Research

Intelligent Environmental Health Risk Assessment System for the Elderly in Cold Regions Based on Artificial Intelligence Integrated Development Environment

  • ZHANG Tianheng , 1, 2, 3 ,
  • FU Yao , 1, 2, 3 ,
  • GAO Jian , 1, 2, 3 ,
  • XUE Huanran , 1, 2, 3
Expand
  • 1. School of Architecture and Urban Planning, Shenyang Jianzhu University
  • 2. Shenyang Municipal Key Laboratory of Technology for Improving the Performance of Healthy Human Settlement Environment
  • 3. Liaoning Provincial Engineering Research Center for Green Building Technology with Ultra-Low Energy Consumption

ZHANG Tianheng is a Ph.D. candidate in the School of Architecture and Urban Planning, Shenyang Jianzhu University. His research focuses on healthy building, and healthy city

FU Yao, Ph.D., is a professor in the School of Architecture and Urban Planning, Shenyang Jianzhu University. Her research focuses on healthy building, healthy city, and elderly-oriented design

GAO Jian is a master student in the School of Architecture and Urban Planning, Shenyang Jianzhu University. His research focuses on healthy building, and healthy city

XUE Huanran is a Ph.D. candidate in the School of Architecture and Urban Planning, Shenyang Jianzhu University. Her research focuses on healthy building, and healthy city

Received date: 2025-01-27

  Revised date: 2025-05-07

  Online published: 2025-12-09

Copyright

Copyright reserved © 2025.

Abstract

[Objective]

This research aims to develop a comprehensive environmental health risk prediction system for elderly populations in cold regions based on a Bayesian probability framework. The system is designed to quantitatively evaluate the effects of different outdoor environmental exposures on physiological and psychological indicators of elderly individuals, thereby providing evidence-based decision support for elderly health management and elderly-oriented environmental design. The research addresses the unique challenges faced by the elderly in cold regions, where prolonged low temperatures significantly impact cardiovascular health and outdoor activity patterns, creating special health management challenges for this vulnerable population. By incorporating individual difference parameters and environmental characteristic metrics into a predictive framework, the research seeks to bridge the gap between theoretical knowledge and practical applications in elderly-oriented landscape design.

[Methods]

The research employs a multi-stage methodological approach combining field experimentation, mathematical modeling, and application development. Health indicators of elderly subjects (n = 345, aged 60 − 70) are collected in three distinct outdoor environments (activity area, greenway area, and street area) in a community in Shenyang, China. Data collection was conducted during November − December of 2023 and 2024, with outdoor temperatures ranging from 4°C to 8°C. Environmental parameters are standardized through a two-tier framework quantifying spatial openness (δopen) and green coverage (δgreen) relative to reference standards. Individual sensitivity parameters are established incorporating gender differences, with sensitivity coefficients (η) and regulatory factors (γ) calculated based on physiological responses. A systematic testing is conducted following a standardized protocol consisting of preparation, environmental exposure, and recovery assessment phases. Physiological indicators include systolic blood pressure (SBP), diastolic blood pressure (DBP), and pulse pressure (PP), which are measured using an Omron HEM-7136 electronic sphygmomanometer. Psychological variables are assessed using validated Chinese versions of the Profile of Mood States (POMS) and Restoration Outcome Scale (ROS) with Cronbach’s α coefficients of 0.86 and 0.82 respectively. Based on the collected data, a Bayesian probability model is constructed that transforms traditional Bayesian components into environment-specific parameters: Prior probabilities become baseline blood pressure values, likelihood functions become environmental adjustment effects, and posterior distributions become predictive blood pressure values with confidence intervals. The Artificial Intelligence-Integrated Development Environment (AI-IDE) platform is utilized to transform the theoretical framework into a practical application. The development process employs an iterative evolution approach, converting the Bayesian probability framework into executable code through natural language processing capabilities of the AI-IDE platform. Based on parameter sensitivity analysis results of the prediction system, design optimization strategies for elderly-oriented outdoor environments in cold regions are proposed.

[Results]

The research identifies significant gender-based differences in environmental sensitivity, with elderly females demonstrating markedly higher sensitivity coefficients compared to males (0.85±0.04 vs. 0.72±0.05) and greater regulatory factors (1.24±0.07 vs. 0.86±0.05). These differences are manifested in physiological responses, with female subjects exhibiting larger blood pressure fluctuations during environmental transitions (8.76±2.31 mmHg vs. 5.24±1.87 mmHg). Among the three outdoor environments, the greenway area produces the most positive health effects, characterized by a mean decrease in systolic blood pressure of 2.7±1.8 mmHg from baseline and improvements in psychological indicators (POMS scores decrease by 2.6±0.9, while ROS scores increase by 0.53±0.12). Conversely, the street area induces negative effects, with SBP increasing by 7.8±2.4 mmHg on average and negative mood indicators rising. The activity area demonstrates intermediate effects with non-significant SBP changes (±1.5 mmHg) and slight mood improvements. The prediction model demonstrates excellent performance metrics across validation testing. The system performs best in predicting responses in the activity area (SBP mean root error: 4.8 mmHg; accuracy rate: 91.2%), with slightly higher error rates in street area, where the accuracy rate is still maintained above 88.5%. Five-fold cross-validation confirms model stability with a CV coefficient of 0.092. Overall model fit achieves an value of 0.87, with prediction interval coverage reaching 93.8%, demonstrating strong explanatory power and reliability. Key health indicators (SBP, POMS, and ROS) all show significant linear relationships between predicted and actual values. The mobile terminal implementation features age-appropriate design elements including large-sized touch control elements (30px × 30px with a minimum spacing of 12mm), high contrast visual feedback, 18px font size, and a three-tiered risk visualization framework using color-coding (green − orange − red) to enhance information accessibility for elderly users.

[Conclusion]

The prediction system based on the Bayesian probability framework successfully achieves accurate assessment of environmental health risks for elderly individuals in cold regions. The adoption of individual difference parameterization methods, combined with a multi-level cascade prediction framework system design, significantly enhances the prediction accuracy of health risk probability. The system effectively addresses the common challenges of small-sample health research by leveraging Bayesian approaches to handle uncertainty in parameter distributions, providing robust predictions despite limited training data. The application of AI-IDE platform notably accelerates the transformation process from research findings to practical applications, establishing a seamless bridge between academic knowledge and implementable tools. This approach substantially lowers technical barriers for cross-disciplinary applications by converting research requirements and model logic into structured code through natural language processing. The system provides quantitative indicators and scientific foundations for optimizing elderly-oriented landscape environments in cold regions, including optimal spatial openness range (0.65 − 0.80), recommended green coverage threshold (0.82 − 0.88), and gender-specific environmental transition zone designs. These evidence-based design parameters offer practical guidance for creating outdoor environments that enhance physiological and psychological well-being of elderly populations in cold regions, ultimately supporting healthy aging in place.

Cite this article

ZHANG Tianheng , FU Yao , GAO Jian , XUE Huanran . Intelligent Environmental Health Risk Assessment System for the Elderly in Cold Regions Based on Artificial Intelligence Integrated Development Environment[J]. Landscape Architecture, 2025 , 32(7) : 123 -131 . DOI: 10.3724/j.fjyl.LA20250057

1 研究背景

中国北方寒冷地区冬季漫长且气温较低,寒地低温环境不仅直接影响老年人心血管功能,还通过改变户外活动意愿间接影响心理健康,这对老年人健康管理提出了特殊挑战。现有研究表明,环境暴露通过直接途径(如植物等自然要素对心理状态的调节)[1-2]和间接途径(环境质量改善、体力活动促进和社交互动增加)[3-4]影响老年人身心健康。尤其对于老年人群,环境暴露主要通过促进体力活动、社会交往和压力等中介效应产生健康效益[5-6],例如绿地健康效应对老年人心血管健康的影响[6-7]、街区空间对社交活动的促进等[8-9]。然而,这些研究大多聚焦在环境影响机制层面,在微观层面关于个体风险预测则面临典型的“知识—应用”转化的困境。一方面,老年人环境健康试验受限于样本规模,难以满足传统机器学习算法对大量训练数据的需求[10-11];另一方面,环境健康效应的个体差异性(如性别、年龄差异)难以在传统分析中精确量化和建模。传统方法既难以准确描述这些差异特征,也缺乏处理其固有不确定性的能力。
为突破上述瓶颈,本研究提出基于贝叶斯概率框架构建寒地老年人环境健康风险预测系统。贝叶斯概率框架作为一种处理不确定性的数学方法,特别适合解决此类问题,能够有效整合先验知识与实证数据,对具有高度个体特异性的环境健康影响因素进行科学建模;且框架可以有效处理参数的不确定性分布,特别适合解决小样本研究中个体差异量化的难题。 同时应用人工智能集成开发环境(artificial intelligence-integrated development environment, AI-IDE)平台,加速环境与健康研究成果向实际应用工具的转化进程。本研究应用了当前人工智能技术的最新进展,具体采用AI-IDE平台(如Cursor、GitHub Copilot、Trace等)作为桥梁,通过自然语言处理将研究需求、参数关系和模型逻辑自动转化为结构化代码,大幅降低了跨学科应用的技术门槛。更重要的是,这种开发方式无需掌握复杂编程,极大降低了技术门槛,使研究成果能够直接转化为可操作的预测工具,能够实现从研究到应用的无缝衔接。通过整合环境特征参数(空间开敞度、绿化覆盖度)和个体敏感度参数(性别差异),结合风险预测系统的开发应用,实现对不同户外环境条件下老年人健康指标变化的精准预测与便捷应用。
本研究采用多层次递进的技术路径(图1),从理论基础出发,经由实证研究和预测系统开发,最终实现设计应用,形成完整的研究到应用转化链条。首先,通过开展沈阳市某社区3种典型户外环境(活动区域、绿道区域、街道区域)的老年人健康指标采集试验,构建环境特征参数和个体敏感度参数框架;其次,结合性别差异特征,建立基于贝叶斯概率框架的环境健康预测模型进行交叉验证;再次,结合以上参数利用AI-IDE平台构建基于移动端的环境健康风险预测系统; 最后,分析参数敏感性,提出适老化景观环境设计优化策略。
图1 基于贝叶斯概率框架的环境健康预测系统研究技术路径

Fig. 1 Technical path for research on environmental health prediction system based on Bayesian framework

2 试验与参数分析

2.1 试验概况及数据

试验户外场地选取沈阳市浑南区某社区环境中的3种典型户外场地(图2表1):活动区域、绿道区域和街道区域。这3种场地代表了老年人日常活动的主要环境类型。试验时间为2023年11—12月和2024年11—12月,选择日照充足的10:00—14:00进行。试验期间室外平均气温4℃~8℃,风速小于3级,相对湿度为33%。
图2 试验场地图示

Fig. 2 Test site diagram

表1 试验场地特征

Table 1 Test site characteristics

场地名称 场地特征
活动区域 设有健身器材、休憩座椅等标准化配置;开敞度适中;落叶乔木树种比例约占35%,常绿树种比例约占28%(现场实测)
绿道区域 落叶乔木树种比例约占60%、常绿针叶林树种比例约占25%、常绿灌木树种比例约占15%;场地路面为透水沥青步道(宽2.5 m)
街道区域 12 m宽双车道,两侧有2 m宽步行道;场地周边为高层住宅楼(平均75 m);车流较大
研究对象限于60~70岁年龄段的健康老年人,主要基于Magnani等[12]研究表明此年龄段是心血管病风险显著上升的关键阶段。选择此人群进行研究有利于识别早期风险因素,且此年龄段老年人尚未普遍发展出严重心血管疾病,是评估预防干预措施效果的理想群体。因此,这一年龄段人群符合研究目标要求,可以在此类人群心血管系统出现不可逆损伤之前,深入研究环境暴露如何影响生理的特定机制,其规律可直接为个体提供针对性的预防策略。试验未将70岁以上高龄老人纳入研究范畴,因为70岁以上高龄老人普遍存在多种基础疾病共存现象[13],导致干扰因素增多,难以有效控制变量,且研究试验流程包含较长时间的户外活动,高龄老人体力也很难支持。最终从400名志愿者中筛选出345名符合要求的被试者(男性165人,女性180人),平均年龄63.4±4.7岁。被试者入选标准包括:短式健康调查问卷-12量表(SF-12)[14]评分达标(身体健康综合评分≥40,心理健康综合评分≥42);基线生理指标在正常范围内(如收缩压131.0±18.8 mmHg);无吸烟史;无严重心血管疾病史;能完成30 min慢速步行;每周定期户外运动。
试验流程(表2)参考相关研究[15]设计了三阶段方案:准备阶段、环境暴露阶段和恢复评估阶段。在环境暴露阶段,被试者依次进入活动区域、绿道区域和街道区域进行测试。每个区域的测试包括3个连续测量点:被试者静坐暴露15 min后进行第一次测量,步行活动15 min后进行第二次测量,以及完成5 min静坐恢复期后进行第三次测量。在每个测量点,研究人员均需采集被试者的生理指标并要求其填写心理量表。各区域测试之间设置5 min过渡休息,以避免前一环境的残留效应对后续测试产生干扰。被试者在恢复评估阶段完成最终的心理量表填写和问卷填写后,整个试验流程结束。生理指标测量包括收缩压(systolic blood pressure, SBP)、舒张压(diastolic blood pressure, DBP)及脉压(pulse pressure, PP),使用欧姆龙HEM-7136医用电子血压计在每个测量点连续测量3次取平均值。心理变量通过中文版情绪状态量表(profile of mood states, POMS)和恢复结果量表(restoration outcome scale, ROS)进行测量,经过测试后2种量表的Cronbach’s $\alpha $系数分别为0.86和0.82,表明具有良好的内部一致性。
表2 标准化试验流程与时长

Table 2 Process and duration of standardized testing

阶段 环境区域 持续时长 活动内容
准备阶段 基线测量区 10 min 知情同意书签署、基础信息登记、基准生理测量、心理量表填写
环境暴露阶段 活动区域 15 min 静坐休息暴露
15 min 以3~4 km/h的速度进行慢速步行活动
5 min 静坐休息,禁止社交互动
绿道区域 15 min 静坐休息暴露
15 min 以3~4 km/h的速度进行慢速步行活动
5 min 静坐休息,禁止社交互动
街道区域 15 min 静坐休息暴露
15 min 以3~4 km/h的速度进行慢速步行活动
5 min 静坐恢复
恢复评估阶段 基线测量区 10 min 最终生理指标测量、心理量表填写、问卷填写
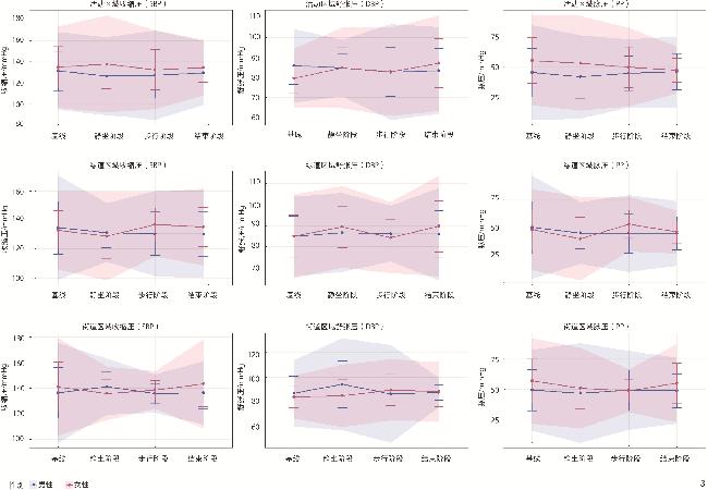
在生理指标方面,本研究将SBP数据作为主要因变量,因为SBP对环境应激反应表现出更高的敏感性,较适合评估寒地环境暴露的急性影响[16-17]。从临床成果分析来看,在老年人群中SBP与心血管事件的相关性更强,具有更高的临床预测价值[18]。数据分析显示,不同环境对老年人生理和心理指标均产生显著差异影响(图34)。在生理指标方面,街道区域引起最明显的血压升高,SBP较基线平均上升7.8±2.4 mmHg;绿道环境表现最为积极,SBP平均下降2.7±1.8 mmHg;活动区环境则表现为中等水平,SBP变化不显著(±1.5 mmHg)。
图3 不同测试区域的生理指标数据线图

Fig. 3 Line graph of physiological indicator data across different testing regions

图4 不同测试点的心理量表数据线图

Fig. 4 Line graph of psychological scale data across different testing points

在心理指标方面,绿道区域产生最显著的积极情绪影响,POMS得分平均下降2.6±0.9,ROS得分上升0.53±0.12;街道区域则引起负面情绪上升,POMS得分平均上升1.8±0.7;活动区域表现适中,POMS得分轻微下降(−0.8±0.5)。可见,环境恢复效果为绿道区域>活动区域>街道区域,与生理指标变化趋势一致。

2.2 环境特征参数

关于环境参数,本研究选择空间开敞度(${\delta } _{ \mathrm{open}} $)和绿化覆盖度(${\delta } _{ \mathrm{green}} $)作为核心环境指标。作为重要的户外空间环境质量表征指标,这2项指标能有效预测老年人的户外活动偏好和使用行为[19]。根据Ulrich等[20]的压力恢复理论(stress recovery theory, SRT)和Bratman等[21]的注意力恢复理论(attention restoration theory, ART),自然环境的特定要素能够促进压力缓解和注意力恢复,进而影响老年人的心理恢复体验。参考Markevych等[22]的环境-健康影响通路模型(图5),本研究确定了2个关键环境指标的作用路径:空间开敞度通过影响可视范围和安全感知产生影响;而绿化覆盖度则通过提供自然元素降低心理压力并促进恢复,同时直接影响老年人心血管系统功能。考虑到后期贝叶斯概率框架建模的计算复杂性,本研究选择的2个关键指标(空间开敞度和绿化覆盖度)在保持模型解释力的同时,有效简化了分析复杂度,从而使预测模型更具实用价值和可操作性。
图5 环境-健康影响通路模型[22]

Fig. 5 Environmental-health impact pathway model[22]

《城市居住区规划设计标准》[23]中居住区绿地率最低为30%的基本要求,但多项研究表明绿地覆盖率为40%是具有显著生态健康效益的临界值[24-25],所以本研究将40%作为绿化覆盖度的基准值,据此将不同区域的绿地覆盖率转化为相对值指标,其中空间开敞度、绿化覆盖度计算式
$ {\delta } _{ \mathrm{open}} =1 - {\delta } _{ \mathrm{b-coverage}} /100{\text{%}} \text{,} $
$ {\delta } _{ \mathrm{green}} = {\delta } _{ \mathrm{gs-coverage}} /40{\text{%}} \text{,} $
式中,${\delta } _{ \mathrm{open}} $为空间开敞度,${\delta } _{ \mathrm{b-coverage}} $为建筑围合率,${\delta } _{ \mathrm{green}} $为绿化覆盖度,${\delta } _{ \mathrm{gs-coverage}} $为绿地覆盖率。当${\delta } _{ \mathrm{green}} $>1时,表示绿化水平超过基本要求;当${\delta } _{ \mathrm{green}} $<1时,则表示绿化水平未达到理想标准。
基于上述空间特征量化方法,本研究对3类典型环境进行了量化分析,结果显示不同环境具有显著差异特征(表3):活动区域表现为高开敞度与高绿化覆盖的均衡特征,绿道区域具有最高的绿化覆盖度,而街道区域则呈现出高开敞度但较低绿化覆盖度的特点。这种标准化方法使环境特征由定性描述转变为可量化指标,使不同环境类型之间的比较成为可能。
表3 不同环境类型的空间特征参数统计结果

Table 3 Statistical results of spatial characteristic parameters for different types of environments

环境类型 空间开敞度( ${\delta } _{ \mathrm{open}} $ 绿化覆盖度( ${\delta } _{ \mathrm{green}} $
  注:数据以平均值±标准差表示。
活动区域 0.73±0.05 0.82±0.04
绿道区域 0.68±0.06 0.88±0.05
街道区域 0.85±0.04 0.65±0.06

2.3 个体敏感度参数

针对老年人在环境适应性的显著性别差异特征,本研究构建了个体特征参数框架。该框架基于De Bell等[26]提出的环境敏感度评估理论,通过构建敏感度系数($\eta $)和调节因子(${\text{γ}} $)的定量计算,实现了对个体环境响应特征的精确描述(表45)。
表4 不同性别老年人群体的环境敏感度与调节因子特征(n=345)

Table 4 Characteristics of environmental sensitivity and regulatory factors in elderly people of different genders (n=345)

性别 样本量 敏感度系数($\eta $ 调节因子(${\text{γ}} $ 血压变化幅度/mmHg 恢复率/%
男性 165 0.72±0.05 0.86±0.05 5.24±1.87 35.7±3.2
女性 180 0.85±0.04 1.24±0.07 8.76±2.31 42.3±3.8
通过性别分组对比分析发现女性和男性老年人在环境敏感性参数上存在显著的统计学差异(表4)。女性老年人表现出更高的环境敏感度系数($\eta $)和调节因子值(${\text{γ}} $),而男性老年人的相应参数较低。通过双因素方差分析,这种性别差异具有显著的统计学意义(p<0.01),表现在敏感度系数(t=4.827,p<0.01)、调节因子(t=5.136,p<0.01)、血压变化幅度(t=4.962,p<0.01)和恢复率(t=3.874,p<0.01)4个指标上。
性别差异在环境过渡期表现得尤为明显(表5),特别是从绿道区域过渡到街道区域时,女性受试者的SBP最大变化值显著大于男性。同样,在从活动区域过渡到绿道区域时,女性的SBP变化也高于男性。这表明女性老年人对环境变化的生理响应更为敏感。
表5 环境过渡期的生理指标响应特征

Table 5 Response characteristics of physiological indicators during the environmental transition period

环境类型 性别 基准血压/mmHg SBP最大变化值/mmHg 恢复时间/min 调节系数
活动区域至 绿道区域 男性 131.02±18.81 3.82±1.24 8.46±2.31 0.82±0.06
女性 134.88±19.79 5.67±1.86 7.23±1.98 1.18±0.08
绿道区域至 街道区域 男性 134.66±18.24 5.24±1.87 9.82±2.76 0.86±0.05
女性 132.69±13.73 8.76±2.31 8.54±2.42 1.24±0.07
进一步的相关性分析显示(表6),敏感度系数与调节因子之间存在显著的正相关关系,且这种相关性在女性群体中强于男性群体。敏感度系数与SBP最大变化值呈显著负相关,表明敏感度越高,环境转换时血压波动越大;而调节因子与恢复率呈显著正相关,说明调节能力越强,环境适应能力越好。
表6 个体特征参数与生理指标的相关性分析(Pearson相关系数)

Table 6 Analysis of the correlation between individual characteristic parameters and physiological indicators (Pearson correlation coefficient)

参数 敏感度系数($\eta $ 调节因子(${\text{γ} } $ SBP最大变化值 恢复率
  注:**表示在0.01水平上显著相关(双尾);数据源自试验样本统计分析。
敏感度系数 1.000 0.682** 0.754** 0.623**
调节因子 0.682** 1.000 0.628** 0.815**
收缩压变化 −0.754** 0.628** 1.000 0.542**
恢复率 −0.623** 0.815** 0.542** 1.000

3 基于贝叶斯概率框架的预测模型搭建

3.1 预测模型逻辑

针对老年人户外环境暴露效应的个体差异性和时序动态特征,本研究采用贝叶斯概率框架作为核心算法,其优势在于能处理参数的不确定性分布,适合小样本数据的预测需求。基础贝叶斯计算式
$ {P} ( {{\text{θ}}} {|} {D} )= {P} ( {D} | {\text{θ}} ) {P} ( {\text{θ}} )/ {P} ( {D} )\text{,} $
式中,$ {P} ( {{\text{θ}}} {|} {D} ) $为后验概率,表示在观测到数据D后,参数${\text{θ}} $的概率分布;${P} ( {D} | {\text{θ}} ) $为似然函数,表示在参数${\text{θ}} $给定的条件下,观测到数据D的概率;$ {P} ( {\text{θ}} ) $为先验概率,表示在观测数据前,对参数${\text{θ}} $的概率分布的先验信息;PD)为边缘似然或证据,表示数据D 的概率,是一个归一化常数。
在环境健康预测中,考虑到血压在医学研究中常呈正态分布[27-28],环境健康预测计算式可转换为
$ {P} ( {BP} | {E} )={\rm{N}}( {{\text{μ}}} _{ {BP} } + {\beta } _{ {E} } {\text{,}} {{\text{σ}}}^2 )\text{,} $
式中,N表示正态分布。PBP|E)表示在环境条件E下血压值BP的概率分布,符合均值为$\;{{\text{μ}}} _{ {BP} } + {\beta } _{ {E} } $、方差为${{\text{σ}}}^2 $的正态分布。其中$\;{{\text{μ}}} _{ {BP} } $为基准血压值,$ \;{\beta } _{ {E} } $为环境调节效应,${{\text{σ}}}^2 $量化了由个体差异导致的预测不确定性。
从基础贝叶斯计算式到环境健康预测计算式的参数转换关系过程中可见(表7),${P} ( {{\text{θ}}} {|} {D} ) $转换为血压预测值,${P} ({D}{|} {{\text{θ}}} ) $转换为环境对血压的影响系数,${P} ( {{\text{θ}}} ) $表示基准血压值,而整体不确定性通过方差参数(${{\text{σ}}}^2 $)量化。这种转换使贝叶斯概率框架能够直接应用于环境健康风险的量化评估,并保留处理不确定性的优势。预测过程遵循“环境参数输入—环境调节效应计算—个体敏感度调整—血压预测值生成—风险区间确定”的路径。
表7 从基础贝叶斯计算式到环境健康预测计算式的转换解释

Table 7 Explanation of the transition from the basic Bayesian formula to environmental health prediction formula

转换要素 基础贝叶斯计算式 环境健康预测计算式 转换原因
目标变量 预测参数集合(${\text{θ}} $ 血压值(BP 将抽象参数具体化为可测量的健康指标
条件变量 实验观测数据(D 环境参数(E 将一般观测数据具体化为环境特征参数
先验知识 先验概率(P${\text{θ}} $)) 血压基准值(${{\text{μ}} _{BP}} $ 将先验概率转换为无环境干预时的血压期望值
似然函数 似然函数(${P} ({D}{|} {{\text{θ}}} ) $ 环境调节效应(${\beta _E} $ 将似然函数转换为环境参数对血压的影响系数
不确定性表达 整个后验分布 方差参数(${{\text{σ}} ^2} $ 将分布不确定性具体化为个体差异导致的血压波动
计算方式 概率计算 ${{\text{μ}} _{BP}} $${\beta _E} $求和 从概率推断转换为确定性参数计算
个体差异处理 通过分布表达 通过$\eta $(敏感度系数)调整 引入个体敏感度参数处理性别等个体特征差异
预测输出 后验概率分布 预测值与置信区间:BPpred±1.96${\text{σ}} $ 从概率分布转换为具体的预测值和风险区间

3.2 预测后风险等级判定

本系统根据《中国高血压基层管理指南》(2014年修订版)设定了预警阈值临床标准风险等级[29],不同环境条件下的预测结果可以依据本研究设定的风险等级进行判定(表8),识别潜在风险并合理控制暴露时长。
表8 风险等级判定标准

Table 8 Criteria for determining risk levels

风险等级 血压范围/mmHg 风险解读 建议措施
正常 <140 健康范围 正常活动
警戒 140~<160 轻度风险 减少暴露时间,监测血压
高风险 ≥160 显著风险 避免长时间暴露,建议转移到更适宜环境

3.3 预测模型验证与性能评估

为验证预测模型有效性,本研究采用分层随机抽样方法,从345名样本中抽取50名(男女各25名)作为验证组。验证结果表明,预测模型在活动区域表现最佳(SBP误差为4.8 mmHg,变化率准确度为91.2%),街道区域误差略高但准确度仍达88.5%以上,证明模型可适应不同环境并保持稳定性能(表9)。
表9 不同环境类型下的生理指标预测性

Table 9 Predictability of physiological indicators under different environmental types

环境类型 SBP预测均值方根误差/mmHg 样本区间/mmHg 变化率预测准确度/%
活动区域 4.8 132.5~138.2 91.2
绿道区域 5.1 130.8~136.9 89.7
街道区域 5.6 135.4~142.3 88.5
通过五折交叉验证(5-fold cross-validation)进一步评估预测模型稳定性,结果表明模型交叉验证值(cross-validation, CV)为0.092,验证了预测模型具有良好的泛化能力。预测模型的整体拟合优度R 2=0.87,预测区间覆盖率达93.8%,表明模型具有较高的解释力和可靠性。

4 基于AI-IDE平台的预测系统开发

在系统实现过程中采用Anysphere公司开发的Cursor编译软件,首先以自然语言形式在AI-IDE平台中描述预测系统的核心需求,包括环境参数标准化、个体敏感度参数化和贝叶斯概率框架;AI-IDE平台自动生成系统架构建议,经编译人员确认后形成基础代码框架;然后将上述两节中的环境参数关系和贝叶斯概率框架转化为可执行代码;最后通过持续反馈优化系统性能和用户体验。

4.1 AI-IDE平台的工作原理与流程

预测系统采用模块化设计架构,通过级联框架(cascade framework)分解各功能模块,将复杂的环境健康预测任务拆解为明确的处理单元。具体架构遵循“采集—分析—预测—评估”的处理链路。
预测系统的开发过程采用了“迭代进化”的协作模式(图6):先将贝叶斯概率框架转化为可执行代码,之后通过自然语言提出系统计算要求及试验数据加载,并基于试验数据和专业知识对IDE平台自动生成代码进行反馈优化,最终完成开发。这种新的协作方式体现了AI-IDE平台的核心优势:通过自然语言处理技术,将研究需求、参数关系和模型逻辑自动转化为可执行代码,可以自动融合试验参数,并随着多次迭代优化完成最终开发。相比传统开发流程,AI-IDE平台的开发模式使研究到实际应用的转化难度大幅降低。
图6 系统逻辑结构和数据处理流程示意

Fig. 6 Schematic diagram of system logic structure and data processing flow

4.2 预测系统界面设计与用户交互设计

目前系统(BETA0.5)运行平台为苹果移动操作系统(iOS,图7),使用iOS卡片式分层结构,将用户界面(user interface, UI)分为个人信息区、环境参数区和预测结果区。交互设计适老优化包括:采用至少12 mm间距的大尺寸触控元素(30 px×30 px)降低误触率;使用滑块替代数字输入并提供高对比度视觉反馈;采用18px大字体增强可读性;构建3个层次风险可视化框架(数值表达和色彩编码的风险等级),通过绿-橙-红色彩方案直观表达风险程度,相较纯文本提升了老年人视觉信息获取效率。以上采用的高对比度元素、大尺寸触控区域和分级风险可视化系统等特殊UI设计可以显著提升预测系统的适老化程度。
图7 健康风险预测系统界面(苹果移动操作系统版本)

Fig. 7 Interface of the health risk prediction system (iOS Version)

5 寒地适老化户外景观环境设计优化策略

5.1 基于个体差异的景观空间分区策略

环境健康风险预测系统不仅可用于风险预测,还可以为适老化环境设计提供了量化指标和优化方向。基于预测系统的参数敏感性分析和模型验证结果,本研究提出了3个设计参数优化策略。
1)性别差异响应策略。预测系统显示女性老年人对环境变化的敏感度显著高于男性,且女性在环境过渡时表现出更大的血压波动。基于这一预测结果,设计应在老年人活动频繁的区域增加环境渐变过渡带,控制环境参数的突变程度,减轻老年女性的生理应激反应。
2)环境开敞度优化。预测系统识别出最优空间开敞度区间[0.65,0.80] ,超出此范围将导致生理指标异常。特别是当街道环境开敞度过高(0.85±0.04)时,老年人收缩压预测值显著上升。设计应将街道区域的空间开敞度控制在[0.80,0.85] 的较优区间。
3)绿化覆盖度调控。预测系统显示绿化覆盖度与收缩压呈显著负相关(r=−0.42,p<0.01),且贝叶斯概率框架预测绿道环境(${\delta } _{ \mathrm{green}} $=0.88±0.05)具有最佳健康效应。据此,优化目标应保持[0.82,0.88]的绿化覆盖度,同时确保街道区域绿化覆盖度维持在[0.60,0.65] 的区间内,平均值应努力达到或接近0.65。

5.2 适老化环境设计优化策略矩阵

基于研究结果,综合形成优化策略矩阵(表10),该矩阵量化了过渡区设计、绿化覆盖、空间开敞度和季节适应性等环境要素的设计参数,为寒地老年友好型户外景观环境提供了循证参考。
表10 优化策略矩阵

Table 10 Optimization strategy matrix

优化方向 个体特异性需求 最优设计参数 预期健康效应
过渡区 设计 老年女性:渐变过渡,易疲劳; 老年男性:可接受较大跨度变化 渐变长度:老年女性需更长过渡区休息; 点间距:老年女性需更高密度 降低血压波动
绿化覆盖 老年女性偏好:更注重绿化; 老年男性偏好:开敞与绿化平衡 最优覆盖度(0.82~0.88);街道区域最低覆盖度需维持在[0.60,0.65] 收缩压显著改善,在绿道环境中平均降低2.7±1.8 mmHg;负面情绪指数平均降低2.6±0.9
空间开 敞度 老年女性偏好开敞度(0.65~0.75); 老年男性偏好开敞度(0.70~0.80) 综合最优空间开敞度(0.65~0.80);街道区域最优开敞度需维持在[0.80,0.85] 降低血压波动,在街道环境中减少收缩压波动幅度7.8±2.4 mmHg
季节适 应性 老年女性需求:对冬季环境保护设施有更高需求,偏好全面防寒措施; 老年男性需求:具有较强的耐寒能力,但需要灵活的活动空间设计 常绿植物比例建议从28%提升至40% 提升老年人的恢复体验,恢复导向量表(ROS)评分提高0.53±0.12;负面情绪指数平均降低2.6±0.9
优化策略矩阵是贝叶斯概率框架应用于实际环境设计的直接转化成果。与传统设计方法不同,策略矩阵基于精确的预测模型和量化参数,具有明确的预期健康效应,旨在实现更精确的“人-环境互动”关系优化。

6 系统局限性分析与未来展望

综上,基于AI-IDE平台的环境健康风险预测系统虽然展现出较高准确性(R 2=0.87),但仍存在很多局限待进一步解决。目前系统采用静态参数框架,环境因子权重基于固定气候条件标定,难以有效应对场地微气候气候变化。未来可通过标准API集成实时环境监测数据,将实时数据引入到预测模型中,提升系统预测的动态适应能力。本研究尚未充分区分高龄与低龄老年人对环境需求的差异,后续研究可考虑基于年龄分层贝叶斯概率框架设计,提高预测的精确性和个性化程度。
在技术实现方面,本研究采用AI-IDE平台加速了预测系统的开发过程,但需要认识到AI-IDE平台只是将研究成果转化为应用工具的一种驱动手段。预测系统的技术核心应聚焦于贝叶斯概率框架的优化和精准化,未来引入更多环境参数等数据。同时,未来可探索将环境健康风险预测系统整合到智慧城市规划平台,为大尺度城市适老化景观环境设计提供决策支持。

1集成开发环境(integrated development environment, IDE)是用于提供程序开发环境的应用程序,一般包括代码编辑器、编译器、调试器和图形用户界面等工具。集成了代码编写功能、分析功能、编译功能、调试功能等一体化的开发软件服务套。

图13467由作者自绘,图2总平面图由作者根据高德地图(https://lbs.amap.com/)数据绘制,现场航拍由作者自行拍摄;图5由作者根据文献[22]绘制。表1~10由作者绘制。

[1]
LIU L H, QU H Y, MA Y M, et al. Restorative Benefits of Urban Green Space: Physiological, Psychological Restoration and Eye Movement Analysis[J]. Journal of Environmental Management, 2022, 301: 113930.

DOI

[2]
王子琳, 李志刚, 程晗蓓. 社区网格尺度下城市密度对居民绿地暴露水平的影响: 以特大城市武汉市为例[J]. 经济地理, 2022, 42(12): 82-91.

WANG Z L, LI Z G, CHENG H B. The Impact of Urban Density on Residents’ Green Space Exposure in Megacities at the Community Grid Scale: Evidence from Wuhan[J]. Economic Geography, 2022, 42(12): 82-91.

[3]
王小月, 杨东峰. 建成环境如何影响老年人绿地使用频率: 基于可达性和吸引力双重视角[J]. 中国园林, 2020, 36(11): 62-66

WANG X Y, YANG D F. How the Built Environment Affect the Frequency of Green Space Used by the Elderly: Based on the Dual Perspective of Accessibility and Attractiveness[J]. Chinese Landscape Architecture, 2020, 36(11): 62-66.

[4]
郎蕾洁, 成实. 全球视野下老年友好型绿地研究热点及关键方法探析与启示[J]. 风景园林, 2024, 31(6): 73-81.

DOI

LANG L J, CHENG S. Exploration of and Inspiration from Research Hotspots and Key Methods of Age-Friendly Green Spaces from a Global Perspective[J]. Landscape Architecture, 2024, 31(6): 73-81.

DOI

[5]
CHEN K L, ZHANG T Z, LIU F Y, et al. How Does Urban Green Space Impact Residents’ Mental Health: A Literature Review of Mediators[J]. International Journal of Environmental Research and Public Health, 2021, 18(22): 11746.

DOI

[6]
ZHOU W S, WANG W J, ZHOU F F, et al. The Effects of Greenness Exposure on Hypertension Incidence Among Chinese Oldest-Old: A Prospective Cohort Study[J]. Environmental Health, 2022, 21(1): 66.

DOI

[7]
叶佳明. 绿地空间和NO2暴露与中国老年人高血压的关联分析[D]. 长春: 吉林大学, 2023.

YE J M. Correlation Analysis of Green Space and NO2 Exposure with Hypertension in the Elderly in China[D]. Changchun: Jilin University, 2023.

[8]
陈玉洁, 袁媛, 周钰荃, 等. 蓝绿空间暴露对老年人健康的邻里影响: 以广州市为例[J]. 地理科学, 2020, 40(10): 1679-1687.

CHEN Y J, YUAN Y, ZHOU Y Q, et al. The Neighborhood Effect of Exposure to Green and Blue Space on the Elderly’s Health: A Case Study of Guangzhou, China[J]. Scientia Geographica Sinica, 2020, 40(10): 1679-1687.

[9]
岳亚飞, 杨东峰, 徐丹. 城市蓝绿空间对老年心理健康影响机制的探究与检验[J]. 风景园林, 2022, 29(12): 71-77.

YUE Y F, YANG D F, XU D. Exploration and Examination of the Influence Mechanism of Urban Blue-Green Space on the Elderly’s Mental Health[J]. Landscape Architecture, 2022, 29(12): 71-77.

[10]
LI G, MEI J H, YOU J, et al. Sociodemographic Characteristics Associated with Adolescent Depression in Urban and Rural Areas of Hubei Province: A Cross-Sectional Analysis[J]. BMC Psychiatry, 2019, 19(1): 386.

[11]
SINGH A. Machine Learning Approaches for Mental Health Diagnosis[J]. International Journal of Health Sciences, 2022, 6(S1): 10758-10764.

[12]
MAGNANI J W, NING H Y, WILKINS J T, et al. Educational Attainment and Lifetime Risk of Cardiovascular Disease[J]. JAMA Cardiology, 2024, 9(1): 45-54.

DOI

[13]
QIAO M, GUO J, WANG R, et al. Research Progress on Population Aging and Chronic Diseases[J]. MEDS Public Health and Preventive Medicine, 2023, 1(3): 28-35.

[14]
肖惠敏, 邝惠容. SF-12量表评价中国老年人生存质量的信度和效度分析[J]. 中国老年学杂志, 2014, 34(4): 1018-1020.

XIAO H M, KUANG H R. Reliability and Validity of the SF-12 Scale in Assessing Quality of Life Among Chinese Older Adults[J]. Chinese Journal of Gerontology, 2014, 34(4): 1018-1020.

[15]
KABISCH N, KRAEMER R, MASZTALERZ O, et al. Impact of Summer Heat on Urban Park Visitation, Perceived Health and Ecosystem Service Appreciation[J]. Urban Forestry & Urban Greening, 2021, 60: 127058.

[16]
BURTSCHER M, GATTERER H, BURTSCHER J, et al. Extreme Terrestrial Environments: Life in Thermal Stress and Hypoxia. a Narrative Review[J]. Frontiers in Physiology, 2018, 9: 572.

DOI

[17]
CAMPBELL T S, LAVOIE K L, BACON S L, et al. Asthma Self-Efficacy, High Frequency Heart Rate Variability, and Airflow Obstruction During Negative Affect in Daily Life[J]. International Journal of Psychophysiology, 2006, 62(1): 109-114.

DOI

[18]
WHELTON P K, CAREY R M, ARONOW W S, et al. 2017 ACC/AHA/AAPA/ABC/ACPM/AGS/APhA/ASH/ASPC/NMA/PCNA Guideline for the Prevention, Detection, Evaluation, and Management of High Blood Pressure in Adults: A Report of the American College of Cardiology/American Heart Association Task Force on Clinical Practice Guidelines[J]. Journal of the American College of Cardiology, 2018, 71(19): e127-e248.

DOI

[19]
KRAEMER R, KABISCH N. Parks in Context: Advancing Citywide Spatial Quality Assessments of Urban Green Spaces Using Fine-Scaled Indicators[J]. Ecology and Society, 2021, 26(2): art45.

DOI

[20]
ULRICH R S, SIMONS R F, LOSITO B D, et al. Stress Recovery During Exposure to Natural and Urban Environments[J]. Journal of Environmental Psychology, 1991, 11(3): 201-230.

DOI

[21]
BRATMAN G N, ANDERSON C B, BERMAN M G, et al. Nature and Mental Health: An Ecosystem Service Perspective[J]. Science Advances, 2019, 5(7): eaax0903.

DOI

[22]
MARKEVYCH I, SCHOIERER J, HARTIG T, et al. Exploring Pathways Linking Greenspace to Health: Theoretical and Methodological Guidance[J]. Environmental Research, 2017, 158: 301-317.

DOI

[23]
中华人民共和国住房和城乡建设部. 城市居住区规划设计标准: GB 50180—2018[S]. 北京: 建筑工业出版社, 2018.

Ministry of Housing and Urban-Rural Development of the People’s Republic of China. Standard for Urban Residential Area Planning and Design: GB 50180−2018[S]. Beijing: China Architecture & Building Press, 2018.

[24]
WANG Y, WANG R Z. Research on Satisfaction of Habitat Natural Environment[J]. IOP Conference Series: Earth and Environmental Science, 2019, 300(3): 032032.

DOI

[25]
YAN L, JIA W X, ZHAO S Q. The Cooling Effect of Urban Green Spaces in Metacities: A Case Study of Beijing, China’s Capital[J]. Remote Sensing, 2021, 13(22): 4601.

DOI

[26]
DE BELL S, GRAHAM H, JARVIS S, et al. The Importance of Nature in Mediating Social and Psychological Benefits Associated with Visits to Freshwater Blue Space[J]. Landscape and Urban Planning, 2017, 167: 118-127.

DOI

[27]
周帮兴. 统计学正态分布规律在生化检验中的应用[J]. 中国卫生产业, 2014, 11(12): 2

ZHOU B X. Application of Normal Distribution Law of Statistics in Biochemical Examination[J]. China Health Industry, 2014, 11(12): 2.

[28]
ROSSO A L, SANDERS J L, ARNOLD A M, et al. Multisystem Physiologic Impairments and Changes in Gait Speed of Older Adults[J]. The Journals of Gerontology Series A, Biological Sciences and Medical Sciences, 2015, 70(3): 319-324.

DOI

[29]
隋辉, 王文. 《中国高血压基层管理指南》(2014年修订版)要点解读[J]. 临床荟萃, 2015, 30(7): 4

SUI H, WANG W. Commentary on Chinese Guidelines for the Management of Hypertension in the Community (2014 Revised Edition)[J]. Clinical Focus, 2015, 30(7): 4.

Outlines

/