气候与水文

气候变化对太阳能资源评估典型气象年选取的影响

  • 樊静 , 1 ,
  • 申彦波 , 2 ,
  • 常蕊 3
展开
  • 1.新疆气候中心,新疆 乌鲁木齐 830001
  • 2.中国气象局公共服务中心,北京 100081
  • 3.国家气候中心,北京 100081
申彦波(1978-),男,博士,正研级高级工程师,主要从事太阳能资源评估及气候变化方面的研究. E-mail:

樊静(1980-),女,高级工程师,主要从事风能太阳能资源的综合评估、气候变化相关的研究. E-mail:

收稿日期: 2023-06-30

  修回日期: 2023-11-13

  网络出版日期: 2026-03-11

基金资助

中国气象局创新发展专项(CXFZ2023J044)

Impact of climate change on the selection of typical meteorological years in solar energy resource assessment

  • Jing FAN , 1 ,
  • Yanbo SHEN , 2 ,
  • Rui CHANG 3
Expand
  • 1. Xinjiang Climate Center, Urumqi 830001, Xinjiang, China
  • 2. Public Meteorological Service Center of China Meteorological Administration, Beijing 100081, China
  • 3. National Climate Center of China Meteorological Administration, Beijing 100081, China

Received date: 2023-06-30

  Revised date: 2023-11-13

  Online published: 2026-03-11

摘要

选取新疆8个辐射气象观测站1961—2022年逐日总辐射观测资料,分析新疆区域地面总辐射变化特征,利用风速、气温、湿度和露点温度等资料构建太阳能资源评估典型气象年挑选方法(Sandia法),对比分析1961—1990年、1971—2000年、1981—2010年、1991—2020年4个标准气候态下Sandia方法选取典型代表年的差异。结果表明:(1) 1961—2022年北疆地区地面总辐射呈先减少后增加的趋势,南疆和东疆持续减少但1990年代以后减少趋势放缓,秋、冬季辐射减少速率明显大于春、夏季。(2) Sandia方法选取的4个标准气候态下典型气象年总辐射年值与平均值接近,相对误差介于±3%之间。(3) 随着气象要素的变化,Sandia方法选取典型气象年总辐射与平均值的绝对误差在增大,北疆站点不同时期选取典型月总辐射与同期月均值的差异明显小于南疆和东疆,与北疆总辐射年际变化小于南疆和东疆的结果一致。(4) 新疆区域月总辐射的高值时段集中出现在6—7月,各站1—3月总辐射普遍大于10—12月。(5) Sandia法挑选典型月与月平均值的差异存在较大波动性,且1981—2000年、1991—2020年波动幅度明显大于之前2个时期,表明随着气候要素的变化,典型代表年的不确定性在增加。

本文引用格式

樊静 , 申彦波 , 常蕊 . 气候变化对太阳能资源评估典型气象年选取的影响[J]. 干旱区地理, 2024 , 47(6) : 922 -931 . DOI: 10.12118/j.issn.1000-6060.2023.320

Abstract

The typical meteorological year (TMY) is crucial for assessing solar energy resources, significantly impacting the scientific evaluation of regional solar resource assessments and the optimal design of photovoltaic power generation systems. These systems directly influence the technical and economic performance of solar energy utilization. With ongoing climate warming, key indicators of the climate system have shown rapid changes. Over the past 60 years, global surface solar radiation initially decreased and then increased. However, since the 1980s, approximately 25% of observation stations have recorded a continuous decline, highlighting significant temporal and spatial variations in surface solar radiation. Xinjiang, China, a region sensitive to global climate changes, has experienced significant shifts in temperature, precipitation, and other meteorological elements. This study analyzes global horizontal irradiations (GHI) data collected from eight stations in Xinjiang from 1961 to 2022, examining temporal and spatial variations. Additionally, using wind speed, temperature, humidity, and dew point temperature data, we employed the Sandia method to select the TMY for solar energy resource assessment. We compared the differences in GHI TMY selected with the Sandia method every 30 years (four standard climatological normals of 1961—1990, 1971—2000, 1981—2010 and 1991—2020). The findings indicate that while GHI in northern Xinjiang initially decreased and then increased, it continued to decline in southern and eastern Xinjiang from 1961 to 2022. Post-1990s, the rate of decline slowed. Seasonally, GHI reduction rates in autumn and winter were notably higher than that in spring and summer. The GHI values of TMY calculated with the Sandia method were close to the annual average, with a relative error within ±3%. As meteorological elements changed, the absolute error between TMY with Sandia and the annual average increased. Furthermore, monthly GHI exhibited considerable volatility, with fluctuations notably larger between 1981—2000 and 1991—2020 compared to earlier periods. In these four periods, the variability in typical months was less in northern Xinjiang than that in the south and east due to smaller interannual GHI variations. The highest monthly GHI values in TMY typically occurred from June to July, while the values from January to March were generally higher than those from October to December.

《气候变化蓝皮书(2019)》显示:气候系统多项关键指标变化趋势加快,自20世纪80年代,每个连续十年都比前一个十年更暖[1]。在气温升高的背景下,近60 a全球地面太阳辐射发生了显著变化,呈现先减少后增加的趋势,即全球由“变暗”到“变亮”,但仍有25%的台站地面太阳辐射在20世纪80年代后继续呈下降趋势,说明地面太阳辐射的时空分布差异性非常显著[2-3]。我国地面太阳辐射在1990年前以下降趋势为主,大部分地区在1990年之后呈增加趋势[4-5],但黄土高原[6]、云贵高原[7-8]、京津冀[9]等地区呈持续减小趋势。
典型气象年(TMY)作为太阳能资源评估中的重要内容,对光伏发电系统的设计优化至关重要,同时对太阳能资源评估与区划结果的代表性具有重要意义,将直接影响项目技术、经济指标[10]。由于不同时间气象数据差异较大,工程中最常用的是从长期(一般国际公认为30 a)气象资料中选取组成“假想年”,一般取气象要素与历史平均值最接近并具有统计意义的12个典型月组成“虚拟”气象年[11]。在所选时段内的每个典型气象年,都是最能代表区域当月的气候规律,典型气象年也可以代表长期气候变化规律[12]。典型气象年生成方法,国际上最常用的是美国Sandia国家实验室提出的Finkelstein-Schafer统计法,从历史气象数据中计算选择12个典型月数据组成典型气象年[13],综合考虑了评估区域影响大气环境状况的气温、风速、相对湿度、气压、太阳辐射以及露点温度等气象条件。常蕊等[10]首次在太阳能资源评估中用Sandia法挑选典型气象年,发现该方法得到的典型气象年总辐射接近多年均值并对典型大气环境具有较好的代表性。2019年发布的国家标准[14]《太阳能资源评估方法(GB/T37529-2019)》中建议,Sandia方法选取典型气象年适用于既具备长序列太阳能资源数据,也具备气温、风速、相对湿度、气压以及露点温度等长序列气象要素数据的情况。
新疆是我国太阳能资源储量最丰富的省区之一,年辐照度总量比我国同纬度地区高10%~15%,居全国第2位。作为全球气候变化的敏感区和强烈影响区,新疆气温、降水、相对湿度等相关气象要素发生明显改变同时[15],地面太阳辐射是否发生了变化?是否与全国其他地区变化趋势一致?用新发布国标中[14]推荐的Sandia方法对比分析不同阶段典型气象年地面辐射的差异,讨论气候变化对太阳能资源评估典型气象年选取结果的影响,为气候变化背景下太阳能资源的变化和评估提供依据。

1 资料和方法

1.1 资料

采用国家气象信息中心提供的新疆8个气象站1961—2022年逐日气温、相对湿度、风速和水平面总辐射,其中气温包括日平均气温、最高气温、最低气温,风速包括平均风速和最大风速。为了对比气候要素变化对典型气象年选取结果的影响,按照WMO的标准将1961—2022年划分为4个标准气候态,分别为1961—1990年、1971—2000年、1981—2010年、1991—2020年。同时为了描述大气环境特征以满足典型气象年挑选方法的需求,利用收集到的基础气象观测资料计算日平均露点温度。

1.2 Sandia典型气象年选取方法

Finkelstein-Schafer统计方法首先计算各气象要素的长期累积分布函数和逐年各月的累积分布函数 C f s ,然后根据气象要素的重要性赋予对应的权重系数,最终计算综合指数 W s ,选取与对应时段长期累积分布函数最为接近的12个具有代表性的典型月,组成一个理想虚拟气象年,详细的计算方法和过程参考《太阳能资源评估方法》GB/T 37529—2019[14]。太阳能资源评估典型气象年选取过程中,按表1的权重系数计算各气象要素 C f s值,汇总形成一个综合的参数 W s。综合参数 W s越小,对应的结果与平均值就越接近。因此选取 W s最小值所对应的月为典型代表月份,构成完整1 a的时间序列数据作为典型代表年。
表1 Sandia典型气象月各气象要素的权重系数占比

Tab. 1 Weighting indices assigned for the respective weather factors of Sandia

要素 日平均气温 日最低气温 日最高气温 日平均露点温度 日平均风速 日最大风速 水平面总辐射
权重 2/24 1/24 1/24 4/24 2/24 2/24 12/24
以单一要素水平面总辐射为例,比较分析吐鲁番1991—2020年期间4个代表年(1992、1996、2010年和2018年)6月的逐日观测总辐射累积分布曲线与1991—2020年6月GHI的长期累积分布曲线(图1)。可以看出,吐鲁番2018年6月总辐射与长期累积分布曲线差异最大,而2010年6月的辐射分布与长期累积分布曲线最接近,与其对应的 C f s最小。依次计算其他要素对应的 C f s值后,再根据要素权重系数逐年计算6月的综合 W s值,对比选取 W s最小值所对应年份的6月为这一时期的典型月,照此类推计算其余11个典型月,最终构成一个虚拟月组合的典型年气象数据集。
图1 吐鲁番6月水平面总辐射累积分布函数对比

Fig. 1 Comparison of cumulative distribution function of global horizontal irradiations of June in Turpan

2 结果与分析

2.1 太阳辐射的变化

新疆区域水平面总辐射呈现东南部哈密最大,南疆和东疆吐鲁番次之,北疆地区相对较低的分布特征,年总辐射分布大致由东南向西北不均匀递减(图2)。按照太阳能资源总量等级划分标准[14],哈密多年平均水平面总辐射达到6300 MJ·m-2以上,属于太阳能最丰富地区,其余站点多年均值在5300~6100 MJ·m-2之间,属于太阳能资源很丰富地区。
图2 1961—2022年新疆区域8站地面水平面总辐射年际变化趋势

Fig. 2 Eight stations of innterannual variation of global horizontal irradiations in Xinjiang from 1961 to 2022

2.1.1 辐射年变化

图2所示,1961—2022年新疆区域除乌鲁木齐外其余7站水平面总辐射均呈减少趋势,减少速率在13.4~134.2 MJ·m-2·(10a)-1之间,其中吐鲁番减少速率最大为134.2 MJ·m-2·(10a)-1,和田减少速率最小为13.4 MJ·m-2·(10a)-1。呈减少趋势的7站中,北疆阿勒泰和伊宁、南疆和田3站的减少趋势不显著,未通过(P=0.05)显著性水平检验;东疆吐鲁番和哈密、南疆喀什和若羌4站的减少趋势显著,通过(P=0.05)显著性水平检验。由于乌鲁木齐1991年以后总辐射缓慢增加,2015—2016年总辐射较1961—2022年平均值偏高30%以上,异常偏高值造成1961年以来总辐射整体呈增加趋势,增加速率为29.9 MJ·m-2·(10a)-1,未通过(P=0.05)显著性水平检验。
图2a可以看出,北疆地面总辐射在20世纪60年代到80年代末呈波动下降趋势,1990年代后开始缓慢增加,1998—2007年总辐射年际变化相对稳定,2008年之后年际差异明显增加,其中乌鲁木齐2015年总辐射(最大值7280.2 MJ·m-2)较2012年(最小值4437.9 MJ·m-2)偏多2842.3 MJ·m-2。南疆和东疆除和田外其余4站均呈持续减少趋势但1990年以后减少速率明显放缓,而和田1990年以前总体呈减少趋势,1990年之后呈增加趋势,与北疆站点变化趋势一致(图2b~c)。
已有研究结果认为1961—2011年期间西藏、青海、甘肃、新疆等西部地区的地面总辐射表现为1990年代前呈下降趋势,1990年代后呈上升趋势[16]。由于时间序列延长且近10 a辐射的年际差异增加,为了进一步分析新疆区域地面总辐射长期变化趋势,将研究期划分为1961—1990年、1991—2022年2个时段,分别计算变化趋势,结果如表2所示。全疆8站1961—1990年地面总辐射全部呈下降趋势,下降速率在86.4~330.3 MJ·m-2·(10a)-1之间,其中乌鲁木齐、喀什、吐鲁番3站下降速率最大,均超过300 MJ·m-2·(10a)-1。而1991—2022年新疆地面总辐射变化出现空间差异,北疆3站、和田呈增加趋势,其中乌鲁木齐增加最显著为240.6 MJ·m-2·(10a)-1且通过显著性水平检验;其余4站持续减少,其中若羌减少速率最大为153.3 MJ·m-2·(10a)-1,且通过(P=0.05)显著性水平检验。以上结果表明1991—2022年北疆与全国大部分地区变化趋势一致,地面总辐射呈增加趋势,与齐月等[16]的研究结果一致;南疆和东疆总辐射仍在减少,但减少速率较1961—1990年有所减缓。
表2 新疆区域地面太阳总辐射年、季变化线性倾向率

Tab. 2 Linear tendency rates of annual and seasonal variation about global horizontal irradiations in Xinjiang /MJ·m-2·(10a)-1

序号 站名 1961—2022年 1961—1990年 1991—2022年 春季 夏季 秋季 冬季
1 阿勒泰 -28.4 -157.4* 58.4 -14.1 -9.2 -8.0 -0.5
2 伊宁 -37.4 -159.0* 15.2 -5.5 -0.2 -13.9* -18.4*
3 乌鲁木齐 29.9 -305.5* 240.6* 20.7 13.3 0.2 -6.6
4 喀什 -87.3* -330.3* -101.9 -12.4 -24.3* -32.8* -23.8*
5 若羌 -79.5* -86.4 -153.3* -2.7 -26.8* -23.1* -21.1*
6 和田 -13.4 -275.5* 96.8 23.6 0.4 -14.5 -14.8*
7 吐鲁番 -134.2* -307.3* -56.4 -25.2* -34.3* -51.9* -55.0*
8 哈密 -83.2* -160.7* -34.2 -0.1 -20.2* -33.1* -32.3*

注:*表示P<0.05显著性水平检验。

2.1.2 辐射季节变化

从季节变化看,1961—2022年新疆四季的辐射均以减少趋势为主,秋、冬季减少速率明显大于春、夏季(表2)。北疆阿勒泰、伊宁四季地面总辐射均呈减少趋势且未通过显著性水平检验,阿勒泰春季减少速率最大,伊宁秋季、冬季减少最明显。乌鲁木齐春、夏季的增加趋势明显大于冬季减少趋势,秋季变化不明显,乌鲁木齐6—8月总辐射的月增加速率大于10 MJ·m-2·(10a)-1,冬季各月辐射的减少速率均小于5 MJ·m-2·(10a)-1,由于夏季是地面辐射峰值期,占全年总辐射的40%左右,因此夏季辐射增加(减少)对辐射年值增加(减少)贡献最多,是造成该站年总辐射整体呈增加趋势原因之一。南疆和东疆除和田春季呈增加趋势外,其余各季均以减少趋势为主,喀什、若羌、哈密3站夏季、秋季、冬季总辐射减少速率大于20 MJ·m-2·(10a)-1且通过显著性水平检验。吐鲁番四季总辐射的减少趋势均通过显著性水平检验,秋季、冬季减少速率是春、夏季的2倍。

2.2 典型气象年选取结果对比

2.2.1 不同时期总辐射长期累积分布曲线对比

图3是吐鲁番站1961—2020年6月每30 a(1961—1990年、1971—2000年、1981—2010年、1991—2020年)逐日总辐射的长期累积分布函数,可以看出1961—1990年与之后3个时期差异明显,其中1991—2020年、1981—2010年长期累积分布函数最为接近。由于各月长期累积分布函数存在明显差异,因此在计算 C f s值时不同时期月累积分布函数与对应时段的长期累计分布函数求绝对差时存在较大差异,从而造成典型月选取结果存在差别。
图3 吐鲁番4个时期6月水平面总辐射的长期累积分布函数对比

Fig. 3 Comparison of long-term cumulative distribution function of global horizontal irradiations in June during four periods in Turpan

2.2.2 不同时期选取的典型气象年总辐射辐射变化

按照2.1所述Sandia典型气象年选取方法,分别计算1961—1990年、1971—2000年、1981—2010年、1991—2020年4个时段8站典型气象年水平面年总辐射。同时按照标准(GB/T37529-2019)附录D推荐的气候平均法计算4个时期地面总辐射作为对照,对比2种方法挑选典型气象年的差异(表3)。
表3 不同时期典型气象年总辐射与气候均值的相对误差

Tab. 3 Relative error between typical meteorological year and average in different periods

站名 1961—1990年 1971—2000年 1981—2010年 1991—2020年
TMY AVE δ TMY AVE δ TMY AVE δ TMY AVE δ
阿勒泰 5508 5566 -1.0 5449 5457 -0.1 5460 5406 1.0 5546 5516 -0.9
伊宁 5603 5584 0.3 5475 5540 -1.2 5487 5386 1.9 5465 5508 -0.7
乌鲁木齐 5179 5254 -1.4 5081 5125 -0.9 4992 5115 -2.4 5253 5372 -2.2
喀什 5732 5771 -0.7 5685 5712 -0.5 5431 5567 -2.4 5452 5571 -2.1
若羌 6138 6166 -0.5 6108 6177 -1.1 5978 6012 -0.6 5914 6000 -1.5
和田 5911 5915 -0.1 5817 5824 -0.1 5686 5750 -1.1 5873 5957 -1.4
吐鲁番 5820 5783 0.6 5538 5575 -0.7 5452 5466 -0.3 5452 5374 1.4
哈密 6346 6397 -0.8 6205 6276 -1.1 6111 6197 -1.4 5966 6146 -2.9

注:TMY为Sandia典型气象年(MJ·m-2);AVE为30 a均值(MJ·m-2);δ为相对误差(%)。

1961年以来4个时期阿勒泰、伊宁、乌鲁木齐、和田4站典型气象年水平面总辐照度呈先减少后增加的变化趋势,喀什、若羌、吐鲁番、哈密持续减少,与实测值变化趋势一致。其中,吐鲁番、哈密、喀什、若羌4站1991—2020年地面总辐射均值较1961—1990年分别减少了7.6%、4.1%、3.6%、2.8%且减少趋势仍在持续;伊宁、阿勒泰、和田、乌鲁木齐4站1981—2010年的地面总辐射均值最小,1991—2020年均值有所增加,其中伊宁、阿勒泰仍然比1961—1990年偏少1.4%、0.9%,和田、乌鲁木齐比1961—1990年增加0.7%、2.2%。
Sandia方法选取的4个时期典型气象年与同期气候平均值绝对误差在20~180 MJ·m-2,相对误差介于±3%之间且以负偏差为主,说明Sandia方法选取的典型气象年地面总辐射较平均值整体略偏低。其中,1961—1990年二者差异最小,仅乌鲁木齐相对误差达到-1.4%,其余站点相对误差小于±1%,表明同期辐射、气温、风速等相关气象要素的年际差异相对最小;1971—2000年期间所有站点Sandia方法选取典型气象年总辐射均小于平均值,相对误差小于-1.2%;1981—2010年期间阿勒泰、伊宁2站Sandia方法选取典型气象年总辐射大于平均值,其余站均小于平均值,乌鲁木齐、喀什2站相对误差最大为-2.4%;1991—2020年仅吐鲁番Sandia方法选取典型气象年辐射值大于平均值,其余7站均小于平均值,其中哈密相对误差最大达到-2.9%。
表3可以看出,1961—1990年、1971—2000年Sandia方法选取的典型气象年与平均值的相对误差明显小于1981—2010年、1991—2020年,其中辐射年际波动大的站点相对误差也偏大,说明随着气候要素的改变,Sandia方法选取的典型年气象与气候平均值的差异在增加,典型代表年的不确定性也在增加。

2.2.3 不同时期Sandia法选取典型气象年各月辐射变化

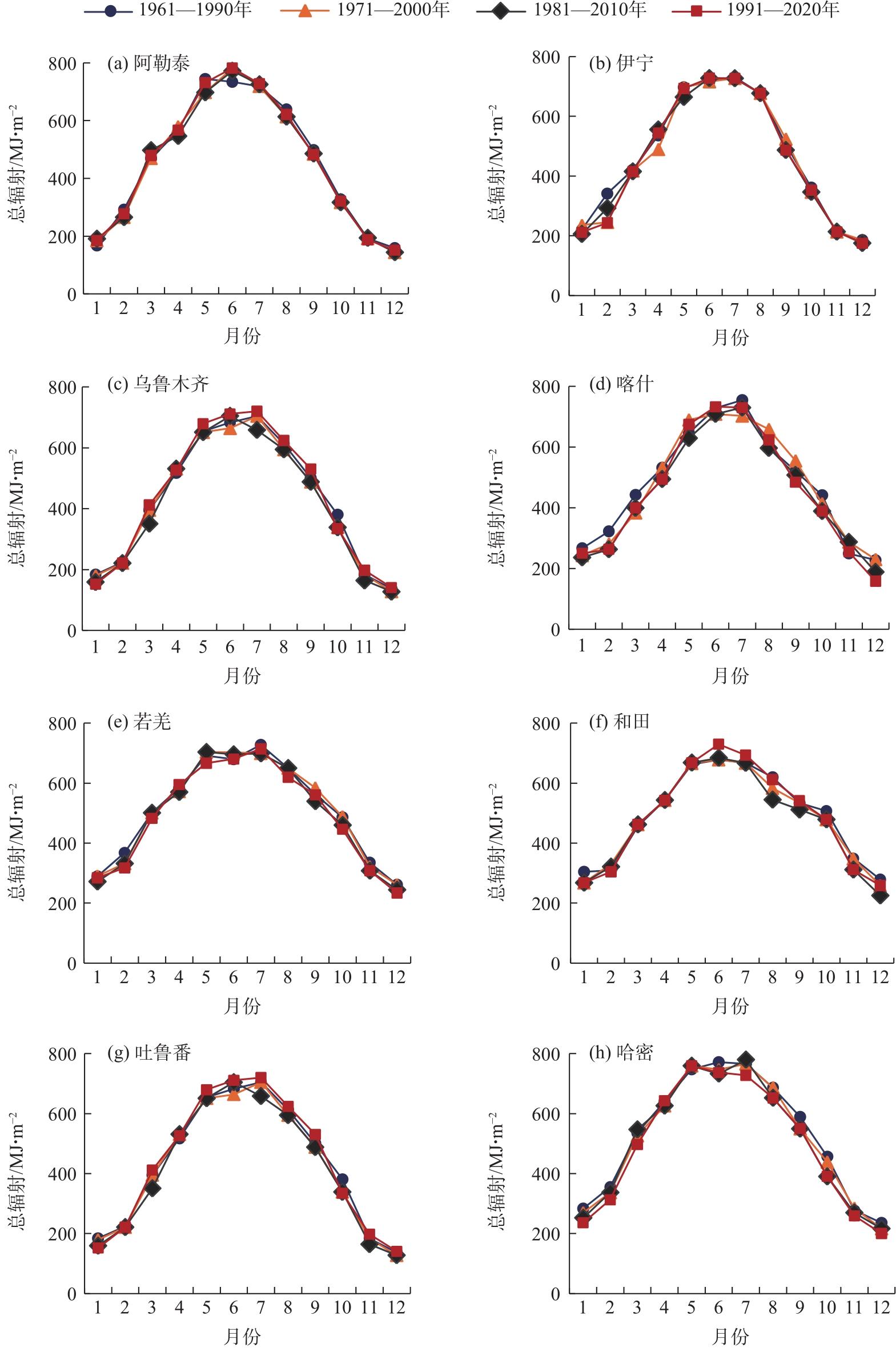
对不同时期Sandia法选取的典型月总辐射进行对比(图4),新疆区域月总辐射的高值区集中出现在6—7月,1—3月辐射值普遍大于10—12月。北疆站点不同时期典型气象年各月的差异明显小于南疆和东疆,这与辐射年变化相吻合,北疆地区年辐射变化幅度和趋势均小于南疆和东疆(图4)。
图4 各站不同时期Sandia 方法选取典型气象年各月的水平面总辐射差异

Fig. 4 Monthly global horizontal irradiation difference of typical meteorological year in different periods by Sandia method

北疆阿勒泰典型气象年5—7月总辐射差异较大,其中1961—1990年6月较1991—2020年6月偏少47 MJ·m-2,1—3月、8—12月相差较小。伊宁的差异主要出现在1—3月,尤其是2月差异最明显,1961—1990年的2月较1991—2020年偏多35%。乌鲁木齐夏半年各月的辐射差异大于冬半年,1991—2020年的3—9月总辐射值较1961—1990年同期偏多。南疆喀什冬、春季节的总辐射差异大于夏、秋季,1991—2020年的冬、春季较之前3个时期辐射明显偏低。若羌各月的差异与年总辐射的变化一致,1961—1990年代最多,1991—2020年最低且6—7月差异较小。和田上半年差异小于下半年,不同时期6—10月辐射差异较大。吐鲁番、哈密变化趋势与若羌相似,1961—1990年各月总辐射均大于1991—2020年,夏季差异小于冬季。
总体来看,各站4个时期Sandia法选取的典型月冬半年的辐射差异大于夏半年,说明冬半年辐射变化年际差异更加明显,与观测值的季节变化结果相一致。

2.2.4 典型气象年各月辐射与气候平均值的差异

在新疆地区,Sandia法选取典型气象年总辐射与气候平均值的差异较小(表3),但从两者不同时期逐月辐射量的对比来看,则存在较大的波动性,有些月份前者高于后者,有些月份则相反,尤其是1981—2000年、1991—2020年的各月的差异明显大于之前2个时期(图5),这与常蕊等[10]的研究结果一致。
图5 4个时期典型气象年各月地面总辐射与气候平均值距平

Fig. 5 Monthly global horizontal irradiations of typical meteorological year and average anomaly in four periods

不同时期Sandia法月总辐射与气候平均值的差异显示,北疆阿勒泰1—7月的差异变化大于8—12月,其中1961—1990年各月与气候均值最接近,1991—2020年差异最大且7月较同期均值偏高50 MJ·m-2,偏高幅度最大。伊宁上半年的差异大于下半年,1961—1990年、1971—2000年各月以偏高为主,之后2个时期以偏低为主,其中1971—2000年2月差异最大,较同期偏低59 MJ·m-2。乌鲁木齐是所有站点中变化最小的,各月距平均小于30 MJ·m-2
南疆3站4个时期Sandia法选取的各月总辐射均较平均值偏低,负距平明显大于正距平,因此代表年的总辐射整体低于平均值。喀什上半年距平大于下半年,1971—2000年各月与同期均值差异最大;若羌年初和年末距平以偏高为主,夏季以偏低为主,1961—1990年6月距平最大,较同期偏低40 MJ·m-2;和田1991—2020年各月差异明显高于之前3个时段,1981—2010年期间8月距平值最大较同期均值偏低52 MJ·m-2
东疆吐鲁番、哈密2站负距平的月份居多,其中吐鲁番上半年与均值的差异小于下半年,1991—2020年距平差异最大,1、9月分别较同期均值偏多35~40 MJ·m-2。哈密1981—2010年距平最大,1991—2020年最小且以负距平为主。

3 讨论

新疆区域太阳能资源长期变化的时空差异显著,北疆与全国变化趋势一致,南疆和东疆总辐射持续减少,其中吐鲁番最近10 a的辐射较1960年代减少了8%,对太阳能资源的开发利用会产生不利影响。因此,在后续的光伏资源项目开发过程中,需要关注项目所在地太阳能资源的长期变化趋势,尤其是地面总辐射持续减少的区域。Sandia方法选取典型代表年充分考虑了影响总辐射的相关气象要素且与均值接近,具有非常好的代表性,适用于太阳能资源综合评估。随着气候要素的变化,地面总辐射年际波动增强的背景下,建议采用Sandia方法选取典型气象年,从而提升太阳能资源评估的气候代表性和准确性。目前光伏发电已经全面进入平价新时代,在光伏土地成本、系统成本不断增长的现状下,代表年选取将直接影响太阳能资源精准评估,对电站的开发、收益评估造成直接影响。随着气候要素的变化,Sandia方法选取的典型气象年与气候平均值的差异在增加,因此典型代表年的不确定性也在增加。
随着太阳能资源开发利用越来越受到重视,影响地面总辐射时空变化过程的相关研究受到广泛关注。由于引起地面总辐射变化的原因复杂多样,云和气溶胶是影响辐射变化的关键因子,齐月等[17]的研究发现城市工业化及其产生的气溶胶污染对太阳辐射的下降起着重要作用。新疆8站冬季总辐射全部呈减少趋势,除阿勒泰外其余7站冬季辐射的减少速率明显大于其他季节,可能跟冬季雾霾天气增多、气溶胶污染加重、大气透明度差有关。与之对应的是阿勒泰冬季空气质量相对较好,该站冬季辐射的变化也最小。彭艳等[18]对西安地区辐射变化的研究发现,春、夏季西安总辐射变化主要受云量和气溶胶直接辐射强迫的共同影响,冬季总辐射的下降主要与气溶胶的直接辐射强迫有关。已有的研究发现云量的减少(增加)会引起地面太阳辐射的增加(减少)。张淑花等[19]对提孜那甫河流域研究表明云是影响山区地表太阳辐射空间分布的主要因素之一。由于云对太阳辐射影响非常复杂,云高、云状、云厚等几何性质以及不同的云物理、化学和光学性质等都会对太阳辐射产生不同的影响[3]。影响地面总辐射时空变化过程的相关要素[20],如大气的气体成分、水汽和太阳活动等要素变化的影响尚不明确,还有待进一步的研究。

4 结论

(1) 1961—2022年新疆区域各站总辐射以减少趋势为主,其中吐鲁番减少速率最大为134.2 MJ·m-2·(10a)-1,和田减少速率最小为13.4 MJ·m-2·(10a)-1,乌鲁木齐是唯一呈增加趋势的站点,增加速率为29.9 MJ·m-2·(10a)-1。从季节变化看,四季的辐射均以减少趋势为主,秋、冬季减少速率明显大于春、夏季。
(2) 在地球变暗期,新疆8站总辐射均呈显著减少趋势,1990年以后北疆地区与全国大部分区域变化一致总辐射呈增加趋势,但总体上1991—2022年的增加速率小于1961—1990年减少速率,因此北疆地区地面总辐射仍未达到1960年代水平;南疆和东疆站点的总辐射一直在减少,但1991—2020年的减少速率较1961—1990年明显放缓,其中太阳能资源丰富的吐鲁番减少速率最大,2010—2020年代较1961—1970年代减少了8%。
(3) Sandia方法选取的4个时期典型气象年总辐射与气候均值接近,相对误差介于±3%之间;阿勒泰、伊宁、乌鲁木齐、和田4站4个时期典型气象年总辐射呈先减少后增加的变化趋势,喀什、若羌、吐鲁番、哈密持续减少,这与实测总辐射的年际变化趋势一致。随着气候要素发生变化,1981—2010年、1991—2020年2个时期Sandia方法选取的典型气象年总辐射与平均值的相对误差明显大于之前2个时期,1961—1990年、1971—2000年的相对误差小于1.5%。
(4) 新疆区域月辐射的高值区集中出现在6—7月,1—3月辐射值普遍大于10—12月。Sandia方法选取典型月,北疆站点4个时期差异明显小于南疆和东疆,冬半年的辐射差异大于夏半年,说明冬半年辐射减少更加明显,这与辐射季节变化的结果相一致。4个时期Sandia法选取典型月总辐射与气候平均值差异存在较大的波动性,有些月份前者高于后者,有些月份则相反,总体上1981—2010年、1991—2020年各典型月总辐射与月平均值的差异明显大于之前2个时期,这与总辐射年际波动增加有关。
[1]
中国气候变化蓝皮书(2019)[R]. 北京: 中国气象局气候变化中心, 2019.

[Blue book on climate change in China(2019)[R]. Beijing: Climate Change Center of China Meteorological Administration, 2019.]

[2]
姬兴杰, 贾志军, 肖国杰. 近60年郑州市地面太阳辐射变化的影响因素分析[J]. 太阳能学报, 2017, 38(5): 1211-1219.

[Ji Xingjie, Jia Zhijun, Xiao Guojie. Analysis of influence factors of surface solar radiation in Zhengzhou City over recent 60 years[J]. Journal of Solar Energy, 2017, 38(5): 1211-1219.]

[3]
申彦波, 赵宗慈, 石广玉. 地面太阳辐射的变化、影响因子及其可能的气候效应最新研究进展[J]. 地球科学进展, 2008, 23(9): 915-924.

DOI

[Shen Yanbo, Zhao Zongci, Shi Guangyu. The progress in variation of surface solar radiation, factors and probable climatic effects[J]. Advances in Earth Science, 2008, 23(9): 915-924.]

DOI

[4]
申彦波, 王标. 近50年中国东南地区地面太阳辐射变化对气温变化的影响[J]. 地球物理学报, 2011, 54(6): 1457-1465.

[Shen Yanbo, Wang Biao. Effect of surface solar radiation variations on temperature in south-east China during recent 50 years[J]. Chinese Journal of Geophysics, 2011, 54(6): 1457-1465.]

[5]
谢今范, 张婷, 张梦远, 等. 近50 a东北地区地面太阳辐射变化及原因分析[J]. 太阳能学报, 2012, 33(12): 2127-2134.

[Xie Jinfan, Zhang Ting, Zhang Mengyuan, et al. Change and reason analysis of ground solar radiation in northeast China over recent 50 years[J]. Journal of Solar Energy, 2012, 33(12): 2127-2134.]

[6]
韩虹, 任国玉, 王文, 等. 黄土高原地区太阳辐射时空演变特征[J]. 气候与环境研究, 2008, 13(1): 61-66.

[Han Hong, Ren Guoyu, Wang Wen, et al. Temporal and spatial variation characteristics of total solar radiation over the Loess Plateau region[J]. Climatic and Environmental Research, 2008, 13(1): 61-66.]

[7]
郑小波, 王学锋, 罗宇翔, 等. 1961—2005年云贵高原太阳辐射变化特征及其影响因子[J]. 气候与环境研究, 2011, 16(5): 654-664.

[Zheng Xiaobo, Wang Xuefeng, Luo Yuxiang, et al. Variation characteristics of global radiation and the associated climatic factors over Yunnan-Guizhou Plateau in the southwestern part of China for 1961—2005[J]. Climatic and Environmental Research, 2011, 16(5): 654-664.]

[8]
赵春霞, 郑有飞, 吴荣军, 等. 我国东南沿海地区城市太阳辐射变化差异及其影响因素分析[J]. 热带气象学报, 2013, 29(3): 465-473.

[Zhao Chunxia, Zheng Youfei, Wu Rongjun, et al. Analysis of solar radiation and relative factors in southeast coastal cities of China[J]. Journal of Tropical Meteorology, 2013, 29(3): 465-473.]

[9]
郑有飞, 尹炤寅, 吴荣军, 等. 1960—2005年京津冀地区地表太阳辐射变化及成因分析[J]. 高原气象, 2012, 31(2): 436-445.

[Zheng Youfei, Yin Zhaoyin, Wu Rongjun, et al. Analyses on variation and cause of surface solar radiation in Beijing, Tianjin and Hebei regions from 1960 to 2005[J]. Plateau Meteorology, 2012, 31(2): 436-445.]

[10]
常蕊, 申彦波, 郭鹏. 太阳能资源典型年挑选方法的适用性对比研究[J]. 高原气象, 2017, 36(6): 1713-1721.

DOI

[Chang Rui, Shen Yanbo, Guo Peng. Comparative analysis on the applicability of different typical year generating methods in solar energy resource assessment[J]. Plateau Meteorology, 2017, 36(6): 1713-1721.]

DOI

[11]
Marion W, Urban K. User’s manual for TMY2S: Typical meteorological years[R]. United States: National Renewable Energy Laboratory, 1995.

[12]
李红莲, 杨柳, 刘大龙, 等. 建筑能耗模拟用典型气象年产生方法的研究[J]. 西安建筑科技大学学报(自然科学版), 2015, 47(2): 267-271.

[Li Honglian, Yang Liu, Liu Dalong, et al. Research on the method of generate TMY for building energy consumption simulation[J]. Journal of Xi’an University of Architecture & Technology (Natural Science Edition), 2015, 47(2): 267-271.]

[13]
杨洪兴, 吕琳, 娄承芝, 等. 典型气象年和典型代表年的选择及其对建筑能耗的影响[J]. 暖通空调, 2005, 35(1): 130-133.

[Yang Hongxing, Lin, Lou Chengzhi, et al. Selections of typical meteorological year and example weather year and their effects on building energy consumption[J]. Heating Ventilating & Air Conditioning, 2005, 35(1): 130-133.]

[14]
GB/T 37529-2019. 太阳能资源评估方法[S]. 北京: 中国标准出版社, 2019.

[GB/T 37529-2019. Assessment method for solar energy resource[S]. Beijing: Standards Press of China, 2019.]

[15]
吴秀兰, 张太西, 王慧, 等. 1961—2017年新疆区域气候变化特征分析[J]. 沙漠与绿洲气象, 2020, 4(4): 27-34.

[Wu Xiulan, Zhang Taixi, Wang Hui, et al. Characteristics of temperature and precipitation change in Xinjiang during 1961—2017[J]. Desert and Oasis Meteorology, 2020, 4(4): 27-34.]

[16]
齐月, 房世波, 周文佐. 近50年来中国东、西部地面太阳辐射变化及其与大气环境变化的关系[J]. 物理学报, 2015, 64(8): 394-403.

[Qi Yue, Fang Shibo, Zhou Wenzuo. Correlative analysis between the changes of surface solar radiation and its relationship with air pollution, as well as meteorological factor in eastern and western China in recent 50 years[J]. Acta Physica Sinica, 2015, 64(8): 394-403.]

[17]
齐月, 房世波, 周文佐. 近 50 年来中国地面太阳辐射变化及其空间分布[J]. 生态学报, 2014, 34(24): 7444-7453.

[Qi Yue, Fang Shibo, Zhou Wenzuo. Variation and spatial distribution of surface solar radiation in China over recent 50 years[J]. Acta Ecologica Sinica, 2014, 34(24): 7444-7453.]

[18]
彭艳, 王钊, 李星敏, 等. 近50 a西安太阳辐射变化特征及相关影响因子分析[J]. 干旱区地理, 2012, 35(5): 738-745.

[Peng Yan, Wang Zhao, Li Xingmin, et al. Variation of surface solar radiation and its impact factors of Xi’an in recent 50 years[J]. Arid Land Geography, 2012, 35(5): 738-745.]

[19]
张淑花, 李新功, 李奇虎, 等. 提孜那甫河流域地表太阳辐射估算及其影响因素分析[J]. 干旱区地理, 2022, 45(3): 734-745.

[Zhang Shuhua, Li Xingong, Li Qihu, et al. Estimation of surface solar radiation and analysis of its influencing factors in the Tizinafu River Basin[J]. Arid Land Geography, 2022, 45(3): 734-745.]

[20]
周丹, 保广裕, 苏献锋, 等. 1961—2020年青海高原日照时数时空变化特征[J]. 干旱区地理, 2023, 46(1): 36-46.

[Zhou Dan, Bao Guangyu, Su Xianfeng, et al. Spatiotemporal variation characteristics of sunshine hours in Qinghai Plateau from 1961 to 2020[J]. Arid Land Geography, 2023, 46(1): 36-46.]

文章导航

/