Special: Garden City Promotes High Quality Development

Construction Approaches and Practices for Habitat Garden in the Context of Garden City

  • Binbin REN ,
  • Jian’gang ZHU , * ,
  • Jianhong WANG
Expand
  • Beijing Academy of Forestry and Landscape Architecture

REN Binbin, Ph.D., is a professorate senior engineer in Beijing Academy of Forestry and Landscape Architecture. Her research focuses on urban biodiversity conservation and garden city construction

ZHU Jian’gang, Ph.D., is a senior engineer in and president of Beijing Academy of Forestry and Landscape Architecture. His research focuses on urban ecology

WANG Jianhong, Master, is a professorate senior engineer in Beijing Academy of Forestry and Landscape Architecture. His research focuses on conservation biological control

Received date: 2025-06-30

  Revised date: 2025-07-25

  Online published: 2025-12-10

Copyright

Copyright © 2025 Landscape Architecture. All rights reserved.

Abstract

[Objective] “Habitat garden” is an urban green space that integrates “habitat” and “garden”, and is a garden with habitat function, and auxiliary functions such as landscape beautification, leisure and recreation, communication and interaction, public education, health and healing, or improvement of living environment. It is a practical carrier to achieve the core goal of a garden city featuring “harmonious coexistence between man and nature”, and it is also an innovative model for urban biodiversity conservation. Clarifying the scientific construction approaches is key to promote the large-scale and standardized construction of habitat gardens in garden cities.

[Methods] Based on an in-depth examination of the definition and status of habitat gardens within the context of garden city construction, this research discusses in combination with practice, the feasible approach for habitat garden construction.

[Results] The habitat garden construction approaches consist of the following 4 steps. Firstly, select a habitat garden site in combination with multi-scale site analysis, while investigating local and surrounding biotic and abiotic environments. Secondly, evaluate environmental potential and further identify the target species to be restored. Thirdly, implement the project of habitat restoration and landscape creation according to the habitat characteristics and local function positioning of those target species. Finally, carry out ecological monitoring and nature-based habitat management in the project. As for the site selection for habitat garden, a multi-scale feasibility analysis should be conducted first, involving the ecological analysis of landscape connectivity index and ecological sources, and the feasibility analysis of land management. Then a site investigation should be conducted, including the investigation of nonbiological environment aiming to reveal the habitat characteristics of the selected site and clarify prominent environmental issues of the site, accompanied by a species, population, or community investigation for existing and former plants, insects, birds, small mammals, amphibians and reptile, soil and surface arthropods, soil microorganisms, and other biological groups within and around the site in an effort to understand the current and potential distribution levels of biodiversity in the site. The evaluation of environmental potential encompasses four key analytical components: biological distribution potential analysis for evaluating local spatial distribution and local habitat suitability of dominant species, populations, and ecological communities; interspecific interaction potential analysis for examining trophic relationships, competitive interactions, and symbiotic associations among organisms; community succession potential analysis for investigating ecosystem succession trajectories, developmental rates, and potential equilibrium states; migration potential analysis for assessing dispersal capabilities and movement patterns of flora and fauna. The project entails habitat restoration and landscape recreation for target species and populations comprising two integral components: One is that habitat construction strategy should be based on habitat and feeding preferences of the target species and populations, and optimize conditions to support organisms’ survival, reproduction, and adaptive capacity against stressors by replenishing native vegetation and food resources, creating sheltered microhabitats with optimal perching conditions, and restoring natural refuges; the other is to set up artificial overwintering sites for natural enemies within the site. The nature-based habitat management encompasses two key aspects: One is to emphasize the “self sustain” of the ecosystem by minimizing artificial interference, such as night protection, noise isolation, and volunteer plant protection, and the other is to provide necessary artificial regulation that conforms to nature, such as the removal or cutting of malignant weeds. The ecological monitoring is to realize the sustainable development and dynamic regulation of habitat gardens. The monitoring results show that the richness and abundance of natural enemies (including natural enemy insects, aphidophagus natural enemies, and aphidophagus ladybugs) in a habitat garden after one year of construction of the garden, along with the abundance of lacewings, are significantly higher than in ordinary green spaces. Conversely, the average pest density per branch in ordinary green spaces is 3.91 times higher than in the habitat garden. The construction of habitat gardens has achieved the goals of restoring local food chains and repairing nutrient relationships, while significantly advancing sustainable pest control and biodiversity enhancement. The vegetation richness has increased from over 30 to over 130, as well as the diversity of birds. Mammals such as the Northeast Hedgehog (Erinaceus amurensis) and Weasel (Mustela sibirica) have also built burrows here as habitat.

[Conclusion] This research proposes that the fundamental prerequisite for the construction of habitat gardens is the joint participation of multiple fields throughout the entire process, the key link for the construction of habitat gardens is the evaluation of environmental potential, and the basic guarantees for the sustainable development of habitat garden are ecological monitoring and habitat management in alignment with nature.

Cite this article

Binbin REN , Jian’gang ZHU , Jianhong WANG . Construction Approaches and Practices for Habitat Garden in the Context of Garden City[J]. Landscape Architecture, 2025 , 32(9) : 65 -73 . DOI: 10.3724/j.fjyl.LA20250394

“万物各得其和以生,各得其养以成。”生物多样性是人类赖以生存和发展的基础,也是生命共同体的血脉和根基。城市生物多样性是实现城市可持续发展的基础[],也是维持城市生态系统健康与韧性的核心要素,对城市生态系统的食物供给、材料生产、病虫害控制、休闲游憩、公众教育,以及传粉与种子传播、土壤健康维持等多层级服务功能具有深刻影响。当前,城市化进程引起的生境破碎导致最为持久和严重的生物多样性丧失[2];大气污染、热污染、水污染等城市环境污染造成生境退化,直接影响着生物种群的生存繁衍,间接造成部分物种难以适应环境变化而死亡;均质化的城市物理环境导致敏感物种局部灭绝和城市适应物种的扩散[3-5];外来物种入侵通过与本地物种竞争资源、捕食本地物种、破坏生态系统结构与功能等直接或间接的方式对城市生物多样性造成重大威胁。城市生物多样性降低的结果是城市生态系统服务功能被显著削弱。
城市近自然生境修复与营造是应对城市化进程中生物多样性丧失的关键策略,在恢复栖息地、增强生境连通性、提升生境质量、提供关键资源与生态位、支持关键生物类群以及促进物种回归与种群恢复等方面发挥着积极作用,是解决城市生态系统服务功能退化和生物多样性降低的有效途径[6]。在全球范围内,城市近生境的修复和营建方法以20世纪70年代日本横滨国立大学宫胁昭教授提出的“宫胁造林法”最具里程碑意义,该方法通过仿照场地周边自然林的群落结构与物种组成,在裸地上营造近自然植物群落,从而实现城市生境重建,在日本以及全球各国的城市生境营造与恢复实践中得到了广泛应用[7]。进入21世纪,新加坡提出了“自然中的城市”的发展与建设理念,强调将城市融于自然,构建城市近自然生境系统,并采取亲生物设计方法,促进新加坡成为兼具花园环境与亲生物环境的城市[8];与此同时,日本和欧美发达国家亦在城市内注重保留、保护和恢复近自然空间[9-11],强调荒野化管理,近自然生境、近自然林、生态踏脚石和生境网络的营建。国内近自然植物群落构建和近自然生境营建等相关研究开始于20世纪80年代[12],21世纪后逐渐得到重视,并多聚焦于城市近自然植物群落的构建方法、模式与技术[13-14];2015年以来,该领域研究迅速发展,涉及生境网络构建、生境恢复、近自然植物群落设计等不同尺度与角度。国内实践中,上海于2019年以社区生境花园的形式探索城市生境修复[15-16];北京于2017年建设完成并向市民开放广阳谷城市森林公园,该公园成为全市首个中心城区的城市近自然生境恢复案例,2022年开始在城市绿地与林地中推行自然带营造和保育小区建设,2024年在花园城市背景下全面推行生境花园建设和改造。综合而言,国内城市近自然生境营造与修复技术已开始逐渐由单一性措施向系统性、综合性修复措施转变。如何在有限空间高效发挥生物多样性支持与其他生态系统服务功能的协同提升成为当前研究热点,诸如生物多样性保护协同气候调节[17-18]、生物多样性维持与环境整治、人民福祉协同提升等内容[15]
生境花园是将“生境”与“花园”相融合的城市绿色空间,是“具有栖息地功能的花园”[19]。欧美国家多以城市小型绿地或私人庭院为载体,强调使用本土植物、构建复杂结构植物群落、减少农药化肥使用以及提供辅助的食物、水源或庇护所,并常以吸引蜜蜂、蝴蝶和鸟类为重点[20];日本强调生境重建与自然再生,提出了依赖于生态系统退化原因识别和环境潜力评价的目标物种确定方法,虽未将“生境花园”确立为专有名词,但以城市小型公园和街头绿地为载体的城市生境重建项目具备相似属性[21];国内生境花园建设与城市社区更新相匹配,并以社区绿地和社区闲置地为载体,现有实践案例多采用统一做法[19],常以植物、鸟类、传粉昆虫或两栖动物为统一恢复目标,打造相似场景,推导可复制模式,而对基于场地条件的生物种间关系、群落演替潜能分析不足[15-16, 19]。基于此,本研究基于花园城市背景,分析生境花园的定位,提出花园城市背景下生境花园释义,同时结合北京实践,探索以场地生态环境潜能评价与目标物种识别为核心的生境花园建设路径。

1 花园城市背景下生境花园释义

北京市政府于2024年发布《北京花园城市专项规划(2023年—2035年)》(简称《专项规划》),提出“建设兼具生物栖息地、观赏及休闲功能的社区生境花园”的建设任务[22],明确以生境花园作为城市生物多样性保护的具体实践路径之一。《专项规划》强调生态为先,以实现人与自然和谐共生为目标,着力推动城市生产、生活、生态“三生空间”融汇,对城市绿地生态服务效能提出了新要求[22]。生境花园作为城市绿地的创新形式,在功能复合性方面表现突出,生物多样性支持效能较传统绿地具有显著优势。
结合花园城市建设,本研究将花园城市背景下生境花园定义为既能为城市植物、动物、微生物提供可持续的栖息环境,又具有景观美化、休闲游憩、交流互动、公众教育、康养疗愈或人居环境改善等协同功能的城市绿色空间。
从景观生态学角度看,生境花园属于城市生态网络中的绿色斑块或踏脚石,具有补充小型生态斑块,串联大型绿色孤岛,提升城市景观生态格局的连通性与异质性的作用[15-16];从生物多样性保护角度看,通过提高植物群落结构的复杂度、物种组成的丰富度、营造方式的自然度,增加食源、水源、自然化多孔隙场所,以及采用遵从自然规律的生境管理方式,生境花园可有效提升动物、植物以及微生物多样性;从社会功能角度看,生境花园可为城市居民提供休闲游憩、社交互动、共建共治共享以及科普教育的场所。因此,生境花园的核心功能为生物多样性支持,生境花园的协为同功能为景观美化、休闲游憩等社会服务功能或气候调节等其他生态系统服务功能。
此外,在选址方面,面对城市更新挑战以及城市生境破损、生物多样性降低等突出生态问题,以单一居住区附属绿地为载体进行生境花园建设难以实现既定目标,花园城市背景下生境花园选址扩大至各类城乡绿地,包括公园绿地(综合公园、社区公园、部分专类公园、游园)、部分附属绿地和部分区域绿地。

2 生境花园建设路径

基于自然的解决方案(Nature-based Solutions, NbS)旨在通过保护、恢复、可持续管理和利用生物多样性及其生态系统功能和服务,以协同应对经济、社会和环境等面临的多重挑战[23],体现了人与自然和谐共生的理念。生境花园是NbS理念在场地尺度上的具体实践形式,致力于通过恢复和保护自然生态过程,应对环境与社会挑战。基于此,以顺应自然为前提,本研究提出生境花园建设路径包括4个步骤:场地选址与调查、生态环境潜能分析与目标物种识别、生境修复与景观营造、动态监测与生境管理(图1)。
图1 生境花园建设路径

Fig. 1 Approach of habitat garden construction

2.1 场地选址与调查

依据景观连通性指数与生态源地等生态分析和土地管理等可行性分析,开展生境花园的多尺度适宜性选址。场地调查包括两个方面,一是非生物因子的调查,旨在揭示场地生境特征,明确场地突出环境问题;二是生物因子的调查,即对场地内及其周边现有和曾经出现的植物、昆虫、鸟类、小型哺乳动物、两栖爬行动物、土壤和地表节肢动物、土壤微生物等生物类群进行物种、种群或群落调查,旨在掌握场地内现有的生物资源和潜在的生物多样性分布水平。

2.2 生态环境潜能分析与目标物种识别

在掌握生物与非生物因子的基础上,对场地的生物分布潜能、种间关系潜能、群落演替潜能和物种迁移潜能等进行综合分析。其中,生物分布潜能分析是指依据生物多样性本底数据,结合场地生境条件,判断主要生物物种、种群及群落的潜在分布和生境适宜性。种间关系潜能分析是指依据捕食关系、竞争关系、共生关系等生物间两两互作关系,判断场地条件下各类生物间的互作关系。群落演替潜能分析是指依据既有生态系统演替规律,判断生态系统随时间变化的路径、速度及最终可能的状态。物种迁移潜能分析是指依据植物或动物的生物学或行为学特征,判断植物散播和动物移动的可能性,可用于评价栖息地之间的连通性。
依据场地生态环境潜能评价结果,判别目标恢复物种或种群[21]。目标物种或种群多为处于食物链断裂点的生物种群,如天敌昆虫和食虫鸟类;也有环境敏感性物种,如水环境敏感性生物类群蜻蜓、蜉蝣等,腐殖质敏感性生物类群土壤节肢动物等。尽管依据群落演替潜能可预测未来生物群落状态,但也可依据后期动态监测结果进行目标物种与种群的调整。

2.3 生境修复与景观营造

依据目标物种或种群的栖息和取食偏好,对场地进行生境修复,包括营造生存、繁殖、躲避等栖息场所,供给食源与水源等。与此同时,应将生境修复措施与景观设计相融合,协同实现场地的生态保护、科普教育及游憩体验等多重功能。

2.4 动态监测与生境管理

为了实现生境花园的可持续发展和动态调控,各生物类群尤其是植物群落以及目标恢复物种或种群的动态监测极为重要,一方面,动态监测数据可用以实时掌握生物多样性动态发生规律,科学评价生物多样性保育效果;另一方面,生境管理以动态监测结果为基础,是判断是否介入人工调控、施用何种人工调控手段以及何种程度人工调控措施的科学依据。在生境管理方面,以遵循自然过程为前提,一方面,以微生态系统“自维系”为目标,最大限度地减少人工干扰,如暗夜保护、噪声隔离、自生植物保护等;另一方面,依据动态监测结果,科学选择与实施人工调控措施,诸如必要时去除、刈割恶性杂草等。除此以外,以城市居民“共建共治共享”为目标,对于居住区附属绿地中的生境花园,倡导城市居民参与到生境花园的维护管理与监测中。

3 生境花园建设实践

截至2024年底,在花园城市建设推进下,北京相继在北京园林绿化科学研究院、北辰中心花园、莲花池公园、温榆河公园、密云金叵罗村、将府公园、东小口森林公园、回龙观地区龙腾苑三区附属绿地等多处城乡绿色空间开展“生境花园”试点建设,涵盖附属绿地、公园绿地、区域绿地3类城市绿地和1类乡村绿地。其中,北京市园林绿化科学研究院的生境花园是北京建设时间最早、动态监测数据最完整的代表性项目,目前已成为花园城市背景下生境花园的建设模板,对其进行系统性解析有助于推动花园城市开展规模化、规范化生境花园建设。

3.1 场地概况

北京市园林绿化科学研究院生境花园属单位附属绿地,建于2019年4月,以天敌昆虫保育为特色,并兼顾景观功能(图2)。场地占地面积0.2 hm2,位于北京市园林绿化科学研究院望京院区南部,地处附属绿地与院外花家地公园交会点,场地原为建筑垃圾填埋区域,上层覆土80~120 cm,具有办公环境改善和景观美化的功能需求,同时也是所在区域生态网络的薄弱点,建设后将具有城市绿地网络“生态踏脚石”的潜力。基于“生态踏脚石”和景观美化的双重要求,项目建设目标定位为“生境花园”。
图2 生境花园区位图(2-1)和卫星图(2-2)

Fig. 2 Location map (2-1) and satellite image (2-2) of the Habitat Garden of Beijing Academy of Forestry and Landscape Architecture

3.2 生态环境潜能分析与目标种群识别

3.2.1 生物分布潜能

生境花园场地位于北京中心城区,基址土壤、小气候等非生物环境与北京城区相似,北京浅山区野生植物、园林绿化常用植物、部分驯化成功的高海拔植物以及城市环境中常见的自生植物均可在此正常生长。场地原植物群落为“乔-草”结构,乔木层以油松(Pinus tabuliformis)为优势种,另有少量落叶树,包括旱柳(Salix matsudana)、银杏(Ginkgo biloba)、蒙椴(Tilia mongolica)等;草本层以涝峪薹草(Carex giraldiana)为优势种,少有自生植物,偶见附地菜 (Trigonotis peduncularis)、旋覆花(Inula japonica)、中华苦荬菜(Ixeris chinensis)、狗尾草(Setaria viridis)等。其中,油松在营建前已受到油松长大蚜(Eulachnus pinitabulaeformis)与马尾松长足大蚜(Cinara formosana)侵害,且后者已爆发成灾。依据北京市园林绿化科学研究院院内鸟类多样性记录,约有200余种鸟类可能会在此停留。

3.2.2 种间关系潜能

生境花园场地内乔木层以油松为单一优势种,生物种间关系与食物链结构相对简单,分析植物地上部可能发生的“植物—植食性昆虫—天敌(昆虫、鸟类)”种间互作关系(图3表1),可以看出,以油松为寄主的植食性昆虫包括油松长大蚜、马尾松长足大蚜、日本单蜕盾蚧、松果梢斑螟以及微红梢斑螟。前二者均为蚜科(Aphididae)刺吸类害虫,是油松的主要虫害,其优势天敌包括食蚜蝇、草蛉、瓢虫和蚜茧蜂,作为“植物—植食性昆虫—天敌昆虫”食物链中的高级消费者,各类天敌昆虫除以有害生物为捕食或寄生对象外,还具有在蜜粉源植物上补充营养的行为,并以此提升天敌昆虫的繁育、生殖和生存能力[24-27]。同时,不同天敌补充营养的偏好不同,如食蚜蝇嗜食蒙椴(Tilia mongolica)、山茱萸(Cornus officinalis)、蜡梅(Chimononthus praecox)等,草蛉嗜食蒙椴、丰花型现代月季(Rosa hybrida)等。松果梢斑螟与微红梢斑螟为蛀食类害虫,对于油松的感染概率为中等(原场地改造前未发现其为害),其天敌既包括姬蜂、茧蜂等寄生性天敌昆虫,也包括鸣禽、陆禽等部分杂食性鸟类(图3),姬蜂等寄生性天敌对蜜粉源植物亦具有补充营养需求,天敌鸟类对忍冬属、苹果属食源植物具有取食需求,场地周边金银木(Lonicera maackii)、西府海棠(Malus × micromalus)即可满足。此外,场地内草本层以涝峪薹草为绝对优势种,少见病虫害发生,其种子可被部分杂食性鸟类(如雀形目、鸽形目)取食。
图3 “油松—植食性昆虫—天敌(昆虫、鸟类)—食源植物”互作关系

Fig. 3 Interaction among “Pinus tabuliformis − phytophagous insects − natural enemies (insects and birds) − foodborne plants”

表1 “油松—植食性昆虫—天敌昆虫”互作关系

Tab. 1 Interaction among “Pinus tabuliformis − phytophagous insects − natural enemy insects”

编号 植食性昆虫 天敌
中文名 拉丁学名 危害概率等级 危害等级 类别
1 马尾松长足大蚜 Cinara formosana 刺吸类 捕食性食蚜蝇、草蛉、食蚜瓢虫、蚜茧蜂、粉蛉、褐蛉、蚜小蜂、
花蝽、齿爪盲蝽、食蚜瘿蚊
2 油松长大蚜 Eulachnus pinitabulaeformis
3 日本单蜕盾蚧 Fiorinia japonica 食蚧瓢虫、方头甲、草蛉、褐蛉、粉蛉、花蝽、齿爪盲蝽、蚜小蜂
4 松果梢斑螟 Dioryctria mendacella 蛀食类 姬蜂、茧蜂、缘腹细蜂、赤眼蜂、鸣禽、陆禽、攀禽
5 微红梢斑螟 Dioryctria rubella

3.2.3 群落演替潜能

单一植物物种造成昆虫群落植食者与天敌种群失衡,是场地微生态系统的突出问题。依据场地改造前养护管理方案与北京城市绿地虫害发生规律,在维持现状的情况下,油松长大蚜与马尾松长足大蚜发生高峰为每年4—6月和9—10月,高峰发生时段内每2周施用1次农药,施药后各类昆虫种群数量急剧下降,一周后缓慢恢复,周而复始,有害生物防控持续依赖于化学农药,鸟类等其他生物类群的生存环境亦长期处于污染之中。
若采用生境修复措施,需要优先考虑生态系统食物链断裂点进行修复,该场地即为由单一植物物种造成的单一植食性昆虫种群爆发成灾,加之天敌昆虫生境缺失和农药施用等人为干扰,造成了天敌昆虫种群缺失和食物链断裂。因此,本研究聚焦天敌昆虫的生境修复,重点围绕食源供给、栖息地营造和人为干扰控制展开。1)食源供给包含两部分:一是植食性昆虫(主要为场地内的蚜科昆虫),二是天敌昆虫用于补充营养的蜜粉源植物。在蜜粉源植物的选择上,依据天敌昆虫的取食偏好进行花期连续种类的选择与配置,选择早春(4月前,蚜科昆虫未出蛰时)、仲夏(7—8月,蚜科昆虫种群崩溃期间)、晚秋(11月后,天敌昆虫进入越冬阶段前)这3个时段开花的蜜粉源植物。2)栖息地营造,依据各类天敌昆虫的栖息偏好,保护和设置天敌昆虫的生存、躲避、繁殖、越夏以及越冬场所。3)人为干扰控制主要包括农药滥用控制、人工光源控制、自生植物保护和植物凋落物保护等方面。

3.2.4 目标种群识别

基于前述生态潜能分析,场地植物群落结构单一,蚜科等植食性昆虫种群爆发成灾,植物群落长期高频率施用化学农药,致使微生态系统陷入“打药越多,有害生物发生越严重,有害生物发生越严重,打药越多”的恶性循环之中。与此同时,频繁施用化学农药引起的环境污染,结构简单、物种单一的植物群落生境条件等综合要素造成了天敌昆虫种群丰富度和数量长期处于低水平状态,天敌昆虫成为该场地微生态系统食物链的断裂点。天敌昆虫是调节和控制有害生物种群数量的最重要自然因子,在控制有害生物和维护生态系统平衡的过程中,天敌的物种组成、多样性以及种群数量等均起着关键作用,以此识别为场地的目标恢复种群。

3.3 生境修复

在掌握天敌昆虫取食、栖息偏好的基础上进行生境修复,包括食源供给和栖息场所营建2个方面。

3.3.1 食源供给

天敌昆虫食源来自寄主和蜜粉源植物2个方面。前者为场地现有植物产生的有害生物,后者则需要进行人工配置。基于笔者团队已有研究结果[28-30],通过应用早春开花的蜡梅(Chimonanthus praecox)、山茱萸,盛夏开花的蒙椴、华北珍珠梅(Sorbaria kirilowii)、荆条(Vitex negundo var. heterophylla),晚秋开花的甘菊(Chrysanthemum lavandulifolium),以及其他时段开花的金钟花(Forsythia viridissima)、荆芥(Nepeta cataria)等可为天敌昆虫提供春、夏、秋连续补充营养的蜜粉源植物(表2)。需要特别提出的是,北方地区蜜粉源植物的配置需要重点考虑早春、盛夏和晚秋花期植物。
表2 蜜粉源植物与天敌昆虫取食偏好

Tab. 2 Feeding preferences of natural enemy insects to insectary plants

编号 蜜粉源植物种类 花期 天敌昆虫类别
中文名 拉丁学名 食蚜蝇 瓢虫 草蛉 蚜茧蜂
  注:●表示天敌昆虫嗜食强度为“非常强”;○表示嗜食强度为“较强”;--示诱集强度为“较弱”。
1 蜡梅 Chimononthus praecox 3月 -- -- --
2 山茱萸 Cornus officinalis 3月 --
3 金钟花 Forsythia viridissima 3—4月 -- --
4 荆芥 Nepeta cataria 4—11月 -- --
5 现代月季 Rosa hybrida 4—9月 -- --
6 刺芹 Eryngium foetidum 4—9月 --
7 野蔷薇 Rosa multiflora 5—7月 -- -- --
8 白车轴草 Trifolium repens 5—10月 -- -- --
9 龙牙草 Agrimonia pilosa 5—11月 -- -- --
10 扶芳藤 Euonymus fortunei 6—7月 --
11 蒙椴 Tilia mongolica 6—7月 --
12 华北珍珠梅 Sorbaria kirilowii 6—7月 -- --
13 荆条 Vitex negundo var. heterophylla 6—8月 -- --
14 地榆 Sanguisorba officinalis 6—8月 -- -- --
15 Achillea millefolium 6—9月 -- --
16 薄荷 Mentha canadensis 7—9月 -- -- --
17 长药八宝 Hylotelephium spectabile 7—10月 -- -- --
18 藁本 Conioselinum anthriscoides 8—9月 --
19 甘菊 Chrysanthemum lavandulifolium 9—11月 -- -- --

3.3.2 栖息场所营建

栖息场所营建对于天敌昆虫保育也极为重要。一方面,需要在场地中保留、保护和营建天敌昆虫的自然栖息场所;另一方面,需要依据天敌栖息偏好科学安置人工越冬场所。
1)自然栖息场所营建。不同的天敌类群喜欢在不同的小气候环境中栖息,自然与多样化环境的营造必不可少。为营造多样的天敌昆虫自然栖息场所,研究团队在场地采取了以下3项措施。首先,为形成多样化、高密度的天敌栖息环境,围墙和栅栏等场地边界进行了多孔隙垂直绿化,种植有地锦(Parthenocissus tricuspidata)、五叶地锦 (P. quinquefolia)、扶芳藤(Euonymus fortunei)、野蔷薇(Rosa multiflora)、常春藤(Hedera nepalensis var. sinensis)等藤本植物;其次,保留和保护场地内植物凋落物,并有效应用了植物有机覆盖物,为地表和土壤天敌昆虫提供栖息场所;最后,因地制宜地种植了天敌昆虫栖息植物,诸如为给草蛉等天敌昆虫提供越夏、越冬场所,在场地内种植元宝枫(Acer truncatum)、栾树(Koelreuteria paniculata)。
2)天敌人工越冬场所安置。依据天敌昆虫越冬场所偏好[30],在场地内半阴树冠下设置天敌人工越冬场所。采用木材构建框架,一面用木板封闭,另一面向阳开放,内部划分出多个彼此隔离的区域,为防止雨雪渗入,框架上部需设有“人”字形顶盖。此外,在各隔离区域内填充不同自然材料,如当年新鲜的栾树果实是草蛉的优选越冬场所,竹管、钻孔木段是独栖蜂的天然庇护所,步甲等地表天敌昆虫多聚集于底层枯枝落叶堆。

3.4 动态监测与生境管理

在场地维护过程中,对植物、植食性昆虫、天敌昆虫以及其他生物类群进行动态监测,并依据动态监测结果实施遵从自然规律的生境管理。截至2025年6月,场地植物群落中,自生植物丰富(物种数量已达90余种),葎草(Humulus scandens)、藜(Chenopodium album)、灰绿藜(C. glaucum)、反枝苋(Amaranthus retroflexus)等恶性杂草亦时有发生;昆虫群落中,植食性昆虫以蚜科等刺吸类为主,种群数量整体偏低,偶见食 叶类,天敌昆虫种类丰富,包括瓢虫科 (Coccinellidae)、姬蜂科(Ichneumonidae)、茧蜂科(Braconidae)、食蚜蝇科(Syrphidae)、草蛉科(Chrysopidae)、胡蜂科(Vespidae)、方头甲科(Cybocephalidae)、花蝽科 (Anthocoridae)、褐蛉科(Hemerobiidae)、寄蝇科(Tachinidae)、蛛蜂科(Pompilidae)、食虫虻科(Asilidae)、粉蛉科(Coniopterygidae)、猎蝽科(Reduviidae)、虎甲科(Cicindelidae)、步甲科(Carabidae)、蟌科(Coenagrionidae)、螽蟖科(Tettigoniidae)、缘腹细蜂科 (Scelionidae)19科,对各类植食性昆虫具有较好的种群控制作用。依据动态监测数据,场地植物群落采取了自生植物保护、植物凋落物保留以及恶性杂草清除等措施;昆虫群落中因天敌昆虫对植食性昆虫发挥了较好的种群控制作用,因此6年中未采取包括施药在内的人工手段进行植食性昆虫防治。

3.5 生境花园实践效果

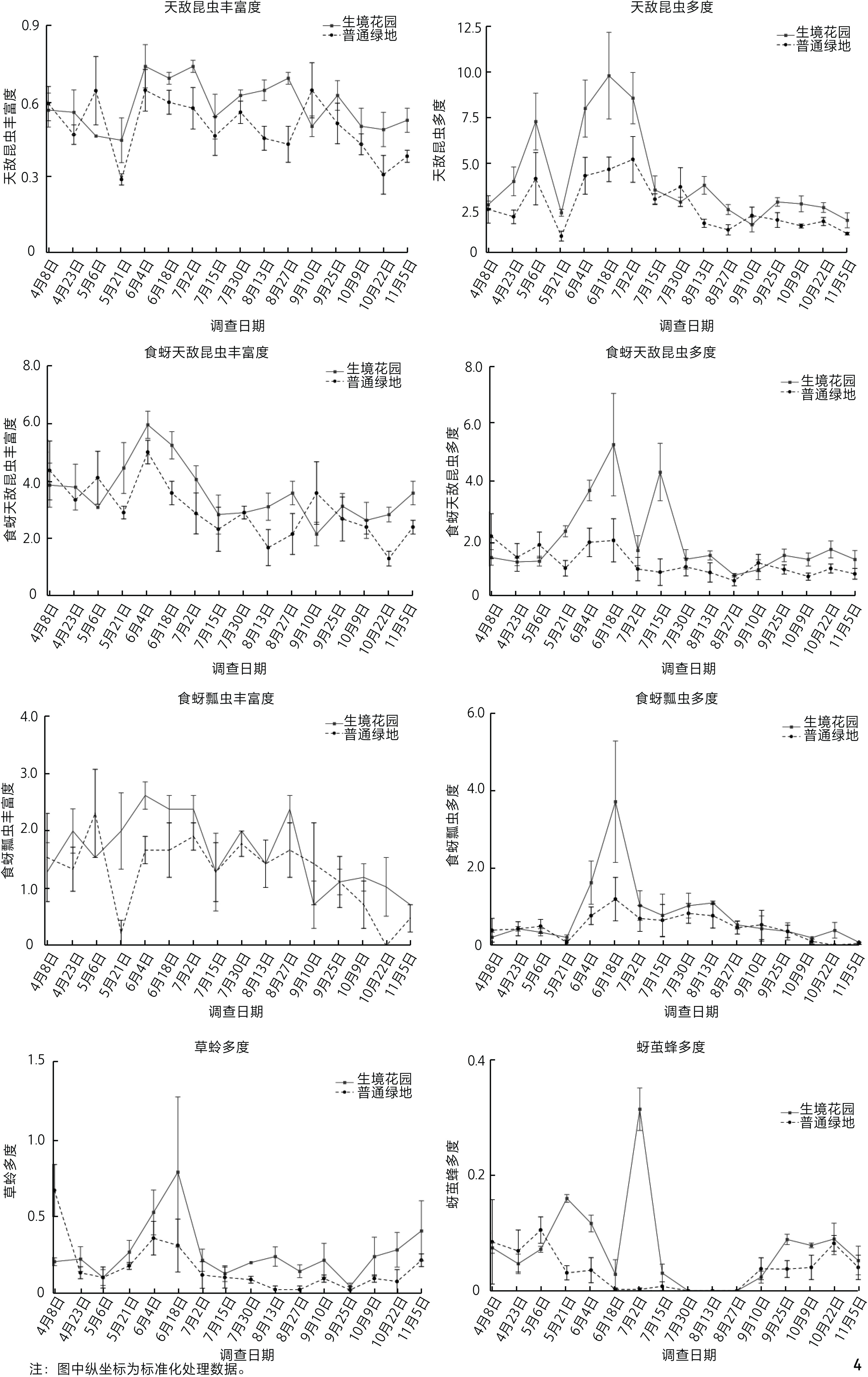
生境花园竣工一年后(即2020年全年),研究团队进行了生境花园与普通绿地(对照组)内植食性昆虫及其天敌昆虫的全年动态监测(图4)。其中,普通绿地同样位于北京市园林绿化科学研究院望京院区内,群落建群种为油松,这与生境花园一致,在进行监测的一年内未进行人工干扰。监测结果显示,生境花园内天敌昆虫、食蚜天敌以及食蚜瓢虫的丰富度与多度,草蛉的多度均显著高于普通绿地,普通绿地中平均每枝条上的虫口密度为生境花园虫口密度的3.91倍,极显著高于生境花园。
图4 北京市园林绿化科学研究院生境花园与普通型绿地天敌昆虫丰富度与多度比较

Fig. 4 Comparison of the richness and abundance of natural enemy insects in Habitat Garden of Beijing Academy of Forestry and Landscape Architecture and ordinary green spaces

截至2025年7月,生境花园已竣工6年有余,食蚜蝇、瓢虫、蚜茧蜂、草蛉、褐蛉、粉蛉、小花蝽等天敌昆虫得到有效保护,在完成场地尺度下食物链修复、营养关系修补的前提下,生物多样性亦得到极大提升,植物种类由30余种提高至130余种,鸟类多样性显著提升,东北刺猬(Erinaceus amurensis)、黄鼬(Mustela sibirica)等哺乳类动物亦在此建穴栖息。

4 讨论与结论

4.1 讨论

1)全过程多领域共同参与是生境花园建设的前提。区别于传统城市绿地建设以景观设计单一专业为主导的工作模式,生境花园建设通过多学科交叉融合,采用全周期、多维度、系统化的跨学科协作方式开展工作。其中,生境花园选址阶段需要景观生态学、环境科学、风景园林学等多学科理论支撑,以确保选址的生态适宜性与社会可行性;基址及其周边各类生物与非生物因子的调查以及由此衍生的生态环境潜能评价阶段需要以生态学团队为主导,并统筹协调土壤学、水文学、植被生态学、动物学、植物保护学、微生物学等各领域工作团队的共同参与,才能为目标物种的识别、保护及其生境修复提供科学依据;生境修复与景观营造阶段则应以景观设计师为主导,在各领域团队的共同参与下,将场地功能区划、生境恢复以及景观营造进行整合与优化,并以此实现场地生态效益与社会效益的最大化。
2)生态环境潜能评价是生境花园建设的关键阶段。自然生境是城市生境修复的理想状态,但实际操作中大多数不能够参照原型实现,生态环境潜能评价就成为判断城市生境修复可实施性的重要科学手段。各类生物在生态系统中通过营养关系相互作用、相互依存和协同进化,稳定的多层级营养关系是维持生态系统平衡、保护生物多样性的重要基础[31-32],系统分析场地尺度下以营养关系为主,共生、竞争等其他关系为辅的生物种间关系,客观评价种间关系潜能,是识别场地微生态系统待恢复目标物种的前提。当前阶段,在以生物多样性支持为核心功能的生境花园建设和近自然生境恢复项目中,分布潜能评价应用广泛,种间关系潜能评价近年来虽得到重视,但尚停留于“植物—植物”“食源植物—鸟类”等简单竞争关系或食物链结构分析中,缺乏多层级营养关系,特别是生态系统食物链底端植物、植食者昆虫、天敌(昆虫或鸟类)的系统分析。基于此,一方面未来应加强城市生态系统复杂生物营养关系以及其他互作关系的相关基础研究;另一方面应强调科学研究与实践相结合,以科学指导实践。
3)生态监测与遵从自然的生境管理是生境花园可持续发展的基本保障。农药滥用、人造光源等人工干扰对生物多样性造成负效应[33-34],而科学合理、顺应自然的人工调控不仅有益于生物多样性保护,还能缩短生物群落演替历程。在生境花园维护过程中,一方面,需要对场地各生物类群进行动态监测,充分掌握生态系统所处阶段和存在问题;另一方面,需要根据动态监测结果在关键节点实施必要的人工调控措施,如采用清除或刈割手段防止恶性杂草或外来入侵植物干扰种间竞争,进而影响生态系统的进展演替;或者采用绿色防控措施应对毁灭性有害生物暴发等。花园城市建设倡导“人与自然和谐共生”,尽管近年来城市近自然生境倡导荒野化管理,但需要特别注意的是,荒野化管理并非一味任其自由发展,还需要结合人居环境健康、安全以及顺应生态系统自然演替规律等综合要素进行分析与评价,从而选择适宜的人工调控措施。此外,结合生境花园定位与功能,还应充分调动城市居民积极性,倡导以志愿者或民间组织等形式开展生境花园的动态监测和日常维护。
4)食物链结构修复是恢复生物多样性的基础途径。天敌昆虫种群数量降低造成的食物链破损或断裂是当前城市生态系统的普遍问题,本研究团队所采用的天敌昆虫保育方法具有广泛普适性。然而,不同场地生物因素与非生物因素各不相同,尤其是植物群落物种组成与结构不同,由此产生的“植物—植食性昆虫—天敌昆虫”复杂营养关系亦不同,因此,在生境花园建设过程中,以昆虫学、植物保护学专业团队为主导的生态环境潜能分析必不可少。

4.2 结论

结合科研实践,本研究厘清了花园城市背景下生境花园的必要实施路径,即在全过程多领域共同参与前提下,生境花园建设包括场地选址与调查、生态环境潜能分析与目标物种识别、生境修复与景观营造以及动态监测与生境管理等4个步骤。其中,场地选址依赖于生态适宜性与土地利用可行性;生态环境潜能分析是生境花园建设的关键阶段,涉及生物分布潜能、种间关系潜能、群落演替潜能以及物种迁移潜能;目标种识别需通过生态环境潜能评价的核心参数确定;生境修复与景观营造需基于目标物种生境需求特征和场地复合功能定位进行设计与建设;动态监测与遵从自然规律的生境管理是生境花园可持续发展的基本保障。在花园城市背景下,生境花园既能为城市植物、动物、微生物提供可持续的栖息环境,又具有景观美化、休闲游憩、交流互动、公众教育、康养疗愈或人居环境改善等协同功能,生境花园以生物多样性支持为核心功能,社会服务功能或其他生态系统服务功能为协同功能,既是实现花园城市“人与自然和谐共生”核心目标的实践载体,也是城市生物多样性保护的创新模式。

图2-2来源于2024年星图地球数据云;其余图表均由作者绘制。

[1]
张贇, 张银龙, 吴永波, 等. 自然度评价应用于城市生物多样性保护的研究进展[J]. 生态与农村环境学报, 2022, 38(6): 681-688.

ZHANG Y, ZHANG Y L, WU Y B, et al. Research Progress in Naturalness Assessment of Urban Biodiversity Conservation[J]. Journal of Ecology and Rural Environment, 2022, 38(6): 681-688.

[2]
MCKINNEY M L. Urbanization as a Major Cause of Biotic Homogenization[J]. Biological Conservation, 2006, 127(3): 247-260.

DOI

[3]
LUCK G W, SMALLBONE L T. The Impact of Urbanization on Taxonomic and Functional Similarity Among Bird Communities[J]. Journal of Biogeography, 2011, 38(5): 894-906.

DOI

[4]
CANEDOLI C, MANENTI R, PADOA-SCHIOPPA E. Birds Biodiversity in Urban and Periurban Forests: Environmental Determinants at Local and Landscape Scales[J]. Urban Ecosystems, 2018, 21(4): 779-793.

DOI

[5]
FERENC M, SEDLÁČEK O, FUCHS R, et al. Geographic Trends in Range Sizes Explain Patterns in Bird Responses to Urbanization in Europe[J]. European Journal of Ecology, 2019, 5(2): 16-29.

DOI

[6]
森本幸裕. 日本城市生境营造前沿性案例研究[J]. 风景园林, 2020, 27(4): 25-35.

YUKIHIRO M. Case Studies on Pioneering Urban Habitat Projects in Japan[J]. Landscape Architecture, 2020, 27(4): 25-35.

[7]
MIYAWAKI A, GOLLEY F B. Forest Reconstruction as Ecological Engineering[J]. Ecological Engineering, 1993, 2(4): 333-345.

DOI

[8]
林良任, 陈莉娜, 福铭. 增进城市地区生物多样性: 以新加坡模式为例[J]. 风景园林, 2019, 26(8): 25-34.

LIM L J, CHAN L, LOO A H B. Enhancing Biodiversity in Urban Areas: The Singapore Model[J]. Landscape Architecture, 2019, 26(8): 25-34.

[9]
任斌斌, 王建红, 王月宾, 等. 不同植物群落生境下土壤节肢动物群落特征: 以横滨国立大学校园绿地为例[J]. 中国园林, 2024, 40(10): 113-118.

REN B B, WANG J H, WANG Y B, et al. Characteristics of the Soil Arthropod Community at Different Plant Communities: A Case Study of Campus Green Spaces at Yokohama National University[J]. Chinese Landscape Architecture, 2024, 40(10): 113-118.

[10]
SEXTON A N, LAWHORN K A. Best Practices for Designing Resilient Urban Ecosystems Through Native Species Restoration[J]. Urban Forestry & Urban Greening, 2025, 104: 128657.

[11]
DESCHAMPS-COTTIN M, JACEK G, SEGUINEL L, et al. A 12-Year Experimental Design to Test the Recovery of Butterfly Biodiversity in an Urban Ecosystem: Lessons from the Parc Urbain des Papillons[J]. Insects, 2023, 14(10): 780

DOI

[12]
苏雪痕. 鼎湖山植物群落对广州园林中植物造景的启示[J]. 北京林学院学报, 1983, 5(3): 46-54.

SU X H. Plant Communities of Dinghushan as Sources of Reference for Landscape Gardening in Guang Zhou[J]. Journal of Beijing Forestry University, 1983, 5(3): 46-54.

[13]
达良俊, 杨永川, 陈鸣. 生态型绿化法在上海“近自然” 群落建设中的应用[J]. 中国园林, 2004, 20(3): 38-40.

DOI

DA L J, YANG Y C, CHEN M. The Method of Ecological Greening and Its Application in the Construction of the Approaching Nature Plant Community in Shanghai[J]. Chinese Landscape Architecture, 2004, 20(3): 38-40.

DOI

[14]
任斌斌, 李树华. 模拟延安地区自然群落的植物景观设计研究[J]. 中国园林, 2010, 26(5): 87-90.

DOI

REN B B, LI S H. Research on Plant Landscape Design by Simulating Natural Plant Communities of Yan’an[J]. Chinese Landscape Architecture, 2010, 26(5): 87-90.

DOI

[15]
苏荣菲, 陈睿山, 郭晓娜. 城市社区更新中生物多样性的保护策略: 以上海市长宁区生境花园为例[J]. 生物多样性, 2023, 31(7): 194-207.

SU R F, CHEN R S, GUO X N. Conservation Strategies for Biodiversity in Urban Community Renewal: A Case Study of Habitat Garden in Changning District, Shanghai[J]. Biodiversity Science, 2023, 31(7): 194-207.

[16]
苏荣菲, 陈睿山, 俞霖琳, 等. 基于红外相机调查的上海市长宁区社区生境花园生物多样性[J]. 生物多样性, 2024, 32(8): 177-192.

SU R F, CHEN R S, YU L L, et al. Biodiversity in Community Habitat Gardens in Changning District, Shanghai Based on Camera Trapping[J]. Biodiversity Science, 2024, 32(8): 177-192.

[17]
卢晓强, 董姗姗, 马月, 等. 前沿技术在生物多样性研究中的应用现状、挑战与展望[J]. 生物多样性, 2025, 33(4): 196-204.

LU X Q, DONG S S, MA Y, et al. Current Status, Challenges, and Prospects of Frontier Technologies in Biodiversity Conservation Applications[J]. Biodiversity Science, 2025, 33(4): 196-204.

[18]
胡原, 王其, 曾维忠. 森林碳汇与生物多样性保护协同: 理论逻辑与提升路径[J]. 生态学报, 2025, 45(10): 5053-5063.

HU Y, WANG Q, ZENG W Z. Synergy Between Forest Carbon Sink and Biodiversity Conservation: Theoretical Logic and Improvement Paths[J]. Acta Ecologica Sinica, 2025, 45(10): 5053-5063.

[19]
张璐璐, 朱丹, 宋德萱. 生态修复视角下高密度城市老旧住区更新路径: 上海生境花园营造的经验与启示[J]. 住宅科技, 2023, 43(2): 1 6, 54

DOI

ZHANG L L, ZHU D, SONG D X. A Probe into the Renewal Path of High-Density Urban Old Residential Area from the Perspective of Ecological Restoration: The Experience and Enlightenment from Shanghai Habitat Garden[J]. Housing Science, 2023, 43(2): 1 6, 54

DOI

[20]
BAUER N. The California Wildlife Habitat Garden: How to Attract Bees, Butterflies, Birds, and Other Animals[M]. California: University of California Press, 2012.

[21]
龟山章, 仓本宣, 日置佳之.自然再生生态工程学研究法[M].桂萍, 詹雪红, 孔彦鸿, 译.北京: 中国建筑工业出版社, 2011: 15-17.

KAMEYAMA A, KURAMOTO N, HICHIKI Y. Natural Regeneration: Research Method of Ecological Engineering[M]. GUI P, ZHAN X H, KONG Y H, translated. Beijing: China Architecture & Building Press, 2011: 15-17.

[22]
北京市人民政府. 北京市人民政府关于印发《北京花园城市专项规划(2023年—2035年)》的通知[J]. 北京市人民政府公报, 2024(27): 3-91.

Beijing Municipal People’s Government. Notice on Issuing the “Beijing Garden City Special Plan (2023−2035)”[J]. Beijing Municipal Government Gazette, 2024(27): 3-91.

[23]
王金洲, 徐靖. “基于自然的解决方案” 应对生物多样性丧失和气候变化: 进展、挑战和建议[J]. 生物多样性, 2023, 31(2): 231-236.

WANG J Z, XU J. Nature-Based Solutions for Addressing Biodiversity Loss and Climate Change: Progress, Challenges and Suggestions[J]. Biodiversity Science, 2023, 31(2): 231-236.

[24]
THORPE W H, CAUDLE H B. A Study of the Olfactory Responses of Insect Parasites to the Food Plant of Their Host[J]. Parasitology, 1938, 30(4): 523-528.

DOI

[25]
CHARLES-TOLLERUP J J. Resource Provisioning as a Habitat Manipulation Tactic to Enhance the Aphid Parasitoid, Aphidius Colemani Viereck (Hymenoptera: Braconidae: Aphidiinae), and the Plant-Mediated Effects of a Systemic Insecticide, Imidacloprid[D]. Riverside: University of California, Riverside, 2013.

[26]
BALZAN M V, WÄCKERS F L. Flowers to Selectively Enhance the Fitness of a Host-Feeding Parasitoid: Adult Feeding by Tuta absoluta and Its Parasitoid Necremnus artynes[J]. Biological Control, 2013, 67(1): 21-31.

DOI

[27]
WONG S K, FRANK S D. Pollen Increases Fitness and Abundance of Orius insidiosus Say (Heteroptera: Anthocoridae) on Banker Plants[J]. Biological Control, 2013, 64(1): 45-50.

DOI

[28]
任斌斌, 王建红, 李广, 等. 基于保育式生物防治的蜜粉源植物调查与群落构建研究[J]. 中国园林, 2018, 34(1): 108-112.

DOI

REN B B, WANG J H, LI G, et al. Floral Resource Plant Investigation and Community Construction Based on Conservation Biological Control[J]. Chinese Landscape Architecture, 2018, 34(1): 108-112.

DOI

[29]
王建红, 仇兰芬, 车少臣, 等. 蜜粉源植物对天敌昆虫的作用及其在生物防治中的应用[J]. 应用昆虫学报, 2015, 52(2): 289-299.

DOI

WANG J H, QIU L F, CHE S C, et al. The Effects of Floral Resource Plants on Natural Enemy Insects and Implications for Biological Control[J]. Chinese Journal of Applied Entomology, 2015, 52(2): 289-299.

DOI

[30]
绿地保育式生物防治技术规程: DB11/T 1733—2020[S].北京: 北京市市场监督管理局, 2020

Greenland Conservation Biological Control Technical Regulations: DB11/T 1733−2020[S]. Beijing: Beijing Municipal Administration for Market Regulation, 2020.

[31]
ADAMS B, YUSUF A A, TORTO B, et al. Non-Host Plant Odors Influence the Tritrophic Interaction Between Tomato, Its Foliar Herbivore Tuta Absoluta and Mirid Predator Nesidiocoris Tenuis[J]. Frontiers in Plant Science, 2023, 14: 1014865.

DOI

[32]
M K S, KHAJURIA M, L S K V, et al. The Role of Herbivore-Induced Plant Volatiles in Tri-Trophic Interactions and Pest Management[J]. Journal of Advances in Biology & Biotechnology, 2024, 27(11): 763-770.

[33]
王琦, 任斌斌, 王月宾, 等. 北京城市绿地节肢动物多样性与微环境因子关系[J]. 华中农业大学学报, 2024, 43(6): 161-170.

WANG Q, REN B B, WANG Y B, et al. Relationship Between Diversity of Arthropods and Microenvironmental Factors in Urban Green Spaces of Beijing[J]. Journal of Huazhong Agricultural University, 2024, 43(6): 161-170.

[34]
KEHOE R, VAN VEEN F. Longer Daylengths Associated with Poleward Range Shifts Accelerate Aphid Extinction by Parasitoid Wasps[J]. Ecological Entomology, 2022, 47(3): 475-480.

DOI

Outlines

/