Research article

Spatiotemporal patterns and drivers of cultivated land conversion in Inner Mongolia Autonomous Region, northern China

  • Xijiri 1 ,
  • ZHOU Ruiping , 1, * ,
  • BAO Baorong 2 ,
  • Burenjirigala 3
Expand
  • 1College of Geographical Science, Inner Mongolia Normal University, Hohhot 010022, China
  • 2Dongsheng District Sub-bureau of Ordos Natural Resources Bureau, Ordos 017000, China
  • 3Chifeng University, Chifeng 024000, China
*ZHOU Ruiping (E-mail: )

Received date: 2024-03-26

  Revised date: 2024-07-24

  Accepted date: 2024-08-10

  Online published: 2025-08-13

Abstract

Protection and optimization of cultivated land resources are of great significance to national food security. Cultivated land conversion in northern China has increased in recent years due to the industrialization and urbanization of society. However, the assessment of cultivated land conversion in this area is insufficient, posing a potential risk to cultivated land resources. This study evaluated the evolution and spatiotemporal patterns of cultivated land conversion in Inner Mongolia Autonomous Region, China, and the driving factors to improve rational utilization and to protect cultivated land resources. The spatiotemporal patterns of cultivated land conversion in Inner Mongolia were analyzed using the cultivated land conversion index, kernel density analysis, a standard deviation ellipse model, and a geographic detector. Results showed that from 2000 to 2020, the trends in cultivated land conversion area and rate in Inner Mongolia exhibited fluctuating growth, with the total area of cultivated land conversion reaching 7307.59 km2 at a rate of 6.69%. Spatial distribution of cultivated land conversion was primarily concentrated in the Hetao Plain, Nengjiang Plain, Liaohe Plain, and the Hohhot-Baotou-Ordos urban agglomeration. Moreover, the standard deviational ellipse of cultivated land conversion in Inner Mongolia exhibited a directional southwest-northeast-southwest-northeast distribution, with the northeast-southwest direction identified as the main driving force of spatial change in cultivated land conversion. Meanwhile, cultivated land conversion exhibited an increase-decrease-increase change process, indicating that spatial distribution of cultivated land conversion in Inner Mongolia became gradually apparent within the study period. The geographic detector results further revealed that the main driving factors of cultivated land conversion in Inner Mongolia were the share of secondary and tertiary industries and per-unit area yield of grain, with explanatory rates of 57.00%, 55.00%, and 51.00%, respectively. Additionally, improved agricultural production efficiency and the coordinated development of population urbanization and industry resulted in cultivated land conversion. Collectively, the findings of this study indicated that, from 2000 to 2020, the cultivated land conversion in Inner Mongolia was significant and fluctuated in time, and had strong spatial heterogeneity. The primary drivers of these events included the effects of agriculture, population, and social economy.

Cite this article

Xijiri , ZHOU Ruiping , BAO Baorong , Burenjirigala . Spatiotemporal patterns and drivers of cultivated land conversion in Inner Mongolia Autonomous Region, northern China[J]. Journal of Arid Land, 2024 , 16(9) : 1197 -1213 . DOI: 10.1007/s40333-024-0026-y

1 Introduction

All human activities depend upon land resources to meet the needs of a growing population, among which farmland resources are the most valuable (Herzberger et al., 2019). Cultivated land is the carrier of grain production and the basis of national economic development, bearing a considerable proportion of the responsibility for national food, ecological, and social security (Zhou et al., 2021). The basis for ensuring grain production capacity is to maintain a certain amount and quality of cultivated land and to reduce the external diseconomy of cultivated land conversion (Li et al., 2022a; Sun et al., 2023).
China is responsible for feeding about 20.00% of the global population, but it possesses <7.00% of the global farmland (Cui and Shoemaker, 2018; Qin et al., 2022). During the 21st century, China experienced rapid economic development, resulting in the accelerated urbanization, industrialization, and the expansion of non-agricultural land and construction. Agricultural land experienced corresponding decrease. Remarkable reduction in cultivated land has severely threatened the social, economic, and ecological security of China (Wu et al., 2017, 2022). In particular, the use of high-quality cultivated lands for nonagricultural construction land has resulted in cultivated land conversion (Wang and Cheng, 2022). Therefore, research examining cultivated land conversion is critical for designing effective strategies to protect farmland resources in China (Zhao and Pu, 2007; Wu et al., 2022).
Recent studies have focused on the relationship between cultivated land use change and economic growth (Xu, 2010; Song, 2017; Huo et al., 2022; Zhang et al., 2023), the impact of cultivated land use change on the agro-socio-ecological environment, the driving mechanisms (Wang, 2012; Yue et al., 2015; Huang et al., 2021), and the optimal allocation of resources during the process of cultivated land use change (Ye, 2015; Zhou et al., 2020). In particular, Zhang et al. (2023) explored the changing patterns of climatic factors and land suitability, revealing that croplands in high-latitude countries of northern hemisphere are more likely to benefit from climate change, whereas mid- and low-latitude countries are at a higher risk of suffering different degrees of potential cropland loss. Meanwhile, Kiani (2016) quantified the effects of land management and cropland conversion on the physical and biological properties of soil, providing insights regarding the best management practices to potentially reverse the declining soil quality trend (Wu et al., 2022). Li et al. (2022a) specifically evaluated cultivated land resources in Heilongjiang Province, northern China, and observed that the distribution characteristics of cultivated land conversion differed among cities of different grades and periods; additionally, the associated spatial diffusion path varied with time. To verify the main driving factors of cultivated land conversion in Jilin Province and propose reasonable countermeasures, Xu et al. (2020) selected economic, societal, and policy mechanism indicators for empirical analysis and observed that total investment in fixed assets, comparative return on land, and urbanization level significantly impact changes in the cultivated land area in Jilin Province. However, these studies focused on the conversion of cropland to other types of agricultural land, such as grassland, woodland, gardens, and other agricultural land, as well as the effects of conversion on soil cover and climate change. Meanwhile, considering that the economic value of development and construction land in China is markedly higher than that of farmers' cultivated land, the phenomenon of cultivated land conversion continues to be prevalent despite institutional restrictions to ensure food security. Accordingly, research on the conversion of cultivated land to construction land remains a critical research focus.
Cultivated land conversion is the process of converting cropland into non-agricultural construction land. The transfer of cultivated land from the agricultural sector to the non-agricultural sector provides space support for urbanization and plays an increasingly vital role in economic growth. However, cultivated land conversion has caused considerable loss of farmland resources in China, ultimately resulting in human-land contradiction issues, including food security and ecological environment degradation (Tan et al., 2004; Zhang et al., 2020).
Provincial and national scale research related to cultivated land conversion is predominantly concentrated in South, Central, and Northeast China, as well as other economically developed areas. Consequently, systematic research investigating cultivated land conversion in economically underdeveloped areas is lacking. In particular, the northern dryland area constitutes a major portion of Chinese agricultural land. This is a key area supported by the state for fighting poverty and maintaining ecological security, playing a pivotal role in the national economic development of China (Aodenggaowa, 2008). Hence, considering the severe ecological damage, natural disasters, and economic backwardness in northern China, clarifying the spatiotemporal characteristics of cultivated land conversion in northern China and its driving factors is of particular importance (Zhang et al., 2022).
To help address the contradiction between cultivated land conversion and social and economic development, this study seeks to provide a reference for effectively limiting the amount of cultivated land conversion and realizing the protection and sustainable development of cultivated land in northern China. Thus, taking Inner Mongolia Autonomous Region as the study subject, we constructed a cultivated land conversion index to analyze its spatiotemporal patterns and to identify the driving factors of cultivated land conversion by using Kernel density analysis method, standard deviation ellipse model, and geographic detector.

2 Materials

2.1 Study area

The study area is located in Inner Mongolia (37°24′-53°23′N, 97°12′-126°04′E), northern China, with the Yinshan Mountains from east to west, the Da Hinggan Ling Mountains from northeast to southwest, and the Helan Mountains from north to south. The topography of Inner Mongolia is a high-prototype geomorphological area that includes the Inner Mongolia Plateau in the northwest, Nenjiang Plain in the southeast, Liaohe River Plain in the west, Hetao Plain in the middle, and prairie along the edge of northwestern side (Hao, 2014). Inner Mongolia is located in the interior of Eurasia and possesses a typical continental climate, and the distance from east to west is 4200 km. Basic conditions such as water and heat differ, with land and cultivated land resources exhibiting apparent regional differences (Yang et al., 2022).
In 2020, Inner Mongolia had a resident population of 24.00×106 with an urbanization rate of 67.40%. Meanwhile, the GDP (gross domestic product) output value reached 173.60×109 CNY, in which the primary industry contributed 202.51×109 CNY, the secondary industry contributed 686.80×109 CNY, and the tertiary industry contributed 846.67×109 CNY. The annual investment in the fixed assets of the entire society decreased by 1.70% compared with previous year and the general public budget was 205.13×109 CNY. The general public budget expenditure was 526.82×109 CNY. Additionally, farmland accounted for 11.50×106 hm2, representing an increase of 1153.33 hm2 from 2019. Paddy fields accounted for approximately 1.40%, irrigated land for 48.13%, and dry land for 50.47%. The total sown area of crops for 2019 and 2020 was 8.88×106 hm2. Of these, 6.83×106 hm2 were sown with grain crops, with an output of 36.64×106 t.

2.2 Date sources

This study used land use data with a resolution of 30 m from the Resource and Environment Data Centre of the Chinese Academy of Sciences (https://www.resdc.cn/) in 2000, 2005, 2010, 2015, and 2020. Additionally, administrative boundary vector maps with leagues and cities were used as spatial units. The data were imported into ArcGIS v.10.3 software, and extraction and spatial overlay analysis provided data regarding the cultivated land of each league and city and the conversion of cultivated land in different periods in Inner Mongolia. Additionally, data pertaining to cultivated land area, total investment in fixed assets, local government revenue, and general public revenue were derived from the Natural Resources Bureau of Hohhot City and the Finance Bureau for each banner/county and district, whereas other statistical data were selected from the Inner Mongolia Statistical Yearbook and the Hohhot City Statistical Yearbook during 2000-2020.

3 Methods

3.1 Cultivated land conversion index

The index of cultivated land conversion (Liu et al., 2020) was used to measure the level of cultivated land conversion in each banner/county using the relative values of cultivated land conversion area in actual farmland area. The formula for calculating the cultivated land conversion index is represented by Equation 1:
P i = F i S i ,
where Pi is the cultivated-land conversion index of i league; Fi is the cultivated-land conversion area of i league (hm2); and Si is the cultivated land area of i league (hm2). Depending on the calculation results for the cultivated land conversion index, the spatial distribution pattern for the cultivated land conversion in Inner Mongolia was divided into six categories: Pi=0.00 represents no cultivated land conversion area, Pi∈(0.00, 0.05) denotes low cultivated land conversion area, Pi∈(0.05, 0.15) indicates mild cultivated land conversion area, Pi∈(0.15, 0.25) denotes medium cultivated land conversion area, Pi∈(0.25, 0.35) represents heavy cultivated land conversion area, and Pi∈(0.35, 1.00) indicates extreme cultivated land conversion area.

3.2 Kernel density estimation method

Kernel density is a method widely used in the empirical analysis of aggregation. It predominantly estimates the density of point or line pattern with the help of a moving cell, which can effectively capture the objective reality of data distribution to describe the spatial distribution characteristics (Li et al., 2020). According to this principle, we analyzed the spatial aggregation characteristics of cultivated land conversion using ArcGIS v.10.3 to explore the distribution and change characteristics of hotspots in the spatial patterns of the study area. Kernel density (P(xi)) is calculated by Equation 2:
P x i = 1 n h i = 1 n K x i x j h ,
where n is the number of data; h is the band width; K is the kernel function; and xi-xj is the distance from the measured point xi to the sample point xj.

3.3 Standard deviational ellipse

Standard deviational ellipse is a model used to accurately reveal the changing process and direction of spatial distribution of various geographic elements and to quantitatively explain the characteristics of centrality, spreading direction, and spatial pattern in the study area (Lin and Hui, 2022; Gai et al., 2023). The formulas that calculate the average center coordinates are represented by Equations 3 and 4:
S D E x = i = 1 n x i X ¯ 2 n ,
S D E y = i = 1 n y i Y ¯ 2 n ,
where SDEx and SDEy are the centers of standard deviational ellipse; xi and yi are the coordinates of sequence point i; and
X ¯
and
Y ¯
are the average centers of all sequence points.
The direction of ellipse was determined by Equation 5:
tan θ = i = 1 n x ˜ l 2 i = 1 n y ˜ l 2 + i = 1 n x ˜ l 2 i = 1 n y ˜ l 2 2 + 4 i = 1 n x ˜ l y ˜ l 2 2 i n x ˜ l y ˜ l ,
where
θ
is the azimuth angle of standard deviational ellipse;
x ˜ l
and
y ˜ l
are the geographical centers of gravity coordinate of the lth league and city, respectively.
X-axis standard deviation and Y-axis standard deviation were calculated by Equations 6 and 7:
σ x = 2 i = 0 n x ˜ i cos θ y ˜ i sin θ 2 n ,
σ y = 2 i = 0 n x ˜ i sin θ + y ˜ i cos θ 2 n ,
where
σ x
and
σ y
are the standard deviations along the long and short axes, respectively.

3.4 Geographic detector

Geographic detector encompasses a set of statistical methodologies employed to identify spatial differentiation and elucidate the underlying causal factors. The fundamental premise is that if an independent variable exerts a significant impact on a dependent variable, their spatial distributions should exhibit similarity. Four types of detection exist, i.e., differentiation and factor detection, risk detection, interaction detection, and ecological detection. Differentiation, factor detection, and interaction detection were used to study the degree of influence of selected factors on cultivated land conversion and the interaction between factors (Cheng et al., 2007).

3.4.1 Differentiation and factor detection

Differentiation and factor detection were used to investigate the extent to which factor X explains the spatial differentiation of cultivated land conversion Y. When measured by the q-value, the expression is represented by Equation 8:
q = 1 1 N σ 2 h = 1 L N h σ h 2 ,
where L is the stratification of variable Y or factor X (classification or partitioning); Nh and N are the number of units in layer h and the entire area, respectively; and
σ h 2
and σ2 are the variances of Y value of layer h and the entire area, respectively. The range of q-value is from 0.00 to 1.00. A larger q-value indicates that the independent variable X possesses stronger explanatory power for attribute Y, and vice versa. A q-value of 1.00 indicates that factor X completely controls the spatial distribution of Y; and q-value of 0.00 indicates that factor X exhibits no relationship with factor Y.

3.4.2 Interaction detector

An interaction detector was used to identify the interaction between different factors Xs and to evaluate whether the two factors acting together increase or decrease the explanatory power of dependent variable Y or whether their effects on Y are independent. The method first calculates the q-values of two-factor pairs separately and the q-values when they interact. It then compares q(X1) and q(X2) to q(X1X2). The relationships between these two factors can be divided into five categories, i.e., bifactor enhancement, independent enhancement, nonlinear enhancement, nonlinear attenuation, and single-factor nonlinear attenuation. The specific research framework is shown in Figure 1.
Fig. 1 Research framework of the study

4 Results

4.1 Area and rate changes in cultivated land conversion

This research used the raster data of arable land map spots based on the ArcGIS spatial superposition analysis module. The area of cultivated land conversion and the rate of cultivated land conversion were calculated for four periods, i.e., 2000-2005, 2005-2010, 2010-2015, and 2015-2020 (Fig. 2). The cultivated land conversion area in Inner Mongolia from 2000 to 2020 was consistent with the overall trend of cultivated land conversion rate and exhibited a fluctuating growth trend, with the maximum cultivated land conversion area (6341.84 km2) and cultivated land conversion rate (5.51%) occurring from 2015 to 2020. The minimum area of cultivated land conversion (60.84 km2) and the rate of cultivated land conversion (0.08%) occurred from 2005 to 2010. From 2000 to 2010, the cultivated land conversion area and the rate of cultivated land conversion in Inner Mongolia slowed and increased again in 2015, with a cultivated land conversion area >500.00 km2. From 2015, this trend accelerated and peaked in 2020.
Fig. 2 Area and rate of cultivated land conversion during different periods in Inner Mongolia

4.2 Changes and analysis in spatiotemporal distribution

4.2.1 Temporal changes

With the socio-economic development of Inner Mongolia, the role of cultivated land conversion is evident with the influence of environment, policy, and regional strategy. Regions with more obvious non-agricultural cultivation of cultivated land often exhibited a high degree of spatial coincidence with urban development areas. Table 1 indicates the area of cultivated land converted from 2000 to 2020 for each league/city in Inner Mongolia. Among the 12 leagues/cities, the largest area of cultivated land conversion occurred in Tongliao City, with an area of 1847.68 km2. Bayannur (1169.36 km2), Chifeng (870.49 km2), and Hohhot (733.36 km2) cities followed. The smallest cultivated land conversion area occurred in Wuhai City, with an area of 29.21 km2. The areas of cultivated-land conversion were primarily concentrated in the eastern agricultural and plantation areas. An increase in land for urban infrastructure and industrial, residential, and commercial construction accelerated cultivated land conversion. Moreover, a portion of arable land was converted to unused land due to changes in farming condition; however, this exerted minimal effects on the extent of farmland conversion. From 2000 to 2005 and 2010 to 2015, cultivated land conversion occurred primarily in the Hohhot-Baotou-Ordos urban agglomeration, while from 2005 to 2010 and 2015 to 2020, it occurred in the eastern region.
Table 1 Area of cultivated land conversion during different periods
Region League/City 2000-2005 2005-2010 2010-2015 2015-2020 Total
Area (km2)
Hulun Buir 21.39 9.84 30.32 554.50 616.05
Eastern region Hinggan 12.07 1.52 62.04 574.65 650.28
Tongliao 46.45 10.32 44.49 1746.42 1847.68
Xilin Gol 0.00 2.00 16.70 190.17 208.87
Central region Chifeng 25.44 18.70 37.46 788.89 870.49
Ulanqab 67.82 0.00 0.00 0.00 67.82
Hohhot-Baotou-Ordos urban agglomeration Hohhot 68.56 2.10 145.40 517.30 733.36
Baotou 40.07 6.61 86.72 317.11 450.51
Ordos 31.07 7.05 66.02 456.26 560.40
Bayannur 53.98 1.91 30.12 1083.35 1169.36
Western region Wuhai 2.52 0.00 9.76 16.93 29.21
Alagxa 3.60 0.00 3.71 96.25 103.56
Total 372.97 60.05 532.74 6341.83 7307.59
Hence, the pattern of spatial and temporal divergence in cultivated land conversion in Inner Mongolia from 2000 to 2020 was limited by topographical conditions and obvious geographical divergence. It was predominantly concentrated in the eastern region and the Hohhot-Baotou- Ordos urban agglomeration, primarily distributed along the Hetao, Nenjiang, and Liaohe plains.

4.2.2 Construction of cultivated land conversion index

We graded the index of cultivated land conversion in the 12 leagues/cities of Inner Mongolia from 2000 to 2020 based on the calculation results (Fig. 3). There were no heavy or extreme cultivated land conversion areas in any league/city from 2000 to 2020. Rather, from 2000 to 2005, 2005 to 2010, and 2010 to 2015, the level of cultivated land conversion in all cities was concentrated in areas with no and low cultivated land conversion. From 2015 to 2020, Alagxa League and Bayannur City entered the medium cultivated land conversion area, and the Hohhot-Baotou-Ordos urban agglomeration shifted from a low to a mild cultivated land conversion area. Overall, the change in the conversion degree of farmland in Inner Mongolia exhibited an initial state of slowing down and subsequently increasing; an inflection point appeared in 2005. After 2005, the arable land area in Inner Mongolia increased. Due to natural conditions, quality of arable land was generally poor, with few areas experiencing conversation. Quality was influenced by rapid economic development, and a large amount of construction occupied high-quality farmland, ultimately resulting in cultivated land conversion.
Fig. 3 Spatiotemporal variation of cultivated land conversion index in Inner Mongolia during 2000-2020. (a), 2000-2005; (b), 2005-2010; (c), 2010-2015; (d), 2015-2020. Note that the figures are based on the standard map (蒙 S(2023)037) of the Inner Mongolia Autonomous Region Department of Natural Resources (https://zrzy.nmg. gov.cn/bsfw/bzdt/nmgzzqbzdt/), and the standard map has not been modified.

4.2.3 Kernel density analysis

The results of kernel density analysis reflect the spatial aggregation characteristics of cultivated land conversion (Fig. 4). The higher the kernel density value of cultivated land conversion, the more concentrated the spatial distribution of cultivated land conversion in the study area. From 2000 to 2005, high-density areas of cultivated land conversion in Inner Mongolia were concentrated near Tongliao City and the Hohhot-Baotou-Ordos urban agglomeration, with a maximum density of 28.30. From 2005 to 2010, fewer plots of cultivated land were converted, with a maximum density of 3.39. From 2010 to 2015, the spatial quantity distribution density of cultivated land conversion exhibited a significant change, increasing to 94.86, and concentrated in the Hohhot-Baotou-Ordos urban agglomeration, further intensifying cultivated land conversion in the region. From 2015 to 2020, cultivated land conversion in Inner Mongolia exhibited a rapid trend, with the overall density of cultivated land conversion increasing to 1524.09 and exhibiting a spatial dispersion state from the Hohhot-Baotou-Ordos urban agglomeration in the early stage to eastern region. Cultivated land conversion in Inner Mongolia from 2000 to 2020 was primarily concentrated in the Hohhot-Baotou-Ordos urban agglomeration, the urban core of Inner Mongolia with a concentrated population and rapid economic development, ultimately increasing demand for building land. Therefore, the phenomenon of non-agricultural land has become increasingly prominent.
Fig. 4 Kernel density of cultivated land conversion in Inner Mongolia during 2000-2020. (a), 2000-2005; (b), 2005-2010; (c), 2010-2015; (d), 2015-2020.

4.2.4 Standard deviational ellipse

The degree of concentration and trends in the spatial distribution of cultivated land conversion in Inner Mongolia were further analyzed using the ArcGIS standard deviational ellipse model. The standard deviation ellipsoidal revolutions in the study area were 68.89°, 62.71°, 64.81°, and 70.67° for 2000-2005, 2005-2010, 2010-2015, and 2015-2020, respectively (Fig. 5; Table 2). The spatial distribution of cultivated land conversion in Inner Mongolia exhibited an overall directional distribution of southwest-northeast-southwest-northeast, indicating that the main driving force for the spatial change in cultivated land conversion in Inner Mongolia was the northeast-southwest direction. The changing pattern of cultivated land conversion in the eastern region and Hohhot-Baotou-Ordos urban agglomeration exerted a strong pulling effect on spatial changes in the cultivated land conversion in Inner Mongolia. During the four periods, there was no change in the center of gravity shift of cultivated land conversion, with all located in the Xilin Gol League.
Fig. 5 Standard deviational ellipses and center of gravity migration trajectories of cultivated land conversion in Inner Mongolia from 2000 to 2020. The center of gravity migration arrows begin from 2005 to 2010 and shift from a northeastern to northwestern direction from 2005 to 2010, a northwestern to northeastern direction from 2010 to 2015, and a northwestern direction from 2015 to 2020.
Table 2 Changes in elliptical parameters of standard deviation for cultivated land conversion from 2000 to 2020
Period X center Y center X-SD Y-SD Rotation (°) Area (×106 km2)
2000-2005 113°14′E 42°11′N 12,614.22 5199.70 68.89 43.18
2005-2010 116°54′E 43°42′N 13,023.46 5438.18 62.71 58.00
2010-2015 113°45′E 42°22′N 12,673.63 5229.40 64.81 42.76
2015-2020 115°57′E 43°19′N 12,919.34 5374.45 70.67 60.72

Note: SD means standard distance.

The long and short axes of standard deviational ellipse changed during the study period. The Y-axis and X-axis increased by 238.48 and 409.24 km, respectively, from 2000-2005 to 2005-2010, respectively. The direction of rotation of standard deviational ellipse was counterclockwise with a more pronounced rotation angle, indicating expansion of cultivated land conversion from southwest to northeast. Compared with 2005-2010, the Y-axis and X-axis decreased by 349.83 and 208.78 km, respectively, from 2010 to 2015, and the rotation direction of standard deviational ellipse angle was clockwise. This result indicated that spatial pattern of cultivated land conversion shifted from northeast to southwest. From 2015 to 2020, an increase of 245.71 and 145.05 km occurred on the Y-axis and X-axis compared with 2010-2015; the direction of rotation of standard deviational ellipse was clockwise, with a clear angle of rotation. The pattern of cultivated land conversion expanded from southwest to northeast. The standard deviational ellipse areas for the four periods were 4.32×105, 5.80×105, 4.28×105, and 6.07×105 km2, respectively, and underwent an increasing-decreasing-increasing pattern. The elliptical area was the largest from 2015 to 2020, indicating that the spatial aggregation of cultivated land conversion in Inner Mongolia was the strongest during this period.

4.3 Driving factors

4.3.1 Factor detector analysis

Cultivated land conversion results from a combination of factors. This study focuses on three aspects, namely, economic development factors, agricultural production factors, and social development factors. Total 11 variables were selected as the driving factors of cultivated land conversion. Finally, the variation in each driving factor was calculated, and the data were discretized into 5 layers using natural breakpoint method, and the corresponding q-value was calculated. The most important drivers of cultivated land conversion in Inner Mongolia were the share of secondary and tertiary industries in GDP and the per-unit area grain yield with explanatory rates of 57.00%, 55.00%, and 51.00%, respectively (Table 3). This indicates a high correlation between cultivated land conversion, economic growth, and agricultural production conditions. From an economic perspective, when an economy reaches a certain level of development, the transformation of industrial structure is reflected by the changes of land structure. The increase in the share of secondary and tertiary sectors indicated that industrial structure of Inner Mongolia had been effectively adjusted and that the development of new industries provided numerous employment opportunities. With the development of secondary and tertiary industries, employment opportunities have increased, and the labor force has shifted from agriculture to towns, increasing the demand for construction land and indirectly affecting the degree of cultivated land conversion. Additionally, the progress in agricultural technology, such as grain yield per-unit area and the development of agriculture, reflects the improvement in intensive utilization degree of cultivated land. Moreover, improved agricultural technology can greatly improve the production capacity of cultivated land and help lessen the pressure of economic and social development on cultivated land to reverse the impact on the level of cultivated land conversion. Taken together, grain yield was the endogenous driver of cultivated land conversion in Inner Mongolia from 2000 to 2020, while industry was the direct driver. The combined effects of economy, industry, and agriculture have formed the basic trend of cultivated land conversion in Inner Mongolia.
Table 3 Factor detector results of cultivated land conversion
No. Factor q-value
X1 GDP per capita 0.07
X2 Share of the secondary sector in GDP 0.57
X3 Share of the tertiary sector in GDP 0.55
X4 Per capita income of farmers 0.40
X5 General public budget revenue 0.23
X6 Total output value of agriculture, forestry, animal, husbandry, and fishery 0.43
X7 Arable land area 0.36
X8 Yield of grain per unit area 0.51
X9 Total grain yield 0.15
X10 Level of urbanization 0.21
X11 Population 0.05

Note: GDP, global gross domestic product.

4.3.2 Interaction detection

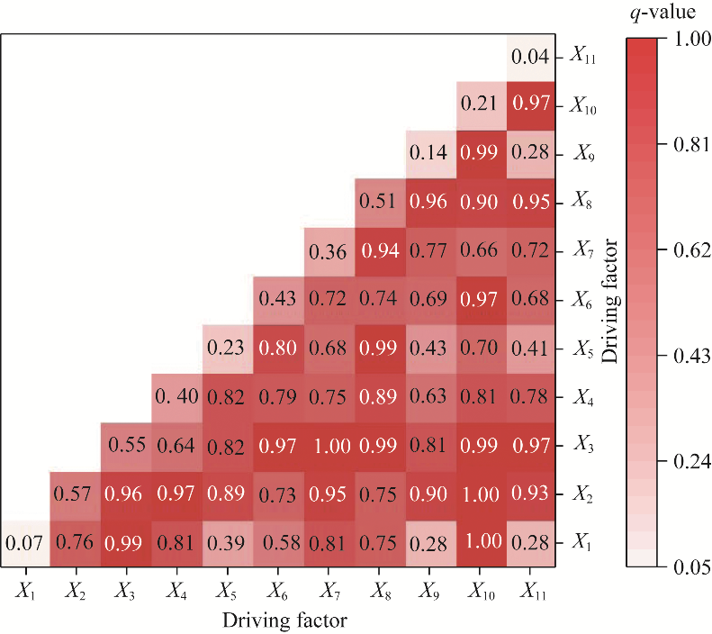
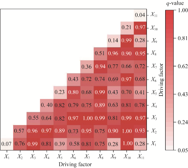
The explanatory power values obtained from the interaction detection among the 11 driving factors were greater than those obtained from a single influencing factor (Fig. 6), indicating that the interaction between the two factors can obtain stronger explanatory power and exert a greater impact on the level of cultivated land conversion than a single factor. Among them, the two-factor enhancement was the interaction type between X2 and X6, X2 and X9, X4 and X3, X4 and X6, X4 and X7, X4 and X8, X5 and X9, X6 and X7, X6 and X8, and the interaction type between the remaining factors was nonlinear enhancement.
Fig. 6 Interactive detection of influencing factors of cultivated land conversion. The explanation of driving factors is shown in Table 3.
The interactions between X10 and X1, X2, or X3 exhibited the largest q-value (q=1.00; Fig. 6). Therefore, urbanization and proportions of secondary and tertiary industries played primary roles in determining the degree of cultivated land conversion after spatial superposition. Hence, population urbanization and industrial structure transformation have increased the demand for housing, public infrastructure, and major industrial land. Moreover, the consequent expansion of land for construction has ultimately exacerbated cultivated land conversion. Additionally, the q-value for the interaction of other factors was generally >0.70, indicating a strong interaction. Cultivated land conversion is the result of economic, social, and agricultural factors.

5 Discussion

5.1 Spatiotemporal patterns and drivers of cultivated land conversion

Previous studies have identified the current status of cultivated-land conversion and its associated factors in different areas, such as the eastern and central areas of China (Yue et al., 2015; Song, 2017), central Vietnam (Nguyen et al., 2021), the agricultural area of Bangladesh (Quasem, 2011), and the northern area of Argentina (Gasparri et al., 2015). Overall, researches on the spatial and temporal evolution characteristics and driving factors of cultivated land conversion are relatively comprehensive; however, it mostly focuses on economically developed areas in eastern and central China, while researches on cultivated land conversion in the northern areas are still lacking. Moreover, there are many urban districts and counties in northern China with great development potential. With the continuous acceleration of urbanization, many cultivated land resources have been occupied by non-agricultural production, and cultivated land conversion has become increasingly prominent.
This study further analyzed the evolutionary characteristics of the spatial distribution of cultivated land conversion in Inner Mongolia from temporal and spatial perspectives and verified the impacts of social, economic, and agricultural factors on locally cultivated land conversion in northern China. From 2000 to 2020, a large amount of cultivated land resources was occupied by construction land in Inner Mongolia, and the total amount of cultivated land non-agricultural conversion was 7307.59 hm2 (Table 1). The overall trends in the changes of cultivated land conversion area and rate of conversion in Inner Mongolia from 2000 to 2020 were consistent, exhibiting a fluctuating growth trend (Fig. 2). The main reason for the significant reduction in arable land area during 2000-2005 was the nationwide promotion of projects to return farmland to forest land and grassland (Gegentana et al., 2024). In contrast, the reduction in arable land from 2009 to 2021 is primarily due to socioeconomic development needs, the occupation of industrial and mining land in towns and villages, and large-scale transport development (Zhao, 2017). Research has shown that the change in the conversion of farmland in Inner Mongolia exhibited an initial state of slowing down and subsequently increasing, with an inflection point appearing in 2005 (Fig. 3). After 2005, the arable land area in Inner Mongolia increased. Owing to natural conditions, the quality of arable land is generally poor, and plowing retirement occurs in certain areas (Zhang et al., 2014). Quality is influenced by rapid economic development, and a large amount of construction occupies high-quality farmland, ultimately converting cultivated land. Li et al. (2022a) reported the apparent spatial distribution characteristics of the grade of cultivated land conversion in Heilongjiang Province, with cities having higher grades concentrated in the western and economically developed areas. This result indicates that the demand for construction land for economic development has led to an increase in the area of arable land to cultivated land conversion. These studies have confirmed that potential industrial development areas are economically developed and have a high degree of cultivated land conversion (Li et al., 2022a). In the Hohhot-Baotou-Ordos urban agglomeration cluster in Inner Mongolia, with its own energy advantages and rapid regional economic development, the demand for the construction of suburban development zones is high, with considerable cultivated land conversion (Fig. 4).
This study has selected quantifiable social, economic, and agricultural factors, which, to a certain extent, reveal the interrelationship of urbanization and industrial development wth cultivated land conversion. Factor detector results indicated that the most important drivers of cultivated land conversion in Inner Mongolia were secondary and tertiary industries in the GDP and per-unit area grain yield (Table 3), which indicates a strong correlation between cultivated land conversion, economic growth, and agricultural production conditions. The interaction detector findings revealed that urbanization and GDP per capita, and the development of secondary sector in GDP and the tertiary sector in GDP exhibited the largest share (Fig. 6). This result suggests that GDP, as a key socioeconomic factor, may propel the transformation of farmland into urban land (Wang and Awadelkarim, 2024).
Nitsch et al. (2015) found that the main limiting factor for the expansion of arable land is not precipitation but land for infrastructure and services provided by towns. However, cultivated land conversion is affected by these quantifiable factors and by difficult-to-quantify factors, such as policies and regulatory efforts, which are independent of objective conditions of population, economy, and industry. The incidence of off-farm arable land is lower in areas with strong implementation of arable land protection policies. Xu et al. (2020) confirmed this point, arguing that the supervision of relevant land departments prevents the government and enterprises from blindly occupying farmland for economic interests. Bao et al. (2015) explored the changing trend of cultivated land conversion over the past 30 a and concluded that natural factors are prerequisites for cultivated land conversion and that natural factors, such as elevation and slope, determine the trend in the conversion of arable land to built-up land in terms of vertical distribution. Hence, owing to limited data access, this study did not consider the driving effects of natural factors on cultivated land conversion in Inner Mongolia.
The interaction type of two driving factors influencing the cultivated land conversion was predominantly characterized as a nonlinear or bilinear enhancement during 2000-2020. This result underscores that a multifaceted consideration of various driving factors and their interactions can elucidate the driving mechanisms of cultivated land conversion more effectively than any single factor. Wang et al. (2024) made a similar conclusion in their study on the land use and land change (LULC) of the Jinghe River Basin in China, indicating that the mechanism of cultivated land conversion was a response to social economy. This result highlights the importance of investigating the drivers of cultivated land conversion in the context of changing environments.

5.2 Strengthening economic and intensive utilization of land

Cultivated land conversion is an inevitable phenomenon that occurs during industrialization and urbanization in China (Li et al., 2022c). Cultivated land conversion primarily occurs in economically developed areas and those with high urbanization coverage (Jiang et al., 2012; Li et al., 2015). The social economy of Inner Mongolia is at a stage of rapid development, which affects cultivated land conversion. Social industrialization and urbanization require the occupation of a large amount of construction land, and the growing population has increased the demand for nonproductive use of land, particularly for commercial, residential, transportation, education, medical, other real estate industries, and infrastructure construction. Cultivated land conversion is more prominent in the peripheral areas of economically developed districts due to the economic radiation effects of cities in peripheral areas (Li et al., 2019). The most economically developed area in Inner Mongolia is the Hohhot-Baotou-Ordos urban agglomeration, which has the largest area for cultivated land conversion. Large-scale urban reconstruction occupies a large portion of the surrounding farmland. Therefore, the economic radiation effect of these cities was relatively large, ultimately resulting in the conversion of cultivated land in surrounding cities, such as Ulanqab and Bayannur, into urban construction. The loss of large amounts of arable land resources has markedly affected food security in China and threatened the feeding of 1.4×109 people (Wu et al., 2017). Moreover, it is necessary to control the scope of farmland occupied by urban construction areas, strengthen the level of conservation and intensive utilization of land resources, and improve the efficiency of land resource utilization.

5.3 Increases in secondary and tertiary industries and regional grain yield

The development of agricultural production is partially driving the trend toward cultivated land conversion, and advances in agricultural science and technology can increase the degree of intensive use of agricultural land and food production. Additionally, the pressure caused by food demand from the growing population diminishes with increased productivity per unit area of arable land (Liang, 2023). Cultivated land conversion causes changes in the quantity and quality of arable land, which impacts the area sown with grain as well as the grain yield per unit area and the total grain output (Wu et al., 2015). The direct impact of cultivated land conversion on food security was the reduction in the amount of arable land, thus decreasing the capacity to produce food (Song and Pijanowski, 2014). Zhao (2017) confirmed that economic development variables such as per capita GDP and the proportion of fixed asset investment in GDP exert the greatest positive impact on the level of non-agricultural farmland conversion. In contrast, we observed that agricultural technology variables such as grain yield per unit area and total yield exert a positive impact on the level of cultivated land conversion utilization in Inner Mongolia. Agricultural technological progress and development, such as grain yield per unit area, reflect improvements in the intensive utilization of cultivated land in Inner Mongolia. Moreover, agricultural technology can greatly improve the production capacity of cultivated land, which is conducive to weakening the pressure of economic and social development on cultivated land to a certain extent and adversely affects the level of cultivated land conversion. The increase in the proportion of secondary and tertiary industries indicates that the industrial structure of Inner Mongolia has been effectively adjusted and that the development of new industries has provided many employment opportunities. With the development of secondary and tertiary industries and an increase in employment opportunities, the labor force has shifted from agriculture to cities and towns, increasing the demand for construction land and indirectly affecting the degree of cultivated land conversion. The transfer of the agricultural sector to the non-agricultural sector increases the change in the nature of cultivated land, ultimately decreasing the proportion of primary industries and increasing the proportion of secondary and tertiary industries.

5.4 Suggestion and implication

Urbanization in Inner Mongolia is continuously advancing, and the contradiction between economic development and arable land protection is becoming increasingly prominent (Wu, 2015). Therefore, we suggest that the relevant management departments implement arable land protection work within a certain range, quantifying the work, clarifying the objectives of arable land protection (Furuseth and Pierce, 1982), and dynamically supervising the actual implementation of arable land protection tasks by local governments at all levels (Thompson and Prokopy, 2009). The objectives of arable land protection can be reduced to specific townships, streets, and villages through the breakdown of arable land protection responsibilities and the establishment of an efficient arable land protection responsibility system to achieve arable land protection with clear objectives, feasible measures, and visible results (Newman et al., 2015).

6 Conclusions

Inner Mongolia is one of the main grain-producing areas in China, and it is of great significance to study the current status of cultivated land conversion. The area of cultivated land conversion and rate of cultivated land conversion in Inner Mongolia from 2000 to 2020 exhibited fluctuating growth trends with significant spatiotemporal differences. The spatial distribution of non-agricultural land in Inner Mongolia was relatively clear. Restricted by terrain conditions, it is concentrated in the eastern area and the Hohhot-Baotou-Ordos urban agglomeration, primarily along the Hetao, Nenjiang, and Liaohe plains. Additionally, the proportion of secondary and tertiary industries and the per-unit area grain yield caused by economic growth and agricultural production efficiency were the main driving forces of cultivated land conversion in Inner Mongolia. Hence, this study provides a reference for effectively limiting cultivated land conversion in northern China to facilitate the protection and sustainable development of urban farmland. Nevertheless, this study had certain limitations. For instance, although cultivated land conversion was an inevitable result of multiple factors, we primarily investigated the driving factors in terms of socioeconomic and agricultural production factors. Hence, future research should investigate the associated natural conditions and policy-driving factors.

Conflict of interest

The authors declare that they have no known competing financial interests or personal relationships that could have appeared to influence the work reported in this paper.

Acknowledgments

This study was funded by the National Natural Science Foundation of China (2023SHZR0540) and the National Science and Technology Support Program of China (NMTDY2021-78).

Author contributions

Conceptualization: ZHOU Ruiping, Burenjirigala; Methodology: BAO Baorong; Formal analysis: Xijiri, BAO Baorong; Writing - original draft preparation: Xijiri; Writing - review and editing: ZHOU Ruiping, Burenjirigala; Funding acquisition: ZHOU Ruiping, Burenjirigala, BAO Baorong. All authors approved the manuscript.
[1]
Aodenggaowa. 2008. Study on the change process of cultivated land resources and food production security in Inner Mongolia. Chinese Journal of Eco-Agriculture, 16(4): 1000-1004. (in Chinese)

[2]
Bao Y C, Hao R M, Zheng Y, et al. 2015. Try to make good use of land resources to promote the integration of production and agriculture and promote rural revitalization-A case study of Junge Banner, Inner Mongolia Autonomous Region. Western Resources, 12(1): 177-181, 184. (in Chinese)

[3]
Cheng R K, Yang C L, Wu J F, et al. 2007. Mineral resources in Xilin Gol League, Inner Mongolia. In:Proceedings of the 3rd National Symposium on Metallogenic Theory and Prospecting Methods. Kaikou: Chinese Society for Mineralogy Petrology and Geochemistry, 492-493. (in Chinese)

[4]
Cui K, Shoemaker S P. 2018. A look at food security in China. NPJ Science of Food, 2: 4, doi: 10.1038/s41538-018-0012-x.

[5]
Furuseth O J, Pierce J T. 1982. A comparative analysis off arm land preservation programmes in North America. Canadian Geographies/Géographies Canadiennes, 26(3): 191-206.

[6]
Gai Z X, Xu Y, Du G M. 2023. Spatio-temporal differentiation and driving factors of carbon storage in cultivated land-use transition. Sustainability, 15(5): 3897, doi: 10.3390/su15053897.

[7]
Gasparri N I, Grau H R, Sacchi L V. 2015. Determinants of the spatial distribution of cultivatedlandin the NorthArgentine Dry Chacoina multi-decadal study. Journal of Arid Environments, 123: 31-39.

[8]
Gegentana, Wang T C, Wang J H, et al. 2024. Returning farmland to forest canopy coverage project in Inner Mongolia satellite remote sensing monitoring. Bulletin of Surveying and Mapping, 24(6): 139-145. (in Chinese)

[9]
Hao R, Chai L. 2014. Analysis on the correlation between cultivated land change and social and economic development in Hohhot. Journal of Inner Mongolia Normal University, 43(2): 121-124, 138. (in Chinese)

[10]
Herzberger A, Chung G M, Kapsar K, et al. 2019. Telecoupled food trade affects pericoupled trade and intracoupled production. Sustainability, 11(10): 2908, doi: 10.3390/su11102908.

[11]
Huang S Q, Xi F R, Chen Y M, et al. 2021. Land use optimization and simulation of low-carbon-oriented-a case study of Jinhua, China. Land, 10(10): 1020, doi: 10.3390/land10101020.

[12]
Huo K, Ruan Y F, Fan H Z, et al. 2022. Spatial-temporal variation characteristics of cultivated land and controlling factors in the Yangtze River Delta region of China. Frontiers in Environmental Science, 10: 871482, doi: 10.3389/fenvs.2022.871482.

[13]
Jiang L, Deng X Z, Seto K C. 2012. Multi-level modeling of urban expansion and cultivated land conversion for urban hotspot counties in China. Landscape and Urban Planning, 108(2-4): 131-139.

[14]
Kiani M. 2016. Soil quality dynamics and spatial heterogeneity in grasslands and cropping systems in western Canada. University of Alberta. Master of Science. [2023-12-12]. https://era.library.ualberta.ca/items/be1d4fdf-f6bb-45bf-968a-dc98612f0008.

[15]
Li D, He L Y, Qu J G, et al. 2022a. Spatial evolution of cultivated land in the Heilongjiang Province in China from 1980 to 2015. Environmental Monitoring and Assessment, 194(6): 444, doi: 10.1007/s10661-022-10119-3.

[16]
Li H P, Tian D R, Tan J B. 2022b. Spatial and temporal pattern of non-agricultural farmland in Yan'an City from 2000 to 2020 and its influencing factors. Bulletin of Soil and Water Conservation, 42(4): 330-337, 372. (in Chinese)

[17]
Li J H, Zhou K C, Dong H M, et al. 2020. Cultivated land change, driving forces and its impact on landscape pattern changes in the Dongting Lake Basin. International Journal of Environmental Research and Public Health, 17(21): 7988, doi: 10.3390/ijerph17217988.

[18]
Li W B, Wang D Y, Liu S H, et al. 2019. Measuring urbanization-occupation and internal conversion of peri-urban cultivated land to determine changes in the peri-urban agriculture of the black soil region. Ecological Indicators, 102: 328-337.

[19]
Li X G, Xiao P N, Zhou Y, et al. 2022c. The spatiotemporal evolution characteristics of cultivated land multifunction and its trade-off/synergy relationship in the two lake plains. International Journal of Environmental Research and Public Health, 19(22): 15040, doi: 10.3390/ijerph192215040.

[20]
Li Y H, Li Y R, Westlund H, et al. 2015. Urban-rural transformation in relation to cultivated land conversion in China: Implications for optimizing land use and balanced regional development. Land Use Policy, 47: 218-224.

[21]
Liang H. 2023. A study on the driving force of non-agricultural billion of material land and its relationship with economic development in Wuhan. MSc Thesis. Taian: Shandong Agricultural University. (in Chinese)

[22]
Lin X F, Hui F. 2022. Spatial-temporal evolution and driving forces of cultivated land based on the PLUS Model: A case sudy of Haikou City, 1980-2020. Sustainability, 14(21): 14284, doi: 10.3390/su142114284.

[23]
Liu X, Shi L, Qian H Y, et al. 2020. New problems of food security in Northwest China: A sustainability perspective. Land Degradation & Development, 31(8): 975-989.

[24]
Newman L, Powell L J, Wittman H. 2015. Landscapes of food production in Agriburbia: Farmland protection and local food movements in British Columbia. Journal of Rural Studies, 39: 99-110.

[25]
Nguyen T T, Tran V T, Nguyen T T, et al. 2021. Farming efficiency, cropland rental market and income effect: Evidence from panel data for rural Central Vietnam. Economic Analysis and Policy, 48(1): 207-248.

[26]
Nitsch H, Osterburg B, Roggendorf W, et al. 2015. Cross compliance and the protection of grassland-illustrative analyses of land use transitions between permanent grassland and arable land in German regions. Land Use Policy, 29(2): 440-448.

[27]
Qin S, Han Z Y, Chen H, et al. 2022. High-quality development of Chinese agriculture under factor misallocation. International Journal of Environmental Research and Public Health, 19(16): 9804, doi: 10.3390/ijerph19169804.

[28]
Quasem M A. 2011. Conversion of agricultural land to non-agricultural use sin Bangladesh: Extentand determinants. The Bangladesh Development Studies, 34(1): 59-85.

[29]
Song W, Pijanowski B C. 2014. The effects of China's cultivated land balance program on potential land productivity at a national scale. Applied Geography, 46: 158-170.

[30]
Song Y T. 2017. Quantitative analysis of the relationship between economic growth, urbanization and non-agricultural land-A case study of Jiangsu Province. Hubei Agricultural Science, 56(15): 2975-2978. (in Chinese)

[31]
Sun X Q, Xiang P C, Cong K X. 2023. Research on early warning and control measures for arable land resource security. Land Use Policy, 128: 106601, doi: 10.1016/J.LANDUSEPOL.2023.106601.

[32]
Tan Y Z, Wu C F, Mou Y M. 2004. Macro-analysis of cultivated land non-agriculturaization in Zhejiang. Scientia Geographica Sinica, 24(1): 14-19. (in Chinese)

[33]
Thompson A W, Prokopy L S. 2009. Tracking urban sprawl: Using spatial data to inform farmland preservation policy. Land Use Policy, 26(2): 194-202.

[34]
Wang X Y, Awadelkarim O O. 2024. Comparison of Si and SiC MOSFETs responses to electrical stress and the observation of parameter recovery in SiC MOSFET by stress superposition. Engineering Research Express, 6(3): 035324, doi: 10.1088/2631-8695/ad6395.

[35]
Wang X W, Cheng H. 2022. Dynamic changes of cultivated land use and grain production in the lower reaches of the Yellow River based on GlobeLand30. Frontiers in Environmental Science, 10, doi: 10.3389/FENVS.2022.974812.

[36]
Wang Y. 2012. Analysis on optimization of non-agricultural allocation of cultivated land by using tradeable farmland development right. Journal of Fujian Agriculture and Forestry University (Philosophy and Social Sciences Edition), 15(2): 25-30. (in Chinese)

[37]
Wu J K, Zhang S Q, Hao W, et al. 2015. Actual evapotranspiration in Suli alpine meadow in northeastern edge of Qinghai-Tibet Plateau, China. Advances in Meteorology, 2015: 593649, doi: 10.1155/2015/593649.

[38]
Wu X, Wang Y J, Zhu H B. 2022. Does economic growth lead to an increase in cultivated land pressure? Evidence from China. Land, 11(9): 1515, doi: 10.3390/LAND11091515.

[39]
Wu X P, Feng Y W, Ma H T, et al. 2015. Characterization of new microsatellite loci from the razor clam (Sinonovacula constricta) and transferability to related species. Biochemical Systematics and Ecology, 61: 175-178.

[40]
Wu Y Z, Shan L P, Guo Z, et al. 2017. Cultivated land protection policies in China facing 2030: Dynamic balance system versus basic farmland zoning. Habitat International, 69: 126-138.

[41]
Xu H Z. 2010. Market failure and loss of ecological value of cultivated land in non-agricultural process: A case study of Jiangsu Province. Journal of Chinese Ecological Agriculture, 18(6): 1366-1371. (in Chinese)

[42]
Xu J C, Hao J, Wu X G. 2020. Based on coupling factors of Inner Mongolia national spatial protection development research. Journal of Arid Land Resources and Environment, 34(12): 98-104. (in Chinese)

[43]
Yang Y N, Li J, Wang L, et al. 2022. The Impact of urbanization on the relationship between carbon storage supply and demand in mega-urban agglomerations and response measures: A case of Yangtze River Delta region, China. International Journal of Environmental Research and Public Health, 19(21): 13768, doi: 10.3390/IJERPH192113768.

[44]
Ye Y H. 2015. Driving forces of farmland non-agricultural research in China. Journal of Scientific Decision-Making, 7(9): 33-50. (in Chinese)

[45]
Yue Z H, Chang F, Li L, et al. 2015. Analysis of cultivated land non-agricultural conversion and its driving factors in Chengdu. Journal of Mianyang Normal University, 11: 102-108.

[46]
Zhang S, Zhang H B, Gu X H, et al. 2022. Monitoring the spatio-temporal changes of non-cultivated land via long-time series remote sensing images in Xinghua. IEEE Access, 10: 84518-84534.

[47]
Zhang S Q, Li Y P, Liu Z, et al. 2023. Towards a decoupling between economic expansion and carbon dioxide emissions of the transport sector in the Yellow River Basin. Sustainability, 15(5): 4152, doi: 10.3390/SU15054152.

[48]
Zhang X Y, Xie X P, Zhang A L. 2014. Wuhan City space disequilibrium development of non-agriculturalization of farmland and spatial diffusion path analysis. Journal of Natural Resources, 29(10): 1649-1659. (in Chinese)

[49]
Zhang Y X, Wang Y K, Fu B, et al. 2020. Changes in cultivated land patterns and driving forces in the Three Gorges Reservoir area, China, from 1992 to 2015. Journal of Mountain Science, 17(8): 203-215.

[50]
Zhao C W, Pu L J. 2007. Research on cultivated land non-agricultural conversion and economic development based on provincial data. Journal of Jiangxi Agricultural University, 29(4): 644-649. (in Chinese)

[51]
Zhao Y Q. 2017. Analysis of driving factors of farmland non-agricultural conversion based on social combustion theory. Hubei Agricultural Sciences, 56(5): 989-992. (in Chinese)

[52]
Zhou Y, Li X H, Liu Y S. 2020. Land use change and driving factors in rural China during the period 1995-2015. Land Use Policy, 99: 105048, doi: 10.1016/j.landusepol.2020.105048.

[53]
Zhou Y, Li X H, Liu Y S. 2021. Cultivated land protection and rational use in China. Land Use Policy, 106: 105454, doi: 10.1016/j.landusepol.2021.105454.

Outlines

/