气候与水文

内蒙古不同干湿区潜在蒸散发变化特征及主导因子分析

  • 王志春 , 1 ,
  • 王彦平 , 2 ,
  • 徐震宇 1 ,
  • 薛文超 1
展开
  • 1.内蒙古自治区赤峰市气象局,内蒙古 赤峰 024000
  • 2.呼伦贝尔市气象局,内蒙古 海拉尔 021008
王彦平(1974-),女,硕士,正高级工程师,主要从事农牧业气象、草原生态、气候变化等研究. E-mail:

王志春(1974-),男,硕士,正高级工程师,主要从事农业气象、气候变化、气候资源与区划、生态等研究. E-mail:

收稿日期: 2024-08-10

  修回日期: 2024-10-06

  网络出版日期: 2026-03-11

基金资助

国家自然科学基金项目(41665007)

内蒙古自然科学基金项目(2024LHMS04020)

Changes characteristics and dominant factors of potential evapotranspiration in different dry and wet zones of Inner Mongolia

  • Zhichun WANG , 1 ,
  • Yanping WANG , 2 ,
  • Zhenyu XU 1 ,
  • Wenchao XUE 1
Expand
  • 1. Chifeng Meteorological Bureau of Inner Mongolia Autonomous Region, Chifeng 024000, Inner Mongolia, China
  • 2. Hulun Buir Meteorological Bureau, Hailar 021008, Inner Mongolia, China

Received date: 2024-08-10

  Revised date: 2024-10-06

  Online published: 2026-03-11

摘要

分析不同干湿区潜在蒸散发时空变化及其对气象因子的敏感性,有助于优化农牧林业用水管理及水资源规划和配置,及预测气候变化对水资源的影响。鉴于内蒙古干湿状况和气候条件多样,且为气候变化显著区,基于FAO Penman-Monteith公式计算了内蒙古76个气象站1961—2023年潜在蒸散发ET0及其对气温、风速、水汽压和日照时数的敏感系数,探讨了气候变化下内蒙古不同干湿区ET0变化的主导因子及ET0对气候变化的定量响应。结果表明:(1) 空间上ET0大体表现为经向由西向东、纬向由南向北递减的趋势,干旱区和半干旱区的ET0变化趋势不明显,半湿润区ET0呈增加趋势。(2) 各干湿区ET0对气象因子的敏感性表现为对最高气温最敏感,其次是水汽压、风速、最低气温,对日照时数最不敏感。(3) 不同干湿区各气象因子敏感系数的变化趋势均一致,气温敏感系数和水汽压敏感系数呈减小的态势,风速敏感系数和日照敏感系数呈增加态势,水汽压敏感系数和风速敏感系数变化显著。(4) 最高气温、最低气温变化对ET0变化为正贡献,风速、水汽压、日照变化对ET0变化为负贡献,日照在各干湿区对ET0变化贡献都最小,干旱区和半干旱区风速为ET0变化的主导因子,半湿润区最高气温为ET0变化的主导因子。

本文引用格式

王志春 , 王彦平 , 徐震宇 , 薛文超 . 内蒙古不同干湿区潜在蒸散发变化特征及主导因子分析[J]. 干旱区地理, 2025 , 48(4) : 612 -622 . DOI: 10.12118/j.issn.1000-6060.2024.480

Abstract

The analysis of the spatial and temporal variations in potential evapotranspiration and its sensitivity to meteorological factors in different dry and wet zones is essential for optimizing water resource management in agriculture, animal husbandry, forestry, and water resource planning and allocation, as well as for predicting the impact of climate change on water resources. Given the diverse dry and wet conditions and climatic conditions in Inner Mongolia, China, a region significantly affected by climate change, the sensitivity coefficients of potential evapotranspiration to air temperature, wind speed, water vapor pressure, and sunshine hours were calculated based on the Penman-Monteith formula of the FAO for 76 meteorological stations in Inner Mongolia from 1961 to 2023. The dominant factors influencing potential evapotranspiration in different dry and wet zones and its quantitative response to climate change were investigated. The results indicate that: (1) Spatially, potential evapotranspiration generally decreases from west to east in the longitudinal direction and from south to north in the latitudinal direction. In arid and semi-arid zones, the trend in potential evapotranspiration is not pronounced, whereas in semihumid zones, an increasing trend is observed. (2) The sensitivity of potential evapotranspiration to meteorological factors follows this order: maximum air temperature is the most sensitive factor, followed by water vapor pressure, wind speed, and minimum air temperature, with sunshine hours being the least sensitive. (3) The sensitivity coefficients of all meteorological factors exhibit consistent trends across different dry and wet zones. The temperature sensitivity coefficient and vapor pressure sensitivity coefficient show a decreasing trend, whereas the wind speed sensitivity coefficient and sunshine hours sensitivity coefficient display an increasing trend, with significant changes observed for the water vapor pressure sensitivity coefficient and wind speed sensitivity coefficient. (4) Maximum and minimum air temperatures contribute positively to changes in potential evapotranspiration, whereas wind speed, water vapor pressure, and sunshine hours contribute negatively. Among these, sunshine hours have the least influence on potential evapotranspiration in all dry and wet zones. Wind speed is the dominant factor driving potential evapotranspiration changes in arid and semi-arid zones, while maximum air temperature is the dominant factor in semihumid zones.

蒸散发(Evapotranspiration,ET)是水文循环的重要组成部分,是全球变化对水文、水资源管理和评估的重要内容,也是评价农业用水效率的重要基础和关键环节[1],作为影响区域和全球水热平衡计算的重要因素[2-3],与降水共同决定着区域的干湿变化[4]及地理环境的形成和演化[5],对水资源的可持续管理至关重要[6]。但因蒸散观测少,在实际应用中,一般采用潜在蒸散发 E T 0 来估算实际蒸散发。潜在蒸散发指充分供水条件下的区域蒸散能力[5],目前应用最为广泛的潜在蒸散发计算方法是世界粮农组织(FAO)于1998年推出的修正Penman-Monteith(PM)方程[5,7-8],该方程涉及到气温、风速、水汽压、辐射等诸多气象要素,能够适用于不同气候类型区 E T 0的计算以及气候变化情景下水文水资源响应研究[9-12]。在全球气候变化的大背景下,区域气象要素的变化势必会导致 E T 0随之变化,进而对地表水环境产生深远影响[13]。因此,分析 E T 0对气象因子的敏感性有利于定量研究气候变化对区域水循环的影响,对指导农牧林业用水管理及水资源规划和配置具有重要意义[8]
目前,关于 E T 0的研究主要集中在3个方面:一是空间变化特征分析。李红阳等[14]分析了1979—2021年新疆昆仑山北坡 E T 0空间变化,发现从塔里木盆地南缘向南呈现出逐渐减小的空间变化趋势;封志明等[15]计算西辽河流域11个站的 E T 0后指出,1952—2007年该区域 E T 0整体呈现上升趋势;李媛等[16]研究宁夏中部干旱地带 E T 0时认为,盐池县表现为沿经向递减,同心县和海原县则表现为沿纬向递增。二是时序变化特征分析。周秉荣等[17]研究认为1961—2012年三江源地区的ET0大体上以0.69 mm·a-1的速率增加;王佳爽等[18]的文献中显示,1981—2023年塔布河流域年 E T 0以4.09 mm·(10a)-1的速率呈不显著增加趋势;吴霜等[19]对中国1901—2013年 E T 0变化趋势分析后认为,在前53 a大幅增加后, E T 0呈下降趋势,1949、1954、1964年和1976年的 E T 0明显低于其他年份,2004年和2009年 E T 0值最高。三是 E T 0对气象因子敏感性方面。Hupet等[20]在Belgium的研究得出 E T 0最为敏感的气象因子是最高气温;曾丽红等[21]研究指出东北地区气温变化对 E T 0的影响最为明显;王大刚等[22]发现塔里木盆地生长季 E T 0对最低气温以较低敏感性为主,对其余气象因子均以高敏感性为主;Gong等[23]发现长江流域 E T 0最为敏感的气象因子是相对湿度;刘小莽等[24]对海河流域、曹永强等[25]对辽宁省、刘昌明等[8]对中国 E T 0的研究均表明, E T 0对水汽压最敏感,但在细节上又存在一定差异;王鹏涛等[26]研究认为华北平原 E T 0的主导因子是日照时数,平均风速次之。可以看出,不同时期、不同地区, E T 0的时空变化趋势及主导因子存在差异[8,16-19,24-28],另外,大多数研究并未针对不同气候类型区 E T 0时空特征及影响因素做出深入分析,特别是在不同干湿区间的差异性研究方面更是少见,而干湿状况对一个地区的水热平衡起着至关重要的作用,也间接影响着 E T 0的变化。因此,开展不同干湿状况下 E T 0的时空变化特征及在全球气候变化背景下气象要素对 E T 0变化影响的研究尤为重要。
中国是全球气候变化的敏感区和影响显著区[29],内蒙古气候变化尤甚,自20世纪90年代以来,内蒙古升温显著、降水极端性增强、干旱频发,导致境内水资源严重不足,水热平衡问题凸显,对生态系统和经济可持续发展构成严重威胁[30]。目前,该区域气候方面的研究多集中在气候变化特征[31-32]及因之而变的干湿状况[33-34]等方面,而对 E T 0时空分布特征、 E T 0对气象因子的敏感性及其主导因子,以及气候变化背景下 E T 0的演变等研究尚属空白。鉴于此,本文选取了内蒙古76个气象站1961—2023年逐日气象数据,利用PM公式计算了 E T 0序列,运用Mann-Kendall趋势分析、空间分析研究了 E T 0时空变化特征,用敏感系数法探究了 E T 0对各气象因子的敏感性及各气象因子对 E T 0的贡献,采用方差分析评估了误差,进而探索了 E T 0变化归因,以期为内蒙古不同干湿区的农牧林业用水及水资源规划等提供参考依据。
图1 研究区干湿状况及气象站点分布

注:基于内蒙古自治区自然资源厅网站审图号为蒙S(2023)026号的标准地图制作,底图边界无修改。下同。

Fig. 1 Dry and wet conditions and distribution of meteorological stations in the study area

1 数据与方法

1.1 研究区概况

内蒙古位于中国北方,地理位置介于97°11′E~126°04′E,37°22′N~53°20′N之间,面积为1.18×106 km2,海拔78~3389 m,地势起伏大,自西向东依次涵盖了干旱、半干旱、半湿润3个干湿区(图1)。蒸发量大于降水量,降水极端性强且时空分布极不均匀,生态环境脆弱,20世纪90年代以来,随着气候变化加剧,内蒙古地区升温显著,对气候变化的响应极为敏感[30,35]

1.2 数据来源与处理

选取研究区内76个气象站(图1)1961—2023年逐日平均气压(P)、最高气温( T m a x)、最低气温( T m i n)、10 m平均风速(U)、平均水汽压(V)、日照时数(N),数据来自全国综合气象信息共享平台(CIMISS),且均经过连续性和一致性检验,少量缺测数据进行了线性回归插补。

1.3 研究方法

1.3.1 潜在蒸散发计算公式

采用FAO推荐的修正PM公式[36]计算潜在蒸散发:
E T 0 = 0.408 Δ R n - G + 900 T + 273 γ u 2 e s - e a Δ + γ 1 + 0.34 u 2
式中: E T 0为潜在蒸散发(mm); Δ为饱和水汽压-温度曲线斜率(kPa·℃-1); R n为地表净辐射(MJ·m-2·d-1); G为土壤热通量(MJ·m-2·d-1); T为日平均气温(℃); γ为干湿表常数(kPa·℃-1); u 2为2 m高处风速(m·s-1); e s为饱和水汽压(kPa); e a为实际水汽压(kPa)。
公式(1)中部分参数并没有对应的气象要素观测,需要通过其他要素推算而来,具体推算方法详见文献[36]。

1.3.2 敏感系数法及其优化

敏感性系数的概念最早由McCuen[37]于1974年提出,计算方法如下:
S i = l i m Δ x i 0 Δ E T 0 / E T 0 Δ x i / x i = E T 0 x i × x i E T 0
式中: Δ E T 0为潜在蒸散发的变化(mm); x i为气象因子; Δ x i x i的变化; S i E T 0 x i的敏感系数(无量纲)。
从公式(2)可以看出,虽然 x i E T 0进行了无量纲处理,但敏感系数依然受到 x i取值的影响,进而丧失不同 x i间敏感性的可比性。另外, x i的符号也会影响到敏感系数的连续性,例如,在我国北方,冬季的气温大都低于0 ℃,这就会导致此时段气温的敏感系数与气温高于0 ℃时的敏感系数符号相反,而这种符号的转变是由于气温取值造成的,按照文献[8]和文献[38]中的阐述:“敏感系数是正值表明 E T 0随着气候变量的增加而增加,反之亦然”,这显然不可解释。
鉴于此,通过将 E T 0 x i进行标准化的方式来优化敏感系数的计算方法:
S i = l i m Δ x i 0 Δ E T 0 / ( E T 0 , m a x - E T 0 , m i n ) Δ x i / ( x i , m a x - x i , m i n ) = E T 0 x i ×               x i , m a x - x i , m i n E T 0 , m a x - E T 0 , m i n
式中: E T 0 , m a x E T 0 , m i n分别为 E T 0的最大、最小值(mm); x i , m a x x i , m i n分别为 x i的最大、最小值。
根据公式(1)和文献[36]中 E T 0的计算方法,确定 T m a x T m i n U V N作为敏感性分析的关键气象因子,本文以 S T m a x S T m i n S U S V S N分别表示 E T 0 T m a x T m i n U V N的敏感系数。

1.3.3 气象因子对 E T 0的贡献

E T 0的变化不仅受与之相关气象因子敏感性的影响,还与气象因子的变化程度密切相关[39]。以气象因子变化倾向下 E T 0的变化与 E T 0多年平均值的比值,来表示该气象因子变化对 E T 0变化的贡献,其最大者为 E T 0变化的主导因子。计算公式如下:
C i = l i m Δ x i 0 Δ E T 0 Δ x i × n × x i , T r e n d / E T 0 ¯ = E T 0 x i ×                 n × x i , T r e n d / E T 0 ¯
式中: x i , T r e n d x i的气候倾向率; n为统计年数; E T 0 ¯ E T 0的多年平均值(mm); C i x i E T 0变化的贡献(%)。

2 结果与分析

2.1 E T 0空间分布特征

对内蒙古多年平均 E T 0进行空间分析发现(图2), E T 0大体表现为经向由西向东、纬向由南向北递减的趋势,高值区位于阿拉善盟的拐子湖站(1741.6 mm),低值区位于呼伦贝尔市的图里河站(624.5 mm),高低值相差达2.8倍。 E T 0除了与地理位置相关,同时与地表覆被类型关系密切。沙漠区和荒漠化草原区的 E T 0非常高,超过了1200 mm;林区和草甸草原区的 E T 0很低,不足800 mm;农区和典型草原区 E T 0在800~1200 mm。
图2 内蒙古年潜在蒸散发( E T 0)空间分布

Fig. 2 Spatial distribution of annual E T 0 in Inner Mongolia

2.2 E T 0及气象因子变化特征

Mann-Kendall趋势分析表明(表1),近63 a, T m a x T m i n在各干湿区均呈显著升高趋势,且 T m i n T m a x升幅更大,表明在全球气候变暖的大背景下,内蒙古存在明显的变暖趋势,且最低气温升温更显著; U呈显著减小态势,在干旱区和半干旱区减小幅度大,半湿润区降幅略小;各干湿区 V均呈略减的趋势,其中半湿润区降幅高于半干旱区和干旱区; N在干旱区和半干旱区降幅不大,在半湿润区基本保持不变;干旱区和半干旱区的 E T 0变化趋势不明显,半湿润区 E T 0呈增加趋势。
表1 1961—2023年不同干湿区日平均 E T 0及气象因子Mann-Kendall趋势分析

Tab. 1 Mann-Kendall trend analysis of daily mean E T 0 and meteorological factors in different dry and wet zones from 1961 to 2023

干湿区 E T 0/mm·(10a)-1 T m a x/℃·(10a)-1 T m i n/℃·(10a)-1 U/m·s-1·(10a)-1 V/kPa·(10a)-1 N/h·(10a)-1
干旱区 0.003 0.328** 0.519** -0.133** 0.032* -0.088**
半干旱区 -0.003 0.281** 0.459** -0.159** 0.049* -0.079**
半湿润区 0.018** 0.384** 0.412** -0.063** 0.090** -0.001

注: E T 0 T m a x T m i n U V N分别为潜在蒸散发、最高气温、最低气温、10 m平均风速、平均水汽压、日照时数。**表示通过α=0.01水平显著性检验,*表示通过α=0.05水平显著性检验,无标记则未通过α=0.05水平显著性检验。下同。

2.3 E T 0对气象因子的敏感性分析

2.3.1 敏感系数年际变化

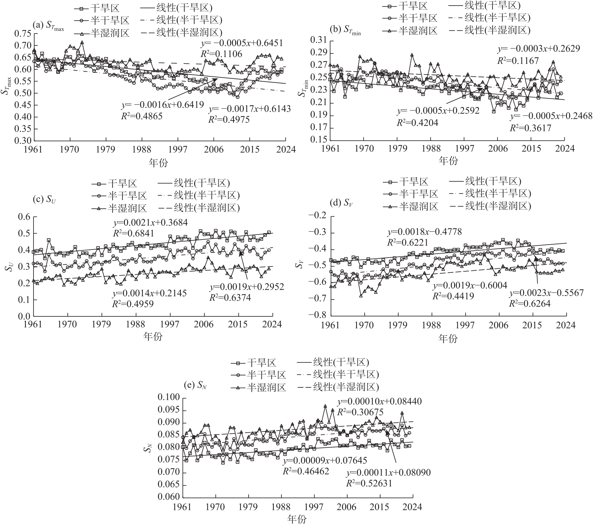
图3所示, E T 0对各气象因子敏感系数在年际间都存在一定的波动, S T m a x S T m i n S U S V S N年际变化的方差分别为1×10-3、2×10-4、2×10-3、2×10-3、8×10-6,说明 E T 0对各气象因子敏感性的离散程度都较小,即年际变化不大。不同干湿区各气象因子敏感系数年际间的变化趋势均一致, S T m a x S T m i n S V(负值)呈减小的态势, S U S N呈增加的态势,变化程度排序为: S V> S U> S T m a x> S T m i n> S N,其中 S V S U的倾向率较大,说明 E T 0 U的正敏感性在显著增强,对 V的负敏感性在显著减弱。
图3 1961—2023年不同干湿区气象因子敏感系数变化

注: S T m a x S T m i n S U S V S N分别为 E T 0对最高气温、最低气温、10 m平均风速、平均水汽压、日照时数的敏感系数。下同。

Fig. 3 Sensitivity coefficients of meteorological factors in different dry and wet zones from 1961 to 2023

2.3.2 敏感系数年内变化

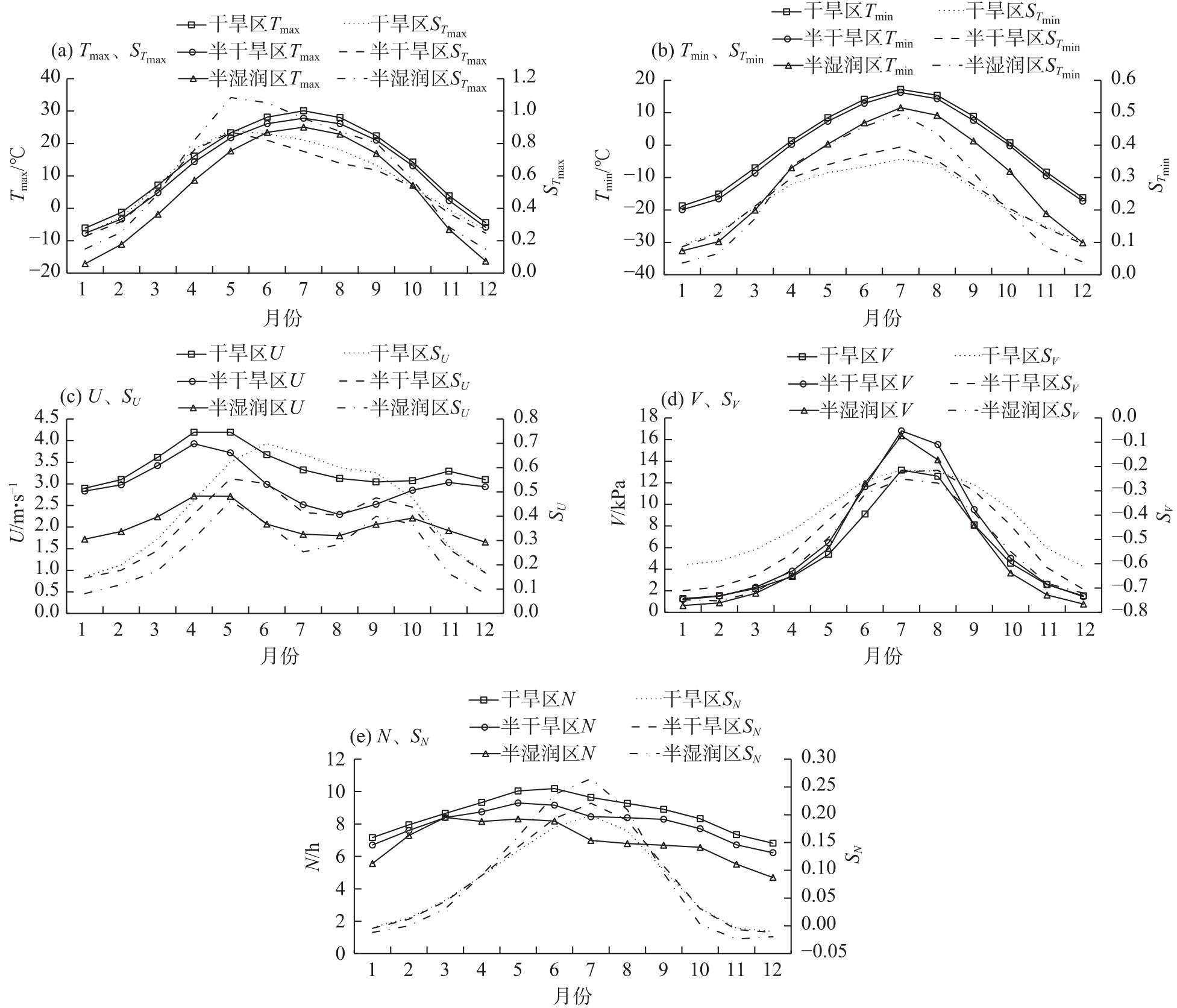
气象因子及 E T 0对气象因子敏感程度的月变化如图4所示,除了 S U为双峰变化外,其余均为单峰变化,气象因子与敏感系数间相关程度高。图4a~b可见, T m a x S T m a x的变化趋势相近, T m i n S T m i n的变化趋势相同,表明 E T 0对气温的敏感系数随气温的变化而变化,但 S T m a x的最高值出现在5月,这与5月气温已经升至较高,且同期的水汽压偏低有关,另外气温在冬季敏感系数最小,说明低温状态下不利于蒸散发进行; S U呈春、秋季高,夏季次之,冬季最低的变化状态,与 U年内变化亦大致相同(图4c);由 S V变化曲线(图4d)可知, S V全年均为负值,说明随着 V增加, E T 0是减小的, S V年内表现为单峰变化且最大值出现在夏季,说明在夏季 V比较高时 S V最小; N S N变化幅度不同但趋势一致(图4e),在冬季虽然 N稍短,但 S N却接近0,说明冬季 E T 0 N是非常不敏感的。在季节尺度上,春季和秋季对 T m a x U敏感,夏季对 T m a x最敏感,冬季对 N最不敏感。对比来看, E T 0对各气象因子敏感系数排序为: S T m a x> S V> S U> S T m i n> S N
图4 不同干湿区气象因子及敏感系数年内变化

注: T m a x T m i n U V N分别为最高气温、最低气温、10 m平均风速、平均水汽压、日照时数。

Fig. 4 Changes of meteorological factors and sensitivity coefficients in a year in different dry and wet zones

2.3.3 敏感系数空间变化

E T 0对各气象因子的敏感系数空间分布如图5所示,从空间分布上看,各敏感系数均存在一定的地域性。 S T m a x S T m i n分布趋势一致(图5a~b),表现为呼伦贝尔市西部、通辽市南部、锡林郭勒盟西部3个高值区,阿拉善盟、呼和浩特市、赤峰市北部3个低值中心的分布格局; S U的空间分布大体呈自西向东至东北逐渐减小的特征, S U高值与低值相差达3倍(图5c),这与地表覆被类型关系极为密切; S V(负值)空间分布趋势与 S U刚好相反(图5d),高敏感区位于呼伦贝尔市,低敏感区位于阿拉善盟,这与当地的水汽条件密切相关; S N的高值中心在河套地区至呼和浩特市一带以南,其余地区敏感系数相对较低(图5e)。总体来看,中部地区是气温的高敏感区,西部为风速的高敏感区、水汽压的低敏感区,东北部则与西部相反,为风速的低敏感区、水汽压的高敏感区,中部偏西地区为日照时数的高敏感区,其余地区日照时数敏感性均较低。
图5 各气象因子敏感系数空间分布

Fig. 5 Spatial distributions of sensitivity coefficients for meteorological factors

2.4 E T 0变化影响因素分析

气象因子对 E T 0变化贡献的大小并不仅仅取决于 E T 0对气象因子敏感性的强弱,同时还受气象因子自身变化幅度的影响。用公式(4)求得各气象因子对 E T 0变化的贡献量,进一步分析气象因子对 E T 0变化的影响程度和主导因子。由表2可知,内蒙古不同干湿区气象因子引起的 E T 0变化在趋势上与 E T 0实际变化一致,在数值上接近,相对误差在±6%以内。 T m a x T m i n变化对 E T 0变化为正贡献, U V N变化对 E T 0变化为负贡献。
表2 不同干湿区气象因子对 E T 0变化的贡献及 E T 0实际变化

Tab. 2 Contribution of meteorological factors to E T 0 and actual relative change of E T 0 in different wet and dry regions

干湿区 气象因子贡献/% 总贡献/% E T 0实际变化/% 主导因子
T m a x T m i n U V N
干旱区 7.05 4.40 -7.63 -2.06 -1.17 0.59 0.55 U
半干旱区 6.81 5.02 -10.04 -1.43 -1.08 -0.72 -0.68 U
半湿润区 10.57 5.01 -3.34 -6.12 0.00 6.12 6.31 T m a x
干旱区和半干旱区气象因子对 E T 0变化的贡献由大到小依次为 U T m a x T m i n V N U变化对 E T 0变化的贡献在干旱区和半干旱区分别为-7.63%和-10.04%; T m a x E T 0变化在2个区域分别贡献了7.05%和6.81%; T m i n E T 0变化的贡献略小于 T m a x,分别为4.40%和5.02%; V E T 0变化的贡献相对较小,分别为-2.06%和-1.43%; N E T 0变化的贡献最小,仅为-1.17%、-1.08%。半湿润区气象因子对 E T 0变化的贡献排序与干旱区和半干旱区不同,由大到小依次为 T m a x V T m i n U N T m a x变化对 E T 0变化的贡献达10.57%; V T m i n E T 0变化的贡献幅度接近但符号相反,分别为-6.12%和5.01%; U E T 0变化为3.34%的负贡献;在半湿润区 N E T 0变化基本无贡献。在3个干湿区, N都是对 E T 0变化贡献最小的气象因子,干旱区和半干旱区 U E T 0变化的主导因子,半湿润区 T m a x E T 0变化的主导因子。

3 讨论

全球变暖仍在持续[29],这势必会影响水文循环的速度和强度[40]及区域蒸散发量,进而可能改变当地的干湿状况,在水资源极度匮乏、干旱频发、干湿状况多样的内蒙古地区,探索气候变化下 E T 0变化的主导因子及 E T 0对气候变化的响应,对指导水资源的管理和规划极为重要。
有研究基于1960—2013年107个气象站资料计算的 E T 0,分析了中国5大区域 E T 0的变化特征,得出全国和华北地区 E T 0分别以6.75 mm·(10a)-1、4.43 mm·(10a)-1的速度减少[27]。也有学者利用1960—2007年653个气象站资料,估算分析了中国10大流域片区的 E T 0区域分异,结论表现为 E T 0在8个流域片区(包括内蒙古地区)呈减小趋势[8]。本文以内蒙古干湿状况作为区域划分依据,分析了各区域1961—2023年 E T 0的时序变化,结果与上述文献有所不同,且各区域亦不尽相同:干旱区和半干旱区变化不明显,半湿润区为增加。由此可见,资料选取的时段、评估区域的划分等都会对分析结果产生影响,另外,干湿状况、地理条件等也对 E T 0有较大的影响。
本文优化了 E T 0对气象因子敏感系数的计算方法,得到的敏感系数月变化与刘昌明等[8]分析全国1960—2007年 E T 0对气象因子敏感系数月变化的结果不同,特别是1、2、3、11、12月最低气温的敏感系数在符号上是相反的;另外,李媛等[16]虽然也对敏感系数计算公式进行了修正,但只是将公式中的气象因子 x i做了取绝对值处理,以使得敏感系数保持符号相同,但这并未从根本上解决敏感系数连续性的问题。本文的优化算法,物理意义明确,有效规避了因气象因子 x i取值符号所带来的影响,能够确保 E T 0对气象因子 x i的敏感系数符号相同且连续。
在气候变化的背景下,内蒙古地区升温显著,且 E T 0对气温的敏感系数较大且为正向,然而总体来看 E T 0并未大幅度增多,究其原因,很大程度上是因为风速的降低对 E T 0变化的影响抵消了气温的影响。干旱区、半干旱区与半湿润区 E T 0变化的主导气象因子不同,主要是由于干旱区和半干旱区的风速气候倾向率更大,且 S U也比半湿润区大,而 S T m a x在半湿润区最高,从而导致在不同干湿区出现差异。因此,气象因子对 E T 0贡献的大小,在研究未来气候变化情景下 E T 0变化的实际意义更加重要。

4 结论

(1) 内蒙古 E T 0空间分布特征与当地降水量和地表覆被类型高度相关。 E T 0高值区气温高,降水稀少,地表裸露, E T 0低值区气温低,降水多,地表植被多为草原和森林,可能是 E T 0、降水量、地表覆被类型三者间相互耦合的结果。
(2) 不同干湿区各气象因子敏感系数变化趋势一致, S V S U变化显著; E T 0 T m a x的变化最敏感,对 N的变化最不敏感;不同季节最敏感的气象因子不尽相同,同一气象因子敏感性在不同地区亦有较大差异。
(3) 气象因子对 E T 0变化的贡献率差异较大,不同干湿区气象因子对 E T 0变化贡献排序亦不相同,干旱区和半干旱区 U E T 0变化的主导因子,半湿润区 T m a x E T 0变化的主导因子。
本文可为深入研究内蒙古因气候变化而导致的水资源变化,以及未来水资源的科学管理提供重要参考。另外, E T 0的变化与地形地貌、植被类型、土壤质地、气溶胶浓度、大气环流等存在反馈机理,其间的定量关系将是今后研究的重点。
[1]
张宝忠, 许迪, 刘钰, 等. 多尺度蒸散发估测与时空尺度拓展方法研究进展[J]. 农业工程学报, 2015, 31(6): 8-16.

[Zhang Baozhong, Xu Di, Liu Yu, et al. Review of multi-scale evapotranspiration estimation and spatio-temporal scale expansion[J]. Transactions of the Chinese Society of Agricultural Engineering, 2015, 31(6): 8-16.]

[2]
Jung M, Reichstein M, Ciais P, et al. Recent decline in the global land evapotranspiration trend due to limited moisture supply[J]. Nature, 2010, 467(7318): 951-954.

[3]
Zhao L L, Xia J, Xu C Y, et al. Evapotranspiration estimation methods in hydrological models[J]. Journal of Geographical Sciences, 2013, 23(2): 359-369.

DOI

[4]
Gu L L, Hu Z Y, Yao J M, et al. Actual and reference evapotranspiration in a cornfield in the Zhangye oasis, northwestern China[J]. Water, 2017, 9(7): 499, doi: 10.3390/w9070499.

[5]
Allen R G, Pereira L S, Raes D, et al. Crop evapotranspiration-guidelines for computing crop water requirements: FAO irrigation and drainage paper 56[M]. Rome: Food and Agriculture Organization of the United Nations, 1998.

[6]
Adeyeri O E, Ishola K A. Variability and trends of actual evapotranspiration over west Africa: The role of environmental drivers[J]. Agricultural and Forest Meteorology, 2021, 308: 108574, doi: 10.1016/j.agrformet.2021.108574.

[7]
Chen D, Gao G, Xu C Y, et al. Comparison of Thornthwaite method and pan data with the standard Penman-Monteith estimates of potential evapotranspiration for China[J]. Climate Research, 2005, 28: 123-132.

[8]
刘昌明, 张丹. 中国地表潜在蒸散发敏感性的时空变化特征分析[J]. 地理学报, 2011, 66(5): 579-588.

[Liu Changming, Zhang Dan. Temporal and spatial change analysis of the sensitivity of potential evapotranspiration to meteorological influencing factors in China[J]. Scientia Geographica Sinica, 2011, 66(5): 579-588.]

[9]
秦年秀, 陈喜, 薛显武, 等. 潜在蒸散发量计算公式在贵州省适用性分析[J]. 水科学进展, 2010, 21(3): 357-363.

[Qin Nianxiu, Chen Xi, Xue Xianwu, et al. An applicability study of potential evapotranspiration models in Guizhou Province[J]. Advances in Water Science, 2010, 21(3): 357-363.]

[10]
陈晓菲, 任立良, 江善虎, 等. 赣江上游流域蒸散发量影响因素的遥感分析[J]. 水资源保护, 2014, 30(2): 33-37.

[Chen Xiaofei, Ren Liliang, Jiang Shanhu, et al. RS-based analysis of factors influencing evapotranspiration in upstream region of Ganjiang Basin[J]. Water Resources Protection, 2014, 30(2): 33-37.]

[11]
朱国锋, 何元庆, 蒲焘, 等. 1960—2009年横断山区潜在蒸发量时空变化[J]. 地理学报, 2011, 66(7): 905-916.

[Zhu Guofeng, He Yuanqing, Pu Tao, et al. Spatial distribution and temporal trends in potential evaporation over Hengduan Mountains region from 1960 to 2009[J]. Scientia Geographica Sinica, 2011, 66(7): 905-916.]

[12]
张永生, 陈喜, 高满, 等. 不同气候区潜在蒸散发全局敏感性分析[J]. 河海大学学报(自然科学版), 2017, 45(2): 137-144.

[Zhang Yongsheng, Chen Xi, Gao Man, et al. Global sensitivity analysis of potential evapotranspiration in different climatic regions[J]. Journal of Hohai University (Natural Sciences Edition), 2017, 45(2): 137-144.]

[13]
Zhao Y, Chen Y N, Wu C Y, et al. Exploring the contribution of environmental factors to evapotranspiration dynamics in the Three-River-Source region, China[J]. Journal of Hydrology, 2023, 626: 130222, doi: 10.1016/j.jhydrol.2023.130222.

[14]
李红阳, 陈天宇, 王圣杰, 等. 1979—2021年新疆昆仑山北坡潜在蒸散时空变化研究[J]. 干旱区地理, 2024, 47(9): 1443-1450.

DOI

[Li Hongyang, Chen Tianyu, Wang Shengjie, et al. Spatiotemporal variations of potential evapotranspiration on the northern slope of the Kunlun Mountains in Xinjiang from 1979 to 2021[J]. Arid Land Geography, 2024, 47(9): 1443-1450.]

DOI

[15]
封志明, 孙小舟, 杨艳昭. 西辽河流域1952年—2007年参考作物蒸散量的变化趋势[J]. 资源科学, 2009, 31(3): 479-484.

[Feng Zhiming, Sun Xiaozhou, Yang Yanzhao. Change tendency of reference crop evapotranspiration in Xiliaohe Basin[J]. Resources Science, 2009, 31(3): 479-484.]

[16]
李媛, 谢应忠, 王亚娟. 宁夏中部干旱带潜在蒸散量变化及影响因素[J]. 生态学报, 2016, 36(15): 4680-4688.

[Li Yuan, Xie Yingzhong, Wang Yajuan. Dynamic change and influencing factors of potential evapotranspiration in the middle arid region of Ningxia[J]. Acta Ecologica Sinica, 2016, 36(15): 4680-4688.]

[17]
周秉荣, 李凤霞, 肖宏斌, 等. 三江源区潜在蒸散时空分异特征及气候归因[J]. 自然资源学报, 2014, 29(12): 2068-2077.

[Zhou Bingrong, Li Fengxia, Xiao Hongbin, et al. Characteristics and climate explanation of spatial distribution and temporal variation of potential evapotranspiration in headwaters of the Three Rivers[J]. Journal of Natural Resources, 2014, 29(12): 2068-2077.]

DOI

[18]
王佳爽, 高晓瑜, 李为萍, 等. 塔布河流域潜在蒸散量时空变化特征及成因[J]. 干旱区研究, 2024, 41(9): 1538-1547.

DOI

[Wang Jiashuang, Gao Xiaoyu, Li Weiping, et al. Spatial-temporal variation characteristics and attribution analysis of potential evapotranspiration in the Tabu River Basin[J]. Arid Zone Research, 2024, 41(9): 1538-1547.]

DOI

[19]
吴霜, 延晓冬, 杨伯钢, 等. 中国潜在蒸散量时空变化分析[J]. 北京测绘, 2022, 36(11): 1460-1464.

[Wu Shuang, Yan Xiaodong, Yang Bogang, et al. The spatial and temporal distributions of potential evapotranspiration in China[J]. Beijing Surveying and Mapping, 2022, 36(11): 1460-1464.]

[20]
Hupet F, Vanclooster M. Effect of the sampling frequency of meteorological variables on the estimation of the reference evapotranspiration[J]. Journal of Hydrology, 2001, 243: 192-204.

[21]
曾丽红, 宋开山, 张柏, 等. 东北地区参考作物蒸散量对主要气象要素的敏感性分析[J]. 中国农业气象, 2010, 31(1): 11-18.

[Zeng Lihong, Song Kaishan, Zhang Bai, et al. Sensitive analysis on reference evapotranspiration to key meteorological factors in northeast China[J]. Chinese Journal of Agrometeorology, 2010, 31(1): 11-18.]

[22]
王大刚, 于洋, Malik I, 等. 塔里木盆地生长季 ET0的时空变化特征及其敏感性分析[J]. 中国农业气象, 2022, 43(5): 340-352.

[Wang Dagang, Yu Yang, Malik I, et al. Spatiotemporal variation and analysis sensitivity of reference evapotranspiration during crop growing season in the Tarim Basin[J]. Chinese Journal of Agrometeorology, 2022, 43(5): 340-352.]

[23]
Gong L B, Xu C Y, Chen D L, et al. Sensitivity of the Penman-Monteith reference evapotranspiration to key climatic variables in the Changjiang Basin[J]. Journal of Hydrology, 2006, 329: 620-629.

[24]
刘小莽, 郑红星, 刘昌明, 等. 海河流域潜在蒸散发的气候敏感性分析[J]. 资源科学, 2009, 31(9): 1470-1476.

[Liu Xiaomang, Zheng Hongxing, Liu Changming, et al. Sensitivity of the potential evapotranspiration to key climatic variables in the Haihe River Basin[J]. Resources Science, 2009, 31(9): 1470-1476.]

[25]
曹永强, 高璐, 袁立婷, 等. 辽宁省潜在蒸散发量及其敏感性规律分析[J]. 地理科学, 2017, 37(9): 1422-1429.

DOI

[Cao Yongqiang, Gao Lu, Yuan Liting, et al. Analysis of potential evaporation and its sensitivity in Liaoning Province[J]. Scientia Geographica Sinica, 2017, 37(9): 1422-1429.]

DOI

[26]
王鹏涛, 延军平, 蒋冲, 等. 华北平原参考作物蒸散量时空变化及其影响因素分析[J]. 生态学报, 2014, 34(19): 5589-5599.

[Wang Pengtao, Yan Junping, Jiang Chong, et al. Spatial and temporal variations of reference crop evapotranspiration and its influencing factors in the North China Plain[J]. Acta Ecologica Sinica, 2014, 34(19): 5589-5599.]

[27]
马亚丽, 牛最荣, 孙栋元. 河西走廊潜在蒸散发时空格局变化与气象因素的关系[J]. 干旱区地理, 2024, 47(2): 192-202.

DOI

[Ma Yali, Niu Zuirong, Sun Dongyuan. Relationship between changes in spatial and temporal patterns of potential evapotranspiration and meteorological factors in Hexi Corridor[J]. Arid Land Geography, 2024, 47(2): 192-202.]

DOI

[28]
王炳亮, 李国胜. 1961—2010年辽河三角洲参考蒸散发变化特征及主导因子分析[J]. 地理科学, 2014, 34(10): 1233-1238.

DOI

[Wang Bingliang, Li Guosheng. Quantification of the reasons for reference evapotranspiration changes over the Liaohe Delta, northeast China[J]. Scientia Geographica Sinica, 2014, 34(10): 1233-1238.]

DOI

[29]
中国气象局气候变化中心. 中国气候变化蓝皮书(2024)[M]. 北京: 科学技术出版社, 2024: 1-5.

[China Meteorological Administration Climate Change Center. Blue book on climate change in China 2024[M]. Beijing: China Science and Technology Press, 2024: 1-5.]

[30]
王志春, 陈素华, 李超. 近57年西辽河流域气候变化特征分析[J]. 内蒙古农业大学学报(自然科学版), 2020, 41(1): 42-48.

[Wang Zhichun, Chen Suhua, Li Chao. Analysis of the climatic change characteristics in the Xiliao River Basin in recent 57 years[J]. Journal of Inner Mongolia Agricultural University (Natural Science Edition), 2020, 41(1): 42-48.]

[31]
苏立娟, 李喜仓, 邓晓东. 1951—2005年内蒙古东部气候变化特征分析[J]. 气象与环境学报, 2008, 24(5): 25-28.

[Su Lijuan, Li Xicang, Deng Xiaodong. Climate change characteristics of eastern Inner Mongolia from 1951 to 2005[J]. Journal of Meteorology and Environment, 2008, 24(5): 25-28.]

[32]
李静, 何清, 姚俊强, 等. 内蒙古西部地区气候变化特征及影响因子分析[J]. 干旱区资源与环境, 2014, 28(5): 186-191.

[Li Jing, He Qing, Yao Junqiang, et al. The characteristics of climate change and the impact factors analysis in the western part of Inner Mongolia[J]. Journal of Arid Land Resources and Environment, 2014, 28(5): 186-191.]

[33]
安莉娟. 1971—2010年内蒙古干湿变化特征及对水资源影响[J]. 冰川冻土, 2016, 38(3): 732-740.

DOI

[An Lijuan. Aridity variation and its impact on water resources in Inner Mongolia from 1971 through 2010[J]. Journal of Glaciology and Geocryology, 2016, 38(3): 732-740.]

DOI

[34]
张存厚, 王明玖, 李兴华, 等. 近30年来内蒙古地区气候干湿状况时空分布特征[J]. 干旱区资源与环境, 2011, 25(8): 70-75.

[Zhang Cunhou, Wang Mingjiu, Li Xinghua, et al. The characteristics of temporal and spatial distribution of climate dry-wet conditions over Inner Mongolia in recent 30 years[J]. Journal of Arid Land Resources and Environment, 2011, 25(8): 70-75.]

[35]
董晓宇, 姚华荣, 戴君虎, 等. 2000—2017年内蒙古荒漠草原植被物候变化及对净初级生产力的影响[J]. 地理科学进展, 2020, 39(1): 24-35.

DOI

[Dong Xiaoyu, Yao Huarong, Dai Junhu, et al. Phenological changes of desert steppe vegetation and its effect on net primary productivity in Inner Mongolia from 2000 to 2017[J]. Progress in Geography, 2020, 39(1): 24-35.]

DOI

[36]
张存杰, 刘海波, 宋艳玲, 等. GB/T 20481-2017. 气象干旱等级[S]. 北京: 中国标准出版社, 2017.

[Zhang Cunjie, Liu Haibo, Song Yanling, et al. GB/T 20481-2017. Grades of meteorological drought[S]. Beijing: Standards Press of China, 2017.]

[37]
McCuen R H. A sensitivity and error analysis of procedures used for estimating evaporation[J]. Water Resource Bulletin, 1974, 10(3): 486-497.

[38]
梁丽乔, 李丽娟, 张丽, 等. 松嫩平原西部生长季参考作物蒸散发的敏感性分析[J]. 农业工程学报, 2008, 24(5): 1-5.

[Liang Liqiao, Li Lijuan, Zhang Li, et al. Sensitivity of the reference crop evapotranspiration in growing season in the west Songnen Plain[J]. Transactions of the Chinese Society of Agricultural Engineering, 2008, 24(5): 1-5.]

[39]
曹雯, 申双和, 段春锋. 西北地区生长季参考作物蒸散变化成因的定量分析[J]. 地理学报, 2011, 66(3): 407-415.

[Cao Wen, Shen Shuanghe, Duan Chunfeng. Quantification of the causes for reference crop evapotranspiration changes in growing season in northwest China[J]. Acta Geographica Sinica, 2011, 66(3): 407-415.]

[40]
Huntington T G. Evidence for intensification of the global water cycle: Review and synthesis[J]. Journal of Hydrology, 2006, 319(1-4): 83-95.

文章导航

/