Research article

Effects of film-stalk spaced dual mulching system on corn growth and yield

  • CAO Jinjun 1 ,
  • SUN Yaqi 1, 2 ,
  • PENG Shuili 1, 2 ,
  • LI Wanxing 1 ,
  • HE Xiaobing 3 ,
  • LI Xiaoxia 1 ,
  • LI Dan 1 ,
  • JIN Kunpeng 1 ,
  • YANG Yi 1 ,
  • LIU Yongzhong , 1, *
Expand
  • 1Shanxi Agricultural University/Shanxi Academy of Agricultural Sciences, Millet Research Institute, Changzhi 046011, China
  • 2College of Agriculture, Shanxi Agricultural University (Institute of Crop Science), Taigu 030801, China
  • 3Shanxi Agricultural Machinery Development Center, Taiyuan 030002, China
*LIU Yongzhong (E-mail: )

Received date: 2024-07-11

  Revised date: 2024-09-12

  Accepted date: 2024-10-22

  Online published: 2025-08-13

Abstract

Film-stalk spaced dual mulching is a new type of cultivation measure that is increasingly highlighted in semi-arid areas in China. Despite its potential, there is limited understanding of how different mulching materials affect both soil quality and crop yield in these areas. To address this gap, we conducted a two-year (2020-2021) field experiment in central China to explore the yield-enhancing mechanisms and assess the impact of various mulching materials on soil and corn yield. The experiment comprised six treatments, i.e., plastic film-whole stalk spaced mulching in fall (PSF), plastic film-whole stalk spaced mulching in spring (PSS), black and silver plastic film-whole stalk spaced mulching in spring (BPSS), biodegradable film-whole stalk spaced mulching in spring (BSS), liquid film-whole stalk spaced mulching in spring (LSS), and non-mulching cultivation (CK). Results revealed that BPSS demonstrated the most significant yield increase, surpassing CK by a notable 10.0% and other mulching treatments by 2.4%-5.9%. The efficacy of BPSS lied in its provision of favorable hydrothermal conditions for corn cultivation, particularly during hot season. Its cooling effect facilitated the establishment of optimal temperature conditions relative to transparent mulching, leading to higher root growth indices (e.g., length and surface area), as well as higher leaf photosynthetic rate and dry matter accumulation per plant. Additionally, BPSS maintained higher average soil moisture content within 0-100 cm depth compared with biodegradable mulching and liquid mulching. As a result, BPSS increased activities of urease, catalase, and alkaline phosphatase, as well as the diversity and abundance of soil bacteria and fungi in the rhizosphere zone of corn, facilitating nutrient accessibility by the plant. These findings suggest that selecting appropriate mulching materials is crucial for optimizing corn production in drought-prone areas, highlighting the potential of BPSS cultivation.

Cite this article

CAO Jinjun , SUN Yaqi , PENG Shuili , LI Wanxing , HE Xiaobing , LI Xiaoxia , LI Dan , JIN Kunpeng , YANG Yi , LIU Yongzhong . Effects of film-stalk spaced dual mulching system on corn growth and yield[J]. Journal of Arid Land, 2024 , 16(12) : 1714 -1729 . DOI: 10.1007/s40333-024-0035-x

1 Introduction

Climate change is one of the most serious challenges confronting the world today, significantly reshaping climate patterns and ecosystems (Chakraborty et al., 2010; Chen et al., 2021b). Among various impacts of climate change, drought stands out as a critical factor affecting agricultural production, especially on vital crops like corn (Zheng et al., 2020; Li et al., 2023). Decreased soil moisture, insufficient precipitation, and increased temperatures associated with drought present myriad challenges to corn cultivation (Tarkalson et al., 2022). Under such conditions, corn growth becomes constrained, resulting in poor yield, diminished crop quality, or even complete crop failure, thereby posing a serious threat to farmers' livelihood and community food security (Chakraborty et al., 2010; Chen et al., 2021b). Consequently, adopting suitable agronomic measures to ensure stable corn production under drought condition becomes imperative.
Mulching technology, as an important practice in modern agriculture, has been widely used for corn cultivation in drought-prone areas (Sintim and Flury, 2017; Zhang et al., 2024). However, in view of increasing drought challenges caused by climate change, effective mulching measures are essential for corn production (Gu et al., 2018; Dukare et al., 2020). Mulching reduces soil moisture evaporation (Gholamhoseini et al., 2019), inhibits weed reproduction (Dragumilo et al., 2023), and increases soil temperature (Mari et al., 2024), thereby bolstering crop resilience to drought and stabilizing yields in drought-prone areas (Zhang et al., 2022). Nonetheless, mulching alone does not completely solve all issues. For example, mulching also affects soil aeration and microbial activity (Bo et al., 2024), thus influencing soil ecosystem (Castellano-Hinojosa et al., 2024). Moreover, it accelerates salt accumulation and organic carbon mineralization on soil surface (Tan et al., 2017; Liu et al., 2021), impinging soil quality and crop growth (Mendonça et al., 2021). Hence, comprehending the merits and limitations of mulching technology is imperative for its further refinement to foster stable growth in food production and achieve sustainable agricultural and environmental development.
Stalk mulching, as another cultivation practice in dryland agriculture, plays an important role in addressing climate change and enhancing soil quality (Lucas Borja and Zema, 2024). It offers advantages over plastic mulching, such as better soil erosion (Fernández, 2023) and enhanced soil organic matter (SOM) or carbon sequestration (Yin et al., 2018; Liu et al., 2023). Additionally, stalk mulching can also increase nitrogen, phosphorus, and potassium contents in soil and improve soil fertility (Cui et al., 2022; Visconti et al., 2024). However, stalk mulching is less stable due to seasonal and climatic fluctuations, potentially creating a ''cold soil environment'' that reduces emergence rate and yield (Javed et al., 2019). It can also increase weed seeds and promote pests and diseases, requiring extra management (Muñoz et al., 2017; Shan et al., 2021). Hence, a comprehensive evaluation of stalk mulching is imperative to select suitable management strategies for specific conditions, promoting a balance between agricultural production and ecological environment.
Dual mulching, integrating stalk and plastic mulching, is an innovation in dryland agricultural management (Hu et al., 2020; Zheng et al., 2020; Luo et al., 2023). This dual mulching model aims to address the challenges of soil moisture retention, nutrient preservation, and weed suppression faced by dryland agriculture, thereby promoting sustainable agricultural production (Zhang et al., 2021; Zhang et al., 2023). Dual mulching has been shown to increase dry matter accumulation, substantially increase yield and quality (Hu et al., 2020). Additionally, relative to single mulching with stalk or plastic, dual mulching can increase soil urease, protease, and neutral phosphatase activities, contributing to soil organic carbon pool (Cheruiyot et al., 2023). Nonetheless, dual mulching with stalk and plastic demands heightened technics, encompassing the selection, installation, and maintenance of stalk and plastic. The efficacy of dual mulching may be significantly influenced by factors such as seasonality, climate, and soil conditions, necessitating further empirical validation and research (Li et al., 2020). Further research is needed to refine dual mulching approach for different areas and environments.
The Loess Plateau is experiencing temperature above global average, directly impacting local agriculture (Hu et al., 2020). Elevated temperatures lead to premature crop aging, jeopardizing yield and quality (Hu et al., 2023; Lin et al., 2023). Dual mulching techniques may prove to be a crucial approach in alleviating these effects (Hu et al., 2020). In deploying dual mulching strategies, the judicious selection of mulching materials assumes paramount significance. Black plastic film, with lower light transmittance, is more effective than transparent film in regulating soil temperature during crop growth (He et al., 2021; Liao et al., 2023). Newer mulching options, such as liquid and biodegradable film, are gaining popularity in recent years (Chen et al., 2021a; Mari et al., 2024). Liquid film, characterized by its innovative coating technique and ability to form a uniform and dense film, effectively inhibits soil moisture evaporation and increases soil temperature (Chen et al., 2021b), while biodegradable film offers the added benefit of eco-friendly decomposition (Campanale et al., 2024).
Given the growing importance of mulching in climate change mitigation, this study evaluates and compares the effectiveness of various mulching materials—black plastic film, liquid film, and biodegradable film—within a dual mulching framework. It assesses their impacts on soil temperature, moisture conservation, and crop performance on the Loess Plateau, aiming to identify optimal strategies for enhancing crop resilience and yield in extreme climatic conditions. The findings will guide the optimization of mulching practices in similar semi-arid areas, contributing to more sustainable agricultural systems.

2 Materials and methods

2.1 Study area

The field experiment was conducted at the Millet Research Institute of Shanxi Agricultural University in Changzhi City, Shanxi Province, China (36°13′N, 113°08′E) from May 2020 to September 2021. The study area has flat terrain, abundant light, and an average annual temperature of 9.7°C. Mean annual precipitation is about 510.0 mm. The soil is sandy loam with 37.0 g/kg SOM, 1.2 g/kg total nitrogen (TN), 4.1 mg/kg available phosphorus (AP), and 193.2 mg/kg available potassium (AK).

2.2 Experimental design and field management

The experiment included six treatments, each with three replicates: plastic film-whole stalk spaced mulchingin fall (PSF), plastic film-whole stalk spaced mulching in spring (PSS), black and silver plastic film-whole stalk spaced mulching in spring (BPSS), biodegradable film-whole stalk spaced mulchingin spring (BSS), liquid film-whole stalk spaced mulching in spring (LSS), and non-mulching cultivation (CK; Fig. 1).
Fig. 1 Six film-stalk spaced dual mulching treatments using different mulching materials. (a), PSF (plastic film-whole stalk spaced mulching in fall); (b), PSS (plastic film-whole stalk spaced mulching in spring); (c), BPSS (black and silver plastic film-whole stalk spaced mulching in spring); (d), BSS (biodegradable film-whole stalk spaced mulching in spring); (e), LSS (liquid film-whole stalk spaced mulching in spring); (f), CK (non-mulching cultivation). The abbreviations are the same in the following figures.
Corn was planted in wide (70 cm) and narrow (40 cm) rows, with wide rows covered with stalk and narrow rows with plastic film. Four types of film were used in this study: 0.008 mm traditional plastic film, 0.010-0.030 mm liquid film, 0.030 mm biodegradable film, and 0.025 mm black and silver plastic film. Unchopped corn stalks from previous season were spread between wide rows, with seedlings planted on both sides of the mulching. 'Taiyu No. 1' corn was used, planted at a density of 6×104 plants/hm2. Each treatment used 13×103 kg/hm2 of mulching stalks. Plots with an area of 6.5 m×5.5 m was measured in a randomized block design. Fertilization was 156, 60, and 72 kg N/hm2, P2O5/hm2, and K2O/hm2, respectively. Seeds were planted on 30 April, 2020 and 26 April, 2021 and harvested on 25 September, 2020 and 20 September, 2021. No irrigation or pesticide treatments were applied, and weeds were controlled manually.

2.3 Sampling collection and measurement

2.3.1 Soil temperature and soil water

Soil temperatures at 0-20 cm soil depth were monitored at key growth stages of corn (6th leaf, 12th leaf, silking, blister, and maturity) using a Topper environmental monitor (TNHY-6, Zhejiang Top Instrument Co., Ltd., Hangzhou, China). Sensors were placed horizontally at the middle of planting rows within each plot. Soil moisture across 0-100 cm depth was determined using drying method, with soil samples collected at 20 cm intervals. Soil samples after harvest were collected using a ring knife to assess soil capacity, providing insights into soil health and fertility.

2.3.2 Soil chemical and enzyme activities analysis

Rhizosphere soil collected by shaking method was divided into two parts: one air-dried and sieved (60-mesh) for enzyme activities and nutrients analysis, the other stored at -80.0°C for microbial diversity assessment. Urease (URE), alkaline phosphatase (ALP), and catalase activities (CAT) were measured by sodium phenol-sodium hypochlorite colorimetric method, anddisodium benzene phosphate method, and potassium permanganate titration method, respectively. SOM and electrical conductivity (EC) were determined using K2Cr2O7-H2SO4 titration and electrode method, respectively. TN content was determined via the Kjeldahl method, while AP and AK contents were evaluated using the sodium bicarbonate leaching molybdenum antimony spectrophotometry and flame photometry methods, respectively. We determined these soil parameters according to the methods described by Lu (2000) and Lin (2008).

2.3.3 Soil deoxyribonucleic acid (DNA) extraction and high-throughput sequencing

Soil DNA was extracted using the FastDNA SPIN Kit (MP Biomedicals, Irvine, USA) and extracted DNA was evaluated using a Nano-Drop ND-1000 (Nanodrop, Thermo Fisher Scientific, San Jose, USA), with the DNA 260/280 ratios of the samples falling within the range of 1.8-2.0, and the 260/230 ratios ranging from 1.9 to 2.1. High-throughput sequencing was conducted on the Illumina MiSeq platform to analyze bacterial and fungal communities, targeting 16S rRNA genes. The bacterial V3-V4 region was partially amplified using the universal primers 338F (5ʹ-ACTCCTACGGGAGGCAGCAG-3ʹ) and 806R (5ʹ-GGACTACHVGGGTWTCTAAT-3ʹ), and the fungal ITS1 region was amplified using the primers ITS1 (5ʹ-CTTGGTCATTTAGAGGAAGTAA-3ʹ) and ITS2 (5ʹ-GCTGCGTTCTTCATCGATGC-3ʹ). Bioinformatics analysis was carried out on BMKCloud (http://www.biocloud.net/). Raw sequences underwent filtering and analysis using quantitative insights into microbial ecology2 (QIIME2). Microbial alpha-diversity was estimated using the Shannon and Chao1 indices, providing insights into the richness and evenness of bacterial and fungal communities within soil samples.

2.3.4 Plant growth, yield, and physiological indicators

Net photosynthetic rate (Pn) and transpiration rate (Tr) during the blister period were measured on corn spike leaves using the CIRAS-2 (Portable Photosynthesis (PP) Systems, Amesbury, Massachusetts, USA) portable photosynthetic measurement system under clear weather conditions, at 2-h intervals from 09:00 to 11:00 (LST), with three replicates per treatment. Corn growth was monitored at specific stages: 6th leaf, 12th leaf, silking, blister, and maturity. At each stage, three neighboring plants were analyzed for plant height (PH), leaf area, aboveground biomass, 0-20 cm root biomass, root length (RL), and root surface area (RSA). At physiological maturity, yield components (corn cob number (CCN), grain number per corn cob (GNCC), and thousand grain weight (TGW)) were determined on 10 randomly selected plants from the central portion of each plot.

2.4 Statistical analyses

Data analysis was conducted using one-way analysis of variance (ANOVA) in SPSS v. 2022, with least significant difference (LSD) for multiple comparisons. Spearman correlation and partial least squares path model (PLS-PM) were used to explore relationships among soil, plant, microbe properties, and yields. A random forest model in R software identified key factors affecting yield, and all graphs were generated using OriginPro v. 2021.

3 Results

3.1 Corn yield and its components

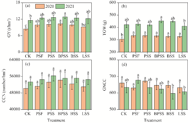
Different film-stalk spaced dual mulching treatments increased GY (grain yield) compared with CK (Fig. 2a). BPSS exhibited optimal harmonization among yield components, including TGW (Fig. 2b), CCN (Fig. 2c), and CNCC (Fig. 2d), resulting in a noteworthy yield increase of about 23.0% in 2020 and 13.8% in 2021 compared with CK. Increased yield for the other cover treatments followed this order: PSS (8.6%-19.8%), BSS (6.9%-17.6%), PSF (6.9%-17.2%), and LSS (5.2%-8.9%), with a greater increase observed in 2020 compared with 2021.
Fig. 2 Variation in yield and its components under different film-stalk spaced dual mulching treatments in 2020 and 2021. (a), GY (grain yield); (b), TGW (thousand grain weight); (c), CCN (corn cob number); (d), GNCC (grain number per corn cob). Different lowercase letters within the same year represent significant differences among different treatments at P<0.050 level. The abbreviations are the same in the following figures.

3.2 Corn growth

Different film-stalk mulching treatments significantly affected PH of corn, which increased by 7.9%-13.8% compared with CK, and the order of PH was as follows: BPSS>BSS> PSS>PSF>LSS>CK (Fig. 3a). The most significant accumulation of DMM (dry matter mass) occurred at silking and blister stages, with BPSS leading to a remarkable 17.4% increase (Fig. 3b). RL (Fig. 3c) and RSA (Fig. 3d) increased from 66.0% to 135.0% and from 66.0% to 95.0%, respectively, with BPSS showing the greatest increases (Fig. 3d).
Fig. 3 Growth dynamics of plants at different growth stages under different film-stalk dual mulching treatments in 2021. (a), PH (plant height); (b), DMM, (dry matter mass); (c), RL (root length); RSA, (root surface area). Different lowercase letters within the same stage represent significant differences at P<0.050 level. The abbreviations are the same in the following figures.

3.3 Factors affecting corn yield

Soil temperatures were consistently higher under film-stalk dual mulching treatments than under CK (Fig. 4), showing a 0.3°C-2.5°C increase in daily mean soil temperature at the 6th and 12th leaf stages and a 0.7°C-1.0°C increase at silking stage.
Fig. 4 Changes in soil temperature at 0-20 cm depth at different growth stages under different film-stalk dual mulching treatments in 2021. Different lowercase letters within the same stage represent significant differences at P<0.050 level. The gray area represents the suitable temperature range for corn root growth.
Film-stalk dual mulching treatments resulted in 6.0% and 13.0% increase in soil water content at 60 cm depth at the 6th and 12th leaf stages, and 6.0% and 13.0% increase at 40 cm depth at the silking and blister stages, respectively (Fig. 5). PSS and BSS were the most effective mulching measures, increasing soil water content by 55.0% and 33.0% at 0-100 cm depth, respectively.
Fig. 5 Dynamics of soil water content at different growth stages under different film-stalk spaced dual mulching treatments in 2021. (a), CK; (b), PSF; (c), PSS; (d), BPSS; (e), BSS; (f), LSS.
Leaf Tr exhibited a parabolic trend, peaking at 12:00. Daily mean leaf Tr was higher under mulching treatments than under CK, with a notable 16.9% increase under BPSS treatment, significantly surpassing the increases under PSF, PSS, BSS, and LSS treatments (1.5%, 3.2%, 6.8%, and 4.9%, respectively) (Fig. 6a1). Diurnal variations in corn leaf Pn under film-stalk space dual mulching treatments displayed a bimodal curve (Fig. 6a2), with peaks around 12:00 and 16:00. Daily average Pn was higher under all mulching treatments compared with CK, showing increases of 10.1% (PSF), 6.8% (PSS), 12.4% (BPSS), 9.0% (BSS), and 3.4% (LSS).
Fig. 6 Alterations in plant and soil factors impacting corn yield under different film-stalk spaced dual mulching treatments. (a1 and a2), Tr (transpiration rate) and Pn (net photosynthetic rate); (b1-b6), BD (bulk density), AK (available potassium), EC (electrical conductivity), SOM (soil organic matter), AP (available phosphorus), and TN (total nitrogen); (c1-c5), ALP (alkaline phosphatase), CAT (catalase), URE (urease), bacterial, and fungal abundances. The abbreviations are the same in the following figure. Different lowercase letters represent significant differences among different treatments at P<0.050 level.
Film-stalk spaced dual mulching treatments led to a significant reduction in BD (bulk density) at 0-20 cm depth compared with CK, with reductions of 4.3% for BPSS and 3.9% for BSS (Fig. 6b1). After corn was harvested, high SOM and low EC values were observed for film-stalk spaced dual mulching treatments compared with CK, with the higher SOM content under LSS and PSS treatments and the higher AK content under PSF treatment, as well as the higher AP and TN contents under BPSS treatment (Fig. 6b2-b6).
Soil enzyme activities, such as ALP, CAT, and URE, were significantly improved under film-stalk spaced dual mulching, with BPSS being the most effective (Fig. 6c1-c3). Diversity of bacteria and fungi was notably higher under PSS treatment compared with CK and the other mulching treatments (Fig. 6c4 and c5). Dominant bacterial phyla were Acidobacteria, Proteobacteria, Gemmatimonadetes, Chloroflexi, Actinobacteria, and Bacteroidetes, while fungal phyla included Ascomycota, Basidiomycota, and Mortierellomycota. BDSS treatment markedly increased Bacteroidetes and Proteobacteria abundance and fungal Ascomycota, while reducing Acidobacteria and Basidiomycota abundance.

3.4 Relationships of yield with plant, soil, and microbial factors

Under film-stalk spaced dual mulching treatments, corn yield positively correlated with several factors, including soil properties (TN, AP, AK, and SWC), plant growth and physiological indicators (Pn, Tr, PH, and DMM), soil microbial indicators (CAT and fungal diversity), and yield components (GNCC and TGW). Conversely, BD, EC, and CCN exhibited significant negative correlations (Fig. 7a). Random forest regression ranked the contributions of these factors as follows: PH, AP, DMM, Pn, fungal diversity, TN, TGW, SWC, and GNCC (Fig. 7b). Validation using PLS-PM modeling confirmed that a combination of soil physical-chemical, biological, botanical, and key enzyme activities collectively explained 75.8% of the variations in maize yield due to mulching (Fig. 7c). Impact of film-stalk spaced dual mulching treatments on soil nutrients and traits were reflected in direct (path coefficient=0.731) and microbial indirect effects (path coefficient=0.545), which regulated plant growth and yield.
Fig. 7 Relationships of yield with plant, soil, and microbial factors. (a), Spearman correlation among corn yield, soil, plant growth, and soil microbial property; (b), random forest analysis of factors affecting corn yield; (c), partial least squares path model (PLS-PM) showing relationships among microbial community composition, soil nutrients, and microbes. In Figure 7c, dashed lines denote positive correlations and solid lines denote negative correlations, with line thickness indicating strength. Numbers above lines are correlation coefficients. FunD, fungal diversity; BacD, bacterial diversity; IncMSE, increase of mean square error; GOF, goodness-of-fit. *, P<0.050 level; **, P<0.010 level; ***, P<0.001 level.

4 Discussion

4.1 Impact of different film-stalk spaced dual mulching treatments on yield

Film-stalk spaced dual mulching technology exerted a profound influence on soil moisture retention, soil temperature increase, and soil fertility enhancement (Li et al., 2023). This method also improved crop yield (Li et al., 2020), as demonstrated by Zhang et al. (2023), who found that the combined application of whole stalk and mulching cover increased yield by 4.1%-9.5% compared with non-mulching cultivation in arid areas of Northwest China. In this study, we found that the synergistic impact of stalk and film spaced dual mulching serves to insulate the soil, reduces water evaporation, and preserves soil moisture (Fig. 4), thus resulting in optimal yields. Moreover, our study indicated that BPSS treatment outperformed PSF or PSS treatments in terms of yield (Fig. 2). The observed disparity in crop yield may be attributed to the tendency of transparent film mulching to increase soil temperature excessively during summer, potentially leading to early corn senescence (Hu et al., 2023). Conversely, the hydrothermal conditions in BPSS may have contributed to creating optimal conditions for crop growth and increased aboveground dry matter accumulation, consequently boosting yields (Fig. 2). However, LSS treatment exhibited the lowest yield, likely due to the formation of surface cracks in the liquid film, which compromised air tightness, thermal insulation, and moisture retention. Although BSS treatment demonstrated a similar impact on corn yield as traditional PSF or PSS treatment, it offered the added benefit of mitigating soil environmental pollution. From the perspectives of ecological safety and agricultural production efficacy, degradable film presents a viable alternative to conventional polyethylene film (Chen et al., 2021a). Nonetheless, concerns regarding the application of degradable films need to be persisted. For instance, Song et al. (2023) have suggested that the immediate effects of microplastics, additives, monomers, and potentially hazardous intermediates released during biodegradable film degradation may be negligible although their long-term implications could intensify over time, potentially impinging upon ecosystem productivity (Madin et al., 2024). Consequently, comprehensive and long-term assessments of ecotoxicology are imperative prior to the widespread adoption of biodegradable mulching.

4.2 Driving factors influencing yield

4.2.1 Soil temperature

Previous research has shown that transparent film mulching can raise the average ground temperature at 0-20 cm soil depth by 3.0°C-6.0°C and increase the effective cumulative temperature by 200.0°C-300.0°C during the reproductive phase of crops (Ikeda and Bao, 1978; Subrahmaniyan and Zhou, 2008; Zhao et al., 2012; Chen et al., 2021a). Consequently, this method promotes early germination and rapid crop growth, ultimately resulting in a higher yield (Khaeim et al., 2022). In this study, film-stalk spaced dual mulching demonstrated a slight increase in the average ground temperature within 0-20 cm soil depth, ranging from 0.9°C to 2.2°C (Fig. 4b). Moreover, this increase was lower compared with the effect observed with single ground film mulching (Zhao et al., 2012), which can be primarily attributed to the cooling effect exerted by stalk mulching on the ground temperature during spring (Subrahmaniyan and Zhou, 2008). In this study, BPSS, BSS and LSS treatments exhibited limited warming effects due to factors such as reduced light transmittance, diminished radiant heat transmission, and compromised airtightness resulting from degradation (Hu et al., 2020; Chen et al., 2021a). Consequently, these mulching practices led to increases in average ground temperatures ranging from 1.2°C to 2.1°C, 1.1°C to 1.6°C, and 1.0°C to 1.4°C, respectively, under BPSS, BSS, and LSS treatments (Fig. 4b). Interestingly, our analysis revealed that the increase in soil temperature did not exhibit a significant correlation with yield (Fig. 5a), with the highest yields observed in BPSS treatment. This result suggested that although traditional transparent film mulching enhanced hydrothermal conditions and favored corn germination, sustained high soil temperatures, particularly on sunny days (even above 40.0°C) may be detrimental to corn root growth and induce premature during subsequent seedling stage, thereby impacting corn development and morphogenesis, as well as yield (Khaeim et al., 2022). Consequently, the relatively low soil temperature conditions produced by BPSS treatment may be more favorable for sustained corn growth in the study area relative to traditional PSF or PSS.

4.2.2 Soil water content

Mulching can elevate the relative water content of tilled soil by 2.0%-5.0% (Gholamhoseini et al., 2019; Hossain et al., 2022). In this study, mulching soil did not exhibit higher soil water content compared with non-mulching soil throughout reproductive period. For instance, surface soil water content within 0-20 cm depth appeared lower in mulching plots than in CK at various growth stages, such as the 6th leaf, 12th leaf, and silking stages. This phenomenon may be attributed to the increased soil temperature induced by mulching measures during this period, leading to enhanced plant uptake of soil moisture. Additionally, the reduced soil moisture content in mulching soil may also be related to barrier effect of film, which reduces the replenishment of soil moisture by rainwater or snowmelt. This effect is likely the main reason for the lower soil moisture content under fall film cover compared with spring film cover. The rise in temperature could have intensified moisture evaporation from non-mulching surface soil, although stalk mulching between rows in our study might have mitigated water loss through this pathway (Zribi et al., 2015). Nonetheless, mulching measures significantly augmented soil water content by 1.8%-4.0% across the entire 0-100 cm soil depth. Comparative analysis of different mulching materials revealed that BPSS treatment exhibited the most pronounced increase in soil water content. Specifically, BPSS treatment enhanced soil water content by approximately 4.0% compared with CK treatment, surpassing increases observed with PSF, BSS, and LSS treatments by approximately 1.5%, 2.1%, and 2.2%, respectively (Fig. 4b). The superior water retention capacity of BPSS treatment compared with traditional PSF treatment may be attributed to the reduced evaporation intensity resulting from lower soil temperatures under black mulching. Conversely, its significantly higher soil water content compared with liquid and biodegradable mulching under BSS and LSS treatments may be attributed more to its intact confinement, facilitating enhanced soil moisture retention (Yu et al., 2018; Zheng et al., 2020; Zhang et al., 2022). Therefore, for dryland corn cultivation, which demands increased water availability during later growth stages, black films with superior water retention capabilities may be more suitable than liquid and biodegradable films.

4.2.3 Soil nutrient and microbes

Numerous studies have demonstrated a significant increase in soil nutrient accumulation due to mulching measures (Zhang et al., 2023; Campanale et al., 2024). However, there have been reports indicating a tendency for continuous mulching to diminish soil moisture and fertility (Lee et al., 2019; Yin et al., 2022). In this study, as anticipated, mulching practices led to a notable enhancement in soil nutrient effectiveness (Fig. 4b). When comparing different mulching materials, LSS and BSS treatments exhibited superior improvement in SOC, AP, and TN (Fig. 4b). The remarkable enhancement of SOM under LSS treatment can be attributed to several factors. Firstly, liquid mulching possesses inherent fertilizing properties, and its degradation product and high-quality humic acid organic fertilizer enriches the soil (Javed et al., 2019). Secondly, it improves soil hydrothermal conditions, thereby enhancing the diversity and abundance of bacteria and fungi in the rhizosphere, as well as the activities of soil urease, phosphatase, and sucrase enzymes (Neuweiler et al., 2003). This result, in turn, accelerates the decomposition rate of stalk and soil mineralization, consequently releasing more nutrients (Liao et al., 2023). It is noteworthy that BPSS treatment may exhibit the highest decomposition rate of stalk due to its superior hydrothermal conditions, thereby intensifying its stimulatory effect on stalk debris decomposition upon return to the field (Li and Zhong, 2021). In summary, the combined application of mulching and stalk return, particularly the utilization of black mulching, may significantly promote stalk decomposition, enhance soil fertility (Zhang et al., 2023; Visconti et al., 2024), mitigate the excessive depletion of soil nutrients caused by continuous mulching application, and contribute to the sustainable development of dryland agriculture.

4.2.4 Corn agronomic and physiological performance

Mulching enhances plant photosynthesis, nutrient uptake, and biomass accumulation by altering soil conditions such as water, heat, and nutrients (Thidar et al., 2020; Zhang et al., 2023). This study corroborated these findings, as mulching treatments significantly improved photosynthesis parameters, plant height, dry matter accumulation, and root parameters compared with CK treatment (Fig. 3). Furthermore, PH, biomass, and photosynthesis exhibited significant and positive correlations with yield, with the highest contribution to yield observed (Fig. 5). Among various mulching practices examined, BPSS treatment demonstrated superior performance, exhibiting the highest biomass, PH, leaf Pn, and Tr, as well as the highest yield and quality. However, it was observed that BPSS treatment exhibited lower biomass than PSF treatment during the early growth stage of corn. This disparity may be attributed to the more favorable soil hydrothermal conditions under transparent film mulching, which promotes corn growth (Zhang et al., 2023). Conversely, during the late growth period, excessive soil temperature induced root senescence under transparent film mulching, leading to a significant reduction in RL and RSA (Fig. 3). In contrast, no apparent signs of root senescence were observed under BPSS treatment. This phenomenon is consistent with the findings by Hu et al. (2020), who reported a similar trend in dry matter accumulation in corn under black mulching treatment compared with traditional transparent mulching treatment. However, yield rapidly increased and ultimately surpassed that of mulching treatment during mid- to late-growth stage. These findings suggested that black mulching was more suitable for corn cultivation in this area, facilitating the growth and yield (Liao et al., 2023). Nevertheless, if superior soil hydrothermal conditions similar to transparent mulching are provided during pre-growth stage, yields might be further improved.

4.3 Limitation and recommendation

There are several potential challenges to consider the impact of film-stalk spaced dual mulching technology on corn yields. One potential issue is the potential hindrance of gas exchange in the soil caused by stalk accumulation, which may in turn affect the growth of plant root system (Minhas et al., 2023). Thus, variables such as the amount of stalk mulching and the width of the mulching layer are crucial factors that may influence the efficacy of this technology in specific environments. It is recommended to implement appropriate control measures, taking into account local soil structure and other characteristics, to ensure proper stalk mulching quantity, uniformity, and mulching width-to-row ratio, thereby mitigating ventilation issues. Secondly, the film-stalk spaced dual mulching technology has the potential to alter soil microbial communities and the population structures of pests and diseases over time, consequently impacting the stability of soil ecosystem (Wang et al., 2020; Mudare et al., 2023). For instance, prolonged use may lead to changes in pest species such as grubs and two-pointed leaf moths (Ruidisch et al., 2013). Thus, monitoring and managing these changes are necessary to mitigate any undesirable environmental feedbacks. Adjusting fertilizer management practices can help promote the balance of soil ecosystem and mitigate potential disruptions caused by shifts in microbial communities (Li et al., 2022; Han et al., 2025). By implementing these recommendations, we can further optimize the combined stalk and mulching technology, enhance its effectiveness in increasing corn yields, and ensure its sustainability and suitability in agricultural practices. Regular monitoring and adaptive management strategies will be key in addressing the potential challenges and maximizing the benefits of this innovative approach.

5 Conclusions

This study effectively optimized corn cultivation technology in semi-arid areas through mulching techniques. The results demonstrated that film-stalk spaced dual mulching significantly enhanced corn growth and yield under drought conditions by altering soil hydrothermal conditions, regulating soil microbial structure and composition, and improving soil nutrient effectiveness. However, the impact of this combined approach on yield varied depending on mulching cover materials, with BPSS treatment yielding the highest increase. The yield increase of BPSS over other mulching materials was mainly due to the cooling effect on soil and the enhancement of soil water content at 0-100 cm depth during hot season. These factors led to increased availability of nutrient in the soil by mediating soil microbial activity, ultimately delaying senescence in corn plants. Nevertheless, the ratio of covered stalk amount to covered mulching area may impact corn growth and yield by affecting soil gas exchange. Therefore, further in-depth studies are warranted to optimize this ratio and achieve additional yield enhancements. By addressing these factors, we can continue to refine corn cultivation techniques in semi-arid or arid areas and maximize crop productivity while ensuring sustainability.

Conflict of interest

The authors declare that they have no known competing financial interests or personal relationships that could have appeared to influence the work reported in this paper.

Acknowledgements

This study was financially supported by the Projects of National Key Research and Development Program of China (2021YFD1901101-5), the Special Major Research and Deelopment Project of Shanxi Province (202101140601026-5), and the Earmarked Fund for Modern Agro-industry Technology Research System (2023CYJSTX01-11).

Author contributions

Conceptualization: CAO Jinjun; Data curation, investigation, methodology, formal analysis, and writing - original draft preparation: SUN Yaqi, PENG Shuili, LI Wanxing; Project administration, conceptualization, funding acquisition, and writing - review and editing: HE Xiaobing, LI Xiaoxia, LI Dan, JIN Kunpeng, YANG Yi, LIU Yongzhong. All authors approved the manuscript.
Open Access This article is licensed under a Creative Commons Attribution 4.0 International License, which permits use, sharing, adaptation, distribution and reproduction in any medium or format, as long as you give appropriate credit to the original author(s) and the source, provide a link to the Creative Commons licence, and indicate if changes were made. The images or other third party material in this article are included in the article's Creative Commons licence, unless indicated otherwise in a credit line to the material. If material is not included in the article's Creative Commons licence and your intended use is not permitted by statutory regulation or exceeds the permitted use, you will need to obtain permission directly from the copyright holder. To view a copy of this licence, visit http://creativecommons.org/licenses/by/4.0/.
[1]
Bo L Y, Shukla M K, Mao X M. 2024. Long-term plastic film mulching altered soil physicochemical properties and microbial community composition in Shiyang River Basin, Northwest China. Applied Soil Ecology, 193: 105108, doi: 10.1016/j.apsoil.2023.105108.

[2]
Campanale C, Galafassi S, Di Pippo F, et al. 2024. A critical review of biodegradable plastic mulch films in agriculture: Definitions, scientific background and potential impacts. TRAC-Trends in Analytical Chemistry, 170: 117391, doi: 10.1016/j.trac.2023.117391.

[3]
Castellano-Hinojosa A, Karlsen-Ayala E, Boyd N S, et al. 2024. Impact of repeated fumigant applications on soil properties, crop yield, and microbial communities in a plastic-mulched tomato production system. Science of the Total Environment, 919: 170659, doi: 10.1016/j.scitotenv.2024.170659.

[4]
Chakraborty D, Garg R N, Tomar R K, et al. 2010. Synthetic and organic mulching and nitrogen effect on winter wheat (Triticum aestivum L.) in a semi-arid environment. Agricultural Water Management, 97(5): 738-748.

[5]
Chen N, Li X Y, Šimůnek J, et al. 2021a. Evaluating the effects of biodegradable and plastic film mulching on soil temperature in a drip-irrigated field. Soil and Tillage Research, 213: 105116, doi: 10.1016/j.still.2021.105116.

[6]
Chen P P, Gu X B, Li Y N, et al. 2021b. Effects of different ridge-furrow mulching systems on yield and water use efficiency of summer maize in the Loess Plateau of China. Journal of Arid Land, 13(9): 947-961.

[7]
Cheruiyot W K, Zhu S G, Indoshi S N, et al. 2023. Shallow-incorporated straw returning further improves rainfed maize productivity, profitability and soil carbon turnover on the basis of plastic film mulching. Agricultural Water Management, 289: 108535, doi: 10.1016/j.agwat.2023.108535.

[8]
Cui S Y, Zhu X K, Cao G Q. 2022. Effects of years of rice straw return on soil nitrogen components from rice-wheat cropped fields. Agronomy, 12(6): 1247, doi: 10.3390/agronomy12061247.

[9]
Dragumilo A, Marković T, Vrbničanin S, et al. 2023. Weed suppression by mulches in Mentha x piperita L. Journal of Applied Research on Medicinal and Aromatic Plants, 35: 100499, doi: 10.1016/j.jarmap.2023.100499.

[10]
Dukare A, Kannaujia P, Kale S, et al. 2020. Plastic film and organic mulching increases rhizosphere microbial population, plant growth, and mineral uptake in low input grown tomato in the northwestern region of India. Journal of Plant Nutrition, 44(6): 814-828.

[11]
Fernández C. 2023. Effects of post-fire application of straw mulch strips on soil erosion, soil moisture and vegetation regeneration in European dry heathlands in NW Spain. Ecological Engineering, 196: 107095, doi: 10.1016/j.ecoleng.2023.107095.

[12]
Gholamhoseini M, Dolatabadian A, Habibzadeh F. 2019. Ridge-furrow planting system and wheat straw mulching effects on dryland sunflower yield, soil temperature, and moisture. Agronomy Journal, 111(6): 3383-3392.

[13]
Gu X B, LI Y N, Du Y D. 2018. Film-mulched continuous ridge-furrow planting improves soil temperature, nutrient content and enzymatic activity in a winter oilseed rape field, Northwest China. Journal of Arid Land, 10(3): 362-374.

[14]
Han X Q, Dang P F, Liao L C, et al. 2025. Combining slow-release fertilizer and plastic film mulching reduced the carbon footprint and enhanced maize yield on the Loess Plateau. Journal of Environmental Sciences, 147: 359-369.

[15]
He G, Wang Z H, Hui X L, et al. 2021. Black film mulching can replace transparent film mulching in crop production. Field Crops Research, 261: 108026, doi: 10.1016/j.fcr.2020.108026.

[16]
Hossain M E, Zhang Z, Dong W Y, et al. 2022. Plastic film mulching improved maize yield, water use efficiency, and N use efficiency under dryland farming system in northeast China. Plants-Basel, 11(13): 1710, doi: 10.3390/plants11131710.

[17]
Hu J, Zhao X Y, Gu L M, et al. 2023. The effects of high temperature, drought, and their combined stresses on the photosynthesis and senescence of summer maize. Agricultural Water Management, 289: 108525, doi: 10.1016/j.agwat.2023.108525.

[18]
Hu Y J, Ma P H, Duan C X, et al. 2020. Black plastic film combined with straw mulching delays senescence and increases summer maize yield in northwest China. Agricultural Water Management, 231: 106031, doi: 10.1016/j.agwat.2020.106031.

[19]
Ikeda M, Bao L Q. 1978. Effects of mulching with black plastic film and rice straw on moisture and temperature in soil in Mekon Delta. Japanese Journal of Tropical Agriculture, 21(2): 77-81.

[20]
Javed A, Iqbal M, Farooq M, et al. 2019. Plastic film and straw mulch effects on maize yield and water use efficiency under different irrigation levels in Punjab, Pakistan. International Journal of Agriculture and Biology, 21(4): 767-774.

[21]
Khaeim H, Kende Z, Jolankai M, et al. 2022. Impact of temperature and water on seed germination and seedling growth of maize (Zea mays L.). Agronomy, 12(2): 397, doi: 10.3390/agronomy12020397.

[22]
Lee J G, Hwang H Y, Park M H, et al. 2019. Depletion of soil organic carbon stocks are larger under plastic film mulching for maize. European Journal of Soil Science, 70(4): 807-818.

[23]
Li C, Luo X Q, Li Y, et al. 2023. Ridge planting with transparent plastic mulching improves maize productivity by regulating the distribution and utilization of soil water, heat, and canopy radiation in arid irrigation area. Agricultural Water Management, 280: 108230, doi: 10.1016/j.agwat.2023.108230.

[24]
Li J F, Zhong F F. 2021. Nitrogen release and re-adsorption dynamics on crop straw residue during straw decomposition in an Alfisol. Journal of Integrative Agriculture, 20(1): 248-259.

[25]
Li Y Z, Song D P, Dang P F, et al. 2020. Combined ditch buried straw return technology in a ridge-furrow plastic film mulch system: Implications for crop yield and soil organic matter dynamics. Soil and Tillage Research, 199: 104596, doi: 10.1016/j.still.2020.104596.

[26]
Li Z X, Zhang Q Y, Li Z, et al. 2022. Effects of straw mulching and nitrogen application rates on crop yields, fertilizer use efficiency, and greenhouse gas emissions of summer maize. Science of the Total Environment, 847: 157681, doi: 10.1016/j.scitotenv.2022.157681.

[27]
Liao Z Q, Zhang C, Yu S L, et al. 2023. Ridge-furrow planting with black film mulching increases rainfed summer maize production by improving resources utilization on the Loess Plateau of China. Agricultural Water Management, 289: 108558, doi: 10.1016/j.agwat.2023.108558.

[28]
Lin T Y, Lu Y, Okamoto Y, et al. 2023. Effect of high night temperature on leaf senescence, physiological activity, and growth in soybean. Crop and Environment, 2(4): 184-191.

[29]
Lin X G. 2008. Principles and Methods of Soil Microbiology Research. Beijing: Higher Education Press. (in Chinese)

[30]
Liu D T, Song C C, Xin Z H, et al. 2023. Agricultural management strategies for balancing yield increase, carbon sequestration, and emission reduction after straw return for three major grain crops in China: A meta-analysis. Journal of Environmental Management, 340: 117965, doi: 10.1016/j.jenvman.2023.117965.

[31]
Liu Z H, Huang F Y, Wang B F, et al. 2021. Impacts of mulching measures on crop production and soil organic carbon storage in a rainfed farmland area under future climate. Field Crops Research, 273: 108303, doi: 10.1016/j.fcr.2021.108303.

[32]
Lu R K. 2000. Methods for Soil Agrochemistry Analysis. Beijing: Agricultural Science and Technology Press. (in Chinese)

[33]
Lucas Borja M E, Zema D A. 2024. Delayed application of straw mulching increases soil erosion in Mediterranean pine forests burned by wildfires. Catena, 236: 107714, doi: 10.1016/j.catena.2023.107714.

[34]
Luo X Q, Li C, Lin N P, et al. 2023. Plastic film-mulched ridges and straw-mulched furrows increase soil carbon sequestration and net ecosystem economic benefit in a wheat-maize rotation. Agriculture, Ecosystems & Environment, 344: 108311, doi: 10.1016/j.agee.2022.108311.

[35]
Madin M, Nelson K, Fatema K, et al. 2024. Synthesis of current evidence on factors influencing the suitability of synthetic biodegradable mulches for agricultural applications: A systematic review. Journal of Agriculture and Food Research, 16: 101095, doi: 10.1016/j.jafr.2024.101095.

[36]
Mari J A, Soothar R K, Thidar M, et al. 2024. Effect of plastic film mulch and irrigation water regimes on soil temperature pattern, plant growth and water productivity of maize. Ecological Frontiers, 44(4): 752-759.

[37]
Mendonça S R, Avila M C R, Vital R G, et al. 2021. The effect of different mulching on tomato development and yield. Scientia Horticulturae, 275: 109657, doi: 10.1016/j.scienta.2020.109657.

[38]
Minhas W A, Mehboob N, Yahya M, et al. 2023. The influence of different crop mulches on weed infestation, soil properties and productivity of wheat under conventional and conservation production systems. Plants, 12(1): 9, doi: 10.3390/plants12010009.

[39]
Mudare S, Li M Q, Kanomanyanga J, et al. 2023. Ecosystem services of organic versus inorganic ground cover in peach orchards: A meta-analysis. Food and Energy Security, 12(3): e463, doi: 10.1002/fes3.463.

[40]
Muñoz K, Buchmann C, Meyer M, et al. 2017. Physicochemical and microbial soil quality indicators as affected by the agricultural management system in strawberry cultivation using straw or black polyethylene mulching. Applied Soil Ecology, 113: 36-44.

[41]
Neuweiler R, Bertschinger L, Stamp P, et al. 2003. The impact of ground cover management on soil nitrogen levels, parameters of vegetative crop development, yield and fruit quality of strawberries. European Journal of Horticultural Science, 68(4): 183-191.

[42]
Ruidisch M, Bartsch S, Kettering J, et al. 2013. The effect of fertilizer best management practices on nitrate leaching in a plastic mulched ridge cultivation system. Agriculture, Ecosystems & Environment, 169: 21-32.

[43]
Shan A Q, Pan J Q, Kang K J, et al. 2021. Effects of straw return with N fertilizer reduction on crop yield, plant diseases and pests and potential heavy metal risk in a Chinese rice paddy: A field study of 2 consecutive wheat-rice cycles. Environmental Pollution, 288: 117741, doi: 10.1016/j.envpol.2021.117741.

[44]
Sintim H Y, Flury M. 2017. Is biodegradable plastic mulch the solution to agriculture's plastic problem? Environmental Science & Technology, 51(3): 1068-1069.

[45]
Song N N, Wang B, Liu J, et al. 2023. Is degradable plastic film alternative? Insights from crop productivity enhancement and soil environment improvement. European Journal of Agronomy, 149: 126882, doi: 10.1016/j.eja.2023.126882.

[46]
Subrahmaniyan K, Zhou W J. 2008. Soil temperature associated with degradable, non-degradable plastic and organic mulches and their effect on biomass production, enzyme activities and seed yield of winter rapeseed (Brassica napus L.). Journal of Sustainable Agriculture, 32(4): 611-627.

[47]
Tan S, Wang Q J, Xu D, et al. 2017. Evaluating effects of four controlling methods in bare strips on soil temperature, water, and salt accumulation under film-mulched drip irrigation. Field Crops Research, 214: 350-358.

[48]
Tarkalson D D, King B A, Bjorneberg D L. 2022. Maize grain yield and crop water productivity functions in the arid Northwest U.S. Agricultural Water Management, 264: 107513, doi: 10.1016/j.agwat.2022.107513.

[49]
Thidar M, Gong D Z, Mei X R, et al. 2020. Mulching improved soil water, root distribution and yield of maize in the Loess Plateau of Northwest China. Agricultural Water Management, 241(1): 106340, doi: 10.1016/j.agwat.2020.106340.

[50]
Visconti F, Peiró E, Pesce S, et al. 2024. Straw mulching increases soil health in the inter-row of citrus orchards from Mediterranean flat lands. European Journal of Agronomy, 155: 127115, doi: 10.1016/j.eja.2024.127115.

[51]
Wang H H, Guo Q C, Li X, et al. 2020. Effects of long-term no-tillage with different straw mulching frequencies on soil microbial community and the abundances of two soil-borne pathogens. Applied Soil Ecology, 148: 103488, doi: 10.1016/j.apsoil.2019.103488.

[52]
Yin J D, Zhang X C, Ma Y F, et al. 2022. Vertical rotary sub-soiling under ridge-furrow with plastic mulching system increased crops yield by efficient use of deep soil moisture and rainfall. Agricultural Water Management, 271: 107767, doi: 10.1016/j.agwat.2022.107767.

[53]
Yin M H, Li Y N, Xu Y B, et al. 2018. Effects of mulches on water use in a winter wheat/summer maize rotation systemin Loess Plateau, China. Journal of Arid Land, 10(2): 277-291.

[54]
Yu Y Y, Turner N C, Gong Y H, et al. 2018. Benefits and limitations to straw- and plastic-film mulch on maize yield and water use efficiency: A meta-analysis across hydrothermal gradients. European Journal of Agronomy, 99: 138-147.

[55]
Zhang J W, Zhao J H, Sun J H, et al. 2024. Herbigation combined with plastic film mulching to control weeds in maize (Zea mays L.) fields in the Hexi Corridor region, Northwest China. Crop Protection, 176: 106485, doi: 10.1016/j.cropro.2023.106485.

[56]
Zhang J X, Du L L, Xing Z S, et al. 2023. Effects of dual mulching with wheat straw and plastic film under three irrigation regimes on soil nutrients and growth of edible sunflower. Agricultural Water Management, 288: 108453, doi: 10.1016/j.agwat.2023.108453.

[57]
Zhang M M, Zhao G X, Li Y Z, et al. 2021. Straw incorporation with ridge-furrow plastic film mulch alters soil fungal community and increases maize yield in a semiarid region of China. Applied Soil Ecology, 167: 104038, doi: 10.1016/j.apsoil.2021.104038.

[58]
Zhang W Q, Dong A H, Liu F L, et al. 2022. Effect of film mulching on crop yield and water use efficiency in drip irrigation systems: A meta-analysis. Soil and Tillage Research, 221: 105392, doi: 10.1016/j.still.2022.105392.

[59]
Zhao H, Xiong Y C, Li F M, et al. 2012. Plastic film mulch for half growing-season maximized WUE and yield of potato via moisture-temperature improvement in a semi-arid agroecosystem. Agricultural Water Management, 104: 68-78.

[60]
Zheng J, Fan J L, Zou Y F, et al. 2020. Ridge-furrow plastic mulching with a suitable planting density enhances rainwater productivity, grain yield and economic benefit of rainfed maize. Journal of Arid Land, 12(2): 181-198.

[61]
Zribi W, Aragüés R, Medina E, et al. 2015. Efficiency of inorganic and organic mulching materials for soil evaporation control. Soil and Tillage Research, 148: 40-45.

Outlines

/