湿地生物多样性

广西大风江河口湿地水鸟群落组成及多样性

  • 谭海军 , 1 ,
  • 易春凤 2 ,
  • 刘路明 3 ,
  • 蒋爱伍 , 1, *
展开
蒋爱伍,教授。E-mail:

谭海军(1997—),男,广东省湛江人,硕士研究生,从事鸟类生态学研究。E-mail:

收稿日期: 2024-10-18

  修回日期: 2025-02-11

  网络出版日期: 2026-03-12

版权

版权所有©《湿地科学》编辑部2025
谭海军, 易春凤, 刘路明, 等. 广西大风江河口湿地水鸟群落组成及多样性[J]. 湿地科学, 2025, 23(6): 1236-1245 [Tan H J, Yi C F, Liu L M, et al. Composition and diversity of waterbirds’ community in the Dafeng River Estuary, Guangxi. Wetland Science, 2025, 23(6): 1236-1245

Composition and diversity of waterbirds’ community in the Dafeng River Estuary, Guangxi

  • Tan Haijun , 1 ,
  • Yi Chunfeng 2 ,
  • Liu Luming 3 ,
  • Jiang Aiwu , 1, *
Expand

Received date: 2024-10-18

  Revised date: 2025-02-11

  Online published: 2026-03-12

Copyright

Copyright ©2025 Wetland Science. All rights reserved.

摘要

广西大风江河口位于东亚−澳大利西亚候鸟迁飞通道上,是北部湾沿海地区水鸟重要的栖息地,了解该区域水鸟的群落结构和多样性对中国沿海候鸟保护工作具有重要意义。2022年1—12月,采用样点法和直接计数法,对广西大风江河口湿地的6个调查样点和4种类型生境的水鸟群落开展调查。研究结果表明,共记录到水鸟7目12科87种,累计数量74 394只次。其中,国家一级重点保护鸟类有4种,包括勺嘴鹬(Calidris pygmaea)、小青脚鹬(Tringa guttifer)、黑脸琵鹭(Platalea minor)和黑嘴鸥(Saundersilarus saundersi),国家二级重点保护鸟类有8种。列入IUCN红色名录极危物种1种,濒危物种4种,易危物种5种,近危物种8种。大风江河口水鸟群落组成具有明显的季节变化,秋季和冬季水鸟种类和数量较多,其优势物种为红嘴鸥(Chroicocephalus ridibundus)、黑腹滨鹬(Calidris alpina)和蒙古沙鸻(Charadrius mongolus)。在大风江河口湿地,记录到灰鸻(Pluvialis squatarola)、环颈鸻(Charadrius alexandrinus)、蒙古沙鸻和黑腹滨鹬的月最大数量超过东亚−澳大利西亚候鸟迁飞通道种群数量的1%,达到国际重要湿地的标准。不同生境中的水鸟群落组成存在差异,在养殖塘生境记录到水鸟种类最多,为51种,农田则最少,仅有21种。广西大风江河口湿地是东亚−澳大利西亚候鸟迁飞通道重要的中途停歇地和越冬地,亟须加强相应管理与有效保护。

本文引用格式

谭海军 , 易春凤 , 刘路明 , 蒋爱伍 . 广西大风江河口湿地水鸟群落组成及多样性[J]. 湿地科学, 2025 , 23(6) : 1236 -1245 . DOI: 10.13248/j.cnki.wetlandsci.20240272

Abstract

The estuary of the Dafeng River in Guangxi, situated along the East Asian-Australasian Flyway, serves as a crucial habitat for a multitude of migratory birds along the coast of the Beibu Gulf. Currently, systematic research on waterbirds at the Dafeng River Estuary remains scarce. Understanding the community structure and diversity of waterbirds in this region is of great significance for the conservation of coastal migratory birds. From January to December 2022, we conducted surveys of waterbird communities in six sampling sites across four habitat types, using the method of sampling sites and direct counting in the Dafeng River Estuary wetlands. The survey recorded a total of 87 waterbird species from 12 families and 7 orders, with a cumulative count of 74 394 individuals. Among these species, four were national first-class protected species, including Spoon-billed Sandpiper(Calidris pygmaea), Spotted Greenshank(Tringa guttifer), Black-faced Spoonbill (Platalea minor) and Saunders's Gull (Saundersilarus saundersi). And eight were national second-class protected species. One globally critically endangered (CR) species, four globally endangered (EN) species, five globally vulnerable (VU) species and eight near threatened (NT) species were observed. The waterbird diversity showed significantly seasonal variation, with more species and numbers of waterbirds in autumn and winter. The dominant species were Black-headed Gull (Chromocephalus ridibundus), Dunlin (Calidris alpina) and the Lesser Sand Plover (Charadrius mongolus). In Dafeng River Estuary, the maximum monthly numbers of Grey Plover(Pluvialis squatarola), Kentish Plover(Charadrius alexandrinus), Lesser Sand Plover and Dunlin were recorded to exceed 1% of the population size along the East Asian-Australasian Flyway, meeting the criteria for an internationally important wetland. The composition of waterbird communities varied in different habitats, with the highest number of recorded waterbird species at 51 in aquaculture ponds and fewest at 21 in farmland. In conclusion, coastal mudflat wetlands along the Dafeng River estuary in Guangxi satisfy the international criteria for significant wetlands, and is an important stopover site and wintering area for migrating waterbirds on the East Asian-Australasian Flyway. Urgent measures are needed to enhance their management and protection.

河口湿地处于海陆交界带,由咸淡水交汇而形成,是世界上最具生产力的生态系统之一[1-2]。河口湿地在维持生物多样性、提供食物、抵御风暴潮、固碳以及净化污染物等方面具有重要作用[3]。河口湿地还是水鸟重要的觅食地和繁殖栖息地[4-5]。水鸟是湿地生态系统中的重要组成部分和最具代表性的野生动物类群[6],也是监测湿地环境质量的重要指标[7]。通过对湿地水鸟组成和多样性的研究,能更好地了解湿地生态系统的生境状况和动态变化,对水鸟保护与湿地管理具有重要意义。
大风江位于广西壮族自治区南部,为广西北部湾主要的独流入海水系,全长185 km,流域面积为1 927 km2,是广西壮族自治区重要的河口湿地之一[8-9]。同时,复杂的水动力条件和多样的底质类型使得河口拥有丰富的生物资源[10],为沿海迁徙水鸟提供了良好的觅食地和栖息场所[11]。最近的调查表明,广西大风江河口湿地有勺嘴鹬(Calidris pygmaea)、黑脸琵鹭(Platalea minor)和黑嘴鸥(Saundersilarus saundersi)等全球濒危物种分布[12],可能是一个被忽略的重要水鸟栖息地,因此亟须对这一湿地开展系统的鸟类调查。
目前,学者已经对中国重要河口区域水鸟的组成、群落结构及多样性进行了研究[13-16],这些研究结果表明河口湿地拥有丰富的生物多样性,是诸多迁徙水鸟重要的栖息地。在广西壮族自治区北部湾区域,相关研究多集中在南流江口[1]和北仑河口[17]等典型河口,而作为北部湾湿地生态系统重要组成部分的大风江河口湿地,其水鸟群落的系统性调查、多样性特征及影响机制研究仍较为匮乏。为了解该区域水鸟资源现状和群落结构,于2022年1—12月,对广西大风江河口湿地水鸟群落的组成和多样性进行了调查研究,以期为北部湾沿海湿地的恢复与管理及水鸟保护提供科学依据。

1 数据和方法

1.1 研究区

研究区为广西壮族自治区钦州市犀牛脚镇海尾村至杨屋村(20°54′N~22°41′N,107°27′E~109°56′E)的沿海区域。该区域位于大风江河口的西岸,拥有面积广阔的泥滩、红树林、养殖池塘等生境类型。该区气候属南亚热带季风气候,气候温和,雨热同期,降水主要集中在6—9月,年平均气温为21.7 ℃,年降水量为1 852.4 mm,年日照时数为1 733 h,历年平均无霜期为220 d[18]。大风江河口周边海域潮汐主要为不规则全日潮[19],最大潮差为5.47 m,平均潮差为2.33 m。
将研究区内的生境划分为4类:①农田生境:位于研究区陆地内,种植水稻(Oryza sativa)、红薯(Ipomoea batatas)和芋头(Colocasia esculenta)等农作物,由于盐碱化部分农田已经撂荒。②养殖塘生境:海堤朝向陆地一侧的水产养殖池塘,以养鱼、虾为主,包括深水池塘(水深为100~200 cm)、放水捕捞后的干塘及废弃后仍维持较大浅水面积的池塘。③红树林生境:处于海堤的外侧,主要分布由秋茄树(Kandelia obovata)、桐花树(Aegiceras corniculatum)和白骨壤(Avicennia marina)等组成的红树植物群落,株高为2~4 m。④泥滩生境:位于红树林向海的一侧,未被先锋植物(盐沼植物或海草等)定植的裸露沉积区域,地表基质主要为泥质基质。

1.2 调查方法

由于水鸟主要在大风江口西岸湿地活动,故在大风江口西岸区域的滩涂、红树林、养殖塘和农田中,共设置了6个调查样点(图1),以上设置的调查样点涵盖水鸟活动的重要区域。
1 Distribution of waterbird survey sites in Dafengjiang River Estuary, Guangxi

广西大风江口水鸟调查样点分布示意

2022年春季(3月和5月)和秋季(9月和10月)鸟类迁徙期,在每个月的5—20日进行2次调查。受“新冠疫情”的影响,2022年4月和11月的鸟类调查未进行。在每个调查日,调查时间在每天的7:00—17:00,尽量包括最低潮位和最高潮位时段,选择晴朗无风或微风的天气进行鸟类调查。
采用样点法,利用双筒望远镜(Nikon 8×42)和单筒望远镜(SWAROVSKI 25~50×40),在各生境的调查样点进行观察,并记录水鸟的种类、数量。每次观察时间为15~30 min。同时借助长焦相机拍摄观察的鸟类,以便后期物种的鉴定和校正。对于个体数量较少的鸟类,则采用直接计数法记录[20]。当水鸟集群数量较大时,则采用集团估算法[21]。同时,为避免重复计数,在统计水鸟种群数量时,采用最大值保留法[22]
依据《中国鸟类观察手册》[23],对观察到的水鸟进行识别和鉴定。水鸟的分类系统参考《中国鸟类分类与分布名录》(第三版)[24],居留型参考《广西陆生脊椎动物分布名录》[25],鸟类保护等级参考《国家重点保护野生动物名录》(http://www.gov.cn/ zhengce/2021-02/05/content_5727412.htm),IUCN物种红色名录保护等级依据世界自然保护联盟(International Union for Conservation of Nature,IUCN)红色名录网站(https://www.iucnredlist.org/)确定。本研究中,主要参照Howse[26]对水鸟的定义,广义的水鸟主要包括鸭科(Anatidae)、䴙䴘科(Podicedidae)、秧鸡科(Rallidae)、鹭科(Ardeidae)、鸻科(Charadriidae)、反嘴鹬科(Recurvirostridae)、鹬科(Scolopacidae)、燕鸻科(Glareolidae)、鸥科(Laridae)、燕鸥科(Sternidae)、翠鸟科(Alcedinidae)和鹡鸰科(Motacillidae)共12科。

1.3 数据分析

采用Shannon-Wiener多样性指数[27]、Pielou均匀度指数[28]和Simpson优势度指数[29],统计分析不同类型生境内水鸟的群落结构与多样性。采用Sørensen相似性指数[30],分析不同生境水鸟群落的相似性。当群落相似性指数≥0.6时,两群落具有较高的相似性[31]
采用Berger-Parker优势度指数(I),确定水鸟的优势物种。当某种水鸟的I≥10%时,该物种为优势物种;当5%≤I<10%时,该物种为常见物种;当1%≤I<5%时,该物种为偶见物种;当I<1%时,该物种为稀有物种[32]

2 结果与分析

2.1 水鸟群落组成

2022年1—12月,在广西大风江河口共记录到水鸟7目12科87种,共计74 394只次(附表1)。其中,鸻形目水鸟的物种数最多,为51种,占该研究区水鸟总物种数的58.62%;其次为鹈形目的水鸟,有13种,占水鸟总物种数的14.94%;佛法僧目的物种数仅有3种。在调查中,鸻形目水鸟的数量相对最多,为71 475只次,占研究区水鸟总数量的96.08%;其次为鹈形目水鸟,记录到2 460只次,占水鸟总数量的3.31%。
在该研究区记录到的国家一级重点保护鸟类4种,为勺嘴鹬、小青脚鹬(Tringa guttifer)、黑脸琵鹭、黑嘴鸥;国家二级重点保护鸟类8种,分别为白琵鹭(Platalea leucorodia)、白腰杓鹬(Numenius arquata)、大杓鹬(Numenius madagascariensis)、翻石鹬(Arenaria interpres)、大滨鹬(Calidris tenuirostris)、阔嘴鹬(Calidris falcinellus)、大凤头燕鸥(Thalasseus bergii)和白胸翡翠(Halcyon smyrnensis)。根据IUCN红色名录,全球极危物种有1种,即勺嘴鹬;濒危物种有4种,为蒙古沙鸻(Charadrius mongolus)、大杓鹬、小青脚鹬和大滨鹬;易危物种有5种,为黑脸琵鹭、灰鸻(Pluvialis squatarola)、阔嘴鹬、弯嘴滨鹬(Calidris ferruginea)和黑嘴鸥;近危物种有8种,包括凤头麦鸡(Vanellus vanellus)、黑尾塍鹬(Limosa limosa)、斑尾塍鹬(Limosa lapponica)、白腰杓鹬、翻石鹬、红腹滨鹬(Calidris canutus)、红颈滨鹬(Calidris ruficollis)和黑腹滨鹬(Calidris alpina)(附表1)。另外,勺嘴鹬在2022年数量最多的记录在1月和3月,各6只。黑脸琵鹭最多数量记录在12月,为13只。大滨鹬和黑嘴鸥在2022年记录到的单次最大种群数量分别为468只、170只。
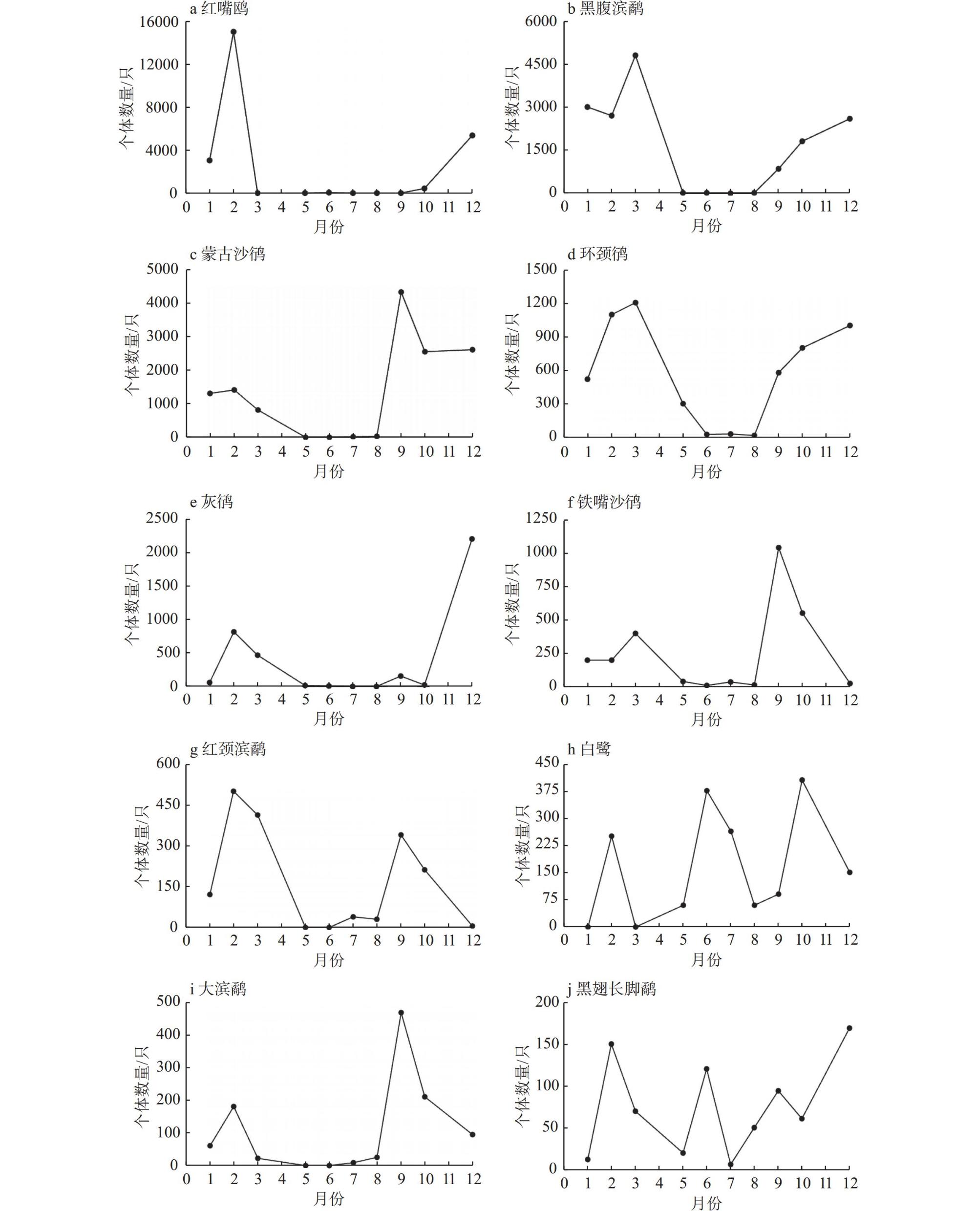
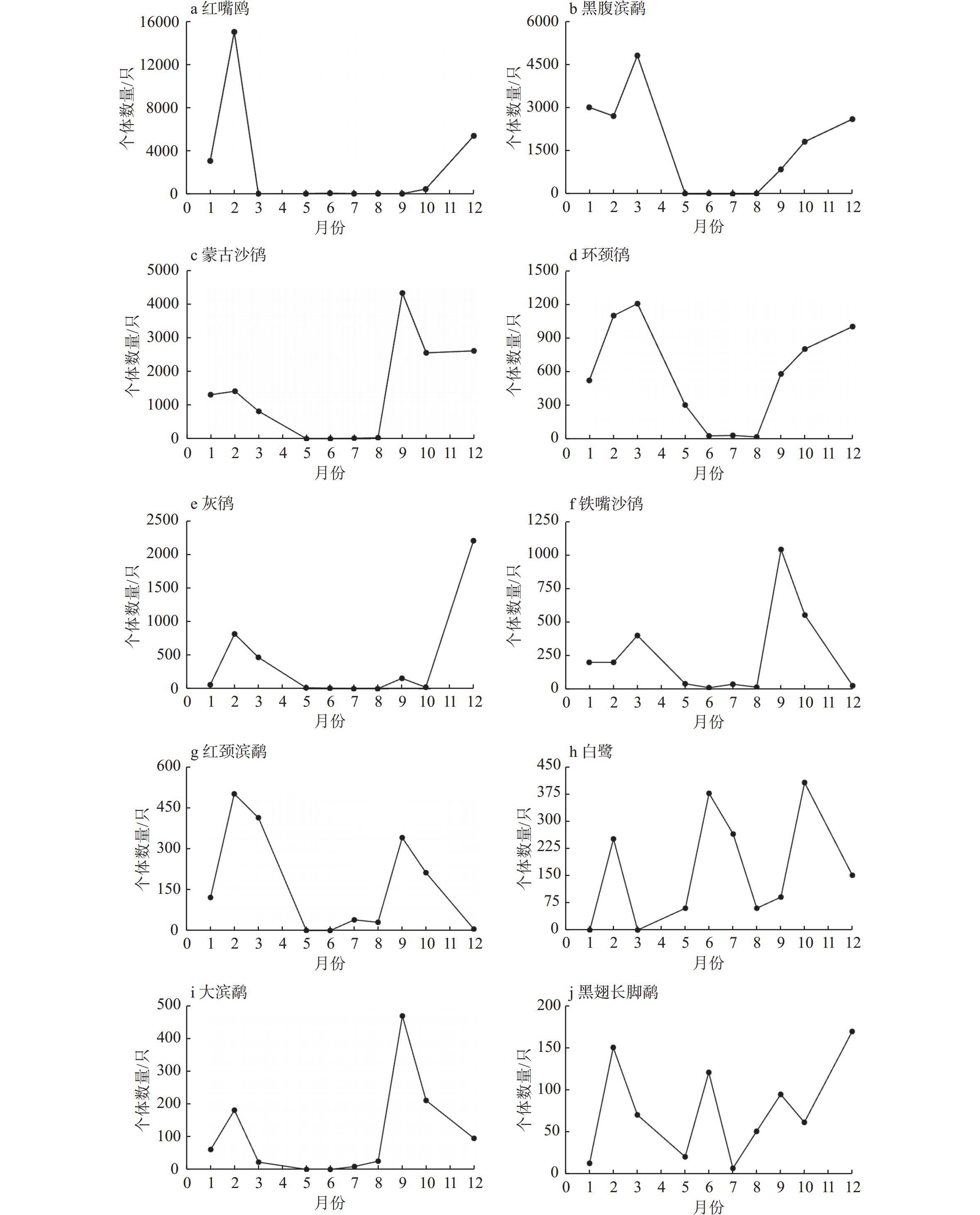
广西大风江河口记录到4种水鸟的月最大数量超过东亚−澳大利西亚候鸟迁飞通道种群数量的1%[33](表1),包括灰鸻、环颈鸻(Charadrius alexandrinus)、蒙古沙鸻和黑腹滨鹬。该区域水鸟群落的优势种有3种,即红嘴鸥(Chroicocephalus ridibundus)、黑腹滨鹬和蒙古沙鸻(图2),分别为23 746只次、15 773只次和13 021只次,共计52 540只次,占全年调查水鸟总数量的70.62%。在居留型方面,该研究区水鸟群落以冬候鸟为主,为58种,旅鸟有10种,而夏候鸟较少仅4种,分别占水鸟总物种数的66.67%、11.49%和4.60%。
1 Waterbird species in numbers that exceed 1% of the estimated the East Asian-Australasian Flyway(EAAF) population in Dafeng River Estuary in 2022

2022年大风江河口水鸟个体数量超过东亚−澳大利西亚候鸟迁飞通道种群[33]1%的物种

物种月最大
数量/只
最大数量
月份
EAAF
种群估计
1%阈值占EAAF
种群比例/%
灰鸻2 2002022年12月80 0008002.7
环颈鸻1 2052022年9月70 0007001.7
蒙古沙鸻4 3302022年9月25 50026016.6
黑腹滨鹬4 8002022年3月304 000~696 00046001.0
2 Variations of the number of the 10 most abundant waterbird species recorded in Dafeng River Estuary in 2022

2022年广西大风江河口记录到数量最多的前10种水鸟物种在不同月份的数量变化

2.2 水鸟群落多样性

广西大风江河口湿地水鸟物种和数量具有较明显的季节变化。水鸟的物种数在10月最多,为58种,占全年水鸟总物种数的66.67%,而5月水鸟物种数最低,仅17种,占19.54%(图3)。1—12月,水鸟数量分布差异较大,其中水鸟数量的峰值在2月,为22 690只次。而5—8月,记录到水鸟数量较少,为300~800只次。
3 Changes in waterbird species and abundance by month in Dafengjiang River Estuary, Guangxi in 2022

2022年不同月份广西大风江河口水鸟种类和数量的变化

调查期间,秋季记录到水鸟种类最多,为65种;春季最低,仅31种(表2)。冬季水鸟数量达到高峰,为46 123只次;而夏季水鸟数量最低,仅2 316只次,但其Shannon-Wiener多样性指数、Simpson优势度指数和Pielou均匀度指数在夏季却最高,其次为秋季。
2 Monthly changes in diversity index of waterbird communities of the Dafeng River Estuary wetland in Guangxi

2022年广西大风江河口湿地水鸟群落多样性指数月变化

季节 物种
数/种
数量/
只次
Shannon-Wiener
多样性
指数
Simpson
优势度
指数
Pielou
均匀度
指数
春季(3月、5月) 31 8 189 2.311 0.631 0.466
夏季(6—8月) 47 2 316 3.863 0.867 0.696
秋季(9—10月) 65 17 766 3.144 0.798 0.522
冬季(1—2月、12月) 60 46 123 2.416 0.691 0.409

2.3 不同生境中的水鸟群落

在研究区的4类生境中,养殖塘生境记录到的水鸟物种数最多,为51种,其中包括蒙古沙鸻、铁嘴沙鸻和金眶鸻等小型鸻鹬类。泥滩生境次之,为49种,包括大部分鸻鹬类水鸟,如红嘴鸥、黑腹滨鹬和灰鸻等。而农田生境的物种数最少,为21种,主要有池鹭、大白鹭和牛背鹭等。
在水鸟群落相似性的方面,各类型生境表现出一定程度的差异。红树林生境和泥滩生境水鸟群落Sørensen相似性指数最大,为0.535(表3);而农田水鸟群落和泥滩水鸟群落相似性指数最小,为0.171。另外,农田生境水鸟群落与其他3种生境水鸟群落的相似性都很低。因此,以上4种生境水鸟群落相似性都偏低,水鸟群落组成差异较大。
3 Similarity index of waterbird communities in four types of habitats in Dafeng River Estuary wetland, Guangxi

广西大风江河口湿地4种类型生境水鸟群落的相似性指数

生境农田养殖塘红树林泥滩
农田1.0000.3610.2330.171
养殖塘1.0000.4380.460
红树林1.0000.535
泥滩1.000

3 讨 论

广西大风江河口是东亚−澳大利西亚候鸟迁飞通道上重要的中途停歇地和越冬地,同时也是北部湾沿海继广西北仑河口自然保护区[34]、广西山心沙岛[35]、广西山口红树林自然保护区[36]、湛江红树林保护区[37]和海南东寨港自然保护区[38]之后新发现的大量水鸟聚集地。由于处于海陆交界带,在水文条件和沉积物堆积的长期影响下,大风江河口大型底栖生物资源丰富,空间异质性大,为沿海水鸟提供了充足的食物资源和良好的栖息环境[39]。本研究共记录到灰鸻、环颈鸻、蒙古沙鸻和黑腹滨鹬4种水鸟的当月最大数量超过了东亚−澳大利西亚迁飞通道水鸟种群数量的1%(表1)。特别是全球极危物种勺嘴鹬,在2022年1月和3月记录到的最大数量都为6只。根据《国际重要湿地公约》的评估标准,若湿地定期支持某一水禽物种或亚种种群1%以上的个体数量,符合国际重要湿地标准[40]。广西大风江河口湿地符合国际重要湿地标准,对东亚−澳大利西亚候鸟迁飞通道上的一些全球濒危物种的生存和保护具有重要意义。
有研究发现,2020—2021年的迁徙季节,在广西北部湾沿海地区观察到的15只环志勺嘴鹬,其中有8只(53.3%)个体在大风江河口湿地被记录[41]。此外,2024年3月,在大风江河口潮间带单次记录到勺嘴鹬16只,占全球勺嘴鹬成鸟数量的3.6%[42]。综上所述,广西大风江河口是东亚−澳大利西亚候鸟迁飞通道的重要节点,是勺嘴鹬重要的迁徙停歇地和越冬地,对维持迁徙期间勺嘴鹬的能量补给可能特别重要。
与北部湾其他水鸟聚集地相比(表4),广西大风江河口湿地优势物种为红嘴鸥、黑腹滨鹬和蒙古沙鸻。红嘴鸥常见于北部湾的大多数滩涂湿地,在各研究区均有较高的数量。蒙古沙鸻在广西沿海地区分布较多,尤其是大风江河口和山新沙岛,这可能与其从广西沿海直接迁徙到内陆繁殖地区的路线有关[41]。黑腹滨鹬是广西大风江河口第二优势种,与广东湛江红树林区优势种组成相似[37,43],两地皆拥有河口海湾类型湿地。已有大量研究表明,黑腹滨鹬是河口湿地优势物种之一[44-48],这可能与河口潮间带丰富的食物资源有关[49]。在非繁殖期,多毛类、腹足类、双壳类及甲壳类等大型底栖动物构成了鸻鹬类的主要食物来源[50-51]。黑腹滨鹬属于机会主义觅食者,偏好在泥质生境中觅食[52]。在迁徙季期间,黑腹滨鹬主要在河口高潮区的泥滩觅食,以补充能量[53]。大风江河口对黑腹滨鹬越冬的栖息地利用及食物偏好的具体影响未来仍需进一步研究。
4 Comparison of dominant waterbird species among major habitats in coastal Beibu Gulf, Guangxi

广西北部湾沿海地区主要水鸟聚集地优势物种比较

广西大风江河口广西山心沙岛[35]广西山口红树林保护区[36]湛江红树林保护区[37]海南东寨港保护区[38]
物种比例/%物种比例/%物种比例/%物种比例/%物种比例/%
注:比例表示优势物种占该研究区域水鸟个体总数量的百分比。
红嘴鸥31.9环颈鸻22.8环颈鸻29.1红嘴鸥23.8白鹭19.6
黑腹滨鹬21.2红嘴鸥20.2白鹭15.9白鹭15.4灰翅浮鸥10.8
蒙古沙鸻17.5蒙古沙鸻18.0青脚鹬11.6黑腹滨鹬10.8黑翅长脚鹬10.1
众多水鸟在不同的时空节点上依赖滩涂、盐田、养殖塘等多种复合生境[54]。该研究区水鸟活动于河口地带不同的生境中,在浅海、泥滩及红树林活动的鸟类随着涨潮而转移到陆地内侧的生境活动或休息。本研究发现,红树林与泥滩的水鸟群落相似度高于其他生境(表3),这是由于鸟类活动的特点和生态交错带的边缘效应。研究表明,红树林中的鸟类会选择性地利用红树林及周边多种生境,而红树林仅作为其部分和阶段性的栖息地[55-56]。本研究中记录到的白鹭、中白鹭、池鹭和白鹡鸰在以上4种生境都有分布。鹭科鸟类为常见的红树林鸟类,活动范围广,主要在潮沟、养殖塘、农田等生境中觅食,涨潮后在农田或红树林上休息。
沿海水产养殖塘等人工湿地为鸻鹬类水鸟提供了重要的高潮栖息地[57-59],对维持水鸟种群的生存具有重要作用。在本研究中养殖塘生境记录到的水鸟物种组成与北仑河口养殖塘区[60]及山口红树林保护区[36]人工生境的调查结果相似,主要为鸻鹬类和鹭类。鸻鹬类对栖息地的利用主要受潮汐周期的影响,涨潮时随着水线逐渐转从泥滩移到潮上带区域,多选择水产养殖塘等人工生境作为高潮期的停歇地[61]。鸻鹬类对养殖塘生境的利用主要以休息与睡眠为主。大量研究表明,水深是限制水鸟栖息地利用的主要因素,且与物种的形态和觅食行为密切相关[62-64]。对于跗跖较长的鸟类,如鹭类可以在较深的水中活动,而小型鸻鹬类喙、腿较短,如黑腹滨鹬容易受到水位变化的影响,偏好在水深低于4 cm的浅水区或湿润的裸地活动[65]。冬季和春季,本研究区的水产养殖塘放水捕捞后,形成大面积潮湿的裸地或水深为5~10 cm的浅水区,且草本植物少覆盖度低,为沿海迁徙的蒙古沙鸻、环颈鸻及黑腹滨鹬等小型鸻鹬类提供了良好的替代栖息地。
河口滩涂是鸻鹬类水鸟最主要的觅食地,对候鸟的食物供给和能量补充至关重要[66]。然而受沿海开发和水产养殖的影响,滩涂湿地遭受破坏[67]。调查期间发现,当地居民对高潮滩和中潮滩进行围垦养殖。高潮滩的暴露时间长,拥有较高的底栖动物密度和生物量,是水鸟高质量的觅食区域[68]。对光滩的大规模围垦,导致水鸟可利用的觅食地和栖息地面积减少,对候鸟迁徙产生巨大压力。
中国沿海湿地是全球数百万只水鸟重要的繁殖地、迁徙停歇地和越冬地[11]。全球潮间带滩涂的面积在1984—2016年期间下降了16%[69]。东亚−澳大利西亚迁飞通道上的水鸟种群数量急剧下降,受胁物种增多[70-71],主要与关键中途停歇地的退化与丧失有关[72-74]。广西壮族自治区自然滨海湿地面积在2000—2016年期间减少了23.24 km2,而人工养殖塘面积增加6.35 km2[75]。这些人工养殖塘大多进行商业化管理,高潮期为迁徙水鸟提供的停歇地有限,因此,广西大风江河口沿岸地区需要重视对人工湿地的季节性管理,尤其是水产养殖塘,可利用生态补偿政策,在非养殖期租用水产养殖塘,重新引水并保持一定水位,为沿海水鸟提供适宜的栖息环境[76]。此外,高潮滩是沿海鸻鹬类水鸟重要的觅食区域,对水鸟种群的维护尤为重要,需要加强对潮间带滩涂的养护。

4 结 论

广西大风江河口湿地是东亚−澳大利西亚候鸟迁飞通道上的重要节点。2022年1—12月,在大风江河口地区共记录到水鸟7目12科87种,合计74 394只次。其中包括国家一级重点保护鸟类4种,国家二级重点保护鸟类8种。水鸟组成以雁鸭、鸻鹬类和鹭科鸟类为主,优势物种主要有3种,为红嘴鸥、黑腹滨鹬和蒙古沙鸻。
目前,大风江河口已被列入广西壮族自治区第二批湿地名录,但仍需进一步强化有效管理与保护。

附录

附表1 广西大风江河口水鸟名录
Appendix Table 1 Checklist of waterbirds in the Dafeng River Estuary, Guangxi
1
2
3
4
5
6
7
8
9
10
11
12
13
14
15
16
17
18
19
20
21
22
23
24
25
26
27
28
29
30
31
32
33
34
35
36
37
38
39
40
41
42
43
44
45
46
47
48
49
50
51
52
53
54
55
56
57
58
59
60
61
62
63
64
65
66
67
68
69
70
71
72
73
74
75
76
文章导航

/