Population Dynamic of Wintering Black-necked Cranes Grus nigricollis at Dashanbao National Nature Reserve, Yunnan

  • WU Taiping , 1 ,
  • ZHAO Zijiao 1 ,
  • LI Shijun 1 ,
  • ZHENG Yuanjian 1 ,
  • QIAN Ying 2 ,
  • ZHONG Xingyao 1 ,
  • KONG Dejun , 3, *
Expand

Received date: 2023-05-04

  Revised date: 2023-12-11

  Online published: 2024-04-24

Copyright

Copyright © 2024 Wetland Science. All rights reserved.

Abstract

Population dynamic monitoring is essential for assessing conservation effectiveness and determining specific protecting measures. Listed as Ramsar wetland in 2004, Dashanbao National Nature Reserve is one of the biggest wintering and staging site of the Black-necked Crane Grus nigricollis along its eastern flyway from northern Sichuan province to northeastern Yunnan and adjacent Guizhou province. We reviewed population dynamic of the bird at Dashanbao nature reserve from 2005 to 2022, analyzed relationships between population fluctuation with two wetland protecting measurements of wetland restoration and relocation. We found significant population growth from 1 065 in 2005 to 2 260 in 2022, with sharp increase occurred in the last three years. We recorded more birds in the early and late winter period and lower population in midwinter since cranes may scatter to other wintering sites around. Four roosts of Dahaizi, Xiaohaiba, Changhuikou and Yinjiabei were recorded at Dashanbao reserve. Nearly sixty percent of cranes roosted in shallow water of Dahaizi lake. Since 2015, Dashanbao reserve carried out an 8-year-lasting wetland compensation project, including two measures of restoring farmland to wetland and relocate residents from the reserve to other places. Totally, 699 hm2 farmland was converted to wetlands and nearly 8 000 people were persuaded to moved out of the reserve at the end of 2020. After the first 4-year wetland compensation project, we found elevated population recruitment of 5.00% during 2016-2019, compared with yearly recruitment of 2.18% before, and higher population recruitment of 15.43% during the period of 2019-2022 when the second 4-year wetland compensation project and the relocation project finished. Pearson correlation analysis also documented low positive correlation in 2005-2018 (r2005-2018=0.62) and high negative correlation (2018-2022) between crane and local people population. Through long-term population dynamic analysis, we documented that flagship plateau wetland species of black-necked cranes could benefit from wetland increase and residents’ emigration.

Cite this article

WU Taiping , ZHAO Zijiao , LI Shijun , ZHENG Yuanjian , QIAN Ying , ZHONG Xingyao , KONG Dejun . Population Dynamic of Wintering Black-necked Cranes Grus nigricollis at Dashanbao National Nature Reserve, Yunnan[J]. Wetland Science, 2024 , 22(3) : 396 -404 . DOI: 10.13248/j.cnki.wetlandsci.2024.03.008

随着湿地生态服务价值逐渐受到社会的高度重视和关注,中国各级政府相继出台湿地保护法律、法规及保护条例,但是湿地保护成效仍不乐观[1]。为了加强湿地保护与恢复,根据《中共中央 国务院关于全面推进乡村振兴加快农业农村现代化的意见》,自2014年起,启动退耕还湿、湿地生态效益补偿和湿地保护奖励等项目试点工作,其中,湿地生态效益补偿项目在全国选取了21个国家级湿地自然保护区作为试点区域[2],旨在对因保护珍稀鸟类等野生动物而给湿地自然保护区及其周边范围内耕地承包经营权人造成的损失给予补偿。2019年6月印发的《关于建立以国家公园为主体的自然保护地体系的指导意见》中,进一步明确了以国家公园为主体的自然保护地体系,确保重要自然生态系统、自然遗迹、自然景观和生物多样性得到系统性保护。
黑颈鹤(Grus nigricollis)别称高原鹤、藏鹤、雁鹅,是隶属于鹤形目(Gruiformes)鹤科(Gruidae)鹤属(Grus)的大型鸟类,主要迁徙往返于青藏高原和云贵高原[3],其分布区主要位于中国境内,仅少量分布于不丹和印度[4]。作为世界上15种鹤中发现最晚且唯一终生栖息于高原上的鹤类[5],其被视为高原湿地的旗舰物种,中国将其列为Ⅰ级重点保护野生动物。2020年,中国黑颈鹤的越冬种群已经超过15 000只[6],另有约550只和139只分别于不丹[7]和印度[8]越冬;2022年的研究显示,全球黑颈鹤种群数量已超过17 000只[9]。这些研究结果表明,全球黑颈鹤种群数量处于良好的增长趋势,与1999年的5 600多只相比[10],增加约11 400只,年平均增长8.85%。
云南大山包黑颈鹤国家级自然保护区(以下简称“大山包”)是黑颈鹤东部种群的重要越冬地和迁徙中转站[11-13]。自1988年12月黑颈鹤在该地区被发现以来[14],科研人员对大山包的越冬黑颈鹤种群数量和生态习性开展了大量的调查研究。1990年2月,在大山包记录黑颈鹤348只[15];2000年至2009年期间,分别记录到越冬黑颈鹤700~1 000余只[16-19];2013年1月,记录到1 185只[20]。可以看出,该地黑颈鹤种群数量逐渐增长。
由于前期研究数据相对零散且不连贯,为了更好地掌握大山包的黑颈鹤种群动态,同时结合当地采取的一些保护措施(如大山包于2004年列入国际重要湿地名录,2014年以后实施了一系列湿地保护恢复举措),本研究采用大山包2005年至2022年的黑颈鹤种群监测数据,分析越冬黑颈鹤种群的动态变化,同时探讨了湿地保护措施与黑颈鹤种群数量变化间的相互关系,以期为大山包未来黑颈鹤和湿地的保护提供参考。

1 材料与方法

1.1 研究区

云南大山包黑颈鹤国家级自然保护区(27°18′38″N至27°29′15″N,103°14′55″E至103°23′49″E)位于云南省昭通市昭阳区大山包镇,地处金沙江及其支流牛栏江交汇处。该区气候属山地北温带湿润型季风气候,年平均气温为6.2 ℃,极端最低气温为-16.8 ℃,≥10 ℃积温为1 017.9 ℃,霜(雾)期约为242 d,年降水量为1 165 mm。该区水系属长江水系,主体部分海拔为3 000~3 200 m[21]。保护区总面积为19 200 hm2,其中,湿地面积为3 227.11 hm2[22]。因其是世界濒危物种黑颈鹤的重要越冬地,且具有较高的生态保护价值,大山包于2004年12月列入国际重要湿地名录。该地也是东亚-澳大利西亚迁飞路线成员保护地。该区内有跳墩河、大海子、勒力寨、殷家碑和燕麦地共5处面积较大的水体。其中,分布在跳墩河和大海子的湿地面积最大,水域面积也较大,湿地面积随着水位发生季节性变化,冬季水位下降,浅水区面积增大,使其成为黑颈鹤等水鸟良好的栖息和觅食场所。
在大山包越冬的黑颈鹤属于东部种群,该种群的繁殖地主要位于甘肃省南部和四川省西北部的若尔盖湿地[11,17]。越冬期间,与黑颈鹤共同栖息的水鸟主要有斑头雁(Anser indicus)、赤麻鸭(Tadorna ferruginea)、绿头鸭(Anas platyrhynchos)、绿翅鸭(Anas crecca)、赤颈鸭(Anas Penelope)、赤膀鸭(Anas strepera)、普通秋沙鸭(Mergus merganser)、红头潜鸭(Aythya ferina)、凤头潜鸭(Aythya fuligula)、小䴙䴘(Tachybaptus ruficollis)、凤头䴙䴘(Podiceps cristatus)和白骨顶(Fulica atra)等48种,其中黑颈鹤、斑头雁、赤麻鸭和绿头鸭是越冬期间的优势物种[23]
2015年至2018年、2019年至2021年、2021年至2022年,大山包分阶段实施完成了三期湿地生态效益补偿项目,补偿内容主要包括开展湿地生态服务功能补偿、黑颈鹤食源基地建设、湿地管护和湿地环境整治及科普宣教,合计湿地生态服务功能补偿面积为699 hm2。2018年至2020年脱贫攻坚工作期间,从保护区内迁出将近8 000名贫困群众,居民实现脱贫的同时也减轻了对湿地生态的压力。

1.2 方法

1.2.1 数量统计

黑颈鹤在大山包有4处固定的夜宿地,即大海子、小海坝、长会口和殷家碑(图1),分别位于大海子、跳墩河和殷家碑的周边。在4处夜宿地,分别设置监测点,监测黑颈鹤数量。越冬期间,黑颈鹤每天傍晚飞回夜宿地集中过夜,次日清晨再陆续飞离觅食,可以在夜宿地对飞出的鹤群数量进行统计,累计得到当日每个夜宿地的黑颈鹤数量,然后汇总4处夜宿地得到的黑颈鹤越冬数量,即夜栖地同步调查法[12]。调查时,于每个夜宿地设置1个调查小组,每组2~4人,利用蔡司10×42或OLYMPUS10×50双筒望远镜和博冠鸿鹄20-60×86单筒望远镜,进行计数。
1 云南大山包黑颈鹤国家级自然保护区越冬黑颈鹤种群数量监测点分布示意图

The distribution of monitoring points for the wintering black-necked Crane population at Dashanbao Black-necked Crane National Nature Reserve, Yunnan

为了更好地展示越冬期内的黑颈鹤数量变化,根据前期掌握的该地黑颈鹤种群变动情况,将黑颈鹤在大山包的越冬时间划分为越冬前期(10月底至12月中旬)、越冬中期(12月中旬至翌年2月底)、越冬后期(翌年3月初至4月底)。本研究取每个时期最大监测数量作为相应时期的黑颈鹤数量,进行统计分析。由于后续分析中发现越冬前期的黑颈鹤种群数量变化最显著,因此在黑颈鹤种群数量与人口数量关系及保护措施影响分析中,采用越冬前期的数据进行分析。本研究调查年限为2005年11月至2023年3月,每个越冬期为当年11月至翌年3月,为了表述简洁,本研究记述的年份为该越冬期的起始年份,如2022年至2023年越冬期,记为2022年。研究区人口数据来源于2005年至2022年昭阳区统计局的人口统计数据。湿地补偿面积数据来源于云南大山包黑颈鹤国家级自然保护区管护局。
选择利于监测的晴朗天气,于监测日的7 00~8 30,各组同时统计黑颈鹤飞出时的数量,若有雾或雨雪的天气则不记录黑颈鹤数量,且如果有其中任何一个监测点未统计到黑颈鹤数量,则当天其他点的监测数据不纳入统计。

1.2.2 数据处理

为了分析黑颈鹤种群数量动态,以年份为自变量,黑颈鹤种群数量为因变量,采用曲线回归,分析2005年至2022年黑颈鹤越冬种群数量的年际变化。采用Kolmogorov-Smirnov Test方法,检验黑颈鹤种群数量、人口数量是否符合正态分布。采用Pearson相关分析方法,检验人口数量与黑颈鹤种群数量变化的关系。
利用Excel 2019和SPSS 26.0软件,进行所有数据统计分析。

2 结果与分析

2.1 黑颈鹤种群数量

2005年至2022年,无论越冬前期、中期还是后期,大山包越冬黑颈鹤种群数量总体都增大,且以越冬前期的增幅更明显(图2)。从越冬前期的数据来看,大山包黑颈鹤种群数量从2005年的1 065只增长至2022年的2 260只,增长率为112.21%。种群数量的变化可以分为3个阶段,即2005年至2016年的相对稳定阶段、2016年至2019年的低速增长阶段以及2019年至2022的快速增长阶段。2005年至2016期间,黑颈鹤种群数量增长278只,年平均增长率为2.18%;2016年至2019期间增加202只,年平均增长率为5.00%;2019年至2022期间增加了715只,年平均增长率达15.43%。
2 2005年至2022年云南大山包黑颈鹤国家级自然保护区黑颈鹤种群数量动态

The population dynamics of black-necked cranes during 2005 to 2022 at Dashanbao Black-necked Crane National Nature Reserve,Yunnan

年际之内,越冬前期黑颈鹤的种群数量都高于越冬中期和越冬后期,越冬后期数量高于越冬中期,呈现出越冬前后高、中期低的数量变化模式(图3)。
3 越冬前期、中期和后期云南大山包黑颈鹤国家级自然保护区黑颈鹤种群数量比较

The population comparison of black-necked crane between the early, middle and late wintering periods at Dashanbao Black-necked Crane National Nature Reserve,Yunnan

2.2 黑颈鹤种群的空间分布

大山包的黑颈鹤主要夜宿于大海子、跳墩河(长会口和小海坝)和殷家碑海子的浅水区域。其中,以大海子种群数量最大[为508~1 515只,年平均值为(821±65)只],占大山包黑颈鹤种群数量的59.28%,其次分别为小海坝、长会口和殷家碑海子,种群数量占比分别为21.95%、12.78%和5.99%。
近20 a,仅大海子的黑颈鹤种群数量显著增长(R2=0.68,F17=33.76,p=0.000),年平均种群数量为(821±65)只;其他3处夜宿地黑颈鹤种群数量相对稳定,平均种群数量分别为小海坝(304±9)只、长会口(177±15)只、殷家碑海子(83±7)只(图4)。
4 云南大山包黑颈鹤国家级自然保护区各夜宿地越冬前期黑颈鹤种群数量变化

The population dynamics of black-necked cranes at each sleeping site during the early winter at Dashanbao Black-necked Crane National Nature Reserve, Yunnan

2.3 黑颈鹤种群数量的影响因素

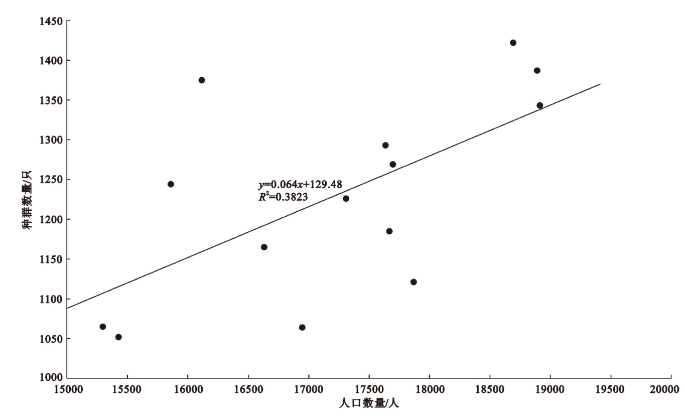
2005年至2018年,研究区内人口数量逐步增加,由最初的15 297人,增加至2016年的18 912人,2018年为18 691人;这一期间黑颈鹤种群数量与人口数量显著正相关(r2005-2018=0.62,p=0.018,n=14;图5)。2019年至2020年实施生态移民后,大山包人口数量降至2020年的12 183人,到达最低值,并一直保持较低水平,2022年为12 324人,此期间黑颈鹤越冬前期的种群数量也显著增加,表现出与人口数量显著负相关(r2018-2022=-0.90,p=0.037,n=5;图6)。
5 2005年至2018年云南大山包黑颈鹤国家级自然保护区黑颈鹤种群数量与人口数量的关系

The relationship between black-necked crane and local people population during 2005 to 2018 at Dashanbao Black-necked Crane National Nature Reserve, Yunnan

6 2018年至2022年云南大山包黑颈鹤国家级自然保护区黑颈鹤种群数量与人口数量的关系

The relationship between black-necked crane and local people population during 2018 to 2022 at Dashanbao Black-necked Crane National Nature Reserve,Yunnan

2015年至2018年,大山包实施了第一期湿地生态效益补偿项目,大山包湿地生态补偿面积为533 hm2,而此期间黑颈鹤的种群数量也从2015年的1 121只持续增长至2018年的1 422只。2019年至2021年继续实施第二期湿地生态效益补偿项目,湿地生态补偿面积增至689 hm2,同时实施了易地搬迁措施,此期间黑颈鹤数量由2018年的1 422只增加到2021年的1 978只。2021年至2022年又实施了第三期湿地生态效益补偿项目,湿地生态补偿面积增至699 hm2,此期间黑颈鹤数量由2021年的1 978只增加到2022年的2 260只(图7)。
7 2005年至2022年云南大山包黑颈鹤国家级自然保护区黑颈鹤种群数量与人口数量和湿地补偿面积的关系

The relationship between black-necked crane population, local people population and wetland compensation area during 2005 to 2022 at Dashanbao Black-necked Crane National Nature Reserve,Yunnan

3 讨论

种群动态是种群生态学研究的基础,也是确定物种面临威胁、评判保护级别和评估物种保护管理成效的重要依据[24-25]。在本研究中,2005年至2022年,大山包的黑颈鹤种群数量增长了1 195只,增长率达112.21%;2016年至2022年,种群数量由1 343只上升至2 260只,种群数量显著增长。某一区域物种种群的增长可能是全球物种种群增长的反映,对比黑颈鹤全球种群数量发现,2014年全球数量评估为10 000~10 200只[3],2022年全球黑颈鹤种群数量已经超过17 000只[9]。2014年至2022年期间,黑颈鹤全球数量增长约7 400只,年平均增长率为8.22%,而在此期间大山包黑颈鹤种群数量年平均增长率为9.07%,略高于全球增长率,因此,大山包黑颈鹤种群数量的增长除受全球种群增长影响外,还有其他方面的因素对黑颈鹤种群增长起到了积极的影响。
2016年以来,大山包在生态保护与管理方面采取了措施。(1)2015年至2018年和2019年至2022年,开展了三期湿地生态效益补偿试点项目,扩大湿地面积699 hm2;同期开展的模型分析也验证了退耕还湿措施确实可以提高黑颈鹤的栖息地适宜性[26]。本研究也发现,2015年至2018年第一期湿地生态效益补偿项目实施期间,黑颈鹤种群数量稳步增加,而2019年至2022年第二期和第三期的湿地生态效益补偿与易地搬迁措施可能产生了叠加影响,其间黑颈鹤种群数量呈现了快速增长。(2)易地搬迁措施的实施。通过两次易地搬迁共完成了大山包7 923人的迁出,其中3 113人位于核心区内,从而有效降低了人为活动对黑颈鹤的干扰。在本研究中,人口数量与黑颈鹤种群数量显著负相关,这在以往的研究中也得到了证实[27]
研究发现,虽然研究期间黑颈鹤种群数量总体呈上升趋势,但是仍有两次(2009年至2010年和2013年至2015年)明显的种群数量下降,可能与外来游客的大量涌入和农业结构转变所引起的栖息地面积下降有关[28-30]。2009年底,随着大山包知名度的提高,大量游客涌入大山包,加上相应设施的修建,对黑颈鹤的栖息环境造成了干扰[28],可能使黑颈鹤暂时无法适应这样的变化而在2010年出现了最小种群数量(1 064只),当年冬季大海子夜栖地的黑颈鹤数量也仅有508只,相比以往同期下降27.3%。2013年至2015年期间,当地农业结构发生了短期的改变,传统农作物的种植被经济作物玛卡(Lepidium meyenii)代替,且随着当时价格的升高,到2015年种植面积达到最大,而黑颈鹤并不觅食玛卡[29-30],致使黑颈鹤冬季可利用栖息地缩减和食物来源减少。同时,该时期大山包镇也在开展特色旅游小镇集中建设,大批外来施工人员和车辆涌入大山包,致使2015年黑颈鹤种群数量再次降到低谷。2016年以后,大山包限制了旅游的人群进入,使人为干扰得到控制,且因玛卡的热度下降、价格急剧降低,农民不愿再种植玛卡,同时也开展了湿地生态效益补偿和退化湿地草原修复项目,使人为干扰和环境得到改善,至此越冬的黑颈鹤种群数量开始逐年增加。
在本研究中,单个越冬期内,越冬前期黑颈鹤种群数量显著高于越冬中期和后期,且越冬后期也高于越冬中期,这与以往研究该地黑颈鹤数量在春季和秋季出现迁徙双高峰、冬季出现低谷的研究结果一致[12]。其原因应该是大山包处于黑颈鹤东部种群在云贵高原越冬地靠北的位置,且拥有较大的沼泽化草甸面积,使之成为黑颈鹤东部种群最重要的越冬栖息地和迁徙中转站,每年南迁越冬和北返繁殖的黑颈鹤东部种群都会在大山包集结休整,以致大山包黑颈鹤种群数量在春季和秋季迁徙过程中形成两个峰值。
近20 a来,大海子、小海坝、长会口和殷家碑海子4个夜栖地是黑颈鹤稳定的栖息地,其中,大海子夜栖地占据了整个黑颈鹤种群数量的近60%。研究显示,人为干扰、湿地面积、浅水环境状况和食物丰度是影响黑颈鹤选择夜栖地的关键因子[4,31-32]。在大山包分布的4处黑颈鹤夜宿地都具有一定面积的浅水区和沼泽,以大海子夜栖地的浅水区和沼泽面积最大,可以为黑颈鹤的栖息提供更大的安全缓冲区间和食物来源;而大海子夜宿地距村庄和道路距离达500 m以上,这可能是更多黑颈鹤个体选择夜栖大海子的原因[23]。虽然跳墩河水库是大山包最大的水体,其周边的尖咀屋基、大牛窝、大阴地等区域也有较大面积的沼泽和浅水区,但是由于这些区域距离村庄或道路都在150 m以内,导致黑颈鹤未选择在这些区域夜栖。
人类活动能引起动物群落的改变,且可导致动物种群数量下降[33],而人口数量的变化会显著影响人类活动强度,如青藏高原地区人口的大量增长与过度放牧是自然湿地开垦最直接和最重要的驱动因素[33-34],其中过度放牧可能致使包括黑颈鹤在内的部分湿地野生动物的食物供应减少和栖息地缺失[35]。除了上述人口及生产生活对黑颈鹤可能产生直接影响外,大量的人类活动所带来的噪声也可能对黑颈鹤种群数量和空间分布产生影响。研究表明,大山包4处夜栖地和主要日间觅食区都暴露在人为噪声的影响下,并且随着人和交通噪声的叠加,噪声影响的范围可以成倍增长[36]。本研究通过长时间序列的分析也发现,大山包的人口数量对黑颈鹤种群数量变化存在正、负两方面的影响,但总体上对黑颈鹤种群产生了显著的负面影响,尤其是当2019年易地搬迁措施实施后,黑颈鹤种群数量迅速增加。另一方面,栖息地的变化对黑颈鹤也产生了明显影响,2014年以前,保护区内曾开展了以生态环境提升为主要目的的“退耕还林/还草”工程,而前期研究显示黑颈鹤并不利用林地,且回避草地,而对湿地和耕地表现出较强的偏好,建议应因地制宜、停止退耕还林/还草,转而应扩大湿地面积[37]。2014年,根据《财政部农业司 国家林业局发展规划与资金管理司关于切实做好退耕还湿和湿地生态效益补偿试点工作的通知》(财农便[2014]319号),支持启动退耕还湿、湿地生态效益补偿试点和湿地保护奖励等工作。2015年,大山包实施湿地生态效益补偿试点项目以后,黑颈鹤种群数量呈现前期缓慢、后期迅猛增加的规律。近20 a的数据表明,人类活动和湿地面积是影响大山包黑颈鹤种群动态的主要原因,并且物种对干扰和栖息地的响应也会在短期之内展现,表明种群监测也是物种保护成效评估的有力工具。

4 结论

近20 a来,大山包黑颈鹤越冬种群数量持续增加,且黑颈鹤种群数量在年度之内越冬前期和后期出现峰值、在越冬中期数量最少。
近20 a来,大山包黑颈鹤稳定分布于大海子、小海坝、长会口和殷家碑海子4处夜宿地,并以大海子的种群数量增长最显著。
人口数量对黑颈鹤种群数量变化存在正、负两方面的影响,但总体上对黑颈鹤种群产生了显著的负面影响。湿地生态效益补偿面积的扩大有助于黑颈鹤种群数量的增长。

在本文定稿之际,作者钟兴耀(云南大山包黑颈鹤国家级自然保护区管护局原局长)不幸离世,谨以此文纪念其对保护区发展和黑颈鹤保护的推动作用。本研究还得到云南大山包黑颈鹤国家级自然保护区管护局其他同志的关心与帮助,在此一并致谢。

1
2
3
4
5
6
7
8
9
10
11
12
13
14
15
16
17
18
19
20
21
22
23
24
25
26
27
28
29
30
31
32
33
34
35
36
37
Outlines

/