湿地生物多样性

水深梯度对苦草典型功能性状的影响

  • 容鑫林 , 1, 2 ,
  • 周忠泽 1, 2 ,
  • 王淑琼 , 1, 2, *
展开
王淑琼,讲师。E-mail:

容鑫林(1996—),男,安徽省怀宁人,硕士研究生,从事生物资源保护利用研究。E-mail:

收稿日期: 2023-02-19

  修回日期: 2023-04-07

  网络出版日期: 2026-03-12

版权

版权所有©《湿地科学》编辑部2025
容鑫林, 周忠泽, 王淑琼. 水深梯度对苦草典型功能性状的影响[J]. 湿地科学, 2025, 23(1): 140-149 [Rong X L, Zhou Z Z, Wang S Q. Impact of water depth gradient on the typical functional traits of Vallisneria natans[J]. Wetland Science, 2025, 23(1): 140-149

Impact of water depth gradient on the typical functional traits of Vallisneria natans

  • Rong Xinlin , 1, 2 ,
  • Zhou Zhongze 1, 2 ,
  • Wang Shuqiong , 1, 2, *
Expand

Received date: 2023-02-19

  Revised date: 2023-04-07

  Online published: 2026-03-12

Copyright

Copyright ©2025 Wetland Science. All rights reserved.

摘要

苦草(Vallisneria natans)是通江湖泊优势物种,对于维持湖泊生态系统的结构和功能具有重要作用。以安徽大学磬苑校区内人工景观湖琵琶湖生态修复后人工种植的苦草种群为研究对象,通过实地监测,了解苦草在生长周期的不同阶段(种子萌发、生长和繁殖等),其典型功能性状对3种不同水深条件的响应。研究结果显示,水深对苦草的典型功能性状具有影响,苦草种子的萌发和幼苗的存活率与水深呈负相关关系;随着水深的增加,苦草株高逐渐增加,叶片长度和比叶面积均提高,且地上生物量占比在水深最大条件下最大;此外,苦草植株在浅水区(0~100 cm、>100~150 cm水深)主要进行有性生殖,在深水区(>150~200 cm水深)主要通过地下块茎进行克隆繁殖。可以为水位波动条件下苦草种群的保护和恢复提供一定的理论支持。

本文引用格式

容鑫林 , 周忠泽 , 王淑琼 . 水深梯度对苦草典型功能性状的影响[J]. 湿地科学, 2025 , 23(1) : 140 -149 . DOI: 10.13248/j.cnki.wetlandsci.20230040

Abstract

Vallisneria natans is a dominant species in lakes connecting the Yangtze River, and is essential in maintaining the structure and function of lake ecosystems. Water depth is the main environmental factor affecting the survival and growth of submerged macrophytes. Too shallow or too deep water condition is not conducive to the stability of submerged macrophytes. In practice, due to the influence of human factors and differences in regional conditions, the water level of many aquatic ecosystems fluctuates to a certain extent, which may have a certain impact on the growth and reproduction of submerged macrophytes, for instance, Vallisneria natans. However, the specific influence of water depth on Vallisneria natans is still unclear. In this study, the population of Vallisneria natans planted after ecological restoration of Lake Pipa of Anhui University was selected as the research object. Three sampling areas with relatively consistent growth condition of Vallisneria natans were selected. In each sampling area, three sampling points were selected according to three different water depth, i.e., 0-10 cm, 10-50 cm, and 50-90 cm (at early stage), and 0-100 cm, 100-150 cm, 150-200 cm (at late stage). In each sampling area, one sample quadrat was set. In each quadrant, the coverage and number of seedlings of Vallisneria natans, the height of mature plants, the length of the longest underground rhizomes, and the number of clones etc., were monitored respectively. Besides, the number of fruit and tuber produced by mature plants of Vallisneria natans was also monitored. Through the methods mentioned above, we could understand the response of typical functional traits of Vallisneria natans to different water depth conditions at different stages of the growth cycle (seed germination, growth and reproduction, etc.). Results show that seed germination and seedling survival rate were negatively correlated with water depth. In addition, with the increase of water depth, plant height, leaf length and specific leaf area increased significantly. Meanwhile, the aboveground biomass ratio of Vallisneria natans was the largest under the deepest water depth. Besides, sexual reproduction of Vallisneria natans was mainly carried out under shallow water condition (0-100 cm, >100-150 cm water depth), while clonal reproduction was mainly carried out by underground tuber under deep water condition (>150-200 cm water depth). The results highlight that the water depth had significant influence on the typical functional traits of Vallisneria natans in the stages of seed germination, growth and reproduction. This study can provide some theoretical support for the protection and recovery of Vallisneria natans population under water level fluctuation.

沉水植物对于维持水生生态系统的水质和生物多样性具有重要作用[1]。水深是影响沉水植物生存和生长的主要环境因素[2-4]。研究表明,沉水植物对水深的变化表现出较高的表型可塑性[5-9],如形态调整、生物量重新分配、光合作用色素含量变化,以及根系性状的变化等[10-11]。水深增加使沉水植物穗状狐尾藻(Myriophyllum spicatum)分配给根和茎的生物量减小,分配给叶的生物量增大;而使微齿眼子菜 (Potamogeton maackianus)分配给茎的生物量增加,分配给根和叶的生物量减少[5]。在光照良好条件下,苦草(Vallisneria natans) 通过增加匍匐茎的长度进行克隆繁殖,以占据更多空间;而在光照较差时,苦草则通过增加垂直方向的生长,以获得足够光照[12]。此外,研究表明叶片叶绿素a含量的变化是沉水植物响应光衰减所采用的主要生理适应机制之一[13-14]
水深是控制水生系统功能稳定性的关键因素[15]。较深的水域通常具有较低的光照强度、较高的水压等特征,因而不利于植物的生长和繁殖。水深主要通过改变植物器官接收光的辐射照度,影响沉水植物的生长、繁殖和重建,从而影响碳同化和养分利用。因此,在深水生境中,水生植物的开花数和生物量通常会减小。一般来说,一定的水深有助于维持稳定的植物群落[16-17],过浅或过深的水域都不利于沉水植物群落的稳定[18]
功能性状变化是植物适应外界环境变化的综合表现[19]。植物功能性状与环境变化的关系一直是生态学研究的热点问题,其决定了植物的生长和繁殖等过程,因此在物种沿环境梯度的分布格局中起到重要作用[20]。研究植物的功能性状,不仅有利于对生态系统功能以及群落物种共存原理的理解,而且可为预测人类活动及气候变化对植物分布的影响提供帮助[21]
苦草是中国常见的沉水植物,在长江中下游浅水湖泊和河流中广泛分布[22],主要出现在水深1~3 m的淡水环境 [23]。由于苦草根系强大,叶片呈带状且柔软,使得其在溪流生境中也能生存。另外,苦草还具有较高的经济价值[24]。同时,苦草对氮、磷等营养元素具有较强的吸收能力,在富营养化水体生态修复工程中被广泛应用[25-26]
本研究以安徽大学磬苑校区琵琶湖生态修复后人工建植的苦草种群为研究对象,通过监测在不同水深条件下苦草幼苗的植株密度、成体的叶片、匍匐茎、果实和块茎等指标的变化,揭示不同水深条件对于苦草生活史重要阶段(即种子萌发、生长和繁殖阶段)典型功能性状的影响,为苦草的恢复和管理提供科学依据。

1 材料和方法

1.1 采样地

于2021年3月24日,在安徽省合肥市安徽大学磬苑校区内人工景观湖琵琶湖(31°45′46″N~31°45′43″N,117°11′25″E~117°11′33″E)播撒苦草种子,播撒区域为离岸1 m左右范围。为了模拟苦草种子在自然环境中的密度,每间隔2 m,人工播撒一把苦草种子,让其在水流作用下自由下沉和漂移。湖区水深约为1~2 m,主要依靠雨水进行补水调节,水深总体波动不大。湖体底质主要为砂质壤土。

1.2 样品采集与测定

于2021年6~10月进行野外监测。根据水深,选择苦草生长相对一致的区域,设置3处采样地。在每处采样地,从岸边至苦草生长的最远处,根据不同水深(0~10 cm、>10~50 cm和>50~90 cm),设置3个采样点,共9个采样点。在每个采样点,设置1个1 m×1 m的样方。
2021年6月1日,即苦草种子萌发成幼苗的结束阶段,监测各采样点苦草幼苗在1 m2样方内的盖度和株数,以及每株苦草的叶片数,以此分析水深对苦草种子萌发的影响。在苦草快速生长结束阶段,监测各采样点苦草形态指标,具体方法为:在每个样方内,选择生长相对一致的3株苦草植株,共采集27株植株。将植株连根拔起后清洗干净,在实验室测量其叶片长度、叶片宽度、叶面积以及叶片鲜质量。将植株置于 75 ℃烘箱中48 h,直至质量不变,测定其生物量。另外,在每个样方内,随机采集3株完整植株,包含母株及所有克隆繁殖的子株,并保证子株均未断开。
从播撒苦草种子起 90 d后(6月24日)至7月21日(共28 d),每2 d采集一次样品,每次采集27株(即9个样方×3个植株样品),共采集378份样品。采集后,立即利用刻度尺测量母株高度、最长地下根状茎长度 (最大半径),并记录所采样本的子株数量,以考察水深对苦草克隆繁殖的影响。将同1 d内3种水深下测得数据的平均值,作为不考虑水深影响下,苦草克隆繁殖生长周期内的数据。
在苦草结果的阶段(7月22日),由于其种群范围已经蔓延至水深较深的区域,因此将此阶段的3种水深设置为0~100 cm、>100~150 cm和>150~200 cm,并在每种水深区域的每个采样点同样设置1个1 m×1 m的样方,共计9个样方。果实成熟后,在每个样方内随机选择10株苦草,共采集90份苦草植株样本。记录其果实长度、果实数,同时记录样方内植株结果实数或产块茎数,以便分析水深对苦草有性生殖和克隆繁殖的影响。
植株生长繁殖结果中的具体天数,均为从播撒种子日期(2021年3月24日)开始。

1.3 数据分析

利用 Origin 2022、SPSS 19.0和R-studio 4.1.2软件,进行数据处理分析。采用 Pearson 相关分析方法,分析苦草各指标间的相关性。采用Logistics模型,拟合不同水深条件下的株高、最大半径和子株数的生长曲线。

2 结果与分析

2.1 不同水深下苦草种子的萌发指标

苦草在3种水深条件下均有种子萌发。在0~10 cm水深区,苦草种子的萌发效果相对最好,盖度可达70%;在>10~90 cm水深区,随着水深的增加,苦草幼苗的盖度和丛数均减小(表1)。在水深超过90 cm的范围内苦草种子也有萌发,但呈零星分布。
1 Germination indexes of seeds of Vallisneria natans under different water depth conditions

不同水深条件下苦草种子的萌发指标

水深/cm盖度/%丛数/丛叶片数/片
0~10703812
>10~50402210
>50~9015811

2.2 不同水深下苦草的形态指标

2.2.1 苦草叶片长度、叶片宽度和比叶面积

苦草为叶基生型沉水植物,在开花和结果之前,其地上部位主要为叶。因此,在快速生长期的结束阶段,研究不同水深条件下苦草植株叶片指标对其叶表型的研究十分关键。从分析结果可以看出,苦草的叶片长度、叶片宽度和比叶面积都与水深显著相关(表2)。随着水深的增加,苦草的叶片长度逐渐增大,而苦草的叶片宽度和比叶面积呈单峰型变化(图1)。在>50~90 cm水深条件下,苦草叶片长度的极大值和极小值都相对最大或最小。由箱体的宽度可以看出,>50~90 cm水深下苦草叶片长度的变化幅度比其他2个水深下都大,且中位数在箱体中偏上,表明有异常值拉低了平均值。苦草叶片宽度的极大值出现在>10~50 cm水深下,在>50~90 cm水深下的苦草叶片宽度有所减小。在2种水深下,苦草比叶面积的中位数相差不大。由上述结果可知,当水深大于10 cm时,水深增加会促使苦草叶片变长、变窄,但是比叶面积基本趋于稳定。
2 Influence of water depth on leaf length, leaf width, and specific leaf area of Vallisneria natans

水深对苦草叶片长度、叶片宽度和比叶面积的影响

指标单因素方差分析
Fdfp
叶片长度6.19430.007
叶片宽度5.36130.012
比叶面积3.93130.033

2.2.2 苦草地上、地下生物量

表3可以看出,苦草快速生长期结束阶段地上部分生物量占总生物量的比例总体在70%~80%,而地下部分所占比例在20%~30%,地上部分占比明显高于地下部分。在>50~90 cm条件下,苦草地上部分生物量的占比普遍大于其他2种水深区域;而地上、地下生物量占比在0~10 cm和>10~50 cm水深下差异较小。
1 Leaf length (a), leaf width (b) and specific leaf area (c) of Vallisneria natans under different water depth conditions

不同水深条件下苦草的叶片长度(a)、叶片宽度(b)和比叶面积(c)

3 Proportion of aboveground biomass and belowground biomass of Vallisneria natans

苦草地上生物量与地下生物量占比

水深/cm采样地1采样地2采样地3
地下生物量占比/%地上生物量占比/%地下生物量占比/%地上生物量占比/%地下生物量占比/%地上生物量占比/%
0~1024.475.621.278.825.474.6
>10~5022.677.424.076.627.073.0
>50~9013.686.421.678.420.579.5

2.3 不同水深下苦草的克隆繁殖指标

2.3.1 不同水深苦草株高、最大半径和子株数

水深显著影响苦草的株高、最大半径和子株数(表4)。随着水深的增加,苦草的株高、最大半径和子株数都逐渐增大,即在>50~90 cm水深条件下,苦草的株高、最大半径和子株数都相对最大,而在0~10 cm水深条件下最小(表5)。
4 Influence of different water depth conditions on plant height, maximum radius and number of cloned plants of Vallisneria natans

水深对苦草株高、最大半径和子株数的影响


单因素方差分析
Fdfp
母株高8.4233<0.001
最大半径8.4513<0.001
子株数3.18430.03
5 Plant height, maximum radius and number of cloned plants of Vallisneria natans under different water depth conditions

不同水深条件下苦草的株高、最大半径和子株数

水深/cm母株高/cm最大半径/cm子株数/株
注:表中数据为平均值±标准误差。
0~1028.55±2.1136.04±0.9116.13±1.27
>10~5031.37±2.0238.46±0.9617.31±1.36
>50~9035.95±2.1140.88±0.9619.34±1.27

2.3.2 苦草克隆繁殖期间不同形态指标之间的关系

苦草的最大半径与子株数显著正相关,且二者符合y(子株数)=0.725x(最大半径)−10.434的关系(n=71,R2=0.5178p<0.01)(图2a)。苦草的最大半径与母株株高也显著正相关,且符合y(母株株高)=0.2676x(最大半径)+19.4859(n=86,R2=0.1233p<0.01) 的关系(图2b)。
2 Linear correlations between maximum radius and number of cloned plants (a), and height of mother plants (b) of Vallisneria natans

苦草最大半径与子株数(a)和母株株高(b) 的线性关系

2.3.3 苦草的拟合生长曲线

在0~10 cm和>50~90 cm水深条件下,苦草株高与栽种的时间未发现有明显关系。但是,在>10~50 cm水深条件下,随着时间的推移,苦草株高持续增高,但增长速率逐渐放缓。当苦草自播种日起栽种时间超过100 d时,其母株株高可达34 cm,最大增长率为0.50(图3a)。在不考虑水深的影响下,苦草母株株高随着时间的推移也呈增大趋势。自播种日起栽种时间超过100 d的苦草母株株高可达33 cm,最大增长率为0.14(图3b)。
3 Fitted growth curve of mother plant height growth of Vallisneria natans

苦草母株株高的拟合生长曲线

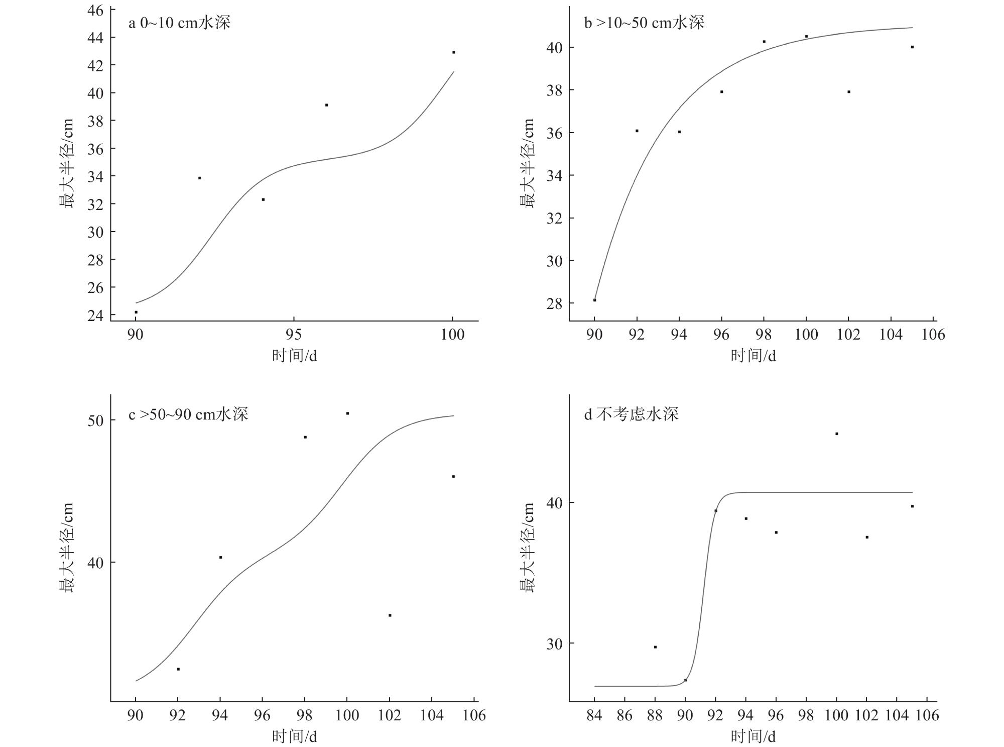
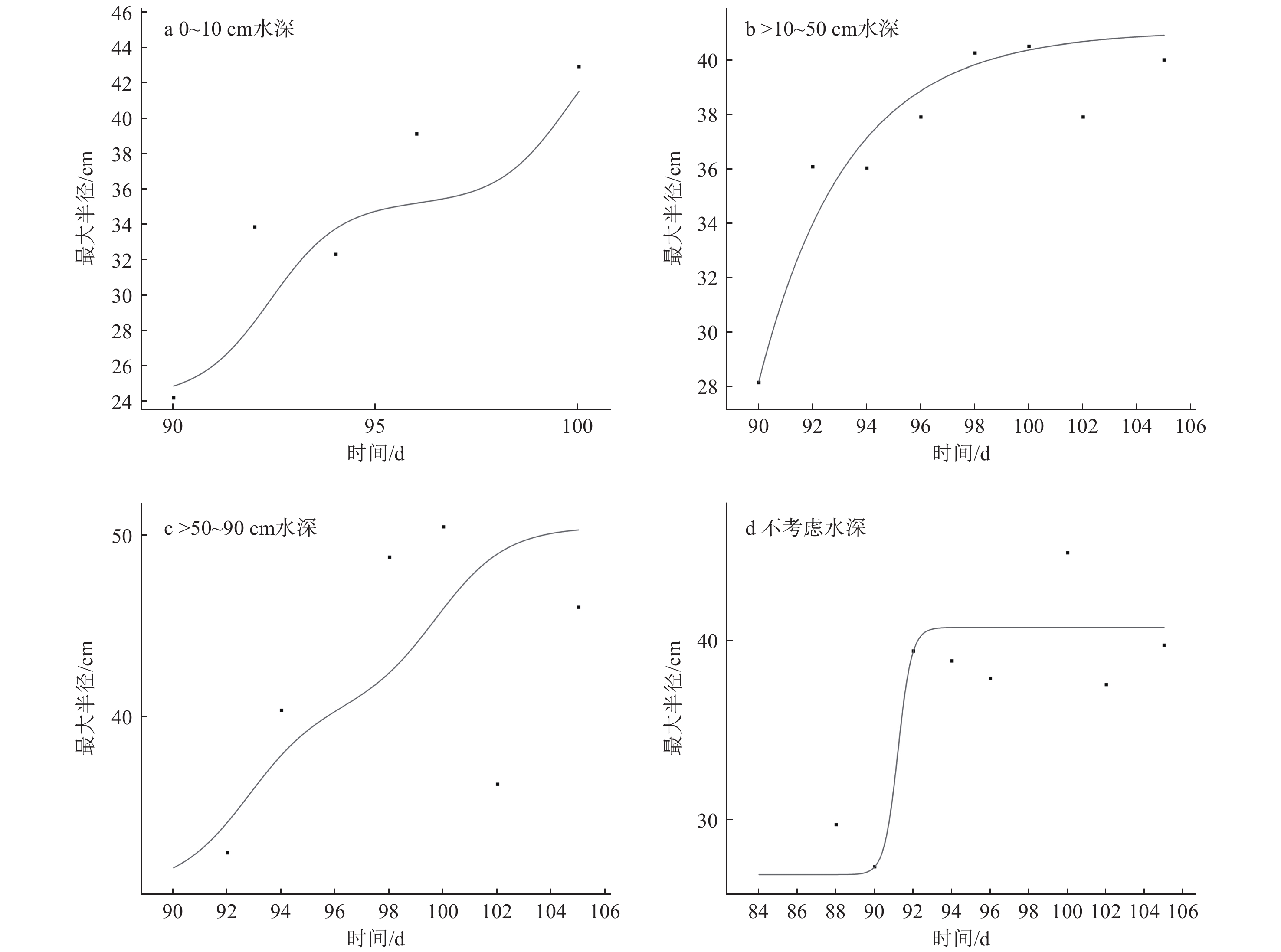
在3种水深条件下,苦草的最大半径都随着时间推移而增大。自播种日起100 d左右时,在0~10 cm及>50~90 cm水深条件下,苦草最大半径增长均保持较快速率;而在>10~50 cm水深条件下,苦草最大半径增长随时间推移逐渐放缓。另外,在>50~90 cm水深条件下,苦草最大半径可达50 cm左右,明显高于其他2种水深条件(图4)。
4 Fitted growth curve of the maximum radius of Vallisneria natans

苦草最大半径的拟合生长曲线

在3种水深条件下,苦草的子株数都随着时间推移而增多(图5)。 从增长速率看,在0~10 cm水深条件下,苦草子株数的增长速率呈现快速增长后平缓增长,再快速增长的趋势;在>10~50 cm水深和>50~90 cm水深条件下,苦草的子株数拟合的生长曲线大致相同,且增长速率逐渐变缓。从数量上看,当苦草自播种日起栽种时间超过100 d时,3种水深条件下苦草的子株数都超过22株。
5 Fitted growth curve of the number of cloned plants of Vallisneria natans

苦草子株数的拟合生长曲线

2.4 水深对苦草繁殖性状的影响

随着水深的增加,苦草果实长度逐渐增大,且在3种水深条件下差异显著(图6a)。 对于苦草果实数量而言,0~100 cm和>100~150 cm水深条件下,果实数较多;>150~200 cm水深条件下,果实数量显著减少(图6b)。另外,0~100 cm和>100~150 cm水深条件下,苦草块茎数较少;>150~200 cm水深条件下,苦草块茎数急剧增加,显著大于其他2种水深条件 (图6c)。
6 Fruit length (a), fruit number (b) and tuber number (c) of Vallisneria natans under different water depth conditions

不同水深条件线下苦草的果实长度(a)、果实数(b)和块茎数(c)

p<0.05。]]>

3 讨 论

3.1 不同水深条件对苦草种子萌发及幼苗形成过程的影响

在本研究中,随着水深增加,苦草幼苗的盖度和丛数降低(表1),这表明水深限制了苦草种子的萌发及幼苗的存活能力。研究发现,不同处理组苦草种子的萌发率,在有光条件下至少为60%,而在黑暗条件下则小于5%[27]。另一项研究发现,在1 m水深条件下,苦草种子萌发率显著高于在2 m水深条件下[28]。另外,在自然河道条件下进行光补偿时,苦草可以通过增加其幼苗的抗氧化酶活性,来增加幼苗的株高、叶片数和叶绿素a含量等[29]。从上述研究结果可以推测,水深对于苦草幼苗盖度和丛数的影响,很可能与光照强度密切相关。由于苦草种子较小、储能较少,光合作用产生充足有机物质对幼苗成熟后的进一步生长和发育尤为关键。因此,相对其他种子储能较多的物种而言,深水区域光合作用的降低,对苦草等种子较小的物种幼苗成活率的影响可能会更加明显。

3.2 不同水深条件对苦草营养生长性状的影响

在本研究中,水深对苦草的叶片功能性状具有显著影响,随着水深的增加,苦草的叶片长度变长、宽度变窄,且比叶面积变大(表2)。沉水植物的功能性状随着水深的增加而变化的主要原因,可以由沉水植物的“觅食行为”解释,即植物在生境中对必要资源的需求可以通过表型可塑性(phenotypic plasticity)来满足。一般认为,植物可以通过表型可塑性对环境变化进行响应,从而达到植物耗-益的最大获取[30]。在众多环境因素中,影响沉水植物生长的主要因素是光照。因此,沉水植物的“觅食行为”主要表现是对光的趋向性[31]。弱光环境下叶片变长,以及比叶面积变大,均可以增加叶片接收光线的面积,使植物获得更多的光线以支撑其生命活动。事实上,比叶面积的表型可塑性,不仅出现在沉水植物,湿生植物和旱生植物同样有此现象。研究发现,在光线较低的环境下,森林植物比叶面积的相应改变可能是植物适应低光照环境下正常生长的关键因子之一[32]。然而,在本研究中,随着水深的增加,苦草叶片宽度变窄。这个现象可能与深水条件下,苦草生物量的降低有一定关系[33]
在本研究中,苦草对于光的“觅食行为”还表现在株高,以及地上生物量占比的变化 (表3)。苦草地上部分生物量占总生物量比例(70%~80%)高于地下部位生物量占总生物量比例(20%~30%)。在深水条件下,苦草可以通过增加株高及地上生物量比例,将更多资源分配到地上部分。这种变化策略使得植物以最低的代谢成本获得更多光线,从而维持植物体正常生理活动[34]。研究发现,苦草属植物的相对生长速率随着光照强度的增加而升高,同时随着水深增加而下降[35],因此得出人为引起的水位抬升等环境变化可能是引起苦草种群退化的主要原因的结论。然而,在本研究中,在0~10 cm和>10~50 cm水深下,苦草地上生物量和地下生物量的占比变化不大,说明在浅水区域(0~10 cm、>10~50 cm水深),水深的变化可能不会对苦草地上和地下部分生物量分配产生影响。

3.3 不同水深条件对苦草有性和克隆繁殖性状的影响

在本研究中,水深是影响苦草有性繁殖的重要因素。随着水深的增加,苦草产生果实的数量明显降低(图6b)。沉水植物有性繁殖受到深水抑制的情况也在其他同类实验中得到证实[36]。深水条件对沉水植物有性繁殖的抑制,可能与植物在有性繁殖中,花序梗到达水面距离较长,导致过高的投入成本有关。研究表明,当沉水植物受到环境条件抑制时,一般会通过降低有性繁殖,以保留更多营养用以维持其基本生存。相反,在浅水区域(0~100 cm、>100~150 cm水深),由于距离水面较近,有性繁殖成本较低,从而促进了该类区域内沉水植物对有性繁殖的投入。这种在不同水深下繁殖分配的差异,体现了沉水植物对水位条件的繁殖适应性。此外,本研究发现苦草的果实长度随着水深的增加而显著增加(图6a)。通常情况下,发育较好的果实拥有更好的形态和质量,从而确保高的繁殖能力[37]。本研究中果实长度的增加,可能是植物应对果实数量减少的一种策略,即苦草在面对有性繁殖投入降低时,确保有限的投入得到高效的转化。这种策略也在很多陆生草本植物中也被发现[38]
在水深设定的范围内,随着水深的增加,苦草的克隆繁殖增强,即苦草子株数(表4)、块茎数显著增加(图6c)。这种现象可能与深水环境下的低有性繁殖投入有关。其他研究也证明,随着水深的增加沉水植物克隆繁殖较有性繁殖可能更具优势[39-40]。由环境胁迫导致植物由有性繁殖转向无性繁殖的现象也在其他研究中得到证实[41]。深水条件下苦草克隆繁殖的增加,有利于其在不良条件下拥有定居更多空间的能力,提高其种群竞争力。
虽然苦草种群的扩张在很大程度上依赖于克隆繁殖,然而有性繁殖却直接与苦草的遗传多样性有关,也是苦草等水生植物抵抗不利环境,或遭到极端干扰毁坏后种群恢复的重要方式。因此,在当前沉水植被退化的背景下,有性繁殖能力的减弱可能会进一步对沉水植物种群维持、进化过程等带来威胁[42]。由此可见,将水位控制在合理范围,对于苦草等沉水植物种群的保护和恢复十分关键。然而,目前为止,对于苦草等沉水植物在水位波动条件下的克隆和有性繁殖策略、二者间平衡性,以及该问题对于植物个体发育和种群动态等问题的理解依然不足。

4 结 论

随着水深增加,苦草幼苗的盖度和丛数逐渐降低;同时,苦草成体叶片长度逐渐增加、比叶面积变大。苦草株高、最大半径和子株数,以及地上生物量占比随着水深增加而增加。苦草在深水区(>50~90 cm水深)地上部分更多资源的分布,可以保证植株获取更多光照。另外,随着水深的增加,苦草产生果实的数量降低,但克隆繁殖增强。可见,水深是影响苦草繁殖策略的重要因素。
由于气候变化及其他人为干扰等因素,长江中下游许多浅水通江湖泊水位波动较大。鉴于浅水湖泊中苦草等沉水植物退化形势严峻,将浅水湖泊水位控制在合理范围内,维持苦草等沉水植物良好的生存与繁殖条件,才能保证湖泊生态系统的稳定和可持续发展 。
1
2
3
4
5
6
7
8
9
10
11
12
13
14
15
16
17
18
19
20
21
22
23
24
25
26
27
28
29
30
31
32
33
34
35
36
37
38
39
40
41
42
文章导航

/