气候与水文

内蒙古中部地区风电场风速特性及尾流效应计算

  • 贾晓红 ,
  • 石岚 ,
  • 郝玉珠
展开
  • 内蒙古自治区气象服务中心,内蒙古 呼和浩特 010051
石岚(1964-),女,学士,正研级高级工程师,主要从事专业气象服务技术研究与应用. E-mail:

贾晓红(1993-),女,硕士,工程师,主要从事新能源气象研究. E-mail:

收稿日期: 2024-05-09

  修回日期: 2024-08-22

  网络出版日期: 2026-03-11

基金资助

内蒙古自治区自然科学基金项目(2022MS04019)

内蒙古自治区“揭榜挂帅”项目(2024JBGS0054)

Wind speed characteristics and wake effect calculation of the wind farm in the central region of Inner Mongolia

  • Xiaohong JIA ,
  • Lan SHI ,
  • Yuzhu HAO
Expand
  • Inner Mongolia Service Center of Meteorology, Hohhot 010051, Inner Mongolia, China

Received date: 2024-05-09

  Revised date: 2024-08-22

  Online published: 2026-03-11

摘要

为研究风电场尾流特征及与气象条件的关系,选取内蒙古中部地区某风电场33台风电机组,统计分析了2021—2023年平均风速、风向、风频分布等风资源评估参数。基于Jensen尾流模型,计算不同风向及精细化主导风向尾流区风速,探讨考虑尾流效应后的风速与其他气象要素的相关性。结果表明:(1) 2021—2023年内蒙古中部地区风电场以西南(SW)风为主,高频风向年内变化由偏西向偏南转变,月内风向集中且风速差较小。主导风向下平均风速最大,风速频率曲线呈现正偏态分布。(2) 各风向平均风速下,受尾流影响最大的风电机组风速损失率超过10%,其中西北(NW)、东南(SE)风向超过50%风电机组受尾流影响,风速损失集中分布在风电场东北(NE)向偏后位置,偏西风向风速减小更明显。(3) 气压、气温和湿度对不同风向风速日变化的影响程度不同,上述气象因子对风速的影响下,SW风向在4~5 m·s-1风速区间内尾流模型计算效果相对好于其他风速段,风速平均绝对百分比误差与相对湿度呈负相关。NW风向在9~10 m·s-1风速区间内尾流模型计算风速与实测更接近,误差与气压和气温都呈正相关。SE、NE风向分别在9~10 m·s-1、7~8 m·s-1风速区间尾流模型计算效果较好。研究结果可为风电机组尾流效应分析及风电场风速预测提供一定参考。

本文引用格式

贾晓红 , 石岚 , 郝玉珠 . 内蒙古中部地区风电场风速特性及尾流效应计算[J]. 干旱区地理, 2025 , 48(3) : 421 -433 . DOI: 10.12118/j.issn.1000-6060.2024.289

Abstract

To investigate the characteristics of wind farm wake effects and their relationship with meteorological conditions, 33 wind turbines from a wind farm in central Inner Mongolia, China were selected for analysis. Wind resource assessment parameters, including average wind speed, wind direction, and wind frequency distribution, were statistically analyzed from 2021 to 2023. Using the Jensen wake model, wind speeds in the wake area were calculated for different wind directions, with a focus on the refined dominant wind direction. The correlation between wind speeds and meteorological factors, accounting for wake effects, was also explored. The findings are as follows: (1) From 2021 to 2023, the wind farm in central Inner Mongolia was predominantly influenced by southwest winds. High-frequency wind directions shifted from west to south throughout the year. Monthly wind directions were relatively stable, with concentrated wind directions and small wind speed variations. The average wind speed was highest under the dominant wind direction, and the wind speed frequency curve exhibited a positively skewed distribution. (2) Under average wind speeds for each direction, turbines most affected by the wake experienced wind speed losses exceeding 10%. More than half of the turbines were affected by wake effects under northwest and southeast winds, with the most significant losses occurring in the northeasterly downstream positions of the wind farm. Wind speed reductions were particularly pronounced under westerly winds. (3) The impact of barometric pressure, air temperature, and humidity on daily wind speed variation differed across wind directions. For southwest winds, the wake model performed best in the 4-5 m·s-1 wind speed range, with the average absolute percentage error of wind speed negatively correlated with relative humidity. For northwest winds in the 9-10 m·s-1 range, the wake model calculations closely matched measured wind speeds, with errors positively correlated with barometric pressure and temperature. In addition, the wake model performed well in the 9-10 m·s-1 and 7-8 m·s-1 ranges for southeast and northeast winds, respectively. These results provide valuable insights into the analysis of wind turbine wake effects and wind speed predictions for wind farms.

气候变化背景下,能源结构转型是实现“碳达峰、碳中和”目标、控制全球升温的关键。风能因其清洁且再生的优点,是转型过程的主要力量,目前风力发电已成为具有大规模开发和商业化发展前景的发电方式。国际电工委员会(IEC)表示,中国新能源装机规模和发电量持续多年第一,具有引领新型电力系统发展的产业和技术优势。截至2023年底,我国风电发电装机容量超过4.0×108 kW。
风电场输入风速是风力发电最直接相关的气象要素,自然风经风电机组,通过“风能-机械能-电能”的转化,造成自然风携带能量下降,坐落在下风向的风电机组风速低于坐落在上风向的风电机组风速,这种现象称作尾流效应。风力发电机组设计规范IEC 61400明确指出,湍流强度会直接影响风力机叶片的空气动力学性能特征[1]。风速减小、湍流度增加的尾流区[2]可能造成风电机组的疲劳载荷大于环境条件下的疲劳载荷[3-4],风电场风速分布不均,优化控制难度增加,而尾流影响会随风电机组容量增加而越明显。据统计,典型风电场由于尾流效应年发电量损失在10%~15%,全尾流状态下高达30%~40%左右[5-6]。因此,为减少尾流效应带来的影响,保障大规模风电场的高效开发利用,对真实大气环境下风资源的建模与评估将成为未来风电场开发与利用的重要任务,这也是我国风电产业发展较有挑战性的研究课题。
风场机组尾流计算主要包括基于实验数据拟合的半经验尾流模型、基于涡流理论的模型和基于N-S方程的计算流体力学(CFD)模型[7]。后2种模型虽然计算精度较高,但其所产生的庞大计算量和漫长耗时在实际工程应用时很难接受。其中,半经验尾流模型通过直接模拟尾流扩张取代湍流模拟,计算速度快且精度在可接受范围内,被广泛应用,包括Jensen模型、Frandsen模型和Gaussian模型等。已有科学研究表明,半经验尾流模型的计算精度并不低于其他模型,其中Barthelmie等[8]对海上风电场的发电效率进行评估,发现Jensen尾流模型与CFD模拟的尾流速度计算结果相差不大。Archer等[9]选用6种尾流模型,考虑风电场近海和内陆条件、规则和不规则布局、不同的风力机间距等情况,发现Jensen尾流模型和Gaussian模型在风电场所有风向的综合表现较优,是推荐的通用模型。此外,应用半经验尾流模型对于风电场输出功率和发电量的提高也有积极作用。刘南南等[10]基于Jensen尾流模型和Gaussian风速模型,建立风电场机组尾流模型,采用遗传算法(GA)对风电机组偏航角进行优化,实验风场整体发电量可提升1.5%。袁飞等[11]利用Gaussian风速模型,根据动量守恒,引入有效风速衰减计算叶轮面内风速衰减,模拟的尾流分布更符合实际风场,径向和轴向模拟与实测结果相关性超过0.92。樊小朝等[12]分析了风电机组运行状态与尾流分布、功率输出、载荷损耗之间关系,建立基于Jensen尾流模型、考虑载荷损耗的风电场优化控制模型,所提优化控制方法可使风电场提高输出功率,降低载荷损耗。这些研究进一步证实了半经验尾流模型的适应性,然而对于尾流风速在不同风向和精细化风向的分析及与其他气象因子的探讨较少。
尾流效应并非不可控制,通过大气模拟对天气进行预测,以及对风电场所在地的风能研究可以合理地控制尾流效应,所以行业部门对能源领域存在的气象条件影响和专业气象服务也越来越重视。风能统计分析在风电开发的早期阶段起着核心作用,风速、风向作为研究风能的重要参数,有助于了解一个地区的风电状况,是建立准确的风速模型的基础。因此,本文选取内蒙古中部地区一个风电场,在风能统计分析的基础上,利用Jensen尾流模型,进行不同风向尾流区风速的快速计算,探讨与其他气象要素的相关性,分析尾流模型在不同气象条件下的精确性,旨在为风电场风速预报奠定基础。

1 数据与方法

1.1 研究区概况

本文研究的风电场H位于内蒙古自治区乌兰察布市中部(41.7°~41.9°N,111.7°~112.0°E)。该风电场一期工程轮廓面积约为34 km2,地势开阔,海拔高度差较小,建设规模为49.5 MW,安装有单机容量为1500 kW的风电机组33台(图1)。邻近测风塔位于风电场西向,与风电机组最近距离为0.4 km。
图1 风电场风电机组空间排布

Fig. 1 Space layout of wind turbines in the wind farm

1.2 数据来源

为开展风电场风速特征统计和尾流效应影响研究,收集了2021年1月1日—2023年12月21日33台风电机组逐15 min轮毂高度风速及功率数据,相同时段测风塔50 m高度风速、风向及10 m高度气温、湿度和气压的观测值。依据国家标准《风电场气象观测及资料审核、插补与订正技术规范(GB/T 37523—2019)》,参考标准规定的完整性、合理性和一致性审核,筛选不合理的数据并剔除,经以上严格质量控制后,可用于进行风速分析的风电机组有效数据完整率为95.8%,测风塔为96%,满足风电场风能资源评估对数据完整率在90%以上的要求,故不进行插补工作。匹配风电机组和测风塔数据,可形成98496条数据,用于本文研究。

1.3 研究方法

1.3.1 Jensen尾流模型

目前,风电机组尾流模型主要是基于质量守恒和尾流衰减的经验关系,通过实验数据拟合得到的半经验尾流模型。具有计算速度快、计算精度满足工程要求等优点,WT、WAsP等风资源商业软件多有采用[7]。Jensen尾流模型假定尾流廓线是矩形,并且风电机组后的尾流直径是线性扩张的,基于上述假设条件,模型适用于远尾流区域,对于近尾流的分布描述较差,但大部分风电场风电机组间距在2倍叶轮直径以上,因此该模型仍被广泛应用。基于动量守恒,上游风电机组产生的尾流效应导致下游风电机组的输入风速为:
v x = v 0 1 - 1 - 1 - C T r r + k x 2
式中: v x为尾流区距风轮 x处风速(m·s-1); v 0为来流风速(m·s-1); x为上下游风电机组之间的距离(m); r为风电机组风轮半径(m); C T为推力系数,其值可由风机制造企业给出的推力系数拟合曲线得到; k为尾流扩散系数。
大型风电场通常含有多台风电机组,下游风电机组可能受到上游一台或多台风电机组的尾流影响,在此情况发生时下游的风电机组输入风速为:
v i = v i 0 2 + j = 1 n β j , i v w _   j i 2 - v i 0 2
式中: v i为第i台风电机组受尾流影响时的输入风速(m·s-1); v i 0为第i台风电机组不受尾流影响时的输入风速(m·s-1); v w _   j i为第 i台风电机组受到上游第 j台风电机组尾流影响下的输入风速(m·s-1); β j , i为遮蔽因子,是第 j台风电机组在第 i台风电机组的投影遮挡面积 A s h a d _   j i ,   m 2,与第i台风电机组扫风面积 A r o t _ i ,   m 2之比,可表示为 β j , i = A s h a d _   j i / A r o t _ in为风电机组台数。当下游风电机组被上游完全遮挡,遮蔽因子为1,无遮挡时则为0,不完全遮挡时分为2种情况。
当下游风电机组扫风面圆心处于上游风电机组尾流影响外,即 r x d r x + r r o t图2a):
A s h a d _   j i = r x 2 a r c c o s d 1 r x + r r o t 2 a r c c o s d - d 1 r x - d Z
当下游风电机组扫风面圆心处于上游风电机组尾流影响内,即 r x - r r o t d r x图2b):
A s h a d _   j i = r x 2 a r c c o s d 2 + r x 2 - r r o t 2 2 d r x +                             r r o t 2 a r c c o s d 2 + r r o t 2 - r x 2 2 d r x - d Z
式中: A s h a d _   j i为第 j台风电机组在第 i台风电机组的投影遮挡面积(m2);   r ( x )为风电机组在 x处的尾流半径(m); r r o t为下游风电机组风轮半径(m); d为两圆心之间的距离(m); d 1为投影面圆心到两圆交线的垂直距离(m); Z为两圆交线顶点到圆心连线的垂直距离(m)。
图2 风电机组间部分遮挡

注: A s h a d _   j i为第 j台风电机组在第 i台风电机组的投影遮挡面积(m2); O j O i分别为第 j台风电机组投影面和第 i台风电机组扫风面的圆心; r ( x )为风电机组在 x处的尾流半径(m); r r o t为下游风电机组风轮半径(m); d为两圆心之间的距离(m); d 1为投影面圆心到两圆交线的垂直距离(m); Z为两圆交线顶点到圆心连线的垂直距离(m)。

Fig. 2 Partial shading between wind turbines

1.3.2 尾流模型参数设置

需要给出的尾流模型参数设置信息,具体为:风电场H中33台风电机组间距离为320~5500 m,风电机组风轮半径为43.043 m,风轮中心点高度为65 m。根据风机制造企业给出的推力系数拟合曲线,国电联合动力UP86/1500 65mHH 3B-LT风电机组风速对应推力系数如图3所示。Jensen尾流模型在陆地风电场应用时尾流扩散系数的推荐值为0.075[13-14]。已知风电机组位置和分布(图1),及某风向来流风速大小,按照来风方向确定第1台受风风电机组为基准点,建立直角坐标系确定该风向下其他风电机组坐标,通过式(1)~(4)计算尾流叠加影响下的各台风电机组输入风速[15-16]
图3 不同风速对应推力系数

Fig. 3 Thrust coefficients for different wind speeds

为验证所选参数的合理性及模型的适用性,选取不同尾流扩散系数值,计算来流风速为8 m·s-1、风向为225°时受尾流影响的风电机组风速误差,计算结果如图4a所示。由图可知,尾流扩散系数在0.04~0.10范围内,尾流模型计算风速与实际风速的平均绝对误差先减小后增大,取值0.07~0.08范围内误差值变化不大,为0.075时计算效果最优。来流风速为12 m·s-1时计算结果如图4b所示,当来流风速增大、风向不变时,尾流计算效果变差,但尾流扩散系数仍为0.075时模型计算风速与实测间的误差最小。此外,另选择风向为45°、135°、315°作验证,尾流扩散系数为0.075时,模型总体计算效果与实测最为吻合。综上所述,Jensen尾流模型尾流扩散系数的推荐值适用于风电场H。
图4 不同尾流扩散系数值时尾流计算风速与实际风速的误差

Fig. 4 Errors between the calculated wake wind speed and the actual wind speed with different wake diffusion coefficient values

1.3.3 威布尔分布

风速概率分布是评估风能资源分布的主要指标之一,反映风电场在某个时段每一风速段出现的概率[17]。威布尔分布模型、瑞利分布模型、对数正态分布模型、伽马分布的概率密度函数等常被用于拟合风速分布[18-19],其中双参数威布尔分布对不同形状的频率分布有很强的适应性,被广泛接受和应用。假设风电场风速数据服从威布尔分布,其概率密度函数表示为:
f v = k c v c k - 1 e x p - v c k
累积分布函数为:
F v = 1 - e x p - v c k
式中: f v为威布尔风频分布概率密度(%); F v为威布尔风频累积概率密度(%); k为形状参数; c为尺度参数(m·s-1);v为风速(m·s-1)。
在威布尔分布中,形状参数 k能反映风速概率密度曲线的峰值情况,数据方差越小, k值则越大,曲线越陡峭;尺度参数 c可反映平均风速,对概率密度曲线有缩放作用[20]。本文采用最大似然法统计轮毂高度处风速的威布尔分布。

1.3.4 相关性分析

皮尔逊相关系数[21]常用来度量2个变量间的线性相关关系,介于[-1, 1]之间。本文用来计算尾流区风速与其他气象要素相关关系,衡量其他气象要素对尾流风速的影响程度。
r X Y = i = 1 N X i - X ¯ Y i - Y ¯ i = 1 N X i - X ¯ 2 i = 1 N Y i - Y ¯ 2
式中: r X Y为2个气象要素间的相关系数; X i为风速(m·s-1); Y i为其他气象要素; X ¯为风速平均值(m·s-1); Y ¯为其他气象要素平均值; N为样本总数; i为统计时段内样本序号。

1.3.5 误差评估

本文使用平均绝对百分比误差[22]对尾流模型计算风速和实测风速进行比较,评估尾流模型风速误差。
M A P E = 100 n i = 1 n V 1 i - V 2 i V 1 i
式中: M A P E为风速平均绝对百分比误差(%); V 1 i为实测风速(m·s-1); V 2 i为尾流模型计算风速(m·s-1); n为样本总数; i为统计时段内样本序号。

2 结果与分析

2.1 风资源特征

2.1.1 风向分析

以测风塔风向玫瑰图表示风电场H风向(图5),由图可知,该风电场以西南(SW)风为主导风向,因风电场所在地位于中纬度西风带,西风环流大背景下,偏西风占主导位置,西入气流南支穿越而过时受阴山北麓阻挡转为西南风[23]。从逐月变化来看,高频风向由偏西向偏南转变,各月具有主导风向突出的特点,其中风向频率最高值出现在12月,其次为11月。以16个方位划分风向时,风向明显集中于西风和南风之间,总频率在50%以上,同时风速较其他风向大。这说明该风电场在选址前已充分考虑风向特征,月主导风向的一致性较好,因此风电机组在调整风叶角度的频率会降低,风能利用效率会提高。此外,石岚等进行内蒙古中部地区风电场风速高相关分区时,将风向划分为西北(NW)、西南(SW)、东北(NE)、东南(SE)4个象限风向[24],认为上述同一风向内风速存在相似性,这与本文风电场H各月内风向集中且同一象限风向内风速差较小的事实相符,因此本文采用4风向划分。
图5 基于测风塔资料的风电场风玫瑰图

Fig. 5 Wind rose diagrams of the wind farm based on the anemometer tower data

2.1.2 风速分析

通过统计风电场H各风向频率及风速均值,NW、SW、SE和NE风向占比分别为16.7%、55.5%、14.1%和13.7%,平均风速分别为8.1 m·s-1、8.2 m·s-1、5.6 m·s-1和4.8 m·s-1,主导风向平均风速最大。从平均风速月变化(图6a)来看,月均风速在3 m·s-1以上,月变化存在明显峰值,NW和SW风向风速变化曲线有主峰和次峰,其余2个风向为单峰。共有3个风向4月平均风速最大,其中SW风向风速值达9.8 m·s-1。从风速季节变化来看,冬春季风速较大,冬季受西伯利亚冷高压影响,强盛的冬季风使得西偏北风速增大;春季因冷暖空气活动频繁,受蒙古气旋南部影响,大风出现几率较高;夏季多是强对流性天气带来大风[25],但发生频率低;秋季则因对流性大风和冷空气大风均发生较少而整体风速下降。观察风速日变化(图6b),发现白天风速大于夜间,大值区集中在午后,主要因为日出后地面受太阳辐射加热而增温,空气受热导致湍流运动加强,上层空气带着较大的风速下沉到低层,风速增大,通常在午后湍流运动最强时达到最大值[26]
图6 风电场基于测风塔各风向下平均风速时间变化特征

Fig. 6 Temporal variation characteristics of mean wind speed in different wind directions based on the anemometer tower for the wind farm

风电机组工作有效风速范围一般介于3~25 m·s-1之间,风电场NW、SW、SE和NE风向有效风速占比分别为88.5%、90%、69.8%和67.8%。对0 m·s-1以上风速进行统计,得到的概率密度分布如图7所示。由图可知,各风向下风速分布均相对集中且频率曲线呈现单峰型,高峰向左偏移,长尾向右侧延伸,为正偏态分布,风速中位数比均值更接近峰值。NW、SW风向风速主要集中在1~16 m·s-1之间,其中有效风速集中在3~16 m·s-1;SE、NE风向风速主要集中在0~12 m·s-1之间,其中有效风速集中在3~12 m·s-1之间。威布尔形状因子对风速风频分布曲线形状起决定作用,值越小,风速越接近低风速段[27],NW、SW、SE和NE风向下分别为8.89、8.87、4.89和5.78,因此NW、SW风向风速在低风速段的出现频率要小于其他2个风向,且高风速段风频百分比较大,认为主导风向下风能资源更为丰富。
图7 风电场基于测风塔各风向下风速概率密度统计

Fig. 7 Probability density statistics of wind speed in different wind directions based on the anemometer tower for the wind farm

2.2 尾流区风速分析

2.2.1 不同风向尾流区风速

NW、SW、SE和NE风向各选取315°、225°、135°和45°作为来流风向,考虑风电机组空间排布影响,利用Jensen尾流模型,在多台风电机组尾流叠加时采用能量平衡模型进行风速分布计算。在有效风速区间内每隔1 m·s-1取值,计算相应风向下每台风电机组的输入风速(图8),4个风向下受尾流影响的风电机组数量分别为17台、14台、18台和10台,其中NW、SE风向时超过50%风电机组受影响,整体风速损失较多。以5 m·s-1来流风速为例,NW、SW、SE和NE风向受尾流影响最大的分别为31号、12号、32号和11号风电机组,风速损失率分别占17.4%、14.2%、17.4%和14.2%(表1)。综上所述,主导风向受尾流影响相对其他风向较少,有利于更高效地开发利用风能资源。
图8 5 m·s-1和8 m·s-1来流风速时不同风向各风电机组尾流模型计算风速

Fig. 8 Calculated wind speeds of each wind turbine wake model for different wind directions at incoming wind speeds of 5 m·s-1 and 8 m·s-1

表1 5 m·s-1和8 m·s-1来流风速时不同风向风电机组风速最大损失率

Tab. 1 Maximum loss rates of wind speed of wind turbines for different wind directions at incoming wind speeds of 5 m·s-1 and 8 m·s-1

风向 最大尾流损失
风电机组编号
5 m·s-1来流风速时最大损失率/% 8 m·s-1来流风速时最大损失率/%
西北(NW) 31 17.4 16.9
西南(SW) 12 14.2 13.8
东南(SE) 32 17.4 16.9
东北(NE) 11 14.2 13.8
根据Jensen尾流模型可以推知,固定其他因素,只改变与尾流区风速相关的单一变量时,尾流区风速大小与风电机组初始来流风速成正比,随来流风速的增大而增大;与推力系数呈非线性关系,随推力系数的增大而减小[28]。以8 m·s-1来流风速作对比,NW、SW、SE和NE风向受尾流影响最大的31号、12号、32号和11号风电机组风速损失率分别占16.9%、13.8%、16.9%和13.8%,风速损失小于5 m·s-1来流风速,说明推力系数在一定程度上大于来流风速值产生的尾流影响。但当风速较大,推力系数较小时,风能利用系数较小,因此需在一定范围内调节上风向风电机组的推力系数,既减小风速损失,又提高风能转换效率,增加风电场的发电功率。

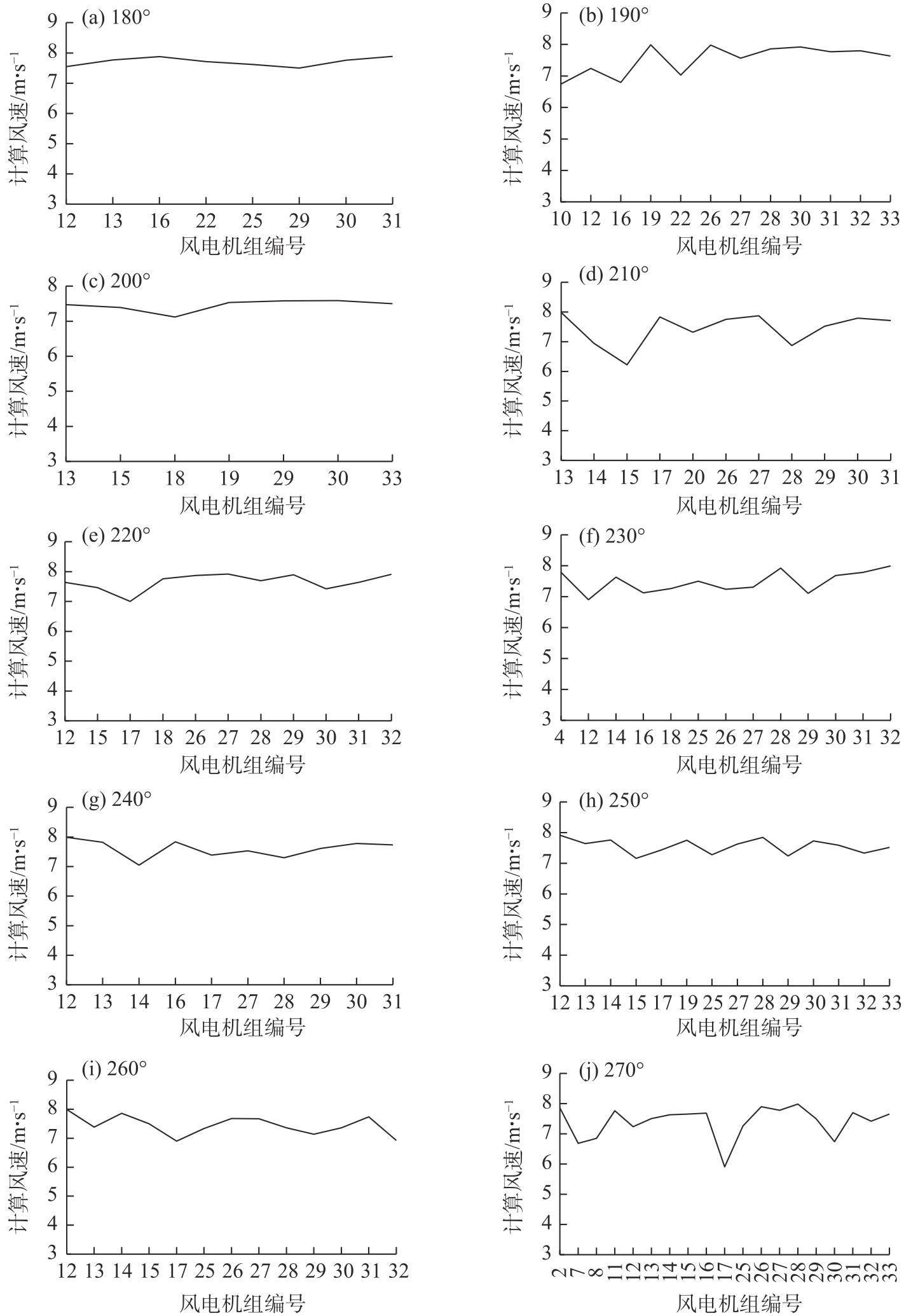
2.2.2 细化主导风向尾流区风速

风电场H主要以SW风为主,在180°~270°范围内以10°为间隔划分风向,各台风电机组在8 m·s-1来流风速尾流影响下输入风速如图9所示。主导风向下受尾流影响的风电机组台数范围在8~19台之间,以270°风向时受影响数量最多,180°、200°风向时最少。观察受影响风电机组数量随风向角度的变化,风向由南向西偏转时总体有增加趋势,影响数量从180°开始呈现“少-多”循环特征。受尾流影响的风电机组集中分布在NE向靠后位置,偏西风向风速减小更明显,其中30号风电机组在主导风向各角度下均受到上风向风电机组影响,因此发生风速损失的概率性极高。而处于SW方向的前排风电机组不受其余风电机组产生的风速尾流影响,可利用风能更高。风电场内的风速分布不均,影响风电场内每台风电机组运行状况,随着风向的偏转,尾流区内风电机组数量及输入风速值都呈现一定规律,尽管风电场H在选址时已考虑了尾流效应,但其带来的风速损失仍然不可避免,在尾流效应分析基础上风电机组调整角度,风能利用率会越高。
图9 主导风向10°间隔各风电机组尾流模型计算风速

Fig. 9 Calculated wind speeds for each turbine wake model at 10° intervals from the prevailing wind direction

2.2.3 与气象要素相关分析

风速受气象因素和地形因素共同作用,对于固定的风电场,地形、地貌等在短时间内不会发生变化,因此主要分析气压、气温、湿度、风向对风速的影响。由测风塔风速与主要气象因子的日变化(图10)可知,气压、气温、风速日变化呈现先增大后减小的特点,3个要素存在日变化趋势的一致性,当气压和气温增大时,风速增大,湿度则与其反之,湿度增大,风速反而减小。由不同风向下风速与主要气象因子日变化的相关性(表2)可知,SW风向风速与气压、气温、湿度的相关系数值最高,均在0.95以上。从气象因子来看,与NW风向风速相关性最高的气象因子是湿度,其余风向则为气温,说明上述气象因子对不同风向风速的影响程度不同。
图10 测风塔风速与主要气象因子的日变化

Fig. 10 Daily variations of wind speed and major meteorological factors in the anemometer tower

表2 不同风向风速与主要气象因子日变化的相关性

Tab. 2 Correlation of daily variations between wind speed and major meteorological factors in different wind directions

气象因子 NW风向 SW风向 SE风向 NE风向
气压 0.86 0.96 0.91 0.90
气温 0.89 0.97 0.91 0.94
湿度 -0.95 -0.96 -0.89 -0.88
根据各风向下风速集中区间,对比风电场尾流模型风速与实测风速,以平均绝对百分比误差作为衡量指标,结果如表3表4所示。不同风向尾流模型计算风速效果不同,NW、NE风向尾流模型风速较贴合实际风况,SW风向差距较大,通过上文分析认为存在SW风向风速受其他气象因子影响更大的原因。SW风向在4~5 m·s-1风速区间内尾流模型计算效果相对好于其他风速段,统计气压、气温、湿度与误差的关系,发现误差百分比与湿度的相关性最强,相关系数为-0.57,即湿度越小,尾流模型风速与实测风速相差越大。NW风向在9~10 m·s-1风速区间内尾流模型计算效果相对好于其他风速段,差值百分比与气压、气温和湿度的相关系数分别为0.58、0.55和-0.19,与气压和气温都呈正相关性,误差随气压和气温增大而增大。SE、NE风向分别在9~10 m·s-1、7~8 m·s-1风速区间内尾流模型计算风速更符合实际,误差百分比与气压、气温和湿度的相关系数未通过0.05显著性水平检验。总体上,尾流模型风速的误差与气压、气温和湿度具有一定联系,气压、气温的增大及湿度的减小,对应于来流风速的增大,而导致尾流风速计算相对于实际的误差增大。
表3 SW、NW风向尾流模型风速与实测风速误差百分比和对应气象要素值

Tab. 3 Error percentages between wake model and measured wind speeds and corresponding meteorological factor values for the SW and NW wind directions

风速/m·s-1 SW风向 NW风向
误差/% 气压/kPa 气温/℃ 湿度/% 误差/% 气压/kPa 气温/℃ 湿度/%
4 5.27 99.41 2.81 44.88 6.07 99.64 10.34 31.94
5 5.43 99.35 1.33 45.12 2.68 99.58 8.55 34.36
6 10.06 99.28 -1.54 45.65 1.58 99.52 6.50 39.90
7 8.52 99.30 -0.37 43.95 1.72 99.52 6.46 38.85
8 8.49 99.33 0.53 44.49 1.69 99.55 7.54 36.00
9 10.22 99.34 1.38 44.00 1.07 99.56 7.74 34.46
10 9.76 99.39 3.17 42.54 0.46 99.56 8.32 34.21
11 10.50 99.35 2.08 41.59 1.90 99.45 4.47 36.72
12 11.25 99.36 2.37 42.26 0.96 99.46 5.46 34.54
13 11.18 99.43 4.92 38.08 1.57 99.49 6.35 32.60
14 10.39 99.40 4.01 37.16 1.79 99.54 8.17 30.45
15 9.62 99.37 3.13 38.09 0.96 99.39 2.68 32.57
16 10.76 99.40 4.30 36.98 1.19 99.38 2.79 32.26
表4 SE、NE风向尾流模型风速与实测风速误差百分比和对应气象要素值

Tab. 4 Error percentages between wake model and measured wind speeds and corresponding meteorological factor values for SE and NE wind directions

风速/m·s-1 SE风向 NE风向
误差/% 气压/kPa 气温/℃ 湿度/% 误差/% 气压/kPa 气温/℃ 湿度/%
4 1.36 99.52 7.39 43.87 2.18 99.54 7.20 39.98
5 6.77 99.55 8.63 44.09 0.89 99.54 7.47 42.00
6 5.23 99.61 10.28 43.07 2.06 99.51 6.59 41.93
7 4.88 99.64 12.17 41.67 0.45 99.55 8.32 42.54
8 2.35 99.71 14.48 41.32 0.37 98.43 9.49 64.79
9 1.73 99.70 14.62 37.58 2.11 99.48 5.70 42.95
10 1.63 99.66 13.49 36.29 0.93 99.60 9.44 37.76
11 4.64 99.64 12.66 42.96 2.14 99.64 10.99 41.75
12 5.94 99.68 13.42 38.74 1.99 99.62 10.24 57.62
气温、气压、湿度、风作为基本气象要素关系密切,与其关联的气象因子也会影响风电场尾流。受气压、气温和湿度影响的大气稳定度也存在日变化,对尾流强度直接影响,一是表现在对风力机入流特征的改变,对流边界层内湍流尺度和强度均会增加,稳定边界层内则相反;二是对尾流演化过程的改变,尾流恢复与大气稳定度有明显相关,大气越不稳定,增加尾流区湍流输送,尾流恢复速度越快[29-30]。此外,受气温影响的地面温度会影响风场,在平坦地形、低风速情况下地表温度对流场有影响,其余情况则可以忽略此影响[31]。因此,复杂大气环境下的尾流模型仍需考虑更多因子去提高计算精度。

3 讨论

基于气象对于电力领域的影响具有电力全环节、时间全尺度、地域全覆盖的特点,通过建立数学模型、从气象角度对风电场风速尾流损失进行分析对提高发电量预测精度具有重要意义。本文通过分析内蒙古中部地区风电场风速和风向特征,发现研究区域以SW风为主导,发电风速占比较高,风力资源丰富,这与前期关于该地区的研究一致[32]。本文详细分析了各月风向风速、不同风向的风频分布及尾流风速特征,发现对于固定间距排列的风电机组,影响尾流损失的因素主要是不同来向的风速大小以及上游风电机组数量产生的影响。
尾流风速也会受到其他气象因子的影响,在日尺度上,气压、气温与风速有正相关性,湿度与风速存在负相关性,因此来流风速受到气象条件的影响时,尾流模型风速与实测风速的误差与气压、气温和湿度也有关联,误差会随湿度增加而减小,随气压、气温增加而增大,偏西风向下这种关系更为明显。基于风电场目前的观测条件,本文着重分析了气压、气温、湿度3个气象因子对应的尾流风速计算误差,而气温、湿度和气压的垂直分布是决定大气稳定度的因素,已有研究探讨大气稳定度对尾流演化的影响,认为大气稳定度影响大气边界层的流动特征,改变了湍流脉动的尺度和强度,发现大气越稳定,尾流恢复越慢,越不稳定反而恢复更快[30]。此外,地表与空气的温差对风场也有一定影响。因此,在测风塔多层高度气象要素具备的情况下,今后的研究将考虑大气稳定度、地面温度等对于尾流演化的影响机理,进而提高尾流模型计算精度。

4 结论

(1) 风电场H主导风向为SW风,高频风向年内变化由偏西向偏南转变,月内风向集中且风速差较小。NW、SW、SE和NE风向平均风速分别为8.1 m·s-1、8.2 m·s-1、5.6 m·s-1和4.8 m·s-1,说明主导风向下平均风速最大。各风向下风速分布均相对集中且频率曲线呈现单峰型,为正偏态分布。NW、SW风向风速在低风速段的出现频率要小于其他2个风向。
(2) 根据Jensen尾流模型,NW、SW、SE和NE风向受尾流影响最大的风电机组风速损失率超过10%,其中NW、SE风向超过50%风电机组受尾流影响。风向由南向西偏转时受影响风电机组数量有增加趋势,影响数量从180°风向开始呈现“少-多”循环特征,风速损失集中分布在风电场NE向靠后位置,偏西风向风速减小更明显。
(3) SW风向在4~5 m·s-1风速区间内尾流模型计算效果相对好于其他风速段,风速平均绝对百分比误差与相对湿度呈负相关。NW风向在9~10 m·s-1风速区间内尾流模型计算效果较好,误差与气压和气温都呈正相关。SE、NE风向分别在9~10 m·s-1、7~8 m·s-1风速区间内尾流模型计算风速更符合实际。
[1]
张立栋, 石强, 姜铁骝, 等. 不同强度湍流风对风力机气动载荷的影响[J]. 分布式能源, 2023, 8(5): 61-68.

[Zhang Lidong, Shi Qiang, Jiang Tieliu, et al. Influence of turbulent wind of different intensity on aerodynamic load of wind turbine[J]. Distributed Energy, 2023, 8(5): 61-68. ]

[2]
樊振兴, 张云飞, 程更建, 等. 测风激光雷达在智慧风电场的应用进展[J]. 物联网技术, 2024, 14(5): 151-155.

[Fan Zhenxing, Zhang Yunfei, Cheng Gengjian, et al. Progress in the application of wind measurement lidar in smart wind farms[J]. Internet of Things Technologies, 2024, 14(5): 151-155. ]

[3]
沈铖波. 基于半经验尾流模型的风机布置优化研究[D]. 杭州: 浙江大学, 2022.

[Shen Chengbo. Research on wind turbine layout optimization based on semi-empirical wake model[D]. Hangzhou: Zhejiang University, 2022. ]

[4]
张晓东, 张梦雨, 白鹤. 基于高斯分布的风电场尾流效应计算模型[J]. 华北电力大学学报, 2017, 44(5): 99-103.

[Zhang Xiaodong, Zhang Mengyu, Bai He. Wind farm wake effect calculation model based on Gaussian distribution[J]. Journal of North China Electric Power University, 2017, 44(5): 99-103. ]

[5]
田琳琳. 风力机尾流数值模拟及风电场机组布局优化研究[D]. 南京: 南京航空航天大学, 2014.

[Tian Linlin. Numerical simulation of wind turbine wakes and the study of wind farm layout optimization[D]. Nanjing: Nanjing University of Aeronautics and Astronautics, 2014. ]

[6]
刘晴晴. 基于尾流效应的风电场三维微观选址研究[D]. 天津: 河北工业大学, 2018.

[Liu Qingqing. Research on three dimensional site selection of wind farm based on wake effect[D]. Tianjin: Hebei University of Technology, 2018. ]

[7]
李胜, 葛文澎, 吴嘉诚, 等. 风力机组尾流模型适用性评价[J]. 南方能源建设, 2024, 11(1): 42-53.

[Li Sheng, Ge Wenpeng, Wu Jiacheng, et al. Applicability evaluation of wind turbine wake models[J]. Southern Energy Construction, 2024, 11(1): 42-53. ]

[8]
Barthelmie R J, Frandsen S T, Nielsen M N, et al. Modelling and measurements of power losses and turbulence intensity in wind turbine wakes at Middelgrunden offshore wind farm[J]. Wind Energy: An International Journal for Progress and Applications in Wind Power Conversion Technology, 2007, 10(6): 517-528.

[9]
Archer C L, Vasel-Be-Hagh A, Yan C, et al. Review and evaluation of wake loss models for wind energy applications[J]. Applied Energy, 2018, 226: 1187-1207.

[10]
刘南南, 关中杰. Gaussian与GA风电场尾流软测量建模与优化[J]. 中国测试, 2023, 49(6): 107-113.

[Liu Nannan, Guan Zhongjie. Modeling and optimization of wind farm wake soft sensing based on Gaussian and GA[J]. China Measurement & Test, 2023, 49(6): 107-113. ]

[11]
袁飞, 夏德喜, 汪正军. 基于SCADA数据的风电机组群尾流效应计算与验证研究[J]. 智慧电力, 2023, 51(7): 23-30.

[Yuan Fei, Xia Dexi, Wang Zhengjun. Calculation and verification of wake effect on wind turbine based on SCADA data[J]. Smart Power, 2023, 51(7): 23-30. ]

[12]
樊小朝, 陈景, 史瑞静, 等. 考虑尾流效应与载荷损耗的风电场优化控制[J]. 水力发电, 2021, 47(10): 89-94, 99.

[Fan Xiaochao, Chen Jing, Shi Ruijing, et al. Optimal control of wind farm considering wake effect and load loss[J]. Water Power, 2021, 47(10): 89-94, 99. ]

[13]
Barthelmie R J, Larsen G C, Frandsen S T, et al. Comparison of wake model simulations with offshore wind turbine wake profiles measured by sodar[J]. Journal of Atmospheric and Oceanic Technology, 2006, 23(7): 888-901.

[14]
张镇, 张晓东. 基于半经验公式的风力机尾流模型研究[J]. 现代电力, 2012, 29(2): 64-67.

[Zhang Zhen, Zhang Xiaodong. Research on the wake model of wind turbine based on semi-empirical formula[J]. Modern Electric Power, 2012, 29(2): 64-67. ]

[15]
李啸吟. 风电机组尾流影响和风电场功率提升研究[D]. 沈阳: 沈阳工业大学, 2022.

[Li Xiaoyin. Research on influence of wind turbine wake and wind farm power improvement[D]. Shenyang: Shenyang University of Technology, 2022. ]

[16]
朱洁, 匡婵, 赵宜婵. 基于Jensen和Gaussian尾流模型的风电场布局优化的比较[J]. 河南科学, 2021, 39(3): 345-352.

[Zhu Jie, Kuang Chan, Zhao Yichan. Comparison of wind farm layout optimizations based on Jensen and Gaussian wake models[J]. Henan Science, 2021, 39(3): 345-352. ]

[17]
苏中莹, 袁金库, 李诗峰. 风电场风速分布对机组发电量影响的研究[J]. 数码设计, 2017, 6(7): 102-104.

[Su Zhongying, Yuan Jinku, Li Shifeng. Study on the influence of wind speed distribution on the generating capacity of the unit[J]. Peak Data Science, 2017, 6(7): 102-104. ]

[18]
杨富程, 韩二红, 王彬滨, 等. 风电场风速概率Weibull分布的参数估计研究[J]. 江西科学, 2019, 37(2): 264-269, 299.

[Yang Fucheng, Han Erhong, Wang Binbin, et al. Estimation algorithm on the Weibull probabilistic distribution parameters of wind speed in wind farms[J]. Jiangxi Science, 2019, 37(2): 264-269, 299. ]

[19]
黄小佳. 基于机器学习的风能资源评估与风速预测的模型构建及研究[D]. 大连: 东北财经大学, 2021.

[Huang Xiaojia. Model construction and research of wind energy resource assessment and wind speed prediction based on machine learning[D]. Dalian: Dongbei University of Fiance & Economics, 2021. ]

[20]
黄武枫. 风电场风速概率分布及其拟合模型研究[D]. 南宁: 广西大学, 2021.

[Huang Wufeng. Research on probability distribution of wind speed in wind farm and its fitting models[D]. Nanning: Guangxi University, 2021. ]

[21]
牛怡莹, 李春兰, 王军, 等. 内蒙古ERA5再分析降水数据性能评估与极端降水时空特征分析[J]. 干旱区地理, 2023, 46(9): 1418-1431.

DOI

[Niu Yiying, Li Chunlan, Wang Jun, et al. Performance evaluation of ERA5 reanalysis precipitation data and spatiotemporal characteristics of extreme precipitation in Inner Mongolia[J]. Arid Land Geography, 2023, 46(9): 1418-1431. ]

DOI

[22]
肖东升, 王宁, 刘志成. 干旱地区“代表性人口格网数据集”精度研究——以甘宁青地区为例[J]. 干旱区地理, 2023, 46(3): 505-514.

DOI

[Xiao Dongsheng, Wang Ning, Liu Zhicheng. Accuracy of “representative population grid dataset” in arid areas: A case of Gansu-Ningxia-Qinghai region[J]. Arid Land Geography, 2023, 46(3): 505-514. ]

DOI

[23]
徐栋, 白雪峰, 孙静. 乌兰察布风电基地风能资源特征分析[J]. 西北水电, 2022(1): 87-89.

[Xu Dong, Bai Xuefeng, Sun Jing. Analysis on the characteristics of wind energy resources in Ulanqab wind power base[J]. Northwest Hydropower, 2022(1): 87-89. ]

[24]
石岚, 徐丽娜, 郝玉珠. 基于风速高相关分区的风电场风速预报订正[J]. 应用气象学报, 2016, 27(4): 506-512.

[Shi Lan, Xu Lina, Hao Yuzhu. The correction of forecast wind speed in a wind farm based on partitioning of the high correlation of wind speed[J]. Journal of Applied Meteorological Science, 2016, 27(4): 506-512. ]

[25]
章永辉, 楼俊伟, 张鑫, 等. 金华市风能资源分析[J]. 沙漠与绿洲气象, 2023, 17(2): 98-105.

[Zhang Yonghui, Lou Junwei, Zhang Xin, et al. Analysis of wind energy resource in Jinhua City[J]. Desert and Oasis Meteorology, 2023, 17(2): 98-105. ]

[26]
陈小婷, 李培荣, 冯典, 等. 陕西省风的时空分布及ERA5风资料检验评估[J]. 陕西气象, 2023(3): 23-30.

[Chen Xiaoting, Li Peirong, Feng Dian, et al. Spatial and temporal distribution of winds in Shaanxi Province and assessment of ERA5 wind data test[J]. Journal of Shaanxi Meteorology, 2023(3): 23-30. ]

[27]
王淼, 曾利华. 风速频率分布模型的研究[J]. 水力发电学报, 2011, 30(6): 204-209.

[Wang Miao, Zeng Lihua. Study of wind speed frequency distribution model[J]. Journal of Hydroelectric Engineering, 2011, 30(6): 204-209. ]

[28]
梁浩. 风电场风机尾流效应的分析与应用[D]. 成都: 电子科技大学, 2017.

[Liang Hao. The analysis and application of wind turbine wake effect[D]. Chengdu: University of Electronic Science and Technology of China, 2017. ]

[29]
杜博文. 大气稳定度对风力机尾流演化的影响机理研究[D]. 北京: 华北电力大学, 2022.

[Du Bowen. Research on the influence mechanism of atmospheric stability on the wind-turbine wakes[D]. Beijing: North China Electric Power University, 2022. ]

[30]
高晓清, 陈伯龙, 杨丽薇, 等. 大气湍流稳定度对风力机尾流影响的模拟研究[J]. 太阳能学报, 2020, 41(4): 145-152.

[Gao Xiaoqing, Chen Bolong, Yang Liwei, et al. Simulations study of impact of atmospheric turbulence stability on turbine wake[J]. Acta Energiae Solaris Sinica, 2020, 41(4): 145-152. ]

[31]
何仲阳, 宋梦譞, 张兴. 地表温度对风场模拟的影响[J]. 化工学报, 2012, 63(增刊1): 7-11.

[He Zhongyang, Song Mengxuan, Zhang Xing. Influence of terrain surface temperature on wind farm simulation[J]. CIESC Journal, 2012, 63(Suppl. 1): 7-11. ]

[32]
陆艳艳, 袁建平, 张磊, 等. 1979—2019年内蒙古发电风速变化趋势分析[J]. 科技风, 2021(20): 193-196.

[Lu Yanyan, Yuan Jianping, Zhang Lei, et al. Trend analysis of wind speed change for power generation in Inner Mongolia from 1979 to 2019[J]. Technological Trend, 2021(20): 193-196. ]

文章导航

/