Research article

Leaching amount and period regulated saline-alkaline soil water-salinity dynamics and improved cotton yield in southern Xinjiang, China

  • WANG Lei 1 ,
  • LIU Xiaoqiang 2 ,
  • WANG Shuhong 3 ,
  • HE Shuai , 4, *
Expand
  • 1Xinjiang Daoda Construction Engineering Co., Ltd., Yining 835000, China
  • 2Key Laboratory of Agricultural Soil and Water Engineering in Arid and Semi-arid Areas of the Ministry of Education, Northwest A&F University, Yangling 712100, China
  • 3Xinjiang Production and Construction Corps Surveying & Designing Institute Group Co., Ltd., Shihezi 832000, China
  • 4Institute of Farmland Water Conservancy and Soil-Fertilizer, Xinjiang Academy of Agricultural and Reclamation Science, Shihezi 832000, China
*HE Shuai (E-mail: )

The first and second authors contributed equally to this work.

Received date: 2024-11-13

  Revised date: 2025-03-28

  Accepted date: 2025-04-09

  Online published: 2025-08-13

Abstract

Cotton, as one of important economic crops, is widely planted in the saline-alkaline soil of southern Xinjiang, China. Moreover, in order to control the saline-alkaline content for seed germination and seedlings survive of cotton, farmers always adopt salt leaching during winter and spring seasons. However, excessive amount of salt leaching might result in the waste of water resources and unsuitable irrigation seasons might further increase soil salinization. In this study, a field experiment was conducted in the saline-alkaline soil in 2020 and 2021 to determine the effects of leaching amount and period on water-salinity dynamics and cotton yield. Five leaching amounts (0.0 (W0), 75.0 (W1), 150.0 (W2), 225.0 (W3), and 300.0 (W4) mm) and three leaching periods (seedling stage (P1), seedling and squaring stages (P2), and seedling, squaring, flowering, and boll setting stages (P3)) were used. In addition, a control treatment (CK) with a leaching amount of 300.0 mm in spring was performed. The soil water-salt dynamics, cotton growth, seed cotton yield, water productivity (WP), and irrigation water productivity (WPI) were analyzed. Results showed that leaching significantly decreased soil electrical conductivity (EC), and W3P2 treatment reduced EC by 11.79% in the 0-100 cm soil depth compared with CK. Plant height, stem diameter, leaf area index, and yield under W3 and W4 treatments were greater than those under W1 and W2 treatments. Compared with W3P1 and W3P3 treatments, seed cotton yield under W3P2 treatment significantly enhanced and reached 6621 kg/hm2 in 2020 and 5340 kg/hm2 in 2021. Meanwhile, WP and WPI under W3P2 treatment were significantly higher than those under other leaching treatments. In conclusion, the treatment of 225.0 mm leaching amount and seedling and squaring stages-based leaching period was beneficial for the salt control, efficient water utilization, and yield improvement of cotton in southern Xinjiang, China.

Cite this article

WANG Lei , LIU Xiaoqiang , WANG Shuhong , HE Shuai . Leaching amount and period regulated saline-alkaline soil water-salinity dynamics and improved cotton yield in southern Xinjiang, China[J]. Journal of Arid Land, 2025 , 17(6) : 823 -845 . DOI: 10.1007/s40333-025-0018-6

1 Introduction

Cotton is a significant economic crop covering an area of 2.36×105 hm2 in Xinjiang of China, which accounts for 84.98% of the total area of cotton cultivation in China (NBSC, 2023). However, this area contains a large amount of saline-alkaline soils caused by local natural environments (i.e., intense evaporation and limited precipitation) and unreasonable irrigation practices (Ning et al., 2021). In addition, the continuous population growth and socio-economic development in recent years have made the imbalance between the supply and consumption of water resources increasingly serious, and the threat to agriculture from secondary salinization of arable lands has become more and more serious (Liang and Shi, 2021; Yan et al., 2021; Hou et al., 2022a).
The technology of drip irrigation under mulch is extensively employed globally (Nouri et al., 2019; Ochege et al., 2022). Mulched drip irrigation is a high water-saving irrigation technology that combines drip irrigation and plastic film mulching, and has become increasingly significant in conserving agricultural water resources for efficient crop production in irrigated farmlands that experience little or no soil salinization (Li et al., 2015; Rao et al., 2016). On one hand, mulched drip irrigation is considered to improve crop productivity in saline-alkaline soils (Hanson et al., 2008); on the other hand, it also promotes salt leaching due to the high frequency (Dudley et al., 2008) and improper management (Minhas et al., 2020). Nevertheless, drip irrigation under film mulching was applied at specific points in space, and salts are pushed to the edges of wetting area (Chen et al., 2009). Additionally, soil salt accumulation is increased because of low flow rate and small irrigation intervals of drip irrigation, resulting in significantly increased osmotic stress that inevitably affects the water uptake of crops (Minhas et al., 2020). It is also essential to control soil salinity within a certain threshold in order to prevent crop growth inhibition (Maas and Hoffman, 1977). Richards (1954) proposed that salinity management method used in salt-affected soils was to maintain long-term steady state conditions in the area where soil salts moved downward with water flow beyond the root zone. To achieve this goal, leaching requirement proposed by Richards (1954) was used to evaluate the efficiency of salt leaching, which is extensively applied to reclaim and subsequently utilize salt-affected soils (Minhas, 2010; Shahrokhnia and Wu, 2021). Furthermore, leaching should minimize salt damage at reproductive stages of sensitive crop (Hoffman and Shalhevet, 2007).
Salt leaching is more prominent in saline-alkaline soils under irrigation in Xinjiang, China (Feng et al., 2005; Pereira et al., 2007; Chen et al., 2018; Zong et al., 2022). The movement of soil salinity in the area can be clearly distinctly classified as a desalination process during non- crop growing period (from October to March of next year) and crop growing period (from April to September) (Zhang et al., 2013). Large amounts of surface water or groundwater (from wells) are applied for salt leaching through flood irrigation in winter and spring seasons (i.e., non-crop growing period) (Chen et al., 2010; Runyan and D'Odorico, 2010), and water consumption for salt leaching/salt drainage ranges from 225.0 to 375.0 mm (Hu et al., 2015; Chen et al., 2018). Brackish water is also applied for salt leaching (Xiao et al., 2021). Although irrigation in winter and spring seasons can help leach salt and control secondary salinization, it is prone to cause salinity accumulation in the root zone during the crops development period. Additionally, irrigation in winter and spring seasons wastes water resources, increases groundwater storage, and results in water shortages (Chen et al., 2009; Hu et al., 2011). Therefore, an effective drip irrigation strategy during the growth period should not only ensure the crop water requirement, but also promote salt leaching in saline-alkaline soils (Forkutsa et al., 2009; Satchithanantham et al., 2014).
Recent studies have found that a net downward movement of soil water can be maintained for salt leaching for saline-alkaline soils, which can highly effective decrease soil salinity and benefit crop growth (Ayars et al., 2012; Li et al., 2019). Numerous researches have become interested in the effects of drip irrigation amount on crop growth and soil water-salt migration (Zhang et al., 2014; Zhang et al., 2022). Specifically, Yang et al. (2019) found that leaching efficiency was inconsistent in different soil textures. Among them, drip irrigation had the largest leaching efficiency (78.80%) in sandy soils. In addition, salt tolerance of crops differed at different growth periods (Minhas, 1996). For example, Xiao et al. (2021) found that high cotton yield was achieved by leaching at seedling, squaring, and flowering stages, while the lowest cotton yield was achieved by leaching only at seedling stage. Furthermore, when using brackish water for leaching, the effect of leaching should be considered to maintain acceptable levels of soil salinity for crop yield (Letey et al., 2011). However, there were few studies of freshwater leaching under mulched drip irrigation during various cotton growth periods on soil water-salinity dynamics and plant growth. In particular, the leaching amounts during various growth periods influence soil salt concentrations and cotton growth when there is no irrigation in winter and spring seasons for salt leaching. Therefore, a field experiment was conducted in a saline-alkaline soil, southern Xinjiang, under mulched drip irrigation in 2020 and 2021. The aims of this research were: (1) to identify the responses of soil salt-water dynamics to leaching amount during various cotton growth periods; and (2) to quantify the impacts of leaching amount and period on cotton growth, seed cotton yield, and water productivity.

2 Materials and methods

2.1 Study area

A field experiment was conducted in the Tarim River Basin of southern Xinjiang, China (40°53°03″N, 86°56°58″E; 900 m a.s.l.). The mean annual precipitation is 58.0 mm, and annual evaporation is approximately 2500.0 mm (Chen et al., 2018). The study area belongs to warm temperate continental desert climate. Groundwater depth is close to 3 m, and the total dissolved solid ranges from 2 to 7 g/L. Soil texture mainly consists of sandy loam, silt loam, and sand in the 0-100 cm soil depth, with the particle size distribution for clay, silt, and sand ranging from 0.00% to 4.36%, from 15.36% to 57.29%, and from 38.82% to 84.64%, respectively. In addition, the soil bulk density is 1.52 g/cm3. Soil electrical conductivity (EC) before and after the experiments is 3.35 and 0.97 dS/m, respectively (Table 1). And the soil has large amounts of NaCl and Na2SO4. Soil pH is 8.03. Irrigation water from the channel has a salinity of 0.7 g/L, where the ions, i.e., Ca2+, Na+, SO42-, and HCO3- are the dominant ions, consisting of 37.10%, 38.20%, 25.30%, and 59.10% of the cations and anions, respectively. Total precipitation amounts during the cotton growth season were 32.4 and 13.8 mm in 2020 and 2021, respectively (Fig. 1). Average daily maximum temperatures were 39.1°C in 2020 and 41.5°C in 2021, and the corresponding average daily minimum temperatures were 7.7°C and 8.1°C, respectively (Fig. 1).
Table 1 Soil physical and chemical properties of the study area
Depth (cm) Soil texture Particle size (%) Bulk density (g/cm3) Field capacity
(%)
Soil electrical conductivity (EC) before experiment (dS/m) Soil EC after experiment (dS/m)
Clay Silt Sand
0-20 Sandy loam 2.39 43.24 54.37 1.55 21.24 4.23 1.62
20-40 Silt loam 3.89 57.29 38.82 1.40 22.88 3.20 1.13
40-60 Silt loam 4.12 53.19 42.69 1.41 23.56 2.52 0.91
60-80 Silt loam 4.37 45.09 50.55 1.57 24.91 3.18 0.82
80-100 Sand 0.00 15.36 84.64 1.66 20.05 3.62 0.86
Fig. 1 Precipitation, maximum temperature (Tmax), and minimum temperature (Tmin) during the cotton growth period in 2020 (a) and 2021 (b). The blue arrow markings in the figure represent leaching date.

2.2 Experimental design and field management

The field experiment was performed in the saline-alkaline soil with no irrigation in winter and spring seasons. There were five leaching amounts (0.0 (W0), 75.0 (W1), 150.0 (W2), 225.0 (W3), and 300.0 mm (W4)) and three leaching periods (seedling stage (P1), seedling and squaring stages (P2), and seedling, squaring, flowering, and boll setting stages (P3)). In addition, a control treatment (CK) with a leaching amount of 300.0 mm through flood irrigation in spring was set up. The details of leaching scheduling are given in Table. 2. Each treatment had three replicates. A HOBO U30 meteorological station (Onset Computer Corporation, Bourne, USA) was installed to record weather data. The regular irrigation amount over the two years was 85.00% crop water requirement for cotton. Experiment began in early June, and the irrigation interval was 9 d. Irrigation was postponed in the event of precipitation, and crops were not irrigated at the end of August (Table 2).
Table 2 Irrigation and leaching amount under different treatments during cotton growth period in 2020 and 2021
Date of water application Irrigation/leaching amount (mm)
Irrigation
(mm-dd)
Leaching
(mm-dd)
CK W0 W1P1 W2P1 W3P1 W4P1 W1P2
- -/03-18 0.0/300.0 0.0/0.0 0.0/0.0 0.0/0.0 0.0/0.0 0.0/0.0 0.0/0.0
06-03/06-06 - 0.0/20.0 28.0/20.0 28.0/20.0 28.0/20.0 28.0/20.0 28.0/20.0 28.0/20.0
- 06-09/06-11 0.0/0.0 0.0/0.0 75.0/75.0 150.0/150.0 225.0/225.0 300.0/300.0 37.5/37.5
06-13/06-18 - 0.0/32.0 35.0/32.0 35.0/32.0 35.0/32.0 35.0/32.0 35.0/32.0 35.0/32.0
06-23/06-28 - 0.0/38.0 36.0/38.0 36.0/38.0 36.0/38.0 36.0/38.0 36.0/38.0 36.0/38.0
07-03/07-08 - 0.0/55.0 54.0/55.0 54.0/55.0 54.0/55.0 54.0/55.0 54.0/55.0 54.0/55.0
07-13/07-18 - 0.0/49.0 51.0/49.0 51.0/49.0 51.0/49.0 51.0/49.0 51.0/49.0 51.0/49.0
- 07-17/07-14 0.0/0.0 0.0/0.0 0.0/0.0 0.0/0.0 0.0/0.0 0.0/0.0 37.5/37.5
07-25/07-28 - 0.0/46.0 51.0/46.0 51.0/46.0 51.0/46.0 51.0/46.0 51.0/46.0 51.0/46.0
08-04/08-07 - 0.0/47.0 50.0/47.0 50.0/47.0 50.0/47.0 50.0/47.0 50.0/47.0 50.0/47.0
- 08-09/08-14 0.0/0.0 0.0/0.0 0.0/0.0 0.0/0.0 0.0/0.0 0.0/0.0 0.0/0.0
08-14/08-17 - 0.0/27.0 29.0/27.0 29.0/27.0 29.0/27.0 29.0/27.0 29.0/27.0 29.0/27.0
08-24/08-27 - 0.0/26.0 0.0/26.0 0.0/26.0 0.0/26.0 26.0/26.0 26.0/26.0 26.0/26.0
Irrigation+leaching total amount 0.0/640.0 360.0/340.0 435.0/415.0 510.0/490.0 585.0/565.0 660.0/640.0 435.0/415.0
Date of water application Irrigation/leaching amount (mm)
Irrigation
(mm-dd)
Leaching
(mm-dd)
W2P2 W3P2 W4P2 W1P3 W2P3 W3P3 W4P3
- -/03-18 0.0/0.0 0.0/0.0 0.0/0.0 0.0/0.0 0.0/0.0 0.0/0.0 0.0/0.0
06-03/06-06 28.0/20.0 28.0/20.0 28.0/20.0 28.0/20.0 28.0/20.0 28.0/20.0 28.0/20.0
- 06-09/06-11 75.0/75.0 112.5/112.5 150.0/150.0 25.0/25.0 50.0/50.0 75.0/75.0 100.0/100.0
06-13/06-18 - 35.0/32.0 35.0/32.0 35.0/32.0 35.0/32.0 35.0/32.0 35.0/32.0 35.0/32.0
06-23/06-28 - 36.0/38.0 36.0/38.0 36.0/38.0 36.0/38.0 36.0/38.0 36.0/38.0 36.0/38.0
07-03/07-08 - 54.0/55.0 54.0/55.0 54.0/55.0 54.0/55.0 54.0/55.0 54.0/55.0 54.0/55.0
07-13/07-18 - 51.0/49.0 51.0/49.0 51.0/49.0 51.0/49.0 51.0/49.0 51.0/49.0 51.0/49.0
- 07-17/07-14 75.0/75.0 112.5/112.5 150.0/150.0 25.0/25.0 50.0/50.0 75.0/75.0 100.0/100.0
07-25/07-28 - 51.0/46.0 51.0/46.0 51.0/46.0 51.0/46.0 51.0/46.0 51.0/46.0 51.0/46.0
08-04/08-07 - 50.0/47.0 50.0/47.0 50.0/47.0 50.0/47.0 50.0/47.0 50.0/47.0 50.0/47.0
- 08-09/08-14 0.0/0.0 0.0/0.0 0.0/0.0 25.0/25.0 50.0/50.0 75.0/75.0 100.0/100.0
08-14/08-17 - 29.0/27.0 29.0/27.0 29.0/27.0 29.0/27.0 29.0/27.0 29.0/27.0 29.0/27.0
08-24/08-27 - 26.0/26.0 26.0/26.0 26.0/26.0 26.0/26.0 26.0/26.0 26.0/26.0 26.0/26.0
Irrigation+leaching total amount 510.0/490.0 585.0/565.0 660.0/640.0 435.0/415.0 510.0/490.0 585.0/565.0 660.0/640.0

Note: W0, W1, W2, W3, and W4 represent leaching amount of 0.0, 75.0, 150.0, 225.0, and 300.0 mm, respectively. CK represents a control treatment with a leaching amount of 300.0 mm through flood irrigation in spring. P1, seedling stage; P2, seedling and squaring stage; P3, seedling, squaring, and boll flowering stage. The left side of the slash is the date of water applied for 2020, and the right side of the slash is the date of water applied for 2021. ''-'' means no date of water application.

Irrigation amount was calculated by the data obtained through the weather station in the experimental field (Allen et al., 1998):
ETc=Kc×ET0,
where ETc is the crop water requirement for cotton (mm); Kc is the crop coefficient; and ET0 is the reference crop evapotranspiration (mm). Kc of cotton was 0.75 during vegetative growth period (i.e., seeding and squaring period), 1.15 during flowering boll period, and 0.70 during boll opening period (Hou et al., 2022b). ET0 was calculated as follows (Allen et al., 1998):
$E{{T}_{0}}=\frac{0.408\Delta \left( {{R}_{n}}-G \right)+\gamma \frac{900}{{{T}_{mean}}+273}{{U}_{2}}\left( {{e}_{s}}-{{e}_{a}} \right)}{\Delta +\gamma \left( 1+0.34{{U}_{2}} \right)}$,
where Δ is the slope of the vapor pressure curve (kPa/°C); Rn is the net solar radiation (MJ/(m•d)); G is the soil heat flux (MJ/(m2•d)); γ is the psychrometric constant (kPa/°C); Tmean is the mean temperature (°C); U2 is the wind speed at 2 m height (m/s); es is the saturation vapor pressure (kPa); and ea is the actual vapor pressure (kPa).
Threshold of salinity for cotton was 7.7 dS/m (Minhas et al., 2020). Experimental cotton variety was Xinluzhong 67. Irrigation type was mulched drip irrigation. Dripper flow rate was 2.4 L/h and dripper operating pressure was 0.2 MPa. Planting pattern consisted of one 1.06-m-wide strip of plastic film, two drip belts, and four rows. In other words, the width of the two bare areas between films was 46 cm. Two drip irrigation belts were laid under the film at a distance of 30 cm from the edge of film, and four rows of cotton were planted at a distance of 10 cm from the edge of film and to the middle of two drip irrigation belts, respectively. Planting spacing of cotton was 10 cm (Fig. 2). Seeds were planted on 16 April, 2020 and 14 April, 2021, and harvested on 28 September, 2020 and 30 September, 2021, respectively. Phenological phase of cotton in 2020 and 2021 is shown in Table S1. The area of experimental plot was 4.3 m×15.0 m, and each experimental plot had three sheets of plastic mulch. A buffer zone was created between two plots to prevent the effect of lateral soil water movement. We implemented fertilization according to local practices, i.e., 300 kg N/hm2, 90 kg P/hm2, and 45 kg K/hm2. Fertilizers used were urea, ammonium dihydrogen phosphate, and potassium oxide. Fertilizers were applied equally at eight times. Chemical fertilizers were dissolved in differential pressure fertilization tank one day before irrigation. There was one fertilizer tank for each plot. Other agronomic measures such as weeding and pesticide spraying were consistent with local practices.
Fig. 2 Schematic diagram of cotton planting mode and sampling points in the field
Table S1 Phenological phase of cotton in 2020 and 2021
Growth period Date
2020 (dd-mm-dd-mm) 2021 (dd-mm-dd-mm)
S1 04-26-06-16 04-28-06-18
S2 06-17-07-18 06-19-07-20
S3 07-19-08-09 07-21-08-10
S4 08-09-08-30 08-11-08-31
S5 08-31-09-28 09-01-09-30

Note: S1, S2, S3, S4, and S5 were the seedling stage, squaring stage, flowering stage, boll setting stage, and boll opening stage, respectively.

2.3 Field sampling and measurements

2.3.1 Plant height, stem diameter, and leaf area index (LAI)

Ten cotton plants were randomly collected from each experimental plot at each growth period, and plant height was measured with a tape measure. Stem diameter was determined using a Vernier caliper. LAI of the plant was determined using the specific gravity method and was computed as follows (Watson, 1947):
LAI = total leaf area/land area occupied per plant.
Land area occupied per plant=seedling emergence rate×film width×
plant spacing/number of rows of plants per film.
Emergence percentage of cotton was calculated after sprouting.

2.3.2 Dry matter

Ten cotton plants were randomly collected from each experimental treatment at the seeding, squaring, flowering, boll forming, and boll opening stages. Sampled cotton plants were separated at the stem base from underground part of plant. Each sample was put into the oven for 2 h at 105°C and then dried at 75°C to constant mass. Dried sample was weighed using a balance. Dry matter mass for each treatment (kg/hm2) was calculated as average dry matter mass of ten cotton plants multiplies planting density.

2.3.3 Seed cotton yield and its components

When the youngest boll of cotton plant was ready for harvest (Gwathmey et al., 2016), the number of plants and the number of bolls per plant were recorded in three randomly selected areas of 1.00 m×1.62 m in each plot to determine seed cotton yield. Average yield and its components were recorded for the three replicates. All opened cotton bolls were picked by hand. Yield measurement was referenced from Liu et al. (2023).

2.3.4 Water productivity (WP)

WP was determined by dividing seed cotton yield by crop water consumption (Fernández et al., 2020):
WP=Y/ETa,
where Y is the seed cotton yield (kg/hm2); and ETa is the actual crop water consumption (mm). ETa was calculated by the soil water balance method (Oweis et al., 2011):
ETa=P+U+IDRW,
where P is the precipitation (mm); U is the groundwater supplement (mm); I is the total irrigation and salt leaching amount (mm); D is the deep percolation (mm); R is the runoff (mm); and ΔW is the change in soil water storage from the beginning to the end of experiment (mm). We neglected contributions of groundwater recharge (approaching 3 m) and runoff based on actual conditions during experiment. D was calculated as follows (Cai et al., 2021):
D=Wi+IWfc,
where Wi is the initial soil water storage (mm); I is the irrigation and leaching amount (mm); and Wfc is the field capacity (mm).

2.3.5 Irrigation water productivity (WPI)

WPI was determined by dividing seed cotton yield by total water input (Rodrigues and Pereira, 2009):
WPI=Y/I.

2.3.6 Soil moisture and EC

Soil samples were always obtained on random basis during growing season. An auger (5 cm in diameter) was used to take samples at horizontal distances 0, 23, and 38 cm from the center of film mulching (Fig. 2). Five soil layers were determined in the 0-100 cm soil depth at 20 cm intervals. Soil sample was put in an aluminum box, and soil moisture was calculated by drying method. The remaining soil sample was ground and sieved after air drying and then extracted with deionized water using a 10-g air-dried soil sample with a soil:liquid ratio of 1:5 (Thompson, 2023). After oscillation and standing for a while, EC of the supernatant was measured by a conductivity meter (DDS-307A, Leici Inc., Shanghai, China).

2.4 Statistical analysis

SPSS v.18.0 software was used for the analysis of variance (ANOVA) for multivariate comparisons. A general linear model had performed to explore the impact of each treatments on PH, SD, LAI, dry matter, yield, water productivity, soil moisture, and salinity by the SPSS software. Least significant difference (LSD) was applied to determine significant differences at P<0.05 level. Sigmaplot v.14.0 software was used to create figures and Microsoft Excel v.2016 software was applied for data analysis.

3 Results

3.1 Soil moisture

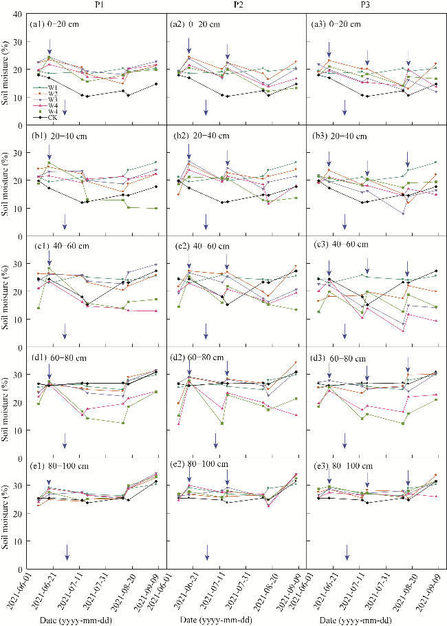
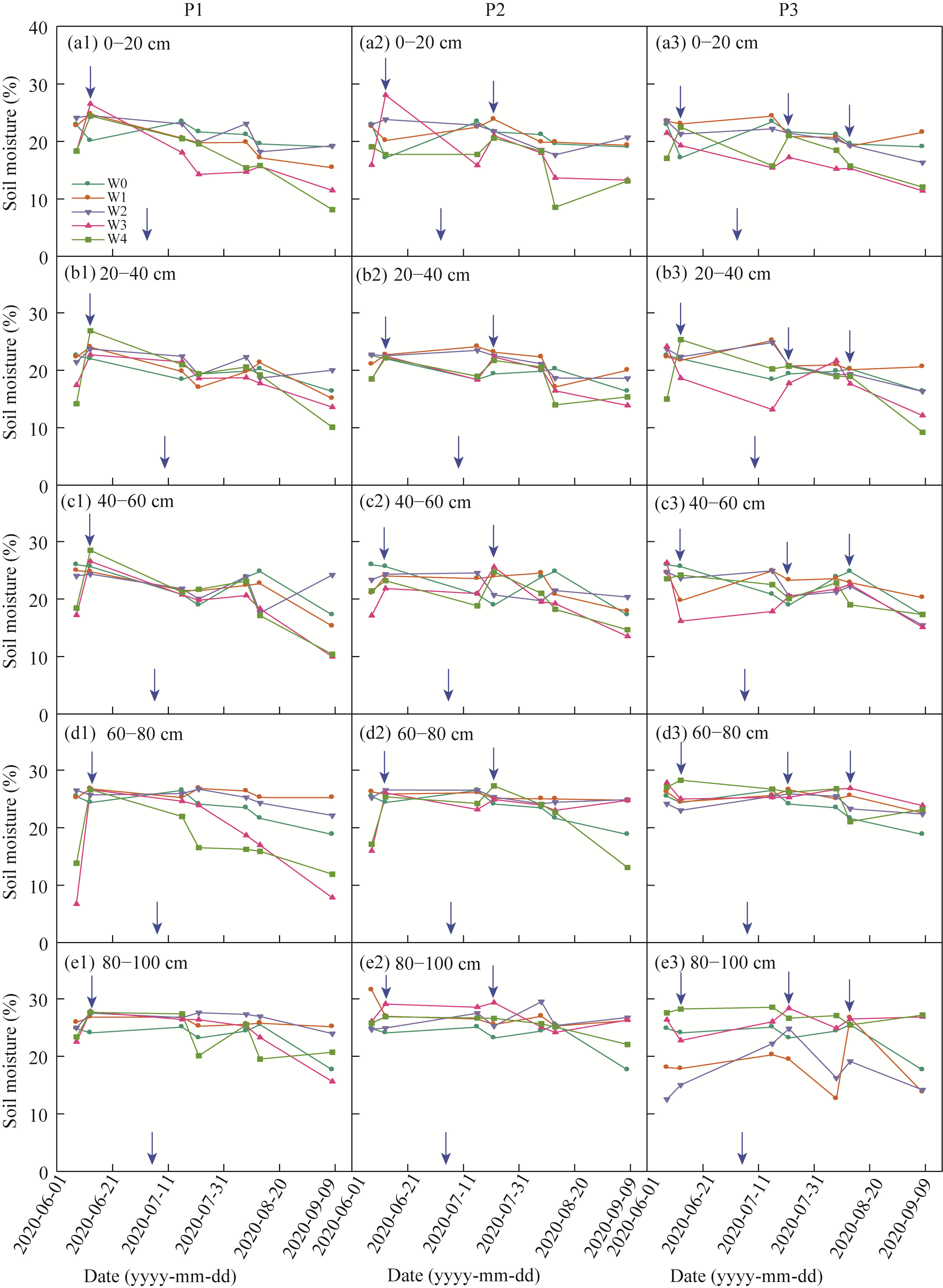
Variation of soil moisture in the 0-100 cm depth among various leaching amounts and periods in 2020 and 2021 are given in Figures 3 and 4, respectively. Figure 4 showed that mean soil moisture in the 0-40 cm depth increased by 38.26%-52.75% as leaching amount increased from seedling to boll stages. Similarly, as the times of leaching irrigation under the same leaching amount increased, mean soil moisture in the 0-40 cm depth also increased by 38.57%-50.76% and satisfied cotton growth requirement. In 2020, soil moisture for each treatment was the highest at seedling stage, intermediate at the other reproductive stages, and the least at boll opening stage (Fig. 3). In 2021, soil moisture was greater at seedling and boll opening stages and less at budding and boll flowering stage. Notably, average soil moisture values in the 0-100 cm soil depth at boll opening stage in 2020 under W3P1, W4P1, W3P2, W4P2, W3P3 and W4P3 treatments were 45.25%, 43.30%, 17.81%, 28.43%, 18.23% and 27.90% less than those at seedling stage, respectively. However, in 2021, it increased by 13.72%, 14.28%, 10.24%, 7.45% and 4.10% under W3P1, W4P1, W3P2, W3P3, and W4P3 treatments, respectively.
Fig. 3 Soil moisture dynamics for different leaching amount and period treatments in 2020. (a1-a3), 0-20 cm; (b1-b3), 20-40 cm; (c1-c3), 40-60 cm; (d1-d3), 60-80 cm; (e1-e3), 80-100 cm; W0, W1, W2, W3, and W4 represent leaching amount of 0.0, 75.0, 150.0, 225.0, and 300.0 mm, respectively. P1, seedling stage; P2, seedling and squaring stage; P3, seedling, squaring, and boll flowering stage. Arrow means the leaching date. The abbreviations of treatments are the same in the following figures and tables.
Fig. 4 Soil moisture dynamics for different leaching amount and period treatments in 2021. (a1-a3), 0-20 cm; (b1-b3), 20-40 cm; (c1-c3), 40-60 cm; (d1-d3), 60-80 cm; (e1-e3), 80-100 cm. Arrow means the leaching date.

3.2 Soil salinity

Figures 5 and 6 show soil EC changes in the 0-100 cm depth during the cotton reproduction period among different treatments in 2020 and 2021, respectively. Soil EC under W4P1 treatment decreased by 31.21% compared with that of CK, but there was no significant decreased among W0, W1 and W2 treatments. And soil EC was less in the 0-40 cm depth at the early stage under W3 and W4 treatments. There was some increase in soil EC in the 60-100 cm depth. P1 showed high soil EC at boll flowering stage in 2020 but a low soil EC in 2021. Under P2 treatment, soil EC throughout the growth period was less under W4 and W3 treatments than under W1 and W2 treatments in both 2020 and 2021. Under P3 treatment, soil EC existed throughout the cotton reproduction period probably due to low leaching amount, plentiful sunlight, and intense evaporation. Thus, P3 did not create a suitable water-salinity balance for plant development in the early stages of growth. Additionally, our research showed that 225.0 mm leaching amount at seedling and squaring stages significantly increased cotton yield by 8.00% and decreased soil EC by 11.79% compared with CK.
Fig. 5 Soil electrical conductivity (EC) dynamics for different leaching amount and period treatments in 2020. (a1-a3), 0-20 cm; (b1-b3), 20-40 cm; (c1-c3), 40-60 cm; (d1-d3), 60-80 cm; (e1-e3), 80-100 cm. Arrow means the leaching date.
Fig. 6 Soil EC dynamics for different leaching amount and period treatments in 2021. (a1-a3), 0-20 cm; (b1-b3), 20-40 cm; (c1-c3), 40-60 cm; (d1-d3), 60-80 cm; (e1-e3), 80-100 cm. Arrow means the leaching date.

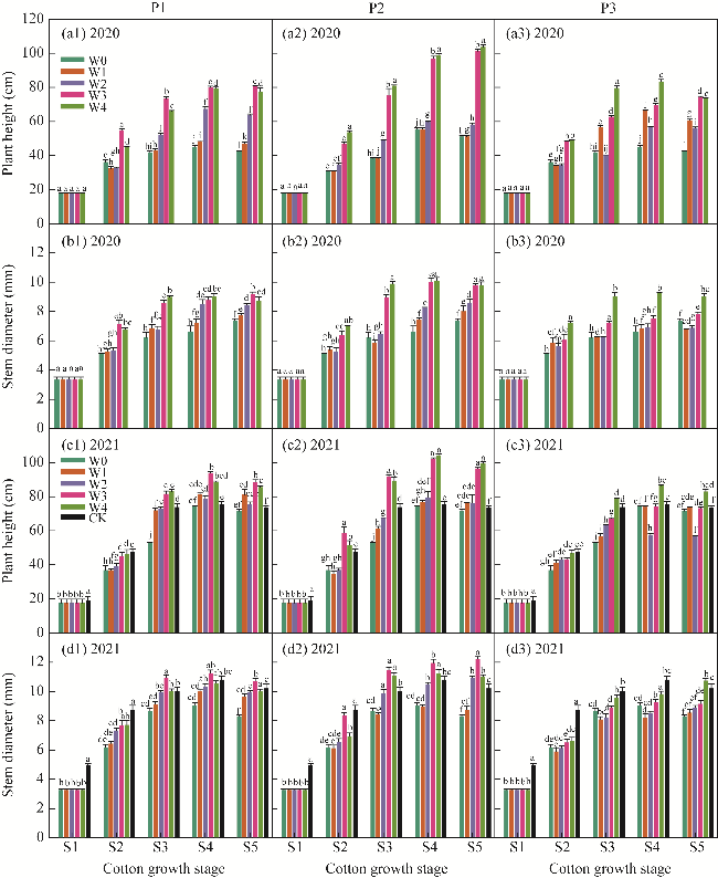
3.3 Plant height, stem diameter, and LAI

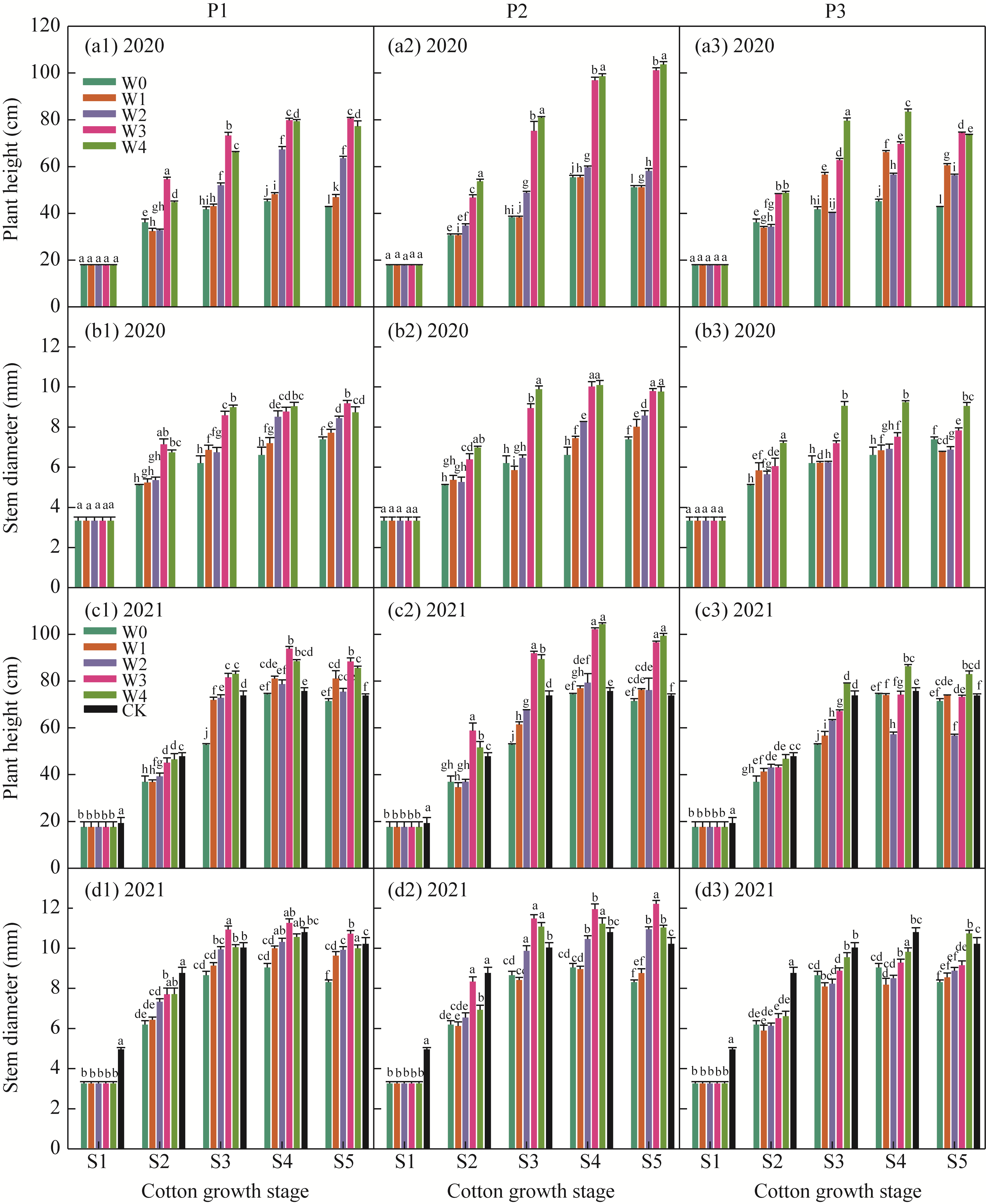
Figures 7 and 8 show the influences of different treatments on cotton plant height, stem diameter, and LAI. At seedling and squaring stages, plant height increased under CK treatment compared with the other treatments. Plant height increased under W3 and W4, P1 and P2 treatments at flowering, boll, and opening-boll stages (Figs. 7c1-c3). At all growth stages except for seeding stage, plant heights under W3 and W4 treatments were significantly higher than those under the other treatments at each growth stage in 2020 and 2021. Plant height under W4P2 treatment during boll opening stage was 34.18% higher than that of W4P1 and 41.19% higher than that of W4P3 in 2020; the corresponding values were 16.10% and 19.84% in 2021, respectively. In addition, plant height under W4P2 treatment during the boll opening stage was 34.46% greater than that of CK in 2021. As shown in Figure 7a and 7c, W4P2 treatment increased plant height.
Fig. 7 Effects of different leaching amount and period treatments on plant height and stem diameter of cotton in 2020 and 2021. (a1-a3), plant height in 2020; (b1-b3), stem diameter in 2020; (c1-c3), plant height in 2021; (d1-d3), stem diameter in 2021. S1, S2, S3, S4, and S5 represent seedling, squaring, flowering, boll, and opening-boll stages of cotton, respectively. Different lowercase letters within the same stage indicate significant difference among different leaching amount treatments at P<0.05 level. Bars are standard errors.
Fig. 8 Effects of different leaching amount and period treatments on leaf area index (LAI) of cotton in 2020 (a1-a3) and 2021 (b1-b3)
Stem diameter increased under W3P2 treatment at flowering, boll, and opening-boll stages. At seedling and squaring stages, stem diameter increased under CK (Figs. 7d1-d3). Variations in stem diameter during each growth stage in 2020 and 2021 were positively correlated with leaching amount. Except for seeding stage, W3 and W4 treatments significantly increased stem diameter. W3P2 and W4P2 treatments produced the greatest stem diameter over the entire growth period. We found that salt leaching irrigation of 225.0 mm in the growing period produced the greatest stem diameter (10.02 mm in 2020 and 12.21 mm in 2021). Meanwhile, CK significantly increased stem diameter in the early stages (Fig. 7d1-d3), which was attributed to the reduction of soil salinity by spring irrigation.
Two-year data showed that LAI of each treatment after salt leaching was greater than that of W0 (Fig. 8). LAI increased in the early flowering stage as leaching amount increased. The maximum LAI was observed mainly in late July and early August. However, a delayed growth period was also observed, particularly under CK treatment (Fig. 8b1-b3). The reason for this may be the cotton plants in the experiment were subjected to salinity stress due to limited effectiveness of small-scale salt leaching or non-salt leaching, so LAI of cotton was small. W3P2 treatment showed greater LAI than W3P1 and W3P3 treatments. This result might be due to the salt leaching at squaring stage, which avoided salt stress to the root system and ensured plant growth.

3.4 Dry matter, seed cotton yield, and its components

Both leaching amount and period had highly significant impacts on dry matter weight in 2020 and 2021 (P<0.01). Their interaction also had significant impacts on dry matter (P<0.01; Table 3). Dry matter was significantly greater under W4P2 treatment than under W4P1 and W4P3 treatments in 2020 and 2021 (Table 3). Furthermore, dry matter under W3P2 and W4P2 treatments were 19.36% and 25.11% higher than those of CK in 2021.
Table 3 Dry matter, bolls per plant, one-boll weight, and seed cotton yield under different leaching amount and period treatments during harvesting period
Leaching
amount
Leaching
period
2020 2021
Dry matter
(kg/hm2)
Bolls per plant One-boll
weight (g)
Seed cotton yield (kg/hm2) Dry matter
(kg/hm2)
Bolls per
plant
One-boll weight (g) Seed cotton yield (kg/hm2)
CK - - - - - 17,709cd 5.70cd 5.02a 4914b
W0 - 9117h 3.10f 3.95e 2765e 10,566f 4.52fg 4.01a 2682f
W1 P1 10,524g 4.27de 4.27bce 3437de 13,982de 5.90c 4.73bcd 3566de
P2 11,338fg 3.73ef 4.07ce 3139e 10,590g 5.55cd 4.95abc 3386e
P3 11,676fg 3.63ef 4.54ab 3046e 12,550f 5.46ef 4.91abc 2780f
W2 P1 11,667fg 3.60ef 4.52ab 3590de 14,898e 4.98efg 4.70cd 3748cd
P2 12,168f 5.29abcd 4.37bce 4754bc 11,486fg 5.45cde 5.00a 3927c
P3 10,538g 3.25ef 4.24bce 3207e 13,966f 4.45g 4.70cd 2961f
W3 P1 14,892de 5.02bcd 4.56ab 5088bc 19,335b 6.95b 4.60de 3937c
P2 19,995b 6.25a 4.84a 6621a 21,138ab 7.63a 4.77abcd 5340a
P3 13,878e 5.14bcd 4.53ab 5227bc 14,214ef 5.08ef 4.35e 3546de
W4 P1 15,513d 4.84cd 4.42abc 4384cd 19,384c 4.95efg 4.69cd 3827cd
P2 23,165a 5.99ab 4.85a 5807ab 22,156a 5.90c 4.71cd 5107ab
P3 16,717c 5.62abc 4.59ab 5185c 18,042cd 5.12de 4.92abc 4033c
ANOVA
Leaching amount ** * * ** ** ** ** **
Leaching period ** * * ** * ** ** **
Leaching amount×
Leaching period
** ns * ns ** * ** **

Note: *, P<0.05 level; **, P<0.01 level; ns, no significant difference; ANOVA, analysis of variance. Different lowercase letters within the same column indicate significant differences among different treatments at P<0.05 level. ''-'' means no leaching period or data.

Boll number and boll weight per plant decreased as leaching amount decreased. The largest number of bolls per plant (6.25 in 2020 and 7.63 in 2021) was observed under W3P2 treatment, with 33.86% increase in 2021 compared with CK. The largest number of bolls per plant was observed under P2 treatment, with 20.52% and 21.98% increase in 2020 and 2021 compared with P3 (Table 3). The optimal boll weight (CK treatment) was 5.02 g. Boll weight under W1P3 treatment significantly increased compared with W1P2 treatment in 2020 and 2021, and boll weight under W2P2 treatment significantly increased compared with W2P1 and W2P3 treatments. Boll weight under W3P2 treatment significantly increased compared with W3P3 treatment in 2021 (Table 3). Nevertheless, boll weight per plant for the same treatment decreased by 4.98% in 2021 compared with CK.
Both leaching amount and period had highly significant impacts on seed cotton yield (P<0.01) in 2020 and 2021. Leaching amount and period had a significant impact on boll number per plant and boll weight per plant (P<0.05; Table 3). Seed cotton yield in this experiment showed that salt leaching amount and period were directly related. The optimum for seed cotton yield under W3P2 treatment was 8.67% greater than that of CK in 2021. This result suggested that leaching period influenced crop growth. Seed cotton yield increased as leaching amount increased. In addition, yields under W1P1 and W1P2 treatments were significantly greater than that of W1P3 treatment in 2021. In both 2020 and 2021, yield under W2P2 treatment significantly increased as compared with W2P3 treatment. Similar findings were found under W3 and W4 treatments (i.e., yield was significantly greater for these two treatments at P2 than at the other stages) (Table 3).

3.5 Water consumption, water productivity, and irrigation water productivity

A significant interaction (P<0.01) between leaching amount and period on water consumption was observed in 2020 and 2021 (Table 4). Water consumption was positively correlated with leaching amount. Water consumption was generally lower in 2021 than in 2020 because of variation in weather parameters (mainly precipitation). Water consumption of leaching amount of 300.0 mm was significantly higher than those of the other treatments. In 2020, under W1 and W2 treatments, water consumption under P3 treatment was significantly greater than those under P1 and P2 treatments. For greater leaching amounts (W3 and W4), water consumption under P1 treatment was significantly greater than those under P2 and P3 treatments in 2020. In 2021, for low leaching amounts (W1 and W2), water consumption under P2 treatment was less than that under P1 and P3 treatments. For greater leaching amounts (W3 and W4 treatments), water consumption under P3 treatment was significantly greater than that under P1 treatment.
Table 4 Cotton water consumption (ETc), water productivity (WP), and irrigation water productivity (WPI) under different treatments
Leaching amount Leaching period 2020 2021
ETc (mm) WP (kg/m3) WPI (kg/m3) ETc (mm) WP (kg/m3) WPI (kg/m3)
CK - - - - 653ab 0.75g 0.77d
W0 - 474f 0.61fg 0.80bcd 313g 0.86ef 0.79c
W1 P1 410g 0.84bc 0.79cd 340g 1.05c 0.86b
P2 436g 0.72de 0.72de 262h 1.29a 0.82bc
P3 531e 0.57fg 0.70de 318g 0.84f 0.65de
W2 P1 529e 0.68ef 0.71de 407f 0.92de 0.76c
P2 551de 0.74cde 0.80cd 336g 1.17b 0.80bc
P3 633c 0.51g 0.63e 472e 0.63h 0.60e
W3 P1 684b 0.74cde 0.87bc 551d 0.72g 0.70d
P2 569d 1.17a 1.14a 568d 0.94d 0.95a
P3 629c 0.83bcd 0.90b 608c 0.60h 0.63e
W4 P1 731a 0.60fg 0.67e 631bc 0.59h 0.58e
P2 678b 0.86b 0.88bc 679a 0.75g 0.80bc
P3 679b 0.76bcde 0.79cd 672a 0.58h 0.63e
ANOVA
Leaching amount ** ** ** ** ns **
Leaching period ** ** ** ** ** **
Leaching amount×Leaching period ** ** ** ** ** **

Note: *, P<0.05 level; **, P<0.01 level; ns, no significant difference. Different lowercase letters within the same column mean significant differences among different treatments at P<0.05 level. ''-'' means no leaching period or data.

Leaching amount and period had highly significant interaction impacts on water productivity (P<0.01; Table 4). Water productivity generally decreased with increasing leaching amount. In 2020, water productivity under W3P2 treatment was 1.17 kg/m3 (the greatest water productivity among all treatments in 2020). In 2021, water productivity under W1P2 treatment was the greatest (1.29 kg/m3) among all treatments. This result was due to the fact that the yield under W1P2 treatment was about 36.59% less than that of W3P2, which used 150.0 mm more leaching water (about three times the average annual precipitation in the area). The optimal water productivity in 2021 increased by 72.00% compared with that of CK. Furthermore, water productivity under W3P2 treatment in 2021 increased by 25.33% compared with that of CK, which showed leaching at seedling and squaring stage could improve water productivity.
There were highly significant interaction effects of leaching amount and period on irrigation water productivity (Table 4; P<0.01). Under P2 treatment, WPI values under W1, W2, and W4 treatments were 36.84%, 29.82%, and 22.80% smaller than that under W3 treatment in 2020, while the corresponding values were 13.64%, 15.79%, and 15.79% in 2021, respectively. The optimal irrigation water productivity under W3P2 treatment increased by 23.38% compared with that of CK. Moreover, under W4 treatment, irrigation water productivity under P2 treatment was 3.90% greater than that for CK, while those under P1 and P3 treatments were 24.68% and 18.18% smaller than that of CK, respectively.

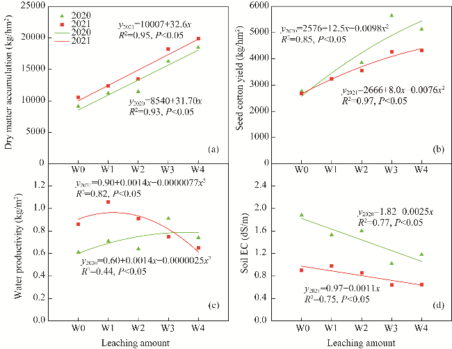
3.6 Relationships among dry matter, seed cotton yield, water productivity, and soil EC

The relationships among dry matter, yield, water productivity, soil EC, and leaching amount are shown in Figure 9. Dry matter accumulation increased as leaching amount increased, and seed cotton yield also tended to increase as leaching amount increased (Fig. 9a and b). However, a greater leaching amount (W4) slightly reduced the available air in the soil. WP had a quadratic relationship with leaching amount, but the maximum water productivity differed between the two years. This result might be the fact that the rainfall in the two years were not similar, i.e., the effective rainfall in 2020 was 2.3 times higher than that in 2021 during the cotton reproductive period. Therefore, the maximum water productivity was shifted backward (Fig. 9c). In Figure 9d, soil EC in the 0-40 cm depth tended to reduce as leaching amount increased (P<0.05). Soil EC in 2021 was significantly less than that in 2020, which revealed that salt leaching in addition to regular irrigation was effective in reducing soil salinity. In general, leaching during the reproductive period could effectively decrease soil salinity and increase cotton production and water productivity.
Fig. 9 Relationships of dry matter accumulation (a), seed cotton yield (b), water productivity (c), and soil EC (d) with leaching amount in 2020 and 2021

4 Discussion

4.1 Effects of leaching amount and period on soil moisture and salinity

Salt leaching regulated soil water-salinity dynamics and increased crop production in saline soils (Minhas et al., 2020). Many factors affect water-salinity dynamics, such as meteorology and hydrology (Hosseini and Bailey, 2022; Li et al., 2022), water management (Akramkhanov et al., 2011), and agronomic measures (Meng et al., 2021). In this study, soil moisture inconsistency was realized for the studied two years (Figs. 3 and 4). The reasons for this phenomenon were as followed: there was the rainfall event before sampling (Fig. 1) and soil moisture was lost mainly through soil evaporation (Tugwell-Wootton et al., 2020), when plants were small. Similar results had been confirmed by Zheng et al. (2021). In addition, we found that the soil became saline due to irrigation intervals would be expected to induce water uptake from shallow soil layers, increase unproductive evaporative losses from soil surface, and increase the salt load of soils (Wang et al., 1993; Minhas et al., 2020). These observations indicate that salt leaching was effective in reducing salinity in the 0-40 cm soil depth (Chen et al., 2010; Kang et al., 2012; Barnard et al., 2021). According to Chen et al. (2020), the main root of cotton is in the 0-40 cm soil depth. And salt stress changes the osmotic pressure of soil, which makes it difficult for the root system to take up nutrients and water (Abdelraheem et al., 2019). In Figure 9d, soil EC in the 0-40 cm depth tended to reduce as leaching amount increased, which was consistent with the result of Yang et al. (2019). However, there was some salinity reversion in the deep soil depth (Ren et al., 2021), probably due to the high clay content of loamy soil and the short time interval (generally 2 d after leaching) between salt leaching treatment and soil sample extraction. The short time interval meant that not all salts from the upper soil layer was available to percolate into the lower layer, so salt accumulated in the upper layer. Salinity in 2021 was less than that in 2020 (Fig. 9d), possibly due to the reduction in salinity after leaching and planting multi-year crops (Tan et al., 2008). In addition, the low level of leaching resulted in little salt or water penetrating the deep soil depth, and the deep soil depth was not leached and salt did not enter the shallow groundwater (Kang et al., 2010). Due to plentiful sunlight and intense evaporation in the southern Xinjiang, leached salts dissolved or entrained in the water became evaporation residue between two irrigation events and remained in the upper soil depth. These results agreed with that of Wang et al. (2011). Additionally, our research showed that 225.0 mm leaching amount at seedling and squaring stages significantly increased cotton yield by 8.00% and decreased soil EC by 11.79%, compared with irrigation in spring. This result might be attributed to the fact that cotton growth before squaring stage was mainly vegetative and biomass increased when soil was low in salinity and high in moisture, leading to the greater yield. Furthermore, a single cotton boll had formed when salt leaching occurred at boll setting stage. There was no obvious effect on cotton yield. This result indicated that the cotton boll setting stage was less sensitive to salinity than seedling and squaring stages, which was consistent with the results obtained by Tian et al. (2019). Thus, in the early stage of cotton, a suitable water-salinity balance for plant development was not created.

4.2 Effects of leaching amount and period on crop growth and dry matter accumulation

A suitable plant height for high-yield cotton varied from 90 to 102 cm, depending on plant density and environmental conditions (Rosolem et al., 2013), with LAI peaking at 100 d after sowing (Grantz et al., 1993). Similar values were obtained in this study by leaching salts during growth period. However, LAI of CK reached the maximum in late August. Cotton plants in the experiment were subjected to salinity stress due to limited effectiveness of small-scale salt leaching or non-salt leaching, so LAI of cotton was small. Xiao et al. (2021) investigated salt leaching in southern Xinjiang during growth period and showed that cotton stem diameter was the greatest after three times of salt leaching irrigation (240.0 mm). In contrast, we found that 225.0 mm salt leaching irrigation during growing period produced the greatest stem diameter (10.02 mm in 2020 and 12.21 mm in 2021). The difference can be attributed to the fact that brackish water was used to irrigate cotton (Xiao et al., 2021). Therefore, soil moisture contained a large quantity of salts at the early growth stage, accumulating and resulting in an increase in salinity. Meanwhile, stem diameter significantly increased in the early stages under CK treatment (Fig. 7d) due to the reduction of soil salinity in spring irrigation (Zong et al., 2022). In addition, we also found that dry matter accumulation increased for different salt leaching treatments (Fig. 9a) due to increased leaching water availability from treatments (Ma et al., 2021). As leaching amount increased, salts in the root zone of cotton was leached to a deeper layer, and cotton was thus less salt-stressed, and a suitable soil water-salinity environment for cotton growth was created (Che et al., 2022).

4.3 Effects of leaching amount and period on seed cotton yield and its components

Greater boll weight and increased boll number per plant are important in achieving high yields in cotton (Pettigrew, 2004; Grundy et al., 2020). Liu et al. (2020) found that both boll number and boll weight per plant decreased as leaching amount decreased in Xinjiang, which was consistent with our results. We observed the largest number of bolls per plant (6.25 in 2020 and 7.63 in 2021) under W3P2 treatment, with an increase by 33.86% in 2021 compared with CK. Nevertheless, boll weight per plant for the same treatment decreased by 4.98% in 2021 compared with CK. This result could be due to the decrease in the transfer of photosynthetic products to the buds and bells (Fig. 8). As a result, bell weight decreased (Luo et al., 2008). Irrigation schemes and other agricultural practices significantly affect cotton yield (Hou et al., 2021; Zulfiqar et al., 2021). Yield in this experiment showed that salt leaching amount and period were directly related (Zhang et al., 2021). Yield peaked under W3P2 treatment because leaching before boll setting ensured that crop water requirements were satisfied and salt leaching was effective. This result suggested that leaching period influenced crop growth. Seed cotton yield increased as leaching amount increased because cotton under water and salinity stresses in salt-alkaline soils required more water for salt leaching than that in non-alkaline soils to maintain growth (Rengasamy, 2006). The maximum salt leaching thus occurred under W3 treatment rather than under W2 treatment. Similar result was also found by Lokhande and Reddy (2015).

4.4 Effects of leaching amount and period on water productivity and irrigation water productivity

Cotton water consumption varied because of the changes in climate parameters (expecially precipitation), which was also confirmed by Grismer (2002) and Howell et al. (2004). An appropriate salt leaching amount increased water productivity and irrigation water productivity (Wang et al., 2015; Hou et al., 2021; Xiao et al., 2021). Our results showed that leaching at seedling and squaring stages could improve water productivity and irrigation water productivity. The maximum water productivity was found under W3P2 treatment. However, the inconsistent leaching treatments corresponding to the maximum water productivity (Fig. 9c) might be caused by the fact that the two years were not hydrologically similar. Furthermore, irrigation water productivity decreased with increasing leaching amount under P3 treatment in 2021.

5 Conclusions

Leaching with mulched drip irrigation during cotton growth periods regulated saline-alkaline soil water-salinity dynamics and increased cotton production in salt-alkaline soils. Soil moisture increased during the early growth stage in the 0-100 cm soil depth after leaching treatment. Soil EC in the 0-40 cm soil depth after leaching treatment decreased in comparison with treatment of leaching amount of 300.0 mm in spring. Appropriate salt leaching increased plant height, stem diameter, LAI, and dry matter accumulation. Yield, WP, and WPI for seedling and squaring stages-based leaching stages were greater compared with the other treatments. The internal mechanism can be attributed to the fact that seedling and squaring stages-based leaching stages have evolved unique strategies and mechanisms to adapt to soil water-salinity environment and to ensure their growth and yield in adverse environment. Therefore, the 225.0 mm leaching amount at seedling and squaring stages was optimum for saving-water, controlling salinity, and high production in arid and semi-arid cotton cultivation areas during winter or spring irrigation in southern Xinjiang, China.

Conflict of interest

The authors declare that they have no known competing financial interests or personal relationships that could have appeared to influence the work reported in this paper.

Acknowledgements

This research was financially supported by the National Key Research and Development Program of China (2021YFD1900805, 2022YFD1900401) and the Science and Technology Project, Xinjiang Production and Construction Corps, China (2021AB009, 2024AB030).

Author contributions

Conceptualization: WANG Lei, LIU Xiaoqiang; Formal analysis: WANG Lei, LIU Xiaoqiang, WANG Shuhong; Investigation: LIU Xiaoqiang; Methodology: WANG Lei, LIU Xiaoqiang, WANG Shuhong; Writing - original draft preparation: WANG Lei, LIU Xiaoqiang; Project administration: HE Shuai; Writing - review and editing: LIU Xiaoqiang, HE Shuai; Supervision: LIU Xiaoqiang, HE Shuai. All authors approved the manuscript.
[1]
Abdelraheem A, Esmaeili N, O'Connell M, et al. 2019. Progress and perspective on drought and salt stress tolerance in cotton. Industrial Crops & Products, 130: 118-129.

[2]
Akramkhanov A, Martius C, Park S J, et al. 2011. Environmental factors of spatial distribution of soil salinity on flat irrigated terrain. Geoderma, 163(1-2): 55-62.

[3]
Allen R G, Pereira L S, Raes D, et al. 1998. Crop evapotranspiration:Guidelines for computing crop water requirements. In: Food and Agriculture Organization of the United Nations (FAO), Irrigation and Drainage Paper 56. Rome, Italy.

[4]
Ayars J E, Hoffman G J, Corwin D L. 2012. Leaching and Rootzone Salinity Control. Agricultural Salinity Assessment and Management, Washington DC: National Academy Press.

[5]
Barnard J H, Matthews N, du Preez C C. 2021. Formulating and assessing best water and salt management practices: Lessons from non-saline and water-logged irrigated fields. Agricultural Water Management, 247: 106706, doi: 10.1016/j.agwat.2020.106706.

[6]
Cai Y H, Wu P T, Zhu D L, et al. 2021. Subsurface irrigation with ceramic emitters: An effective method to improve apple yield and irrigation water use efficiency in the semiarid Loess Plateau. Agriculture, Ecosystems & Environment, 313: 107404, doi: 10.1016/j.agee.2021.107404.

[7]
Che Z, Wang J, Li J S. 2022. Modeling strategies to balance salt leaching and nitrogen loss for drip irrigation with saline water in arid regions. Agricultural Water Management, 274: 107943, doi: 10.1016/j.agwat.2022.107943.

[8]
Chen M, Kang Y H, Wan S Q, et al. 2009. Drip irrigation with saline water for oleic sunflower (Helianthus annuus L.). Agricultural Water Management, 96(12): 1766-1772.

[9]
Chen W L, Jin M G, Ferré T P A, et al. 2018. Spatial distribution of soil moisture, soil salinity, and root density beneath a cotton field under mulched drip irrigation with brackish and fresh water. Field Crops Research, 215: 207-221.

[10]
Chen W L, Jin M G, Ferré T, et al. 2020. Soil conditions affect cotton root distribution and cotton yield under mulched drip irrigation. Field Crops Research, 249: 107743, doi: 10.1016/j.fcr.2020.107743.

[11]
Chen W P, Hou Z A, Wu L S, et al. 2010. Evaluating salinity distribution in soil irrigated with saline water in arid regions of Northwest China. Agricultural Water Management, 97(12): 2001-2008.

[12]
Dudley L M, Ben-Gal A, Lazarovitch N. 2008. Drainage water reuse: Biological, physical, and technological considerations for system management. Journal of Environmental Quality, 37: S25-S35.

[13]
Feng Z Z, Wang X K, Feng Z W. 2005. Soil N and salinity leaching after the autumn irrigation and its impact on groundwater in Hetao Irrigation District, China. Agricultural Water Management, 71(2): 131-143.

[14]
Fernández J E, Alcon F, Diaz-Espejo A, et al. 2020. Water use indicators and economic analysis for on-farm irrigation decision: A case study of a super high density olive tree orchard. Agricultural Water Management, 237: 106074, doi: 10.1016/j.agwat.2020.106074.

[15]
Forkutsa I, Sommer R, Shirokova Y I, et al. 2009. Modeling irrigated cotton with shallow groundwater in the Aral Sea Basin of Uzbekistan: II. Soil salinity dynamics. Irrigation Science, 27(4): 319-330.

[16]
Grantz D A, Zhang X J, Metheney P D, et al. 1993. Indirect measurement of leaf area index in Pima cotton (Gossypium barbadense L.) using a commercial gap inversion method. Agricultural and Forest Meteorology, 67(1-2): 1-12.

[17]
Grismer M E. 2002. Regional cotton lint yield, ETc and water value in Arizona and California. Agricultural Water Management, 54(3): 227-242.

[18]
Grundy P R, Yeates S J, Bell K L. 2020. Cotton production during the tropical monsoon season. II-biomass accumulation, partitioning and RUE in response to boll loss and compensation. Field Crops Research, 255: 107868, doi: 10.1016/j.fcr.2020.107868.

[19]
Gwathmey C O, Bange M P, Brodrick R. 2016. Cotton crop maturity: A compendium of measures and predictors. Field Crops Research, 191: 41-53.

[20]
Hanson B R, Hopmans J W, Šimůnek J. 2008. Leaching with subsurface drip irrigation under saline, shallow groundwater conditions. Vadose Zone Journal, 7(2): 810-818.

[21]
Hoffman G J, Shalhevet J. 2007. Controlling Salinity. Design and Operation of Farm Irrigation Systems. Washington D.C.: National Academy Press.

[22]
Hosseini P, Bailey R T. 2022. Investigating the controlling factors on salinity in soil, groundwater, and river water in a semi-arid agricultural watershed using SWAT-Salt. Science of the Total Environment, 810: 152293, doi: 10.1016/j.scitotenv.2021.152293.

[23]
Hou X H, Fan J L, Hu W H, et al. 2021. Optimal irrigation amount and nitrogen rate improved seed cotton yield while maintaining fiber quality of drip-fertigated cotton in Northwest China. Industrial Crops and Products, 170: 113710, doi: 10.1016/j.indcrop.2021.113710.

[24]
Hou X H, Xiang Y Z, Fan J L, et al. 2022a. Spatial distribution and variability of soil salinity in film-mulched cotton fields under various drip irrigation regimes in southern Xinjiang of China. Soil & Tillage Research, 223: 105470, doi: 10.1016/j.still.2022.105470.

[25]
Hou X H, Fan J L, Zhang F C, et al. 2022b. Determining water use and crop coefficients of drip-irrigated cotton in south Xinjiang of China under various irrigation amounts. Industrial Crops and Products, 176: 114376, doi: 10.1016/j.indcrop.2021.114376.

[26]
Howell T A, Evett S R, Tolk J A, et al. 2004. Evapotranspiration of full, deficit-irrigated, and dryland cotton on the Northern Texas High Plains. Journal of Irrigation and Drainage Engineering, 130(4): 277-285.

[27]
Hu H C, Tian F Q, Hu H. 2011. Soil particle size distribution and its relationship with soil water and salt under mulched drip irrigation in Xinjiang of China. Science China Technological Sciences, 54(6): 1568-1574.

[28]
Hu H C, Tian F Q, Zhang Z, et al. 2015. Soil salt leaching in non-growth period and salinity dynamics under mulched drip irrigation in arid area. Journal of Hydraulic Engineering, 46(9): 1037-1046. (in Chinese)

[29]
Kang Y H, Chen M, Wan S Q. 2010. Effects of drip irrigation with saline water on waxy maize (Zea mays L. var. ceratina Kulesh) in North China Plain. Agriculture Water Management, 97(9): 1303-1309.

[30]
Kang Y H, Wang R S, Wan S Q, et al. 2012. Effects of different water levels on cotton growth and water use through drip irrigation in an arid region with saline ground water of Northwest China. Agricultural Water Management, 109: 117-126.

[31]
Letey J, Hoffman G J, Hopmans J W, et al. 2011. Evaluation of soil salinity leaching requirement guidelines. Agricultural Water Management, 98(4): 502-506.

[32]
Li N, Kang Y H, Li X B, et al. 2019. Response of tall fescue to the reclamation of severely saline coastal soil using treated effluent in Bohai Bay. Agricultural Water Management, 218: 203-210.

[33]
Li X J, Li Y Y, Wang B, et al. 2022. Analysis of spatial-temporal variation of the saline-sodic soil in the west of Jilin Province from 1989 to 2019 and influencing factors. CATENA, 217: 106492, doi: 10.1016/j.catena.2022.106492.

[34]
Li X W, Jin M G, Huang J O, et al. 2015. The soil-water flow system beneath a cotton field in arid North-west China, serviced by mulched drip irrigation using brackish water. Journal of Hydrology, 23(1): 35-46.

[35]
Liang J P, Shi W J. 2021. Cotton/halophytes intercropping decreases salt accumulation and improves soil physicochemical properties and crop productivity in saline-alkali soils under mulched drip irrigation: A three-year field experiment. Field Crops Research, 262: 108027, doi: 10.1016/j.fcr.2020.108027.

[36]
Liu X Q, Yan F L, Wu L F, et al. 2023. Leaching amount and timing modified the ionic composition of saline-alkaline soil and increased seed cotton yield under mulched drip irrigation. Field Crops Research, 299: 108988, doi: 10.1016/j.fcr.2023.108988.

[37]
Liu X Y, Ding B X, Bai Y G, et al. 2020. Effects of drip irrigation under a brackish water film with respect to the soil salinity and cotton yield. Arid Zone Research, 37(2): 410-417. (in Chinese)

[38]
Lokhande S B, Reddy K R. 2015. Cotton reproductive and fiber quality responses to nitrogen nutrition. International Journal of Plant Production, 9(2): 191-210.

[39]
Luo H H, Zhang Y L, Zhang W F, et al. 2008. Effects of rewatering after drought stress on photosynthesis and yield during flowering and boll-setting stage of cotton under-mulch-drip irrigation in Xinjiang. Acta Agronomica Sinica, 34(1): 171-174. (in Chinese)

[40]
Ma L, Zhang X, Lei Q Y, et al. 2021. Effects of drip irrigation nitrogen coupling on dry matter accumulation and yield of summer maize in arid areas of China. Field Crops Research, 274: 108321, doi: 10.1016/j.fcr.2021.108321.

[41]
Maas E V, Hoffman G J. 1977. Crop salt tolerance-current assessment. Journal of Irrigation and Drainage Engineering, 103(2): 115-134.

[42]
Meng T Y, Zhang X B, Ge J L, et al. 2021. Agronomic and physiological traits facilitating better yield performance of japonica/indica hybrids in saline fields. Field Crops Research, 271: 108255, doi: 10.1016/j.fcr.2021.108255.

[43]
Minhas P S. 1996. Saline water management for irrigation in India. Agricultural Water Management, 30(1): 1-24.

[44]
Minhas P S. 2010. A re-look on diagnostic criteria for salt affected soils in India. Journal of the Indian Society of Soil Science, 58(1): 12-24.

[45]
Minhas P S, Ramos T B, Ben-Gal A, et al. 2020. Coping with salinity in irrigated agriculture: Crop evapotranspiration and water management issues. Agricultural Water Management, 227: 105832, doi: 10.1016/j.agwat.2019.105832.

[46]
NBSC (National Bureau of Statistics of China). 2023. Announcement of the National bureau of statistics on cotton production in 2023. [2024-01-25].https://www.stats.gov.cn/sj/zxfb/202312/t20231225_1945745.html. in Chinese)

[47]
Ning S G, Zhou B B, Shi J C, et al. 2021. Soil water/salt balance and water productivity of typical irrigation schedules for cotton under film mulched drip irrigation in northern Xinjiang. Agricultural Water Management, 245: 106651, doi: 10.1016/j.agwat.2020.106651.

[48]
Nouri H, Stokvis B, Galindo A, et al. 2019. Water scarcity alleviation through water footprint reduction in agriculture: The effect of soil mulching and drip irrigation. Science of the Total Environment, 653: 241-252.

[49]
Ochege F U, Luo G P, Yuan X L, et al. 2022. Simulated effects of plastic film-mulched soil on surface energy fluxes based on optimized TSEB model in a drip-irrigated cotton field. Agricultural Water Management, 262: 107394, doi: 10.1016/j.agwat.2021.107394.

[50]
Oweis T Y, Farahani H J, Hachum A Y. 2011. Evapotranspiration and water use of full and deficit irrigated cotton in the Mediterranean environment in northern Syria. Agricultural Water Management, 98(8): 1239-1248.

[51]
Pereira L S, Gonçalves J M, Dong B, et al. 2007. Assessing basin irrigation and scheduling strategies for saving irrigation water and controlling salinity in the upper Yellow River Basin, China. Agricultural Water Management, 93(3): 109-122.

[52]
Pettigrew W T. 2004. Moisture deficit effects on cotton lint yield, yield components, and boll distribution. Agronomy Journal, 96(2): 377-383.

[53]
Rao S, Tanwar S, Regar P. 2016. Effect of deficit irrigation, phosphorous inoculation and cycocel spray on root growth, seed cotton yield and water productivity of drip irrigated cotton in arid environment. Agricultural Water Management, 169: 14-25.

[54]
Ren F T, Yang G, Li W J, et al. 2021. Yield-compatible salinity level for growing cotton (Gossypium hirsutum L.) under mulched drip irrigation using saline water. Agricultural Water Management, 250: 106859, doi: 10.1016/j.agwat.2021.106859.

[55]
Rengasamy P. 2006. World salinization with emphasis on Australia. Journal of Experimental Botany, 57(5): 1017-1023.

[56]
Richards L A. 1954. Diagnosis and Improvement of Saline and Alkali Soils. Washington D.C.: National Academy Press.

[57]
Rodrigues G C, Pereira L S. 2009. Assessing economic impacts of deficit irrigation as related to water productivity and water costs. Biosystems Engineering, 103(4): 536-551.

[58]
Rosolem C A, Oosterhuis D M, Souza de S F. 2013. Cotton response to mepiquat chloride and temperature. Scientia Agricola, 70(2): 82-87.

[59]
Runyan C W, D'Odorico P. 2010. Ecohydrological feedbacks between salt accumulation and vegetation dynamics: Role of vegetation-groundwater interactions. Water Resources Research, 46(11): W11561, doi: 10.1029/2010WR009464.

[60]
Satchithanantham S, Krahn V, Sri Ranjan R, et al. 2014. Shallow groundwater uptake and irrigation water redistribution within the potato root zone. Agricultural Water Management, 132: 101-110.

[61]
Shahrokhnia H, Wu L S. 2021. SALEACH: A new web-based soil salinity leaching model for improved irrigation management. Agricultural Water Management, 252: 106905, doi: 10.1016/j.agwat.2021.106905.

[62]
Tan J L, Kang Y H, Jiao Y P, et al. 2008. Characteristics of soil salinity and salt ions distribution in salt-affected field under mulch-drip irrigation in different planting years. Transactions of the CSAE, 24(6): 59-63. (in Chinese)

[63]
Thompson R. 2023. Editorial note on terms for soil analyses, nutrient content of fertilizers and nitrogen use efficiency. Agricultural Water Management, 289: 108547, doi: 10.1016/j.agwat.2023.108547.

[64]
Tian T, Li X Y, Shi H B, et al. 2019. Effects of leaching at different growth stages on soil water, soil salt and yield in a drip-irrigated maize farmland with brackish water. Journal of Soil and Water Conservation, 33(3): 260-267. (in Chinese)

[65]
Tugwell-Wootton T, Skrzypek G, Dogramaci S, et al. 2020. Soil moisture evaporative losses in response to wet-dry cycles in a semiarid climate. Journal of Hydrology, 590: 125533, doi: 10.1016/j.jhydrol.2020.125533.

[66]
Wang R S, Kang Y H, Wan S Q, et al. 2011. Salt distribution and the growth of cotton under different drip irrigation regimes in a saline area. Agricultural Water Management, 100(1): 58-69.

[67]
Wang X P, Yang J S, Liu G M, et al. 2015. Impact of irrigation volume and water salinity on winter wheat productivity and soil salinity distribution. Agricultural Water Management, 149: 44-54.

[68]
Wang Z Q, Zhu S Q, Yu R P, et al. 1993. Salt Affected Soils in China. Beijing: Science Press. (in Chinese)

[69]
Watson D J. 1947. Comparative physiological studies on the growth of field crops: I. Variation in net assimilation rate and leaf area between species and varieties, and within and between years. Annals of Botany, 11(1): 41-76.

[70]
Xiao C, Li M, Fan J L, et al. 2021. Salt leaching with brackish water during growing season improves cotton growth and productivity, water use efficiency and soil sustainability in southern Xinjiang. Water, 13(18): 2602, doi: 10.3390/w13182602.

[71]
Yan F L, Zang F C, Fan J L, et al. 2021. Optimization of irrigation and nitrogen fertilization increases ash salt accumulation and ions absorption of drip-fertigated sugar beet in saline-alkali soils. Field Crops Research, 271: 108247, doi: 10.1016/j.fcr.2021.108247.

[72]
Yang T, Šimůnek J, Mo M H, et al. 2019. Assessing salinity leaching efficiency in three soils by the HYDRUS-1D and -2D simulations. Soil & Tillage Research, 194: 104342, doi: 10.1016/j.still.2019.104342.

[73]
Zhang Q Q, Xu H L, Fan Z L, et al. 2013. Impact of implementation of large-scale drip irrigation in arid and semi-arid areas: Case study of Manas River valley. Communications in Soil Science and Plant Analysis, 44(13): 2064-2075.

[74]
Zhang Y H, Li X Y, Simůnek J, et al. 2021. Evaluating soil salt dynamics in a field drip-irrigated with brackish water and leached with freshwater during different crop growth stages. Agricultural Water Management, 244: 106601, doi: 10.1016/j.agwat.2020.106601.

[75]
Zhang Y H, Li X H, Šimůnek J, et al. 2022. Optimizing drip irrigation with alternate use of fresh and brackish waters by analyzing salt stress: The experimental and simulation approaches. Soil & Tillage Research, 219: 105355, doi: 10.1016/j.still.2022.105355.

[76]
Zhang Z, Hu H C, Tian F Q, et al. 2014. Soil salt distribution under mulched drip irrigation in an arid area of northwestern China. Journal of Arid Environments, 104: 23-33.

[77]
Zheng J, Fan J L, Zhang F C, et al. 2021. Evapotranspiration partitioning and water productivity of rainfed maize under contrasting mulching conditions in Northwest China. Agricultural Water Management, 243: 106473, doi: 10.1016/j.agwat.2020.106473.

[78]
Zong R, Han Y, Tan M D, et al. 2022. Migration characteristics of soil salinity in saline-sodic cotton field with different reclamation time in non-irrigation season. Agricultural Water Management, 263: 107440, doi: 10.1016/j.agwat.2021.107440.

[79]
Zulfiqar F, Datta A, Tsusaka T W, et al. 2021. Micro-level quantification of determinants of eco-innovation adoption: An assessment of sustainable practices for cotton production in Pakistan. Sustainable Production and Consumption, 28: 436-444.

Outlines

/