湿地碳循环

香港米埔红树林湿地土壤温室气体排放的时空变化特征

  • 许加星 , 1, * ,
  • 罗明汉 1 ,
  • 程俊翔 2, 3
展开
许加星(1987—),女,山东省潍坊人,博士,讲师,从事湿地生态水文过程研究。E-mail:

许加星(1987—),女,山东省潍坊人,博士,讲师,从事湿地生态水文过程研究。E-mail:

收稿日期: 2024-02-05

  修回日期: 2024-04-03

  网络出版日期: 2026-03-12

版权

版权所有©《湿地科学》编辑部2025
许加星, 罗明汉, 程俊翔. 香港米埔红树林湿地土壤温室气体排放的时空变化特征[J]. 湿地科学, 2025, 23(1): 108-121 [Xu J X, Luo M H, Cheng J X. Spatial and temporal variations of soil greenhouse gas emissions in the Mai Po mangrove wetland of Hong Kong[J]. Wetland Science, 2025, 23(1): 108-121

Spatial and temporal variations of soil greenhouse gas emissions in the Mai Po mangrove wetland of Hong Kong

  • Xu Jiaxing , 1, * ,
  • Luo Minghan 1 ,
  • Cheng Junxiang 2, 3
Expand

Received date: 2024-02-05

  Revised date: 2024-04-03

  Online published: 2026-03-12

Copyright

Copyright ©2025 Wetland Science. All rights reserved.

摘要

红树林湿地被视为热带和亚热带地区最富含碳的湿地之一,但由于受到潮水频繁淹没以及周围地区大量营养物质输入的影响,红树林湿地成为甲烷(CH4)、一氧化二氮(N2O)等温室气体的潜在排放源。为了揭示红树林湿地土壤温室气体排放的时空变异性及其环境影响因子,在香港米埔红树林湿地开展了为期1 a的月尺度野外监测。结果表明,近陆带、中间带和近海带的红树林湿地土壤平均CO2通量差异不显著,而CH4通量在中间带明显较高,主要由于厌氧环境促进了CH4生成,土壤N2O通量平均值则在近陆带显著较高,可能因为近陆带土壤中较高的有机物含量刺激了硝酸盐供应及反硝化作用。红树林湿地土壤温室气体排放在不同季节差异显著,冬季CH4排放显著较低,这是由于低温和高盐度抑制了CH4产生;夏季土壤CO2排放通量显著高于其他季节,而冬季显著低于其他季节,主要与土壤温度和有机物含量的变化对微生物活动的影响有关。此外,土壤温室气体排放通量还存在显著的年内变异性,月平均CH4和N2O通量的相对标准偏差均超过115%,红树林湿地土壤温室气体排放具有较高的时空变异性。研究结果可为准确评估红树林在未来气候变化中的作用提供参考。

本文引用格式

许加星 , 罗明汉 , 程俊翔 . 香港米埔红树林湿地土壤温室气体排放的时空变化特征[J]. 湿地科学, 2025 , 23(1) : 108 -121 . DOI: 10.13248/j.cnki.wetlandsci.20240041

Abstract

While mangroves are regarded as one of the most carbon-rich forests in the tropical and subtropical regions, their soils could at the same time be potential net sources of greenhouse gases (GHGs) such as methane (CH4) and nitrous oxide (N2O) owing to frequent flooding by tidal water and considerable nutrient inputs from upland areas. In this study, we characterized the spatial and temporal variabilities, as well as the environmental and biotic controls, of soil GHGs emissions from a subtropical mangrove in Hong Kong through intensive field measurements at monthly intervals over one full year. The average soil CO2 flux was not significantly different among the three tidal positions of the mangrove (from far to near along the direction perpendicular to the coastline), while that of CH4 was significantly higher in the middle zone owing to a more anaerobic environment for methanogenesis. A significantly higher mean soil N2O flux was observed in the landward zone, probably because of the greater organic matter content in soils that stimulated nitrate supply and denitrification. Significant seasonal variations in soil GHGs emissions were also detected in this mangrove, with significantly lower CH4 flux in winter in response to the low temperature and high salinity that suppressed CH4 production, as well as significantly higher and lower CO2 emissions in the summer and winter, respectively, owing to differences in soil temperature and organic matter content that governed microbial activities. Significantly higher mean N2O flux was found in the middle zone in autumn than the other three seasons, which could be related to the greater supply of soil available nitrogen for N2O production. Furthermore, we noted significant intra-annual variability of soil GHGs fluxes, with the relative standard deviations of both monthly CH4 and N2O fluxes being over 115%. Our findings highlight the need of taking into consideration the high spatial and temporal variability of soil GHGs fluxes in order to have an accurate assessment of the role of mangroves in future climate change.

近年来,滨海“蓝碳”在全球范围内受到了越来越多的关注,它是指滨海湿地生态系统,包括红树林、盐沼和海草床在碳封存方面的潜在作用[1]。红树林湿地是世界上最富生产力的生态系统之一,其净初级生产力(碳)为1 363 g/(m2·a),与热带雨林相当[2]。红树林植物光合作用固定的大部分碳最终会以有机物的形式累积在土壤中[3]。此外,红树林可以有效地捕获水中富含碳的悬浮沉积物,因此其碳埋藏速率高达31 Tg/a[1]。高初级生产力和沉积物埋藏速率使红树林成为热带和亚热带地区最富含碳的湿地之一,其平均生态系统碳储量为102 kg/m2[4]。由于大量的碳储存在土壤中,红树林生态系统在长期封存碳以减缓气候变化方面潜力巨大。
甲烷(CH4)和一氧化二氮(N2O)是两种非常重要的温室气体,其在100 a时间尺度上的全球变暖潜势分别为CO2的34倍和298倍,分别贡献了由人类温室气体排放引起的辐射强迫影响的17%和6%[5]。湿地是世界上最大的CH4天然排放源,天然植被覆盖下的湿地土壤贡献了全球N2O排放量的37%[6]。作为热带地区的主要湿地类型之一,富含碳元素的红树林湿地土壤已被证明是温室气体的重要排放源[7-8]。此外,红树林湿地土壤经常受到潮水淹没,这有助于形成有利于CH4和N2O产生的缺氧环境[9]。因此,量化红树林湿地土壤温室气体排放通量对于全面评估红树林湿地在未来气候变化中的作用至关重要。
已有研究表明,滨海湿地土壤温室气体排放具有明显的时间变化特征。例如,珠江口亚热带红树林湿地土壤CO2通量夏季最高,冬季最低[10];肯尼亚热带红树林和澳大利亚温带红树林土壤CO2排放没有明显的季节变化特征[11];澳大利亚昆士兰地区红树林湿地CH4排放通量在夏季明显高于冬季[12],而印度红树林湿地雨季的CH4通量比干季低得多[13]。此外,有研究表明,部分亚热带和温带红树林湿地冬季N2O排放通量平均值明显低于夏季[10,12],还有一些红树林湿地N2O排放通量却无明显季节变化[14]。红树林土壤温室气体排放的季节变化可能与不同区域气候、环境因子等的差异有关。香港米埔湿地位于亚热带地区,与热带地区红树林相比,季风气候引起的温度和降水的大幅季节性变化可能导致温室气体交换出现显著的时间变化特征。另外,值得注意的是,之前对红树林土壤温室气体通量的研究多关注其季节变化,考虑到温室气体交换涉及的生物地球化学过程的高度动态变化特征,为了更好地表征红树林湿地土壤温室气体通量的时间变异性,需要开展更密集的现场监测。
除了时间变化规律外,红树林湿地土壤温室气体排放还有显著的空间变化特征。例如,泰国东部近水岸的红树林湿地土壤CO2排放显著高于近陆地区[15]。相反,在中国亚热带红树林的研究发现,土壤CO2排放速率在近陆区域最高[10]。研究发现,海南岛红树林湿地CH4排放通量表现为外滩>中滩>内滩的空间变化模式[16],澳大利亚近海红树林湿地土壤CH4排放速率也明显高于内陆地区。从近海带到近陆带,红树林湿地N2O通量明显下降[17],但也有研究发现,与近海带相比,红树林湿地N2O通量在近陆区域更高[10]。可见,红树林湿地土壤温室气体通量的空间变异在不同地区之间差异显著。
红树林湿地土壤温室气体排放与周围环境因子的变化密切相关。温度升高通常会增强红树林湿地土壤CO2的呼吸释放,但是当土壤温度升至25 ℃~27 ℃以上时,红树林土壤呼吸则可能会下降[18]。在澳大利亚红树林湿地的研究表明,CH4排放通量与温度呈正相关关系[12]。潮汐波动也会对湿地土壤温室气体排放通量产生强烈影响。研究表明,涨潮会降低长江口滩涂湿地和红树林湿地的CO2排放,这是因为淹水对气体扩散和土壤呼吸起到了抑制作用[19-20]。盐度升高可能会降低红树林的光能利用效率,从而限制土壤中CH4的释放[12]。此外,研究发现,土壤呼吸与红树林的总叶面积呈正相关关系[18],这是因为植物光合作用产生的大量易降解碳作为CH4生成的底物被转运到了根际[21]。印度红树林湿地CH4排放通量与气根数量呈正相关关系,气根组织加强了CH4从土壤到大气中的传输[13]。红树林土壤温室气体产生还与微生物活动密切相关,微生物活动受土壤理化性质的影响,如总碳、无机氮、pH、氧化还原电位等[22],因此,土壤性质的变化可能会影响温室气体的产生。硝化作用是亚热带湿地氮转化的重要过程之一,高硝酸盐供应和低氧化还原电位对N2O产生是有利的[8]。研究发现,洪泛湿地CO2排放通量与土壤密度、含水量和总碳含量高度相关,而硝酸盐浓度是N2O通量的主要控制因素[23]。深入了解红树林土壤温室气体排放与环境参数之间的关系对于温室气体通量时空变异的精确模拟以及优化红树林湿地管理措施以减缓气候变化至关重要。
香港米埔红树林湿地作为国际重要湿地生态功能区,是重要的滨海“蓝碳”生态系统,在碳封存方面发挥着重要作用。已有研究通过长期监测米埔红树林植物的生物量、土壤有机碳积累的变化,量化了其在碳循环中的重要作用[24]。还有研究通过在米埔红树林湿地进行长期监测,量化了该区域红树林土壤CH4和CO2的全年平均排放量,并分析了影响温室气体排放的环境因素[25]。然而,土壤温室气体排放虽然是红树林湿地碳循环的重要环节之一,目前针对米埔红树林湿地土壤温室气体排放通量的研究仍相对较少。本研究通过量化香港米埔红树林湿地土壤温室气体(CH4、CO2和N2O)排放的数量和范围,揭示红树林土壤温室气体排放的时空变异特征,探究红树林湿地植物物种和土壤理化参数对土壤温室气体通量的影响,旨在为全球红树林生态系统碳汇功能研究提供宝贵数据和经验,为红树林湿地保护和管理措施的科学制定以及红树林碳汇功能的充分发挥提供重要科学依据。

1 材料与方法

1.1 研究区

香港米埔自然保护区(113°59'E~114°03'E,22°29'N~22°31'N)位于珠江口出海口,毗邻深圳湾,红树林湿地面积380 hm2,年平均气温为23.3 ℃,年降水量为2 399 mm。该地区主要受亚热带季风气候影响,最高月均气温和降水量集中在6—8月。该地区的红树林以秋茄(Kandelia obovata)和白骨壤(Avicennia marina)为主,形成了约500 m宽、3 km长的连续带[26]

1.2 土壤温室气体通量观测

2013年9月至2014年8月,在香港米埔自然保护区选择以秋茄为优势种的红树林湿地,沿垂直于海岸线的方向,在潮间带的近海带(监测带1)、中间带(监测带2)和近陆带(监测带3)分别设置3条监测带,进行土壤温室气体通量监测,研究红树林湿地土壤温室气体排放的空间变异特征,监测带之间间隔约100 m。在每条监测带,随机选取3个采样点同时进行温室气体样品采集,采样频率为每月1次。
采用静态箱–气相色谱法,测定土壤温室气体排放通量,该方法操作简单且成本较低。箱体由不透明PVC材料制成,覆盖面积为0.031 m2,内部体积为6.28 L。监测开始之前,在每个监测点0~5 cm土壤深度永久安装一个PVC底座,监测过程中静态箱放置于底座卡槽中,在卡槽中加少量水以实现密封。每次采样过程为1 h,每隔15 min采样1次,利用注射器采集约6 mL气体样品注入真空瓶,将所有气体样品放入避光冷藏箱中,运送至香港中文大学环境学院样品分析实验室,并在24 h内分析温室气体浓度。每月采样1次,采样周期为1 a,所有野外观测都在白天低潮期间进行,此时土壤完全暴露在外,因此潮汐的变化不会成为本研究的影响因素。利用气相色谱仪(安捷伦7890A,美国),测定样品中CH4、CO2和N2O的浓度。通过对气体浓度与时间的线性回归,并综合考虑静态箱的体积和覆盖面积,计算土壤温室气体排放速率[27]

1.3 环境和土壤参数的测定

环境参数的监测每月进行1次,在每个监测点,与土壤温室气体采集同步进行。利用手持温度计,测定气温和10 cm深度土壤温度;利用土壤湿度计,测定10 cm深度土壤湿度;利用pH/ORP仪(HACH-HQ11d,美国),测定土壤pH和氧化还原电位;预先在土壤中安装穿孔PVC管,通过测量管内水的高度来确定地下水位;利用电导率/盐度计,测定土壤孔隙水的盐度。
土壤营养盐含量的测定每季度进行1次,根据研究区的气候特征,春、夏、秋、冬4个季节分别为3—5月、6—8月、9—11月和12月至次年2月。在每个监测点周围采集约200 g土壤样品放入封口袋中,立即运送到实验室,并进行后续的物理化学性质分析。利用流动注射分析仪,测定土壤有效磷、铵态氮和硝态盐含量。利用凯式定氮仪,测定土壤总凯氏氮含量。采用烧失法,将土壤样品在550 ℃下燃烧4 h,测定土壤有机质含量。

1.4 数据分析

利用SPSS 19.0软件进行数据分析。在进行统计分析之前,对数据进行对数变换,以满足正态性和齐性方差假设,如果检测到显著差异,则进行Duncan's多重比较检验。采用双因素方差分析(ANOVA)研究不同潮位和季节之间土壤温室气体排放通量和环境参数的差异。采用Pearson相关分析研究土壤或环境参数与土壤温室气体排放通量之间的关系。采用相对标准偏差(RSD)评估每个空间位置温室气体排放通量的年内变异程度。

2 结果与分析

2.1 环境因子的时空变化规律

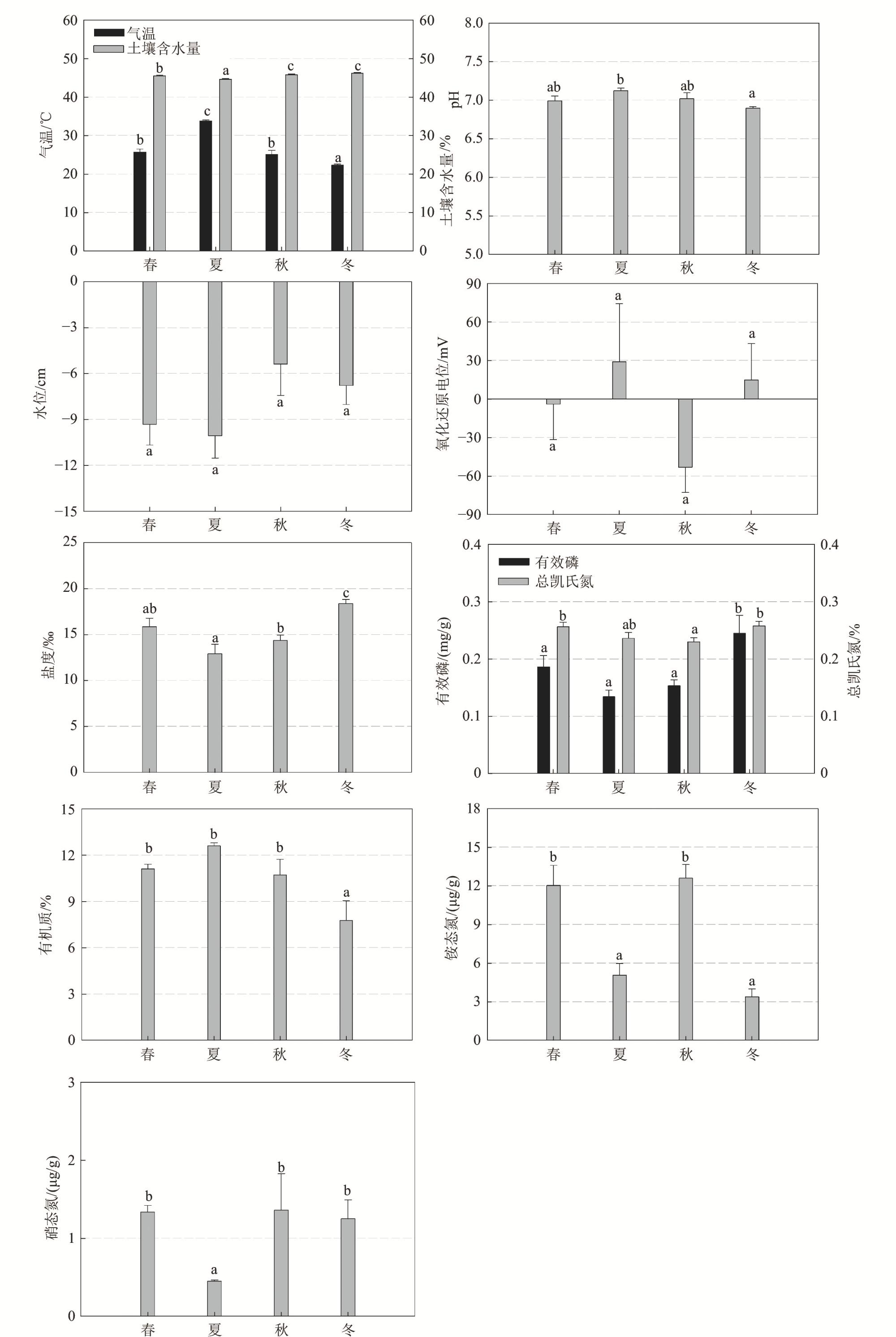
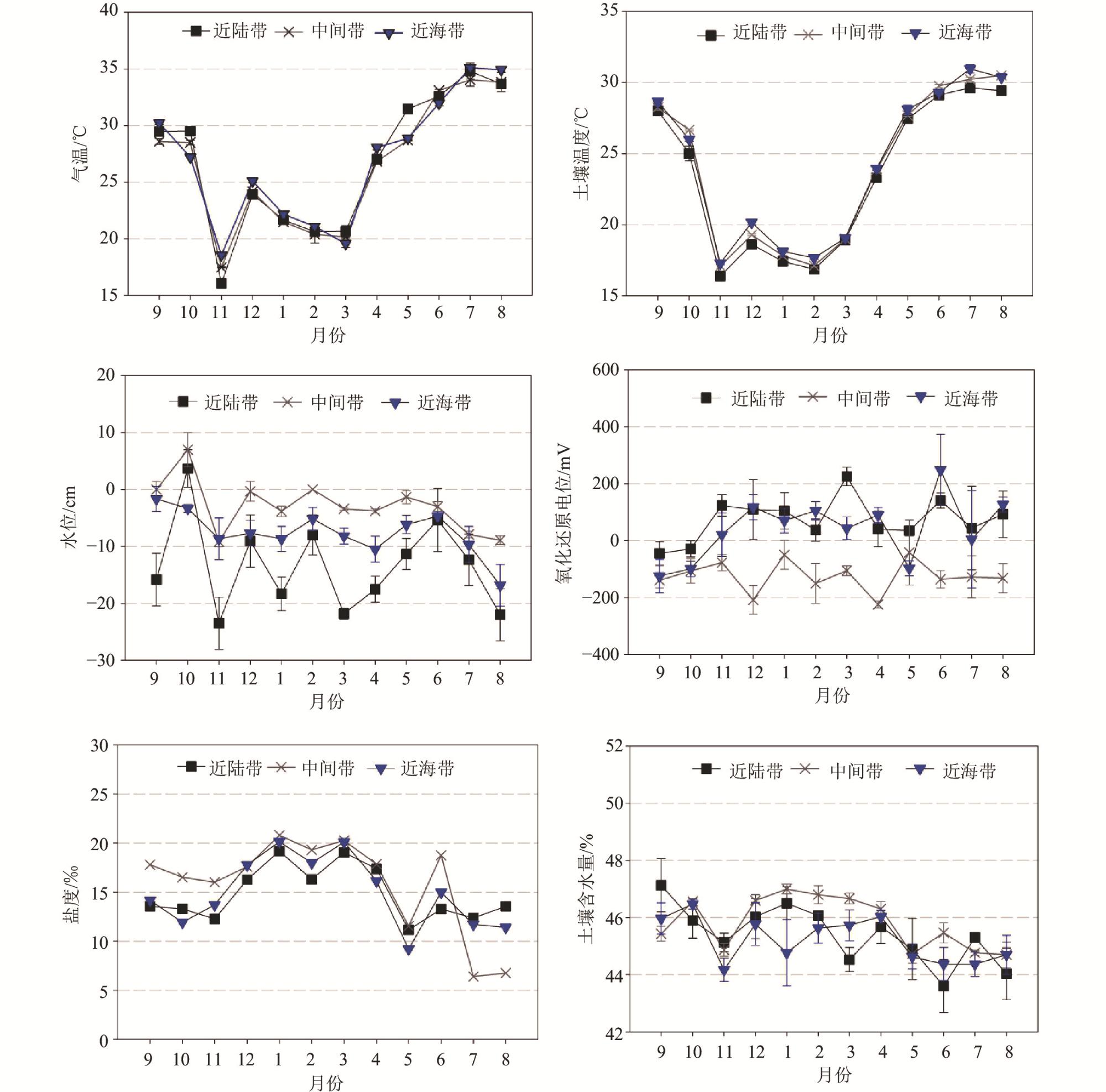
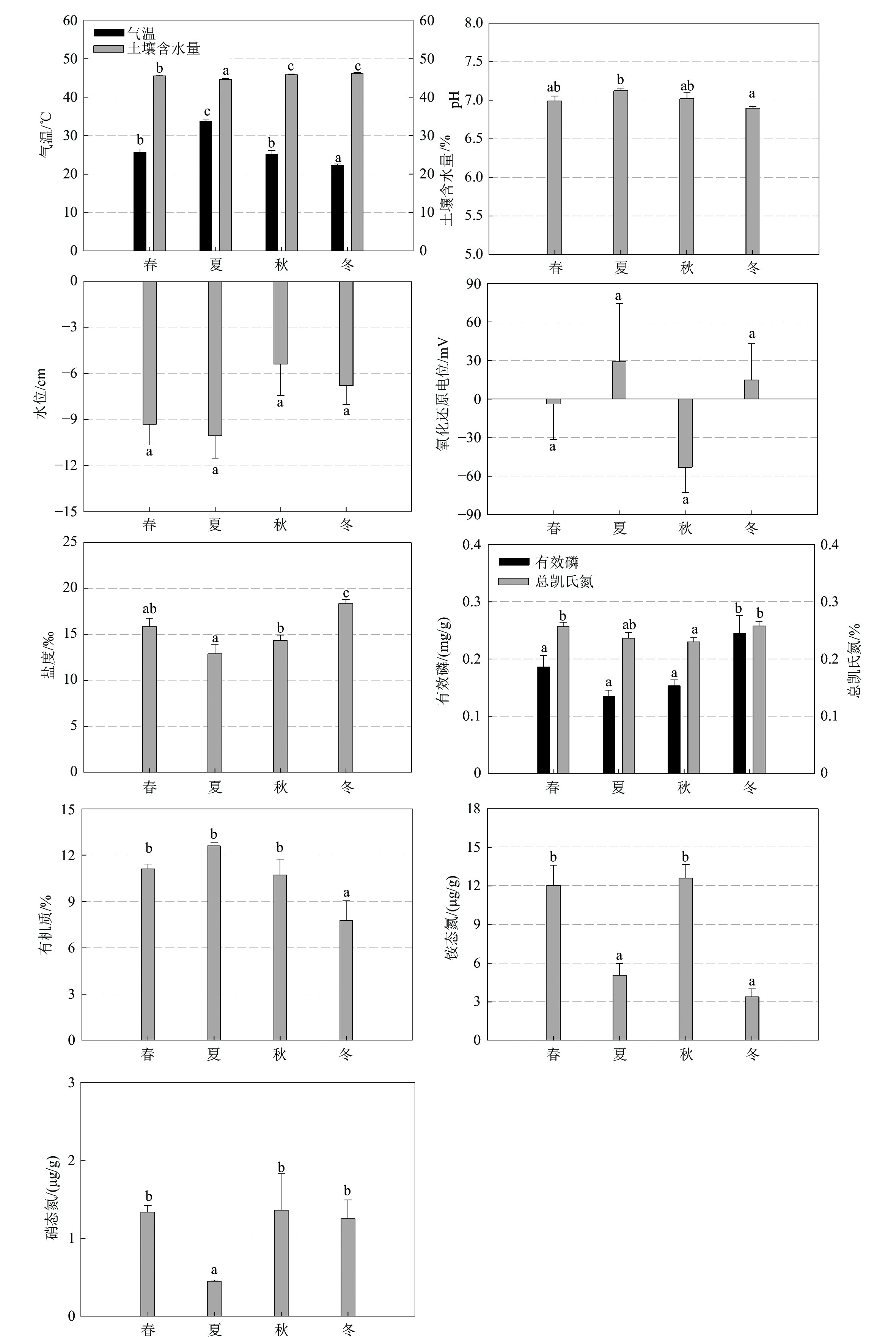
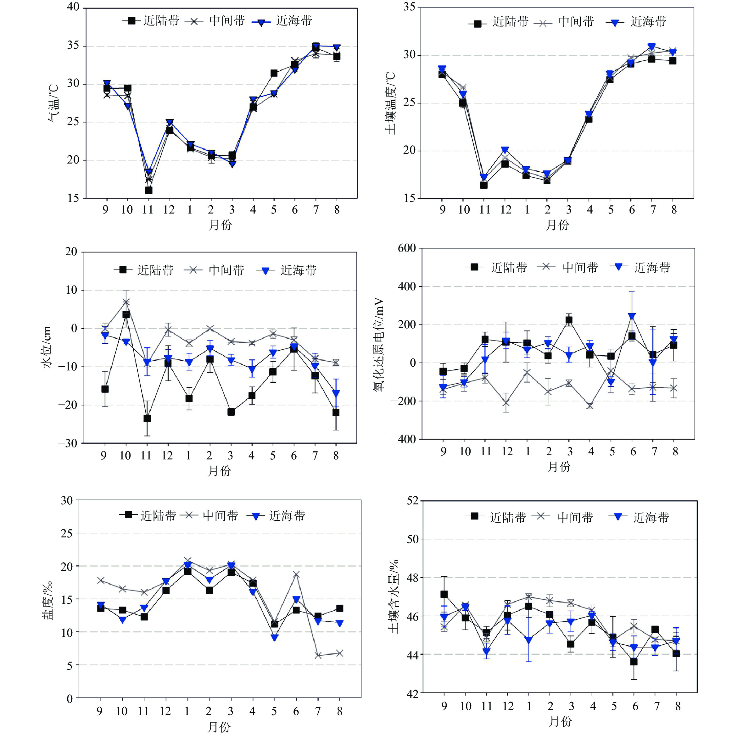
图1为近陆带、中间带和近海带不同环境因子和土壤参数的月变化特征。从图中可以看出,气温和土壤温度变化趋势较为一致,并且在1 a内呈现明显的时间变化,均在7月达到最高值,分别为35.1 ℃和31.0 ℃,在11月达到最低值,分别为16.1 ℃和14.6 ℃。夏季平均气温和平均土壤温度均显著高于其他季节,而在冬季则显著较低(p<0.05,图2)。盐度也呈现明显的时间变化趋势,冬季土壤盐度的平均值为18.4‰,显著高于其他3个季节。土壤湿度的变化范围为44.2%~47.1%,最高值和最低值分别出现在9月和11月,夏季平均湿度明显低于其他3个季节(p<0.05,图2)。水位在−23.5~7.0 cm之间波动,不同季节的平均水位没有显著差异(p>0.05,图2)。土壤氧化还原电位最大值出现在6月(248.3 mV),最小值出现在4月(−224.7 mV),然而,不同季节土壤氧化还原电位没有显著差异(p>0.05,图2)。土壤养分含量也呈现明显的季节变化规律(图2),土壤有效磷含量在冬季明显高于其他季节(p<0.05);土壤总凯氏氮含量在冬季和春季明显高于秋季(p<0.05);土壤铵态氮含量在春季和秋季明显高于其他季节,而硝态氮含量在夏季明显低于其他季节(p<0.05);土壤有机质含量在冬季明显低于其他3个季节(p<0.05)。
1 Monthly variations of environmental factors at three monitoring belts in Mai Po mangrove wetland, Hong Kong

香港米埔不同空间位置红树林湿地环境因子的月尺度变化

2 Seasonal variations of various environmental and soil parameters in Mai Po mangrove wetland, Hong Kong

香港米埔红树林湿地环境因子和土壤养分的季节变化

环境因子还表现出明显的空间变异性。不同空间位置红树林湿地的平均水位存在显著差异(p<0.05),中间带的平均水位最高,为−2.6 cm,其次是近海带(−7.6 cm),近陆带最低(−13.5 cm,p<0.01,表1)。此外,中间带土壤氧化还原电位平均值为−125.2 mV,显著低于近陆带(73.2 mV)和近海带(42.1 mV,p<0.01,表1)。中间带土壤盐度平均值为16.2‰,显著高于近陆带和近海带(14.1‰~14.7‰,p<0.05)。总凯氏氮含量平均值在中间带为0.26%,显著高于近海带(0.23%,p<0.05);中间带土壤有效磷含量为0.25 mg/g,显著高于近海带和近陆带(0.13~0.17 mg/g,p<0.05)。土壤温度、铵态氮、硝态氮和土壤有机质含量在3个空间位置之间没有显著差异(p>0.05,表1)。
1 Spatial and seasonal variations of environmental factors and soil nutrients in Mai Po mangrove wetland, Hong Kong

香港米埔红树林湿地环境因子和土壤养分的空间和季节差异

近陆带中间带近海带春季夏季秋季冬季
注:数据为平均值±标准误差;同一行不同字母表示在不同空间位置或不同季节之间差异显著(p<0.05)。
土壤温度/℃23.4±0.9a24.0±0.9a24.1±0.9a23.5±0.7b29.9±0.1c23.7±1.0b18.1±0.2a
土壤含水量/%45.4±0.2b45.8±0.2ab45.2±0.2a45.5±0.2b44.6±0.2a45.7±0.2c46.1±0.2c
水位/cm−13.5±1.6a−2.6±0.9c−7.6±0.9b−9.3±1.3a−10.1±1.5a−5.4±2.0a−6.8±1.2a
氧化还原电位/mV73.2±20.3b−125.2±15.8a42.1±24.8b−4.0±27.7a28.9±45.3a−53.2±19.7a14.9±28.0a
盐度/‰14.8±0.7a15.8±0.8a14.9±0.7a15.9±1.1ab12.9±1.1a14.4±0.6b18.4±0.5c
pH6.89±0.05a7.09±0.03b7.03±0.04b6.99±0.06ab7.12±0.03b7.02±0.08ab6.89±0.03a
有效磷质量分数/(mg/g)0.13±0.01a0.25±0.02b0.17±0.01a0.19±0.02a0.13±0.01a0.15±0.01a0.24±0.03b
铵态氮质量分数/(μg/g)7.23±1.48a9.92±1.64a8.49±1.79a13.20±1.85b5.05±0.91a12.56±0.93b3.37±0.54a
硝态氮质量分数/(μg/g)1.32±0.32a1.00±0.26a1.14±0.17a1.55±0.17b0.45±0.02a1.36±0.10b1.31±0.24b
有机质质量分数/%11.18±0.39a9.67±1.21a10.77±0.8a11.10±0.31b12.59±0.19b10.72±0.87b7.75±1.11a
总凯氏氮质量分数/%0.24±0.01ab0.26±0.01ab0.23±0.00a0.26±0.01b0.24±0.01ab0.23±0.01a0.26±0.01b

2.2 土壤温室气体排放的时间变化

N2O排放通量范围为0.1~6.3 mg/(m2·d),年平均排放通量为1.1 mg/(m2·d),N2O排放通量总体小于2.0 mg/(m2·d),仅在9月和10月分别在2.5~4.0 mg/(m2·d)和0.8~6.3 mg/(m2·d)之间波动(图3a)。N2O排放通量在近陆带、中间带和近海带红树林湿地的相对标准偏差(RSD)分别为135%、172%和173%,表明红树林湿地N2O排放通量存在很大的时间变异性。秋季N2O排放通量平均值[2.6 mg/(m2·d)]显著高于其他3个季节[0.5~0.7 mg/(m2·d),p<0.05](图4)。双因素方差分析结果显示,N2O排放通量受季节和空间位置的显著影响(表2p<0.01)。
3 Monthly variations of soil N2O, CH4 and CO2 fluxes at three tidal positions in Mai Po mangrove wetland, Hong Kong

香港米埔红树林湿地不同空间位置N2O、CH4 和CO2排放通量的月变化

4 Mean values of soil greenhouse gas fluxes at different seasons in Mai Po mangrove wetland, Hong Kong

香港米埔红树林湿地温室气体排放通量在不同季节的平均值

n=27,p<0.05)。]]>

2 Results of two-way ANOVA on the effects of seasons and tidal positions on soil greenhouse gas in Mai Po mangrove wetland, Hong Kong

季节与潮汐位置对香港米埔红树林湿地土壤温室气体排放通量影响的双因素方差分析

F
N2OCH4CO2
注:***分别表示p<0.05和p<0.01。
季节5.87**6.40**25.59**
空间位置7.02**4.97**1.66
季节×空间位置2.50*2.181.18
CH4排放通量范围为−1.0~13.7 mg/(m2·d), 除5月外,CH4排放通量在各空间位置处均在6.5 mg/(m2·d),从2013年9月到次年2月,CH4排放通量整体呈下降趋势,并在12月至2月期间趋近于零(图3b),从4月开始逐渐上升,并在5月达到年度峰值。最高值出现在中间带,为13.7 mg/(m2·d),夏季CH4排放通量范围为1.0~6.2 mg/(m2·d),随着温度持续升高,甲烷排放通量呈上升趋势。方差分析结果表明,冬季CH4排放通量平均值显著低于其他3个季节(p<0.05,图4),且没有发现与空间位置的交互作用(表2)。此外,研究期内CH4排放通量在近陆带、中间带与近海带的RSD分别为145%、115%和191%,呈现出较大的年内变异性,特别是在近海带。
CO2的排放通量范围为1.1~9.3 g/(m2·d),年平均排放通量分别为4.0 mg/(m2·d),CO2排放通量也呈现较强的时间变化规律(图3)。研究期间,3个不同空间位置的CO2排放通量由9月到次年2月均大致呈下降趋势,之后逐渐上升至4月的6.0 g/(m2·d)(近陆带),之后继续上升,在7月达到最高值6.8 g/(m2·d) (近陆带)。CO2排放通量在近陆带、中间带和近海带的全年RSD分别为69%、49% 和62%,相较于CH4和N2O,CO2排放通量的RSD数值较小,表明其年内变化的差异性相对较小。方差分析结果显示,夏季CO2排放通量的平均值[6.0 g/(m2·d)]显著高于春季[4.4 g/(m2·d)]、秋季[3.2 g/(m2·d)]和冬季[2.0 g/(m2·d)]。

2.3 土壤温室气体排放的空间变化

图5显示了研究区土壤温室气体排放通量在近陆带、中间带和近海带3个位置的空间差异。土壤N2O排放通量在近陆带的年平均值为1.5 mg/(m2·d),显著高于中间带[1.1 mg/(m2·d)],和近海带[0.8 mg/(m2·d), (p<0.05)]。然而,CH4排放通量在中间带最高,为3.5 mg/(m2·d),约为近陆带和近海带的2.5倍。与土壤N2O排放通量相似,CO2排放通量在近陆带较高,为4.5 g/(m2·d),高于中间带和近海带,但CO2排放通量在3个空间位置的差异性不显著(p>0.05)。
5 Spatial variations of annual mean soil greenhouse gas emissions in Mai Po mangrove wetland, Hong Kong

香港米埔红树林湿地3种温室气体排放通量的空间变化

n=36,p<0.05)。]]>

2.4 土壤温室气体通量与环境参数的关系

土壤温室气体通量与各种环境参数之间的相关性分析结果表明(表3),气温和土壤温度与CO2、CH4和N2O排放通量均显著正相关(p<0.05),这表明温度是影响土壤温室气体排放的重要因素之一。地下水位分别与N2O通量和CO2通量显著正相关和负相关(p<0.05),说明地下水位降低会抑制N2O的释放,但会促进CO2的排放。相似的,土壤含水量与CO2通量显著负相关(p<0.01),土壤氧化还原电位与CH4排放通量显著负相关(p<0.01),而盐度与CH4和CO2排放通量均显著负相关(p<0.01)。此外,我们还发现土壤pH与CH4通量呈显著正相关关系(p<0.01)。
3 Pearson’s correlation coefficients between greenhouse gas fluxes and environmental parameters in Mai Po mangrove wetland, Hong Kong

香港米埔红树林湿地土壤温室气体排放通量与环境因子之间的皮尔森相关系数

环境因子温室气体排放通量
N2OCH4CO2
注:*和**分别表示p<0.05和p<0.01; n=108。
气温0.22*0.39**0.52**
土壤温度0.25**0.46**0.52**
地下水位0.27**0.14−0.27**
氧化还原电位−0.170.32**−0.08
盐度−0.05−0.33**−0.23**
pH−0.120.44**0.39
土壤含水量0.17−0.11−0.37**

3 讨 论

3.1 红树林湿地土壤温室气体年排放通量

香港米埔红树林湿地土壤N2O、CH4和CO2的排放通量范围分别为0.1~6.3 mg/(m2·d)、−1.0~13.7 mg/(m2·d)和1.1~9.3 g/(m2·d),年平均排放通量分别为1.1 mg/(m2·d)、2.1 mg/(m2·d)和 4.0 g/(m2·d),这表明研究区红树林土壤是3种温室气体的净“源”。
N2O是硝化和反硝化过程的中间产物[28]。当土壤铵态氮含量和氧化还原电位较高时通常会发生硝化反应[17,22],而当土壤硝酸盐含量较高且氧化还原电位较低时,通常发生反硝化作用[8,29]。硝化作用通常发生在土壤氧化还原电位大于200 mV时[17],而反硝化作用通常发生在氧化还原电位小于400 mV时[30]。本研究区土壤氧化还原电位都在100 mV以下,表明反硝化作用是导致N2O产生的主要机制。前人的研究同样指出,反硝化在控制红树林土壤N2O排放方面具有重要作用[31-32]。然而,不能完全排除硝化作用在一部分时间内是N2O来源之一的可能性,因为土壤中有着丰富的铵态氮供应,铵态氮的平均含量约为硝酸盐的10倍,一旦土壤氧化还原电位因生物扰动或长时间暴露于空气中而增加,就可以通过硝化作用产生N2O[17]。在深圳福田和香港米埔、沙坑村及涌下村红树林湿地的研究表明,N2O排放通量与土壤铵态氮含量正相关,硝化作用是导致N2O排放的主导过程[22]
在本研究中,红树林湿地土壤N2O排放通量在0.1~6.3 mg/(m2·d)之间,与深圳福田、福建九龙江口及澳大利亚昆士兰等多处亚热带红树林湿地N2O排放通量的范围[0.1~25.2 mg/(m2·d)]相当(表4)。然而,本研究中香港米埔红树林湿地夏季土壤N2O通量在0.08~0.80 mg/(m2·d)之间,低于在深圳福田、沙坑村及涌下村红树林湿地中测得的0.1~25.2 mg/(m2·d)[22],可能与本研究区土壤铵态氮含量相较于这4处红树林湿地较低有关。研究表明,无机氮等营养物质的输入可以通过促进氮转化来增强红树林土壤N2O排放[8,29,44]。此外,香港米埔红树林湿地的N2O排放通量居于热带红树林土壤N2O通量排放范围内[−6.9~28.3 mg/(m2·d)]。虽然高温会促进热带地区红树林土壤中更强烈的微生物活动,从而导致相较于亚热带地区更多的N2O排放[12],但热带红树林土壤中的N2O释放可能同时受到其他因素的限制。例如,印度尼西亚热带红树林土壤中虽然富含有机碳和氮,但N2O通量常年较低,可能是由于高盐度对反硝化的抑制作用所致[32]
4 Comparison of soil greenhouse gas fluxes in Mai Po mangrove wetland with other wetland ecosystems reported in previous studies

香港米埔红树林湿地与其他地区湿地土壤温室气体排放通量对比

地点 生态类型 时间 N2O通量/[mg/(m2·d)] CH4通量/[mg/(m2·d)] CO2通量/[g/(m2·d)] 参考文献
注:“-”表示文献中未给出相关数据。
中国香港 亚热带红树林 2013—2014年 0.1~6.3 −1.0-13.7 1.1~9.3 本研究
中国香港 亚热带红树林 2009—2010年 0.8~12.8 0.3~33.0 [10]
中国香港和深圳 亚热带红树林 2008年夏季 0.1~25.2 4.6~1 984.7 0.7~21.3 [22]
中国福建 亚热带红树林 2011—2012年 0.0~2.5 8.3~739.0 2.0~4.9 [14]
中国福建 亚热带红树林 −0.04~1.2 0.03~128.6 0.7~12.3 [27]
中国福建 亚热带红树林 2002年7月;2003年9月 0.1~4.7 0.1~1.1 0.7~5.3 [33]
澳大利亚昆士兰 亚热带红树林 2005年夏季、冬季
0.2~4.8 1.1~37.7 [12]
澳大利亚昆士兰 亚热带红树林 1998—1999年7—10月 −0.05~0.3 0.5~8.4 [29]
印度尼西亚北苏卡威西岛 热带红树林 −6.9~13.9 −0.1~0.2 −1.4~4.1 [32]
印度 热带红树林 0.2~4.5 1.9~55.2 [31]
印度南部 热带红树林 2002—2003年 0.4~0.8 19.0~38.0 [34]
哥伦比亚 热带红树林 2005—2006年 0.8~28.3 0.0~758.0 [35]
坦桑尼亚 热带红树林 0.3-199.7 [36]
澳大利亚维多利亚 温带红树林 2009—2010年 0.0~0.1 0.2~0.7 3.2~5.2 [37]
芬兰波的尼亚湾 温带淡水湿地 2004年 −1.2~1.4 1.6~1816.0 [38]
美国俄亥俄州 温带淡水湿地 2008—2009年 0.6~2740.0 [39]
德国东北部 温带半盐水湿地 2008—2009年 1.2~8.7 [40]
中国盐城 温带盐水湿地 2012—2013年 0.03~1.6 −0.4~5.0 0.3~55.1 [41]
加拿大新不伦瑞克 温带盐水沼泽 1993年7—9月 0.2~11.0 0.3~3.7 [42]
美国弗吉尼亚 温带盐水沼泽 1980年 年均5.6 [43]
本研究中香港米埔红树林湿地土壤CH4排放通量在−1.0~13.7 mg/(m2·d)之间,与澳大利亚昆士兰地区亚热带红树林湿地的CH4排放通量相近[0.1~37.7 mg/(m2·d)][12,29],但远低于福建九龙江口和广东珠江口红树林湿地CH4排放。在珠江口红树林湿地观测到较高的CH4排放通量,但该研究是在夏季进行的,夏季的高温和低盐度有利于CH4的生成。对于福建九龙江口红树林来说,CH4排放通量较高的可能原因之一是互花米草的入侵,互花米草的生物量较高,可以通过根系向土壤甲烷菌提供更多的不稳定性碳,从而促进CH4排放[45]。与淡水湿地CH4通量[0.6~2740.0 mg/(m2·d)]相比,亚热带地区许多红树林以及温带地区的咸水湿地和盐沼湿地的CH4通量[−0.4~11.0 mg/(m2·d)]均较低(表4)。滨海湿地土壤较高的盐度有利于硫酸盐还原,但不利于土壤中CH4的生成,因为在硫酸根离子浓度较高的情况下,硫酸盐还原菌会与甲烷菌竞争底物[46-47]。与此相反,在土壤硫酸盐浓度低于100 µmol/L的淡水湿地中,硫酸盐还原作用受到限制,更加有利于甲烷的产生[48]
本研究还发现,位于亚热带地区的香港米埔红树林湿地土壤CH4排放通量远低于其他热带红树林湿地。例如,哥伦比亚热带红树林的CH4通量高达758.0 mg/(m2·d)[35],坦桑尼亚热带红树林湿地CH4通量高达199.0 mg/(m2·d)[36],印度热带红树林湿地CH4通量高达55.2 mg/(m2·d)[31]。热带地区较高的气温可促进红树林土壤有机物的微生物降解,从而提高CH4的产生和排放[49]。红树林优势物种的不同也可能导致热带与亚热带红树林之间CH4通量的差异。有研究表明,热带红树林中的一些红树物种(如白骨壤等)具有气孔,可促进CH4更有效地从土壤向大气传输[34]。相比之下,本研究区的秋茄植物没有气孔,这有助于解释所观察到的较低CH4通量。此外,坦桑尼亚和哥伦比亚热带红树林土壤有机质含量分别为22.0%和18.0%~53.0%,远高于本研究区(9.7%~11.2%),较高的有机碳含量为甲烷产生提供了充足的底物,从而导致较高的CH4排放通量。
红树林湿地土壤CO2排放通量通常低于内陆森林生态系统,这是因为红树林中存在较多的厌氧环境,阻碍了土壤微生物的呼吸活动[15]。本研究发现,香港米埔红树林湿地土壤CO2通量范围[1.1~9.3 g/(m2·d)]接近福建省九龙江口红树林的−2.0~12.3 g/(m2·d)[14,27,33],但低于广东珠江口红树林湿地的0.3~33.0 g/(m2·d)[10,22]。与其他两种温室气体类似,不同研究区土壤CO2排放通量的差异可能是由于土壤理化性质、植被类型、观测频率和观测持续时间的不同造成的。土壤有机碳含量是影响红树林湿地CO2排放通量的最重要土壤参数之一[10]。珠江口红树林湿地土壤有机碳含量为4.8%~10.2%,高于本研究中香港米埔红树林湿地土壤有机碳含量(5.6%~6.5%),能够为微生物分解提供更多的有机质,从而导致较高的CO2排放通量[10]

3.2 红树林土壤温室气体通量的时间变化特征

本研究表明,香港米埔红树林湿地土壤温室气体排放通量随时间尺度变化很大,中间带N2O排放通量在秋季明显高于其他3个季节(图3),这与其他研究发现的N2O排放通量在夏季最高不同[10,12]。虽然本研究区的气温和土壤温度在夏季都明显较高,但在此期间土壤硝酸盐含量明显较低,这可能限制了与反硝化作用相关的N2O的产生。与夏季相比,秋季土壤中铵态氮和硝酸盐含量明显较高,土壤中这两种无机氮的高供应量有助于刺激与硝化或反硝化作用相关的N2O的产生[28]。虽然秋季土壤温度(23.7 ℃~25.1 ℃)明显低于夏季,但在维持活跃的微生物活动方面仍然相对较高,因此,可以推测氮基质的供应对红树林土壤 N2O排放通量时间变化的影响要大于温度的影响。
研究区冬季土壤CH4排放通量明显低于其他3个季节(p<0.05),这与其他研究中土壤CH4通量在寒冷季节低于温暖季节的结果一致[12-13]。前人的研究表明,温度和土壤湿度是影响湿地土壤温室气体通量的两个最重要的环境因素[50-51]。温度升高可刺激CH4生成和CH4氧化,CH4生成对温度的敏感性大于CH4消耗,从而导致CH4排放总体增加[52-53]。此外,较高的温度会促进土壤有机物的分解,进而为CH4生成提供可利用的碳基质[31]。另一方面,湿地土壤容积含水量的增加已被证明会导致CH4排放速率呈指数增长,因为更大比例的土壤孔隙被有利于CH4生成所需的水分所填充[54]。然而,研究区内土壤水分全年仅在44.6%~46.1%的狭窄范围内变化,与土壤水分相比,温度可能是控制CH4通量季节变化的更主要因素,这与先前的一些研究结果类似[10]。此外,冬季土壤盐度明显高于其他3个季节,这可能是导致该时期CH4通量较低的另一个关键因素。在冬季季风的影响下,珠江三角洲地区的降水量通常要少得多,由于珠江的径流量减少,河口红树林湿地水体受海洋影响较大,因此冬季土壤盐度较高。如前所述,盐度较高的水体中硫酸根离子较多,有利于硫酸盐还原菌的活动,而不是产甲烷菌的活动,从而抑制了CH4的产生[46-47]。本研究发现,土壤盐度与CH4通量之间存在明显的负相关关系,也证明了这一点。
本研究发现,香港米埔红树林湿地土壤CO2排放通量在不同季节之间差异显著,平均CO2通量大小排序为夏季>春季> 秋季>冬季(p<0.05)(图3),这与气温和土壤温度的季节性变化规律基本一致。观测结果还表明,温度与红树林湿地土壤CO2排放通量之间存在明显的正相关关系,这在其他生态系统中也有类似报道,如亚马逊热带森林、丹麦山毛榉林以及中国玉米农田等[55-56]。温度升高会提高植物的光合作用,随后光合产物作为根系自养呼吸的碳基质转移到地下组织,从而导致土壤呼吸速率加快[57]。此外,较高的温度可增加土壤中微生物的种类和活动,从而提高碳矿化和异养呼吸的速率[58]。大量研究表明,在各种湿地(包括淡水沼泽和北方森林湿地)中,土壤CO2产生的Q10值介于1.4~3.5之间[59-61]。除了CO2的产生,较高的温度还能提高CO2在土壤中的扩散率,从而增加CO2向大气的总体排放量[62]。除温度外,土壤有机质含量可能是影响CO2通量季节性变化的另一个重要因素。由于CO2的产生主要与土壤有机质在有氧和厌氧条件下的降解有关,因此有机质含量越高,通过微生物呼吸产生CO2的碳基质就越多[22]。冬季红树林土壤有机质含量明显较低,微生物分解有机质受限,可以部分解释这一时期CO2通量较低的原因。
本研究对红树林湿地土壤温室气体通量的月尺度监测结果表明,红树林湿地土壤–大气温室气体交换通量在全年不同月份之间有很大差异,CH4和N2O通量的RSD值很高,达到115%~191%。这表明按季节对红树林温室气体通量进行实地监测,可能会在量化温室气体交换的时间变化和估算年度温室气体预算时产生相当大的偏差,因为较低的观测频率无法充分捕捉气体通量随时间变化的自然波动。而月尺度土壤CO2通量的RSD值较低,为49%~69%,差异相对较小。有研究表明,在基于逐步多元回归分析预测泥炭地CH4通量时,月尺度比季节尺度更好,这进一步证明了高时间分辨率观测的重要性[63]。潮汐波动、气候因子等环境因子易随时间发生变化,进而影响红树林湿地温室气体排放通量。例如,潮汐波动可能会通过改变水位进而改变氧气供应来影响土壤温室气体通量。在亚热带红树林中,土壤呼吸作用的日最大值出现在有氧条件下的最低潮[64]。台风等干扰事件也会影响红树林湿地的短期温室气体动态。强台风造成的树木落叶会导致表层土壤温度升高[65],这可能会影响温室气体产生、消耗和迁移的生物地球化学过程。此外,由于气候因子的不同,温室气体通量的大小也会表现出显著的年际变化特征。例如,对北方湿地的研究表明,由气候变化导致的生长季地下水位的不同会导致CH4通量的显著年际变化[66-67]。因此,应选择合适的时间尺度进行监测,以保证观测频率能较好地捕捉温室气体通量随时间变化的自然波动。

3.3 红树林土壤温室气体通量的空间变化特征

在本研究中,香港米埔中间带红树林湿地的平均CH4排放通量明显高于近陆带和近海带(见图5)。类似地,澳大利亚红树林湿地CH4通量也呈现明显的空间变化[8],其中红树林湿地边缘的CH4通量明显高于内部,这可能是由坡度、坡向和树冠覆盖的空间异质性等综合因素导致的。本研究中CH4排放通量的空间差异可能与研究区独特的环境条件有关。位于中间带的采样点靠近一条小溪,地下水位明显高于近陆带和近海带,高水位造成的厌氧条件有利于微生物活动产生CH4[49],这与我们观察到的中间带土壤氧化还原电位与CH4通量之间的负相关关系相吻合。此外,本研究还发现中间带土壤有效磷和总凯氏氮含量明显更高(见表1)。有研究表明,磷添加可通过直接提高产甲烷菌的活性或间接提高有机物的发酵速率来增加湿地土壤中CH4的生成[68]。氮供应的增加可能会通过亚硝酸盐毒性或与甲烷单氧化酶竞争而抑制CH4氧化[69]。相似地,研究发现昆士兰亚热带红树林土壤总氮与CH4排放呈正相关关系[8]
本研究表明,近陆带红树林的平均N2O通量明显高于中间带和近海带(图5),这与之前的研究结果一致[10]。近陆带红树林湿地的平均地下水位明显较低(表1),这可能是潮汐淹没频率较低和地表海拔较高的结果。较高的土壤氧化还原电位表明,土壤中的充氧条件较好,这可能促进了微生物将铵转化为硝酸盐,而硝酸盐是通过反硝化作用产生N2O的前体。此外,近陆带距水体较远,减少了潮汐冲刷导致的枯落物流失,因此土壤中的有机物含量较高,从而刺激了微生物生物量和反硝化潜力[70]
本研究中土壤平均CO2排放通量没有明显的空间变化(见图5)。以往的研究表明,地下水位和土壤氧化还原电位是影响滨海湿地CO2排放的最重要土壤指标,其次是土壤有机碳含量[71-72]。在近陆带,较低的地下水位和较高的土壤氧化还原电位可能会提高有机物的有氧分解速率。然而,近陆带土壤中可利用铵态氮和磷的浓度也最低,这可能会对微生物活动造成养分限制。此外,在中间带,厌氧环境对CO2的排放产生了抑制作用,而这可能会被土壤中较多的养分含量,如总钾、有效磷、铵态氮产生的刺激作用所抵消,因此3处红树林土壤CO2排放通量总体上差异不大。

4 结 论

香港米埔亚热带红树林湿地土壤温室气体通量具有相当大的时空变异性。其中,中间带土壤的厌氧程度更高,因此CH4排放通量明显更高;近陆带有更多的好氧环境和土壤有机质,因此土壤N2O通量明显高于近陆带和近海带;近陆带、中间带和近海带的土壤CO2通量平均值没有明显差异。在时间尺度上,冬季CH4排放显著较低,这是由于低温和高盐度抑制了甲烷产生;由于秋季土壤铵态氮和硝酸盐含量高,平均N2O通量明显高于其他3个季节;CO2平均通量在夏季最高,在冬季最低,这可能与温度和土壤有机质含量的变化有关。此外,月尺度的CH4和N2O排放通量的RSD很高,超过了115%,表明红树林湿地温室气体通量的年内变异很大。研究结果突显了描述土壤温室气体通量时空变异的重要性,以便更全面准确地评估红树林在减缓未来气候变化中的作用。
致谢:感谢香港中文大学黎育科教授对本文的悉心指导。
1
2
3
4
5
6
7
8
9
10
11
12
13
14
15
16
17
18
19
20
21
22
23
24
25
26
27
28
29
30
31
32
33
34
35
36
37
38
39
40
41
42
43
44
45
46
47
48
49
50
51
52
53
54
55
56
57
58
59
60
61
62
63
64
65
66
67
68
69
70
71
72
文章导航

/