区域发展

黄河流域新质生产力生态化水平测度与障碍因子

  • 彭文英 ,
  • 赵爽 ,
  • 单子溢 ,
  • 陈泽宇
展开
  • 首都经济贸易大学城市经济与公共管理学院,北京 100070
赵爽(1998-),女,博士研究生,主要从事区域经济与资源经济学研究. E-mail:

彭文英(1967-),女,博士,教授,主要从事区域经济、土地资源管理研究. E-mail:

收稿日期: 2024-09-11

  修回日期: 2024-11-06

  网络出版日期: 2026-03-11

基金资助

北京市社会科学基金重大项目(19ZDA03)

Measurement and obstacle factors of ecological level of new quality productive forces in the Yellow River Basin

  • Wenying PENG ,
  • Shuang ZHAO ,
  • Ziyi SHAN ,
  • Zeyu CHEN
Expand
  • School of Urban Economics and Public Administration, Capital University of Economics and Business, Beijing 100070, China

Received date: 2024-09-11

  Revised date: 2024-11-06

  Online published: 2026-03-11

摘要

新质生产力本身就是绿色生产力,绿色发展、生态现代化对于推进构建新质生产力具有重要意义。基于生产力理论的生态思想,构建了包含生产主体生态化、劳动资料生态化、劳动对象生态化的新质生产力生态化水平测度指标体系,利用2012—2021年黄河流域地级市面板数据,采用熵值法、基尼系数分解法、障碍度模型,考察了黄河流域新质生产力生态化水平及其障碍因素。 结果表明:(1) 黄河流域新质生产力生态化水平整体呈上升趋势,新质生产力生态化水平区域差异不断增大,上、中、下游间差异对总体区域差异的影响最大。(2) 生产主体生态化障碍度最大,且呈现逐年上升的趋势,劳动资料生态化、劳动对象生态化障碍度呈现下降趋势,战略性新兴产业一直是阻碍新质生产力生态化水平提升的最大障碍因子。(3) 黄河流域发展新质生产力应重视生态化路径,加大科技创新投入,努力培养高素质创新型人才,增强劳动者的生态意识和生态科技创新能力,加快发展生态战略性新兴产业,促进上、中、下游之间的协调发展,有效推动黄河流域新质生产力发展。

本文引用格式

彭文英 , 赵爽 , 单子溢 , 陈泽宇 . 黄河流域新质生产力生态化水平测度与障碍因子[J]. 干旱区地理, 2025 , 48(9) : 1648 -1659 . DOI: 10.12118/j.issn.1000-6060.2024.543

Abstract

Green productivity is a new type of productive force, and green development and ecological modernization are important for the construction of new types of productive forces. Based on the ecological thinking of productivity theory, a measurement index system for the ecological level of the new type of productive forces, including the ecological transformation of production subjects, labor materials, and labor objects, was constructed. Panel data from prefecture-level cities in the Yellow River Basin of China from 2012 to 2021 were used to examine the ecological level of new quality productive forces in the Yellow River Basin and its obstacle factors. The entropy method, Gini coefficient decomposition, and the obstacle degree model were used. The results indicate that: (1) The overall ecological level of new quality productive forces in the Yellow River Basin is on the rise, and regional differences in ecological level of new quality productive forces are constantly increasing. The differences among upstream, midstream, and downstream show the greatest impact on overall regional differences. (2) The degree of the obstacle of the ecological transformation of production subjects is the highest and shows an increasing trend year by year, whereas the obstacle degree of the ecological transformation of labor materials and labor objects shows a decreasing trend. Emerging strategic industries have always been the main obstacle to the improvement of the ecological level of new quality productive forces. (3) The development of new quality productive forces in the Yellow River Basin should attach importance to the ecological path, increase investment in scientific and technological innovation, strive to cultivate high-quality innovative talent, enhance workers’ ecological awareness and ecological technology innovation ability, accelerate the development of ecological strategic emerging industries, promote coordinated development between upstream, midstream, and downstream, and effectively promote the development of new quality productive forces in the Yellow River Basin.

2023年9月,习近平总书记在黑龙江考察时提出需加快发展新质生产力,随后在中央经济工作会议上再次指出:“要以科技创新推动产业创新,特别是以颠覆性技术和前沿技术催生新产业、新模式、新动能,发展新质生产力[1]”。2024年习近平总书记在主持中共中央政治局第十一次集体学习时指出:“绿色发展是高质量发展的底色,新质生产力本身就是绿色生产力[2]”。黄河流域生态环境脆弱、环保压力大[3],人地关系调控受到生态脆弱性与经济发展迫切需求的双重压力[4],生产力水平区域性差异明显[5]。黄河流域是我国生态安全的重要保护屏障和经济发展的重要区域,扎实推进黄河流域生态保护和高质量发展是重大国家战略。因此,在开启“十五五”及构建新质生产力的重要时节,评价分析黄河流域新质生产力生态化水平及其障碍因子,对于促进黄河流域生态保护和高质量发展具有重要意义。
生产力概念最早被古典经济学家关注,认为是人类为获取更多的物质财富而征服和改造自然的生产能力。关于新质生产力,已有学者从概念内涵上分析认为,新质生产力是一个复杂系统,遵循生产力现代化的规律和趋势,由新型劳动者、新型劳动对象、新型劳动工具、新型基础设施等构成的“要素-结构-功能”系统[6],符合绿色发展的先进生产力[7]。“新”是技术与经济的连接促使形成新的经济结构;“质”是创新驱动技术突破下的高质量发展[8-10]。还有学者强调新质生产力应以生态化为核心发展生产力,应立足于推动生产方式、技术创新、产业发展绿色转型[11-12]。此外,已有研究探讨构建了新质生产力评价指标体系,主要是从生产力构成要素劳动者、劳动资料、劳动对象[13-14]来构建,也有基于新质生产力内涵要义,从科技、绿色、数字[15]以及新技术、生产组织、数据要素、劳动者等[16]视角来构建新质生产力评价指标体系。已有研究为新质生产力理论及评价奠定了一定基础,强调了新质生产力生态化的重要性,但对新质生产力生态化水平的测度评价及生态化策略路径的研究还较少,尤其是缺乏针对生态保护重要地区新质生产力生态化方面的研究。因此,本文以黄河流域地级市为研究对象,构建新质生产力生态化水平测度指标体系,运用熵值法、基尼系数分解法、障碍度模型等方法,对2012—2021年黄河流域地级市新质生产力生态化水平进行综合测度,揭示其区域发展格局及障碍因素,以期为黄河流域新质生产力生态化发展提供理论依据和实践参考。

1 数据与方法

1.1 研究区概况

黄河流域(32°10′~41°50′N,95°53′~119°05′E)流经青海、四川、甘肃、宁夏、内蒙古、山西、陕西、河南、山东共9个省(区)。黄河干流河道全长5464 km,以内蒙古呼和浩特市托克托县的河口镇、河南郑州市桃花峪为分界线,将黄河流域分为上、中、下游。黄河流域拥有丰富的自然资源,长期以传统产业为主进行生产,生态环境日益恶化,制约黄河流域高质量发展。2023年黄河流域内9个省(区)的生产总值为3.164×1013元,其中黄河流域中、下游的河南与山东的地区生产总值占比约50%,黄河流域经济发展极度不平衡。因此,黄河流域是我国进行新质生产力发展的重点区域。考虑到数据的可得性、连续性,以及区域分析可行性等,本文分别选取黄河流域上游15个地级市、中游20个地级市、下游30个地级市,共65个地级市作为研究对象(图1)。
图1 研究区示意图

注:基于自然资源部标准地图服务网站审图号为GS(2022)1873号的标准地图制作,底图边界无修改。下同。

Fig. 1 Schematic diagram of the study area

1.2 数据来源

本文研究数据来源于2012—2022年《中国城市统计年鉴》,以及各省(区)统计年鉴、各城市统计公报和固体废物污染防治信息公告。仅个别城市存在缺失数据,采用插值法进行补全,所得数据真实有效。

1.3 理论基础

1.3.1 新质生产力生态化发展内涵

马克思主义生产力理论认为生产力是综合、具体、现实力的概念,包括生产主体、劳动资料、劳动对象,是生产能力以及要素的综合发展。新质生产力是指符合生态文明建设要求,高素质创新性人才引领、科学技术革命突破促进生产要素创新配置、催生产业深度转型升级的先进生产力,是生产力的突破性跃升。保护生态环境就是保护生产力,改善生态环境就是发展生产力[17]。新质生产力生态化发展体现在生产主体生态化新质发展、劳动资料生态化新质发展、劳动对象生态化新质发展。生产主体即劳动者,其生态化新质发展是指劳动者具有生态文明理念,具备先进的环境保护知识和创新技能,能自主选择资源节约型、环境友好型的人与自然和谐共生的现代化生产方式。劳动资料是连接劳动者和劳动对象的桥梁,是劳动者用来将所从事的生产活动传递到劳动对象上的物质资料。劳动资料生态化新质发展具体表现在制度、技术与基础设施3个方面:推进科学技术与生态文明建设发展融合的系统性创新制度,构建高效的生态科学技术创新体系;实现生态技术的创新性突破,使高新技术与生态发展相融合;基础设施建设需进行绿色化、智能化的改造,如加快生态环保基础设施建设和互联网的融合发展。劳动对象是被劳动者加工、改造的物质对象,包括未经人类加工的自然物质。劳动对象生态化新质发展主要体现在对自然物质劳动对象特点、价值的提升,以及对非物质形态劳动对象范围的拓展2个方面:对自然物质劳动对象进行适度开发利用、减少污染和合理保护,自然价值和经济价值的良性转化,保证自然物质劳动对象的稳定性、多样性和持续性;对非物质形态劳动对象,应加大科技投入,促进发展面向未来的战略性新兴产业、未来产业、环保产业。

1.3.2 新质生产力生态化分析思路

新质生产力生态化发展要以全面推进人与自然和谐共生的现代化为目标,将科技创新与自然生态保护相统一,实现生产力要素的全面跃升,在整个生产过程中实现生产力要素生态化新质发展,形成符合生态文明的新型生产关系,建立起以生态优先、绿色发展为统领的现代化产业体系。基于新质生产力生态化发展内涵框架、目标导向,以生产主体生态化、劳动资料生态化、劳动对象生态化发展为框架(图2),构建新质生产力评价指标体系,运用熵值法测度分析新质生产力生态化水平时空格局,基尼系数分解法分析区域差异,障碍度模型探讨制约影响因素,从而深入分析黄河流域新质生产力生态化发展优势与问题,为黄河流域深化生态保护和高质量发展给予新的政策启示。
图2 新质生产力生态化分析框架

Fig. 2 Ecological analysis framework for new quality productive forces

1.4 研究方法

1.4.1 熵值法

本文利用熵值法计算新质生产力生态化水平测度指标体系中各指标的权重,以便分析不同指标对新质生产力生态化水平的影响程度,并运用线性加权法计算新质生产力生态化水平。计算公式如下:
x i j = X i j - m i n X i j m a x X i j - m i n X i j
x i j = m a x X i j - X i j m a x X i j - m i n X i j
e j = - 1 l n m × i = 1 m p i j × l n p i j
p i j = x i j i = 1 m x i j
W j = 1 - e j j = 1 n 1 - e j
E i = j = 1 n x i j × W j
式中: X i j为第i个城市第j项指标的原始数据; x i j为第i个城市第j项指标的标准化结果; e j为第j项指标的信息熵; p i j为第i个城市在第j项指标中所占比重; W j为第j项指标权重; E i为第i个城市新质生产力生态化水平;m为城市个数;n为指标个数。

1.4.2 基尼系数分解法

Dagum提出的基尼系数分解法能够解决样本间存在的交叉重叠问题,测度分析地区差距的原因[18]。基尼系数越大,说明空间发展不均衡程度越大。黄河流域新质生产力生态化水平总体基尼系数(G)的计算公式如下:
G = q = 1 k h = 1 k s = 1 m q r = 1 m h y q s - y h r 2 u m 2
G = G w + G b + G t
式中:u为各城市新质生产力生态化水平的均值;k为黄河流域分区个数; y q s y h r分别为qh区域包含的各城市新质生产力生态化水平; m q m h分别为qh区域内城市个数; G w为上、中、下游内新质生产力生态化水平差异对整体差异的总贡献; G b为上、中、下游间新质生产力生态化水平差异净值对整体差异的贡献; G t为上、中、下游间新质生产力生态化水平存在的交叉项对整体差异的贡献。

1.4.3 障碍度模型

为了进一步分析制约黄河流域新质生产力生态化水平的关键障碍因素,构建障碍度模型来识别黄河流域新质生产力生态发展的障碍制约因素。计算公式如下:
C i j = 1 - x i j × W j j = 1 n 1 - x i j × W j × 100 %
式中: C i j为第i个城市第j项指标的障碍度, C i j越大说明该指标阻碍度越大;

1.5 指标体系构建

结合生产力三要素生态化新质发展的内涵与特点,基于生产主体生态化、劳动资料生态化、劳动对象生态化3个层面来考量新质生产力生态化水平,以科学合理、可操纵性为原则,构建新质生产力生态化水平测度指标体系(表1)。(1) 生产主体生态化选取高素质人才和生态意识2个指标表征。高素质人才体现出生产主体具有创新和实践能力,能够熟练掌握生产技能,自主选择适合的生产方式;选取受教育程度和知识密集型人员来表示。生态意识反映出生产主体对环境治理的重视程度[19],生态意识越强,环保投入越多;选取环保投入来表示。(2) 能源、基础设施及科学技术是重要的劳动资料,劳动资料生态化选取能源利用生态化、设施先进性、科技创新性3个指标表征。能源利用生态化和设施先进性分别选取能源节约利用、数字基础设施来表示。科技创新性主要选取数字化水平和绿色创新水平来表示。(3) 劳动对象生态化选取生态科技产业、生态生产过程、生态环境3个指标表征。生态科技产业、生态生产过程可以说明人类劳动加工物质对象的生态化方式;生态科技产业主要选取战略性新兴产业和产业结构高级化来表示,生态生产过程主要选取绿色清洁生产来表示。生态环境质量反映了自然物质劳动对象的特征和价值,主要选取绿化情况来表示。
表1 新质生产力生态化水平测度指标体系

Tab. 1 Index system for measuring the ecological level of new quality productive forces

准则层 二级指标 表征指标 指标测度 权重 属性
生产主体生态化 高素质人才 受教育程度(X1 普通高等学校在校生数 0.1528 +
知识密集型人员(X2 信息传输、软件和信息技术服务业与
科学研究和技术服务业人数
0.1856 +
生态意识 环保投入(X3 节能环保支出 0.0569 +
劳动资料生态化 能源利用生态化 能源节约利用(X4 单位GDP能源消耗量 0.0063 -
设施先进性 数字基础设施(X5 互联网宽带接入用户数 0.0711 +
科技创新性 数字化水平(X6 数字经济指数 0.0280 +
绿色创新水平(X7 绿色专利授权总量 0.1889 +
劳动对象生态化 生态科技产业 战略性新兴产业(X8 人工智能企业数量 0.2584 +
产业结构高级化(X9 第三产业增加值/第二产业增加值 0.0328 +
生态生产过程 绿色清洁生产(X10 工业固体废物综合利用率 0.0140 +
生态环境 绿化情况(X11 建成区绿化覆盖率 0.0052 +

注:“+”表示正向指标;“-”表示负向指标。

2 结果与分析

2.1 新质生产力生态化综合水平及发展态势

整体上看,2012—2021年黄河流域新质生产力生态化综合指数呈逐年上升趋势,综合指数介于0.0631~0.1459之间,均值为0.0946,中位数为0.0887,综合指数2018年起开始超过平均水平(图3)。从3个准则层分类指数来看,劳动资料生态化指数最大且上升幅度最明显,指数介于0.0237~0.0652之间,2018年开始超过平均水平;劳动对象生态化指数呈逐年上升趋势,且上升幅度较大,指数介于0.0186~0.0454之间,2019年起开始超过平均水平;生产主体生态化指数呈逐年上升趋势,但上升幅度最小,表明黄河流域生产主体生态化发展相对薄弱,高素质人才较为短缺。总之,黄河流域新质生产力生态化发展态势良好,党的十九大以来高度重视生产力发展的生态化转型升级,基础设施和产业的科技创新化、生态化改善态势良好。
图3 2012—2021年黄河流域新质生产力生态化指数发展

Fig. 3 Development of ecological index of new quality productive forces in the Yellow River Basin from 2012 to 2021

2.2 新质生产力生态化水平区域差异及其变化

2.2.1 区域格局及其变化

结合自然断点法以及黄河流域生态环境高质量发展实际情况,运用ArcGIS 10.8软件将2012—2021年黄河流域新质生产力生态化水平分为低水平区、较低水平区、中等水平区、较高水平区、高水平区5个类别,并选取2012、2015、2018年和2021年这4个时间节点进行可视化分析(图4)。
图4 黄河流域各地级市新质生产力生态化水平发展情况

Fig. 4 Development of ecological level of new quality productive forces in various cities in the Yellow River Basin

从总体水平区域格局及其变化来看,黄河流域新质生产力生态化水平呈“东高西低”的区域差异格局,但上、中、下游区域格局日益均衡。高水平城市:2012年仅有中游的西安市,2021年发展成下游的济南、郑州、青岛、潍坊、烟台5市以及中游的西安、太原2市。较高水平城市:2012年有下游的济南、郑州、青岛3市,中游的太原市,上游的兰州市;2021年发展成下游的临沂、济宁等22市,中游的洛阳、咸阳、晋中、榆林4市,上游的兰州、呼和浩特、银川、西宁4市。中等水平城市:2012年有下游的烟台、潍坊、泰安、淄博、临沂、东营6市,中游的洛阳、咸阳2市,上游的呼和浩特市;2021年发展成下游的濮阳、漯河2市,中游的焦作、渭南、宝鸡、运城、延安、临汾6市,上游的定西、包头、庆阳3市。较低水平城市:2012年有下游的济宁、新乡等18市,中游的宝鸡、渭南等11市,上游的西宁、定西、银川、庆阳、包头5市;2021年发展成下游的鹤壁,中游的铜川、商洛等8市,上游的白银、鄂尔多斯、巴彦淖尔、吴忠、乌兰察布5市。低水平城市:2012年有下游的漯河、濮阳、鹤壁3市,中游的吕梁、晋城、朔州、三门峡、阳泉5市,上游的白银、乌兰察布等8市;2021年新增城市仅有上游的中卫、石嘴山、乌海3市,低、较低水平城市减少明显。黄河流域新质生产力生态化水平总体上围绕关中平原城市群、兰州-西宁城市群、山东半岛城市群、黄河“几”字弯都市圈进行发展,呈现明显的城市群都市化的区域发展格局。
从新质生产力准则层分类来看,生产主体生态化水平发展呈现出以省会城市及重要大城市为节点的中心化趋势,且随着时间变化不明显。2021年高水平城市有西安、郑州2市,较高水平城市有济南、青岛、太原、兰州4市,其余城市一直处于生产主体生态化低、较低水平。黄河流域中心城市的生产主体生态化水平发展突出,主要得益于黄河流域中心城市拥有科研机构和高等学校的数量较多,环境保护投入力度较大。劳动资料生态化水平发展呈现出下游城市集聚化趋势。2021年高水平城市有中游的西安、下游的济南、青岛2市,较高水平城市有中游的太原、下游的郑州、潍坊、临沂、烟台、济宁5市,中等水平城市有上游的兰州、中游的洛阳、下游的淄博、德州、泰安、菏泽、新乡、南阳6市,其余城市一直处于劳动资料生态化低、较低水平。下游劳动资料生态化水平发展呈现明显的高水平集聚现象,下游城市经济发展较快,在能源利用、科技创新、基础设施建设方面具有较强的实力。劳动对象生态化水平发展呈现集聚化趋势,该趋势主要体现在山东省内城市及其余省会城市。2021年高水平城市有陕西省西安和河南省郑州,较高水平城市有山东省济南、青岛、烟台3市,中等水平城市有山西省太原和山东省临沂、潍坊2市。山东省大力推动传统产业升级,发展特色产业,有效实现劳动对象生态化高水平集聚。

2.2.2 区域分解及其演进

为了更好地了解黄河流域新质生产力生态化水平的地区差异,采用基尼系数分解法测度2012—2021年生态化水平总体基尼系数,并进一步按照黄河流域上、中、下游进行分区,测算这3个区域的基尼系数(图5)。
图5 黄河流域新质生产力生态化水平基尼系数

Fig. 5 Gini coefficient of ecological level of new quality productive forces in the Yellow River Basin

(1) 区域差异及其贡献来源
2012—2021年黄河流域新质生产力生态化水平总体基尼系数介于0.3209~0.4233之间,均值为0.3571,中位数为0.3498,整体呈上升趋势,各城市新质生产力生态化水平差异持续增大。从贡献率来看,区域内差异贡献率变化幅度最小,从2012年的33.44%增长到2021年的34.95%,增长1.51%,黄河流域新质生产力生态化水平上、中、下游内部差异对总体差异贡献最为平稳;区域间差异贡献率和区域间超变密度差异贡献率大致呈相反变化的趋势。区域间差异贡献率在波动性增大,从2012年的29.65%增长到2021年的36.28%。区域间超变密度差异贡献率在波动性减少,从2012年的36.90%下降到2021年的28.76%。2020年开始上、中、下游间差异对总体差异贡献最大。
(2) 区域内差异及演进
2012—2021年黄河流域新质生产力生态化水平中游基尼系数整体呈上升趋势,2021年达到0.4448。中游各城市新质生产力生态化水平差距最大,位于首位。中游各城市新质生产力生态化水平的非均衡发展存在加剧态势,其中陕西省、山西省城市新质生产力生态化水平高于河南省城市新质生产力生态化水平;下游基尼系数整体呈上升趋势,下游各城市新质生产力生态化水平差距在逐渐拉大;上游基尼系数发展较为均衡,说明黄河流域上游各城市新质生产力生态化水平发展较一致,没有较大差距。
(3) 区域间差异及演进
2012—2021年黄河流域新质生产力生态化水平区域间基尼系数整体呈上升趋势。其中,上游-下游基尼系数均值最大,说明上游和下游之间新质生产力生态化水平发展差异不断增大,上、下游间呈非均衡发展态势;上游-中游基尼系数均值较低,说明上游和中游之间新质生产力生态化水平发展差异较小;中游-下游基尼系数均值最低,说明中游和下游之间新质生产力生态化水平发展差异最小,中、下游间新质生产力生态化水平发展的平衡较强。

2.3 新质生产力生态化水平障碍因子诊断

为了进一步深入分析新质生产力生态化水平的影响因素,运用障碍度模型进行障碍因子诊断分析,根据障碍度占比对各障碍因子进行排序,揭示阻碍新质生产力生态化水平提升的主要因素。本文重点关注准则层分类障碍度变化,以及障碍度较高的因子。

2.3.1 准则层分类障碍度变化

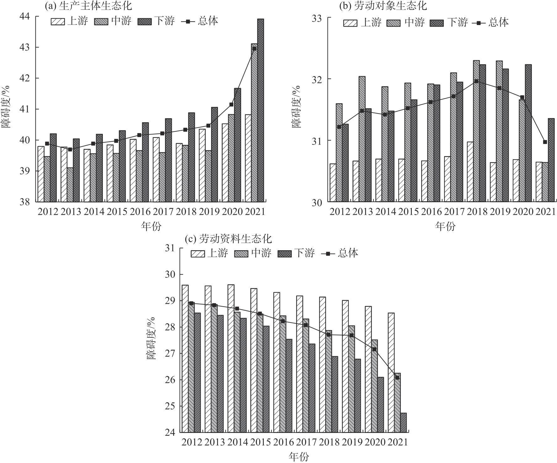
2012—2021年黄河流域生产主体生态化障碍度最大,其次是劳动对象生态化障碍度,劳动资料生态化障碍度最小。生产主体生态化障碍度上升趋势十分明显,而劳动对象生态化、劳动资料生态化障碍度总体呈下降趋势。这说明阻碍黄河流域新质生产力生态化发展的主要因素是生产主体的生态化水平,体现在具有生态素质、高等教育素质的生态主体,以及劳动对象的生态化发展,即具有生态科技产业、生态生产过程、生态环境的劳动对象。此外,各准则层分类障碍度的作用强度存在区域差异,其中生产主体生态化最为明显,上、中、下游之间差距最大为3.09%。随着时间发展区域差异发生明显变化,下游生产主体生态化障碍度一直保持最高,说明下游城市高素质人才培养、劳动者生态意识的提升是黄河流域生产主体生态化发展的关键。劳动对象生态化障碍度在监测初期中游相对最高、上游相对最低,随着时间发展下游明显不断增加,2019年后中游下降明显,2020年后下游下降明显,2021年下游劳动对象生态化障碍度最为突出,上游劳动对象生态化障碍度相对稳定。劳动资料生态化障碍度一直保持上游最高、下游最低的格局,随时间变化均呈下降趋势,相对地上游下降速度最为缓慢,中游和下游下降速度较快,这说明黄河流域上游科技创新、能源利用生态化及设施先进水平相对较低(图6)。
图6 黄河流域新质生产力生态化水平提升障碍度

Fig. 6 Obstacle degrees to the improvement of ecological level of new quality productive forces in the Yellow River Basin

2.3.2 主要障碍因子分析

2012—2021年黄河流域上、中、下游排名前5的障碍因子相对稳定。其中,战略性新兴产业(X8)的障碍度均达到25.97%以上,是第1障碍因子。黄河流域产业结构发展存在不合理现象,战略性新兴产业带动性较弱[20],成为阻碍黄河流域新质生产力生态化水平提升的重要障碍因子;绿色创新水平(X7)与知识密集型人员(X2)的障碍度均达到18.05%以上,分别是第2、第3障碍因子。但是,绿色创新水平(X7)与知识密集型人员(X2)障碍度存在波动。直到2021年,知识密集型人员(X2)成为阻碍黄河流域中、下游新质生产力生态化水平提升的第2障碍因子,绿色创新水平(X7)成为阻碍黄河流域中、下游新质生产力生态化水平提升的第3障碍因子;受教育程度(X1)的障碍度均达到15.00%以上,是第4障碍因子;数字基础设施(X5)的障碍度均达到5.98%以上,是第5障碍因子。但是,数字基础设施(X5)障碍度有减少趋势。直到2021年,环保投入(X3)成为阻碍黄河流域中、下游新质生产力生态化水平提升的第5障碍因子。总体来看,制约黄河流域新质生产力生态化发展的障碍因子主要体现在科技创新发展与高素质人才培养这2个方面(表2)。
表2 黄河流域新质生产力生态化水平提升的主要障碍因子

Tab. 2 Main obstacles to the improvement of ecological level of new quality productive forces in the Yellow River Basin

年份 区域 障碍因子(障碍度/%)
第1障碍因子 第2障碍因子 第3障碍因子 第4障碍因子 第5障碍因子
2012 上游 X8(26.92) X7(19.65) X2(18.83) X1(15.26) X5(7.26)
中游 X8(27.64) X7(19.99) X2(18.45) X1(15.15) X5(7.06)
下游 X8(27.74) X7(19.91) X2(19.32) X1(15.00) X5(6.86)
2018 上游 X8(27.48) X7(19.82) X2(18.56) X1(15.58) X5(6.99)
中游 X8(28.24) X7(19.94) X2(18.53) X1(15.49) X5(6.53)
下游 X8(28.70) X2(19.82) X7(19.59) X1(15.35) X5(5.98)
2019 上游 X8(27.35) X7(19.76) X2(19.03) X1(15.54) X5(6.91)
中游 X8(28.29) X7(20.20) X2(18.63) X1(15.35) X5(6.45)
下游 X8(28.80) X7(19.82) X2(19.79) X1(15.43) X3(5.84)
2020 上游 X8(27.37) X7(19.66) X2(19.10) X1(15.58) X5(6.82)
中游 X8(27.68) X7(19.82) X2(19.23) X1(15.72) X5(6.32)
下游 X8(28.73) X2(19.81) X7(19.07) X1(15.61) X3(6.25)
2021 上游 X8(27.15) X7(19.45) X2(19.25) X1(15.66) X5(6.78)
中游 X8(25.97) X2(19.13) X7(18.81) X1(17.06) X3(6.93)
下游 X8(27.63) X2(20.81) X7(18.05) X1(16.26) X3(6.84)

3 讨论

本研究在梳理分析新质生产力生态化发展内涵基础上,结合既有研究和黄河流域特征,从生产主体生态化、劳动资料生态化、劳动对象生态化3个方面来构建黄河流域新质生产力生态化评价指标体系,揭示区域格局特征和识别障碍因子。从新质生产力生态化水平测度结果来看,黄河流域新质生产力生态化水平的区域差异较大,这与卢江等[15-16]对我国新质生产力的研究结果一致,与刘建华等[5]对黄河流域新质生产力水平的测度分析也比较一致。生产主体生态化指数偏低、上升速度缓慢,是制约新质生产力生态化发展的最大障碍因素;劳动对象生态化指数较低、上升速度较快,是制约新质生产力生态化发展的第2障碍因素;劳动资料生态化指数最大、上升速度最快,是制约新质生产力生态化发展的最小障碍因素。从黄河流域新质生产力生态化水平区域差异来看,比较符合客观实际情况,说明遴选表征指标具有代表性。
本研究所构建的指标体系侧重于生产力三要素的生态化新质发展,还应加强生态化的新质态、新驱动等方面的内涵阐释和指标体系构建。在指标遴选层面,受数据可获得性问题等因素的限制,尚未完全剥离出生态型高素质人才、生态科技、生态产业等方面的表征指标,今后还应加强指标遴选及数据获得性方面的研究。此外,本研究对黄河流域65个地级市进行了研究,尚未完全覆盖全部流域,且研究区域尺度较大,今后还应进一步基于流域属性、地形单元,以及产业、企业等层面进行深入分析研究,为黄河流域生态保护和高质量发展取得新进步奠定理论基础。

4 结论与建议

4.1 结论

(1) 2012—2021年黄河流域新质生产力生态化总体水平呈上升趋势,其中劳动资料生态化上升最为明显,劳动对象生态化发展情况良好,生产主体生态化发展速度相对缓慢。尤其是党的十九大以来,黄河流域生态保护和高质量发展上升为国家战略后,生产力发展的生态化转型升级效果明显。
(2) 黄河流域新质生产力生态化发展呈“东高西低”,即城市群都市化的区域发展格局。下游新质生产力生态化发展成效显著,生产主体生态化发展以省会城市及重要大城市为节点的中心化显著,劳动资料、劳动对象生态化发展呈下游城市集聚发展趋势。
(3) 黄河流域新质生产力生态化发展的上、中、下游差异持续扩大,2020年起,上、中、下游间差异的扩大是造成总体区域差异的最主要原因,说明黄河流域上、中、下游间的协调发展问题逐渐突出。
(4) 黄河流域新质生产力生态化发展最大障碍问题是生产主体生态化发展,障碍度呈上升趋势。战略性新兴产业是制约新质生产力生态化发展的最大障碍因子,其次是绿色创新水平、知识密集型人员,反映了生态意识、科技发展、创新性人才是新质生产力生态化水平提升的重要基础。

4.2 建议

(1) 黄河流域需重视新质生产力生态化发展路径,强化生态要素的创新性供给。黄河流域生态资源丰富,但生态资源禀赋区域差异显著。新质生产力发展既要做好土地、水资源、生物以及其他一切可以利用的自然要素保障,还要深化“绿水青山就是金山银山”理念,努力将生态要素纳入到创新要素的供给中,持续增强黄河流域生态环境支撑力和绿色发展动能。
(2) 加大黄河流域科技投入,增强生态科技创新引领新质生产力发展。政府应抓住新质生产力发展的重要契机,深化黄河流域生态保护和高质量发展国家战略,加快推进生物技术、新材料新能源等领域的关键核心技术突破攻关,进一步推进绿色技术创新发展,推动发展生态战略性新兴产业,打造人与自然和谐共生的现代化绿色产业体系。
(3) 深入贯彻新发展理念,持续加强生产主体生态化培训。紧密围绕新质生产力发展,加强黄河流域生态环境保护宣传,根据不同区域、不同产业发展领域,制定专门化、专业化创新人才教育培训,完善生产主体绿色创新的激励政策机制,推动全社会积极投入新质生产力发展。
(4) 完善新质生产力发展的区域政策体系,促进黄河流域区域协调发展。充分重视黄河流域城市群都市化发展趋势,以及上、中、下游之间的差异性,有针对性地完善新质生产力发展政策,深化人才、技术、产业等的交流合作互助机制,实现上、中、下游间的开放合作,协同培育发展新质生产力。
[1]
人民日报社. 中央经济工作会议在北京举行[N]. 人民日报, 2023-12-13(001).

[People’ s Daily. The central economic work conference was held in Beijing[N]. People’ s Daily, 2023-12-13(001).]

[2]
习近平. 发展新质生产力是推动高质量发展的内在要求和重要着力点[J]. 求是, 2024(11): 4-8.

[Xi Jinping. Developing new productive forces is an endogenous requirement and a pivot of high-quality development[J]. Qiushi Journal, 2024(11): 4-8.]

[3]
周成, 赵亚玲, 张旭红, 等. 黄河流域城市生态韧性与效率时空演化特征及协调发展分析[J]. 干旱区地理, 2023, 46(9): 1514-1523.

DOI

[Zhou Cheng, Zhao Yaling, Zhang Xuhong, et al. Spatiotemporal evolutionary characteristics and coordinated development of urban ecological resilience and efficiency in the Yellow River Basin[J]. Arid Land Geography, 2022, 46(9): 1514-1523.]

[4]
李小建, 文玉钊, 李元征, 等. 黄河流域高质量发展: 人地协调与空间协调[J]. 经济地理, 2020, 40(4): 1-10.

DOI

[Li Xiaojian, Wen Yuzhao, Li Yuanzheng, et al. High-quality development of the Yellow River Basin from a perspective of economic geography: Man-land and spatial coordination[J]. Economic Geography, 2020, 40(4): 1-10.]

DOI

[5]
刘建华, 闫静, 王慧扬, 等. 黄河流域新质生产力水平的动态演进及障碍因子诊断[J]. 人民黄河, 2024, 46(4): 1-7, 14.

[Liu Jianhua, Yan Jing, Wang Huiyang, et al. The dynamic evolution of new quality productive forces level and diagnosis of obstacle factors in the Yellow River Basin[J]. Yellow River, 2024, 46(4): 1-7, 14.]

[6]
黄群慧, 盛方富. 新质生产力系统: 要素特质、结构承载与功能取向[J]. 改革, 2024(2): 15-24.

[Huang Qunhui, Sheng Fangfu. New productive forces system: Factor characteristics, structural bearing and functional orientation[J]. Reform, 2024(2): 15-24.]

[7]
赵峰, 季雷. 新质生产力的科学内涵、构成要素和制度保障机制[J]. 学习与探索, 2024(1): 92-101, 175.

[Zhao Feng, Ji Lei. The scientific connotation, constituent elements, and institutional safeguards mechanisms of new quality productivity[J]. Study and Exploration, 2024(1): 92-101, 175.]

[8]
李政, 廖晓东. 发展“新质生产力”的理论、历史和现实“三重”逻辑[J]. 政治经济学评论, 2023, 14(6): 146-159.

[Li Zheng, Liao Xiaodong. The theoretical, historical, and realistic “triple” logics of developing “new quality productivity”[J]. China Review of Political Economy, 2023, 14(6): 146-159.]

[9]
刘伟. 科学认识与切实发展新质生产力[J]. 经济研究, 2024, 59(3): 4-11.

[Liu Wei. Scientific understanding and practical development of new quality productivity[J]. Economic Research Journal, 2024, 59(3): 4-11.]

[10]
沈坤荣, 程果, 赵倩. 以新质生产力增强高质量发展新动能[J]. 学术研究, 2024(4): 87-93.

[Shen Kunrong, Cheng Guo, Zhao Qian. To strengthen new driving forces for high-quality development by new-quality productivity[J]. Academic Research, 2024(4): 87-93.]

[11]
廖小明, 杨懿. 唯物史观视域下新质生产力的生态意涵探赜[J]. 理论与改革, 2024(5): 24-39, 161-162.

[Liao Xiaoming, Yang Yi. Exploring the ecological connotation of new quality productive forces from the perspective of historical materialism[J]. Theory and Reform, 2024(5): 24-39, 161-162.]

[12]
李敦瑞. 新质生产力的生态意蕴和推进路向[J]. 山东师范大学学报 (社会科学版), 2024, 69(2): 92-103.

[Li Dunrui. Ecological implications and pathway to promote new productive forces[J]. Journal of Shandong Normal University (Social Sciences Edition), 2024, 69(2): 92-103.]

[13]
朱富显, 李瑞雪, 徐晓莉, 等. 中国新质生产力指标构建与时空演进[J]. 工业技术经济, 2024, 43(3): 44-53.

DOI

[Zhu Fuxian, Li Ruixue, Xu Xiaoli, et al. Construction and spatiotemporal evolution of new productivity indicators of China[J]. Journal of Industrial Technological Economics, 2024, 43(3): 44-53.]

[14]
张哲, 李季刚, 汤努尔·哈力克. 中国新质生产力发展水平测度与时空演进[J]. 统计与决策, 2024, 40(9): 18-23.

[Zhang Zhe, Li Jigang, Halik Tangnur. Measurement and spatiotemporal evolution of the development level of China’s new quality productive[J]. Statistics and Decision, 2024, 40(9): 18-23.]

[15]
卢江, 郭子昂, 王煜萍. 新质生产力发展水平、区域差异与提升路径[J]. 重庆大学学报 (社会科学版), 2024, 30(3): 1-17.

[Lu Jiang, Guo Ziang, Wang Yuping. Levels of development of new quality productivity, regional differences and paths to enhancement[J]. Journal of Chongqing University (Social Science Edition), 2024, 30(3): 1-17.]

[16]
韩文龙, 张瑞生, 赵峰. 新质生产力水平测算与中国经济增长新动能[J]. 数量经济技术经济研究, 2024, 41(6): 5-25.

[Han Wenlong, Zhang Ruisheng, Zhao Feng. The measurement of new quality productivity and new driving force of the Chinese economy[J]. Journal of Quantitative & Technological Economics, 2024, 41(6): 5-25.]

[17]
中共中央宣传部. 习近平总书记系列重要讲话读本[M]. 北京: 人民出版社, 2016: 123.

[Publicity Department of the CPC Central Committee. Reader of general secretary Xi Jinping’s series of important speeches[M]. Beijing: People’s Publishing House, 2016: 123.]

[18]
Dagum C. A new approach to the decomposition of the Gini income inequality ratio[J]. Empirical Economics, 1997, 22(4): 515-531.

[19]
李茜, 胡昊, 李名升, 等. 中国生态文明综合评价及环境、经济与社会协调发展研究[J]. 资源科学, 2015, 37(7): 1444-1454.

[Li Qian, Hu Hao, Li Mingsheng, et al. Ecological civilization evaluation and coordinated development between environment, economy and society[J]. Resources Science, 2015, 37(7): 1444-1454.]

[20]
薛超凯, 陈凯华, 王全景, 等. 黄河流域产业发展现状、问题与对策建议[J]. 中国科学院院刊, 2024, 39(6): 971-984.

[Xue Chaokai, Chen Kaihua, Wang Quanjing, et al. Current status, challenges, and policy recommendations for industrial development in the Yellow River Basin[J]. Bulletin of Chinese Academy of Sciences, 2024, 39(6): 971-984.]

文章导航

/