Research

Simulation and Resilience Evolution of the Composite System of Historical Legacy Mines (Mine Areas) in Sanmenxia Section of the Yellow River Basin

  • HUANG Yuming , 1 ,
  • ZHAI Hongtao , 2 ,
  • RAO Zhenxing , 2 ,
  • ZHANG Yang , 3
Expand
  • 1. School of Management Science and Engineering, Henan University of Economics and Law
  • 2. The Fourth Geological Exploration Institute of Henan Province Co., Ltd.
  • 3. School of Agriculture and Rural Development, Henan University of Economics and Law

HUANG Yuming, Ph.D., is a lecturer in the School of Management Science and Engineering, Henan University of Economics and Law, and a postdoctoral researcher in the Postdoctoral Research Station on Geography, Henan University. Her research focuses on resource environment and economy, and mine ecological restoration

ZHAI Hongtao, is an engineer in The Fourth Geological Exploration Institute of Henan Province Co., Ltd. His research focuses on hydrogeology, engineering ecology and environmental ecology, and ecological environment restoration

RAO Zhenxing, Master, is a senior engineer in The Fourth Geological Exploration Institute of Henan Province Co., Ltd. His research focuses on hydrogeology, engineering ecology and environmental ecology, and ecological environment restoration

ZHANG Yang, Ph.D., is a professor and doctoral supervisor in the School of Agriculture and Rural Development, Henan University of Economics and Law. His research focuses on land resource management, and ecological economy

Received date: 2024-11-27

  Revised date: 2025-07-05

  Online published: 2025-12-09

Copyright

Copyright reserved © 2025.

Abstract

[Objective]

The implementation of the strategy for ecological conservation and high-quality development in the Yellow River Basin signifies a new phase of “systematic governance” in China’s ecological civilization efforts. Concurrently, numerous historical legacy issues make mine restoration an urgent priority. Building resilience, as the primary approach to addressing ecological risks and fostering inclusive growth, serves as an effective means to assess and resolve the complex challenges associated with the restoration of historical legacy mines (mine areas). This research aims to bridge this gap by investigating the relationship between ecological restoration strategies and system resilience under both acute and chronic disturbance, thereby enhancing decision-making for ecological restoration in key areas of the Yellow River Basin and to promote harmonious coexistence between humans and the Earth.

[Methods]

This research uses system dynamics modelling to establish casual relationships between historical mine restoration and the individual subsystems of society, economy, and ecology. By analyzing sample data from Sanmenxia City from 2015 to 2022, including survey and statistical data, the research quantitatively evaluates the impact of three restoration modes — ecological reconstruction, assisted regeneration, and natural recovery — on the resilience of ecological, economic, and social subsystems. Based on relevant research and policy regulations, two scenarios — acute shock and chronic shock — are developed to identify optimal strategies for enhancing resilience in each subsystem. In addition, a policy intervention strategy — balanced synergistic development — is analyzed to assess its impact on subsystem resilience.

[Results]

1) ‌‌Restoration mode efficacy: Under acute and chronic disturbances, ecological reconstruction has the most significant positive impact on the resilience of all three subsystems (ecological, economic, and social subsystems), followed by assisted regeneration, while natural recovery has the weakest impact. It is believed that the greater the intensity of intervention, the greater the positive impact on system resilience. 2) ‌Policy intervention outcomes: Under chronic shock conditions, the strategy ranking from strongest to weakest ecological response capacity is balanced coordination > ecological reconstruction > no intervention. Under acute shock conditions, ecological resilience levels gradually decrease across the three strategies of ecological reconstruction, balanced coordination, and no intervention. The balanced coordination strategy demonstrates strong effects in enhancing resilience across all subsystems and is more likely to achieve a collaborative enhancement effect in composite system resilience. 3) ‌Temporal and scenario-specific optimization: In 2023, the Sanmenxia composite system barely achieved a coordinated state, highlighting the necessity of strengthening the coupling of the three subsystems to effectively implement the ecological restoration strategy for historical legacy mines (mine areas) and enhance the resilience of the composite system. The simulation results reveal that prior to 2027, the resilience of the composite system under the balanced coordination strategy is slightly higher than that of the ecological reconstruction model. However, starting from 2027, the ecological reconstruction model begins to outperform the balanced coordination strategy and maintains this advantage until 2035. This also underscores that ecological restoration should be based on the coordinated unity of the composite system, prioritizing economic development while also balancing ecological and social benefits, so as to achieve sustainable use of resources and promote sustainable development.

Conclusions

This research provides a critical theoretical and practical link between ecological restoration of historical legacy mines (mine areas) and the resilience of the “ecological – economic – social” composite system. Key contributions include: A framework for quantifying resilience responses to restoration strategies, addressing a gap in existing resilience theory. Empirical validation confirms that ecological restoration is the most effective restoration mode for enhancing multi-dimensional resilience, particularly in highly disturbed contexts. Policy recommendations: Advocate selecting restoration strategies based on specific contexts — balancing development with restoration to achieve gradual system adaptation or intensive reconstruction to meet urgent restoration needs. These findings provide actionable guidance for policymakers to align restoration objectives with broader socio-ecological resilience goals, ultimately promoting sustainable post-mining regional development.

Cite this article

HUANG Yuming , ZHAI Hongtao , RAO Zhenxing , ZHANG Yang . Simulation and Resilience Evolution of the Composite System of Historical Legacy Mines (Mine Areas) in Sanmenxia Section of the Yellow River Basin[J]. Landscape Architecture, 2025 , 32(8) : 128 -135 . DOI: 10.3724/j.fjyl.LA20240080

黄河流域生态保护与高质量发展战略的实施,标志着中国生态文明建设进入“系统性治理”新阶段[1-3]。作为黄河流域重要矿产资源基地,河南省历史遗留矿山(区)面积占全国总量的7.3%,其中,三门峡市因长期露天采矿,导致植被覆盖率大幅下降、土壤重金属超标,已成为威胁南水北调中线水源区生态安全的突出短板[4-5]。尽管《河南省三年行动计划》已完成41.4 km2矿山修复,但实践证明,传统环境治理模式难以破解如下三重矛盾:生态修复的工程化措施与区域社会经济转型需求脱节、短期环境效益与长期系统韧性提升失衡、政府主导修复与市场多元参与机制缺位[6]。为此,迫切需要构建“修复策略-系统韧性”关联框架,推动生态治理从单一要素修复向“生态-社会-生态系统重构”转型。
韧性理论为解决上述矛盾提供了新范式[7]。韧性不仅体现为生态系统抗干扰能力,更表现为经济系统产业替代弹性与社会系统风险适应能力的协同提升[8-9]。韧性理论的发展历经3个阶段的演变:Holling[10]提出生态韧性强调系统稳定性阈值;Folke[11]将韧性理论拓展至社会生态系统,关注系统的学习与适应能力;近年的研究则转向多尺度韧性交互机制,如Meerow等[12]构建的城市韧性耦合模型。在生态修复领域,韧性评估方法包括两大分支:1)基于压力-状态-响应(press-state-response, PSR)框架的静态评价体系[13-14],如崔晓萌[15]利用PSR模型识别了江苏省徐州市贾汪区生态脆弱性节点;2)融合动态模拟的预测性研究[16-17],如甄博珺[18]通过归一化植被指数(normalized difference vegetation index, NDVI)的时序数据预测了辽宁省阜新市海州区生态系统退化趋势。
尽管韧性理论已广泛应用于生态修复领域,但多数研究采用的是静态评估方法(如PSR模型)或单一动态指标(如NDVI时序分析),缺乏生态修复对经济就业、社区治理等多维度系统影响的动态分析,尤其鲜有关于黄河流域历史遗留矿山(区)修复的韧性研究。为此,本研究以黄河流域三门峡段历史遗留矿山(区)为实证对象,通过系统动力学构建“修复策略-系统韧性”动态关联框架,突破传统韧性研究的静态视角,以探究在不同历史遗留矿山(区)的修复策略下复合系统韧性的动态变化趋势,以期为黄河流域系统性治理提供优化路径。

1 研究方法

1.1 研究区域概况

黄河流域三门峡段位于秦岭山脉东段洛河流域,地处河南省西部,属于国家“三区四带”中黄河重点生态区(图1)。该区域矿产资源丰富,以金矿、铝土矿为主,但长期高强度开采导致生态破坏严重,包括地形地貌损毁、水土流失加剧及入黄水质污染等问题。矿山废弃地不仅影响着流域生态安全,还威胁周边农田生态系统与居民健康。近年来,国家大力推进黄河流域生态保护与高质量发展战略的实施,矿山生态修复成为重点任务之一。
图1 研究区位

Fig. 1 Research area

1.2 模型构建与参数来源

本研究以黄河流域三门峡段历史遗留矿山(区)为对象,通过对2015—2022年三门峡市时间序列数据的调查和统计分析,基于系统动力学,从生态、经济和社会3个子系统维度构建复合系统韧性评估模型,建立历史遗留矿山(区)修复与社会、经济、生态3个子系统之间的因果关系,并模拟不同生态修复模式和策略下各子系统韧性的演化过程。

1.2.1 指标说明

首先,从生态、经济、社会3个子系统维度进行复合系统韧性的分解分析。其次,确定各子系统韧性指标之间的量化关系式,为后续模型构建做准备。
1)生态子系统韧性。杨选梅[19]认为生态韧性是“社会-生态-技术”系统为应对外部动荡或冲击,保持或恢复基本功能,强调系统在遭受自然灾害、气候变化等扰动时保持运行连续性的能力,并将生态韧性归结为生态稳定性和生态脆弱性两大特征。其中,生态稳定性又由适应力、抵抗力和恢复力组成。根据Salas等[20]的推理验证,脆弱性可量化为表现一个系统暴露特征、敏感性的函数关系。显然,韧性与脆弱性呈反比,与稳定性呈正比[21]
2)经济子系统韧性。三门峡特殊的区位决定了该区域肩负着经济发展和生态安全的重要使命。在环境保护的基础上,也要兼顾经济系统在应对不确定性变化时的系统稳健性。如何在快速降低环境风险的同时,尽量降低对区域经济发展的负面影响,以及通过矿山修复产业带动其他产业转型发展,本质上均反映了矿山生态修复与经济重构性间的关联性[22]
3)社会子系统韧性。社会韧性是指社会系统在面临风险压力时能够适应、转化、调整和重新构造社会系统的过程[23]。对于一个资源型地区来说,资源配置、土地空间以及社会事业设施达到一定标准后,社会福祉水平会显著提高[24]。部分学者认为社会韧性与社会福祉水平、社会文化丰富度呈正相关关系,与资源开发相关的技术遗产、地方性规范以及单一产业向“文化-产业”融合的转化能力,能够使社会文化丰富度得到明显提升[25]
根据相关研究成果,结合三门峡历史遗留矿山(区)特征构建各子系统韧性指标体系(表1)。
表1 各子系统韧性指标

Table 1 Indicators for the resilience of subsystems

一级指标 二级指标 三级指标 单位
生态子系统韧性 生态 稳定性 废弃物综合处理能力 m2/hm2
矿山生态修复投资占比 %
企业技术水平
植被覆盖率 %
生态 脆弱性 污水排放量 t
关闭矿坑口数
地面塌陷等地灾事件数量
固体废弃物排放量 万m3
经济子系统韧性 经济 稳健性 城镇化率 %
矿山环保产业投资占比 %
经济 重构性 环境保护事务支出决算数 亿元
高新技术企业总产值占比 %
金融机构参与数
社会子系统韧性 社会文化丰富度 人均GDP 万元
非物质文化遗产保护单位数
文化娱乐从业人数 万人
社会福祉水平 人均可支配收入 万元
人均绿地面积 km2
此处简化模型假设和构建过程,采用式(1~4)来描述各系统组成成分以及系统韧性的值。
$ {V}_{\mathrm{C}\mathrm{R}}=({{V}_{\mathrm{E}\mathrm{R}}+{V}_{\mathrm{S}\mathrm{C}\mathrm{R}}+{V}_{\mathrm{E}\mathrm{N}\mathrm{R}}})/{3}, $
$ {V}_{\mathrm{E}\mathrm{R}}={{V}_{\mathrm{E}\mathrm{c}\mathrm{o}\mathrm{S}}}/{{V}_{\mathrm{E}\mathrm{c}\mathrm{o}\mathrm{V}}}, $
$ {V}_{\mathrm{E}\mathrm{N}\mathrm{R}}={V}_{\mathrm{E}\mathrm{c}\mathrm{o}\mathrm{n}\mathrm{S}}{\times V}_{\mathrm{E}\mathrm{c}\mathrm{o}\mathrm{n}\mathrm{R}}, $
$ {V}_{\mathrm{S}\mathrm{C}\mathrm{R}}={V}_{\mathrm{S}\mathrm{oc}\mathrm{W}}\times {V}_{\mathrm{S}\mathrm{o}\mathrm{c}\mathrm{C}}, $
式中,$ {V}_{\mathrm{C}\mathrm{R}} $表示复合系统韧性,$ {V}_{\mathrm{E}\mathrm{R}} $表示生态韧性,$ {V}_{\mathrm{E}\mathrm{N}\mathrm{R}} $表示经济韧性,$ {V}_{\mathrm{S}\mathrm{C}\mathrm{R}} $表示社会韧性,$ {V}_{\mathrm{E}\mathrm{c}\mathrm{o}\mathrm{S}} $表示生态稳定性,$ {V}_{\mathrm{E}\mathrm{c}\mathrm{o}\mathrm{V}} $表示生态脆弱性,$ {V}_{\mathrm{E}\mathrm{c}\mathrm{o}\mathrm{n}\mathrm{S}} $表示经济稳健性,$ {V}_{\mathrm{E}\mathrm{c}\mathrm{o}\mathrm{n}\mathrm{R}} $表示经济重构性,${V}_{\mathrm{S}\mathrm{o}\mathrm{c}\mathrm{W}}$表示社会福祉水平,$ {V}_{\mathrm{S}\mathrm{o}\mathrm{c}\mathrm{C}} $表示社会文化丰富度。

1.2.2 传导路径

为表征复合系统韧性及子系统韧性与指标之间的相互作用,利用系统动力学仿真软件VENSIM PLE构建因果关系图(图2),主要关注3种反馈回路形式。
图2 历史遗留矿山(区)修复与复合系统韧性间因果关系

Fig. 2 Causality between restoration of historical legacy mines(mine areas) and resilience of the composite

传导路径1:复合系统韧性—社会经济发展—生态环保产业占比—经济重构性—经济韧性—复合系统韧性。
传导路径2:复合系统韧性—社会经济发展—生态环保产业占比—矿山生态修复投资占比—企业技术水平—适应力—生态韧性—复合系统韧性。
传导路径3:复合系统韧性—社会经济发展—社会文化丰富度—社会韧性—复合系统韧性。

1.3 模型流图与参数确定

根据因果关系图构建复合生态系统韧性的存量流量图(图3),其中有3个水平变量、3个速率变量、2个常量、35个辅助变量。
图3 存量流量

Fig. 3 Stock flow

以三门峡市2015—2022年的时间序列数据进行历史值模拟,运用VENSIM PLE进行系统动力学仿真。历史数据来源于《中国环境统计年鉴》[26]、《三门峡市统计年鉴》[27]等资料,矿山修复相关指标,如地灾事件数量、关闭坑口数等数据来源于三门峡市生态环境局(sthj.smx.gov.cn)、河南省自然资源厅 (dnr.henan.gov.cn)等官网,矿山生态修复投资因数据难以收集,主要参考有关三门峡秦岭生态修复实践报告。对各类指标采用自然对数法和倍数缩放法进行无量纲处理[28],如用对数函数对人均可支配收入、人均绿地面积、人均GDP等数据进行转换。部分变化相对平稳的变量之间的关系采用计量经济学软件Econometrics Views(Eviews)建立回归模型,得到回归系数(转换系数1~2)。对于随着时间推移变化幅度较大或呈非线性变化的变量,引入Excel函数[29]。2023年之后的变量采用灰色预测法结合系统动力学方法进行预测。模型涉及的主要指标:1)三门峡市年生产总值(GDP)通过函数INTEG(速率、流速)计算得来,其中速率为GDP增量,流速为某年GDP值;2)废弃物综合处理能力通过矿山生态修复投资占比乘以转换系数所得;3)企业技术水平是矿山生态修复投资占比与区域环境保护投资总额间比值的自然对数;4)社会福祉水平是人均可支配收入、人均绿地面积与城镇化率三者乘积的自然对数;5)城镇化率通过WITH LOOK UP函数来描述,表示城镇化率随时间变化的非线性或离散的系统行为。

2 动态仿真及情景分析

2.1 模型检验

本研究对模型进行了历史值检验,该模型中环境保护事务支出决算和企业技术水平的高敏感性可清晰呈现政策的边际效应,且人均GDP的稳定性最高(波动 < 1.2%),适用于中短期(5~10年)政策仿真。另外,模型中变量的实际值和仿真值误差 < 10%,说明通过历史值检验,构建的模型有较好的拟合效果,能对现实系统的情况进行复刻和预测。

2.2 系统仿真策略

黄河流域历史遗留矿山(区)生态修复具有显著的地域特殊性,其系统仿真需综合考虑国情,以及《河南省露天矿山综合治理和生态修复条例》《陕西省秦岭生态环境保护条例》《陕西省秦岭区域矿山整治三年行动方案》《三门峡市国土空间总体规划(2021—2035年)》等规划政策,提取黄河流域历史遗留矿山(区)生态修复相关措施。基于政策要求与风险特征,本研究将生态修复面临的挑战划分为2类典型情景:急性冲击情景模拟黄河流域频发的极端气候事件(如2021年7·20暴雨),主要关注生态抵抗力、经济稳健性以及社会福祉水平;慢性冲击情景模拟长期矿产枯竭与人口外流,主要关注生态系统的适应力、经济重构性以及社会文化丰富度。基于2015—2022年三门峡历史遗留矿山(区)修复现状,设置矿山生态修复模式拟开展的情景:a作为对照组,表示无干预的初始情景;b1、b2、b3表示不同人为干预强度,分别为自然恢复、辅助再生、生态重建3种不同生态修复模式。
近年来,转型利用模式初见成效。转型利用模式是将生态修复与产业发展融合,是生态修复模式的升级。2种模式的核心目标不同。生态修复模式重在恢复生态功能与安全性,转型利用模式重在生态基底上的产业价值再造。转型利用模式中的经济延续性发展策略侧重经济开发,消极应对矿山活动带来的生态影响和社会影响,在面临大规模外部冲击时,更容易引发严重的级联破坏,生态韧性出现明显下降,受黄河流域“去矿化”政策刚性约束,此类策略已从《三门峡市国土空间总体规划(2021—2035年)》中剔除。因此,本研究涉及的转型利用模式仅讨论经济与生态发展并重的均衡协同发展策略(c)。变量的参数设置主要依据三门峡历史遗留矿山(区)修复实践经验以及已有研究结果[30-32]确定(表2)。
表2 情景-策略仿真设定

Table 2 Scenario-strategy simulation setting

模式/策略 预期结果 直接驱动因素 间接驱动因素 情景仿真参数设定
急性冲击:区域结构脆性上升50%;环境扰动提高10% 慢性冲击:区域结构脆性上升5%;环境扰动提高10%
  注:急性冲击与慢性冲击下,不同修复模式的方法措施均以2020年为参考。   a)该指标为模型中自带的默认时间序列(Time),代表动态时间点,范围为2015—2022年。
无干预(a) 各指标水平保持不变
生态修复模式 自然恢复 模式(b1) 生态稳定性提升、生态脆弱性降低 植被覆盖率、废弃物综合处理能力、技术水平、矿山污染总量、地灾事件数量、关闭坑口数 时间序列a)、GDP增量、人均绿地面积 矿山生态修复投资占比不变;矿山污染总量降低10%(污水排放量、固体废弃物排放量) 矿山生态修复投资占比不变;废弃物综合处理能力提升10%
辅助再生 模式(b2) 矿山生态修复投资占比提升10%;生态抵抗力提升10%(植被覆盖率) 矿山生态修复固定投资提升10%;生态适应力提升10%(企业技术水平、废弃物综合处理能力)
生态重建 模式(b3) 矿山生态修复投资占比提高20%;生态抵抗力提升15%(植被覆盖率) 矿山生态修复投资占比提高20%;生态适应力提升15%(企业技术水平、废弃物综合处理能力)
均衡协同发展 策略(c) 生态、经济、社会系统韧性均提升 在生态修复模式直接驱动因素的基础上增加:人均可支配收入、人均绿地面积、人均GDP、非物质文化遗产保护单位数 矿山生态修复投资占比、生态抵抗力指标、经济稳健性指标增长10%;社会福祉水平提升10%(人均绿地面积、人均可支配收入) 矿山生态修复投资占比、生态适应力指标、经济重建性指标增长10%;社会文化丰富度提升10%(人均GDP、非物质文化遗产保护单位数)

2.3 仿真结果分析

2.3.1 不同矿山生态修复模式下各子系统韧性仿真分析

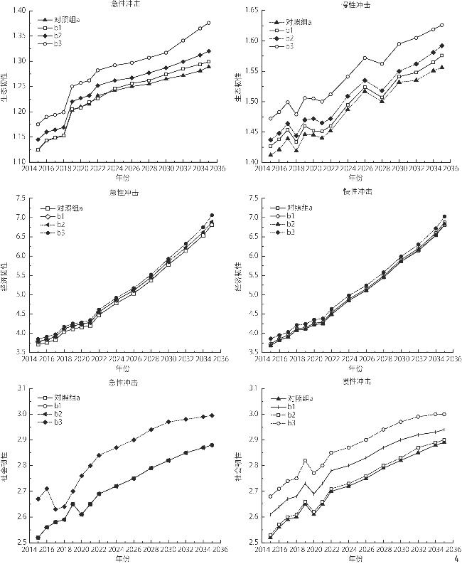
本研究分析了急性、慢性冲击情景下不同历史遗留矿山(区)生态修复模式下复合系统韧性的演变特征(图4)。对于生态子系统而言,生态重建模式明显优于自然恢复与辅助再生模式,这一结果源于黄河流域地理特性。首先,生态重建通过客土喷播或固土技术,使得裸露矿坑边坡年均侵蚀模数较自然恢复模式下降,且系统恢复周期短;另外,生态重建选用水需求低的耐旱植物,契合黄河流域“以水定绿”要求。同时,生态韧性存在响应滞后性,在相同年份时,急性冲击下的韧性水平比慢性冲击低。2030年以后,生态重建模式的优势更加明显,尤其在急性冲击情景下,生态重建模式对生态韧性的提升远超其他修复模式,这说明生态重建模式下生态系统抵抗外部扰动的能力更强。
图4 不同生态修复模式下子系统韧性变化

Fig. 4 Changes in subsystem resilience under different ecological restoration models

对于经济子系统,急性冲击下不同修复模式可以在一定程度上提升经济韧性水平。慢性冲击下,生态重建模式与辅助再生模式的提升效果不相上下。生态重建的关键机制在于通过土地整治新增建设用地,支持三门峡光伏产业园、生态旅游等非矿产业项目,推动产业替代升级。显然,生态重建模式对急性与慢性冲击下的社会子系统韧性都有显著的提升作用。不同的是,伴随着社会的逐步发展,辅助再生模式对社会韧性也有良好的增强效果。另外,黄河流域专项补贴使生态重建项目资金回报周期大大缩短。综上,在3种不同修复模式中,生态重建在生态、经济、社会方面的影响效果都相对最佳。三门峡历史遗留矿山(区)对周围区域的扰动较大,肩负着环境保护与修复的艰巨任务。针对已经造成的环境扰动,需要采取更大力度的整治,以确保系统能及时响应可能出现的外部冲击。

2.3.2 均衡协同发展策略下各子系统韧性仿真分析

3种不同生态修复模式中生态重建对各子系统韧性水平的影响最为显著,因此,选取生态重建模式与均衡协同发展策略的仿真结果进行对比分析(图5)。
图5 转型利用模式下各子系统韧性演变趋势

Fig. 5 Evolution trends in the resilience of subsystems under the transformation and utilization model

急性冲击下,生态韧性水平依次在均衡协同发展、生态重建以及无干预3种策略下逐步降低。慢性冲击下,生态应对能力从强到弱的模式和策略排序依然是均衡协同发展 > 生态重建 > 无干预。只是慢性冲击下的生态韧性提升的总体幅度要高于急性冲击。这可能是因为针对历史遗留矿山(区)的结构和功能进行的综合性改造,可以有效提高矿山(区)周边区域的抗干扰能力,同时在应对慢性干扰时有较大的应对空间和时间。另外,均衡协同发展策略对经济韧性的提升效果不太明显,但对社会韧性的影响较大,且在急性与慢性冲击下的增长趋势基本类似。说明均衡协同发展策略对各子系统韧性提升效果都有较好的表现。对于生态、经济和社会系统相互关联且衰退的矿产资源枯竭型城镇,该策略较为适用。通过修复用地、发展生态农业与文旅融合项目,有望将传统矿业成功替代为非矿产业。

2.3.3 不同情景下复合系统韧性仿真分析

黄河流域三门峡段属于典型的矿产资源枯竭型地区,亟须通过系统性干预打破发展困境。为验证不同修复模式和策略的效果,选取生态重建模式和均衡协同发展策略进行复合系统韧性仿真结果对比分析(图6)。
图6 不同情景下复合系统韧性演变趋势

Fig. 6 Evolution trends in the resilience of the composite system under different scenarios

急性冲击下,2027年以前,三门峡历史遗留矿山(区)复合系统韧性整体水平是生态重建模式高于均衡协同发展策略;2027年以后,均衡协同发展策略对复合系统韧性的影响逐步反超生态重建模式,说明修复初期(2027年前)需突破某个临界点,比如生态承载力阈值,后期则需维持系统动态平衡。2024年自然资源部提出的《矿山土地复垦与生态修复监测评价技术规范》(GB/T 43935—2024)中针对生产矿山生态修复的新国家标准,也进一步推动恢复目标从形态恢复转向功能协同。
慢性冲击下,复合系统韧性水平是均衡协同发展策略高于生态重建模式,且这个水平基本能维持至2035年。造成该现象的原因较多,包括政策变动、经济危机、城市扩增等。对于资源型区域来说,矿产资源相关的人为活动是造成慢性冲击最重要的因素。

3 结论

本研究基于复合系统视角,从生态、经济、社会3个方面构建了黄河流域三门峡段历史遗留矿山(区)复合系统韧性的指标体系,并基于三门峡市2015—2022年数据,采用系统动力学模型,仿真分析历史遗留矿山(区)修复模式和策略与复合系统韧性以及各子系统韧性之间的关系,得出3点结论。
1)不同人为干预强度的修复模式下,生态重建对生态、经济、社会子系统韧性的影响最为显著,其次是辅助再生模式,最后是自然恢复模式。因此,黄河流域三门峡段历史遗留矿山(区)生态修复选用生态重建模式最佳,尤其是对周围扰动范围大、程度高的区域来说,应重点关注矿产资源再利用、产业融合、生态产品价值实现等举措。
2)均衡协同发展策略对不同子系统的影响具有差异。急性冲击下,均衡协同发展策略能快速提升生态系统韧性,但提升总体幅度不如慢性冲击下;该策略对经济系统韧性的影响非常小,但对社会系统韧性的影响较为明显。因此,决策者应在着眼于历史遗留矿山(区)本身的改造和重建的同时,依托于现有的政策制度、资金技术等,实行生态、经济与社会并重的均衡协同发展策略。
3)对区域复合系统韧性来说,均衡协同发展策略的效果是最突出的。但生态重建模式在应对不确定性冲击时,可能表现出更大的应对潜力。2027年以前,生态重建模式下复合系统韧性还略高于均衡协同发展策略,但在2027年以后,均衡协同发展策略反超生态重建模式,且这个相对水平一直维持到2035年。在未来黄河流域高质量发展过程中应尽量多地考虑矿山产业链的生态化和生态化矿山产业的延伸,增强空间抵抗能力,以应对外部不确定的急性冲击。
综上,生态、经济、社会各子系统韧性指标体系中与历史遗留矿山(区)生态修复直接相关的是生态韧性,间接相关的是经济韧性。但历史遗留矿山(区)修复与社会韧性关联度不高,缺少相关因果线。后续研究可考虑将历史遗留矿山(区)生态修复相关的人均绿化面积、金融机构参与数等指标关联起来,以丰富历史遗留矿山(区)修复与复合系统间的关联网络。也可从各子系统在复合系统韧性中所占权重的角度探究历史遗留矿山(区)生态修复对复合系统韧性的影响机制。

1 历史值检验结果见官网文章页面的资源附件(http://www.lalavision.com/article/doi/10.3724/j.fjyl.LA20240080)。

图4改绘自国家自然资源部标准地图服务系统审图号为GS(2019)1822号的标准地图,行政区划底图无修改;其余图表均由作者绘制。

[1]
于昊辰, 吕晓, 杨俊, 等. 面向中国式现代化的国土空间治理: 从理论逻辑到实现路径[J]. 中国土地科学, 2024, 38(1): 9-19.

YU H C, LYU X, YANG J, et al. Territorial Space Governance Towards Chinese Path to Modernization: From Theoretical Logic to Implementation Solutions[J]. China Land Science, 2024, 38(1): 9-19.

[2]
胡振琪, 赵艳玲. 矿山生态修复面临的主要问题及解决策略[J]. 中国煤炭, 2021, 47(9): 2-7.

HU Z Q, ZHAO Y L. Main Problems in Ecological Restoration of Mines and Their Solutions[J]. China Coal, 2021, 47(9): 2-7.

[3]
程可欣, 王志芳, 唐瑜聪. 国土空间尺度下生态修复空间优先级与策略探究: 以矿山用地为例[J]. 风景园林, 2021, 28(12): 10-15.

CHENG K X, WANG Z F, TANG Y C. Spatial Priority and Strategy of Ecological Restoration Under the Territorial Spatial Scale: A Case Study of Mine Land[J]. Landscape Architecture, 2021, 28(12): 10-15.

[4]
范余敏, 李向阳, 李梦, 等. 黄河中游三门峡市矿山生态环境承载力分区研究[J]. 自然资源情报, 2022(1): 30-36,29.

FAN Y M, LI X Y, LI M, et al. Study on the Mine Ecological Environment Capacity of Different Zones in Sanmenxia[J]. Natural Resources Information, 2022(1): 30-36,29.

[5]
邓楚雄, 刘唱唱, 李忠武. 生态修复背景下流域国土空间韧性研究思路[J]. 中国土地科学, 2022, 36(5): 11-20.

DENG C X, LIU C C, LI Z W. Research Path on the Resilience of Watershed Territorial Space Under the Background of Ecological Restoration[J]. China Land Science, 2022, 36(5): 11-20.

[6]
鲁庆奥, 孙小平, 顾峰雪, 等. 生态学中韧性的概念范畴及表征方法[J]. 陆地生态系统与保护学报, 2023, 3(4): 66-73.

LU Q A, SUN X P, GU F X, et al. Concept and Representation of Resilience in Ecology[J]. Terrestrial Ecosystem and Conservation, 2023, 3(4): 66-73.

[7]
汪辉, 徐蕴雪, 卢思琪, 等. 恢复力、弹性或韧性?: 社会-生态系统及其相关研究领域中“Resilience”一词翻译之辨析[J]. 国际城市规划, 2017, 32(4): 29-39.

DOI

WANG H, XU Y X, LU S Q, et al. A Comparative Study of Chinese Translation of Resilience Terminology in Socio-Ecological System and Its Related Research Fields[J]. Urban Planning International, 2017, 32(4): 29-39.

DOI

[8]
GAO F F, ZHOU J S, JIANG H D, et al. Assessing the True Value of Ecological Restoration in Mining Areas: An Input-Output Approach Based on Ecosystem Service Valuation[J]. Ecological Indicators, 2024, 166: 112591.

DOI

[9]
杨新国, 刘春虹, 王磊, 等. 荒漠草原生态恢复与重建: 人工植被推动下水分介导的系统响应、生态阈值与互馈作用[J]. 生态学报, 2023, 43(1): 95-104.

YANG X G, LIU C H, WANG L, et al. Study on Ecological Restoration and Reconstruction of Desert Steppe: A Review[J]. Acta Ecologica Sinica, 2023, 43(1): 95-104.

[10]
HOLLING C S. Resilience and Stability of Ecological Systems[J]. Annual Review of Ecology and Systematics, 1973, 4: 1-23.

DOI

[11]
FOLKE C. Resilience: The Emergence of a Perspective for Social-Ecological Systems Analyses[J]. Global Environmental Change, 2006, 16(3): 253-267.

DOI

[12]
MEEROW S, NEWELL J P, STULTS M. Defining Urban Resilience: A Review[J]. Landscape and Urban Planning, 2016, 147: 38-49.

DOI

[13]
于贵瑞, 张雪梅, 赵东升, 等. 区域资源环境承载力科学概念及其生态学基础的讨论[J]. 应用生态学报, 2022, 33(3): 577-590.

YU G R, ZHANG X M, ZHAO D S, et al. Discussion on the Scientific Concepts of Regional Resources and Environmental Carrying Capacity and Its Ecological Basis[J]. Chinese Journal of Applied Ecology, 2022, 33(3): 577-590.

[14]
CONRADI T, HENRIKSEN M V J, SVENNING J C. Global Change, Novel Ecosystems and the Ecological Restoration of Post-industrial Areas: The Case of a Former Brown Coal Mine in Søby, Denmark[J]. Applied Vegetation Science, 2021, 24(3): e12605.

DOI

[15]
崔晓萌. 基于生态脆弱性评价的生态修复关键区域识别与修复研究[D]. 徐州: 中国矿业大学, 2023.

CUI X M. Identification and Restoration of Key Ecological Restoration Areas Based on Ecological Vulnerability Assessment[D]. Xuzhou: China University of Mining and Technology, 2023.

[16]
雷少刚, 卞正富, 杨永均. 论引导型矿山生态修复[J]. 煤炭学报, 2022, 47(2): 915-921.

LEI S G, BIAN Z F, YANG Y J. Discussion on the Guided Restoration for Mine Ecosystem[J]. Journal of China Coal Society, 2022, 47(2): 915-921.

[17]
宋小青. 韧性国土空间导向的全域土地综合整治理论与实践路径[J]. 现代城市研究, 2021, 36(3): 11-16.

SONG X Q. Theoretical Framework and Practical Route of Comprehensive Land Consolidation Towards Resilient Territorial Space[J]. Modern Urban Research, 2021, 36(3): 11-16.

[18]
甄博珺. 露天矿排土场不同复垦模式生态修复效果研究[D]. 阜新: 辽宁工程技术大学, 2022.

ZHEN B J. Study on Ecological Restoration Effect of Different Reclamation Modes in Open-Pit Mine Dump[D]. Fuxin: Liaoning Technical University, 2022.

[19]
杨选梅. 国土空间韧性: 概念框架及实施路径[J]. 城市规划学刊, 2021(3): 112-118.

YANG X M. Territorial Space Resilience: A Conceptual Framework and Its Implementation Path[J]. Urban Planning Forum, 2021(3): 112-118.

[20]
SALAS J, YEPES V. Urban Vulnerability Assessment: Advances from the Strategic Planning Outlook[J]. Journal of Cleaner Production, 2018, 179: 544-558.

DOI

[21]
仇保兴. 基于复杂适应系统理论的韧性城市设计方法及原则[J]. 城市发展研究, 2018, 25(10): 1-3.

QIU B X. Methods and Principles of Designing Resilient City Based on Complex Adaptive System Theory[J]. Urban Development Studies, 2018, 25(10): 1-3.

[22]
乔晗, 徐君如, 张硕. 基于系统动力学的社群电商价值创造影响效应研究[J]. 系统工程理论与实践, 2023, 43(9): 2615-2631.

QIAO H, XU J R, ZHANG S. Research on the Impact of Community E-Commerce Value Creation Based on System Dynamics[J]. Systems Engineering-Theory & Practice, 2023, 43(9): 2615-2631.

[23]
马超, 赵康, 冯印成, 等. 我国历史遗留矿山环境污染综合整治技术与路径探索[J]. 环境工程学报, 2024, 18(11): 3102-3113.

MA C, ZHAO K, FENG Y C, et al. Exploration of Comprehensive Remediation Technologies and Paths for Environmental Pollution from Historical Legacy Mines in China[J]. Chinese Journal of Environmental Engineering, 2024, 18(11): 3102-3113.

[24]
卞正富, 于昊辰, 韩晓彤. 碳中和目标背景下矿山生态修复的路径选择[J]. 煤炭学报, 2022, 47(1): 449-459.

BIAN Z F, YU H C, HAN X T. Solutions to Mine Ecological Restoration Under the Context of Carbon[J]. Journal of China Coal Society, 2022, 47(1): 449-459.

[25]
常媛媛. 黄土高原露天煤矿区排土场土壤-植被系统恢复力及其权衡研究[D]. 徐州: 中国矿业大学, 2023.

CHANG Y Y. Study on the Resilience and Tradeoff of Soil-Vegetation System in Open-Pit Coal Mine Area on Loess Plateau[D]. Xuzhou: China University of Mining and Technology, 2023.

[26]
国家统计局, 生态环境部. 2023年中国环境统计年鉴[M]. 北京: 中国统计出版社, 2023.

National Bureau of Statistics of China, Ministry of Ecology and Environment. China Environment Statistical Yearbook 2023[M]. Beijing: China Statistics Press, 2023.

[27]
三门峡市统计局, 国家统计局三门峡调查队. 2022三门峡统计年鉴[M]. 北京: 中国统计出版社, 2023.

Sanmenxia Municipal, Bureau of Statistics. Sanmenxia Statistical Yearbook 2022[M]. Beijing: China Statistics Press, 2023.

[28]
ZHANG J X, QIAO J Y, ZHUO J C, et al. Research on Safety Resilience Evaluation of Hydrogen Station Based on System Dynamics Modeling[J]. International Journal of Hydrogen Energy, 2024, 80: 542-553.

DOI

[29]
刘家霖. 多源数据视角下生态修复与气候变化对渤海湾北岸典型盐碱化地生态系统韧性影响研究[J]. 园林, 2024, 41(10): 131-136.

DOI

LIU J L. Investigating the Effects of Ecological Restoration and Climate Change on the Ecological Resilience of Saline-Alkali Soils in the Northern Bohai Sea: A Multi-source Data Perspective on a Typical Coastal Site[J]. Landscape Architecture Academic Journal, 2024, 41(10): 131-136.

DOI

[30]
张进德, 郗富瑞. 我国废弃矿山生态修复研究[J]. 生态学报, 2020, 40(21): 7921-7930.

ZHANG J D, XI F R. Study on Ecological Restoration of Abandoned Mines in China[J]. Acta Ecologica Sinica, 2020, 40(21): 7921-7930.

[31]
METZGER J P, ESLER K, KRUG C, et al. Best Practice for the Use of Scenarios for Restoration Planning[J]. Current Opinion in Environmental Sustainability, 2017, 29: 14-25.

DOI

[32]
刘宏磊. 矿山环境修复治理和开发利用模式的理论与实践研究[D]. 北京: 中国矿业大学(北京), 2020.

LIU H L. Research on the Theory and Practice of the Restoration and Utilization Model for the Mine Environment[D]. Beijing: China University of Mining and Technology-Beijing, 2020.

Outlines

/