Distribution characteristics and influencing factors of macrobenthos in nascent saltmarsh wetlands of the Yellow River Delta

  • Qu Chenyu , 1 ,
  • Fang Qing 1 ,
  • Yu Junbao 2 ,
  • Liu Yanzhi 1 ,
  • Zhang Xitao 3 ,
  • Zhu Tao 1 ,
  • Yang Jisong 1 ,
  • Wang Xuehong , 1, *
Expand

Received date: 2024-09-03

  Revised date: 2024-10-15

  Online published: 2026-03-12

Copyright

Copyright ©2025 Wetland Science. All rights reserved.

Abstract

Exploring the distribution characteristics and key influencing factors of macrobenthos in the nascent wetlands is critical for understanding the quality of saltmarsh wetland ecosystems and their responses to environmental changes. This paper takes the nascent saltmarsh wetlands in the Yellow River Delta after the governance of Spartina alterniflora as the study area, and analyzes the composition structure, distribution characteristics, and key influencing factors of macrobenthos in this area during the summer of 2023. A total of 26 macrobenthic species were collected in these wetlands, belonging to five phyla: 9 Annelida, 7 Mollusca, 8 Arthropoda, 1 Chordata, and 1 Nemertea. The results revealed that the macrobenthic community structure across sampling sites was classified into three distinct assemblages, with Hediste japonica and Macrophthalmus japonicus as the dominant species. The mean biomass and density were 47.72±44.16 g/m2 and 481.52±319.07 ind./m2, respectively. The nascent saltmarsh wetlands exhibited relatively low species richness and diversity. The Shannon-Wiener diversity index ranged from 1.40 to 1.94, the Pielou’s evenness index ranged from 0.73 to 0.95, and the Margalef’s richness index ranged from 1.25 to 2.37. Soil bulk density, soil moisture content, pH, and water ammonium nitrogen concentration were identified as the primary environmental factors influencing the distribution of macrobenthos in these wetlands. The research results can provide a scientific basis for the assessment of habitat quality after the control of S. alterniflora in the nascent formed salt marsh wetlands of the Yellow River Delta, as well as the protection of new wetlands and the restoration of degraded wetlands.

Cite this article

Qu Chenyu , Fang Qing , Yu Junbao , Liu Yanzhi , Zhang Xitao , Zhu Tao , Yang Jisong , Wang Xuehong . Distribution characteristics and influencing factors of macrobenthos in nascent saltmarsh wetlands of the Yellow River Delta[J]. Wetland Science, 2025 , 23(3) : 524 -534 . DOI: 10.13248/j.cnki.wetlandsci.20240238

盐沼湿地大型底栖动物是指在样品分选时不能通过孔径为0.5 mm筛网的底栖动物,全部或部分时间栖息在盐沼水体深处或地表的,能够维持水体生物多样性以及生态系统稳定的物种[1]。大型底栖动物类型丰富、存活时间较长,参与土壤氮、磷、硫等元素的循环,是水生生态系统能流和物质循环的重要参与者[2]。作为重要的初级消费者[3],大型底栖动物不但是连接初级生产者和高级消费者的关键,而且在盐沼湿地生态系统物质循环效率提升与能量流动过程优化中起着至关重要的作用。由于大型底栖动物迁移能力较弱、对环境变化较为敏感,其群落组成结构会随着非生物条件和人类活动强度的变化而发生变化,常被用作底栖生境健康状况的生物指标[4],因此,研究大型底栖动物群落组成结构及其分布特征对于评估生态环境质量、揭示生态环境变化具有重要意义[5]
黄河三角洲自然保护区位于山东省东营市,四季温差明显,是中国暖温带地区较为重要的河口湿地之一,其位于咸淡水交互区,是陆地生态系统和海洋生态系统的过渡地带,具有较为丰富的生物资源[6]。山东省早在1985年就开始了对黄河口底栖动物的研究[7],后期陆续有学者对黄河三角洲底栖动物展开调查,并发表了大量相关文章,为底栖动物的研究提供了理论与数据支撑[8]。近年来,关于黄河三角洲大型底栖动物的研究逐渐增多,且主要集中在大型底栖动物的时空分布[9-11]、影响因素[12-14]等方面。然而全球变化和人为活动的双重作用极大改变了黄河三角洲的生态系统平衡,使得湿地面临面积减少、物种多样性降低等多种风险[15],尤其是20世纪90年代互花米草(Spartina alterniflora)的引入及爆发式蔓延,侵占了大型底栖动物的生境,对黄河三角洲盐沼湿地造成了极大的负面效应[16-17]
黄河三角洲新生盐沼湿地是1996年黄河改道后淤积而形成的,潮沟纵横交错,人类活动影响较小,大型底栖动物物种丰富,分布广泛[18]。然而,近年来该区域受大规模互花米草入侵及治理工程的影响,沉积物、水环境均发生了明显变化,大型底栖动物组成结构、分布特征也发生了相应变化,明确互花米草治理后大型底栖动物的组成结构、多样性、分布特征及其影响因子,对于指导互花米草治理工程的实施及退化盐沼湿地的修复工作具有重要实践意义。因此,本文以互花米草治理后的黄河三角洲新生盐沼湿地为研究区域,研究大型底栖动物的组成结构、空间分布及其关键影响因子,以期为互花米草治理后黄河三角洲新生盐沼湿地生境质量评估、新生湿地保护与退化湿地修复提供科学依据。

1 研究方法与数据来源

1.1 采样点及采样时间

研究区位于黄河三角洲自然保护区内(37°35′N~38°12′N,118°33′E~119°20′E),该区年内降水分布不均,降水多集中在夏季,年平均降水量约为530~630 mm。研究区内为不规则半日潮,受海洋潮汐的影响[19]
本研究于2023年夏季(8月初),对互花米草治理后的黄河三角洲新生盐沼湿地水域进行大型底栖动物的定量采样。以黄河北岸的典型潮沟为研究区域,自陆向海布设3条样带,样带1距海最远,样带3距海最近,样带2居中;自潮沟中心向两侧展开采样,分别采集低潮带、中潮带、高潮带大型底栖动物,共设置21个固定样点,如图1所示。
1 Distribution of sampling sites in nascent formed saltmarsh wetlands in the Yellow River Delta

黄河三角洲新生盐沼湿地样点分布

1.2 样品采集与处理

1.2.1 大型底栖动物样品采集与处理

采用25 cm×25 cm的采样器进行大型底栖动物样品定量采集,采样深度为30 cm,每个样点重复采集3次。将采集后的样品经0.5 mm孔径的网筛淘洗后带回实验室,倒入白磁盘中进行挑选,挑选出来的大型底栖动物置于5%~10%的甲醛溶液中密封保存。在显微镜下进行大型底栖动物种类鉴定、计数,分类计数后用精度为0.0001 g的电子天平称重(湿重)。按照《海洋监测规范》[20]进行样品的采集、贮存和运输。

1.2.2 土壤样品采集与测定

在每个样点重复采集土壤样品3次,用于测试其理化性质。其中土壤pH使用pH仪测定,盐度采用电导率法测定,容重采用环刀法测定,含水量采用烘干法(105 ℃烘8 h)测定,铵态氮含量采用KCl浸提–靛酚蓝比色法测定,总氮、总磷含量采用紫外分光光度法测定。

1.2.3 水环境指标测定

在采集大型底栖动物样品的同时,进行水样采集和水环境指标的测定。在每个断面随机采集表层水,每个样点重复采样3次,放入装有冰袋的保温箱中保存。利用YSI水质仪(Pro 20i),现场测定水体pH、温度、盐度、溶解氧;采用连续流动–水杨酸分光光度法,测定铵态氮含量;采用紫外分光光度法,测定硝态氮含量;采用碱性过硫酸钾紫外分光光度法,测定总氮含量;采用钼酸铵分光光度法,测定总磷含量;采用燃烧氧化–非分散红外吸收法,测定有机碳含量;采用重铬酸盐法,测定化学需氧量。

1.3 数据统计与分析

1.3.1 计算方法

生物多样性采用Shannon-Wiener物种多样性指数(H′)、Margalef物种丰富度指数(d)、Pielou均匀度指数(J')和优势度指数(Y)对大型底栖动物群落的多样性进行分析[21-22],计算方法如下:
\begin{document}${H}{{{'}}}=-\sum _{i=1}^{S}\left({P}_{i}\right)\left(\mathrm{ln}{P}_{i}\right) $\end{document}
\begin{document}$ d=\left(s-1\right)/\mathit{ln}N $\end{document}
\begin{document}$ {J}{{{'}}}={H}{{{'}}}/\mathrm{ln}S $\end{document}
\begin{document}$ Y=\left({n}_{i}/N\right)\times {f}_{{{{i}}}} $\end{document}
式中,N为各站位大型底栖动物的总个体数;ni为第i种生物的总个数;fi为物种i在各站位出现的频率;Pi为第i种生物个体数占所获样品总个数的比值;S为所获得的样品的总种数;若Y>0.02,则定义该物种为优势种。

1.3.2 数据分析

采用Bray-Curtis相似性指数构建矩阵进行等级聚类分析(CLUSTER)和群落结构序列分析方法(MDS),探究大型底栖动物群落结构特征;采用单因素方差分析(One-way ANOVA)方法,于0.05显著性水平上比较大型底栖动物的密度、生物量以及多样性指数的差异;采用Pearson相关分析方法,探究大型底栖动物密度、生物量、多样性指数与环境因子的相关程度。利用SPSS 24软件、Primer 6软件进行数据统计分析,利用ArcGIS 10.7软件和Origin 2022软件进行数据的可视化。

2 结果与分析

2.1 大型底栖动物群落的物种组成

在黄河三角洲新生盐沼湿地典型潮沟共采集到大型底栖动物26种,隶属于5门6纲(表1)。其中环节动物9种,软体动物7种,节肢动物8种,脊索动物1种,纽形动物1种。环节动物占总数的55.8%,节肢动物次之,占25.95%,软体动物占14.08%,纽形动物占3.48%,脊索动物最少,仅占0.63%。优势种为日本刺沙蚕(Hediste japonica)和日本大眼蟹(Macrophthalmus japonicus)(图2)。
1 Macrobenthic species in nascent saltmarsh wetlands of the Yellow River Delta

黄河三角洲新生盐沼湿地大型底栖动物种类

环节动物 Annelida 多毛纲 Polychaeta 日本刺沙蚕 Hediste japonica
丝异须虫 Heteromastus filiformis
双齿围沙蚕 Perinereis aibuhitensis
多腮齿吻沙蚕 Nephtys polybranchia
长锥虫 Haploscoloplos elongates
寡节甘吻沙蚕 Glycinde gurjanovae
寡鳃齿吻沙蚕 Nephtys oIigobranchia
中蚓虫 Mediomastus californiensis
尖刺缨虫 Potamilla acuminata
软体动物 Mollusca 双壳纲 Bivalvia 彩虹明樱蛤 Iridona iridescens
光滑河蓝蛤 Potamocorbula laevis
凸壳肌蛤 Musculus senhousei
薄壳绿螂 Glauconome primeana
脆壳理蛤 Theora fragilis
腹足纲 Gastropoda 光滑狭口螺 Stenothyra glabra
琵琶泥沼螺 Assiminea lutea
节肢动物 Arthropoda 软甲纲 Malacostraca 大蜾嬴蜚 Corophium major Ren
脊尾白虾 Exopalaemon carinicauda
糠虾 Mysidacea
强壮藻钩虾 Ampithoe valida
日本鼓虾 Alpheus japonicus
日本大眼蟹 Macrophthalmus japonicus
天津厚蟹 Helice tientsinensis
中华近方蟹 Hemigrapsus sinensis
脊索动物 Chordata 鱼纲 Chondrichthyes 黄鳍刺虾虎鱼 Acanthogobius flavimanus
纽形动物 Nemertean 无刺纲 Anopla 纽虫 Nemertinea
2 Some macrobenthos in nascent saltmarsh wetlands of the Yellow River Delta

黄河三角洲新生盐沼湿地部分大型底栖动物

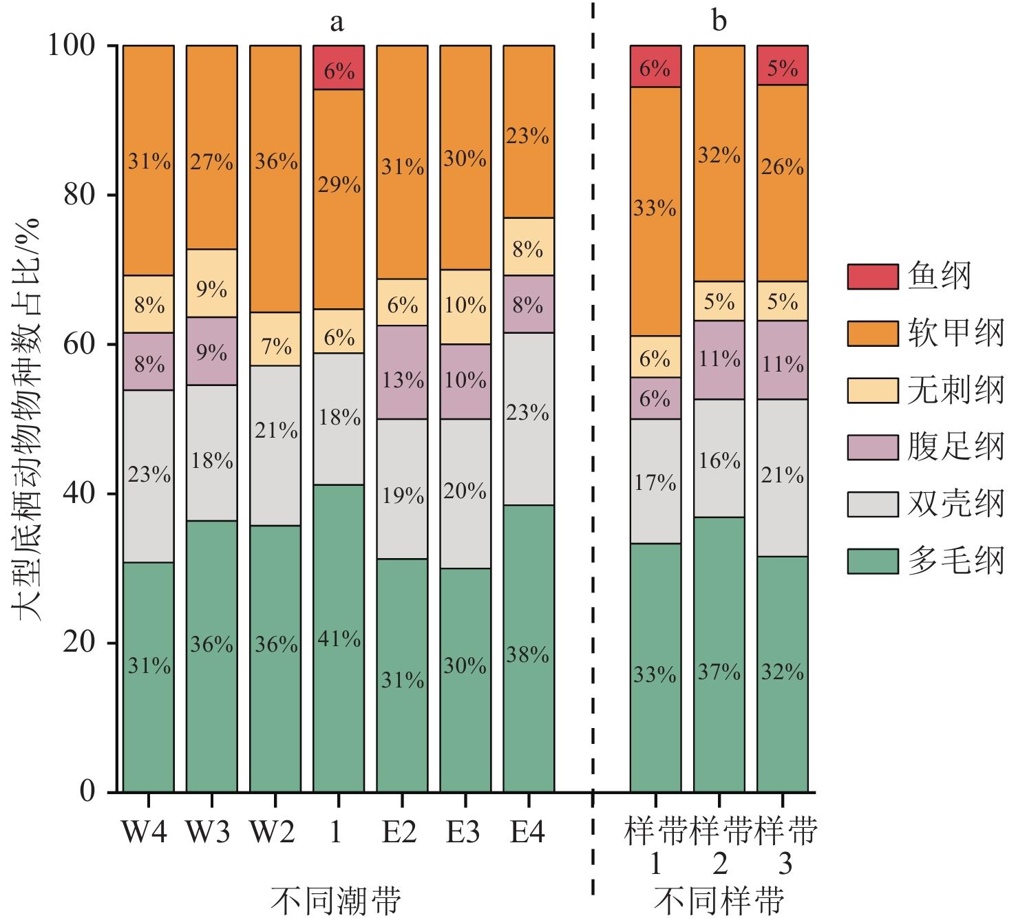
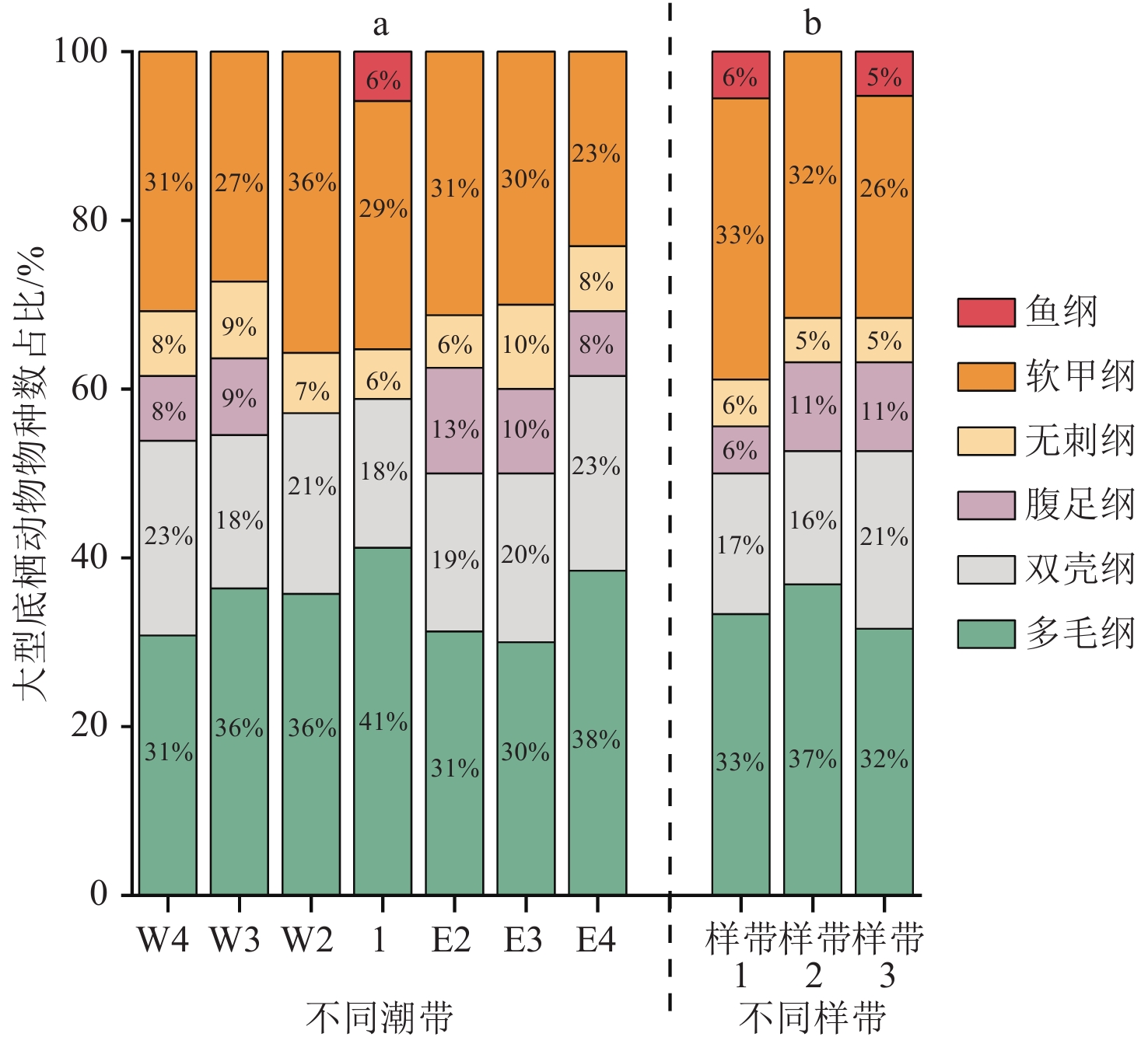
随距潮沟中心距离的增大,物种数呈先增加后减少的趋势,多毛纲和软甲纲在整个研究区域占据优势地位,而鱼纲仅存在于低潮带。低潮带共调查得到大型底栖动物17种,隶属于多毛纲、软甲纲、双壳纲、鱼纲和无刺纲,缺少腹足纲(图3a),多毛纲种类占比最大,包括中蚓虫(Mediomastus californiensis)、日本刺沙蚕等7种类型,优势种以日本刺沙蚕、丝异须虫、日本大眼蟹为主。中潮带种类增至18种,新增了腹足纲,其中软甲纲物种种类数量最多,优势种以日本刺沙蚕和日本大眼蟹为主。高潮带光滩物种数量最少,仅记录到14种,碱蓬群落则多了凸壳肌蛤(Musculus senhousei)。中潮带与高潮带优势种均为日本刺沙蚕和日本大眼蟹,共同包含了多毛纲、软甲纲、双壳纲、腹足纲和无刺纲,其中软甲纲种类最多,包含中华近方蟹、糠虾(Mysidacea)等。
3 Proportion of macrobenthic species in nascent saltmarsh wetlands of the Yellow River Delta

黄河三角洲新生盐沼湿地大型底栖动物物种数占比

随着距陆地距离的增大,物种数量没有明显的变化。在样带1共鉴定出大型底栖动物18种,在样带2、3均鉴定到19种(图3b)。其中,样带1、2、3共同包含多毛纲、双壳纲、软甲纲、腹足纲以及无刺纲,但鱼纲仅存在于样带1、3中。具体而言,样带1中多毛纲与软甲纲种类数相同,均为6种,鱼纲以黄鳍刺虾虎鱼(Acanthogobius flavimanus)为主要类型,腹足纲则为琵琶拟沼螺(Assiminea lutea);样带2中多毛纲种类最多,具有显著优势,包括双齿围沙蚕(Perinereis aibuhitensis)、中蚓虫等7种类型,此外,软甲纲种类与样带1相似,但缺少天津厚蟹;样带3物种数与样带1相同,多毛纲物种类型也呈现高度的相似性,但该样带缺少长锥虫(Haploscoloplos elongates),同时包含寡鳃齿吻沙蚕(Nephtys oIigobranchia),同样具有黄鳍刺虾虎鱼、琵琶拟沼螺。

2.2 大型底栖动物群落组成结构

运用Primer软件将21个采样点大型底栖动物群落生物量数据进行四次方根转换后进行聚类分析,以77%的相似性水平进行划分,研究区域的大型底栖动物可分为3个群落(图4)。
4 Results of hierarchical cluster (a) and multidimensional scaling ordination (b) of macrobenthic animal communities in nascent saltmarsh wetlands of the Yellow River Delta

黄河三角洲新生盐沼湿地大型底栖动物群落等级聚类(a)和多维尺度排序(b)结果

群落I包括E2-2、E2-3、E2-4、W2-3以及W3-4样点,占总样点数量的23.8%,位于中高潮带,这5个样点生物量均较低,平均生物量仅为14.88±3.94 g/m2,优势种为日本刺沙蚕、日本大眼蟹;群落Ⅱ包括1-1、2-1、3-1、E1-2、E1-4、W1-2、W1-3、W2-2、W2-4、E3-2、E3-3、W3-2及W3-3共13个样点,占61.9%,平均生物量为57.86±13.92 g/m2,优势种为日本刺沙蚕、日本大眼蟹、丝异须虫;群落Ⅲ包括E1-3、W1-4及E3-4,占据了14.3%的样点,位于中高潮带,平均生物量58.50±15.09 g/m2,优势种为日本刺沙蚕、双齿围沙蚕。

2.3 大型底栖动物密度和生物量

黄河三角洲新生盐沼湿地大型底栖动物平均密度481.52±69.62 ind./m2。随着距潮沟中心距离的增大,大型底栖动物密度呈下降趋势(图5A),最大值在低潮带,其平均密度为1216±66 ind./m2,高潮带中光滩大型底栖动物密度略高于碱蓬群落。随距陆地距离的增大,大型底栖动物的密度呈先下降后上升趋势(图5B),各样带平均密度总体相近,但仍有数值上的差异,具体表现为:样带1>样带3>样带2,其最大值位于样带1,平均密度为509±114 ind./m2
5 Spatial distribution characteristics of macrobenthos density in nascent saltmarsh wetlands of the Yellow River Delta

黄河三角洲新生盐沼湿地大型底栖动物密度的空间分布特征

p>0.05),不同小写字母代表差异显著(p<0.05)。]]>

黄河三角洲新生盐沼湿地大型底栖动物平均生物量为47.72±9.63 g/m2。随着距潮沟中心距离的增大,生物量呈波动变化趋势(图6A)。低潮带大型底栖动物平均生物量最大,为137.30±27.45 g/m2;高潮带中碱蓬群落的大型底栖动物生物量略高于光滩,为39.61±27.60 g/m2。随距陆地距离的增大,大型底栖动物生物量呈下降趋势(图6B),样带1平均生物量为57.54±18.28 g/m2,样带2为42.88±21.19 g/m2,样带3为42.72±11.00 g/m2
6 Spatial distribution characteristics of macrobenthos biomass in nascent saltmarsh wetlands of the Yellow River Delta

黄河三角洲新生盐沼湿地大型底栖动物生物量的空间分布特征

2.4 大型底栖动物多样性特征

经调查,3个潮带之间的Shannon-Wiener物种多样性指数、Margalef物种丰富度指数差异性均不显著(p>0.05)。从低潮带到高潮带Shannon-Wiener物种多样性指数呈逐渐下降的趋势,最大值位于低潮带,其平均值为1.79±0.08;Margalef物种丰富度指数呈波动变化趋势,中潮带最大,平均值为2.17±0.26。3个潮带之间的Pielou均匀度指数差异极显著(p<0.01),从低潮带到高潮带呈逐渐增大趋势,最大值位于高潮带(表2)。
2 Diversity of macrobenthos in different tidal zones of nascent saltmarsh wetlands in the Yellow River Delta

黄河三角洲新生盐沼湿地不同潮带大型底栖动物的多样性

多样性指数 丰富度指数 均匀度指数
注:同列不同小写字母表示差异显著(p<0.05)。
W3 1.74±0.08 a 2.00±0.18 a 0.91±0.02 c
W2 1.85±0.01 a 2.32±0.08 a 0.86±0.02 b
1 1.79±0.14 a 2.08±0.39 a 0.78±0.04 a
E2 1.69±0.14 a 2.02±0.30 a 0.83±0.02 b
E3 1.58±0.14 a 1.66±0.41 a 0.89±0.04 c
各条样带之间的Shannon-Wiener物种多样性指数差异不显著(p>0.05),呈先增加后减少的趋势(表3),最大值为样带2,其平均值为1.75±0.12;Margalef物种丰富度指数差异不显著,起伏相较于其他指数较大,样带平均值最大值位于样带2,呈波动变化的趋势,先增加后减少;3个指数中Pielou均匀度指数起伏最小,物种分布比较均匀,样带之间种类比较相近,生态系统相对稳定。
3 Diversity of macrobenthos in different zones of nascent saltmarsh wetlands in the Yellow River Delta

黄河三角洲新生盐沼湿地不同样带大型底栖动物的多样性

样带 多样性指数 丰富度指数 均匀度指数
注:同列相同小写字母表示差异不显著(p>0.05)。
样带1 1.68±0.15 a 1.88±0.35 a 0.86±0.05 a
样带2 1.75±0.12 a 2.09±0.34 a 0.88±0.07 a
样带3 1.69±0.16 a 1.92±0.39 a 0.87±0.05 a

2.5 影响大型底栖动物分布的关键环境因素

大型底栖动物群落指标与土壤、水体理化性状的相关性分析表明,大型底栖动物群落特征受到土壤pH、盐度、总磷含量、含水量、容重及水中铵态氮浓度、盐度的综合影响(图7图8);相比于水体理化因子,土壤理化因子对大型底栖动物分布的影响更为显著。
7 Correlation coefficient between macrobenthos community indices and soil physical and chemical factors in nascent saltmarsh wetlands of the Yellow River Delta

黄河三角洲新生盐沼湿地大型底栖动物群落指标与土壤理化因子的相关系数

8 Correlation coefficient between macrobenthos community indices and water physical and chemical factors in nascent saltmarsh wetlands of the Yellow River Delta

黄河三角洲新生盐沼湿地大型底栖动物群落指标与水体理化因子的相关系数

在本研究中,大型底栖动物的生物量与土壤pH、盐度及容重显著负相关(p<0.05),与土壤含水量及水中铵态氮浓度极显著正相关(p<0.01)。此外,大型底栖动物密度与土壤和水的盐度显著负相关(p<0.05),但与土壤pH、容重极显著负相关,与土壤含水量、水中铵态氮浓度极显著正相关(p<0.01)。就多样性指数而言,其显著相关性主要体现在土壤盐度、含水量及总磷浓度上,其中与土壤含水量、盐度的关系为显著相关(p<0.05),与土壤总磷含量呈极显著负相关(p<0.01)。均匀度指数与土壤pH、水温及水的盐度显著正相关(p<0.05),而与土壤含水量、容重及水中铵态氮浓度显著负相关(p<0.05)。丰富度指数与总磷浓度极显著负相关(p<0.01),但与土壤含水量及水中硝酸根浓度之间显著正相关(p<0.05)。
纲层次上大型底栖动物密度与影响因子的相关分析表明(表4),多毛纲、双壳纲以及软甲纲与土壤含水量呈极显著正相关(p<0.01),与土壤容重、pH以及水的盐度呈显著负相关(p<0.05);腹足纲、无刺纲与环境因素相关性较弱(p>0.05)。
4 Correlation coefficient between macrobenthos density and environmental factors in nascent saltmarsh wetlands of the Yellow River Delta

黄河三角洲新生盐沼湿地纲层次大型底栖动物密度与环境因子的相关系数

土壤pH土壤含水量土壤容重土壤总磷水溶解氧水盐度水铵态氮
注:***分别表示在0.05水平双尾和0.01水平双尾上显著相关。
多毛纲0.00**0.00**0.00**0.720.200.04*0.05
腹足纲0.210.510.300.370.660.850.87
双壳纲0.080.01**0.04*0.490.250.090.09
鱼纲0.110.060.020.510.450.270.46
软甲纲0.01**0.00**0.00**0.260.130.04*0.04*
无刺纲0.540.380.360.820.070.410.97

3 讨 论

3.1 大型底栖动物物种组成及优势种

本研究共采集大型底栖动物26种,隶属5门6纲,与2012年在黄河三角洲24个样点捕获了24种大型底栖动物的研究结果相似[23]。而冷宇等[24]在2004—2009年对黄河口海域进行采样,共布设186个样点,采集到153种大型底栖动物,远超本研究大型底栖动物的物种数。大型底栖动物采集所得的种类、数量与采样点、采样断面所在区域、数量相关[25],采样点越多,底栖生物的生境多样性就越高,而生境与底栖动物的分布密切相关,因此采样区域、样点数量差异较大,大型底栖生物数据之间无比较意义,但具有参照意义。
随距潮沟距离的增大,大型底栖动物的种类、密度呈下降趋势,高潮带大型底栖动物种类最少(图3a),主要原因可能是低潮带含水量较大、水文环境相对稳定、土壤容重小,适合大型底栖动物生存[26],而中高潮带含水量较小,水文环境波动较大,沉积物环境不稳定[27],这与2015—2016年6月张衡等[26]对长江口盐沼湿地大型底栖动物的研究结论相似。随着距陆地距离的增大,含水量升高,但物种数、生物量却呈下降趋势,可能因为近海区域受潮汐影响大,较长时间处于淹水状态,影响底栖生物的生存[28]。气温是影响底栖生物数量的重要因素,本研究在夏季进行采样,气温较高,大型底栖动物相对活跃,生物量和密度有所增加,有学者在春季和秋季进行采样,发现底栖生物生物量相对较低,远低于本研究的生物量[29]。大型底栖动物的多样性在不同潮带之间存在差异但差异不显著,原因是不同潮区暴露于空气中的时间不同,进而导致了理化性质的不同,理化性质是影响底栖动物多样性差异的关键因素[30]。生境环境不同,多样性指数也会存在较大差异,有学者对潮沟、光滩以及盐沼的多样性差异进行分析[31],证实了此结论。
优势种能够反映该群落的特征,在数量上占有一定的优势,对维护生态系统的稳定性具有一定的作用[32],新生盐沼湿地优势种的转变,也反映了黄河三角洲在自然和人为干扰下生境的变化。有研究得出,黄河三角洲泥滩地以软体动物(短滨螺Littorina brevicula)和节肢动物(东方小藤壶Chthamalus challengeri)为优势种[33],本研究与前人结论存在差异,低、中、高潮带均以环节动物、节肢动物为优势种,可能是因为互花米草治理后生境均一化,土壤容重变大导致底栖生物生境发生变化,更适宜环节动物、节肢动物生存。2002年黄河三角洲首次开始调水调沙后,河口及附近海域的环节动物数量大幅增加并成为优势种,水流和泥沙的搅动促进了营养物质的释放和循环,为环节动物等底栖生物的生长繁殖提供了有利条件[34]。日本刺沙蚕多栖息在潮间带和潮下带底质泥、泥砂中,日本大眼蟹常穴居于潮间带的泥沙滩上[35],本研究中日本刺沙蚕和日本大眼蟹大量出现,说明该区域适宜二者生存。

3.2 大型底栖动物分布与环境因子之间的关系

环境因子对自然湿地底栖动物群落具有重要的影响,大型底栖动物对环境变化十分敏感,会随环境因子的改变而发生物种数量、多样性的转变[36]
通常,在有植被的生境大型底栖动物物种数量比无植被的生境多[37]。然而,本研究并没有得出相似的结论,碱蓬群落区大型底栖动物仅生物量略大于光滩(图3a),可能是因为所选的研究区域植被群落比较单一,只有盐地碱蓬,其根系为大型底栖动物提供了充足的养分,使得生物量有所提升,但大型底栖动物丰度受土壤含水量、容重影响较大,与光滩相比差异不大,有学者对鲥鯸淀底栖动物的研究也得出了相似的结果[38]
土壤是底栖生物生长发育的场所,其组成特征及各种理化因子对大型底栖动物有着重要的影响。底质类型是影响大型底栖动物分布的关键因素,不同土壤容重存在不同的底栖类型[39],土壤容重大则土壤孔隙度低,不利于大型底栖动物的生存。研究区内低潮带土质细腻,容重较小,适合环节动物生存,而中、高潮带治理互花米草时,采用了刈割+翻耕的方式,过程中机器操作将土壤压实,导致土壤孔隙变小,进而使得土壤容重增大,土质较硬,对环节动物、节肢动物影响较小,但不适宜其他类型底栖动物生存,丰度较低。芦康乐等[40]研究发现,黄河三角洲大型底栖动物分布受土壤pH、盐度等因素的影响,也证实了本研究中土壤pH是影响大型底栖动物分布的重要因素的结论。pH可通过影响大型底栖动物的繁殖能力从而影响其多样性[41],当pH过高或过低时,大型底栖动物的密度会降低[42]。多数研究认为,大型底栖动物的分布与盐度密切相关,不同物种对盐度的适应范围不同,但本研究并未得出相同结论,可能是因为研究区域为新生盐沼湿地,受海水影响较大,涨潮时被海水淹没,整个研究区土壤盐度较高,差异较小,适宜底栖生物生存。水体理化因子对底栖动物也有重要影响,本研究中水中NH4+的浓度与大型底栖动物的分布呈正相关,因为低潮带物质交换频繁,水中营养物质增多,为生物提供了丰富的营养资源。因受海水涨潮覆盖的影响,各样点水样的理化因子具有相似性,因此研究区内水体对大型底栖动物分布影响较小。
大型底栖动物群落与环境因子的关系十分复杂,影响大型底栖动物分布的因子众多,并且同一种环境因子对不同物种的作用也不相同。大型底栖动物群落的演替和发展是一个长期的过程,不仅能直观映射出环境因子的复杂演变,更是区域生境质量的综合生态指征。在黄河三角洲生态修复工程的推进中,亟需基于科学研究与实践经验,制定兼具系统性与前瞻性的生态修复方案,通过精准调控关键生态要素,构建稳定健康的湿地生态系统,从而推动黄河三角洲湿地生态系统的可持续发展与良性循环。

4 结 论

在互花米草治理后的黄河三角洲新生盐沼湿地共发现大型底栖动物26种,隶属于5门6纲,其中环节动物种类最多,有9种,脊索动物和纽形动物种类最少,优势种为日本刺沙蚕和日本大眼蟹。随距潮沟中心距离增大,大型底栖动物物种数量呈先增加后减少趋势,多毛纲和软甲纲在整个研究区域占据优势地位,而鱼纲仅存在于低潮带;随着距陆地距离的增大,物种数量没有明显变化,3条样带共同包含多毛纲、双壳纲、软甲纲、腹足纲以及无刺纲,但鱼纲仅存在于近海和近陆区域。低潮带大型底栖动物密度和生物量显著高于其他区域。大型底栖动物多样性在空间分布上差异不显著。大型底栖动物的群落特征受土壤pH、容重、含水量以及水中铵态氮含量的综合影响,在互花米草治理过程中应尽量避免或减少对土壤性状的干扰。
致谢:特别感谢李占和、杨成在野外采样过程中提供的大力支持与帮助。
1
2
3
4
5
6
7
8
9
10
11
12
13
14
15
16
17
18
19
20
21
22
23
24
25
26
27
28
29
30
31
32
33
34
35
36
37
38
39
40
41
42
Outlines

/