城市广场,降低地表温度、优化热环境的有效方法之一是增加下垫面反照率。反照率指水平表面反射的辐射比例,高反照率下垫面能够减缓UHI[12]。已有案例通过模拟大尺度场地分析反照率的提升对热环境的改善效益,如Sailor[13]在研究城市下垫面特征变化对UHI的潜在影响时发现,洛杉矶市中心下垫面平均反照率每增加0.14,夏季的高峰温度将降低1.5 ℃。也有实际应用案例证实了增加路面反照率对近地表热环境的优化作用,如Santamouris等[14]在雅典Flisvos公园更新了近4 500 m2高反射路面,使公园内典型夏日的峰值气温及地表温度分别降低了1.5 ℃和1.2 ℃。Santamouris等[15]还总结了多项试验及模拟研究,认为路面反照率每增加0.1,研究环境的平均和最大温度将分别下降0.27 ℃和0.94 ℃。但目前场地整体反照率与热环境降温效益的量化数值关系依然不够清晰,城市公共空间(尤其城市广场)中下垫面反照率的降温效益依然是热环境优化的重要议题。
综上,笔者团队以北京奥林匹克公园中心区广场为研究区域,结合实测调研,探究不同类型下垫面全年热环境的变化特征,并分析不同反照率的同种硬质下垫面的温度区间差异;通过ENVI-met进行数值模拟,以探究场地整体反照率的增加对地表温度、空气温度数值变化的影响,得出研究区域内温度降幅最明显的反照率区间,探求硬质下垫面热环境的潜在优化策略,最终提出硬质下垫面材料选择及设置的建议,为北京城市公共空间硬质下垫面设计提供参考和依据。

1 研究方法

1.1 研究区域概况

北京市气候类型为暖温带半湿润大陆性季风气候,夏季高温多雨,冬季寒冷干燥。近年来,北京城区建设用地急剧扩张,城市下垫面热力性质改变导致地表温度持续上升,长时序研究显示城市热岛效应正逐年加重[16-17]。奥林匹克公园是北京中轴线端点与重要节点,体现了“科技、绿色、人文”三大理念,是融合了多种功能的新型城市区域。研究区域位于北京市朝阳区奥林匹克公园中心区南部区域(39°59′24N,116°23′24E),总占地面积约315 hm2,内部包含多样化的功能性场所,以及鸟巢、水立方等重要建筑,承办北京马拉松等多项重点体育赛事,是北京旅游观光的热点区域之一。研究区域核心的中心区广场硬质下垫面面积大而连续,铺装材料典型且种类丰富,无影响测量数据的建筑。因此,综合考虑功能综合性、典型代表性及实验科学性,奥林匹克公园中心区南部区域适合作为北京城市下垫面热环境研究的代表性区域。

1.2 场地实测

1.2.1 研究对象及实测点选取

通过对研究区域进行硬质下垫面种类调研,本研究选择沥青、透水混凝土、砖、花岗岩和砾石5种典型的城市硬质下垫面作为研究对象,并选取草地作为对照下垫面类型。6种下垫面的基本属性如下(图1):1)砾石为浅灰色;2)花岗岩为火烧面芝麻灰,尺寸约100 cm×25 cm;3)沥青为深灰色;4)透水砖为浅灰色,尺寸30 cm×15 cm;5)透水混凝土为浅灰色;6)草地为黑麦草(Lolium perenne)覆被。为控制变量及排除小气候干扰,研究对象及对照组的实测点均选择在半径30 m内无建筑、半径150 m内无水体且上空无明显遮挡的位置,其中砾石下垫面实测位置选自死亡树木的树池,以避免树荫对光照的影响。
图1 研究区域6种下垫面的实测位置

Fig. 1 Measurement locations of the six types of underlying surfaces in the research area

1.2.2 实测时间、天气条件和仪器

实测时间为2020年10月13、17、18日(秋季),2021年1月13、22、29日(冬季),2021年4月28日及5月5、12日(春季),2021年8月5、7、8日(夏季),共计12次;每次实测时间为08:00—20:00,测定频率为1 次/h。实验天气条件为观测前一周不存在雨雪天气且观测当日晴朗无云,风速≤1.5 m/s。实验仪器采用Hikvision H10高清热红外成像仪与华控兴业002便携式手持气象站,其中热红外成像仪用于测量地表温度,误差为±2 ℃,发射率设置为0.95[8],于1 m高度垂直向下对下垫面进行拍摄测量;手持气象站用于测量空气温度,测量高度为1.5 m。

1.3 ENVI-met场地模拟

1.3.1 研究区域模型构建

本研究使用ENVI-met 4.4.6进行近地表热环境的模拟。ENVI-met是基于流体动力学(Computational Fluid Dynamics, CFD)原理的三维微气候数值模拟软件,由德国美因茨大学的Bruse团队于1998年推出[18],现已被广泛应用于多样、复杂的城市微气候参数处理中。在ENVI-met的Spaces模块中依据实测数据对860 m×580 m的研究区域建模,将中心区广场作为核心研究区域,范围为260 m×500 m(图2)。对研究区域进行网格化细分以便进行软件模拟,在xy平面模型网格数为246×166,即在x轴与y轴以3.5 m作为单位网格边长进行划分;z轴垂直方向采用等距网格,高度设置为最高物体(国家体育场)真实高度的2倍,故z轴方向网格数为40,分辨率为3.0 m(最底部的一个网格除外,该网格被拆分为5个子网格,子网格高度为0.6 m)。在以上细分模型中设置建筑高度、地表类型及植被类型后即可得到研究区域的三维模型。
图2 研究区模型构建

Fig. 2 Model building for the research area

1.3.2 模拟参数设置

建、构筑物高度参数通过测量及查阅资料获得。在ENVI-met中,依据场地实际情况在Profiles模块中构建地表类型和植被参数数据库。由于仪器限制,各类型下垫面反照率具体数值以过往研究结论作为参考值[19-21];在Albero模块中构建乔木三维数据库,乔木基础数据通过场地调研获得,随机选取每一树种的5棵乔木进行实测,根据场地调研数据定义植物名称、树冠三维形态(树高、冠下高、冠幅)、叶片属性(叶片类型、叶面积密度、叶片反射率)、根系概况(根幅、根深、根系形状、根面积密度),其中树冠三维形态通过测量或结合拍照导入AutoCAD 2021中测量并取平均值;叶面积密度则采用植物冠层分析仪(Licor LAI-2200),结合FV2200软件处理获得叶面积指数后根据经验公式换算获得;根系形态参数采用软件默认值。在Plants模块中设置草地模型,通过对场地内草地进行随机采样,定义草地高度为0.15 m,根深0.20 m,叶面积密度0.30 m2·m−3,反照率0.20。
模型模拟日期为2021年8月7日,当日气象数据来自A1007奥体中心站,最高温度34.4 ℃,最低温度22.9 ℃,主风向为东北风(45°)。模拟起始时间为03:00(模型预热6 h),结束时间为20:00,共模拟18 h,每小时输出1次模拟结果。模拟气象条件为0.9 m/s风速的东北风、近地1.5 m的初始空气温度23.8 ℃和近地2 m的初始相对湿度86%。边界条件设置为Simple Forcing,动态时间步长1~2 s。本次验证模型模拟命名为方案S0

1.3.3 模型验证

采用决定系数(R²)、威尔莫特一致性指数(d)、均方根误差(RMSE)和平均绝对误差(MAE)对ENVI-met模拟结果中6个实测对应点位的空气温度(1.5 m)和地表温度进行S0模型计算结果准确性检验[22]表1),并与同类文献[23-25]结果准确性对比,判断模拟结果误差在合理范围内,可靠程度较高,能较好地描述场地热环境。因此,可在S0基础上修改条件,用于反照率变化下的热环境模拟优化研究。
表1 S0模型计算结果准确性检验

Tab. 1 Accuracy verification of the calculation results of S0 model

下垫面类型 空气温度检验计算结果 地表温度检验计算结果
R 2 d RMSE/℃ MAE/℃ R 2 d RMSE/℃ MAE/℃
沥青 0.84 0.95 1.28 1.07 0.92 0.98 1.99 1.51
透水混凝土 0.95 0.98 0.69 0.56 0.94 0.99 1.58 1.28
0.83 0.94 1.28 1.04 0.87 0.97 2.47 2.18
花岗岩 0.94 0.98 0.64 0.48 0.93 0.98 1.51 1.17
砾石 0.9 0.97 0.79 0.62 0.84 0.96 2.59 2.38
草地 0.89 0.97 0.74 0.66 0.24 0.88 3.12 2.53

1.3.4 模拟方案设置

结合场地情况,在验证模型(S0)基础上设置增加反照率的模拟方案(S1~S3)。根据文献研究和温度区间实测结果,分别在模型方案S1、S2、S3研究区域中反照率小于0.40、0.60、0.80的硬质下垫面设置热反射涂层参数,分别为红色(反照率0.20~0.40)、黄色(反照率0.50~0.80)和白色(反照率0.50~0.90),使模型的平均反照率分别提升到0.40,0.60和0.80。方案对比时段为09:00—17:00,对比内容为地表温度、空气温度指标的日温变化和降温强度,并以平均降温强度表征各方案与验证模型S0相比降低的温度水平。选取S1~S3​​​​​​​典型高温时间点(15:00)的模拟结果进行对比分析。

2 结果与分析

2.1 实测结果分析

2.1.1 不同下垫面热效应特征及差异

不同下垫面存在比热容及导热性等物理性质差异,因此产生的热效应不同。选取单季节中的3 d,实测地表温度平均值以及空气温度,针对不同硬质下垫面地表温度在典型晴天的变化特征进行分析(图3)。从单季变化曲线形态看,6种下垫面的每日地表温度均呈现先上升后下降的单峰趋势,与空气温度变化基本一致。其中,草地在秋冬季节的温度振幅大于春夏季节。而季节变化曲线表明,5种硬质下垫面在春、夏、秋三季的地表温度均显著高于空气温度,对空气温度具有加热作用;但在冬季,多数硬质表面温度在16:00后降到空气温度以下。
图3 各下垫面类型地表温度日变化及季节变化特征

Fig. 3 Daily and seasonal variations of surface temperature for different types of underlying surfaces

采用单因素方差分析(one-way ANOVA)对不同季节6种下垫面平均地表温度进行多重比较(图4),得出以下结果。1)草地在春、夏、秋三季平均地表温度最低,与其他下垫面具有极显著差异(p<0.01);而在冬季,草地不仅升温、降温速率增加,而且平均地表温度甚至高于除沥青以外的硬质下垫面。2)硬质下垫面中,花岗岩全年平均地表温度与沥青、透水混凝土和砖具有显著差异(p<0.05),是传统材料中地表温度相对较低的。3)春、夏季节的平均地表温度依次为沥青>砖>透水混凝土>砾石>花岗岩>草地,秋季为沥青>透水混凝土>砖>砾石>花岗岩>草地,冬季为沥青>砾石>枯萎草地/透水混凝土>砖>花岗岩。引起平均温度差异的主要原因为材料自身的物理性质及外界气象因子。沥青比热容低,常用种类颜色较深,反射率较小,通常能够吸收更多的太阳辐射,故四季的平均地表温度最高;而花岗岩以浅色最为常用,且拥有较高的反射率和热通量[25],是在白天相对较凉爽的硬质下垫面材料。
图4 各下垫面类型四季平均地表温度

Fig. 4 Average surface temperature of different types of underlying surfaces in four seasons

2.1.2 同种下垫面热效应差异

除了不同材料性质不同而造成的温度差异,同种下垫面由于颜色深浅、表面粗糙程度等不同导致的反照率差异也会影响地表热环境。以夏季为例,选取广场中不同材质的沥青、透水混凝土、砖和花岗岩进行实测日温度变化区间分析(图5),其中沥青材料选取深色沥青(C1)、标准沥青(C2)、覆黄油漆的沥青(C3)和覆白油漆的沥青(C4);透水混凝土材料选取浅灰色(E1)、中灰色(E2)、深灰色(E3)、冷灰色(E4)和浅灰色透水混凝土砖(E5,50 cm×100 cm),颜色由深到浅排序为深灰色>中灰色>浅灰色≈冷灰色;砖选择灰色风积沙透水砖(D1,15 cm×30 cm)、黄色条纹盲道透水砖(D2,30 cm×30 cm)和黄色点纹盲道透水砖(D3,30 cm×30 cm);花岗岩选取不同尺寸的火烧面芝麻灰(B1,100 cm×200 cm;B2,25 cm×100 cm;B3,50 cm×100 cm)、火烧面虾红(B4,50 cm×100 cm)、中国黑(B5,50 cm×100 cm),以及火烧面芝麻灰条纹盲道(B6,50 cm×100 cm)。
图5 夏季4种硬质下垫面日温度区间

Fig. 5 Daily temperature ranges for the four types of hard underlying surfaces in summer

对整体而言,沥青、透水混凝土和砖等较热的硬质下垫面相比花岗岩这类较凉爽的下垫面拥有更广的温度区间;而同类型下垫面中,深色沥青的日温度区间广于标准沥青,深灰色透水混凝土和黑色花岗岩的日温度区间也广于其他同类型浅色表面材料,可知同类型下垫面的深色表面比浅色表面拥有更广的日温度区间。此外,浅色表面由于反照率高,通常具有更低的日温度均值。覆白油漆的沥青表面日温度均值比深色沥青表面低8.7 ℃,比标准色沥青表面低7.2 ℃;透水混凝土的浅灰色、冷灰色和中灰色表面日温度均值分别比深灰色表面低1.6 ℃、1.9 ℃和0.3 ℃,花岗岩中火烧面芝麻灰表面比中国黑表面日温度均值低0.9 ℃,说明同类硬质下垫面中浅色表面比深色表面更凉爽;砖的黄色条纹盲道透水砖和黄色点纹盲道透水砖表面日温度均值分别比灰色风积沙透水砖低2.4 ℃和2.9 ℃,而覆黄油漆的沥青表面日温度均值仅相比标准沥青表面低0.5 ℃,且远低于覆白油漆的沥青表面,说明黄色表面相比标准色也具有一定的降温效果,但降温效益相对较低;花岗岩火烧面芝麻灰条纹盲道表面比火烧面芝麻灰表面日温度均值高1.0 ℃,这是由于条纹表面粗糙度较高,反照率低。
进一步分析对比各类下垫面的表面温度区间发现,深灰色透水混凝土最高表面温度达56.7 ℃,比标准沥青的最高温度(55.5 ℃)还高1.2 ℃,说明日温度均值较低的深色下垫面在夏季可能比日温度均值较高的浅色下垫面更热。花岗岩火烧面芝麻灰条纹盲道表面比火烧面芝麻灰表面温度高1.0 ℃,而黄色条纹盲道砖表面比灰色风积沙透水砖表面温度低2.4 ℃,说明浅色表面的降温效益高于粗糙表面的升温效应。
实测结果虽能一定程度描述不同反照率下垫面的热环境差异,但无法判断整体反照率对研究区域热环境的具体影响。故在ENVI-met中通过设置高反照率涂料增加场地整体反照率,通过模拟实验进行热环境降温效益最大化的反照率数值研究。

2.2 模拟结果分析

根据典型高温时段各模拟方案的地表温度分布特征可知(图6),S0的高温区集中分布于中心区广场, S1和S2的整体地表温度相比S0明显下降,而S3相比S0降温不明显;空气温度分布特征显示(图7),S1和S2的整体空气温度相比S0更低,而S3相比S0降温不明显。由于模拟风向设置为东北风,各模拟方案的高温区均主要集中于研究区域东北侧的植被区域上风向,植被中心区及植被区域下风向则存在明显的降温区。
图6 典型高温时段研究区域各模拟方案地表温度分布特征

Fig. 6 Characteristics of surface temperature distribution in the research area of each simulation scheme during typical high temperature periods

图7 典型高温时段研究区域各模拟方案空气温度分布特征

Fig. 7 Characteristics of air temperature distribution in the research area of each simulation scheme during typical high temperature periods

对地表温度和空气温度热环境指标日变化特征进行分析发现(图8),各模拟方案在反照率增加后温度变化均呈现先增后降的单峰趋势,与实测结果变化趋势接近。S0峰值为43.17 ℃且振幅最大,而S1、S2峰值分别为38.73 ℃和35.35 ℃且振幅递减,说明一定范围内降温能力随反照率增加而增加。
图8 各模拟方案地表温度及空气温度日变化特征

Fig. 8 Daily variation characteristics of surface temperature and air temperature of each simulation scheme

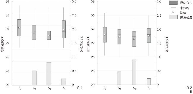
以相较于S0下降的温度衡量降温强度,对研究区域白天时段的温度分布及降温强度进行分析(图9),可见当反照率增加至0.80时,降温强度比反照率为0.40和0.60时低。说明增加下垫面反照率能显著降温,此时地表和空气温度降温强度均提升,但增加超过一定范围降温强度反而下降。为量化降温强度阈值并探究上述变化的拐点,对S0至S3方案的降温强度进行回归分析,由多项式函数拟合得知(图10),反照率在0.56左右,即为0.50~0.60时研究区域降温强度最高。
图9 白天时段各模拟方案地表温度与空气温度分布及降温强度

Fig. 9 Distribution of surface temperature and air temperature and cooling intensity of each simulation scheme during the daytime

图10 白天时段温度指标的多项式函数拟合结果

Fig. 10 Results on the polynomial function fitting of temperature indicator during the daytime

3 讨论

3.1 下垫面热环境差异特征

在不同下垫面热环境特征与年变化规律研究中,由于热物理性质各异,不同类型下垫面在四季均具有热效应差异。杨雅君等[8]提出各下垫面近地表温度在四季均呈先增加后减小的趋势;刘霞等[26]的研究表明沥青为综合而言最热的硬质下垫面,均与本研究得出的结论一致。由于北京冬季气温低,地面辐射冷却严重,16:00以后研究区域大部分硬质下垫面温度降至空气温度以下;草地在秋冬季节的日温度振幅大于春夏季节,分析其原因可能为秋冬季节草地干枯,蒸腾作用减弱导致表层水汽减少,下垫面整体比热容降低。因此,冬季下垫面地表温度变化特征需要结合实测所在地的气候条件进行研判。在同类型硬质下垫面热环境差异分析中,本研究发现同类型硬质下垫面的浅色类型在相同热环境下比深色类型更凉爽,与Carnielo等[27]的研究结果一致。同时,本研究发现花岗岩火烧面芝麻灰条纹盲道表面日温度均值高于无纹理的同类材料表面。故研究硬质下垫面须考虑表面颜色深浅、粗糙程度等多种物理特性,以综合评估其热效应特征。

3.2 反照率与热环境的关系特征

在基于反照率的热环境模拟研究中,ENVI-met已被应用于庭院[28-29]、公园路面[14]、城市街道等多类型场地研究[30]。本研究通过R 2d、RMSE和MAE指标,验证了城市广场尺度下ENVI-met模拟反照率对热环境影响的可行性。Taleghani[31]和Kyriakodis等[32]的研究表明,在一定范围内增加研究区域整体反照率能显著降温,与本研究结论也类似。并且在此基础上,本研究还发现当区域整体反照率增加到0.8时,降温强度不增反降,这可能是由于反照率过高导致环境反射增加,影响了近地表辐射平衡[33]。结合多项式函数拟合结果,本研究将Lopez-Cabeza等[29]提出的使用中等反照率(0.30~0.70)能够平衡消极影响的结论进一步细化,发现反照率与温度拟合曲线呈抛物线型,且在反照率为0.50~0.60时热环境改善效益最佳。

3.3 针对北京市热环境优化的城市下垫面设计建议

本研究揭示了北京城市典型硬质下垫面的热效应变化特征及规律,结合实测与数值模拟结果,从近地表热环境优化角度为北京城市公共空间下垫面设计及布置提出以下建议。1)草地在春、夏、秋三季平均表面温度均显著低于硬质下垫面。在进行城市广场设计时适当增加绿地占比,可以有效降低场地地表热效应。2)在所有受测材料中,花岗岩是综合而言最凉爽的硬质下垫面,沥青是综合而言最热的硬质下垫面,因此硬质广场等公共活动空间应优先铺设花岗岩下垫面,而沥青则尽可能作为车行路面与非停留人行空间使用。3)当设计规范允许时,在沥青、透水混凝土等较热的硬质下垫面中选择浅色类型可以显著优化场地热环境。4)反照率适中的彩色涂料能够在降低下垫面地表温度的同时提升场地美观程度。可考虑实用性和美观性,使用黄色等彩色表面材料铺设人行路面或活动区域,在有效控制场地整体反照率、改善热环境的同时丰富视觉效果。5)合理控制下垫面反照率能有效降低场地温度,最佳整体反照率区间为0.50~0.60。6)在不同反照率的模拟方案中,植被组团上风向均为高温区域,植被组团下风向均存在明显的降温区域。因此,充分考虑场地风向进行植被与活动空间的布局,可以显著提升场地使用人群的热舒适度。

4 结论

本研究实测了北京奥林匹克公园中心区广场不同类型下垫面全年热环境的变化特征,分析了硬质下垫面在研究区域内的热效应差异,最后通过ENVI-met模型对场地整体不同反照率的降温效益进行模拟研究,根据模拟结果对反照率与地表温度、空气温度进行回归分析,完善从分析到优化的研究框架,扩展了数值模拟在热环境研究的应用范围,揭示了下垫面材质与反照率对热环境的影响机制,可为城市公共空间热环境优化提供科学、合理的建议,从而推动城市广场等硬质下垫面的合理布局。本研究发现以下几点结论。1)硬质下垫面在各个季节都能加热空气,下垫面的类型、颜色、粗糙程度与反照率这4种主要属性均与地表热效应有关,且不同硬质下垫面的4种因素对其地表热效应影响不同。2)在同类硬质下垫面中,浅色类型比深色类型拥有更低的日温度均值和更小的温度变化区间,且年均温较高的浅色下垫面材料在夏季可能比年均温较低的深色下垫面材料温度更低。3)ENVI-met模拟结果表明,当场地平均反照率为0.40和0.60时降温效果显著,但在0.80时降温效果不明显。多项式回归分析显示,研究区域在反照率约为0.56时达到最大降温强度,最佳降温效益的反照率范围为0.50~0.60。
然而本研究仍存在以下不足,有待后续研究进行探讨。1)仅以北京奥林匹克公园中心区的部分广场区为例进行了实测,未来可通过增加对其他气候区及更多样化的城市气候环境中的各类硬质景观空间及下垫面的微气候研究,丰富实测样本数量,分析对比地域性差异,减少周边环境对于实验精度的影响。2)仅选择了北京四季的典型晴天天气条件进行研究,未来可通过增加阴雨、大风、雾霾等各种天气条件下的对比研究,可以更全面地分析和总结硬质下垫面的热效应规律。3)仅讨论了反射路面的降温效应,但具有降温效应的下垫面类型还包括透水路面(渗透路面、保水路面、格栅透水路面、缝隙透水路面)和集蓄热路面等,这些下垫面的降温作用通过现有软件较难以量化计算,还需进一步研究探讨。

致谢(Acknowledgements):

本研究得到北京林业大学园林学院王鑫老师以及钟灵同学、彭莉同学、姜政皓同学的帮助,在此表示衷心的感谢。

文中图表均由作者绘制,其中图1底图引自谷歌卫星影像(2021年8月)。

[1]
OKE T R. City Size and the Urban Heat Island[J]. Atmospheric Environment (1967), 1973, 7(8): 769-779.

DOI

[2]
彭少麟, 周凯, 叶有华, 等. 城市热岛效应研究进展[J]. 生态环境, 2005(4): 574-579.

PENG S L, ZHOU K, YE Y H, et al. Research Progress in Urban Heat Island[J]. Ecology and Environment, 2005(4): 574-579.

[3]
RAJAGOPALAN P, ANDAMON M M, PAOLINI R, Investigating Thermal Comfort and Energy Impact Through Microclimate Monitoring: A Citizen Science Approach[J]. Energy and Buildings, 2020, 229: 110526.

[4]
WANG Y Y, GUO Z, HAN J, The Relationship Between Urban Heat Island and Air Pollutants and Them with Influencing Factors in the Yangtze River Delta, China[J]. Ecological Indicators, 2021, 129: 107976.

[5]
KUMARI P, GARG V, KUMAR R, et al. Impact of Urban Heat Island Formation on Energy Consumption in Delhi[J]. Urban Climate, 2021, 36: 100763

DOI

[6]
谢苗苗, 王仰麟, 付梅臣. 城市地表温度热岛影响因素研究进展[J]. 地理科学进展, 2011, 30(1): 35-41.

DOI

XIE M M, WANG Y L, FU M C. An Overview and Perspective About Causative Factors of Surface Urban Heat Island Effects[J]. Progress in Geography, 2011, 30(1): 35-41.

DOI

[7]
FARAGALLAH R N, RAGHEB R A. Evaluation of Thermal Comfort and Urban Heat Island Through Cool Paving Materials Using ENVI-Met[J]. Ain Shams Engineering Journal, 2022, 13(3): 101609

DOI

[8]
杨雅君, 邹振东, 赵文利, 等. 6种城市下垫面热环境效应对比研究[J]. 北京大学学报(自然科学版), 2017, 53(5): 881-889.

YANG Y J, ZOU Z D, ZHAO W L, et al. Comparative Study on the Thermal Environment Effect of Six Urban Underlying Surfaces[J]. Acta Scientiarum Naturalium Universitatis Pekinensis, 2017, 53(5): 881-889.

[9]
彭历, 李彬, 王予芊. 北京城市街头绿地景观下垫面与小气候温湿度影响关系基础研究[J]. 华中建筑, 2017, 35(4): 38-43.

PENG L, LI B, WANG Y Q. Basic Research on the Impact of Beijing Urban Green Space Landscape of the Underlying Surface and Micro-climate Temperature & Humidity[J]. Huazhong Architecture, 2017, 35(4): 38-43.

[10]
DJEKIC J, DJUKIC A, VUKMIROVIC M, et al. Thermal Comfort of Pedestrian Spaces and the Influence of Pavement Materials on Warming Up During Summer[J]. Energy and Buildings, 2018, 159: 474-485.

DOI

[11]
覃福雨, 张滢, 梁明钊, 等. 桂林某高校校园常见下垫面夏季热环境效应的研究[J]. 节能, 2020, 39(5): 7-11.

QIN F Y, ZHANG Y, LIANG M Z, et al. Study on the Thermal Environmental Effects of Four Common Underlying Surfaces in a University Campus in Guilin in Summer[J]. Energy Conservation, 2020, 39(5): 7-11.

[12]
FALASCA S, CIANCIO V, SALATA F, et al. High Albedo Materials to Counteract Heat Waves in Cities: An Assessment of Meteorology, Buildings Energy Needs and Pedestrian Thermal Comfort[J]. Building and Environment, 2019, 163: 106242

DOI

[13]
SAILOR D J. Simulated Urban Climate Response to Modifications in Surface Albedo and Vegetative Cover[J]. Journal of Applied Meteorology, 1995, 34: 1694-1704.

DOI

[14]
SANTAMOURIS M, GAITANI N, SPANOU A, et al. Using Cool Paving Materials to Improve Microclimate of Urban Areas: Design Realization and Results of the Flisvos Project[J]. Building and Environment, 2012, 53: 128-136.

DOI

[15]
SANTAMOURIS M, DING L, FIORITO F, et al. Passive and Active Cooling for the Outdoor Built Environment: Analysis and Assessment of the Cooling Potential of Mitigation Technologies Using Performance Data from 220 Large Scale Projects[J]. Solar Energy, 2017, 154: 14-33.

DOI

[16]
QIAO Z, TIAN G J, ZHANG L X, et al. Influences of Urban Expansion on Urban Heat Island in Beijing During 1989−2010[J/OL]. Advances in Meteorology, 2014[2023-08-12]. https://doi.org/10.1155/2014/187169.

[17]
李膨利, 西迪基, 刘东云. 基于遥感技术的城市下垫面参数与热环境关系的研究: 以北京市朝阳区为例[J]. 风景园林, 2019, 26(5): 18-23.

LI P L, SIDDIQUI M A, LIU D Y. Research on the Relationship Between Urban Underlying Surface Parameters and Thermal Environment Based on Remote Sensing Technology: A Case Study of Chaoyang District of Beijing[J]. Landscape Architecture, 2019, 26(5): 18-23.

[18]
BRUSE M, FLEER H. Simulating Surface − Plant − Air Interactions Inside Urban Environments with a Three Dimensional Numerical Model[J]. Environmental Modelling & Software, 1998, 13: 373-384.

[19]
CHATZIDIMITRIOU A, YANNAS S. Microclimate Development in Open Urban Spaces: The Influence of Form and Materials[J]. Energy and Buildings, 2015, 108: 156-174.

DOI

[20]
HU L Q, LI Y Y, ZOU X L, et al. Temperature Characteristics of Porous Portland Cement Concrete During the Hot Summer Session[J/OL]. Advances in Materials Science and Engineering, 2017[2023-08-12]. https://doi.org/10.1155/2017/2058034

[21]
XU L, WANG J Y, XIAO F P, et al. Potential Strategies to Mitigate the Heat Island Impacts of Highway Pavement on Megacities with Considerations of Energy Uses[J]. Applied Energy, 2021, 281: 116077

DOI

[22]
TSOKA S, THEODOSIOU T, TSIKALOUDAKI K, et al. Modeling the Performance of Cool Pavements and the Effect of Their Aging on Outdoor Surface and Air Temperatures[J]. Sustainable Cities and Society, 2018, 42: 276-288.

DOI

[23]
HUANG G H, XIE W J, SUN H. Simulating 3D Urban Surface Temperature Distribution Using ENVI-met Model: Case Study on a Forest Park[C]//IEEE. 2015 IEEE International Geoscience and Remote Sensing Symposium (IGARSS). Milan: IEEE, 2015: 1642-1645.

[24]
CHEN Y H, WU J T, YU K, et al. Evaluating the Impact of the Building Density and Height on the Block Surface Temperature[J]. Building and Environment, 2020, 168: 106493

DOI

[25]
CARVALHO H D R, CHANG B X, MCINNES K J, et al. Energy Balance and Temperature Regime of Different Materials Used in Urban Landscaping[J]. Urban Climate, 2021, 37: 100854

DOI

[26]
刘霞, 王春林, 景元书, 等. 4种城市下垫面地表温度年变化特征及其模拟分析[J]. 热带气象学报, 2011, 27(3): 373-378.

DOI

LIU X, WANG C L, JING Y S, et al. Study on Annual Variation and Simulation of Temperature in Four Urban Underlying Surfaces[J]. Journal of Tropical Meteorology, 2011, 27(3): 373-378.

DOI

[27]
CARNIELO E, ZINZI M. Optical and Thermal Characterisation of Cool Asphalts to Mitigate Urban Temperatures and Building Cooling Demand[J]. Building and Environment, 2013, 60: 56-65.

DOI

[28]
GHAFFARIANHOSEINI A, BERARDI U, GHAFFARIANHOSEINI A. Thermal Performance Characteristics of Unshaded Courtyards in Hot and Humid Climates[J]. Building and Environment, 2015, 87: 154-168.

DOI

[29]
LOPEZ-CABEZA V P, ALZATE-GAVIRIA S, DIZ-MELLADO E, et al. Albedo Influence on the Microclimate and Thermal Comfort of Courtyards Under Mediterranean Hot Summer Climate Conditions[J]. Sustainable Cities and Society, 2022, 81: 103872

DOI

[30]
MOHAMMAD P, AGHLMAND S, FADAEI A, et al. Evaluating the Role of the Albedo of Material and Vegetation Scenarios Along the Urban Street Canyon for Improving Pedestrian Thermal Comfort Outdoors[J]. Urban Climate, 2021, 40: 100993

DOI

[31]
TALEGHANI M. The Impact of Increasing Urban Surface Albedo on Outdoor Summer Thermal Comfort Within a University Campus[J]. Urban Climate, 2018, 24: 175-184.

DOI

[32]
KYRIAKODIS G, SANTAMOURIS M. Using Reflective Pavements to Mitigate Urban Heat Island in Warm Climates: Results from a Large Scale Urban Mitigation Project[J]. Urban Climate, 2018, 24: 326-339.

DOI

[33]
ROSSO F, GOLASI L, CASTALDO V L, et al. On the Impact of Innovative Materials on Outdoor Thermal Comfort of Pedestrians in Historical Urban Canyons[J]. Renewable Energy, 2018, 118: 825-839.

DOI

Outlines

/