Research article

Hydrochemistry and environmental implications in the western alpine region of China

  • ZHAO Yue 1, 2, 3 ,
  • LI Zongxing , 1, 4, * ,
  • LI Zhongping 2 ,
  • AOBULI Gulihumaer 5 ,
  • NIMA Zhaxi 6 ,
  • WANG Dong 6
Expand
  • 1Observation and Research Station of Eco-Hydrology and National Park by Stable Isotope Tracing in Qilian Mountains/Key Laboratory of Ecological Safety and Sustainable Development in Arid Lands, Northwest Institute of Eco-Environment and Resources, Chinese Academy of Sciences, Lanzhou 730000, China
  • 2Oil and Gas Research Center, Northwest Institute of Eco-environment and Resources, Chinese Academy of Sciences, Lanzhou 730000, China
  • 3University of Chinese Academy of Sciences, Beijing 100049, China
  • 4College of Geography and Environmental Science, Northwest Normal University, Lanzhou 730070, China
  • 5Pishan Meteorological Bureau of Xinjiang Uygur Autonomous Region, Hetian 848000, China
  • 6Ali Branch of the Xizang Autonmous Region Hydrology Bureau, Ali 895000, China
*LI Zongxing (E-mail: )

Received date: 2024-08-11

  Revised date: 2024-11-20

  Accepted date: 2024-11-25

  Online published: 2025-08-13

Abstract

The western alpine region is an important freshwater supply and water conservation area for China and its surrounding areas. As ecological civilization construction progresses, the ecohydrology of the western alpine region in China, which is a crucial ecological barrier, has undergone significant changes. In this study, we collected 1077 sampling points and presented a comprehensive overview of research results pertaining to the hydrochemistry of river water, meltwater, groundwater, and precipitation in the western alpine region of China using piper diagram, end-member diagram, and hydrological process indication. Water resources in the western alpine region of China were found to be weakly alkaline and have low total dissolved solids (TDS). The mean pH values for river water, meltwater, groundwater, and precipitation are 7.92, 7.58, 7.72, and 7.32, respectively. The mean TDS values for river water, meltwater, groundwater, and precipitation are 280.99, 72.48, 544.41, and 67.68 mg/L. The hydrochemical characteristics of the water resources in this region exhibit significant spatial and temporal variability. These characteristics include higher ion concentrations during the freezing period and higher ion concentrations in inland river basins, such as the Shule River Basin and Tarim River Basin. The principal hydrochemical type of river water and meltwater is HCO3-•SO42--Ca2+, whereas the principal cations in groundwater are Mg2+ and Ca2+, and the principal anions are HCO3- and SO42-. In terms of precipitation, the principal hydrochemical type is SO42--Ca2+. The chemical ions in river water and groundwater are primarily influenced by rock weathering and evaporation-crystallization, whereas the chemical ions in meltwater are mainly affected by rock weathering and atmospheric precipitation, and the chemical ions in precipitation are derived primarily from terrestrial sources. The main forms of water input in the western alpine region of China are precipitation and meltwater, and mutual recharge occurs between river water and groundwater. Hydrochemical characteristics can reflect the impact of human activities on water resources. By synthesizing the regional hydrochemical studies, our findings provide insights for water resources management and ecological security construction in the western alpine region in China.

Cite this article

ZHAO Yue , LI Zongxing , LI Zhongping , AOBULI Gulihumaer , NIMA Zhaxi , WANG Dong . Hydrochemistry and environmental implications in the western alpine region of China[J]. Journal of Arid Land, 2025 , 17(4) : 411 -439 . DOI: 10.1007/s40333-025-0072-0

1 Introduction

Water is a vital natural resource and its storage, use, and quality are inextricably linked to human survival and social development. Typically, water resources exist in a variety of forms, including solids (glacier ice, ice sheet, sea ice, snow, hail, frozen soil, etc.), liquids (ocean, river, lake, groundwater, snow meltwater, etc.), and gases (water vapor, clouds, fog, etc.). The chemical composition of natural water bodies is influenced by several factors, including rock lithology, climate, runoff, dry and wet atmospheric deposition, vegetation, and human activities (Li et al., 2017a; Shen et al., 2021; Vorobyev et al., 2021). The factors influencing hydrological processes in the alpine region are complex and diverse (Dong et al., 2007; Tian et al., 2021; Liang et al., 2022; Zhang et al., 2022).
Hydrochemistry is the study of the chemical composition of natural water bodies, as well as their spatial and temporal distribution and evolution. It combines hydrology with chemical methods and is a fundamental process for understanding, identifying, and controlling the chemical characteristics of water bodies (Wang, 2010). Hydrochemistry can provide insights into the evolution of water bodies, chemical weathering, ion sources, and other relevant information (Hindshaw et al., 2011; Zhou et al., 2014; Han et al., 2021). Research on the chemical composition of natural water bodies can be used to scientifically analyze the transformational relationship of water resources, trace the source, and objectively evaluate the quality of water resources; this provides a theoretical basis for the rational development, utilization, and management of water resources (Liu et al., 2020c).
The western alpine region of China, a vital source of water resources in the arid and semi-arid areas, serves as a crucial ecological shield and plays an irreplaceable role in preserving regional and national ecological balance. However, this region is sensitive to climate change, which can significantly impact the water resources supply and accelerate the water transformation (Chen et al., 2021; Zhang et al., 2023). The change of water resources in the western alpine region of China directly affects the river runoff and water conservation function of the "Asian water tower", thereby affecting the water cycle and water balance in China and on a global scale (Shang et al., 2021; Wang et al., 2021d). To understand the stability of water resources and water ecological security in the western alpine region of China amidst the backdrop of intensifying warming and humidification, this study extended previous research by expanding the focus from a single cold region to the entire western alpine region. This expansion addressed the data scarcity stemming from the challenges of sampling in individual regional studies mainly related to geographical and climatic constraints (Bai and Yang, 2007; Fan et al., 2014; Gao et al., 2019). By reviewing the current situation of regional hydrochemistry in the western alpine region of China, this study endeavored to uncover the hydrochemical characteristics of river water, meltwater, groundwater, and precipitation in the region. The specific objectives of this study were: (1) to elucidate the patterns of hydrochemical change influenced by environmental factors; (2) to discern the variations in hydrochemical influencing factors in different river basins; (3) to analyze the hydrochemical processes indicated by hydrochemistry; and (4) to determine the impact of human activities on water resources in ecologically sensitive areas. The findings of this research will provide reference for future studies on hydrochemical processes in the western alpine regions of China. They will also provide a practical basis for the realization of long-term environmental change research and the establishment of comprehensive monitoring networks, as well as informing the development of environmental protection and water resources management policies.

2 Materials and methods

2.1 Study area

The western alpine region of China (73°40′12′′-107°38′24′′E, 21°00′36′′-49°00′36′′N; Fig. 1) encompasses Gansu Province, Qinghai Province, Xinjiang Uygur Autonomous Region, Xizang Autonomous Region, Aba Tibetan and Qiang Autonomous Prefecture and Ganze Tibetan Autonomous Prefecture in western Sichuan Province, northern Yunnan Province, Yulong Snow Mountains, and northern Gaoligong Mountains in China (Ding et al., 2017). The western boundary is the Pamir Plateau, the eastern boundary is the Hengduan Mountains, the northern boundary is the Altay Mountains, and the southern boundary is the Himalayas Mountains. The region is characterized by high altitude and extensive snow and glaciers, with the majority of the glaciers distributed in the Kunlun, Tianshan, and Nyainqêntanglha mountain systems. The total number of glaciers in the region is 48,571 and the total area reaches 51,766.08 km2 (Liu et al., 2015a). The western alpine region of China not only serves as the source of numerous large rivers but also provides valuable water resources for arid areas through the meltwater runoff from the glaciers and snow (Feng et al., 2011). It has a low average temperature, with a large diurnal temperature range, a short frost-free period, and intense ultraviolet radiation. The average annual temperature is approximately 3°C and the average annual precipitation is about 306 mm (Zhang et al., 2023). This region is highly sensitive to climate change and the warming trend has intensified in recent years. Sedimentary rocks, magmatic rocks, and metamorphic rocks are widely distributed in the region. Sedimentary rocks primarily consist of sandstone, shale, and limestone. Magmatic rocks mainly include granite, pyrodiorite, gabbro, basalt, etc. Metamorphic rocks comprise gneiss, schist, and marble (Zhang, 1990; Qian et al., 2012; Ma et al., 2024). These rock types reflect a complex geological history and provide an important geological record for the hydrochemistry of alpine regions.
Fig. 1 Overview of the study area and distribution of sampling points of different water bodies. Note that the figure is based on the standard map (GS(2020)4619) of the Map Service System (https://bzdt.ch.mnr.gov.cn/), and the standard map has not been modified.

2.2 Data sources

To gain insight into the hydrochemical characteristics of the western alpine region of China, we searched for research papers related to the keywords "precipitation hydrochemistry", "groundwater hydrochemistry", "river hydrochemistry", "meltwater hydrochemistry", and "hydrological processes" before January 2024. At the same time, these papers had the distribution of sampling points in the western alpine region of China, and recorded the pH, total dissolved solids (TDS), electrical conductivity (EC), and concentrations of chemical ions (Na+, Ca2+, Mg2+, K+, Cl-, HCO3-, SO42-, and NO3-) of hydrochemistry. For these reasons, a total of 198 relevant papers were collected from Web of Science and China National Knowledge Network. The research data were primarily selected from 89 articles published before January 2022 by determining whether there are distribution of glaciers and frozen soil around the sampling points, whether the sampling points are located in mountain runoff, and whether the sampling points are in the upper reaches of river basin. The articles collected included a total of 579 river sampling points, 142 glacial and snow meltwater sampling points, 139 groundwater sampling points, and 217 precipitation sampling points, some of which did not have precise coordinates. The sampling data included river basins of Ertix River, Urumqi River, Tarim River, Heihe River, Shiyang River, Shule River, Yarlung Zangbo River, Yangtze River, Nujiang River, Jinsha River, Minjiang River, Yalong River, Yellow River, Lancang River, Rongbuk River, Kuytun River, Ili River, Baishui River, and Nagqu River in the western alpine region of China. The distribution of the sampling points is shown in Figure 1 and the data sources are shown in Table 1.
Table 1 Date sources for different types of sampling points
Sampling point type Reference
River water Liu (1986); Guo (1987); Su and Tang (1987); Pu et al. (1988); Qin et al. (1999); Liu et al. (2000); Sun et al. (2002); Zhou et al. (2004); Nie et al. (2005); Wu et al. (2008); Huang et al. (2009); Noh et al. (2009); Wei et al. (2010a); Feng et al. (2011); Huang et al. (2011); Pu et al. (2011); Zhang et al. (2012a); Fan et al. (2014); Li et al. (2014b); Zhou et al. (2014); Guo et al. (2015); Jiang et al. (2015); Qu et al. (2015); Wang et al. (2015); Wang (2016); Wei et al. (2016); Xu (2016); Bu (2017); He et al. (2017); Li et al. (2017a); Yang (2017); Li (2018); Li et al. (2018b); Liu et al. (2018); Bao (2019); He et al. (2019); Hu (2019); Li et al. (2019b); Liu et al. (2019, 2020c); Li et al. (2020b); Liu et al. (2020b); Zhao (2020); Zhao et al. (2020); Han et al. (2021); Ma et al. (2021); Renzeng et al. (2021); Wang et al. (2021a); Wang et al. (2021b); Wang et al. (2021c)
Meltwater Pu et al. (1988); Qin et al. (1999); Kang et al. (2002); Sun et al. (2002); Nie et al. (2005); Li et al. (2007b); Li et al. (2008, 2016a, 2019a); Wu et al. (2008); Zheng et al. (2008); Wu et al. (2009); Dong et al. (2010); Wei et al. (2010a); Li et al. (2011a); Li et al. (2011b); Pu et al. (2011); Feng et al. (2012); Zhang et al. (2012b); Zhao et al. (2012); Dong et al. (2013); Guo et al. (2015); Li et al. (2015b); Wang (2016); Wang et al. (2016); Wei et al. (2016); Bu (2017); Feng et al. (2017); Hu (2019); Song et al. (2019); Zhou et al. (2019); Li et al. (2020a)
Groundwater Nie et al. (2005); Zhu et al. (2008); Zhu et al. (2010); Zhang et al. (2012a); Li et al. (2013); Li et al. (2014b); Wang et al. (2015); Wang (2016); Luo et al. (2017); Yang (2017); Li et al. (2018a); Li et al. (2018c); Zhang et al. (2018a); Hu (2019); Li et al. (2019a, 2020b); Ma (2019); Liu et al. (2020c); Ma et al. (2021)
Precipitation Pu et al. (1988); Williams et al. (1992); Tang et al. (2000); Sun et al. (2002); Zhang et al. (2004); Li et al. (2007a); Li et al. (2009, 2014b); Feng et al. (2011); Ma et al. (2012); Wang (2012); Zhou et al. (2014); Guo et al. (2015); Li et al. (2015a, 2017b, 2020c); Wang et al. (2015); Wang et al. (2016); Yang (2017); Yu and Zhao (2017); Li (2018); Wang et al. (2019b); Li et al. (2020b); Zhang et al. (2020); Wang et al. (2022)
Data quality was determined using Pearson correlation coefficient and the ratio of anion to cation concentrations (Liu et al., 2015b). In this study, the Pearson correlation coefficient between anion concentration and cation concentration is 0.67 (P=0.000), and the ratio of anion to cation concentrations is 0.96, which is close to 1.00. These results indicated that there is a good anion-cation charge balance, and the data are considered reliable.

2.3 Methods

2.3.1 Piper diagram

The Piper diagram is an effective graphical method for classifying and analyzing the chemical types of water samples and examining water-rock interaction around sampling points (Piper, 1944; Wang, 1983). This diagram consists of cation triangles (Ca2+, Mg2+, and Na++K+), anion triangles (Cl-, SO42-, and HCO3-+CO32-), and a rhombus area.

2.3.2 Gibbs diagram

Gibbs diagram can intuitively reflect the hydrochemistry of different water bodies. Based on the relationship between TDS and molar concentration ratio of cations (Na+/(Na++Ca2+)) or anions (Cl-/(Cl-+HCO3-)), factors affecting the water samples can be roughly divided into atmospheric precipitation, rock weathering, and evaporative crystallization (Gibbs, 1970). When the TDS is moderate (about 70.00-300.00 mg/L) and the Na+/(Na++Ca2+) or Cl/(Cl+HCO3) ratio is less than 0.50, that is, when the sample data points are distributed in the middle or left side of the Gibbs diagram, it usually reflects the obvious influence of rock weathering on hydrochemistry. When the TDS is small (less than 70.00 mg/L) and the ratio of Na+/(Na++Ca2+) or Cl/(Cl+HCO3) is close to 1.00, the sample data point is located at the lower right corner of Gibbs diagram, which usually reflects the influence of atmospheric precipitation on hydrochemistry. When the TDS is high (more than 300.00 mg/L) and the ratio of Na+/(Na++Ca2+) or Cl/(Cl+HCO3) is close to 1.00, the sample data point is located in the upper right corner of Gibbs diagram, which usually reflects the influence of evaporative crystallization on hydrochemistry (Yang, 2017).

2.3.3 End-member model

Gaillardet et al. (1999) analyzed 60 rivers worldwide and proposed end-member diagrams to determine the weathering products affecting surface and groundwater chemistry. They categorized weathering products into carbonate, silicate, and evaporite rocks and determined the types of rock weathering by calculating the ionic molar concentration ratios of Ca2+/Na+, Mg2+/Ca2+, and HCO3-/Na+. In general, when Ca2+/Na+ is close to 50.00, Mg2+/Ca2+ is close to 10.00, and HCO3/Na+ is close to 120.00, it indicates that surface water (or groundwater) is subject to weathering control of carbonate rocks. When Ca2+/Na+ is close to 0.35 (±0.15), Mg2+/Ca2+ is close to 0.24 (±0.12), and HCO3/Na+ is close to 2.00 (±1.00), it indicates that the surface water (or groundwater) is controlled by the weathering of silicate rock. When Ca2+/Na+<0.20, Mg2+/Ca2+<0.12, and HCO3/Na+<1.00, it indicates that the surface water (or groundwater) is subject to weathering control of evaporative salt rocks (Anatolaki and Roxani, 2009).

2.3.4 Enrichment factor and end-member contribution method

The enrichment factor can be used to study the relative enrichment degree of chemical ion concentration in water bodies relative to the ocean (EFsea) and soil (EFsoil) to determine the element source and contribution degree of each source. This study referred to the research results of Xiao et al. (1993). Cl- and Ca2+ were selected as reference elements in the ocean and soil, respectively (Wang et al., 2015; Lu et al., 2017). The formulas are as follows:
$\text{E}{{\text{F}}_{\text{sea}}}\text{=}\frac{{{\left[ X\text{/C}{{\text{l}}^{\text{--}}} \right]}_{\text{sample}}}}{{{\left[ X\text{/C}{{\text{l}}^{\text{--}}} \right]}_{\text{sea}}}}$,
$\text{E}{{\text{F}}_{\text{soil}}}\text{=}\frac{{{\left[ X\text{/C}{{\text{a}}^{\text{2+}}} \right]}_{\text{sample}}}}{{{\left[ X\text{/C}{{\text{a}}^{\text{2+}}} \right]}_{\text{soil}}}}$,
where X is chemical ion concentration (μeq/L) in water samples; [X/Cl-]sample is the equivalent ratio of ion concentration to Cl- concentration in water samples; [X/Ca2+]sample is the equivalent ratio of ion concentration to Ca2+ concentration in water samples; and [X/Cl-]sea and [X/Ca2+]soil are the background values of sea and soil, respectively.
The end-member contribution method can identify and quantify potential ion sources in water bodies (Lu et al., 2017), and the three fractions can be calculated: sea salt fraction (SSF; %), soil/rock weathering fraction (CF; %), and anthropogenic fraction (AF; %). Taking precipitation as an example, the formulas are as follows:
$\text{SSF=}\frac{{{\left[ X\text{/C}{{\text{l}}^{\text{--}}} \right]}_{\text{sea}}}}{{{\left[ X\text{/C}{{\text{l}}^{\text{--}}} \right]}_{\text{sample}}}}\times \text{100 }\!\!%\!\!\text{ }$,
$\text{CF=}\frac{{{\left[ X\text{/C}{{\text{a}}^{\text{2+}}} \right]}_{\text{soil}}}}{{{\left[ X\text{/C}{{\text{a}}^{\text{2+}}} \right]}_{\text{sample}}}}\times \text{100 }\!\!%\!\!\text{ }$,
$\text{AF}=100%-\text{SSF}-\text{CF}$.

3 Results and discussion

3.1 Spatial variations in pH, TDS, and EC of different water bodies

The water resources in the western alpine region of China are generally weakly alkaline, with pH ranging from 5.50 to 9.87 (Fig. 2a). The pH ranges of river water, meltwater, groundwater, and precipitation are 6.50-9.87, 5.50-8.94, 6.31-9.32, and 5.90-8.20, respectively. The mean pH values of river water, meltwater, groundwater, and precipitation are 7.92, 7.58, 7.72, and 7.32, respectively. The only weakly acidic samples are those from the meltwater in the source area of the Ertix River Basin (Wei et al., 2016), precipitation in the source area of the Yangtze River Basin (Li et al., 2020c), and river water in the Lancang River Basin (Zhou et al., 1996). Previous studies have shown that the average pH is approximately 6.60 in the source area of the Yangtze River Basin (Pu et al., 1988; Wang et al., 2019b). The range of TDS in water resources is 2.10-2996.34 mg/L (Fig. 2b), showing considerable fluctuations in the range. Generally speaking, salinity is relatively low when the TDS is less than 1000.00 mg/L. The TDS contents of river water, meltwater, precipitation and groundtwater are less than 100.00 mg/L in most basins of the study area, and the water samples are classified as low-salinity waters (Zhu et al., 2010; Feng et al., 2011; Pu et al., 2011; Li et al., 2018c; Bao, 2019; Liu et al., 2020c). In the study area, groundwater has the highest average TDS (544.41 mg/L), followed by river water (280.99 mg/L), meltwater (72.48 mg/L) and precipitation (67.68 mg/L) show the lowest average TDS. The TDS of groundwater and river water in the Ertix, Heihe, Shiyang, and Shule river basins and the source area of the Yellow River Basin has been observed to increase with an increase in runoff (Zhu et al., 2010; Wang et al., 2014; LYU, 2017; Li et al., 2018b; Gao et al., 2019; Zhang and Song, 2020; Meng, 2021), whereas the TDS of river water in main streams of the Yalong River Basin and Nagqu River Basin shows a decreasing trend with an increase in runoff (Li et al., 2014a; Wang et al., 2019a). The EC of water can be used to determine the amount of TDS in a water source. As the concentration of dissolved solids increases, TDS increases accordingly, resulting in a higher conductivity in water (Wei et al., 2010b; Gu et al., 2017). As shown in Figure 2d, a significant positive correlation between EC and TDS of water resources in the study area can be observed, with coefficient of determination (R2) of 0.83 and slope of 1.53.
Fig. 2 Spatial distributions of pH (a), TDS (b), and EC (c), as well as fitting relationship between TDS and EC (d) of different water bodies. TDS, total dissolved solids; EC, electrical conductivity.

3.2 Spatial and temporal variations in hydrochemistry of different water bodies

The hydrochemical characteristics of water resources in the study area show seasonal fluctuations (Wu et al., 2008). Typically, the concentrations of chemical ions are lower during the ablation period for river water, meltwater, groundwater, and precipitation (Xu, 2016; Labaciren, 2017; Li et al., 2018c; Yang et al., 2018; Zhu et al., 2018; Shi et al., 2021). This is mainly attributed to the rise in temperature and increase in precipitation during the ablation period, which initially lead to a decrease in the ion concentrations of precipitation. Subsequently, the increase in glacial and snow meltwater contributes to a reduction in the ion concentrations of meltwater. With the combined increase in precipitation and meltwater, the concentrations of chemical ions in river water are diluted, and the interconversion between surface water and groundwater further diminishes the ion concentrations of groundwater (Li et al., 2016b; Webb et al., 2018). However, in the early stage of melting, when glaciers and snow begin to melt, large amounts of dust and chemical substances are released into runoff, which can also lead to an increase in the ion concentrations of river water. At this time, the temporal variation in the chemical ion concentrations of river water depends on the dilution intensity of precipitation and meltwater, as well as the intensity of chemical ion released by meltwater (Yang et al., 2021). The reduction in ablation leads to a significant decrease in runoff and a decrease in volume and frequency of precipitation that is laden with a large amount of suspended particles, thereby increasing the ion concentrations of precipitation (Li et al., 2016b, 2017a). During the freezing period, the gradual decrease in temperature, the reduction in ablation, and the effects of evapotranspiration lead to an increase in the concentrations of ions in glacial and snow meltwater (Chang, 2019). In spring and winter, the increasing trend in the ion concentrations of precipitation is influenced by meteorological events such as sand and dust storms (Dong et al., 2014; Li et al., 2016a). Different recharge modes of hydrological processes during various periods also result in spatial differences in chemical ion concentrations of different water bodies. For instance, the hydrochemistry of the Binggou River in the Shiyang River Basin is primarily affected by meltwater and groundwater before and after the rainy season, while precipitation has a greater impact during the rainy season (Xiang, 2020).
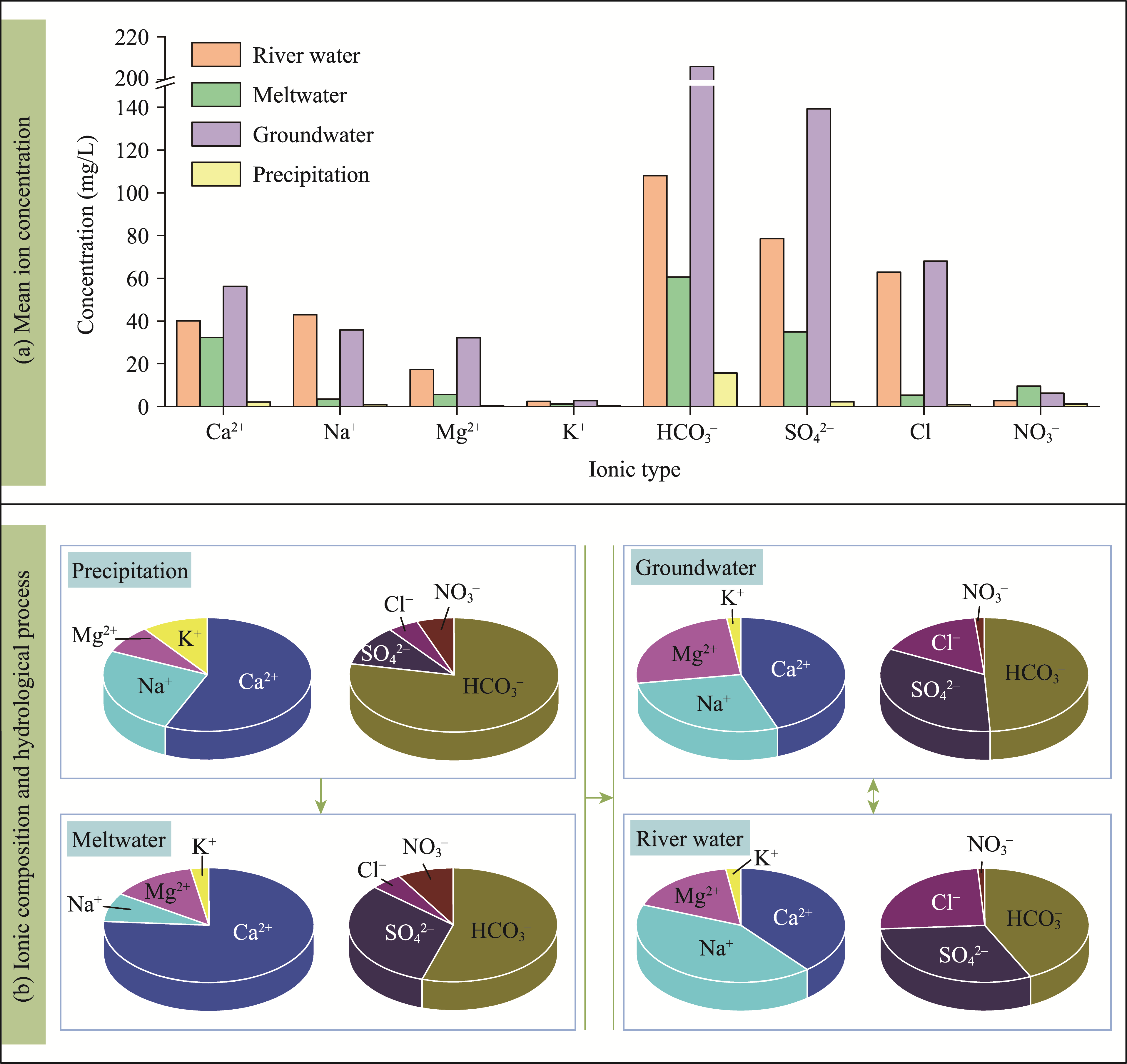
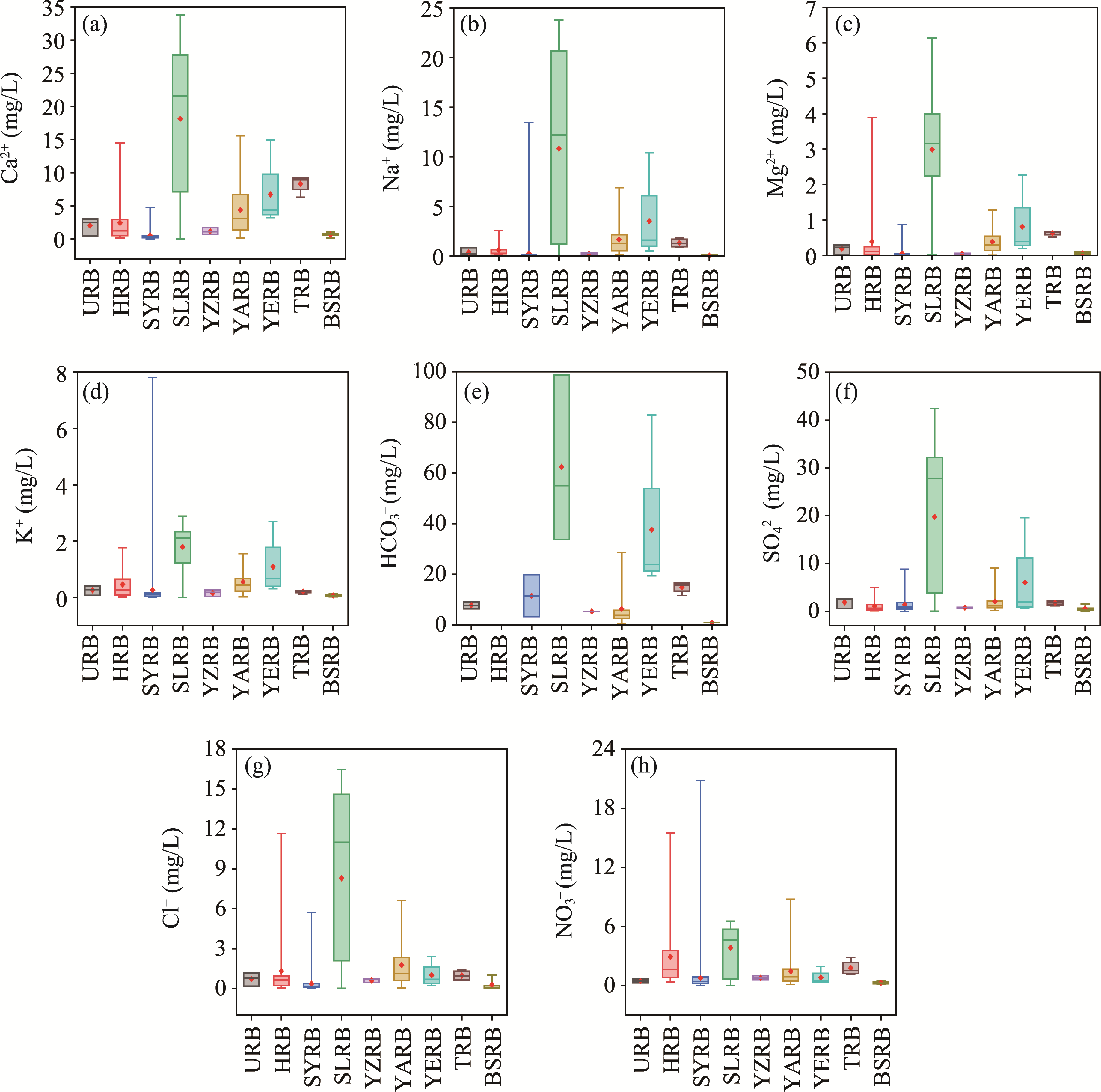
Ion concentrations of different water bodies vary considerably, along with significant spatial differences (Meybeck, 2003). Figure 3 shows the variations in the concentrations of different ions in precipitation in different river basins. The average total ion concentrations of precipitation are lower than 20.00 mg/L in the source area of the Heihe River Basin (9.21 mg/L), source area of the Shiyang River Basin (15.24 mg/L), source area of the Yarlung Zangbo River Basin (9.14 mg/L), source area of the Yangtze River Basin (18.66 mg/L), Baishui River Basin (2.96 mg/L), and source area of the Urumqi River Basin (13.68 mg/L). The total ion concentration in precipitation is the highest in the source area of the Shule River Basin, primarily due to the frequent occurrence of dust weather in the basin, which significantly increases the total ion concentration of precipitation (Yu and Zhao, 2017). Ca2+ concentration accounts for the highest proportion of the total cation concentration of precipitation in the study area, ranging between 47.41% (source area of the Shiyang River Basin) and 79.49% (source area of the Tarim River Basin). HCO3- concentration accounts for the highest proportion of the total anion concentration in the source area of the Urumqi River Basin, source area of the Tarim River Basin, source area of the Shiyang River Basin, source area of the Shule River Basin, source area of the Yarlung Zangbo River Basin, source area of the Yangtze River Basin, source area of the Yellow River Basin, and Baishui River Basin, accounting for 71.64%, 76.69%, 82.01%, 66.20%, 80.68%, 70.68%, 84.90%, and 45.97%, respectively. The higher concentrations of HCO3- and Ca2+ in precipitation indicate the greater influence of crustal dust on the concentrations of chemical ions in precipitation in the river basins. The main anions in the Heihe River Basin are NO3- (ion concentration of 2.93 mg/L), Cl- (2.43 mg/L), and SO42- (1.42 mg/L). The reason for the higher NO3- concentration may be attributed to the influence of human activities and the unestimated HCO3- concentration (Li et al., 2015a).
Fig. 3 Variations in the concentrations of Ca2+ (a), Na+ (b), Mg2+ (c), K+ (d), HCO3- (e), SO42- (f), Cl- (g), and NO3- (h) in precipitation in different river basins. URB, Urumqi River Basin; HRB, Heihe River Basin; SYRB, Shiyang River Basin; SLRB, Shule River Basin; YZRB, Yarlung Zangbo River Basin; YARB, Yangtze River Basin; YERB, Yellow River Basin; TRB, Tarim River Basin; BSRB, Baishui River Basin. Box boundaries indicate the 25th and 75th percentiles, and whiskers below and above the box indicate the minimum and maximum, respectively. The black horizontal line within each box indicates the median. The solid red dot indicates the mean.
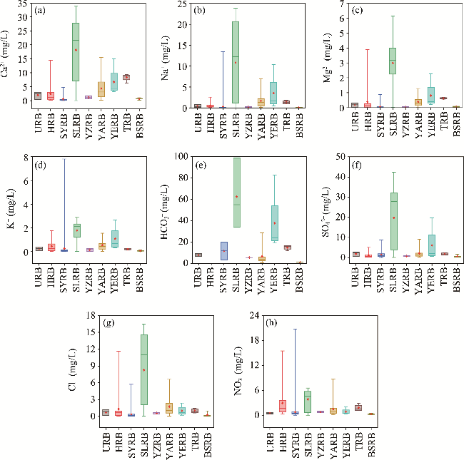
The variations in the concentrations of different ions in meltwater in different river basins are shown in Figure 4, indicating that different ion sources and dissolution processes of glaciers and snow in different regions cause differences in the ion concentrations of meltwater (Li et al., 2015b). Meltwater is another form of precipitation recharge. Similar to precipitation, the ion concentrations of meltwater were generally low. The ion concentrations of meltwater range from 0.86 to 434.42 mg/L in the study area. The average cation and anion concentrations of meltwater in the Shule River Basin are the highest at 110.41 and 324.01 mg/L, respectively. This is primarily due to the significant influence of terrestrial minerals in the dust source region of Asia on the glacial and snow meltwater in this region (Dong et al., 2013). The average cation and anion concentrations of meltwater in the Kuytun River Basin are the lowest at 0.25 and 0.26 mg/L, respectively. This is attributed to the relatively high altitude of the sampling points in this region, where marine water vapor brought by the westerlies is the main source of meltwater, resulting in a lower concentration of chemical ions (Dong et al., 2010). Ca2+ is the major cation in meltwater in the study area, ranging between 42.84% (Shiyang River Basin) and 89.79% (source area of the Yangtze River Basin), which indicates that the dissolution of calcite, dolomite, and other carbonate rocks will release more Ca2+ in the study area (Ma et al., 2023). HCO3- is the major anion in meltwater in the source areas of the Tarim River Basin, Heihe River Basin, Shule River Basin, and Urumqi River Basin, whereas SO42- is the major anion in meltwater in the Shiyang River Basin, Rongbuk River Basin, and Kuytun River Basin, and SO42- is mainly from soil/dust sources, such as sulphate rock (Wang et al., 2016). In general, the concentrations of NH4+ and NO3- in meltwater samples can reflect the impact of human activities on hydrochemistry (Wang et al., 2016; Wei et al., 2016). The average NO3- concentration of meltwater is the highest in the Ertix River Basin, the source area of the Yarlung Zangbo River Basin, source area of the Yangtze River Basin, source area of the Yellow River Basin, and Ili River Basin, indicating anthropogenic interference. In addition, the anion concentrations of meltwater in source area of Urumqi River Basin, the Tarim River Basin, Heihe River Basin, and Shule River Basin show the same characteristics, that is, HCO3->SO42->Cl->NO3-, which indicates similarities in the hydrochemistry of the inland river basins.
Fig. 4 Variations in the concentrations of Ca2+ (a), Na+ (b), Mg2+ (c), K+ (d), HCO3- (e), SO42- (f), Cl- (g), and NO3- (h) in meltwater in different river basins. ERB, Ertix River Basin; IRB, Ili River Basin; KRB, Kuytun River Basin. Box boundaries indicate the 25th and 75th percentiles, and whiskers below and above the box indicate the minimum and maximum, respectively. The black horizontal line within each box indicates the median. The solid red dot indicates the mean.
The variations in the concentration of different ions in river water in different river basins are shown in Figure 5. The average concentrations of Ca2+, Na+, Mg2+, K+, HCO3-, Cl-, SO42-, and NO3- range from 8.01 to 76.63 mg/L, 1.01 to 132.39 mg/L, 0.90 to 36.27 mg/L, 0.72 to 4.83 mg/L, 13.18 to 177.51 mg/L, 0.28 to 176.40 mg/L, 6.08 to 240.10 mg/L, and 0.03 to 7.15 mg/L, respectively. The total concentrations of cations and anions are highest in river water of the Shule River Basin (241.64 and 584.01 mg/L, respectively). The total concentrations of cations and anions of river water in the source area of the Yangtze River Basin (173.85 and 367.65 mg/L, respectively) are lower than those in the Shule River Basin. The total concentrations of cations and anions are the lowest in river water of the source area of Urumqi River Basin (16.85 and 49.43 mg/L, respectively). Ca2+ is the major cation in in river water in the study area (Hu, 2019; Liu et al., 2020a; Wang et al., 2021a; Zhang et al., 2021b; Xie et al., 2024), while Na+ dominates the cations in river water in the Shule River Basin (54.79%), source area of the Yangtze River Basin (58.73%), and Jinsha River Basin (55.17%) (Yang et al., 2021; Yuan et al., 2021; Li et al., 2023). Na+ is mainly derived from rock salt or groundwater mineral recharge (Qu et al., 2015). However, the characteristics of dominant ions may also change with time. For example, the dominant cation in river water samples collected in 2020 is Ca2+ in the source area of the Jinsha River Basin, which is mainly derived from weathering of carbonate rocks (Kang and Li, 2023).
Fig. 5 Variations in the concentrations of Ca2+ (a), Na+ (b), Mg2+ (c), K+ (d), HCO3- (e), SO42- (f), Cl- (g), and NO3- (h) in river water in different river basins. NRB, Nujiang River Basin; JRB, Jinsha River Basin; MRB, Minjiang River Basin; YLRB, Yalong River Basin; LCRB, Lancang River Basin; RBRB, Rongbuk River Basin. Box boundaries indicate the 25th and 75th percentiles, and whiskers below and above the box indicate the minimum and maximum, respectively. The black horizontal line within each box indicates the median. The solid red dot indicates the mean.
The variation characteristics of the chemical ion concentrations of groundwater are primarily influenced by the geological type of the flow-through area and groundwater depth with horizontal zonation, and the concentrations gradually decrease with increasing groundwater depth (Ma et al., 2005; Bai and Yang, 2007; LYU, 2017; Miao et al., 2020). The chemical ion concentrations of groundwater are generally higher than those of other water bodies. Figure 6 shows the variation in the concentrations of different ions in groundwater in different river basins. The highest total ion concentration of groundwater is observed in the Tarim River Basin (1095.80 mg/L), mainly because runoff and groundwater of the Tarim River Basin are replenished by numerous rivers (Wang et al., 2021e). In addition, the vegetation in the Tarim River Basin is sparse, and the overall purification and adsorption effect on groundwater is low (Ma et al., 2021). In contrast, the groundwater in the the Yarlung Zangbo River Basin has the lowest observed total ion concentration (262.68 mg/L). The Yarlung Zangbo River Basin mainly has plateau climate, with runoff predominantly sourced from alpine meltwater and precipitation. Moreover, there are abundant vegetation types in the basin. The order of cation concentrations in the Heihe River Basin and Shiyang River Basin is Ca2+>Na+>Mg2+>K+ (Yang, 2017; Xie et al., 2024). The order of cation concentrations of groundwater in the Tarim River Basin, source area of the Yangtze River Basin, and source area of the Yellow River Basin is Na+>Ca2+>Mg2+>K+ (Li et al., 2018c; Li et al., 2020b; Wang et al., 2021e). The average concentrations of Na+, Mg2+, and Ca2+ in groundwater of the Shule River Basin are close and account for 32.96%, 32.52%, and 32.22%, respectively (Wang et al., 2015). The average anion concentrations of groundwater in the Heihe River Basin, Shule River Basin, Yarlung Zangbo River Basin, and source area of the Yellow River Basin are in the order of HCO3->SO42->Cl->NO3- (Wang et al., 2015; Zhang et al., 2018a; Ma, 2019; Li et al., 2020b; Xie et al., 2024). The anion concentration order of groundwater in the Shiyang River Basin is SO42->Cl->HCO3->NO3- (Ma et al., 2021). The anion concentration order of groundwater in the source area of the Yangtze River Basin is Cl->SO42->HCO3->NO3- (Li et al., 2018c). The NO3- concentration of groundwater in the study area is low with proportion of less than 7.00%, indicating the groundwater has less human influence (Deng et al., 2007).
Fig. 6 Variations in the concentrations of Ca2+ (a), Na+ (b), Mg2+ (c), K+ (d), HCO3- (e), SO42- (f), Cl- (g), and NO3- (h) in groundwater in different river basins. Box boundaries indicate the 25th and 75th percentiles, and whiskers below and above the box indicate the minimum and maximum, respectively. The black horizontal line within each box indicates the median. The solid red dot indicates the mean.

3.3 Hydrochemical type of different water bodies

The hydrochemical types of different water bodies in the study area are shown in Figure 7. Precipitation is an important water source in the study area. Precipitation not only maintains seasonal runoff (Lan et al., 2010), but also has a significant impact on the variations in the ion concentrations of various water bodies. The pH and concentrations of K+, Cl-, Na+, SO42-, and NO3- exhibit complex fluctuations with changes in precipitation (Shi et al., 2015). Figure 7a shows that Ca2+ is the dominant cation in precipitation, and the dominant anion is SO42-, followed by HCO3-. The hydrochemical type of precipitation is HCO3--Ca2+ in the Tarim River Basin and the permafrost area of the Qinghai-Xizang Plateau of China (Sun et al., 2002; Liu et al., 2004; Ma et al., 2012; Li et al., 2020c; Yu and Zhao, 2017).
Fig. 7 Piper diagram showing hydrochemical types of precipitation (a), meltwater (b), river water (c), and groundwater (d) in different river basins
Glacial and snow meltwater is the second-most important water source in the study area. In the context of global warming, glaciers are melting at an accelerated rate and are in a negative equilibrium state, and glacial meltwater runoff becomes the main source of supply for several major rivers (Pu, 2015; Li et al., 2020a). The retreat of glaciers has intensified the water cycle in the study area (Wang et al., 2011). The hydrochemical type of meltwater in the study area is dominated by HCO3-•SO42--Ca2+ (Fig. 7b), and the main hydrochemical type of meltwater is SO42--Ca2+ in the source area of the Urumqi River Basin and Ili River Basin (Li et al., 2011b; Zhao, 2012; Wei et al., 2016; Li, 2018; Ma et al., 2021). The hydrochemical types of meltwater in the study area are basically the same as those in the Qinghai-Xizang Plateau and surrounding areas during 2008-2010 (Zhang et al., 2016).
Rivers are the primary components of the water cycle and are important surface water resources. The river environment is an important part of the ecological environment (Birol et al., 2008), and river hydrochemistry can reflect local water quality (Li et al., 2022). Figure 7c shows that the river water in the study area is characterized by alkaline earth metals and weak acidity. The dominant cation is Ca2+, the dominant anion is HCO3-, and the dominant anion is SO42- in some river basins. HCO3--Ca2+ is the dominant hydrochemical type of river water in the source area of the Ertix River Basin, Tarim River Basin, Yarlung Zangbo River Basin, source area of the Yangtze River Basin, source area of the Yellow River Basin, Nujiang River Basin, Lancang River Basin, Yalong River Basin, and Minjiang River Basin (Huang et al., 2011; Li et al., 2014a; Tao et al., 2015; Wei et al., 2016; Li, 2018; Liu et al., 2019; Liu et al., 2020a; Wang et al., 2021a). Besides, HCO3--Ca2+ is also the dominant hydrochemical type in the alpine regions of the world, such as the upper Indus River Basin in China, and Koshi River Basin in China and Nepal (Bhat et al., 2023; Bishwakarma et al., 2024). The main hydrochemical type of river water is HCO3-•SO42--Ca2+ in the source area of the Urumqi River Basin and Rongbuk River Basin (Liu et al., 2000; Feng et al., 2011). The main hydrochemical type of river water in the Jinsha River Basin is Cl--Na+ (Yuan et al., 2021). HCO3-•SO42--Ca2+•Mg2+ is the main hydrochemical type of river water in the Heihe River Basin (Zhu et al., 2008; Yang et al., 2011; Feng et al., 2017; Li et al., 2017a). The hydrochemical type of river water in the Shiyang River Basin is dominated by strong acid, whereas the upstream hydrochemical type is HCO3-•SO42--Ca2+, and the hydrochemical type changed with the increase of runoff (Yang, 2017). The hydrochemical types of river water are mainly HCO3-•Cl--Ca2+•Mg2+and HCO3-•Cl--Ca2+•Mg2+•Na+ in the Shule River Basin (Zhou et al., 2004).
Groundwater has emerged as a significant source of potable water owing to its widespread distribution and high resistance to contamination (Zhang et al., 2021a). Groundwater security affects the health and stable development of human society (Li, 2021; Li et al., 2021). In the study area, the cations in groundwater are mainly composed of Mg2+ and Ca2+, whereas the anions are mainly composed of HCO3- and SO42- (Fig. 7d), which are consistent with the findings in the high altitude and high mountain areas of Austria (Strauhal et al., 2016). HCO3--Ca2+•Mg2+ and SO42-•Cl--Na+ dominate in the hydrochemical type of groundwater in the upper reaches of the Heihe River Basin (Ma, 2019). HCO3-•SO42--Ca2+•Mg2+ is the main hydrochemical type of groundwater in the recharge area of the Shiyang River Basin, Shule River Basin, and Yarlung Zangbo River Basin (Wang et al., 2014; Liu et al., 2020c; Zhang and Song, 2020). The main hydrochemical type of groundwater is Cl-•SO42--Ca2+•Na+ in the frozen soil layer of the source area of the Yangtze River Basin, and it is affected by altitude (Li et al., 2018c). HCO3--Ca2+ dominates in the hydrochemical type of groundwater in the source area of the Yellow River Basin (Wang et al., 2021f). HCO3--Ca2+•Mg2+ is the main hydrochemical type of groundwater in the northern Nagqu River in the source area of the Nujiang River Basin (Zhao, 2020).

3.4 Ion source analysis of different water bodies

3.4.1 Factors controlling the hydrochemical characteristics of different water bodies

The sources of chemical ions in precipitation typically include terrigenous material supply, sea salt aerosol transfer, anthropogenic influences, and climate change (Sun et al., 2002; Liu et al., 2004; Ma et al., 2012; Li et al., 2017a, 2020c; Yu and Zhao, 2017). Most existing studies have used the Hybrid Single Particle Lagrangian Integrated Trajectory (HYSPLIT) model to determine the sources of water vapor and chemical ions in precipitation (Li et al., 2015a; He et al., 2019). For example, the majority of air masses reaching the Qilian Mountains in China originate from the west and traverse desert areas, whereas some monsoon air masses originate from the Indian Ocean and other sea areas (Wang et al., 2016). Water vapor in the Shiyang River Basin is influenced by monsoon precipitation, westerly precipitation, and local water vapor cycle (He et al., 2019; Zhang et al., 2020). Seasonal variations exist in the sources of ions in the Shule River Basin, with Na+ typically dominated by inputs from marine sources, but originating from land in winter (Zhao, 2017). A study of the source area of the Yangtze River Basin reveals that the water vapor sources exhibit seasonal variations and altitude effects (Li et al., 2020c). In the source area of the Urumqi River Basin, local climatic factors and human activities have a significant influence on the ion concentration of precipitation, followed by the influence of the ocean or surrounding salt lakes (Hou, 2001). In the Tarim River Basin, 85.54% of the precipitation ions are recharged by crustal sources, with only 4.87% being recharged by marine sources, and the chemical composition is significantly influenced by the westerly circulation (Wang et al., 2021a). Consequently, the chemical composition of precipitation is influenced by different atmospheric circulation backgrounds and air mass sources (Wang et al., 2019b).
The ions in river water in the study area are primarily derived from the combined effects of rock weathering and evaporative crystallization (Fig. 8a). Additionally, in the source area of the Ertix River Basin and Shule River Basin, the ions in river water are more susceptible to the combined effects of rock weathering and atmospheric precipitation (Su and Tang, 1987; Deng, 1988; Wang et al., 2010; Li et al., 2014b; Wei et al., 2016; Wang et al., 2019a; Zhao et al., 2020; Wang et al., 2021f). The ion composition and concentration of meltwater in the study area are mainly affected by rock weathering and atmospheric precipitation (Fig. 8b), and the chemical formation process of meltwater has undergone adsorption, dissolution, and precipitation (Li et al., 2015b). Besides, the ion composition and concentration of meltwater are also influenced by evaporative crystallization in some regions, such as the Shule River Basin and the Yuzhu Peak Glacier in Kunlun Mountains (Song et al., 2019; Yang et al., 2021). In addition, the melting speed of glaciers and snow can also influence the ion concentration of meltwater (Li et al., 2019b). In the circulating flow process, groundwater has undergone a series of chemical reactions with chemical substances and mineral components in the aquifer medium that determine the formation and evolution of its chemical components (Yu et al., 2021). The hydrochemical type of groundwater in the study area is mainly affected by the dissolution of salt, weathering, and evaporation (Fig. 8c), and it is affected by the weathering of rock salt in the Yarlung Zangbo River Basin. The determination of groundwater hydrochemistry is complicated under the influence of natural factors such as aquifer lithology, geological formations, and human activities (Liu et al., 2020b). Therefore, chemical weathering of rock salts is an important source of chemical ions in water and is a key link between the lithosphere, hydrosphere, and atmosphere, and between terrestrial and oceanic cycles (Balagizi et al., 2015). This characteristic effect of rock weathering on hydrochemistry could be seen in the Chena River in the United States and the Gangotri Glacier in India (Douglas et al., 2013; Ahmad and Ansari, 2020).
Fig. 8 Gibbs diagrams showing the hydrochemical formation process of river water (a), meltwater (b), and groundwater (c) in different river basins

3.4.2 Influence of rock types on hydrochemistry of different water bodies

The principal rock types of meltwater in the study area are carbonate rock and silicate rock, and evaporite rock (sulfuric acid rock) is present at some sampling sites (Fig. 9a) (He et al., 2019; Song et al., 2019). The principal rock types of river water are mainly carbonate rock and evaporite rock (Fig. 9b), which are mainly composed of chlorinated sedimentary rocks and sulfate minerals. The chemical ion sources in the source area of the Yellow River is also affected by silicate rock, and the contribution of rock weathering to chemical ions is more evident during the wet season (Xia et al., 2000; Zhou et al., 2004; Yang et al., 2011; Zhang et al., 2017; Bao, 2019; Liu et al., 2019; Li et al., 2020b; Ma et al., 2021; Renzeng et al., 2021; Wang et al., 2021c; Wang et al., 2021f). The hydrochemical type of groundwater is affected by the weathering and dissolution of the surrounding salt rocks (dominated by carbonate rocks) (Fig. 9c), such as the dissolution of calcite and dolomite. In the middle and lower reaches of the river basins in the study area, human activities are more intensive under the influence of industry and agriculture (Shi et al., 2001; Zhu et al., 2010; Guo et al., 2015; Liu et al., 2020c; Meng, 2021; Wang et al., 2021f).
Fig. 9 End-member diagrams determining the rock types of river water (a), meltwater (b), and groundwater (c) in different river basins

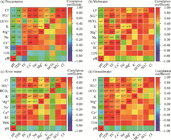
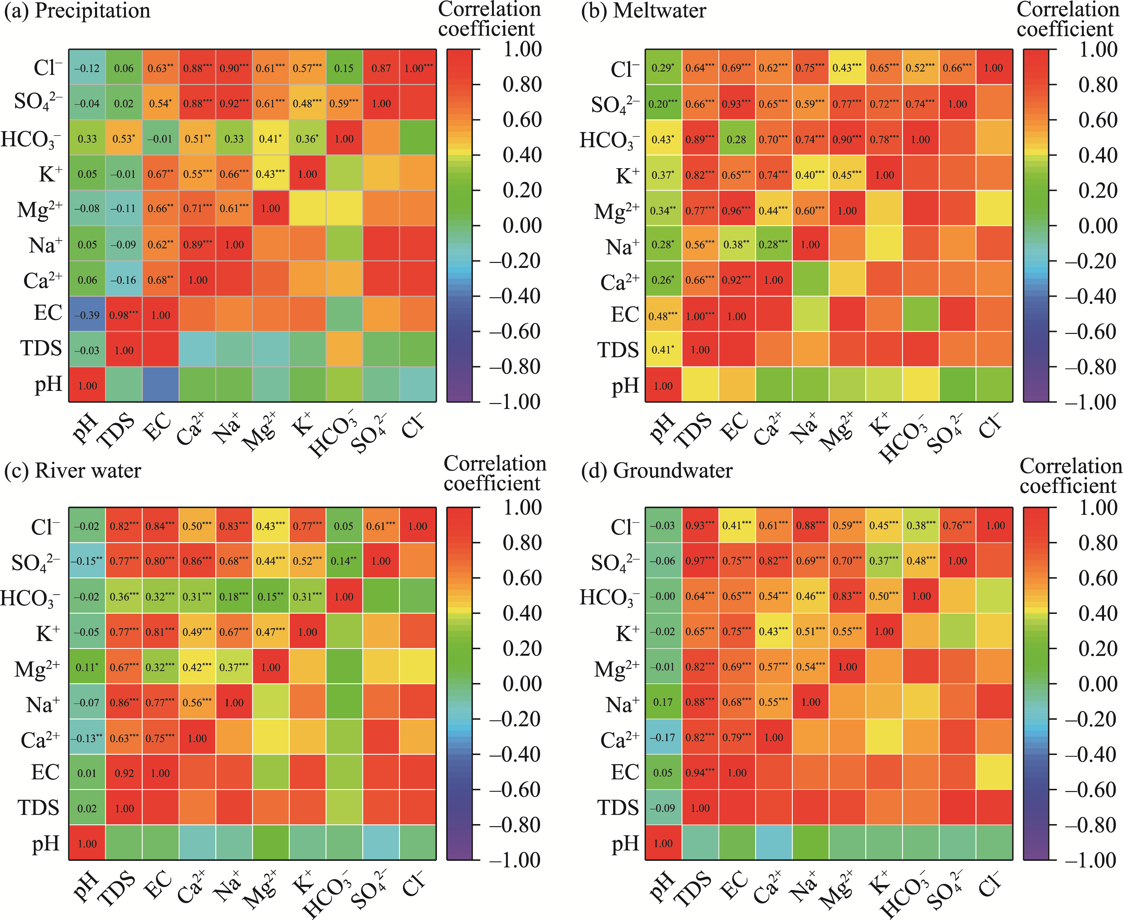
3.4.3 Correlations between chemical ions in different water bodies

The Pearson correlation coefficient between ions reflects the material origin of the ions and the characteristics of their chemical reaction (Başak and Alagha, 2004). As shown in Figure 10, the TDS and EC of precipitation, meltwater, river water, and groundwater exhibit significant positive correlations with ion concentrations (P<0.01) (Zhang et al., 2018b). The high positive correlation between ions indicates that the sources and forms of ions are consistent (Wang et al., 2019b). For precipitation ions, the correlation coefficients between Cl- and Na+, Cl- and Ca2+, and Cl- and SO42- are all above 0.80 (Fig. 10a), which is consistent with the enrichment factor analysis. This correlation analysis between ions in precipitation broadly encapsulates the ion correlation conclusions across various basins in the study area. For example, the correlations of Ca2+ with Na+ and K+ with Mg2+ in precipitation in the Shiyang River Basin are significant, which are mainly attributed to the contribution of crustal sources; meanwhile, Cl- and Na+ might be derived from marine sources, soil dust aerosols, and human activities (Ma et al., 2012). In the source area of the Yangtze River Basin, there is a significant positive correlation among Na+, Ca2+, and Mg2+ in precipitation, and Cl- is significantly positively correlated with Ca2+, Mg2+, and K+, while SO42- is significantly positively correlated with other ions, indicating that Na+, Cl-, and SO42- in precipitation in this region are controlled by multiple sources (Li et al., 2020c).
Fig. 10 Correlation coefficients between ions in precipitation (a), meltwater (b), river water (c), and groundwater (d). *** indicates that the correlation is significant at P<0.001 level; ** indicates that the correlation is significant at P<0.01 level; * indicates that the correlation is significant at P<0.05 level.
The ion correlation of meltwater is shown in Figure 10b. The correlation coefficient between Cl- and Na+ is the highest (0.75); the correlation coefficients of SO42- with Mg2+, K+, and HCO3- are above 0.70; and the correlation coefficients of K+ with Ca2+, HCO3-, and SO42- are 0.74, 0.78, and 0.72, respectively. The sources of these chemical ions include dolomite, silicates, carbonates, and evaporites. Furthermore, Na+ is significantly correlated with HCO3-, with a correlation coefficient of 0.74. This correlation analysis between ions in meltwater can basically reflect the regional characteristics, demonstrating the universal applicability of the research findings. There is a significant correlation between cations in meltwater of Huohugou No.12 Glacier in the Qilian Mountains and Hasilegen No.51 Glacier in the Kuytun River Basin in the Tianshan Mountains of China (Dong et al., 2010, 2013). Additionally, a significant correlation is observed between EC (or TDS) and other ions (Song et al., 2019). In the source area of the Urumqi River Basin, a significant correlation between Ca2+ and SO42- in meltwater is likely influenced by the crustal dust minerals in the dust source area of Central Asia, and there is also a good correlation between EC and pH (Li et al., 2011b). Furthermore, a significant correlation between SO42- and Mg2+ is found in meltwater of the Glacier No.72 of Qingbingtan, Tomur Peak, Tianshan Mountains (Zhao et al., 2012). In the Qilian Mountains, Cl- is mainly derived from sea salt, soil dust, and saline lake materials, while Na+ is mostly from marine sources (Dong et al., 2013; Wang et al., 2016).
The ion correlation of river water is shown in Figure 10c. Cl- is significantly positively correlated with Na+ and K+, with correlation coefficients of 0.83 and 0.77, respectively. A significant positive correlation is observed between SO42- and Ca2+, with a correlation coefficient of 0.86. HCO3- is positively correlated with Ca2+, Na+, and K+ (P<0.001), indicating the weathering of carbonate rocks. The correlation coefficient between K+ and Na+ is 0.67. Mg2+ is positively correlated with K+, SO42-, Cl-, Na+, and Ca2+ (P<0.001). This correlation analysis between ions in river water of the study area is consistent with the research conclusion for each river basin. In the Yarlung Zangbo River, TDS is positively correlated with Ca2+, Mg2+, K+, Na+, HCO3-, Cl-, and SO42-, indicating that these constituents are the sources of TDS. Due to the weathering dissolution of carbonates and sulfate minerals, SO42- is also significantly correlated with Ca2+ and Mg2+, while Na+, K+, and Cl- might be derived from the dissolution of evaporite rocks (Liu et al., 2018). Na+, K+, and Cl- in river water of the Ertix River Basin are generally derived from atmospheric precipitation, weathering dissolution of evaporite, and anthropogenic input (Liu et al., 2020a). There is a significant correlation between Ca2+ and HCO3-, and a significant correlation among Mg2+, Na+, and K+ in river water of the source area of the Nujiang River Basin (Zhao et al., 2020). Furthermore, a significant positive correlation exists between ions in river water of the Yellow River Basin (He et al., 2017).
There is a significant positive correlation between ions in groundwater (P<0.001), and the correlation coefficients between Cl- and Na+, Ca2+ and SO42-, and Mg2+ and HCO3- are all above 0.80 (Fig. 10d). The changes of TDS in groundwater in the Shule River Basin are mainly related to Na+ and SO42-, reflecting a correlation between ions (Guo et al., 2015). HCO3-, Ca2+, SO42-, and Mg2+ contribute significantly to the TDS in groundwater in the Lhasa River Basin of the Yarlung Zangbo River Basin, indicating that rock weathering plays a dominant role in hydrochemical evolution (Zhang et al., 2018a). Ca2+ in the suprapermafrost water of the source area of the Yangtze River Basin is significantly positively correlated with Mg2+, K+, Na+, SO42-, Cl-, and F-, indicating that they may have a common source, and SO42- and Cl- are mainly derived from evaporite dissolution (Li et al., 2018c). The TDS in groundwater of the source area of the Yellow River Basin is positively correlated with HCO3-, Ca2+, and Mg2+, indicating that carbonate karst hydrolysis is the main source of the chemical components of groundwater (Wang et al., 2021f). In the Heihe River Basin, HCO3- and Mg2+ in groundwater might be derived from dolomite weathering, while Ca2+ and SO42- are derived from gypsum, dolomite, and surface water leaching (Zhu et al., 2010).

3.4.4 Quantification of hydrochemical ion sources

As shown in Table 2, Ca2+, Mg2+, K+, and HCO3- in precipitation, meltwater, river water, and groundwater are typical crustal source ions, respectively. Notably, for Ca2+ and HCO3-, the contributions of non-marine sources exceed 99.00%, while the contribution rates of non-marine sources are 96.75%-98.65% for K+. For Mg2+ in meltwater, river water, and groundwater, the anthropogenic contribution could be clearly quantified, but crustal sources are still the main sources. The contribution of crustal sources for Mg2+ in meltwater is 78.98% and the anthropogenic contribution is 17.96%. The crustal contribution for Mg2+ in river water is 76.31% and the anthropogenic contribution is 23.14%. In groundwater, the crustal and anthropogenic contributions for Mg2+ are 48.56% and 50.15%, respectively. The sources and their contributions for Ca2+, Mg2+, K+, and HCO3- are basically consistent with the conclusions in terrestrial ecosystem areas and typical karst valley areas in China (Huang et al., 2019). As an ocean indicator, the sources of Cl- is mainly sea salt and water vapor under the action of atmospheric circulation, and the contribution of crustal sources is less. There is a significant correlation between Na+ and Cl- (Fig. 10), but the ratio of Na+ to Cl- is high, and the ratios for precipitation, meltwater, river water, and groundwater are 1.97, 2.12, 12.48, and 4.45, respectively, indicating that there are other sources of Na+ besides marine sources, such as rock weathering and other crustal sources (Li et al., 2024). The EFsea and EFsoil of SO42- and NO3- are greater than 1.00, indicating that SO42- and NO3- are enriched compared to the ocean and soil. The anthropogenic contributions for SO42- and NO3- can reach more than 88.05%, but the remote and local contributions to SO42- and NO3- through atmospheric circulation trapping and crustal dust cannot be ignored. For example, increased NO3- concentration in the Chena River in the United States is also associated with precipitation events (Douglas et al., 2013).
Table 2 Analysis of enrichment factors and contribution rate of ion sources
Precipitation EFsea EFsoil SSF (%) NSSF (%)
CF (%) AF (%)
Ca2+ 167.26 - 0.60 99.40
Na+ 2.29 0.75 43.73 56.27
Mg2+ 6.33 0.57 15.79 84.21
K+ 74.19 0.46 1.35 98.65
Cl- - 176.56 - 0.57 -
SO42- 44.88 100.49 2.23 1.00 96.77
HCO3- 471.60 - 0.21 99.79
NO3- 126,773.29 533.15 0.00 0.19 99.81
Meltwater EFsea EFsoil SSF (%) NSSF (%)
CF (%) AF (%)
Ca2+ 855.90 - 0.12 99.88
Na+ 2.46 0.44 40.57 59.43
Mg2+ 32.68 1.27 3.06 78.98 17.96
K+ 30.75 0.22 3.25 96.75
Cl- - 132.13 - 0.76 -
SO42- 68.59 85.12 1.46 1.17 97.37
HCO3- 6966.36 - 0.01 99.99
NO3- 41,611.80 44.27 0.00 2.26 97.74
River water EFsea EFsoil SSF (%) NSSF (%)
CF (%) AF (%)
Ca2+ 942.58 - 0.11 99.89
Na+ 14.51 1.37 6.89 73.22 19.89
Mg2+ 180.67 1.31 0.55 76.31 23.14
K+ 52.28 0.08 1.91 98.09
Cl- - 246.26 - 0.41 -
SO42- 546.29 47.18 0.18 2.12 97.70
HCO3- 4779.42 - 0.02 99.98
NO3- 18,533.28 8.38 0.01 11.94 88.05
Groundwater EFsea EFsoil SSF (%) NSSF (%)
CF (%) AF (%)
Ca2+ 694.87 - 0.14 99.86
Na+ 4.45 0.97 22.45 77.55
Mg2+ 77.32 2.06 1.29 48.56 50.15
K+ 31.58 0.04 3.17 96.83
Cl- - 193.86 - 0.52 -
SO42- 179.43 50.60 0.56 1.98 97.46
HCO3- 5760.10 - 0.02 99.98
NO3- 23,998.65 13.28 0.00 7.53 92.47

Note: "-" indicates that the corresponding contribution of ion sources cannot be determined by the formulas of enrichment factor (EF). EFsea and EFsoil are relative enrichment degree of an element in each kind of water body relative to the ocean and soil, respectively; SSF is the sea salt fraction; NSSF is the non-sea salt fraction, when the source of chemical ions is more complex, it is impossible to better distinguish the crustal and anthropogenic contributions; CF is the soil/rock weathering fraction; AF is the anthropogenic fraction.

3.5 Hydrological processes indicated by hydrochemistry

The study area is dominated by the Qinghai-Xizang Plateau, where frequent precipitation events occur and glaciers and frozen soils are widely distributed, forming a diversified form of runoff recharge in this region (Yao and Yao, 2010). Consequently, the ion concentrations in river runoff are subject to changes. Precipitation in the glacier area plays a role in recharging the glacial and snow meltwater (Wu et al., 2008), which is consistent with the results indicated by the source of Cl- in precipitation (Table 2) (Dong et al., 2013). Isotope analysis is typically used to demonstrate the hydrological transformation process (Liu et al., 2019; Shi et al., 2021). The mutual recharge between surface water and groundwater can also be observed through ion concentration changes and TDS differences (Wu et al., 2008; Ma, 2019; Yang et al., 2021). Furthermore, the acid ion concentration can indicate the recharge effect of precipitation and meltwater on groundwater (Zhu et al., 2018). Li et al. (2022) also confirms the hydrological recharge process by combining the hydrochemical evolution and the characteristics of the hydrochemical types. The hydrological recharge processes in the study area are shown in Figure 11. Precipitation hydrochemistry is typically affected by meteorological factors, atmospheric circulation, human influences, and aerosols. However, the formation and occurrence of precipitation hydrochemistry involve only scouring and wrapping of aerosolic, rather than direct interactions with the surface. Therefore, the ion concentration of precipitation is the lowest in the study area, followed by that of meltwater. Meltwater comes from the melting of glaciers and snow in the alpine region, and the environment is pure during its formation. Moreover, the weathering of rocks around the alpine region is weak and the ambient low temperature would also weaken the weathering intensity, leading to relatively low chemical ion concentrations of meltwater (Li et al., 2020a). The water-rock interaction of groundwater and river water is the most intense, with significant weathering of silicates and carbonates, infiltration of groundwater by surface water, and mutual conversion between surface water and groundwater, resulting in the highest chemical ion concentrations in river water and groundwater. The difference in the mean ion concentrations between groundwater and river water in the study area is relatively small, and the proportions of ion concentration are similar (Fig. 11a and b). However, owing to bias in the data collection process, an ionization imbalance between anions and cations in each water bodies can be observed. In summary, hydrological processes in the western alpine region of China are influenced by several factors, including temperature, precipitation, water-rock interactions, rock weathering (mainly silicates and carbonates), atmospheric circulation, and human activities. The main forms of water input in the western alpine region of China are precipitation and meltwater, and groundwater and river water recharge each other.
Fig. 11 Hydrological processes indicated by hydrochemistry in the western alpine region. (a), variations in ion concentrations of different water bodies; (b), hydrological processes and ionic composition of cations and anions in different water bodies. Arrows in Figure 11b represent the direction of hydrological recharge.

4 Conclusions

This study summarized the findings of hydrochemical research in the western alpine region of China at the regional and basin scales. Water resources in this region are generally weakly alkaline, and the TDS of different water bodies is low. The hydrochemical characteristics of water resources in the region exhibit significant seasonal fluctuations, and the ion concentrations in the inland river basins (e.g., Shule River Basin and Tarim River Basin) are relatively high. In the western alpine region of China, the hydrochemistry type of river water and meltwater is dominated by HCO3-•SO42--Ca2+. The cations in groundwater are dominated by Mg2+ and Ca2+, and the anions are dominated by HCO3- and SO42-. The dominant cation in precipitation is Ca2+, followed by Mg2+. The dominant anion in precipitation is SO42-, followed by HCO3-. The chemical ion concentration of river water in the western alpine region of China is primarily influenced by the combined effects of rock weathering and evaporation crystallization. The ion composition and concentration of meltwater are mainly affected by rock weathering and atmospheric precipitation. The hydrochemical type of groundwater is affected by the weathering, dissolution of the surrounding salt rock, and evaporation crystallization. The precipitation ion input is mainly from sea salt sources, crustal sources, and anthropogenic sources. The contribution of non-marine sources exceeds 96.00% for Ca2+, K+, and HCO3-, and the anthropogenic contribution exceeds 88.00% for SO42- and NO3-. In addition, the contributions of marine sources for Na+ in precipitation and meltwater are higher, accounting for 43.73% and 40.57%, respectively. The main forms of water input in the region are precipitation and meltwater, and mutual recharge between river water and groundwater is present. Building upon previous research findings, this study systematically reviewed and analyzed the hydrochemical characteristics of the western alpine regions of China, resulting in a thorough understanding of the spatiotemporal patterns and influencing factors of hydrochemistry in this region. The findings will lay a strong foundation for setting up long-term monitoring networks and enhance our understanding of hydrochemical changes in cold regions. In future, we plan to integrate remote sensing technology for a more comprehensive analysis of hydrochemical dynamics and combine this with meteorological data to delve into the underlying mechanisms of hydrochemical changes.

Conflict of interest

The authors declare that they have no known competing financial interests or personal relationships that could have appeared to influence the work reported in this paper.

Acknowledgements

This study was supported by the National Science Foundation for Distinguished Young Scholars (42425107), the Top Talent Project of Gansu province, Chinese Academy of Sciences Young Crossover Team Project (JCTD-2022-18), the "Western Light"-Key Laboratory Cooperative Research Cross-Team Project of Chinese Academy of Sciences, the Ecological Civilization Special Project of Key Research and Development Program in Gansu Province (24YFFA009), the Gansu Science and Technology Program (25RCKA026), the Science and Technology Project of Lanzhou (2022-2-43), the Excellent Doctoral Program in Gansu Province (23JRRA573), and the Lanzhou Talent-Driven City Development Initiative. We greatly appreciate suggestions from anonymous reviewers for the improvement of our paper. Thanks also to the editorial staff.

Author contributions

Conceptualization: LI Zongxing, ZHAO Yue; Formal analysis: ZHAO Yue; Writing - original draft preparation: ZHAO Yue; Writing - review and editing: LI Zongxing, LI Zhongping; Funding acquisition: LI Zongxing; Supervision: LI Zongxing, LI Zhongping; Investigation: AOBULI Gulihumaer, NIMA Zhaxi, WANG Dong. All authors approved the manuscript.
[1]
Ahmad S, Ansari Z. 2020. Characteristics of rock-water interaction in Gangotri proglacier meltwater streams at higher altitude catchment Garhwal Himalaya, Uttarakhand, India. Journal of Earth System Science, 129: 173, doi: 10.1007/s12040-020-01426-9.

[2]
Anatolaki C, Roxani T. 2009. Relationship between acidity and ionic composition of wet precipitation: A two years study at an urban site, Thessaloniki, Greece. Atmospheric Research, 92(1): 100-113.

[3]
Bai F, Yang X H. 2007. Hydrochemical characteristics of groundwater of the Heihe Basin in the Hexi Corridor, Gansu Province. Northwestern Geology, 40(3): 105-110. (in Chinese)

[4]
Balagizi C M, Darchambeau F, Bouillon S, et al. 2015. River geochemistry, chemical weathering, and atmospheric CO2, consumption rates in the Virunga Volcanic Province (East Africa). Geochemistry, Geophysics, Geosystems, 16(8): 2637-2660.

[5]
Bao Y F. 2019. The study of hydrochemical characteristics and carbon cycles in the Yarlung Zangbo River Basin. PhD Dissertation. Beijing: China Research Institute of Water Resources and Hydropower. (in Chinese)

[6]
Başak B, Alagha O. 2004. The chemical composition of rainwater over Büyükçekmece Lake, Istanbul. Atmospheric Research, 71(4): 275-288.

[7]
Bhat M A, Xu S, Fan D D, et al. 2023. Chemical weathering processes impacted by pyrite oxidation in the upper Indus River basin, Western Himalaya. Journal of Asian Earth Sciences, 245: 105573, doi: 10.1016/j.jseaes.2023.105573.

[8]
Birol E, Koundouri P, Kountouris Y. 2008. Using economic valuation techniques to inform water resources management in the southern European, Mediterranean and developing countries: A survey and critical appraisal of available techniques. Environment & Policy, 48: 135-155.

[9]
Bishwakarma K, Wang G X, Zhang F, et al. 2024. Chemical weathering and CO2 consumption rates of the Koshi River Basin: modelling and quantifying. Journal of Hydrology, 641: 131760, doi: 10.1016/j.jhydrol.2024.131760.

[10]
Bu J W. 2017. The Hydrochemical characteristics, surface soil heavy metals' spatial structures and the environmental carrying capacity evaluation of the western catchment at the upper reaches of Heihe River. PhD Dissertation. Wuhan: China University of Geosciences. (in Chinese)

[11]
Chang Q X. 2019. Water sources of stream runoff in alpine region and their seasonal variations: A case study of Hulugou catchment in the headwaters of the Heihe River. PhD Dissertation. Wuhan: China University of Geosciences, doi: 10.27492/d.cnki.gzdzu.2019.000112. (in Chinese)

[12]
Chen F H, Wang Y F, Zhen X L, et al. 2021. Study on the environmental impact and countermeasures of Qinghai-Tibet Plateau under global change. China Tibetology, (4): 21-28. (in Chinese)

[13]
Deng L, Cao Y Q, Wang W K. 2007. An overview of the study on nitrogen and oxygen isotopes of nitrate in groundwater. Advances in Earth Science, 22(7): 716-724. (in Chinese)

[14]
Deng W. 1988. Research on fundamental characteristics of hydrochemistry in the region of the Changjiang River Headwater. Scientia Geographica Sinica, 8(4): 363-370, 396. (in Chinese)

[15]
Ding Y J, Zhang S Q, Chen R S. 2017. Introduction to Cold Region Hydrology. Beijing: Science Press. (in Chinese)

[16]
Dong X H, Yao Z J, Chen C Y. 2007. Runoff variation and responses to precipitation in the source regions of the Yellow River. Resources Science, 29(3): 67-73. (in Chinese)

[17]
Dong Z W, Li Z Q, Zhang M J, et al. 2010. Chemistry and environmental significance of snow on Haxilegen Glacier No.51 in Kuytun of Eastern Tianshan Mountains. Scientia Geographica Sinica, 30(1): 149-156. (in Chinese)

[18]
Dong Z W, Ren J W, Qin D H, et al. 2013. Chemistry characteristics and environmental significance of snow deposited on the Laohugou Glacier No.12, Qilian Mountains. Journal of Glaciology and Geocryology, 35(2): 327-335. (in Chinese)

[19]
Dong Z W, Qin D H, Chen J Z, et al. 2014. Physicochemical impacts of dust particles on alpine glacier meltwater at the Laohugou Glacier basin in western Qilian Mountains, China. Science of the Total Environment, 493: 930-942.

[20]
Douglas T A, Blum J D, Guo L D, et al. 2013. Hydrogeochemistry of seasonal flow regimes in the Chena River, a subarctic watershed draining discontinuous permafrost in interior Alaska (USA). Chemical Geology, 335: 48-62.

[21]
Fan B L, Zhao Z Q, Tao F X, et al. 2014. Characteristics of carbonate, evaporite and silicate weathering in Huanghe River basin: A comparison among the upstream, midstream and downstream. Journal of Asian Earth Sciences, 96: 17-26.

[22]
Feng F, Li Z Q, Zhang M J, et al. 2011. Hydrochemical characteristics and controls and runoff at the headwaters of the Urumqi River, eastern Tianshan Mountain. Resources Science, 33(12): 2238-2247. (in Chinese)

[23]
Feng F, Li Z Q, Jin S, et al. 2012. Hydrochemical characteristics and solute dynamics of meltwater runoff of Urumqi Glacier No.1, eastern Tianshan, northwest China. Journal of Mountain Science, 9: 472-482.

[24]
Feng Y W, Sun Z Y, Bu J W, et al. 2017. The hydrogeochemical characteristics of the river water in the section from Bayi Glacier to Huargzangsi of the Heihe River, Qilian Mountains. Journal of Glaciology and Geocryology, 39(3): 680-687. (in Chinese)

[25]
Gaillardet J, Dupré B, Louvat P, et al. 1999. Global silicate weathering and CO2 consumption rates deduced from the chemistry of large rivers. Chemical Geology, 159(1-4): 3-30.

[26]
Gao Z J, Wang Z Y, Wang S, et al. 2019. Factors that influence the chemical composition and evolution of shallow groundwater in an arid region: A case study from the middle reaches of the Heihe River, China. Environmental Earth Sciences, 78: 390, doi: 10.1007/s12665-019-8391-0.

[27]
Gibbs R J. 1970. Mechanisms controlling world water chemistry. Science, 170(3962): 1088-1090.

[28]
Gu H B, Chi B M, Wang H, et al. 2017. Relationship between surface water and groundwater in the Liujiang Basin-hydrochemical constrains. Advances in Earth Science, 32(8): 789-799. (in Chinese)

[29]
Guo C L. 1987. A primary analysis of hydrochemistry for the Huanghe basin. Geographical Research, 6(3): 65-73. (in Chinese)

[30]
Guo X Y, Fen Q, Liu W, et al. 2015. Stable isotopic and geochemical identification of groundwater evolution and recharge sources in the arid Shule River Basin of Northwestern China. Hydrological Processes, 29(22): 4703-4718.

[31]
Han Y P, Wang Z H, Wang L, et al. 2021. Analysis on hydrochemical characteristics and chemical weathering of Doxung Tsangpo Basin. Journal of North China University of Water Resources and Electric Power (Natural Science Edition), 42(2): 1-9. (in Chinese)

[32]
He H Z, Liu X L, Zhu G F. 2019. Chemical characteristics and influencing factors of snow in eastern Qilian Mountains, China. Journal of Mountain Science, 16: 2015-2027.

[33]
He J Y, Zhang D, Zhao Z Q. 2017. Spatial and temporal variations in hydrochemical composition of river water in Yellow River Basin, China. Chinese Journal of Ecology, 36(5): 1390-1401. (in Chinese)

[34]
Hindshaw R S, Tipper E T, Reynolds B C, et al. 2011. Hydrological control of stream water chemistry in a glacial catchment (Damma Glacier, Switzerland). Chemical Geology, 285(1-4): 215-230.

[35]
Hou S G. 2001. Chemical characteristics of precipitation at the headwaters of the Urumuqi River in the Tianshan Mountains. Journal of Glaciology and Geocryology, 23(1): 80-84. (in Chinese)

[36]
Hu Y L. 2019. Impacts of the groundwater flow path on the patterns of dissolved organic carbon export in the cold alpine area. PhD Dissertation. Wuhan: China University of Geosciences. (in Chinese)

[37]
Huang L, Zhang X Y, Yuan G F, et al. 2019. Ion concentrations and their spatial variability in underground water and surface water in typical terrestrial ecosystems in China. Environmental Science, 40(5): 2086-2093. (in Chinese)

[38]
Huang X, Sillanpää M, Gjessing E T, et al. 2009. Water quality in the Tibetan Plateau: Major ions and trace elements in the headwaters of four major Asian rivers. Science of the Total Environment, 407(24): 6242-6254.

[39]
Huang X, Sillanpää M, Gjessing E T, et al. 2011. Water quality in the southern Tibetan Plateau: Chemical evaluation of the Yarlung Tsangpo (Brahmaputra). River Research and Applications, 27(1): 113-121.

[40]
Jiang L G, Yao Z J, Liu Z F, et al. 2015. Hydrochemistry and its controlling factors of rivers in the source region of the Yangtze River on the Tibetan Plateau. Journal of Geochemical Exploration, 155: 76-83.

[41]
Kang S, Mayewski P A, Qin D, et al. 2002. Glaciochemical records from a Mt. Everest ice core: relationship to atmospheric circulation over Asia. Atmospheric Environment, 36(21): 3351-3361.

[42]
Kang X B, Li Y J. 2023. Chemical weathering of small watersheds in the upper reaches of Jinsha river on the eastern edge of the Qinghai-Tibet Plateau. Journal of Hydrology, 623: 129844, doi: 10.1016/j.jhydrol.2023.129844.

[43]
Labaciren. 2017. Analysis of water chemistry characteristics and source of pollutants in the Yarlung Zangbo River basin in Qinghai-Tibet Plateau. MSc Thesis. Tianjin: Tianjin University. (in Chinese)

[44]
Lan Y C, Zhao G H, Zhang Y N, et al. 2010. Response of runoff in the source region of the Yellow River to climate warming. Quaternary International, 226(1-2): 60-65.

[45]
Li C L, Kang S C, Zhang Q G, et al. 2007a. Major ionic composition of precipitation in the Nam Co region, Central Tibetan Plateau. Atmospheric Research, 85(3-4): 351-360.

[46]
Li L, Zhou J L, Qi W Q, et al. 2018a. Hydrochemical characteristics and formation reasons of shallow groundwater in oasis area of Hotan River Basin, Xinjiang. Journal of Water Resources and Water Engineering, 29(3): 14-20. (in Chinese)

[47]
Li M Y, Sun X J, Li S N, et al. 2020a. Advance on inorganic hydrochemistry of glacial meltwater runoff in the Qinghai-Tibet Plateau and its surrounding areas. Journal of Glaciology and Geocryology, 42(2): 562-574. (in Chinese)

[48]
Li M Y, Sun X J, Li S N, et al. 2024. Hydrochemistry dynamics in a glacierized headwater catchment of Lhasa River, Tibetan Plateau. Science of the Total Environment, 919: 170810, doi: 10.1016/j.scitotenv.2024.170810.

[49]
Li P Y, Karunanidhi D, Subramani T, et al. 2021. Sources and consequences of groundwater contamination. Archives of Environmental Contamination and Toxicology, 80: 1-10.

[50]
Li Q, Jia R L, Zhou J L, et al. 2013. Analysis of chemical characteristics of high-fluoride groundwater in Aksu Prefecture, Xinjiang. Journal of Arid Land Resources and Environment, 27(12): 87-92. (in Chinese)

[51]
Li Q L, Wang N L, Wu X B, et al. 2011a. Environmental records within the snowpits in the Yuzhufeng Glacier and Xiao Dongkemadi Glacier on the Tibetan Plateau. Journal of Glaciology and Geocryology, 33(1): 47-54. (in Chinese)

[52]
Li S J. 2021. Hydrochemical characteristics and pollution evaluation of groundwater in the Loess Plateau. MSc Thesis. Yangling: Northwest Agriculture & Forestry University. (in Chinese)

[53]
Li S J, Han X, Wang W H, et al. 2022. Hydrochemical characteristics and controlling factors of surface water and groundwater in Wuding River Basin. Environmental Science, 43(1): 220-229. (in Chinese)

[54]
Li S L, Chetelat B, Yue F J, et al. 2014a. Chemical weathering processes in the Yalong River draining the eastern Tibetan Plateau, China. Journal of Asian Earth Sciences, 88: 74-84.

[55]
Li S L, Xia X H, Zhou B, et al. 2018b. Chemical balance of the Yellow River source region, the northeastern Qinghai-Tibetan Plateau: Insights about critical zone reactivity. Applied Geochemistry, 90: 1-12.

[56]
Li X Y, Liu S Y, Han T D, et al. 2008. Ion concentration in snow pits on glaciers in eastern Tianshan Mountain—Take Haxilegen Glacier No.51 of Kuitun River and Hami Miaoergou Flat-Topped Glacier as an example. Advances in Earth Science, 23(12): 1268-1276. (in Chinese)

[57]
Li X Y, He X B, Kang S C, et al. 2016a. Diurnal dynamics of minor and trace elements in stream water draining Dongkemadi Glacier on the Tibetan Plateau and its environmental implications. Journal of Hydrology, 541(Part B): 1104-1118.

[58]
Li X Y, Ding Y J, Liu Q, et al. 2019a. Intense chemical weathering at glacial meltwater-dominated Hailuogou Basin in the southeastern Tibetan Plateau. Water, 11(6): 1209, doi: 10.3390/w11061209.

[59]
Li X Y, Ding Y J, Han T D, et al. 2020b. Seasonal and interannual changes of river chemistry in the source region of Yellow River, Tibetan Plateau. Applied Geochemistry, 119: 104638, doi: 10.1016/j.apgeochem.2020.104638.

[60]
Li Y P. 2018. Characteristics and influence factors of runoff and hydorchemical in source region of the Yangtze River. MSc Thesis. Lanzhou: Northwest Institute of Eco-Environment and Resources, Chinese Academy of Sciences. (in Chinese)

[61]
Li Z J, Li Z X, Wang T T, et al. 2015a. Composition of wet deposition in the central Qilian Mountains, China. Environmental Earth Sciences, 73: 7315-7328.

[62]
Li Z J, Song L L, Tian Q, et al. 2016b. Spatial and temporal variation of chemical characteristics and source analysis of precipitation of Shiyang River Basin. Earth and Environment, 44(6): 637-646. (in Chinese)

[63]
Li Z J, Song L L, Ma J Z. 2017a. Hydrochemical characteristics and environmental significance in different ablation period in Hulugou River Basin in Qilian Mountain. Environmental Earth Sciences, 76(17): 606, doi: 10.1007/s12665-017-6911-3.

[64]
Li Z J, Song L L, Tian Q. 2017b. Water chemical characteristics in the wet season in Buha River Basin in Qinghai. Chinese Journal of Ecology, 36(3): 766-773. (in Chinese)

[65]
Li Z J, Li Z X, Song L L, et al. 2018c. Environment significance and hydrochemical characteristics of supra-permafrost water in the source region of the Yangtze River. Science of the Total Environment, 644: 1141-1151.

[66]
Li Z J, Li Z X, Song L L, et al. 2019b. Response mode of hydrochemical types of river water to altitude gradient in alpine regions. Environmental Science and Pollution Research, 26: 35767-35778.

[67]
Li Z J, Li Z X, Song L L, et al. 2020c. Precipitation chemistry in the source region of the Yangtze River. Atmospheric Research, 245: 105073, doi: 10.1016/j.atmosres.2020.105073.

[68]
Li Z J, Liu M Q, Li Z X, et al. 2023. Where does the runoff come from in dry season in the source region of the Yangtze River? Agricultural and Forest Meteorology, 330: 109314, doi: 10.1016/j.agrformet.2023.109314.

[69]
Li Z Q, Dong Z W, Zhang M J, et al. 2011b. Chemical characteristics and seasonal variation of snow on Urumqi Glacier No.1 of the Eastern Tianshan, China. Earth Science, 36(4): 670-678. (in Chinese)

[70]
Li Z X, He Y Q, Pang H X, et al. 2007b. Source of major anions and cations of snowpacks in the typical monsoonal temperate glacial region of China. Acta Geographica Sinica, 62(9): 992-1001.

[71]
Li Z X, He Y Q, Pang H X, et al. 2009. Environmental significance of snowpit chemistry in the typical monsoonal temperate glacier region, Baishui glacier no. 1, Mt Yulong, China. Environmental Geology, 58: 1319-1328.

[72]
Li Z X, Feng Q, Liu W, et al. 2014b. Study on the contribution of cryosphere to runoff in the cold alpine basin: A case study of Hulugou River Basin in the Qilian Mountains. Global and Planetary Change, 122: 345-361.

[73]
Li Z X, Feng Q, Guo X Y, et al. 2015b. The evolution and environmental significance of glaciochemistry during the ablation period in the north of Tibetan Plateau, China. Quaternary International, 374: 93-109.

[74]
Liang P F, Li Z J, Xin H J, et al. 2022. Characteristics of runoff changes and influencing factors in the source region of the Yellow River. Journal of Water Resources and Water Engineering, 33(4): 64-71. (in Chinese)

[75]
Liu F, Li Z Q, Hao J N, et al. 2020a. Study on the hydrochemical and stable isotope characteristics at the headwaters of the Irtysh River in spring. Journal of Glaciology and Geocryology, 42(1): 234-242. (in Chinese)

[76]
Liu F, Zhao Z P, Yang L H, et al. 2020b. Geochemical characterization of shallow groundwater using multivariate statistical analysis and geochemical modeling in an irrigated region along the upper Yellow River, Northwestern China. Journal of Geochemical Exploration, 215: 106565, doi: 10.1016/j.gexplo.2020.106565.

[77]
Liu J J, Zhao Y S, Huang X, et al. 2018. Spatiotemporal variations of hydrochemistry and its controlling factors in the Yarlung Tsangpo River. China Environmental Science, 38(11): 4289-4297. (in Chinese)

[78]
Liu J T, Gao Z J, Wang M, et al. 2019. Hydrochemical and isotopic characteristics of surface water in the Lhasa River basin. Arabian Journal of Geosciences, 12(16): 520, doi: 10.1007/s12517-019-4690-8.

[79]
Liu J T, Li Y Z, Gao Z J, et al. 2020c. Hydrochemistry and relationship between groundwater and surface water in the middle and lower reaches of Lhasa River basin. Journal of Shandong University of Science and Technology (Natural Science), 39(5): 10-20. (in Chinese)

[80]
Liu L S, Ren J W, Qin D H. 2000. Chemical characteristics at the head of Rongbuk River on Mt. Everest. Environmental Science, 21(5): 59-63. (in Chinese)

[81]
Liu S Y, Yao X J, Guo W Q, et al. 2015a. The contemporary glaciers in China based on the Second Chinese Glacier Inventory. Acta Geographica Sinica, 70(1): 3-16. (in Chinese)

[82]
Liu W, Wang T, Gao X Q, et al. 2004. Distribution and evolution of water chemical characteristics in Heihe River Basin. Journal of Desert Research, 24(6): 95-106. (in Chinese)

[83]
Liu Y C. 1986. Features, distribution law and evolution of hydrochemistry in the Shiyanghe River basin. Scientia Geographica Sinica, 6(4): 348-356. (in Chinese)

[84]
Liu Y W, Xu R, Wang Y S, et al. 2015b. Wet deposition of atmospheric inorganic nitrogen at five remote sites in the Tibetan Plateau. Atmospheric Chemistry and Physics, 15(20): 11683-11700.

[85]
Lu A G, Liu H, Kang S C, et al. 2017. Constant inorganic ions in precipitation in the southern foothill of Taibai Mountain: characteristics and source. Journal of Glaciology and Geocryology, 39(4): 771-780. (in Chinese)

[86]
Luo Y L, Li J, Jiang P A, et al. 2017. Hydro-chemical characteristics and the formations for groundwater in Kuitun, Xinjiang. Journal of Arid Land Resources and Environment, 31(8): 116-121. (in Chinese)

[87]
LYU S F. 2017. Analysis of groundwater chemical characteristics in the Eerqisi River basin. City Geography, (16): 96, doi: 10.3969/j.issn.1674-2508.2017.16.064. (in Chinese)

[88]
Ma H Y, Zhu G F, Zhang Y, et al. 2021. Ion migration process and influencing factors in inland river basin of arid area in China: a case study of Shiyang River Basin. Environmental Science and Pollution Research, 28(40): 56305-56318.

[89]
Ma J Z, Li X H, Huang T M, et al. 2005. Chemical evolution and recharge characteristics of water resources in the Shiyang River basin. Resources Science, 27(3): 117-122. (in Chinese)

[90]
Ma J Z, Zhang P, Zhu G F, et al. 2012. The composition and distribution of chemicals and isotopes in precipitation in the Shiyang River system, northwestern China. Journal of Hydrology, 436-437: 92-101.

[91]
Ma K K, Li C X, Ai C, et al. 2023. Hydrochemical characteristics and water quality assessment of snow cover in the northeastern Tibet Plateau. Atmospheric Pollution Research, 14(2): 101660, doi: 10.1016/j.apr.2023.101660.

[92]
Ma L H. 2019. Water chemistry characteristics of groundwater in Heihe River Basin. MSc Thesis. Xi'an: Northwest University. (in Chinese)

[93]
Ma Q L, Ma S F, Lei Y J. 2024. Geological characteristics of Qinghai Province and experience in collecting typical geological specimens. Geological Review, 70(5): 2031-2040. (in Chinese)

[94]
Meng Q. 2021. Hydrochemical characteristics and controlling factors of shallow groundwater in the midstream and downstream areas of Shiyang River basin. Journal of Arid Land Resources and Environment, 35(3): 80-87. (in Chinese)

[95]
Meybeck M. 2003. Global occurrence of major elements in rivers. Treatise on Geochemistry, 5: 207-223.

[96]
Miao Y T, Fu X, Li P P, et al. 2020. Hydrochemicaltypes of groundwater and water quality dynamic characteristics for many years in Shiyang River basin. Ground Water, 42(6): 47-49. (in Chinese)

[97]
Nie Z L, Chen Z Y, Chen X X, et al. 2005. The chemical information of the interaction of unconfined groundwaterand surface water along the Heihe River, northwestern China. Journal of Jilin University (Earth Science Edition), 35(1): 48-53. (in Chinese)

[98]
Noh H, Huh Y, Qin J H, et al. 2009. Chemical weathering in the Three Rivers region of Eastern Tibet. Geochimica et Cosmochimica Acta, 73(7): 1857-1877.

[99]
Piper A M. 1944. A graphic procedure in the geochemical interpretation of water-analyses. Eos, Transactions American Geophysical Union, 25(6): 914-928.

[100]
Pu H Z. 2015. The hydrochemistry characteristics of meltwater runoff in Dongkemadi glacier in Tanggula Mountains. MSc Thesis. Lanzhou: Cold and Arid Regions Environmental and Engineering Research Institute, Chinese Academy of Science. (in Chinese)

[101]
Pu J C, Wang P, Huang C P. 1988. Chemical characteristics of glacier ice, snow and water in the headwaters of the Yangtze River. Environmental Science, 9(4): 14-19, 96. (in Chinese)

[102]
Pu T, He Y Q, Zhu G F, et al. 2011. Hydrochemical characteristics of three rivers around Yulong Mountain in rainy season. Scientia Geographica Sinica, 31(6): 734-740. (in Chinese)

[103]
Qian Z Z, Zhang J J, Sun T, et al. 2012. Hf-Nd isotoptic characteristics of the Huangshandong mafic-ultramafic intrusion, Eastern Xinjiang, and their geological implications. Northwestern Geology, 45(4): 145-154. (in Chinese)

[104]
Qin X, Qin D H, Huang C L, et al. 1999. Chemical characteristics of waters in Rongbu Glacier on Mount Everest. Environmental Science, 20(1): 2-3, 5-7. (in Chinese)

[105]
Qu B, Sillanpää M, Zhang Y L, et al. 2015. Water chemistry of the headwaters of the Yangtze River. Environmental Earth Sciences, 74: 6443-6458.

[106]
Renzeng L M, Luo Z, Chen H L, et al. 2021. Hydrochemical characteristics of Nyangchu River basin in Tibet. Earth and Environment, 49(4): 358-366. (in Chinese)

[107]
Shang H M, Fan Y T, Zhang R B, et al. 2021. Streamflow variation in the eastern Pamirs and its response to climate change. Climate Change Research, 17(3): 352-360. (in Chinese)

[108]
Shen B B, Wu J L, Zhan S E, et al. 2021. Spatial variations and controls on the hydrochemistry of surface waters across the Ili-Balkhash Basin, arid Central Asia. Journal of Hydrology, 600: 126565, doi: 10.1016/j.jhydrol.2021.126565.

[109]
Shi D P, Tan H B, Chen X, et al. 2021. Uncovering the mechanisms of seasonal river-groundwater circulation using isotopes and water chemistry in the middle reaches of the Yarlungzangbo River, Tibet. Journal of Hydrology, 603: 127010, doi: 10.1016/j.jhydrol.2021.127010.

[110]
Shi J A, Wang Q, Chen G J, et al. 2001. Isotopic geochemistry of the groundwater system in arid and semiarid areas and its significance: A case study in Shiyang River basin, Gansu Province, Northwest China. Environmental Geology, 40(4-5): 557-565.

[111]
Shi X Y, He Y Q, Pu T, et al. 2015. Chemical composition and daily variation characteristics of a typical river catchment in Mt. Yulong region. Environmental Chemistry, 34(10): 1895-1900. (in Chinese)

[112]
Song L L, Tian Q, Li Z J, et al. 2019. Hydrochemical characteristics of melt-water in the Yuzhu Peak Glacier, Kunlun Mountains. Environmental Chemistry, 38(8): 1864-1871. (in Chinese)

[113]
Strauhal T, Prager C, Millen B, et al. 2016. Aquifer geochemistry of crystalline rocks and Quaternary deposits in a high altitude alpine environment (Kauner Valley, Austria). Austrian Journal of Earth Sciences, 109(1): 29-44.

[114]
Su C J, Tang B X. 1987. Hydrochemical characteristics of Tongtian River water. Mountain Research, (3): 143-146. (in Chinese)

[115]
Sun J Y, Qin D H, Ren J W, et al. 2002. A study of water chemistry and aerosol at the headwaters of the Ürüqi River in the Tianshan Mountains. Journal of Glaciology and Geocryology, 24(2): 186-191. (in Chinese)

[116]
Tang J, Xue H S, Yu X L, et al. 2000. The preliminary study on chemical characteristics of precipitation at Mt. Waliguan. Acta Scientiae Circumstantiae, 20(4): 420-425. (in Chinese)

[117]
Tao Z H, Zhao Z Q, Zhang D, et al. 2015. Chemical weathering in the Three Rivers (Jingshajiang, Lancangjiang, and Nujiang) Watershed, Southwest China. Chinese Journal of Ecology, 34(8): 2297-2308. (in Chinese)

[118]
Tian J, Guo S L, Deng L L, et al. 2021. Adaptive optimal allocation of water resources response to future water availability and water demand in the Han River basin, China. Scientific Reports, 11: 7879, doi: 10.1038/s41598-021-86961-1.

[119]
Vorobyev S, Kolesnichenko Y, Korets M A, et al. 2021. Testing landscape, climate and lithology impact on carbon, major and trace elements of the Lena River and its tributaries during a spring flood period. Water, 13(15): 2093, doi: 10.3390/w13152093.

[120]
Wang C F. 2012. Chemical characteristics of rainwater and aerosol at Lijiang-Mt. Yulong. MSc Thesis. Lanzhou: Lanzhou University. (in Chinese)

[121]
Wang F Q, Zhao Y, Chen X, et al. 2019a. Hydrochemistry and its controlling factors of rivers in the source region of the Nujiang River on the Tibetan Plateau. Water, 11(10): 2166, doi: 10.3390/w11102166.

[122]
Wang J, Han H D, Xu J L, et al. 2021a. Hydrochemical characteristics of the mountain runoff in Tarim River Basin, China. China Environmental Science, 41(4): 1576-1587. (in Chinese)

[123]
Wang J, Han H D, Xu J L, et al. 2022. Chemical characteristics and their influencing factors of precipitation at the end of the Koxkar Glacier, Tianshan Mountains. Arid Zone Research, 39(2): 347-358. (in Chinese)

[124]
Wang K X. 2010. Water Chemistry. Beijing: Chemical Industry Press Co., Ltd. (in Chinese)

[125]
Wang L. 2016. Study on hydrochemical characteristics and its influencing factors in Yarlung Tsangpo River basin. PhD Dissertation. Beijing: University of Chinese Academy of Sciences. (in Chinese)

[126]
Wang L, Yang J, Wang Z H, et al. 2021b. Study on the variation of water chemistry characteristics and causes of the Yarlung Tsangpo River basin in recent 50 years. Journal of North China University of Water Resources and Electric Power (Natural Science Edition), 42(2): 10-16. (in Chinese)

[127]
Wang L H, Li G M, Dong Y H, et al. 2015. Using hydrochemical and isotopic data to determine sources of recharge and groundwater evolution in an arid region: a case study in the upper-middle reaches of the Shule River basin, northwestern China. Environmental Earth Sciences, 73: 1901-1915.

[128]
Wang L S, Tang Z J, Zhang X. 2014. Response of groundwater hydrochemical evolution to update of water circulation and simulation in Shiyang River basin. Transactions of the Chinese Society for Agricultural Machinery, 45(2): 141-148. (in Chinese)

[129]
Wang M M, Li Z Q, Wei J, et al. 2016. Major ion characteristics and environmental significance of snow and ice on typical glaciers in Qilian Mountains. Research of Environmental Sciences, 29(10): 1459-1470. (in Chinese)

[130]
Wang P Y, Li Z Q, Gao W Y, et al. 2011. Glacier changes in the Heihe River basin over the past 50 years in the context of climate change. Resources Science, 33(3): 399-407. (in Chinese)

[131]
Wang Q, Yu S, Jiang P P, et al. 2021c. Water chemical characteristics and influence of exogenous acids in the Yangtze River basin. Environmental Science, 42(10): 4687-4697. (in Chinese)

[132]
Wang R J. 1983. Triline diagram and its hydrogeological interpretation. Geotechnical Investigation & Surveying, (6): 6-11. (in Chinese)

[133]
Wang S Y, He X B, Wu J K, et al. 2019b. Chemical characteristics and ionic sources of precipitation in the Source Region of the Yangtze River. Environmental Science, 40(10): 4431-4439. (in Chinese)

[134]
Wang T, Zhao Y T, Xu C Y, et al. 2021d. Atmospheric dynamic constraints on Tibetan Plateau freshwater under Paris climate targets. Nature Climate Change, 11(3): 219-225.

[135]
Wang W R, Chen Y N, Wang W H, et al. 2021e. Hydrochemical characteristics and evolution of groundwater in the dried-up river oasis of the Tarim Basin, Central Asia. Journal of Arid Land, 13: 977-994.

[136]
Wang Y P, Wang L, Xu C X, et al. 2010. Hydro-geochemistry and genesis of major ions in the Yangtze River, China. Geological Bulletin of China, 29(2-3): 446-456. (in Chinese)

[137]
Wang Z, Guo H M, Liu H Y, et al. 2021f. Hydrochemical and hydrogen and oxygen isotope characteristics of subsurface water in the Maqu Plateau. Hydrogeology & Engineering Geology, 48(1): 18-26. (in Chinese)

[138]
Webb R W, Williams M W, Erickson T A. 2018. The spatial and temporal variability of meltwater flow paths: insights from a grid of over 100 snow lysimeters. Water Resource Research, 54(2): 1146-1160.

[139]
Wei H, Wu J K, Shen Y P, et al. 2016. Hydrochemical characteristics of snow meltwater and river water during snow-melting period in the headwaters of the Ertis River, Xinjiang. Environmental Science, 37(4): 1345-1352. (in Chinese)

[140]
Wei H G, Zhou Z K, Sun Z X, et al. 2010a. Hydrochemical characteristics and protection measures of surface water in Shule River. Yellow River, 32(11): 70-71, 73. (in Chinese)

[141]
Wei Z C, Liu Z H, Jin S. 2010b. Preliminary analysis about hydrologic characteristics of Qingbingtan Glacier. Environmental Protection of Xinjiang, 32(1): 7-9. (in Chinese)

[142]
Williams M W, Tonnessen K A, Melack J M, et al. 1992. Sources and spatial variation of the chemical composition of snow in the Tien Shan, China. Annals of Glaciology, 16: 25-32.

[143]
Wu X B, Li Q L, He J Q, et al. 2008. Hydrochemical characteristics and inner-year process of upper Heihe River in summer half year. Journal of Desert Research, 28(6): 1190-1196. (in Chinese)

[144]
Wu X B, Wang N L, Li Q L. 2009. Diurnal variation of meltwater chemistry in the Qiyi Glacier during the late ablation period. Journal of Glaciology and Geocryology, 31(6): 1080-1085. (in Chinese)

[145]
Xia X H, Zhang L T, Chen J S. 2000. The effect of lithology and climate on major ion chemistry of the Yangtze River System. Acta Scientiarum Naturalium Universitatis Pekinensis, 36(2): 246-252. (in Chinese)

[146]
Xiang J. 2020. Impact of land use/landscape pattern on hydrochemical characteristics in Binggou River basin. MSc Thesis. Lanzhou: Northwest Normal University. (in Chinese)

[147]
Xiao H, Shen Z L, Huang M Y. 1993. Chemical characteristics of tropical Western Pacific precipitation. Acta Scientiae Circumstantiae, 13(2): 143-149. (in Chinese)

[148]
Xie C, Liu H, Li X R, et al. 2024. Spatial characteristics of hydrochemistry and stable isotopes in river and groundwater, and runoff components in the Shule River Basin, northeastern of Tibet Plateau. Journal of Environmental Management, 349: 119512, doi: 10.1016/j.jenvman.2023.119512.

[149]
Xu S L. 2016. The study of chemical weathering in the upstream of the Yellow River basin. MSc Thesis. Guiyang: Guizhou University. (in Chinese)

[150]
Yang L. 2017. Chemical characteristics and control factors of multi-type water resource in Shiyang River basin. MSc Thesis. Lanzhou: Northwest Normal University. (in Chinese)

[151]
Yang L, Zhu G F, Shi P J, et al. 2018. Spatiotemporal characteristics of hydrochemistry in Asian arid inland basin—A case study of Shiyang River Basin. Environmental Science and Pollution Research, 25(3): 2293-2302.

[152]
Yang Q, Xiao H L, Zhao L J, et al. 2011. Hydrological and isotopic characterization of river water, groundwater, and groundwater recharge in the Heihe River basin, northwestern China. Hydrological Processes, 25(8): 1271-1283.

[153]
Yang Q, Han T D, Li X Y, et al. 2021. Hydrochemical characteristics and controlling factors in the source region of Shule River. Journal of Glaciology and Geocryology, 43(2): 568-579. (in Chinese)

[154]
Yao T D, Yao Z J. 2010. Impacts of glacial reretreat on runoff on Tibetan Plateau. Chinese Journal of Nature, 32(1): 4-8. (in Chinese)

[155]
Yu B, Zhao W. 2017. Study on the distribution and combination characteristics of precipitation hydrochemistry in Shule River basin. Gansu Water Resources and Hydropower Technology, 53(3): 4-6, 10. (in Chinese)

[156]
Yu D, Zhou J L, Wei X, et al. 2021. Analysis of chemical characteristics and evolution of phreatic water in western Kashgar Prefecture, Xinjiang. Environmental Chemistry, 40(8): 2493-2504. (in Chinese)

[157]
Yuan Q S, Wang P F, Chen J, et al. 2021. Influence of cascade reservoirs on spatiotemporal variations of hydrogeochemistry in Jinsha River. Water Science and Engineering, 14(2): 97-108.

[158]
Zhang B J, Li Z J, Feng Q, et al. 2023. A review of isotope ecohydrology in the cold regions of Western China. Science of the Total Environment, 857: 159438, doi: 10.1016/j.scitotenv.2022.159438.

[159]
Zhang B Z, Song T Q. 2020. Factor controlling on groundwater geochemical evolution in the middle and lower reaches of the Shule River basin. Yellow River, 42(6): 68-72, 78. (in Chinese)

[160]
Zhang C, Wu C S, Peng Z D, et al. 2022. Synergistic effects of changes in climate and vegetation on basin runoff. Water Resources Management, 36: 3265-3281.

[161]
Zhang D, Shi C X, Jia L. 2004. A study of chemical properties of rains on the Tibetan Plateau. Acta Scientiae Circumstantiae, 24(3): 555-557. (in Chinese)

[162]
Zhang Q H, Qi S, Ma J Z. 2012a. The sources and hydrochemical properties of groundwater in the Liyuan River Basin, Gansu Province. Arid Zone Research, 29(5): 898-906. (in Chinese)

[163]
Zhang T, Cai W T, Li Y Z, et al. 2017. Major ionic features and their possible controls in the water of the Niyang River basin. Environmental Science, 38(11): 4537-4545. (in Chinese)

[164]
Zhang T, Cai W T, Li Y Z, et al. 2018a. Ion chemistry of groundwater and the possible controls within Lhasa River Basin, SW Tibetan Plateau. Arabian Journal of Geosciences, 11(17): 510, doi: 10.1007/s12517-018-3855-1.

[165]
Zhang T, He J, Li J J, et al. 2018b. Major ionic features and possible controls in the groundwater in the Hamatong River basin. Environmental Science, 39(11): 4981-4990. (in Chinese)

[166]
Zhang X Y, Li Z Q, Wang F T, et al. 2012b. Chemistry and environmental significance of snow in snow pit of Glacier No.72, Mt. Tumur, Tianshan Mountains, Central Asia. Scientia Geographica Sinica, 32(5): 641-648. (in Chinese)

[167]
Zhang Y H, He Z H, Tian H H, et al. 2021a. Hydrochemistry appraisal, quality assessment and health risk evaluation of shallow groundwater in the Mianyang area of Sichuan Basin, southwestern China. Environmental Earth Sciences, 80(17): 576, doi: 10.1007/s12665-021-09894-y.

[168]
Zhang Y L, Kang S C, Zhang Q G, et al. 2016. Chemical records in snowpits from high altitude glaciers in the Tibetan Plateau and its surroundings. PLoS ONE, 11(5): e0155232, doi: 10.1371/journal.pone.0155232.

[169]
Zhang Z D. 1990. A brief account of the basic characteristics of the regional geology of Xinjiang. Geological Bulletin of China, (2): 112-125. (in Chinese)

[170]
Zhang Z Y, Jia W X, Zhu G F, et al. 2020. Hydrochemical characteristics and ion sources of precipitation in the upper reaches of the Shiyang River, China. Water, 12(5): 1442, doi: 10.3390/w12051442.

[171]
Zhang Z Y, Jia W X, Zhu G F, et al. 2021b. Hydrochemical characteristics and ion sources of river water in the upstream of the Shiyang River, China. Environmental Earth Sciences, 80: 614, doi: 10.1007/s12665-021-09793-2.

[172]
Zhao A F, Zhang M J, Li Z Q, et al. 2012. Hydrochemical characteristics in the Glacier No.72 of Qingbingtan, Tomur Peak. Environmental Science, 33(5): 1484-1490, doi: 10.13227/j.hjkx.2012.05.005. (in Chinese)

[173]
Zhao W. 2017. Study on the isotopes and moisture source in precipitation in the Shule River basin. PhD Dissertation. Lanzhou: Lanzhou University. (in Chinese)

[174]
Zhao Y. 2020. The study of hydrochemical characteristics and its influencing factors of Naqu River in the source region of the Nujiang River. MSc Thesis. Zhengzhou: North China University of Water Resources and Electric Power. (in Chinese)

[175]
Zhao Y, Zhao H, Wang F Q, et al. 2020. Multivariate statistical analysis of the hydrochemical characteristics of the Naqu River in the source region of the Nujiang River. Journal of North China University of Water Resources and Electric Power (Natural Science Edition), 41(2): 63-71. (in Chinese)

[176]
Zheng W, Yao T D, Xu B Q, et al. 2008. Ionic chemistry in snowpits from Yamzhog Yumco basion. Environmental Science, 29(6): 1488-1494. (in Chinese)

[177]
Zhou C J, Tao B X, Jin C X. 1996. The source of Lancang River and its upper and middle water chemistry. Progress in Geography, (3): 53-58. (in Chinese)

[178]
Zhou C J, Dong S C, Li D. 2004. Hydrochemical characteristics in Shule River basin and environment protection. Advances in Science and Technology of Water Resources, 24(2): 16-18, 69-70. (in Chinese)

[179]
Zhou J J, Xiang J, Wang L Y, et al. 2019. Relationship between landscape pattern and hydrochemical characteristics of Binggou River Basin in eastern Qilian Mountains. Chinese Journal of Ecology, 38(12): 3779-3788. (in Chinese)

[180]
Zhou J X, Ding Y J, Zeng G X, et al. 2014. Major ion chemistry of surface water in the upper reach of Shule River basin and the possible controls. Environmental Science, 35(9): 3315-3324. (in Chinese)

[181]
Zhu G F, Su Y H, Feng Q. 2008. The hydrochemical characteristics and evolution of groundwater and surface water in the Heihe River Basin, northwest China. Hydrogeology Journal, 16: 167-182.

[182]
Zhu G F, Su Y H, Huang C L, et al. 2010. Hydrogeochemical processes in the groundwater environment of Heihe River Basin, northwest China. Environmental Earth Sciences, 60: 139-153.

[183]
Zhu G F, Pan H X, Zhang Y, et al. 2018. Hydrochemical characteristics and control factors of acid anion in Shiyang River basin. China Environmental Science, 38(5): 1886-1892. (in Chinese)

Outlines

/