湿地生物与环境

山西省中部地区大型底栖动物群落结构特征与水质生物评价

  • 金珂 ,
  • 秦立鹏 ,
  • 姬诚炜 ,
  • 杨慧轩 ,
  • 耿志远 ,
  • 刘青 ,
  • 刘少贞 ,
  • 宋晶 , *
展开
宋晶,副教授。E-mail:

金珂(2000—),女,吉林省长春人,硕士研究生,从事水生生物学研究。E-mail:

收稿日期: 2024-03-04

  修回日期: 2024-05-30

  网络出版日期: 2026-03-12

版权

版权所有©《湿地科学》编辑部2025
金珂, 秦立鹏, 姬诚炜, 等. 山西省中部地区大型底栖动物群落结构特征与水质生物评价[J]. 湿地科学, 2025, 23(2): 385-396 [Jin K, Qin L P, Ji C W, et al. Assessment of water quality and macrobenthos community structure in central Shanxi Province[J]. Wetland Science, 2025, 23(2): 385-396

Assessment of water quality and macrobenthos community structure in central Shanxi Province

  • Jin Ke ,
  • Qin Lipeng ,
  • Ji Chengwei ,
  • Yang Huixuan ,
  • Geng Zhiyuan ,
  • Liu Qing ,
  • Liu Shaozhen ,
  • Song Jing , *
Expand

Received date: 2024-03-04

  Revised date: 2024-05-30

  Online published: 2026-03-12

Copyright

Copyright ©2025 Wetland Science. All rights reserved.

摘要

为了评价山西省中部地区河流水生态健康状况,于2023年10月对黄河流域、汾河流域及海河流域的22个采样点开展大型底栖动物群落调查,结合Shannon-Wiener多样性指数、BPI指数等7项生物指标评价水质,并通过冗余分析(RDA)解析环境驱动因子。研究结果显示,共鉴定出大型底栖动物128种,耐污种占比为79.69%,优势种为拟细裳蜉(Paraleptophlebia sp.)、细蜉(Caenis sp.)和喙隐摇蚊(Cryptochironomus rostratus)。水质评价结果表明,该区域黄河流域整体处于中污染(Ⅳ级采样点占38.9%);汾河流域为轻–中污染(Ⅲ-Ⅳ级占65.6%);海河流域上游水质最优(Ⅴ级仅占7.5%)。RDA分析结果揭示有机物污染是核心驱动因子(主成分1贡献率为39.8%),且与人口密度及农业面源污染显著正相关。建议优先管控生活污水与农业面源污染,并建立以EPT类群为指示物种的长期监测体系。本文可为黄土高原半干旱区水生态修复提供科学依据。

本文引用格式

金珂 , 秦立鹏 , 姬诚炜 , 杨慧轩 , 耿志远 , 刘青 , 刘少贞 , 宋晶 . 山西省中部地区大型底栖动物群落结构特征与水质生物评价[J]. 湿地科学, 2025 , 23(2) : 385 -396 . DOI: 10.13248/j.cnki.wetlandsci.20240060

Abstract

The central region of Shanxi Province, located in the semi-arid Loess Plateau of northern China, is characterized by severe spatial and temporal disparities in freshwater resource distribution. Rapid urbanization, intensive agricultural activities, and climate variability have exacerbated water scarcity, leading to overexploitation and degradation of aquatic ecosystems. To systematically evaluate the ecological health of river systems in this region, this study conducted a comprehensive survey of macroinvertebrate communities across three major river basins: the Yellow River Basin, Fenhe River Basin, and Hai River Basins in October 2023. A total of 22 sampling sites were selected to represent diverse hydrological conditions, including headwater streams, mid-reach channels, and downstream zones influenced by human's impact. Standardized kick and sweep hand net sampling was conducted using a Sobol net (mesh size: 500 μm) to collect samples of large invertebrates, which were then identified to the lowest possible taxonomic level. Community structure and biodiversity were assessed using seven biological indices: the Shannon-Wiener Diversity Index (H'), Simpson's Dominance Index (d), Margalef's Richness Index (dm), Pielou's Evenness Index (J), the Biotic Pollution Index (BPI), the EPT Index (Ephemeroptera, Plecoptera, Trichoptera), and the Percentage of Dominant Taxa. Water quality was classified according to China’s national standards (GB 3838-2002), where Grade I represents clean and Grade V indicates severe pollution. Environmental variables, including dissolved oxygen (DO), chemical oxygen demand (COD), total nitrogen (TN), total phosphorus (TP), pH, and watershed-scale factors, were measured to identify drivers of ecological degradation through Redundancy Analysis (RDA). Key findings revealed significant spatial heterogeneity in water quality and biotic responses. A total of 128 macroinvertebrate species from 48 families were identified, dominated by pollution-tolerant taxa (79.69%). The most abundant species included Paraleptophlebia sp. (Ephemeroptera), Caenis sp. (Ephemeroptera), and Cryptochironomus rostratus (Chironomidae), which collectively accounted for 53.4% of total abundance. Sensitive EPT taxa, such as Baetis sp. and Hydropsyche sp., were largely absent from urbanized and agricultural zones. 38.9% of sites were classified as Grade IV (moderate pollution), with elevated COD and TN linked to industrial discharges in Yellow River Basin. 65.6% of sites fell into Grades III–IV (light to moderate pollution) in Fen River Basin, correlating with high agricultural runoff. Upstream regions exhibited the best water quality in Hai River Basin, with only 7.5% of sites categorized as Grade V (heavily polluted), primarily near coal mining areas. RDA ordination explained 68.3% of cumulative variance, with the first axis (39.8%) strongly associated with organic pollution. Agricultural non-point source pollution and population density were key anthropogenic stressors. These results underscore the critical role of organic pollutants and land-use practices in shaping aquatic ecosystem health. To address these challenges, we propose a dual strategy: Immediate Mitigation: Prioritize wastewater treatment upgrades in urban clusters and implement precision agriculture technologies (e.g., controlled-release fertilizers) to reduce nutrient runoff. Long-term Monitoring: establish a basin-wide biomonitoring network using EPT taxa as bioindicators, supplemented by remote sensing for real-time pollution tracking. This study provides a scientific foundation for adaptive management in semi-arid regions, emphasizing the need to reconcile economic development with ecological resilience in the Loess Plateau. Future research should explore seasonal variability in macroinvertebrate assemblages and integrate climate projections to forecast long-term ecosystem trajectories.

大型底栖动物主要由软体动物、水生昆虫、甲壳动物及环节动物组成,由于其易于识别,生活周期较长,处于河流生态系统食物链的中间环节并且对污染敏感,故常被用来为环境质量监测和水质评价提供依据[1]。相较于鱼类和浮游植物,大型底栖动物迁徙能力弱,更适合河流生态健康评价[2]。大型底栖动物种类组成、空间分布和多样性水平等受栖息地的环境因素影响较大,沉积环境变化和人为干扰都会引起大型底栖动物群落结构的改变[3],因此,研究环境因素对大型底栖动物群落的影响具有重要意义。
欧盟发布的《水框架指令》、美国的《清洁水案》等都强调了对水生态系统结构和功能的重视[4-5]。在水生态健康评价中,基于大型底栖动物的多样性指数和完整性指数评价水生态健康状况是目前应用较广泛的方法[6],常见的大型底栖动物评价水质方法有BI指数(Biotic Index)、BMWP计分系统(Biological Monitoring Working Party)、Goodnight-Whitely指数和α-多样性指数[6]等。BI指数是利用水体中指示生物的种类、数量及对水污染的敏感性建立的可以表示水环境质量的数值[7]。 耐污值是反映生物忍耐和适应外界环境干扰的指标,具有一定稳定性,其与BI指数负相关,高耐污物种占优会导致BI指数降低[8]。但是在不同区域的实际应用中,需要对大型底栖动物科级的敏感值和耐污值进行修订。目前,大型底栖动物耐污值在华东地区[1,9]和辽宁省[10-11]有详细的研究数据。刘玉等[12]针对国内水质对BMWP指数和ASPT指数做过修正。与BI指数不同的是,生物多样性指数通过描述群落中各物种的组成状况来反映水域中有机污染对种群产生的影响,进而对水质级别进行划分,其理论依据是有机污染的加重会对大型底栖动物的种类多样性产生负面影响,同时会导致耐污物种数量的增加[13]。刘爱玲等[14]利用BI指数、BMWP计分系统等评价了八里湖生态健康状况;在黄河流域,李宁等[15]采用EPT(即蜉蝣目、襀翅目和毛翅目动物的总称)分类单元、敏感类群、耐污类群等10个大型底栖动物群落组成指标,并结合Shannon-Wiener多样性指数和Pielou均匀度指数,对湟水河上游的水体健康状况进行了评价,评价结果与水体理化指标的结果基本一致。惠晓梅等[16]选取了与大型底栖动物相关的8个生物指数,用于沁河山西段的水质评价并分析了各生物指数的适用性,除Margalef指数外,其他生物指数的评价结果准确率均低于50%。上述研究表明,生物指数在不同地理环境下的适用性有明显差异,尤其在半干旱区域受限于底栖动物区系单一性和生境异质性,单一指数评价的可靠性可能会降低;湖泊、高原河流的生态特征差异显著,生物指数在人类干扰区域的适应性有待验证。
山西省中部地区是重要的农业基地,人口稠密且矿产资源丰富,对山西省的经济具有重要影响。该区域淡水资源为居民生活、工农业用水及水生生物生存提供了重要保障,但水情面临严峻挑战:人多水少、水资源时空分布不均等问题突出,加之过度开发与粗放利用,导致水生态系统严重退化[17]。本研究对山西省中部地区主要河流大型底栖动物群落组成和结构特点开展调查,分析大型底栖动物群落特征与水体理化指标的关系,并采用α-多样性指数和水质生物指数,对主要河流的水质进行评价,以期为山西省中部地区河流水生态系统完整性、水环境质量保护和水生生物多样性保护提供数据支持。

1 材料与方法

1.1 研究区

山西省中部地区(36°40′N~38°06′N,111°25′E~114°05′E)包括吕梁市、太原市、阳泉市和晋中市,属黄土高原东部河谷盆地地貌单元。该区域气候为温带大陆性季风气候,年平均气温为8.5~11.5 ℃,年降水量为450~580 mm,降水集中于6–9月,干燥度指数为1.5~2.0,呈现显著半干旱特征。自然植被以旱生灌木为主,如荆条(Vitex negundo)、酸枣(Ziziphus jujuba var. spinosa),河岸带湿地分布有芦苇(Phragmites australis)、香蒲(Typha orientalis)等群落。土壤类型以褐土为主,成土母质多为黄土,pH为7.8~8.5[18]
研究区涵盖黄河流域、汾河流域和海河流域。黄河流域(36°52′N~37°47′N,110°34′E~111°30′E)自北向南流经吕梁市离石区至石楼县,河床平均比降1.2‰,年平均输沙量为1.2×108t,中游支流受黄土侵蚀影响含沙量较大,河川径流的季节性变化较大,生境稳定性较差[19],且作为山西省中部地区主要供水源,本研究将其作为重点分析对象,以揭示高干扰强度下的水生态退化机制。汾河流域中游(37°20′N~37°55′N,111°30′E~112°45′E)流经太原市区及晋中盆地,受工业废水与生活污水影响显著[20]。海河流域清漳河上游(37°10′N~37°50′N,113°15′E~114°05′E)以山区河流为主,植被覆盖率>60%,底质以砾石为主,生境稳定性较高[21]

1.2 采样点设置

根据采样点的水量和底质类型等情况,2023年10月1–6日,在山西省中部地区黄河流域、汾河流域、海河流域共布设了22个采样点(图1表1)。这些采样点覆盖了山西省中部地区河道交汇、人群聚集的生态敏感区。
1 Location distribution of sampling sites in central Shanxi Province

山西省中部地区采样点位置分布

1 The basic information of sampling points

采样点基本信息

采样点序号采样点所在河流所属水系经纬度
注:采样点序号中的F、Hu、Ha表示采样点位于汾河流域、黄河流域、海河流域,数字为采样点序号;所属水系的HU、HA表示属于黄河、海河水系,下标1~5表示所属干流的一级至五级支流。
F1汾河HU137°59'09"N,112°01'25"E
F2杨兴河HU237°30'19"N,112°02'14"E
F3磁窑河HU237°03'40"N,111°51'50"E
F4潇河HU238°02'16"N,112°38'14"E
F5潇河HU237°36'06"N,112°36'00"E
F6岚河HU238°13'12"N,111°45'35"E
F7文峪河HU237°15'29"N,111°58'38"E
F8文峪河HU237°42'05"N,112°53'59"E
Hu1北川河HU137°23'33"N,110°37'51"E
Hu2三川河HU137°38'13"N,110°47'23"E
Hu3岚漪河HU138°30'25"N,110°53'16"E
Hu4湫水河HU138°36'09"N,110°53'44"E
Hu5黄河HU237°27'40"N,111°06'23"E
Hu6三川河HU237°33'32"N,111°08'27"E
Hu7蔚汾河HU238°01'20"N,111°22'23"E
Hu8北川河HU137°11'18"N,110°45'16"E
Hu9南川河HU137°26'58"N,110°55'58"E
Ha1桃河HA338°25'22"N,113°15'07"E
Ha2乌河HA537°28'11"N,113°29'30"E
Ha3甘陶河HA537°51'11"N,113°41'45"E
Ha4清漳东源HA437°43'01"N,114°03'10"E
Ha5清漳西源HA537°18'23"N,113°10'31"E

1.3 样品采集与测定

采用索伯网(面积0.1 m2,网目500 μm),进行定量采样;利用D形抄网(网目250 μm),辅助定性采集。在每个样地选择缓流区作为中间样点,该点上下游50 m处为平行样点,以“之”字形路径拖网3次,覆盖10 m河段。采集的底泥经40目筛网冲洗,挑取大型底栖动物保存于60 mL样品瓶,加入95%酒精固定,标记样点编号后冷藏运输至山西农业大学水生健康实验室。
在实验室中,利用体视显微镜(Olympus SZX16),并参考《淡水微型生物与底栖动物图谱》[22]、《中国北方摇蚊幼虫》[23]、《中国蜉蝣概述》[24]等,进行物种鉴定。所有样品尽可能鉴定到最低的分类单元,并计数、称湿质量。
水温(WT)、pH、溶解氧(DO)、电导率(CE)、浊度(Tur)、锰酸盐(CODMn)、氨氮(NH3-N)、总磷(TP)、总氮(TN)等水体理化指标数据来自国家地表水水质自动监测实时发布系统(https://szzdjc.cnemc.cn:8070/GJZ/Business/Publish/Main.html)。人口密度和GDP数据来自山西省统计年鉴[25]

1.4 数据处理

选择Shannon-Wiener多样性指数(H′)、Margalef丰富度指数(dm)、Pielou均匀度指数(J)、Simpson多样性指数(d)和物种优势度指数(Y),分析大型底栖动物群落特征,其计算公式详见文献[26-28]。当优势度指数Y>0.02时,为优势种。水质生物指数采用BPI指数、BI指数和BMWP计分系统,其计算公式为:
\begin{document}$ BPI=\frac{\mathrm{lg}(N_1+2)}{\mathrm{lg}(N_2+2)+\mathrm{lg}(N_3+2)} $\end{document}
\begin{document}$ BI=\frac{\displaystyle\sum _{i=1}^{N}{N}_{i}{t}_{i}}{N} $\end{document}
\begin{document}$ BMWP=\sum _{i=1}^{n}{SE}_{i} $\end{document}
式(1)~(3)中,N1为寡毛类、蛭类和摇蚊幼虫个体数;N2为多毛类、甲壳类、除摇蚊幼虫以外的其他水生昆虫个体数;N3为软体动物个体数;N为样品中所有物种的总个体数;Ni为第i个物种的个体数;ti为第i个物种的耐污值;SEi为第i个物种的科级敏感值。本研究所采用的科级敏感值和耐污值参考了国内耐污值的相关研究[9-10, 29]。7种大型底栖动物指数评价水质的分级标准见表2,其中BMWP标准分别参考水生态监测技术指南[29]和学者修订标准[11]
2 Biological index evaluation criteria

生物指数评价标准

指数优秀(Ⅰ)良好(Ⅱ)中等(Ⅲ)较差(Ⅳ)很差(Ⅴ)文献
BMWP>146>110~146>73~110>37~730~37[29]
BMWP*>80>51~80>25~51>10~250~10[12]
BI≤3.9>3.9~5.4>5.4~7.0>7.0~8.5>8.5[29]
BPI≤0.1>0.1~0.5>0.5~1.5>1.5~5.0>5.0[29]
Shannon-Wiener多样性指数(H’)>3.0>2.1~3.0>1.1~2.1>0.0~1.10.0[29]
Margalef丰富度指数(dm)>3.5>2.5~3.5>2.0~2.5>1.0~2.00.0~1.0[12]
Simpson多样性指数(d)0.00~0.20>0.20~0.40>0.40~0.60>0.60~0.80>0.80~1.00[12]
Pielou均匀度指数(J)>0.80~1.00>0.60~0.80>0.40~0.60>0.20~0.400.00~0.20[12]
使用Past 2.17软件,计算α-多样性指数。使用SPSS 22软件,进行相关分析和主成分分析。采用冗余分析方法,使用Canoco 5.15软件,分析环境因子与大型底栖动物的关系。分析前,将除pH外的生物和环境指标数据均转换成log(x+1)形式。大型底栖动物变量进行去趋势对应分析,以确定群落属于单峰型分布或线型分布,所有轴中梯度最大值为3.0~4.0,选用冗余分析方法[30]。利用ArcGIS 10.8软件,制作采样点分布图。使用Origin 2021制作柱状图、弦图。

2 结果与分析

2.1 大型底栖动物物种组成及群落特征

调查中所采集的标本鉴定出大型底栖动物128种,隶属4门8纲19目46科(附表1)。其中环节动物有9种,占总物种数的7.03%;软体动物有11种,占8.59%;节肢动物有107种,占83.59%;线形动物有1种,占0.78%。从种类数看,优势类群为水生昆虫,共有102种,占总物种数的79.69%。
在山西省中部地区调查的22个采样点中,大型底栖动物的优势种主要以水生昆虫为主,大多为耐污种(表3)。其中,优势度最高的是拟细裳蜉(Y=0.15)。在3个不同水系中,拟细裳蜉也占较大优势。中华颤蚓(Y=0.02)是污水种,集中出现在采样点Hu6和采样点Hu1,黄河水系其他采样点未见。
3 Dominance index of macrobenthos in various river systems of central Shanxi Province

山西省中部地区各水系大型底栖动物优势度指数

物种 山西中部
地区
汾河
水系
黄河
水系
海河
水系
克拉泊水丝蚓Limnodrilus claparedianus 0.02
中华颤蚓Tubifex sinicus 0.02
拟细裳蜉Paraleptophlebia sp. 0.15 0.11 0.14 0.11
细蜉Caenis sp. 0.04 0.07 0.07
山地亚美蜉Ameletus montanus 0.03
东方蜉Ephemera orientalis 0.02
卡罗长角纹石蚕Macrostemum carolina 0.06 0.02
短线短脉纹石蚕Cheumatopsyche brevilineata 0.05
喙隐摇蚊Cryptochinronomus rostratus 0.05 0.07 0.03 0.04
基弗摇蚊Kiefferulus sp. 0.07
在22个采样点中,大型底栖动物丰度排在前5位的分别为采样点Hu5(4 337.04 ind./m2)、采样点Hu9(4 003.37 ind./m2)、采样点F1(3 277.78 ind./m2)、采样点Ha1(2 818.52 ind./m2)和采样点Ha3(2 659.26 ind./m2),丰度最低的为采样点Hu1(51.85 ind./m2)(图2a)。大型底栖动物生物量排在前5位的分别为采样点Ha5(31.50 g/m2)、采样点F8(15.26 g/m2)、采样点F2(14.61 g/m2)、采样点Hu4(11.48 g/m2)和采样点F1(7.88 g/m2),生物量最低的是采样点Hu7,为0.05 g/m2(图2b)。
2 Abundance and biomass of benthos in central Shanxi Province

山西中部地区大型底栖动物丰度和生物量

表1。]]>

在22个采样点中,大型底栖无脊椎动物平均丰度为1 400.67 ind./m2。其中,环节动物平均丰度为127.95 ind./m2,占总丰度的9.13%;软体动物平均丰度为25.42 ind./m2,占1.81%;双翅目平均丰度为426.94 ind./m2,占30.48%;EPT动物平均丰度为775.25 ind./m2,占55.35%。大型底栖动物平均生物量为5.92 g/m2。其中,环节动物平均生物量为0.61 g/m2,占总生物量的10.32%;软体动物平均生物量为1.71 g/m2,占28.89%;双翅目平均生物量为0.32 g/m2,占5.36%;EPT动物平均生物量为1.79 g/m2,占30.30%。

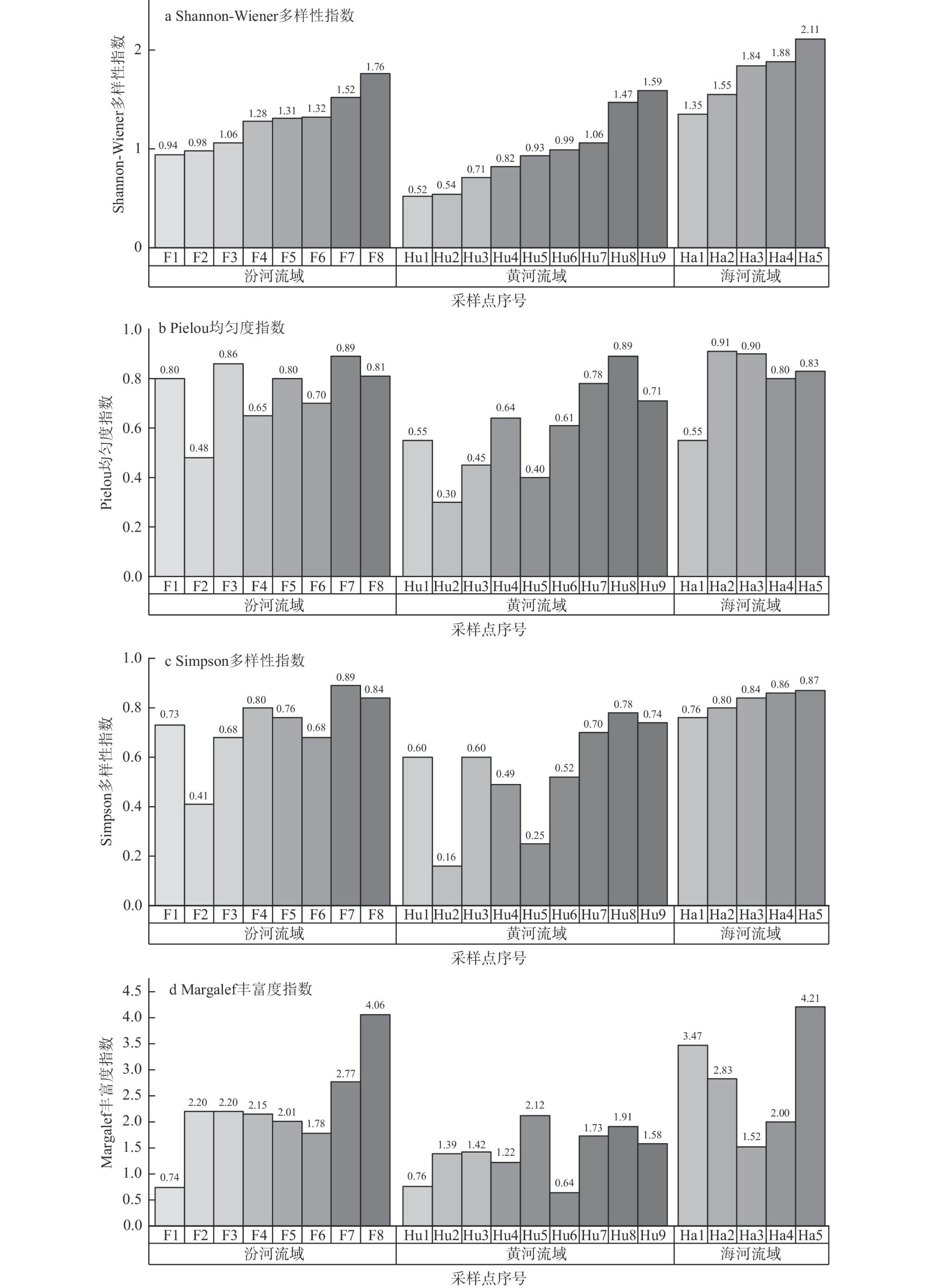
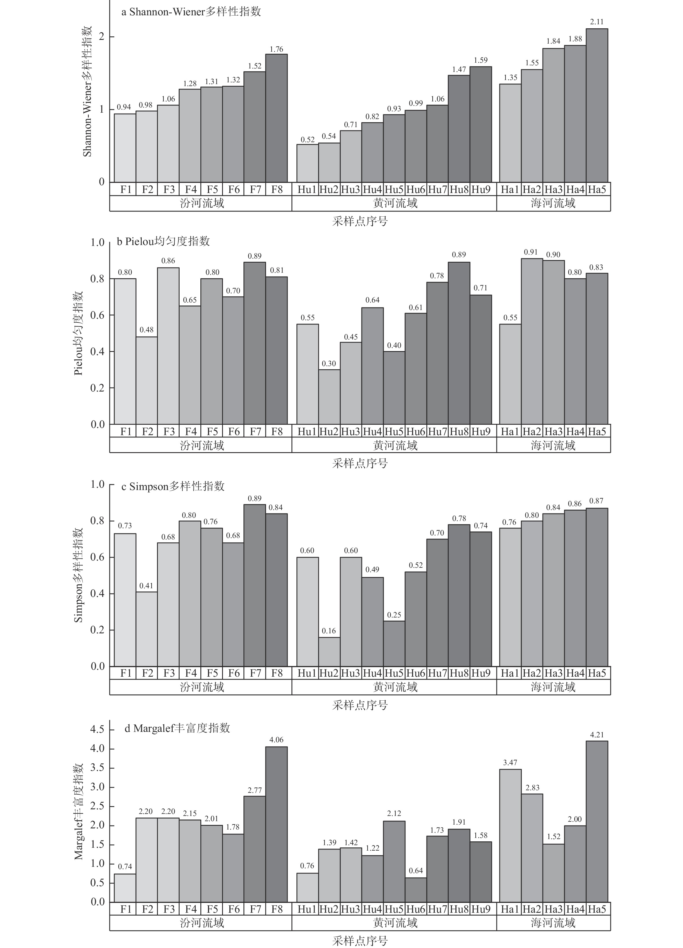
2.2 大型底栖动物多样性指数

从空间整体上看,汾河流域和海河流域大型底栖动物的Shannon-Wiener多样性指数平均值都高于黄河流域(图3),其二者生物多样性更丰富,与Margalef丰富度指数的结果趋势一致。4种多样性指数最低值的采样点均处于黄河流域,该流域生态稳定性相对较差。在22个采样点中,汾河流域Simpson多样性指数最高的是采样点F7(0.89);黄河流域中Simpson多样性指数最高的是采样点Hu8(0.89);海河流域中Simpson多样性指数最高的是采样点Ha2(0.91)。
3 α-Diversity indices of macrobenthos in central Shanxi Province

山西中部地区大型底栖动物α-多样性指数

2.3 不同评价指数的评价差异及相关分析

利用7种生物指数,对22个采样点的水质分别进行评价,并将评价结果分为Ⅰ~Ⅴ级,每个采样点水质评价等级及其所占的百分比关系如图4所示。
4 Evaluation results of biological indices for macrobenthos in central Shanxi Province

山西中部地区大型底栖动物生物指数的评价结果

大型底栖动物作为河流中主要的生物类群,其群落结构反映长期和短期的各类型人为活动影响,大型底栖动物评价指数均基于此原理构建[31]。汾河流域中,水质评价等级为Ⅲ和Ⅳ的采样点占多数(65.6%),评定为轻–中污染;黄河流域中,水质评价等级为Ⅲ和Ⅳ的采样点占多数且Ⅳ的比例更大(38.9%),评定为中污染;海河流域上游相较中下游水质更好,水质评价结果为Ⅴ的占比最少(7.5%),整体表现为轻–中污染(图4)。虽然部分指数的评价结果存在相似之处,如BPI、Margalef丰富度指数和Simpson多样性指数等,但大部分指数的评价结果仍有较大差异(图4),对河流整体水质的评价结果也不相同。如Shannon-Wiener指数的评价结果中占比重最大的等级为Ⅲ,Margalef指数的评价结果中占比重最大的等级为Ⅳ,BPI的评价结果中占比重最大的等级为Ⅳ,BI的评价结果中占比重最大的等级为Ⅱ,而BMWP的2种标准的评价结果中占比重最大的等级差异较大(Ⅲ和Ⅴ)。
对7种指数分别成对进行Kendall相关性分析,可以定量描述不同指数之间评价结果的关系(图5)。其中,BMWP与BI显著负相关(n=22,p<0.01),与BPI极显著负相关(n=22,p<0.001),BI与BPI显著正相关(n=22,p<0.01)。Shannon-Wiener多样性指数分别与Pielou均匀度指数和Simpson指数极显著正相关(n=22,p<0.001)。BMWP与Shannon-Wiener多样性指数和Margalef指数之间也分别显著正相关(n=22,p<0.05)。
5 Kendall correlation analysis of 7 evaluation indexes

7种评价指数的Kendall相关性分析

p<0.05、p<0.01、p<0.001水平上显著相关。]]>

2.4 黄河流域水质主要污染因子分析

在本研究中,KMO统计量为0.424,Bartlett的球形检验值小于0.001,利用特征值大于1的原则筛选出的前3种主成分,解释了74.54%的结果。各主成分的特征值、方差贡献率、累计方差贡献率及因子载荷见表4表5
4 Eigenvalues, explained variance, and cumulative contribution rates of principal component analysis

主成分分析的特征值、方差及累计方差贡献率

主成分特征值方差贡献率/%累计方差贡献率/%
13.58239.79739.797
21.99922.21062.008
31.12812.53174.539
5 Factor loadings in principal components of water quality influences in the Yellow River Basin

黄河流域水质影响主成分中因子载荷

指标 主成分1 主成分2 主成分3
水温(WT) 0.012 0.014 −0.640
pH −0.373 0.805 −0.083
溶解氧(DO) 0.075 0.938 −0.064
电导率(CE) 0.949 0.011 −0.094
浊度(Tur) −0.098 −0.062 0.803
锰酸盐(CODMn) 0.847 −0.194 0.196
氨氮(NH3-N) 0.839 −0.376 −0.168
总磷(TP) 0.593 v0.359 0.496
总氮(TN) 0.665 0.294 −0.352
主成分1对总方差贡献率为39.797%,CE、CODMn、NH3-N在其中占有较高权重,CE可以反映出水体中的总溶解固体含量,包括有机物和无机盐;CODMn反映的是受有机污染物和还原性无机物质污染程度的综合指标;NH3-N是指水体中存在的氨和氨盐的总量。NH3-N通常来自废水和肥料的污染。因此,主成分1可以视为有机物污染指标。主成分2对总方差贡献率为22.210%,主要代表了pH、DO和NH3-N,因此主成分2为无机物污染指标。主成分3对总方差贡献率为12.531%,主要代表了WT、Tur和TP,因此主成分3为藻类环境指标。
由于黄河流域水生态稳定性相对较差,通过对水体理化性质和水质生物指数进行RDA分析,以探究影响黄河流域水生态健康的主要驱动因子。黄河所流经的不同区域海拔、气温、降水量差别很大,为了消除区域差异对黄河健康评价结果的影响,在选择评价指标时避开与自然环境因子存在较高相关性的评价指标。
RDA排序结果(图6)显示,第1排序轴和第2排序轴分别能解释45.09%和21.72%的关键指标差异,前2个排序轴累计解释了物种环境关系总方差的66.81%,说明前2轴在解释生物指数水质评价中起重要作用。对物种多样性影响显著的环境因子为pH、DO和WT。从环境因子与冗余分析轴1夹角分析,WT、TN、TP、EC、Tur与轴1负相关,NH3-N、CODMn、DO、pH与轴1正相关。轴1反映了大型底栖动物优势种对环境因子的需求趋势。人口密度和GDP与BI、BPI正相关,与BMWP负相关,生物多样性指数与GDP也负相关,说明在人口密集经济发展相对较好的地方,其水质较差。
6 山西中部地区大型底栖动物多样性指数与环境因子之间的冗余分析Fig.6 Redundancy analysis (RDA) of macrobenthos diversity indices and environmental factors in central Shanxi Province

3 讨 论

在本研究中,汾河流域生态系统较稳定,通过7种不同评价方式综合评价,轻–中污染水体占绝大多数。王林芳等[8]在对汾河大型底栖动物多样性进行评价时采用了EPT科级分类单元数、BMWP指数、Berger-Parker优势度指数等多个指标,能够较好地表征汾河上中游流域大型底栖动物的物种完整性,底栖动物多样性综合评价结果为中污染。李安萍[32]利用大型底栖动物对汾河太原段水质健康评价主要采用了Shannon-Wiener指数、Margalef指数和Hilsenhoff指数,评价结果为轻–中污状态,与本研究结果一致。对比山西省内海河流域的研究,海河水系子流域中蜉蝣目稚虫为优势种[33],中下游优势种为耐污值较高的颤蚓科和摇蚊科种群[34],这与本研究的结果基本一致。
本研究揭示了山西省中部地区黄河流域水生态退化的关键驱动因子为有机物污染(锰酸盐与氨氮的主成分贡献率合计达52.3%)(图6),这一结果与汾河流域[21]及黄河下游[35]的研究结果一致。本研究区农业面源污染负荷占比35%[36],表明半干旱区集约化农业(如化肥过量施用)对水生态系统的压力可能长期被低估。值得注意的是,黄河中游底栖动物平均丰度(1034.72 ind./m2)显著低于下游山东段(2129±436 ind./m²)[35],表示高含沙量导致的生境均质化可能进一步削弱群落恢复力,黄河中游集中了绝大多数支流,这些支流带入大量泥沙,使干流中下游泥沙含量急剧增加[37]。高流速和水中的悬浮泥沙会造成大型底栖动物的漂移和机械损伤,影响其摄食效率,对大型底栖动物的生存和生长产生严重影响[38]。但这一机制在黄土高原河流生态研究中尚未得到充分阐释。
冗余分析结果进一步表明,α-多样性指数与溶解氧含量负相关,而α-多样性指数与CODMn、NH3-N负相关(图5)。这一结果支持了“缺氧胁迫–耐污种替代”的经典生态模型[38]:有机物输入引发底泥耗氧,敏感类群(如蜉蝣稚虫)因缺氧而大量死亡,耐污种(如摇蚊幼虫)则通过血红蛋白适应低氧环境[39],最终导致群落多样性下降。
CODMn、NH3-N是衡量底泥耗氧性有机物的重要指标,数值越高,说明耗氧性有机物越多,底质环境越缺氧,寡毛类密度越大[39]。DO、TN和TP通常被认为是造成大型底栖动物群落结构组成差异的主要指标[40],同时底质以及水生植物对底栖动物分布也有一定的影响[41]。影响水质的环境因子复杂,除河流水质、底质理化胁迫因子外,还有人类活动如捕捞和水利工程等的影响。齐孟文等[42]和龚志军等[43]研究表明,工农业废水和城市生活污水导致过量的氮、磷营养物质在水体中富集,引起藻类及其他浮游生物大量繁殖,水体溶解氧含量下降,水质恶化,敏感类群如蜉蝣目类群底栖动物大量死亡,水生态结构破坏,生物多样性降低。
在利用大型底栖动物对山西中部地区主要河流进行水质评价所采用的生物指数中,随着大型底栖动物种类组成变化,Shannon-Wiener多样性指数和Pielou均匀度指数会出现波动,这和马秀娟等[44]研究不同污染程度水体大型底栖动物多样性的结果一致。所以这2种生物指数作为该地区水质评价存在一些限制,无法作为唯一标准,但可以作为参考。生物学污染指数BPI是一种相对合适的水质评价的方法,从本研究结果来看,Margalef丰富度指数和Simpson优势度指数这2种生物指数评价结果与BPI评价结果最为接近,能比较全面客观地反映山西中部地区主要河流水质的健康状态,增加了评价的准确性。
本研究的局限性主要体现在两方面:一、单次采样难以捕捉底栖动物群落的季节动态,而雨季径流对污染物的冲刷效应可能显著改变群落结构;二、未整合微生物指标与重金属数据,限制了健康风险评估的完整性。针对山西省中部地区的管理实践,建议优先采取以下措施:①在农业密集区推广生态沟渠与人工湿地,拦截面源污染物[42];②对太原市工业带实施排污许可与实时监控,参照《黄河流域生态保护规划》设定锰酸盐阈值(≤20 mg/L)[45];③建立以EPT类群为指示物种的长期监测网络,每季度开展生境质量评估,为生态补偿机制提供依据。

4 结 论

山西省中部地区河流水生态退化以有机物污染为主导。大型底栖动物群落优势种为拟细裳蜉、细蜉和喙隐摇蚊,其分布与人口密度及氨氮浓度显著正相关。基于7种生物指数评价,黄河流域底栖动物优势种群为耐污种,该地区水生态环境不稳定,水质分级整体表现为中污染(Ⅳ级占38.9%),造成生态不稳定的主要因子为人口密集区的水体有机物污染,可能与该地区生活污水和农业废水排放有关。汾河流域水质分级整体表现为轻–中污染(Ⅲ-Ⅳ级占65.6%),海河流域上游水质最优(Ⅴ级仅7.5%),整体表现为轻–中污染。
建议优先实施农业面源拦截工程,严格监管工业排污,结合EPT类群构建季度监测网络。

附录

附表1 山西中部地区大型底栖动物物种名录
Appendix Table 1 Species list of macrobenthic invertebratesin the central Shanxi Province
1
2
3
4
5
6
7
8
9
10
11
12
13
14
15
16
17
18
19
20
21
22
23
24
25
26
27
28
29
30
31
32
33
34
35
36
37
38
39
40
41
42
43
44
45
文章导航

/