生物与环境

2001—2021年内蒙古荒漠草原水分利用效率时空变化特征及影响因素研究

  • 利辉 , 1 ,
  • 刘铁军 , 2, 3 ,
  • 王少慧 1 ,
  • 刘东伟 1
展开
  • 1.内蒙古大学生态与环境学院,内蒙古 呼和浩特 010021
  • 2.水利部牧区水利科学研究所,内蒙古 呼和浩特 010020
  • 3.内蒙古阴山北麓草原生态水文野外科学观测研究站,内蒙古 呼和浩特 010020
刘铁军(1979-),男,博士,正高级工程师,主要从事生态水文学及伴生过程研究. E-mail:

利辉(1997-),男,硕士研究生,主要从事草原生态研究. E-mail:

收稿日期: 2023-07-27

  修回日期: 2023-10-11

  网络出版日期: 2026-03-11

基金资助

内蒙古自治区自然科学基金(2021ZD12)

中央引导地方科技发展基金(2022ZY0153)

Spatial and temporal variation of water use efficiency and its influencing factors in desert steppe of Inner Mongolia from 2001 to 2021

  • Hui LI , 1 ,
  • Tiejun LIU , 2, 3 ,
  • Shaohui WANG 1 ,
  • Dongwei LIU 1
Expand
  • 1. School of Ecology and Environment, Inner Mongolia University, Hohhot 010021, Inner Mongolia, China
  • 2. Institute of Water Resources in Pastoral Areas, Ministry of Water Resources, Hohhot 010020, Inner Mongolia, China
  • 3. Field Scientific Observation and Research Station of Grassland Ecology and Hydrology at the North Foot of Yinshan Mountain, Inner Mongolia, Hohhot 010020, Inner Mongolia, China

Received date: 2023-07-27

  Revised date: 2023-10-11

  Online published: 2026-03-11

摘要

水分利用效率(Water use efficiency,WUE)是表征水碳过程的重要指标,对研究生态脆弱区水碳耦合规律及其响应因素具有重要意义。基于总初级生产力(GPP)、蒸散发(ET)、气温、降水量和土壤水分系统分析了2001—2021年内蒙古荒漠草原WUE的时空变化特征,讨论了影响WUE变化的因素。结果表明:(1) 内蒙古荒漠草原2001—2021年WUE平均值0.877 g C·mm-1·m-2,空间变化范围在0.35~2.42 g C·mm-1·m-2。(2) 预测其未来变化趋势发生转变的区域占比较大(约占69.00%),这些区域WUE未来变化趋势容易逆转。(3) 空间上超过60.00%研究区的WUE与降水量、ET、土壤水分呈现正相关,其中降水量与WUE正相关最为明显(正相关区域占比约91.00%,通过显著性检验P<0.05区域占比约30.00%)。(4) WUE与气温总体呈现负相关,负相关区域占比超过60.00%。(5) 气候变化在内蒙古荒漠草原WUE变化中起主要作用。内蒙古荒漠草原WUE受多种因素影响,研究结果可为气候变化背景下荒漠草原地区WUE研究提供参考。

本文引用格式

利辉 , 刘铁军 , 王少慧 , 刘东伟 . 2001—2021年内蒙古荒漠草原水分利用效率时空变化特征及影响因素研究[J]. 干旱区地理, 2024 , 47(6) : 993 -1003 . DOI: 10.12118/j.issn.1000-6060.2023.388

Abstract

Water use efficiency (WUE) is an important indicator for characterizing water-carbon processes, and it has significant implications for studying the laws of water-carbon coupling and their response factors in ecologically fragile areas. Based on total primary productivity (GPP), evapotranspiration (ET), temperature, precipitation, and soil moisture, the spatial and temporal change characteristics of WUE in Inner Mongolia desert steppe from 2001 to 2021 were systematically analyzed, and the factors affecting WUE changes were discussed. The results show that: (1) The average value of WUE in Inner Mongolia desert steppe from 2001 to 2021 was 0.877 g C·mm-1·m-2, with a spatial variation range of 0.35-2.42 g C·mm-1·m-2. (2) The area where the future trend of WUE is expected to change accounted for a relatively large proportion (about 69.00%), and these regions are more likely to reverse the trend of WUE in the future. (3) More than 60.00% of the study areas showed a positive correlation between WUE and precipitation, ET, and soil moisture, of which the correlation between precipitation and WUE was the most obvious (the positive correlation area accounted for about 91.00%, and the area through the significant test P<0.05 accounted for about 30.00%). (4) WUE was generally negatively correlated with temperature, with the negative correlation area accounting for more than 60.00%. (5) Climate change plays a major role in the change of WUE in Inner Mongolia desert steppe. WUE in Inner Mongolia desert steppe is affected by multiple factors, and the research results can provide reference for the study of WUE in desert grassland areas under climate change.

水分利用效率(Water use efficiency,WUE)通常指作物蒸散消耗单位质量水所制造的干物质量,是研究生态系统碳水循环及耦合的重要指标,是研究生态系统固碳能力、水资源利用情况、生态系统对气候响应机制的重要部分,是碳中和背景下的研究热点[1]。在全球变化与人类活动影响下,生态脆弱区较其他地区出现了明显的生态退化、水资源短缺和环境承载力衰退等问题,对当地生态和经济社会发展产生了严重影响[2]。相关研究发现,WUE受到气温、海拔及降水量等因素的综合影响[3]。聚焦生态脆弱地区WUE的时空分布变化和影响因素的研究,有助于揭示陆地生态系统对气候变化的响应机制,同时也在一定程度上反应植物固碳过程中的耗水程度和抗旱能力,这对旱区生态保护和修复有重要参考价值[4]
国内外学者对不同尺度下WUE时空变化特征进行了大量研究[5]。在叶片或个体尺度上常用气体交换法和稳定碳同位素法,其数值只能代表个体植物某个或特定时间区间的情况,受到个体和微环境干扰较大,难以从长时间反映整体和环境相互影响的情况;在站点尺度上较多的运于传统的仪器法或涡度相关观测法,能够更精准反应小范围的WUE,但是需要大量工作;涡度相关法受制于设备安装架设,只能反映生态系统某个点的情况;在区域尺度上通常采用遥感观测和模型模拟方法,能长时间连续对更大范围生态系统进行观测,可探究不同生态系统和全球气候变化下WUE的时空分布和变化特征,但是遥感观测受制于数据时间序列较短、模型参数选择困难等问题[6-9]
荒漠草原是内蒙古主要的草原类型之一,分布在半干旱及干旱地带,总面积约为1.44×105 km2,是一种年内温差大、降水量少、蒸发大、土壤肥力差的草原类型,也是草原向荒漠过渡的一类脆弱的草原生态系统,对人类活动和气候变化极为敏感[10]。虽然对WUE的研究起步较早,但是针对内蒙古荒漠草原的WUE研究相对较少,尤其是缺乏长时间、大范围、多尺度的研究。本研究采用遥感数据对2001—2021年内蒙古荒漠草原WUE的时间变化趋势和空间分布特征以及影响因素进行分析,在此基础上进一步探讨气候变化和人类活动对WUE的影响。研究结果可为旱区生态保护和恢复提供参考。

1 研究区概况

根据全国草地资源类型分布图和内蒙古自治区资源系列地图(草场类型图)确定研究区域(图1a),其东西横跨105°6′~114°9′E,南北纵跨45°3′~37°9′N,区域面积约为1.44×105 km2,地势南高北低,属于温带大陆性气候,夏季高温多雨,冬季寒冷干燥。研究区海拔介于894~3531 m(图1b),平均海拔1254.7 m;2001—2021年平均降水量216.1 mm,区域年均降水量115.7~352.6 mm,区域年均气温-2.4~10.2 ℃,ET年均值约为204 mm;植被覆盖度低,季节性变化明显,常见的植物有冰草(Agropyron cristatum)、针茅(Stipa capillata)、无芒隐子草(Cleistogenes songorica)等。
图1 研究区示意图

注:该图基于国家测绘地理信息局标准地图服务网站下载的审图号为GS(2019)3333号的标准地图制作,底图边界无修改。

Fig. 1 Schematic diagram of the research area

2 数据与方法

2.1 WUE计算与趋势分析

WUE在区域尺度上通常被定义为总初级生产力(GPP)与蒸散发(ET)的比值,本研究使用的GPP与ET数据来源于美国航空航天局(http://modis.gsfc.nasa.gov/data)发布的MODIS产品中的MOD17A2H和MOD16A3,时间序列长度为2001—2021年,时空分辨率均为500 m·(8d)-1,WUE计算公式如下:
W U E = G P P E T
式中:WUE为生态系统水分利用效率(g C·mm-1·m-2);GPP为生态系统总初级生产力(g C·m-2);ET为生态系统的蒸散发(mm)。
为了定量分析内蒙古荒漠草原水分利用效率的时空变化趋势,使用一元线性回归方法进行计算,结果的显著性通过F检验法表征,计算公式如下:
S l o p e = n × i = 1 n i × X i - i = 1 n i i = 1 n X i n × j = 1 n i 2 - i = 1 n i 2
式中: S l o p e为回归斜率; n为研究时间段长度; X i为第 i年WUE的值。结合显著性P值,划分为4种变化趋势:显著上升(Slope>0,P<0.05),不显著上升(Slope>0,P>0.05),显著下降(Slope<0,P<0.05),不显著下降(Slope<0,P>0.05)。
本研究采用Hurst指数分析内蒙古荒漠草原WUE的未来变化趋势特征,该方法是判断时间序列数据是否遵从一致性或延续性的分析方法,广泛用于多领域研究[11],计算公式如下:
ξ τ = 1 τ t = 1 τ ξ t                                                           τ = 1 ,   2 ,   ,   21 X t , τ = u = 1 τ ξ u - ξ τ                                         1 t τ           R τ = X t , τ m a x - X t , τ m i n                   τ = 1 ,   2 ,   ,   21   S τ = 1 τ t = 1 τ ξ t - ξ τ 2                   τ = 1 ,   2 ,   ,   21
式中: ξ τ为前 τ ξ t数据的均值; τ为数据的顺序表; X t , τ为积累离差;R为极差;S为标准差; ξ t为时间序列。定义 R / S [ R ( τ ) / S τ ],若 R / S τ H,则说明分析的时间序列存在赫斯特现象,H值称为赫斯特指数(Hurst)[11]。若H>0.5,序列具有长期性,未来的变化和过去的变化有相关性,继续保持现有趋势的可能性强;若H<0.5,时间序列很有可能是趋势的转弱、结束或趋势反转的开始;若H=0.5,时间序列变量为随机序列。
采用变异系数 C v 反映空间数据在时间序列上变化的差异程度,可以评价WUE数据时间序列的稳定性,计算公式如下:
C v = S W U E A W U E
式中: S W U E为研究区域WUE年均值的标准差; A W U E为研究区多年WUE均值。根据变异系数大小将数据划分为5个波动等级:低波动( C v < 0.05),相对低波动(0.05≤ C v   < 0.10),中等波动(0.10≤ C v < 0.15),相对高波动(0.15≤ C v   < 0.20),高波动( 0.20 C v)。

2.2 WUE影响因素分析

土壤水分数据为SMAP(Soil moisture active passive)地球观测卫星表层5 cm四级土壤水分的数据产品SPL4SMGP,来源美国国家冰雪数据中心(https://nsidc.org/data/explore-data),因受制于卫星发射时间,研究数据时间序列长度选择2016—2021年,时空分辨率为9 km·(3h)-1。土壤水分年际变化较小,但空间分布差异较大,该时间序列选择的长度可满足空间相关性分析需求。
气温数据为中国1 km分辨率逐月平均气温数据集[12],降水量数据为中国1 km分辨率逐月降水量数据集[13]。选取的数据时间序列长度为2001—2021年,来源于国家青藏高原科学数据中心(https://doi.org/10.11888/Meteoro.tpdc.270961),数据空间分辨率均为1 km。
采用Pearson相关计算WUE与气温、降水量、土壤水分和ET的相关性,计算公式如下:
r = i = 1 n R i - R - S i - S - i = 1 n R i - R - 2 i = 1 n S i - S - 2
式中:RS分别为不同的2个变量; R i S i为第 i年的值; R - S -为多年平均值,空间相关性利用MATLAB从像元尺度上逐像元计算并进行显著性检验。
本研究采用残差分析法计算人为因素和气候变化对内蒙古荒漠草原WUE变化的影响,计算公式如下:
W U E c a = a × P + b × T + c
W U E r e = W U E o b - W U E c a
式中: W U E c a为基于回归模型的预测值;abc分别为模型参数,采用MATLAB逐像元确定参数进行数组计算,再将栅格数据逐像元进行时序预测;TP分别指年平均气温(℃)和年降水量(mm); W U E o b为观测值; W U E c a为预测值; W U E r e为残差。

3 结果与分析

3.1 WUE时空分布及变化特征

2001—2021年内蒙古荒漠草原WUE多年平均值为0.877 g C·mm-1·m-2图2a),空间分布差异较大,WUE的高值区主要分布于西北部及南部(包括乌兰察布的商都县附近、贺兰山周边及锡林郭勒盟北部),同时受人类活动和气候变化的影响,WUE变化波动较大,中等波动区域占比73.56%(图2b),变化波动较小的区域主要集中在阴山山脉西部,贺兰山部分区域,化德东部。
图2 2001—2021年内蒙古荒漠草原WUE变化趋势的空间分布

注:WUE为水分利用效率。下同。

Fig. 2 Spatial distribution of WUE variation trends of desert grasslands in Inner Mongolia from 2001 to 2021

从空间格局看,WUE增加的区域占比63.37%(图2c),通过显著性检验(P<0.05)的区域仅占10.66%(图2d),主要分布在研究区域西部区域;36.63%的地区WUE呈现下降,通过显著性检验(P<0.05)的占比为3.96%,主要分布在锡林郭勒盟和乌兰察布。WUE整体变化趋势呈现出西增东降的分布格局,其中乌拉特中旗、乌拉特后旗、杭锦旗等地WUE增速较快。
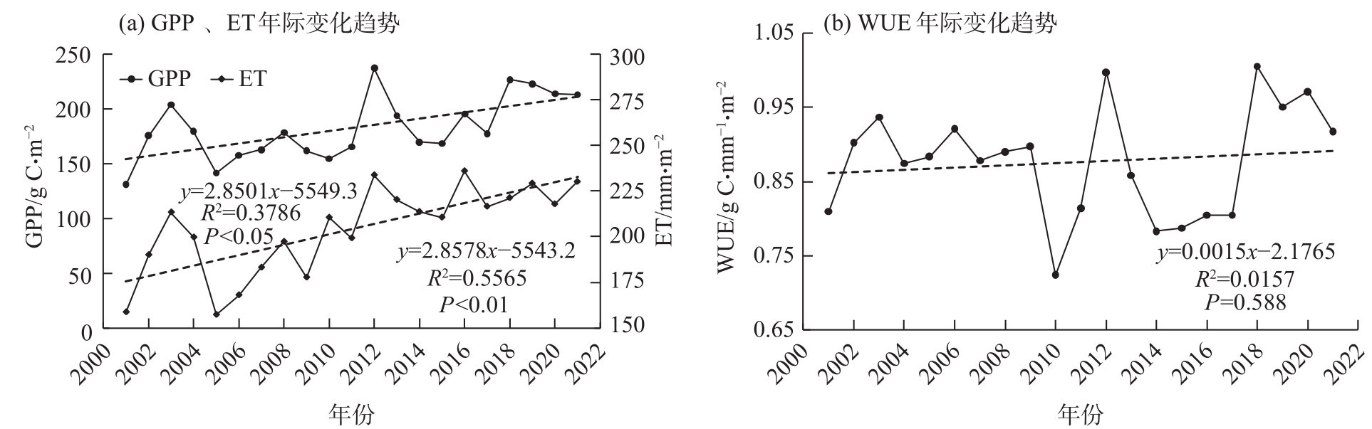
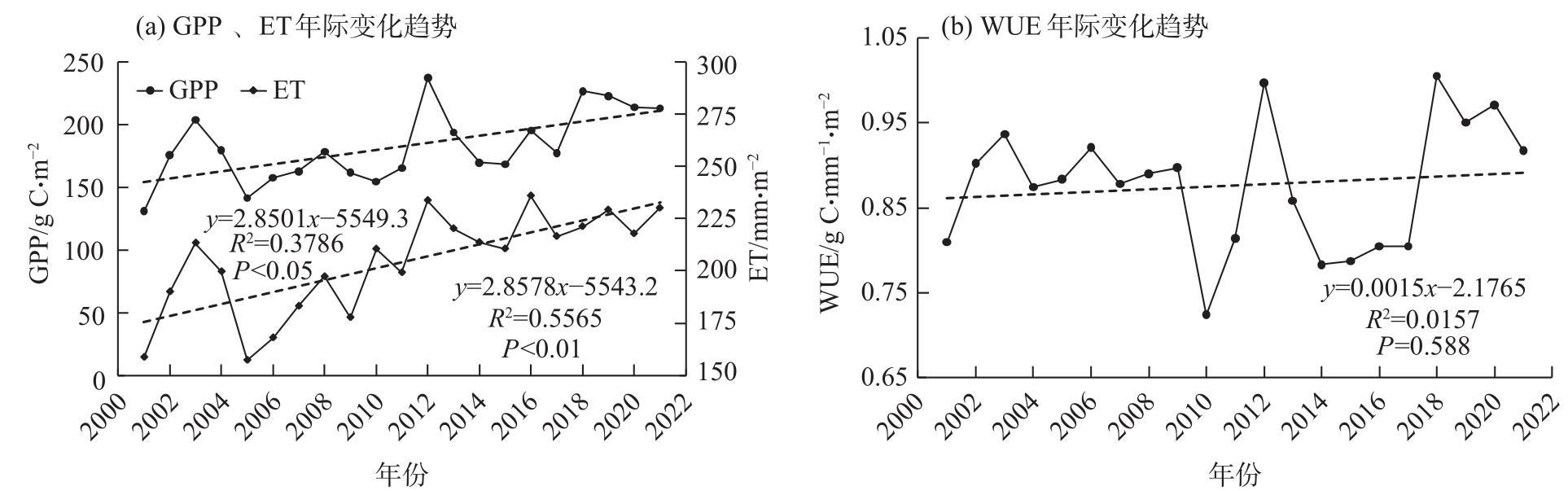
ET与GPP都存在明显上升趋势(图3a),GPP年增速为2.85 g C·m-2P<0.05),ET年增速为2.86 mm·m-2P<0.01),两者变化速率接近。从年际变化看内蒙古荒漠草原生态系统WUE存在每年0.0015 g C·mm-1·m-2的上升趋势(图3b),但趋势不显著(P>0.05)。
图3 2001—2021年GPP、ET、WUE年际变化

注:GPP为总初级生产力;ET为蒸散发。下同。

Fig. 3 Inter annual changes in GPP, ET, and WUE from 2001 to 2021

内蒙古荒漠草原Hurst指数范围介于0.17~0.99,其中Hurst指数大于0.5的面积占研究区域总面积30.98%(图4a),这些区域WUE未来变化趋势与当前保持一致的可能性很高(图4b);而Hurst指数小于0.5的占比约69.02%,这些区域WUE未来的变化趋势发生改变的可能性很大。
图4 WUE未来变化趋势的预测

Fig. 4 Prediction of future trends in WUE

3.2 气象及水文因子对WUE的影响

3.2.1 气温对WUE的影响

WUE与气温年际变化相关性r=-0.147(P>0.05)。从空间分布来看,呈现负相关的区域占比65.64%(图5a),通过显著性检验的区域占比3.91%(图5b)。负相关区域主要分布在东部的锡林郭勒盟和乌兰察布市。WUE与气温的相关性在空间分布上呈现出西部正相关为主,东部负相关为主。这种分布特点与荒漠草原年均气温的分布情况有着高度的相似性。
图5 WUE与气温的相关性

Fig. 5 Correlation between WUE and temperature

3.2.2 降水量对WUE的影响

WUE与降水量年际变化相关性r=0.11(P>0.05)。从空间分布来看,WUE与降水量正相关的区域占比91.12%(图6a),通过显著性检验的区域占比30.61%(图6b)。负相关区域主要分布在锡林郭勒盟北部及内蒙古荒漠草原西部。降水量的增加对于荒漠草原WUE的提升有着积极的作用,在大范围区域上降水量对GPP的提升程度大于对ET的提升程度。
图6 WUE与降水量的相关性

Fig. 6 Correlation between WUE and precipitation

3.2.3 土壤水分对WUE的影响

WUE与土壤水分年际变化的相关系数为r=0.374(P>0.05)。从空间分布来看,呈现正相关的区域占比70.90%(图7a),通过显著性检验的区域占比4.22%(图7b),负相关区域主要分布在锡林郭勒盟西北部和巴彦淖尔市中部。
图7 WUE与土壤水分的相关性

Fig. 7 Correlation between WUE and soil moisture

3.2.4 ET对WUE的影响

WUE与ET的年际均值变化相关性为r=0.14(P>0.05)。从空间分布来看,WUE与ET正相关的区域占比67.19%(图8a),其中通过显著性检验的区域占比13.21%(图8b),负相关区域主要分布在巴彦淖尔市中部。在空间分布上,ET的增加对WUE主要起到促进作用。
图8 WUE与ET的相关性

Fig. 8 Correlation between WUE and ET

3.3 气候因子和人类活动对WUE的影响

从年际变化来看,残差为负值的年份占比约为42.86%,而预测值年变化均为正值。气候变化对WUE升高的贡献率总体超过90.00%(图9a),部分年份气候变化对WUE升高的贡献率为100.00%,同时期人类活动起抑制作用。内蒙古荒漠草原WUE变化受气候变化和人类活动的双重影响:气候变化是荒漠草原WUE变化的主要因素,人类活动影响为次要因素;人类活动对内蒙古荒漠草原WUE起到抑制作用的年份占比42.00%。
图9 人类活动与气候变化对WUE的影响

Fig. 9 Impact of human activities and climate change on WUE

从空间分布来看,研究区残差变化趋势范围在-0.06~0.04 g C·mm-1·m-2,研究区域残差变化趋势分布呈现明显的东西分布格局:西部地区以正值为主,东部地区以负值为主。在锡林郭勒盟西部,残差值有所下降;在巴彦淖尔市中部阴山山脉周边,鄂尔多斯市中部残差值有所上升,这些地区人类活动对WUE变化的影响程度加剧。内蒙古荒漠草原WUE对人类活动和气候变化的响应有很大的空间异质性。从空间分布看,研究区内人类活动对荒漠草原WUE影响呈现出西部区域促进为主,东部区域抑制为主(图9b);气候变化对研究区荒漠草原的WUE升高主要是促进作用(87.35%)。在锡林郭勒盟西北部,人类活动和气候变化共同对荒漠草原WUE起到抑制作用。

4 讨论

4.1 内蒙古荒漠草原WUE时空分布与变化特征

本研究采用MODIS数据计算了2001—2021年内蒙古荒漠草原WUE,结果显示研究区WUE均值为0.877 g C·mm-1·m-2,这与相关学者在研究陆地生物圈WUE中估算的干旱生态系统WUE结果相符合[14]。研究区WUE空间分布特征也与相关学者在蒙古高原的研究相一致[10]。内蒙古荒漠草原WUE存在明显的空间异质性,尤其是在荒漠草原的中部地区,其WUE明显低于其他干旱半干旱的荒漠草原地区,WUE空间分布与生产力分布趋势较吻合,在荒漠草原生态系统中,植被盖度低的区域地表蒸散发大;生产力高的区域植被盖度通常较高,且对地表蒸散发有一定的抑制作用[5]。WUE空间分布上总体上呈现中等波动,这与脆弱区生态系统抗干扰能力弱,容易受到气候变化影响,会产生较强波动的研究相一致[2]

4.2 气候和水文因子对WUE的相关性分析

已有研究表明,WUE对气温的响应存在阈值效应,过高或过低都会对植被WUE产生不利影响[15]。有研究表明,当气温从-5 ℃上升到0 ℃时,WUE上升幅度较小;当气温从0 ℃上升到20 ℃时,WUE上升幅度明显;当气温超过25 ℃时,WUE随气温升高而下降[16]。同时在不同纬度WUE受气温影响也存在一定规律:在25°~40°N范围内,WUE随气温的增加而增加,而且气温对光合作用的提升大于对ET的提升[17]。研究区生长季平均气温18.2 ℃,昼夜温差较大,部分区域生长季日间气温超过25 ℃。同时区域气温分布差异大,生长季气温由南向北呈现出高低交替的分布格局。这种生长季的气温差异是导致气温与WUE在较大部分区域(65.64%)上呈现负相关的原因之一。随着气温升高,这些区域植被的固碳能力提高程度小于蒸腾速率的增加程度,从而也造成WUE与气温呈现负相关关系。
降水量对WUE的影响也存在阈值效应,不同区域的阈值效应存在着一定差异[15]。在一项针对中国陆地生态系统的研究表明,大部分植被WUE在降水量500 mm内呈现正响应[18]。在针对陕西省植被WUE的研究表明,年降水量小于627 mm时,WUE与降水量呈现出显著正相关(P<0.05)[19]。在中亚五国的WUE研究发现,在降水量匮乏的区域WUE对降水量的敏感性正值区域大于负值区域[20]。内蒙古荒漠草原降水量稀少,年均降水量216.1 mm,远小于相关研究的阈值,研究区域WUE随降水量增加而增加,在空间分布上WUE与降水量呈现出大面积的正相关(91.12%)。
土壤水分亏缺是影响植物光合作用、水分代谢以及物质转运等生理活性、制约植物生产与植被恢复的关键因素[21]。在土壤水分适宜情况下,植物的光合效率最高,土壤水分含量过高和过低都会使得光和效率降低。有学者研究发现当土壤水分含量高于18.18%时,随着土壤水分持续增加,净光合速率降低[22]。不同植被和生态系统对于土壤水分的响应有一定的差异[23]。土壤水分的增加对荒漠草原植被生产力有促进作用,内蒙古荒漠草原表层土壤水分在0.058~0.197 m3·m-3,均值0.123 m3·m-3。从空间分布看,土壤水分总体与WUE呈现正相关,负相关区域集中在一些土质以淡栗钙土和夹沙砾土为主的土壤贫瘠的地区,这些地区气候及土质不利于土壤水分保存,不适宜植物生长。
ET是水文过程和生态过程的纽带,对生态系统稳定十分重要,当蒸腾量在ET中的占比较高时,对WUE提升有着积极影响[24]。内蒙古荒漠草原植被覆盖率低,降水量少,ET值高,蒸散过程中有较多的水分未被利用就通过土壤蒸发被消耗,这也是相较其他生态类型水分利用效率较低的原因。

4.3 气候因子和人类活动对WUE的影响

WUE受气候因子和人为因素的双重影响。根据一项在中国进行的研究表明,近几十年WUE增加区域占比超过70.00%[25]。在另一项研究中表明,气候因素是影响WUE变化的主要原因,对WUE趋势的贡献率约为84.00%,而人类活动的贡献率仅为16.00%[26]。但是,人类活动对WUE的影响通常呈现负相关[27]。本文研究也表明气候变化是影响内蒙古荒漠草原WUE的主要因素,人类活动影响是次要因素,但是气候变化对WUE主要是积极影响,人类活动却有双重影响。其中严格的土地利用政策和有效的生态保护措施对内蒙古荒漠草原WUE变化产生了重要的影响。
气候变化和人类活动往往会导致GPP变化明显,而对ET的变化影响较为有限[27]。荒漠草原是一种缺水的生态系统,气候变暖和湿润促进了荒漠草原GPP的提高,WUE对气候变化主要表现为正反馈。随着人口经济的发展,人类活动极大的影响了土地利用和覆盖情况。植被稀少的西部和北部地区年平均ET较低,但是自2000年起草原面积出现了一定程度减小,草地向耕地转化导致了ET的增加[28]。人类活动会导致ET的增加,ET的增加对WUE呈现降低趋势,因此WUE对人类活动主要表现为负反馈。但是人工植被受到人为调控,其生长环境更加适宜,从而可能导致WUE呈现较高水平[29]

5 结论

(1) 年际WUE变化趋势不显著,但波动较大,这反映出气候变化和人类活动对荒漠草原生态系统具有影响。
(2) 降水量是影响WUE的主要因素,这是因为在荒漠草原环境中,水资源是限制植物生长的主要因素。
(3) 尽管人类活动对WUE的影响较弱,但仍不能忽视。未来的研究需要进一步探讨人类活动,如过度放牧、土地利用率等如何影响荒漠草原的WUE。同时,受制于客观条件影响,下一阶段研究还应该考虑荒漠草原生态系统内部的异质性,例如不同植物种类、土地利用类型等可能对WUE的影响。
[1]
Jaleel C A, Gopi R, Sankar B, et al. Differential responses in water use efficiency in two varieties of Catharanthus roseus under drought stress[J]. Competes Rendus Biologies, 2008, 331(1): 42-47.

[2]
陈世苹, 胡中民. 中国典型生态脆弱区碳水通量过程研究[J]. 植物生态学报, 2022, 46(12): 1433-1436.

DOI

[Chen Shiping, Hu Zhongmin. Ecosystem carbon and water fluxes in ecological vulnerable areas in China[J]. Chinese Journal of Plant Ecology, 2022, 46(12): 1433-1436.]

DOI

[3]
彭大为, 周秋文, 韦小茶, 等. 中国西南岩溶区水分利用效率变化及其对气象要素的响应[J]. 生态学报, 2021, 41(23): 9470-9480.

[Peng Dawei, Zhou Qiuwen, Wei Xiaocha, et al. Change of water use efficiency and its response to meteorological factors in karst area of southwest China[J]. Acta Ecologica Sinica, 2021, 41(23): 9470-9480.]

[4]
冯朝阳, 王鹤松, 孙建新. 中国北方植被水分利用效率的时间变化特征及其影响因子[J]. 植物生态学报, 2018, 42(4): 453-465.

DOI

[Feng Chaoyang, Wang Hesong, Sun Jianxin. Temporal changes of vegetation water use efficiency and its influencing factors in northern China[J]. Chinese Journal of Plant Ecology, 2018, 42(4): 453-465.]

DOI

[5]
王庆伟, 于大炮, 代力民, 等. 全球气候变化下植物水分利用效率研究进展[J]. 应用生态学报, 2010, 21(12): 3255-3265.

[Wang Qingwei, Yu Dapao, Dai Limin, et al. Research progress in water use efficiency of plants under global climate change[J]. Chinese Journal of Applied Ecology, 2010, 21(12): 3255-3265.]

PMID

[6]
周怀林, 周广胜. 玉米叶片水分利用效率的保守性[J]. 生态学报, 2019, 39(6): 2156-2167.

[Zhou Huailin, Zhou Guangsheng. Water conservation in terms of leaf water use efficiency of maize[J]. Acta Ecologica Sinica, 2019, 39(6): 2156-2167.]

[7]
张良侠, 胡中民, 樊江文, 等. 区域尺度生态系统水分利用效率的时空变异特征研究进展[J]. 地球科学进展, 2014, 29(6): 691-699.

DOI

[Zhang Liangxia, Hu Zhongmin, Fan Jiangwen, et al. Advances in the spatiotemporal dynamics in ecosystem water use efficiency at regional scale[J]. Advances in Earth Science, 2014, 29(6): 691-699.]

DOI

[8]
黄卓, 曹银轩, 徐喜娟, 等. 基于多源GPP和ET产品的秦岭生态系统水分利用效率研究[J]. 水土保持学报, 2022, 36(5): 181-194.

[Huang Zhuo, Cao Yinxuan, Xu Xijuan, et al. Study on the ecosystem water use efficiency of the Qinling Mountains with multi-source GPP and ET products[J]. Journal of Soil and Water Conservation, 2022, 36(5): 181-194.]

[9]
底阳平, 曾辉, 张扬建, 等. 多尺度碳利用效率研究进展[J]. 生态学杂志, 2021, 40(6): 1849-1860.

[Di Yangping, Zeng Hui, Zhang Yangjian, et al. Research advances in carbon use efficiency at multiple scales[J]. Chinese Journal of Ecology, 2021, 40(6): 1849-1860.]

[10]
尹超华, 罗敏, 孟凡浩, 等. 蒙古高原植被碳水利用效率时空变化特征及其影响因素[J]. 生态学杂志, 2022, 41(6): 1079-1089.

[Yin Chaohua, Luo Min, Meng Fanhao, et al. The spatiotemporal variation and influencing factors of vegetation carbon and water use efficiency in the Mongolian Plateau[J]. Chinese Journal of Ecology, 2022, 41(6): 1079-1089.]

DOI

[11]
宫菲, 杜灵通, 孟晨, 等. 宁夏陆地生态系统水分利用效率特征及其影响因子[J]. 生态学报, 2019, 39(24): 9068-9078.

[Gong Fei, Du Lingtong, Meng Chen, et al. Characteristics of water use efficiency in terrestrial ecosystems and its influence factors in Ningxia Province[J]. Acta Ecologica Sinica, 2019, 39(24): 9068-9078.]

[12]
彭守璋. 中国1 km分辨率月最高温度数据集(1901—2022)[M]. 北京: 国家青藏高原科学数据中心, 2020.

[Peng Shouzhang. 1-km monthly maximum temperature dataset for China (1901—2022)[M]. Beijing: National Tibetan Plateau Data Center, 2020.]

[13]
彭守璋. 中国1 km分辨率逐月降水量数据集(1901—2022)[M]. 北京: 国家青藏高原科学数据中心, 2020.

[Peng Shouzhang. 1-km monthly precipitation dataset for China(1901—2022)[M]. Beijing: National Tibetan Plateau Data Center, 2020.]

[14]
Ito A, Inatomi M. Water-use efficiency of the terrestrial biosphere: A model analysis focusing on interactions between the global carbon and water cycles[J]. Journal of Hydrometeorology, 2012, 13(2): 681-694.

[15]
周雄, 孙鹏森, 张明芳, 等. 西南高山亚高山区植被水分利用效率时空特征及其与气候因子的关系[J]. 植物生态学报, 2020, 44(6): 628-641.

DOI

[Zhou Xiong, Sun Pengsen, Zhang Mingfang, et al. Spatio-temporal characteristics of vegetation water use efficiency and their relationships with climatic factors in alpine and subalpine area of southwestern China[J]. Chinese Journal of Plant Ecology, 2020, 44(6): 628-641.]

DOI

[16]
位贺杰, 张艳芳, 董孝斌, 等. 渭河流域植被WUE遥感估算及其时空特征[J]. 自然资源学报, 2016, 31(8): 1275-1288.

DOI

[Wei Hejie, Zhang Yanfang, Dong Xiaobin, et al. Estimating the spatio-temporal characteristic of vegetation water use efficiency over Weihe River Basin[J]. Journal of Natural Resources, 2016, 31(8): 1275-1288.]

DOI

[17]
Zhang F, Ju W, Shen S, et al. How recent climate change influences water use efficiency in East Asia[J]. Theoretical and Applied Climatology, 2014, 116(1): 359-370.

[18]
Liu Y, Xiao J, Ju W, et al. Water use efficiency of China’s terrestrial ecosystems and responses to drought[J]. Scientific Reports, 2015, 5(1): 13799-13811.

[19]
仇宽彪, 成军锋. 陕西省植被水分利用效率及与气候因素的关系[J]. 水土保持研究, 2015, 22(6): 256-260.

[Qiu Kuanbiao, Cheng Junfeng. Vegetation water use efficiency and its relationship with climate in Shaanxi Province[J]. Research of Soil and Water Conservation, 2015, 22(6): 256-260.]

[20]
郝海超, 郝兴明, 花顶, 等. 2000—2018年中亚五国水分利用效率对气候变化的响应[J]. 干旱区地理, 2021, 44(1): 1-14.

[Hao Haichao, Hao Xingming, Hua Ding, et al. Response of water use efficiency to climate change in five Central Asian countries from 2000 to 2018[J]. Arid Land Geography, 2021, 44(1): 1-14.]

[21]
夏江宝, 张光灿, 孙景宽, 等. 山杏叶片光合生理参数对土壤水分和光照强度的阈值效应[J]. 植物生态学报, 2011, 35(3): 322-329.

DOI

[Xia Jiangbao, Zhang Guangcan, Sun Jingkuan, et al. Threshold effects of photosynthetic and physiological parameters in Prunus sibirica to soil moisture and light intensity[J]. Chinese Journal of Plant Ecology, 2011, 35(3): 322-329.]

DOI

[22]
李建查, 闫帮国, 潘志贤, 等. 干热河谷番茄苗期叶片光合效率的土壤水分阈值效应[J]. 热带作物学报, 2019, 40(11): 2278-2284.

DOI

[Li Jiancha, Yan Bangguo, Pan Zhixian, et al. Threshold effect of soil moisture on photosynthetic efficiency of tomato leaves at the seedling stage in dry-hot valley, Yunnan, China[J]. Chinese Journal of Tropical Crops, 2019, 40(11): 2278-2284.]

DOI

[23]
李诗莹, 赵乾坤, 郎莹, 等. 沂蒙山区金银花光合效率对土壤水分的响应[J]. 西北林学院学报, 2020, 35(3): 55-60.

[Li Shiying, Zhao Qiankun, Lang Ying, et al. Response of photosynthetic efficiency in the leaves of Lonicera japonica to soil moisture in Yimeng Mountainous area[J]. Journal of Northwest Forestry University, 2020, 35(3): 55-60.]

[24]
Shao R, Shao W, Gu C, et al. Increased interception induced by vegetation restoration counters ecosystem carbon and water exchange efficiency in China[J]. Earth’s Future, 2022, 10(2): 1-19.

[25]
Guo L, Sun F, Liu W, et al. Response of ecosystem water use efficiency to drought over China during 1982—2015: Spatiotemporal variability and resilience[J]. Forests, 2019, 10(7): 598-613.

[26]
Li G, Chen W, LI R, et al. Assessing the spatiotemporal dynamics of ecosystem water use efficiency across China and the response to natural and human activities[J]. Ecological Indicators, 2021, 126: 107680, doi:101016/2021JE107680.

[27]
Wang L, Li M, Wang J, et al. An analytical reductionist framework to separate the effects of climate change and human activities on variation in water use efficiency[J]. Science of the Total Environment, 2020, 727: 138306, doi: 10.1016/2020JS138306.

[28]
Li G, Zhang F, Jing Y, et al. Response of evapotranspiration to changes in land use and land cover and climate in China during 2001—2013[J]. Science of the Total Environment, 2017, 596: 256-265.

[29]
高晓宇, 郝海超, 张雪琪, 等. 中国西北干旱区植被水分利用效率变化对气象要素的响应——以新疆为例[J]. 干旱区地理, 2023, 46(7): 1111-1120.

[Gao Xiaoyu, Hao Haichao, Zhang Xueqi, et al. Responses of vegetation water use efficiency to meteorological factors in arid areas of northwest China: A case of Xinjiang[J]. Arid Land Geography, 2023, 46(7): 1111-1120.]

文章导航

/