第三次新疆综合科学考察

1990—2020年新疆伊犁地区雪灾时空分布特征及其影响评估

  • 火红 , 1, 2, 3 ,
  • 刘艳 , 1, 3, 4 ,
  • 买吾拉夏·木巴热克 1, 2, 3
展开
  • 1.中国气象局乌鲁木齐沙漠气象研究所,新疆 乌鲁木齐 830002
  • 2.乌兰乌苏生态与农业气象新疆野外科学观测研究站,新疆 乌鲁木齐 830002
  • 3.中国气象局阿克达拉大气本底野外科学试验基地,新疆 乌鲁木齐 830002
  • 4.新疆沙漠气象与沙尘暴重点实验室,新疆 乌鲁木齐 830002
刘艳(1978-),女,硕士,研究员,主要从事遥感与GIS等方面的研究. E-mail:

火红(1995-),女,硕士研究生,主要从事遥感与GIS等方面的研究. E-mail:

收稿日期: 2023-10-26

  修回日期: 2024-03-04

  网络出版日期: 2026-03-11

基金资助

第三次新疆综合科学考察项目(2022xjkk0602)

Spatiotemporal distribution characteristics and impact assessment of snow disasters in the Ili region of Xinjiang from 1990 to 2020

  • Hong HUO , 1, 2, 3 ,
  • Yan LIU , 1, 3, 4 ,
  • MUBAREKE Maiwulaxia 1, 2, 3
Expand
  • 1. Institute of Urumqi Desert Meteorology of China Meteorological Administration, Urumqi 830002, Xinjiang, China
  • 2. Wulanwusu Ecology and Agrometeorology Observation and Research Station of Xinjiang, Urumqi 830002, Xinjiang, China
  • 3. Field Scientific Experiment Base of Akdala Atmospheric Background, China Meteorological Administration, Urumqi 830002, Xinjiang, China
  • 4. Xinjiang Desert Meteorology and Sandstorm Key Laboratory, Urumqi 830002, Xinjiang, China

Received date: 2023-10-26

  Revised date: 2024-03-04

  Online published: 2026-03-11

摘要

雪灾给伊犁地区带来了重大的经济和社会影响,主要表现在农业生产的减少和生态系统的破坏等方面。为量化和评估雪灾对伊犁地区的影响,基于1990—2020年伊犁地区的95次雪灾事件,通过指标选择、无量纲化处理以及权重分配,计算了灾损指数,并依据百分位数法,将雪灾严重性划分为一般、较重、严重和特重4个等级。结果表明:(1)1990—2020年伊犁地区雪灾次数呈双峰型分布,11月和1—2月为高发期,与季节性气候特征相关。自2014年以来,雪灾的发生次数显著下降。(2)1990—2020年伊犁地区一般等级雪灾最为常见,占比49.4%,较重、严重和特重等级占比分别为23.2%、24.2%和5.0%。(3)尼勒克县的灾损最严重,其次是新源县和伊宁县,昭苏县受影响最小。(4)雪灾发生及其严重性受累积降雪量、最大积雪深度、最低气温和降雪持续天数等气象要素影响。这些要素在县域间差异显著但整体趋势集中。研究结果可以为伊犁地区雪灾风险评估和管理提供科学依据。

本文引用格式

火红 , 刘艳 , 买吾拉夏·木巴热克 . 1990—2020年新疆伊犁地区雪灾时空分布特征及其影响评估[J]. 干旱区地理, 2024 , 47(11) : 1828 -1840 . DOI: 10.12118/j.issn.1000-6060.2023.609

Abstract

The snow disasters in the Ili region of Xinjiang, China, have led to significant economic and social impacts, mainly through reduced agricultural production and ecosystem damage. To quantify and evaluate the impact of snow disasters in this region, this study analyzed 95 snow disaster events that occurred between 1990 and 2020. A disaster loss index was calculated using selected indicators, dimensionless processing, and weight assignment. The severity of snow disasters was categorized into four levels (mild, moderate, severe, and extreme) using the percentile method. The key findings are as follows: (1) Snow disasters in the Ili region exhibited a bimodal distribution, with peak occurrences in November and January-February, aligning with the region’s seasonal climatic characteristics. Since 2014, the frequency of snow disasters has notably decreased. (2) Mild snow disasters were the most frequent, accounting for 49.4% of events, while moderate, severe, and extreme snow disasters represented 23.2%, 24.2%, and 5.0%, respectively. (3) The most severe disaster losses were observed in Nilka County, followed by Xinyuan County and Yining County, whereas Zhaosu County was the least affected. (4) Key meteorological factors influencing snow disasters, including cumulative snowfall, maximum snow depth, minimum temperature, and snowfall duration, displayed regional variations. Areas with high snow disaster incidence had higher mean values of maximum snow depth compared to other regions. This study provides a scientific foundation for risk assessment and management of snow disasters in the Ili region.

雪灾,作为由极端降雪事件引发的自然灾害,对人类社会和自然环境构成了严峻挑战[1-2]。雪灾以暴雪、风吹雪和雪崩等多种形式出现,具有广泛破坏性,能迅速造成交通中断、基础设施损坏,甚至威胁人员安全[3]。随着全球变暖的加剧,全球气候模式的变化以及极端气候事件(如雪灾)的频率和强度的增加,已经引起了全球范围内的广泛关注[4]。中国广阔的地理分布和多样的气候条件使得雪灾在多个地区频繁发生[5]。例如,1961—2018年,内蒙古苏尼特草原近28 a均出现了不同程度的雪灾[6]。1978—2019年,青海省海西地区发生雪灾事件104次[7]。1960—2018年,内蒙古赤峰市发生暴雪灾害275次[8]。1961—2020年,青海省黄南藏族自治州南部泽库县、河南蒙古族自治县牧区发生雪灾71次[9]。1955—2017年,新疆发生雪灾375次[10]。近年来出现的雪灾事件对经济和社会造成了显著危害。例如,2022年,中国年低温冷冻和雪灾造成直接经济损失1.25×1010元,美国同一年遭受近40 a最严重雪灾,引发多州断水断电、交通瘫痪和人员伤亡[11]。2006年,中国因低温冷冻和雪灾受灾严重,造成直接经济损失1.69×1010[12]
伊犁地区因其独特的地理位置和湿润的大陆性气候条件,在雪灾研究中占据着关键地位。该地区冬季漫长,降雪量大,积雪深度和降雪频率常常超过新疆其他地区,成为雪灾的高风险区域。根据收集灾情记录,伊犁几乎每年都遭遇不同规模的雪灾。与内蒙古苏尼特草原等地相比,伊犁地区的雪灾具有明显的频次高和强度大的季节性特点,特别是在冬季更加集中[13]。这些特点给当地的雪灾风险评估和管理带来了特别的挑战。2014年,雪灾严重影响了伊犁地区的昭苏县和伊宁县,共有1.10×104人受灾,直接经济损失高达1.60×108[14]。这一雪灾事件严重影响了当地居民的生活,并揭示了该地区在雪灾预警和应急响应措施方面的不足。
鉴于雪灾在中国的普遍性和严重性,研究人员正在加强开发综合评估模型,目的是提升对这类灾害的理解和应对能力[15]。这些模型融合灾情、气象、遥感、地理信息和社会经济等多维度数据,以精确预测灾害的影响[15-16]。例如,刘兴元等[17]利用1999—2000年NOAA卫星数据与地面观测资料,建立了草地畜牧业雪灾评价模型和损失估算模型,实现了阿勒泰牧区遥感获取雪灾信息。庄晓翠等[18]通过采用1961—2012年的多种气象观测资料,包括最大积雪深度、逐月降水量等,分析了同期雪灾、太阳黑子和牧草量,研究了新疆北部阿勒泰牧区雪灾灾情及其成因。王秀琴等[10]选取1955—2017年牲畜受灾数量、作物受灾面积和经济损失构建灾损指数,揭示了新疆雪灾时空分布特征。许剑辉等[19]对2000—2010年新疆雪灾监测数据进行分析,利用时空自相关法探讨了雪灾时空演变特征。魏娟娟等[20]选用塔城地区7个国家气象观测站逐日降水、温度、常规地面和高空观测资料、美国国家环境预报中心(NCEP)再分析资料,确定了2000—2019年塔城地区暖区暴雪天气过程并进行分析。
现有研究已经提供了对不同地区雪灾发生频率和影响程度的基本认识。但这些研究往往集中于分析雪灾的单一影响因素,如降雪量或气温。这种分析方法限制了对雪灾复杂性的理解。特别是对于伊犁地区,尽管该地区雪灾频繁且影响深远,但其时空分布特征的全面分析仍然不足。
基于上述分析,本研究以伊犁地区为例,聚焦于由暴雪过程直接引起的雪灾,特别关注短时间内大量降雪和伴随的不利天气条件所引发的雪灾事件。通过构建灾损指数,致力于分析雪灾的时空分布特征、严重程度和影响范围。该指数综合了影响人口、死亡人数和农作物受损等6个关键因素,为雪灾评估提供了全面的视角。利用这一指数,本研究将为制定有效的防灾减灾措施和应急响应策略提供有力的数据支持。

1 数据与方法

1.1 研究区概况

伊犁地区(80°09′42″~84°56′50″E,42°14′16″~44°53′30″N)位于新疆西北部,由于东、南、北三面环绕的高山地形和西向敞开的喇叭形地貌,形成了伊犁地区独特的自然景观和生态环境。伊犁地区与南疆的塔里木盆地、东疆的哈密吐鲁番盆地共同构成了新疆独特的自然地理格局。伊犁地区属寒温带半干旱大陆性气候,夏季短暂而冬季漫长,年平均气温2.9~9.1 ℃,年均日照时数2700~3000 h。该地区年均降水量200~800 mm,降水量在月、季、年度间变化显著。山区的降水量通常高于平原地区,且不同局部区域之间的差异较大。特别是在秋季末和春季初,冷空气的频繁入侵导致气温急剧下降,可能引发降雨或降雪天气,甚至伴随着风速超过10 m·s-1的暴风雪。这些极端天气条件为雪灾的发生提供了有利条件,使得伊犁地区面临较高的雪灾风险[21]

1.2 数据来源

灾情数据来源于《中国气象灾害大典·新疆卷》以及新疆维吾尔自治区民政厅提供的雪灾记录。通过整理《中国气象灾害大典·新疆卷》中1990—2000年的雪灾数据,以及民政厅2001—2020年的雪灾数据,得到伊犁地区1990—2020年的95条雪灾事件数据。这些记录包含灾害发生时间、影响区域、影响人口、死亡人数、倒塌房屋和农作物受损面积等关键指标。各类雪灾损失数据的完整性较好。其中,直接经济损失数据的完整率为75.5%,影响人口、死亡人数、房屋倒塌、死亡大牲畜和农作物受灾面积5类数据完整可用。

1.3 研究方法

1.3.1 灾损指数的计算

灾损指数计算步骤具体为:首先,从雪灾事件中筛选出6个关键灾情指标。这些指标包括影响人口、死亡人数、房屋倒塌数量、直接经济损失、死亡大牲畜数量和农作物受灾面积;其次,计算每次雪灾事件中各灾情指标的平均值和最大值;并对各灾情指标进行无量纲化处理,以消除不同指标量纲的影响;然后为无量纲化后的各灾情指标赋予权重 a j ;最后,计算每次雪灾事件的灾损指数[22-26]。灾损指数计算公式为:
Z i = a 1 X i 1 X 1 ¯ + a 2 X i 2 X 2 ¯ + a 3 X i 3 X 3 ¯ + a 4 X i 4 X 4 ¯ + a 5 X i 5 X 5 ¯ + a 6 X i 6 X 6 ¯
式中: Z i为第i次雪灾事件的灾损指数; a 1 a 2 a 3 a 4 a 5 a 6分别为影响人口、死亡人数、房屋倒塌数量、直接经济损失、死亡大牲畜数量和农作物受灾面积6个灾情指标的权重; X i 1 X i 2 X i 3 X i 4 X i 5 X i 6分别为第i个雪灾事件中6个灾情指标的记录数值; X 1 ¯ X 2 ¯ X 3 ¯ X 4 ¯ X 5 ¯ X 6 ¯分别为6个灾情指标在所有事件中的平均值; X i 1 X 1 ¯ X i 2 X 2 ¯ X i 3 X 3 ¯ X i 4 X 4 ¯ X i 5 X 5 ¯ X i 6 X 6 ¯分别为第i个雪灾事件无量纲化后的值。
采用比值法确定上述6个灾情评估指标的权重。权重的分配反映了各灾情指标在历史雪灾事件中的相对重要性。权重计算公式[22]为:
a j = i = 1 n X i j X j a j = 1 m i = 1 n X i j X j a
式中: a j为第 j个灾情指标的权重;n为雪灾事件总数; m为灾情指标的总数; X i j为第i次雪灾事件中第 j个灾情指标的记录数值; X j a为第 j个灾情指标在所有雪灾事件中的最大值。

1.3.2 灾损等级的划分标准

采用百分位数法对伊犁地区的雪灾严重性进行等级划分。首先,将所有雪灾事件的灾损指数从小到大排序,然后根据排序后的分布,确定第25、50和75百分位数作为不同严重性等级的阈值。具体等级划分标准为:灾损指数位于第25百分位数以下定义为一般等级(1级);介于第25至50百分位数之间的为较重等级(2级);处于第50至75百分位数之间的归为严重等级(3级);超过第75百分位数的事件则被划分为特重等级(4级)。此方法可为雪灾的管理和评估提供明确的量化标准。百分位数计算公式[26-27]为:
P r = X d + X d + 1 - X d d - d
d = 1 + ( n - 1 ) r
式中: P r为第r个百分位数;d为百分位数r在样本中的具体位置; d为取d的整数部分; X d X d + 1分别为位次 d d + 1上的数据;n为雪灾事件总数;r为百分位数数值(如25、50、75)。

1.3.3 空间分布图绘制与分析

采用地理信息系统深入分析1990—2020年伊犁地区雪灾的空间分布特征。首先,构建一个包含灾情指标的数据集,该数据集涵盖了发生区域、死亡人口和倒塌房屋等关键灾情指标,以及灾损指数和雪灾严重性等级。所有数据均按照标准化格式规范整理,并存储为Excel(xls)文件。然后,利用ArcMap软件将整理好的数据导入并转化为直观的空间分布图,清晰展示了灾损指数和雪灾强度等级。

2 结果与分析

2.1 灾损指数构建及权重确定

在雪灾评估中,6个灾情指标时,影响人口、直接经济损失和死亡人口具有较高的权重(表1)。死亡大牲畜和农作物受灾面积权重较低,且与灾损指数相关系数也较低,故将这2个指标剔除。4个灾情指标时,影响人口、直接经济损失和死亡人口的权重基本一致,倒塌房屋的权重较低(0.19),但其权重相较于剔除指标前有所提升。通过计算灾损指数与不同数量组合灾情指标相关系数,结果显示相关系数均为正值且显著性水平α均小于0.01,表明灾损指数能综合表达不同数量组合灾情指标,且灾损指数大小可以量化反映雪灾事件的强弱。灾情评估因子与灾损指数的相关系数显著提升,其中影响人口达0.78、死亡人口0.56、倒塌房屋0.63、直接经济损失0.54,验证了灾损指数综合反映雪灾事件强度的准确性。
表1 伊犁地区雪灾关键灾情指标统计

Tab. 1 Statistics of key disaster indicators of snow disaster in the Ili region

灾情指标 影响
人口/人
死亡
人口/人
倒塌
房屋/间
直接
经济损失/104
死亡
大牲畜/头
农作物
受灾面积/km2
统计值

平均值 3602.19 0.73 288.81 552.21 533.66 1813.27
最大值 50557.00 9.00 5852.00 8000.00 9500.00 86666.67
无量纲求和 6.84 6.53 4.74 6.63 2.36 2.01
6指标
权重 0.21 0.20 0.15 0.21 0.17 0.06
与灾损指数的相关系数 0.69 0.51 0.58 0.52 0.29 0.20
5指标
权重 0.23 0.22 0.16 0.22 0.18 -
与灾损指数的相关系数 0.72 0.52 0.59 0.47 0.29 -
4指标
权重 0.28 0.26 0.19 0.27 - -
与灾损指数的相关系数 0.78 0.56 0.63 0.54 - -

注:“-”表示该因素不参与灾损指数计算。下同。

综合6个灾情指标计算灾损指数划分雪灾等级发现,1990—2020年伊犁地区一般等级的雪灾事件共发生了47次,较重、严重和特重等级的雪灾事件分别发生了25次、18次和5次(表2)。综合5个灾情指标划分一般等级雪灾48次,较重等级22次,严重和特重等级分别为20次和5次。综合4类灾情指标划分一般等级雪灾47次,较重等级24次,严重和特重等级分别为19次和5次。
表2 伊犁地区雪灾等级划分标准与灾情指标平均值对比

Tab. 2 Comparison between snow disaster classification standards and average values of disaster indicators in the Ili region

灾情
指标
百分位
数/%
灾损指数
阈值
危害等级 出现次数 影响人口/人 死亡人口/人 倒塌房屋/间 直接经济损失/104 死亡大牲畜/头 农作物受灾面积/km2
6指标



(-∞, 25] (-∞, 0.02] 1 47 3658.15 0.68 298.22 534.34 551.00 1863.07
(25, 50] (0.02, 0.09] 2 25 3912.57 0.65 334.90 550.61 621.26 1768.47
(50, 75] (0.09, 0.24] 3 18 3640.51 0.74 291.88 556.81 539.34 1832.53
(75, 100] (0.24, ∞) 4 5 4330.55 0.60 407.06 550.02 780.84 883.93
5指标



(-∞, 25] (-∞, 0.02] 1 48 3640.45 0.67 291.88 557.91 539.24 -
(25, 50] (0.02, 0.09] 2 22 4310.03 0.68 376.18 518.19 698.46 -
(50, 75] (0.09, 0.23] 3 20 3640.51 0.74 291.88 356.81 539.34 -
(75, 100] (0.23, ∞) 4 5 6471.79 0.82 636.77 507.47 1274.92 -
4指标



(-∞, 25] (-∞, 0.02] 1 47 3640.45 0.67 291.89 557.91 - -
(25, 50] (0.02, 0.08] 2 24 4390.75 0.50 390.98 534.77 - -
(50, 75] (0.08, 0.28] 3 19 3640.51 0.74 291.88 556.81 - -
(75, 100] (0.28, ∞) 4 5 6471.79 0.82 636.77 507.47 - -
以特重等级雪灾为例,通过比对不同灾情指标组合划分的灾害强度等级(表3),发现剔除死亡大牲畜和农作物受灾面积这2个相关性较低的指标后,虽然灾损指数和灾害强度等级有所调整,但整体趋势稳定。这表明即使在指标记录不完整时,关键指标依然能有效评估雪灾强度。综合近30 a的数据,伊犁地区雪灾事件发生次数表现出一定的规律性。一般等级雪灾发生频次最多(47~48次),较重和严重等级次之(18~25次),特重等级最少(5次)。这些数据不仅揭示了雪灾发生的频率分布,而且强调了关键指标在评估过程中的重要性,表明应用更多灾情指标类型和完整的指标记录信息,能够显著提高灾损指数的准确性,使其能更精确地捕捉和反映雪灾的强度等级。
表3 基于不同灾情指标的伊犁地区特重等级雪灾事件评估

Tab. 3 Evaluation of heavy snow disaster events in the Ili region based on different disaster indicators

县名 雪灾发生地名称 雪灾开始日期
(年-月-日)
雪灾结束日期
(年-月-日)
灾情指标数
4指标 5指标 6指标
新源县 全县范围 1999-12-29 2000-01-04 符合 符合 符合
新源县 坎苏乡、那拉提镇 2010-01-09 2010-01-26 符合 符合 符合
新源县 那拉提镇 2010-02-24 2010-02-24 符合 符合 符合
伊宁县 伊宁县县域 2010-02-26 2010-03-31 符合 符合 符合
伊宁县 伊宁县各乡镇 2010-02-26 2010-03-03 符合 不符合 符合
霍城县 61团、62团 2013-03-31 2013-04-01 不符合 不符合 符合

注:“符合”表示该指标中此次雪灾事件为特重等级雪灾,符合实际情况;“不符合”表示该指标中此次雪灾事件不是特重等级雪灾,不符合实际情况。

2.2 雪灾次数与强度的时间序列分析

2.2.1 雪灾次数和强度的月特征

伊犁地区的雪灾发生次数呈现出显著的双峰型分布模式(图1)。这种模式揭示了2个主要的高发时段:首先是11月,作为冬季的起始月份,发生了13次雪灾事件;其次是1月和2月。这2个月的累积雪灾事件数量达到47次,占到了整个年度雪灾发生次数的近50%。与此相比,夏季和秋季的雪灾发生率相对较低。这一发现,对于制定针对性的防灾减灾措施至关重要,特别是在这些高发月份,需要加强对雪灾风险的管理与应对准备。
图1 1990—2020年伊犁地区雪灾发生次数月度分布

Fig. 1 Monthly distribution of snow disaster frequency in the Ili region from 1990 to 2020

伊犁地区5月和8月的雪灾强度等级普遍较轻,主要为一般等级,且年均发生频次低于2次。6月和10月雪灾的强度等级有所上升,包括一般和较重2类,但整体次数仍然较低。11月未见严重等级的雪灾发生,一般等级的雪灾占主导地位,这与该月份气候逐渐变冷但尚未达到冬季的极端条件有关。冬季月份(12月—翌年2月)的雪灾强度等级显著升高,严重及特重等级雪灾频发,不同强度等级的雪灾均有发生(图2)。这一季节性特征与冬季的低温和大量降雪情况相符合,提示这一时期应加强监测和预警系统,以减少雪灾带来的潜在影响。此外,研究发现随着灾情指标数量的增加,对严重和特重雪灾的识别精度也随之提高,相较于4个和5个指标的组合,6指标能够更有效地识别出严重和特重强度等级的雪灾。
图2 1990—2020年伊犁地区雪灾强度等级发生次数月度分布

Fig. 2 Monthly distribution of snow disaster intensity levels in the Ili region from 1990 to 2020

2.2.2 灾情指标的月特征

为了直观地呈现1990—2020年伊犁地区不同月份中各灾情指标对雪灾严重性的具体贡献,并揭示雪灾的季节性模式及其对每个月主要受灾类型的影响,绘制了灾情指标月度贡献的百分比堆积图(图3)。在农作物生长关键期的6月和10月,直接经济损失和农作物受灾面积等灾情指标的百分比较高,反映出这2个月份雪灾对农业生产的潜在威胁及其对经济的显著影响。12月—翌年3月,由于是雪灾高发期,灾情指标如影响人口和倒塌房屋的百分比上升,突显了对居民生活和基础设施安全的高度关注。4月,雪灾主要影响畜牧业。这种季节性差异,不仅有助于识别雪灾的高风险月份,也为采取针对性的预防措施提供了科学依据。
图3 1990—2020年伊犁地区灾情指标月度贡献百分比

Fig. 3 Monthly contribution percentage of disaster indicators in the Ili region from 1990 to 2020

综上,伊犁地区的雪灾具有显著的季节性分布,且随着综合考虑的灾情指标数量的增加,对雪灾强度等级的评估变得更加精确。这一发现对于制定该地区雪灾的预警系统和雪灾管理策略具有重要的指导意义。

2.2.3 雪灾次数和强度的年特征

在对各灾情指标不同月份影响程度分析的基础上,本研究进一步探讨了雪灾及其强度等级次数、关键灾情指标贡献的年变化特征。1990—2020年伊犁地区雪灾发生次数(图4)和雪灾强度等级年分布特征(图5)共同揭示了该地区雪灾的年度分布和强度变化特征。1990—2020年,伊犁地区平均每年发生4次雪灾,表明雪灾对该地区构成了持续的影响。2010、2012年和2014年的雪灾次数显著增加,成为研究期间的显著高峰。1994—2003年,雪灾强度普遍处于较低水平,主要表现为一般等级。2005年,雪灾强度有所上升,不同等级的雪灾分布较为均匀,反映出雪灾影响的广泛性。2006—2009年,雪灾发生次数和强度均有所下降,表现为雪灾相对较少的时段。2010、2012年和2014年,雪灾次数和强度再次上升,特别是特重等级的雪灾,对地区造成了显著影响。2014年之后,数据显示雪灾发生次数和强度均有所下降,未再记录到严重或特重等级的雪灾,表明雪灾的整体影响有所减少。这种变化趋势与气候变化、地区发展和防灾减灾措施的实施等多种因素有关,需进一步地分析来确定具体的影响因素。
图4 1990—2020年伊犁地区雪灾发生次数年际分布

Fig. 4 Annual distribution of snow disaster frequency in the Ili region from 1990 to 2020

图5 1990—2020年伊犁地区雪灾强度等级发生次数年际分布

Fig. 5 Annual distribution of snow disaster intensity levels in the Ili region from 1990 to 2020

2.2.4 灾情指标的年特征

1990—2020年伊犁地区灾情指标年际贡献百分比堆积图(图6)清晰地揭示了各指标对雪灾严重性的累积影响。2000年之前,死亡人口是雪灾的主要影响因素。1999—2009年雪灾对畜牧业的影响最为显著。2003年,死亡大牲畜数量最多。2010年之后,人员伤亡虽有所减少,但经济损失占比上升,同时受影响人口和倒塌房屋数量也有所增加。此外,灾情指标的年变化分析揭示了不同灾情指标对灾损指数贡献的变化(图6)。例如,影响人口和倒塌房屋在某些年份可能占据了较大的权重,而在其他年份,直接经济损失和死亡大牲畜可能成为影响灾损指数的主要因素。这种变化趋势与地区发展、人口分布、经济结构以及防灾减灾能力的变化有关。
图6 1990—2020年伊犁地区灾情指标年际贡献百分比

Fig. 6 Annual contribution percentage of disaster indicators in the Ili region from 1990 to 2020

2.3 雪灾影响的空间分布与区域差异性

2.3.1 灾损指数的空间特征

通过自然间断点分级法处理10个县(市)近30 a累积的雪灾灾损指数数据,并借助ArcMap软件绘制了灾损指数及其等级累积值的空间分布图(图7)。尼勒克县灾损最为严重,累积值为36。新源县和伊宁县灾损指数也较高且灾损指数相近,分别为27和26。与此相比,霍尔果斯市的灾损指数较低,说明该市受雪灾的影响相对较轻。分析结果揭示了雪灾等级虽因不同灾情指标组合而异,但整体的空间分布显示出一定的稳定性。
图7 不同数量指标的灾损指数多年累积值空间分布

注:基于自然资源部标准地图服务网站审图号为GS(2019)3333号的标准地图制作,底图边界无修改。下同。

Fig. 7 Spatial distributions of disaster loss index multi-year cumulative values for different quantity indicators

2.3.2 雪灾次数与强度的空间特征

1990—2020年伊犁地区各县(市)共发生了95次雪灾。其中,尼勒克县的雪灾次数最高,累积达20次。伊宁县和特克斯县紧随其后,累积次数均为13次。新源县和察布查尔锡伯自治县的累积雪灾次数均为11次。巩留县、伊宁市、昭苏县和霍尔果斯市的累积雪灾次数分别为8次、6次、4次和1次(图8)。
图8 1990—2020年伊犁地区各县(市)雪灾发生次数分布

Fig. 8 Distribution of snow disaster frequency by counties (cities) in the Ili region from 1990 to 2020

1990—2020年伊犁地区各县(市)不同指标划分的雪灾强度发生次数具有差异性(图9)。霍尔果斯市仅发生一次轻度等级的雪灾。新源县的雪灾等级分布最为广泛,综合6个指标评价结果显示,一般、较重、严重和特重等级雪灾的发生次数占比分别为27.3%、18.2%、36.4%和18.5%。伊宁县在4个指标条件下未能体现出特重等级的雪灾。察布查尔锡伯自治县、尼勒克县和特克斯县的雪灾等级主要集中在一般、较重和严重。昭苏、伊宁市等其余4个县(市)的雪灾主要集中在一般和较重2个等级,且一般等级居多。
图9 1990—2020年伊犁地区各县(市)雪灾强度等级发生次数分布

Fig. 9 Distribution of snow disaster intensity levels by counties (cities) in the Ili region from 1990 to 2020

2.3.3 灾情指标的空间特征

通过综合考量雪灾的年均发生次数与6个关键灾情指标(影响人口、死亡人口、倒塌房屋、直接经济损失、死亡大牲畜和农作物受灾面积)的30 a累积平均值,评估了各县(市)的年均受灾情况(图10)。伊宁县以4055.83人的年均影响人口位居首位,尼勒克县和新源县分别以2130.57人和1660.52人紧随其后(图10a)。新源县在死亡人口方面年均最高,为1.36人。其他县(市)年均死亡人口接近0.06人·a-1图10b)。伊宁县和尼勒克县在倒塌房屋数量上显著高于其他县(市),伊宁县年均高达393.5间(图10c)。尼勒克县在直接经济损失上年均损失最大,为440×104元,新源县和霍城县分别以303×104元·a-1和275×104元·a-1紧随其后(图10d)。伊宁县在死亡大牲畜数量上年均死亡411头,领先于其他县(市),察布查尔锡伯自治县341头,霍城县和伊宁市均为316头(图10e)。昭苏县农作物受灾面积最大,为2992.67 km2,霍城县为1555.53 km2图10f)。昭苏县年均雪灾次数虽较低,但年均直接经济损失达到197×104元,显示出单次雪灾带来的重大经济影响。昭苏县虽然雪灾次数不高,但经济影响显著,强调了持续监测和管理雪灾风险的重要性。这些数据不仅突出了伊犁地区雪灾影响的空间差异性,也为区域雪灾管理和防灾减灾策略制定提供了重要的数据支持。
图10 1990—2020年伊犁地区各县(市)雪灾评估灾情指标多年均值空间分布

Fig. 10 Spatial distributions of multi-year average values of snow disaster assessment indicators by counties (cities) in the Ili region from 1990 to 2020

2.4 雪灾成因的气象要素综合评估

气象要素是影响雪灾发生和强度的直接因素,深入分析这些要素有助于更全面地理解雪灾的成因和影响机制。对伊犁地区1990—2020年95场雪灾事件的气象要素进行了综合分析。关键气象要素影响指标包括单次雪灾事件时段内累积降雪量、最大积雪深度、最低气温和降雪持续天数。累积降雪量提供了对单次雪灾事件降雪总量的量化评估,而最大积雪深度则揭示了积雪对地面条件的影响。最低气温记录了雪灾期间的极端气候条件,对于理解雪灾的气候背景至关重要。降雪持续天数则反映了雪灾事件的持续时间和潜在的累积效应。这些指标对评估雪灾严重性和影响范围至关重要,并与雪灾时空分布、灾损指数构建及风险评估紧密相关。
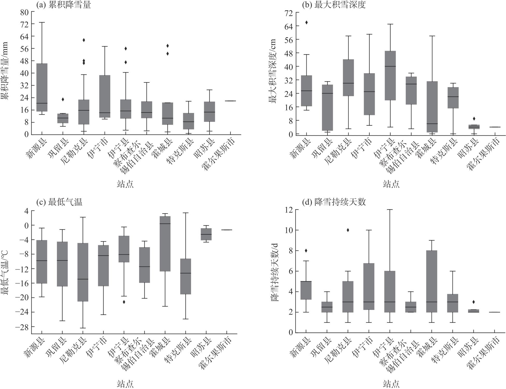
1990—2020年伊犁地区雪灾的致灾气象要素在不同区域表现出明显的差异性,但整体分布趋势较为集中(图11)。昭苏站的最大积雪深度记录最高,说明即使在降雪持续天数和总量不是极端多的情况下,较高的降雪强度也能导致严重的雪灾。新源站记录了最多的降雪持续天数和最大的累积降雪量,而特克斯站对应的气象要素值则普遍较低。具体看,伊犁地区累积降雪量的中位数为14.0 mm,标准差达到16.4 mm,显示出不同观测点降雪量的显著波动。新源站以31.7 mm的平均累积降雪量位居首位,特克斯站则以9.7 mm的累积降雪量居末,反映出地区之间在降雪量上的巨大差异。伊犁地区降雪持续天数平均为3.6 d,多数观测点的降雪持续天数集中在2.0~4.3 d。其中,新源站降雪持续天数最多,霍尔果斯站最少。最大积雪深度方面,霍城站显示出最大的标准差,为20.8 cm,昭苏站的标准差最小,为3.7 cm。最低气温的波动也呈现出类似的特点,各站点平均最低气温为-10.3 ℃,变化范围为-28.4~3.4 ℃。特克斯站记录了最低气温,霍尔果斯站的最低气温相对较高。霍城站的最低气温标准差最大,达到10.03 ℃,昭苏站的标准差最小,为2.18 ℃。
图11 1990—2020年伊犁地区雪灾事件发生时段关键气象影响要素箱线图

Fig. 11 Box plots of key meteorological impact factors during snow disaster events in the Ili region from 1990 to 2020

分析发现,尼勒克县、新源县、伊宁县和特克斯县作为雪灾高发地区,最大积雪深度的均值较高,与其他区域有明显差异。尼勒克县、新源县和伊宁县的累积降雪量最大值较高。这些发现为理解伊犁地区雪灾的时空分布特征提供了关键的气象学证据,并为雪灾风险评估和雪灾管理提供了科学依据。通过识别不同区域的气象要素特征,可以更精确地预测雪灾风险,进而为制定有效的防灾减灾措施提供数据支持。

3 结论

(1)1990—2020年伊犁地区雪灾次数的双峰型分布和周期性变化。伊犁地区雪灾主要集中在11月、1月和2月,其中1月达到峰值,2月次之。在春季和秋季,雪灾发生次数相对较低。在灾害次数高且等级严重的月份,灾损类型也更为多样。1990—2020年,年均雪灾发生次数约为4次,而2010、2012年和2014年记录的雪灾次数分别为17次、12次和11次,显著高于平均水平。此外,雪灾次数在1994—2009年较高,随后在2010—2013年有所下降,并在2014—2020年进一步减少,表明了雪灾发生的周期性变化。这些阶段性变化可能与气候变化和区域适应性措施的实施有关。
(2)雪灾影响在伊犁地区呈现显著的空间差异性。尼勒克县、新源县和伊宁县受灾最为严重,而昭苏县受影响相对较小。建议在灾害管理和规划中需考虑地区特定的风险特征。
(3)多指标组合评估方法的重要性通过多指标组合评估方法,有效提升了对严重及特重雪灾的识别精度。结果表明,增加评估指标的数量能够显著提高灾损指数的准确性,尤其是在采用6个指标时,相比于4或5个指标,更能精确地界定雪灾的强度等级。这一发现强调了综合评估在雪灾管理中的重要性,为灾害风险评估提供了更为可靠的依据。
(4)伊犁地区影响雪灾风险的关键气象要素是累积降雪量、最大积雪深度、最低气温和降雪持续天数。这些气象要素在地区内不同区域表现出的显著差异性,为雪灾风险评估提供了至关重要的指标。尽管存在区域差异,这些气象要素的整体分布较为集中,为设定雪灾致灾条件的阈值提供了坚实的科学基础。利用这些指标,能够更精确地评估雪灾的严重程度,进而为制定有效的防灾减灾策略提供重要的数据支持。
基于上述发现,建议有关部门通过建立更加精细化的雪灾预警系统和完善应急预案,提高对极端雪灾事件的响应能力。特别是在11月和1—2月期间,应针对不同区域的特定风险,制定并实施差异化的防灾减灾措施。此外,建议利用关键气象要素建立和优化雪灾风险评估模型,以提供科学的数据支持,从而更有效地管理灾害风险。
[1]
Changnon S A, Changnon D, Karl T R. Temporal and spatial characteristics of snowstorms in the contiguous United States[J]. Journal of Applied Meteorology and Climatology, 2006, 45(8): 1141-1155.

[2]
Cohen J, Pfeiffer K, Francis J A. Warm Arctic episodes linked with increased frequency of extreme winter weather in the United States[J]. Nature Communications, 2018, 9(1): 869, doi: 10.1038/s41467-018-02992-9.

PMID

[3]
杨登兴, 刘峰贵, 延军平, 等. 青藏铁路沿线雪灾风险评估[J]. 地理研究, 2021, 40(5): 1223-1238.

DOI

[Yang Dengxing, Liu Fenggui, Yan Junping, et al. A risk assessment of snow disaster along Qinghai-Tibet railway[J]. Geographical Research, 2021, 40(5): 1223-1238.]

[4]
AghaKouchak A, Chiang F, Huning L S, et al. Climate extremes and compound hazards in a warming world[J]. Annual Review of Earth and Planetary Sciences, 2020, 48(1): 519-548.

[5]
Gao J M. Analysis and assessment of the risk of snow and freezing disaster in China[J]. International Journal of Disaster Risk Reduction, 2016, 19: 334-340.

[6]
韩燕丽. 苏尼特草原雪灾时空分布特征[J]. 现代盐化工, 2023, 50(1): 89-91.

[Han Yanli. Spatiotemporal distribution characteristics of snow disasters in Sunit grassland[J]. Modern Salt and Chemical Industry, 2023, 50(1): 89-91.]

[7]
李兴, 李金凤, 陈宏松, 等. 青海海西地区近41年雪灾时空分布特征[J]. 青海环境, 2022, 32(2): 90-95.

[Li Xing, Li Jinfeng, Chen Hongsong, et al. Temporal and spatial distribution characteristics of snow disasters in Haixi area of Qinghai Province in recent 41 years[J]. Journal of Qinghai Environment, 2022, 32(2): 90-95.]

[8]
葛海燕. 赤峰地区近60年雪灾时空分布特征分析[J]. 农业技术与装备, 2022(1): 146-148.

[Ge Haiyan. Analysis on temporal and spatial distribution characteristics of snow disaster in Chifeng area in recent 60 years[J]. Agricultural Technology & Equipment, 2022(1): 146-148.]

[9]
彭英超, 陈晶, 唐仲涛. 近60年黄南州南部牧区雪灾特征研究[J]. 农业灾害研究, 2021, 11(9): 84-86.

[Peng Yingchao, Chen Jing, Tang Zhongtao. A study on the characteristics of snow disasters in the pastoral areas of southern Huangnan Prefecture in recent 60 years[J]. Journal of Agricultural Catastropholgy, 2021, 11(9): 84-86.]

[10]
王秀琴, 卢新玉, 马禹, 等. 基于灾情数据的新疆雪灾的评估与区划[J]. 冰川冻土, 2019, 41(4): 836-844.

DOI

[Wang Xiuqin, Lu Xinyu, Ma Yu, et al. Study on snow disaster assessment method and snow disaster regionalization in Xinjiang[J]. Journal of Glaciology and Geocryology, 2019, 41(4): 836-844.]

DOI

[11]
肖鹏峰. 2022年美国雪灾应对工作分析及建议[J]. 中国减灾, 2023(3): 36-39.

[Xiao Pengfeng. Analysis and recommendations on the response to the 2022 snow disaster in the United States[J]. Disaster Reduction in China, 2023(3): 36-39.]

[12]
2006年全国低温冷冻和雪灾情况[J]. 中国减灾, 2007(2): 16.

[2006 national situation on low-temperature freeze and snow disasters[J]. Disaster Reduction in China, 2007(2): 16.]

[13]
王旭, 储长江, 牟欢. 新疆雪灾空间格局和年际变化特征分析[J]. 干旱区研究, 2020, 37(6): 1488-1495.

[Wang Xu, Chu Changjiang,, Mou Huan. . Spatial pattern and interannual variation characteristics of snow disaster in Xinjiang[J]. Arid Zone Research, 2020, 37(6): 1488-1495.]

[14]
安莹, 李生才. 2014年9—10月国内环境事件[J]. 安全与环境学报, 2014, 14(6): 348-351.

[An Ying, Li Shengcai. Statistics of environmental events in China during period from November to December in 2013[J]. Journal of Safety and Environment, 2014, 14(6): 348-351.]

[15]
马恒, 张钢锋, 史培军. 畜牧业雪灾致灾成害过程和风险评估研究进展与展望[J]. 地理科学进展, 2021, 40(12): 2116-2129.

DOI

[Ma Heng, Zhang Gangfeng, Shi Peijun. Advances and prospects of livestock snow disaster mechanism research and risk assessment[J]. Progress in Geography, 2021, 40(12): 2116-2129.]

DOI

[16]
赵慧霞, 周立隆, 袁慧敏, 等. 东北地区强降雪过程综合评估模型初探[J]. 气象与环境科学, 2021, 44(3): 1-7.

[Zhao Huixia, Zhou Lilong, Yuan Huimin, et al. Comprehensive assessment model of heavy snow process in northeast China[J]. Meteorological and Environmental Sciences, 2021, 44(3): 1-7.]

[17]
刘兴元, 梁天刚, 郭正刚, 等. 阿勒泰地区草地畜牧业雪灾的遥感监测与评价[J]. 草业学报, 2003(6): 115-120.

[Liu Xingyuan, Liang Tiangang, Guo Zhenggang, et al. Assessment and monitoring of snow disaster effect on grassland livestock industry in the Aletai region using remote sensing technology[J]. Acta Prataculturae Sinica, 2003(6): 115-120.]

[18]
庄晓翠, 周鸿奎, 王磊, 等. 新疆北部牧区雪灾评估指标及其成因分析[J]. 干旱区研究, 2015, 32(5): 1000-1006.

[Zhuang Xiaocui, Zhou Hongkui, Wang Lei, et al. Evaluation and cause study on the snow disasters in pastoral areas of northern Xinjiang[J]. Arid Zone Research, 2015, 32(5): 1000-1006.]

[19]
许剑辉, 舒红, 刘艳. 2000—2010年新疆雪灾时空自相关分析[J]. 灾害学, 2014, 29(1): 221-227.

[Xu Jianhui, Shu Hong, Liu Yan. Spatio-temporal autocorrelation of snow disasters in Xinjiang from 2000 to 2010[J]. Journal of Catastrophology, 2014, 29(1): 221- 227.]

[20]
魏娟娟, 万瑜, 张俊兰, 等. 近20 a塔城地区暖区暴雪环流分型及成因分析[J]. 干旱区地理, 2022, 45(6): 1718-1728.

DOI

[Wei Juanjuan, Wan Yu, Zhang Junlan, et al. Circulation classification and cause analysis of the warm-area blizzards in Tacheng area in recent 20 years[J]. Arid Land Geography, 2022, 45(6): 1718-1728.]

DOI

[21]
李彦华, 高明华, 肖继东, 等. 伊犁地区近35年冬季积雪变化特征分析[J]. 沙漠与绿洲气象, 2007(2): 26-28.

[Li Yanhua, Gao Minghua, Xiao Jidong, et al. Comparison analysis of snow change characteristic in Yili region in recent 35 years[J]. Desert and Oasis Meteorology, 2007(2): 26-28.]

[22]
王秀琴, 王昀, 王旭. 1990—2019年新疆不同等级风灾变化特征[J]. 气象科技, 2022, 50(2): 273-281.

[Wang Xiuqin, Wang Yun, Wang Xu. Variation characteristics of wid disasters at different levels in Xinjiang from 1990 to 2019[J]. Meteorological Science and Technology, 2022, 50(2): 273-281.]

[23]
李凡, 侯光良, 鄂崇毅, 等. 基于乡镇单元的青海高原果洛地区雪灾致灾风险评估[J]. 自然灾害学报, 2014, 23(6): 141-148.

[Li Fan, Hou Guangliang, E Chongyi, et al. Township unit-based risk assessment of snowstorm hazard in Guoluo Prefecture of Qinghai Plateau[J]. Journal of Natural Disasters, 2014, 23(6): 141-148.]

[24]
郭帷, 谢海涛, 王旭, 等. 1981—2019年北疆暴雨洪涝灾害的时空变化特征分析[J]. 暴雨灾害, 2022, 41(1): 101-108.

[Guo Wei, Xie Haitao, Wang Xu, et al. Spatio-temporal variation of rainstorm flooding disaster events in northern Xinjiang from 1981 to 2019[J]. Torrential Rain and Disasters, 2022, 41(1): 101-108.]

[25]
常秉松, 许东蓓, 丁艺涵, 等. 青海省洪涝灾害及致洪降雨特征综合分析[J]. 高原气象, 2023, 42(5): 1194-1206.

DOI

[Chang Bingsong, Xu Dongbei, Ding Yihan, et al. Comprehensive analysis of flooding and flooding causing precipitation characteristics in Qinghai Province[J]. Plateau Meteorology, 2023, 42(5): 1194-1206.]

DOI

[26]
陈颖, 马禹. 新疆不同等级暴雨洪涝灾害的时空变化特征[J]. 干旱区地理, 2021, 44(6): 1515-1524.

DOI

[Chen Ying, Ma Yu. Spatial and temporal characteristics of flood and rainstorm disaster in Xinjiang[J]. Arid Land Geography, 2021, 44(6): 1515-1524.]

DOI

[27]
韩孺村, 张莹, 李占玲. 两种不确定性来源对干旱指数SPEI及干旱评估的影响[J]. 干旱区地理, 2022, 45(5): 1392-1401.

DOI

[Han Rucun, Zhang Ying, Li Zhanling. Effects of two uncertainty sources on drought index of SPEI and on drought assessment[J]. Arid Land Geography, 2022, 45(5): 1392-1401.]

DOI

文章导航

/