Research article

Effects of temperature and salinity on the seed germination of Limonium strictissimum (Salzm.) Arrigoni in the Mediterranean Basin

  • Ludovica DESSÌ 1 ,
  • Alba CUENA-LOMBRAÑA , 1, * ,
  • Lina PODDA 1 ,
  • Marco PORCEDDU 1 ,
  • Mauro FOIS 1 ,
  • Lillia FAUSTI 2 ,
  • Carole PIAZZA 2 ,
  • Gianluigi BACCHETTA 1
Expand
  • 1Sardinian Germplasm Bank (BG-SAR), Centre for Conservation of Biodiversity (CCB), Department of Life and Environmental Sciences, University of Cagliari, Cagliari 09123, Italy
  • 2National Botanical Conservatory of Corsica, Office of the Environment of Corsica, Corte F-20250, France
*Alba CUENA-LOMBRAÑA (E-mail: )

Received date: 2024-08-09

  Revised date: 2024-10-30

  Accepted date: 2024-11-26

  Online published: 2025-08-12

Abstract

Salt stress might be an important factor that decreases the emergence of seedlings and reduces plants' growth, causing their endangered status. However, the effects of salt stress on the germination of the Mediterranean species are less concern. Limonium strictissimum (Salzm.) Arrigoni, part of the group related to Limonium articulatum (Loisel.) Kuntze, is a Cyrno-Sardinian endemism, which is included in the International Union for Conservation of Nature (IUCN) Red Lists as Endangered (EN). Fresh seeds of L. strictissimum harvested from the only known population in Sardinia and a population in southeastern Corsica were used with the aims to study the effects of temperature and salinity on the seed germination and to evaluate the ability to recover their germination after exposure to salt stress. In both populations, empty fruits with a lower percentage were observed in Sardinia than in Corsica. The seeds showed a high germination capacity, which was not influenced by temperature and did not even differ between the two populations. Compared with non-saline condition, the presence of salt in the substrate, independently of the concentration tested, inhibited seed germination in both populations, with germination percentages never exceeding 40%. The Sardinian population showed a recovery capacity after exposure to high salt stress, always above 50% regardless of the salt concentration and incubation temperature considered. The seeds previously exposed to 125 mM NaCl at 30°C had the lowest recovery percentage (56%), while the highest recovery percentage (84%) was recorded at 25°C with a concentration of 250 mM NaCl. Differently, the Corsican population recorded a higher recovery percentage (54%) in seeds previously exposed to 500 mM NaCl at 20°C, while for the concentration of 125 mM NaCl, the best recovery percentage (11%) was recorded at 30°C. The ability of L. strictissimum to recover germination after salt exposure can be interpreted as an adaptation to the coastal habitats in which it grows. This study provides new insights into the ecophysiology of L. strictissimum seed germination, which could help preserve and implement effective conservation measures for this endangered species with restricted populations.

Cite this article

Ludovica DESSÌ , Alba CUENA-LOMBRAÑA , Lina PODDA , Marco PORCEDDU , Mauro FOIS , Lillia FAUSTI , Carole PIAZZA , Gianluigi BACCHETTA . Effects of temperature and salinity on the seed germination of Limonium strictissimum (Salzm.) Arrigoni in the Mediterranean Basin[J]. Journal of Arid Land, 2025 , 17(2) : 259 -270 . DOI: 10.1007/s40333-025-0004-z

1 Introduction

Limonium Mill. is the largest genus of Plumbaginaceae, although the number of species is difficult to establish (Koutroumpa et al., 2018). Their unusual reproductive strategies (apomixis and hybridisation) linked to the fragmented habitats where they grow (coastal cliffs and salt marshes) make this genus taxonomically complex (Lledó et al., 2011). This genus has a large distribution range (Koutroumpa et al., 2018), which includes 633 taxa (Hassler, 2024). Among these, many are at risk of extinction, which 159 are catalogued in red lists or lists of protected species at national and regional levels (IUCN, 2024). The distribution centre of this genus is the Mediterranean Basin, where 70% of Limonium Mill. species are endemic (Koutroumpa et al., 2018), and species richness decreases as one moves northward (Arrigoni and Diana, 1999). The species of this genus mainly grows on substrates near the sea, primarily because there is limited competition with other plant species in non-saline habitats, and for this reason, they have been considered facultative halophytes (Erben, 1993). However, some Limonium Mill. species can tolerate high saline concentrations, behaving like true halophytes (Al Hassan et al., 2017; González-Orenga et al., 2020).
In Sardinia, the genus Limonium Mill. is very differentiated, and 45 taxa are recognized, 38 of which are endemic to the island (76%) or to Sardinia and Corsica (Fois et al., 2022). In Corsica, 16 taxa are recognized, 14 of which are endemic to Corsica or shared only with Sardinia (Jeanmonod and Gamisans, 2013). All species of Limonium growing in Corsica are perennial and distributed in coastal habitats (Paradis, 2009). However, Limonium Mill. species in Sardinia mainly grow in coastal areas or exceptionally inland, in rocky and steep environments such as mine tailings (Limonium merxmuelleri Erben subsp. merxmuelleri), limestones (Limonium racemosum (Lojac.) Diana and Limonium morisianum Arrigoni) or endorheic lakes (Limonium dubium (Andrews ex Guss.) Litard.) (Arrigoni and Diana, 1999).
Coastal habitats are often characterised by extreme ecological conditions, such as intense sun exposure and water shortages during the drier months, or violent winds and exposure to marine aerosols during autumn and winter seasons (Ribeiro and Fernandes, 2000; Oliveira-Silveira et al., 2012). Seasonal fluctuations in salinity in coastal reefs strongly influence plant growth in these habitats (Weber and D'Antonio, 1999), where substrate salinity and high amounts of marine aerosols represent the main selective forces for plant species, especially during seed germination (Baskin and Baskin, 2014; Podda et al., 2017, 2018). Seed germination is considered one of the most delicate stages during the life cycle of a plant (Baskin and Baskin, 2014). Moreover, light, temperature, and distance from the sea may lead to differences in germination behaviour and cause specific adaptations. Studies have found that environmental difference, genetic variability, or both result in interpopulation variability (Cruz et al., 2003; Santo et al., 2017a). Among these influential factors, temperature is a good indicator of germination and strongly affect the germination speed (Carta et al., 2013; Porceddu et al., 2013; Santo et al., 2019).
The seeds of the species inhabiting coastal environments are subject to high mortality risks and have adapted to tolerate salinity using three different strategies, i.e., the ability to germinate at high salinity levels, the ability to tolerate high salinity without losing the vitality of the seeds, and the ability to complete the life cycle under high salinity (Khan and Gul, 2002). Generally, high levels of salinity reduce germination, and in some cases can inhibit it completely. Thus, it is essential for seeds to survive and to germinate when the salinity level decreases in the habitat (recovery phase), for example, in the Mediterranean Basin, this happens during the autumn rains (Santo et al., 2019). Plant species differ in their ability to remain viable and recover seed germination capacity after exposure to salt stress (Khan, 2002; Song et al., 2005; Podda et al., 2017; Santo et al., 2017a, b, 2019; Cuena-Lombraña et al., 2022). A factor that can influence salt tolerance in seed germination is temperature, and generally high temperature tends to amplify the already negative effect of salt, while low temperatures can attenuate its negative effect (El-Keblawy and Al-Shamsi, 2008; Baskin and Baskin, 2014; Santo et al., 2014, 2019). Seeds of several species treated with high salinity levels can recover their germination capacity after washing with distilled water, although some differences have been highlighted, depending on the temperature regime to which they were exposed (Pujol et al., 2000; Santo et al., 2017b; Podda et al., 2018).
Many studies have been conducted for various Limonium Mill. species regarding the germination requirements (Woodell, 1985; Zia and Khan, 2002; Li, 2008; Redondo-Gómez et al., 2008; Yildiz et al., 2008; Santo et al., 2017a; Fos et al., 2020), focusing in particular on the salt stress tolerance of seeds, and many species show rapid seed germination (>90% after only about 24-48 h) and are highly tolerant to salt stress, as well as the ability to recover germination after salt exposure (Zia and Khan, 2002). In this study, we focused on Limonium strictissimum (Salzm.) Arrigoni, a threatened species belonging to the Limonium articulatum (Loisel.) Kuntze group (Montmollin and Strahm, 2005), which represents a model example of an endemic species of Sardinia and Corsica with a coastal restricted distribution. To our knowledge, there is no information regarding the germination of L. strictissimum, and considering that this plant is categorised as endangered (EN) by the International Union for Conservation of Nature (IUCN, 2024) Red List, in Annex II as priority species of the Habitat Directive 92/43/EEC (European Economic Community), and in ''The Top 50 Mediterranean Island Plants'' (Montmollin and Strahm, 2005), it would be crucial to increase the understanding in germination requirements. To implement appropriate conservation and management measures for endemic and/or threatened plant species, it is important to know the germination behaviour of seeds in different populations and the effect of different environmental factors such as the influence of salt stress and temperatures.
For the reasons above mentioned, this study focused on the ecophysiology of seed germination of L. strictissimum and aimed to investigate: (1) seed germination requirements in terms of temperatures; (2) the effect of NaCl on seed germination and recovery at different temperatures; and (3) inter-population variability in seed germination and salt stress tolerance between Sardinia and Corsica.

2 Materials and methods

2.1 Plant species

L. strictissimum is a chamaephyte, reaching up to 30 cm in height (including the inflorescence). Inflorescences develop during summer, mainly in August, and they resemble leafless, upright branches with tiny bluish and tubular flowers. This species can produce seeds without the flowers ever being pollinated (apomixis) (Montmollin and Strahm, 2005), and it bears fruit from September to October. This species grows near the sea on coarse sand as well as on granitic or limestone boulders (Montmollin and Strahm, 2005). Individuals growing on sandy to grave substrates are usually larger (and more numerous) than those growing on boulders, probably due to a better water supply and soil conditions. It is endemic to Sardinia and Corsica. In Sardinia, it is confined to the granitic rocks of Punta Rossa on the Island of Caprera, while in Corsica, it is found at several sites (Paradis and Piazza, 2003; Montmollin and Strahm, 2005; Médail et al., 2017). The threats for this species are mainly anthropic and link to the tourism of coastal areas, such as the trampling of people, the construction of structures on the coast where the plant grows (Paradis and Piazza, 2003) and the spread of invasive alien species (e.g., Carpobrotus spp.). Landslides cause a minor natural threat and collapses on cliffs where the species grows.

2.2 Collection of seeds

Mature fruits were collected from September to October 2022 from Sardinia and Corsica (Table 1). All seeds were stored under controlled conditions (20°C and 40% relative humidity) for two weeks at the Sardinian Germplasm Bank of the University of Cagliari, Italy before the germination tests (Porceddu et al., 2017). Seeds were cleaned manually (Bacchetta et al., 2006). Annual mean temperatures are similar (17°C) in the two sampling sites, while precipitations are higher in Corsica (549 mm) than in Sardinia (463 mm), with monthly precipitations >45 mm from October to May in Corsica and from October to January in Sardinia.
Table 1 Information of Limonium strictissimum (Salzm.) Arrigoni investigated in this study
Population Locality Island
(Country)
Coordinates Substrate Date of
collecting
(dd/mm/yyyy)
Number of collected seeds
Sardinian
population
Punta Rossa Sardinia
(Italy)
41°10′11″N
09°28′13″E
Granites 14/10/2022 10,795
Corsican
population
Plage di Maora Corsica
(France)
41°24′28″N
09°12′59″E
Gabbros 14/09/2022 990

2.3 Germination test

Before starting the germination test, we calculated the percentage of empty fruits. For each studied population, 400 fruits were analyzed under a binocular microscope to investigate the presence or not of the seeds inside them. Seeds were manually extracted from the fruits using laboratory tweezers.
Germination experiments started in the first week of November in the laboratory. Seeds were sown on a 1% water agar substrate in plastic Petri dishes with a diameter of 90 mm and were incubated in growth chambers (MLR-351, Sanyo, Tokyo, Japan) with white fluorescent lamps (10-70 μmol/(m2•s)) (FL40SS.W/37, Sanyo, Tokyo, Japan) in the light (12 h light/12 h darkness) at constant temperatures (5°C, 10°C, 15°C, 20°C, 25°C, and 30°C) and under an alternating (25°C/10°C) temperature regime. For each condition, three replicates of 20 seeds were tested. Germination, defined as visible radicle emergence (>1 mm), was recorded three times per week. At the end of the germination tests (90 d), when no additional germination had occurred for two consecutive weeks, a cut test was carried out to determine the firmness of the remaining seeds and the number of empty seeds. Firm seeds were considered to be viable (ISTA, 2006).

2.4 Germination test under salt stress and recovery

To evaluate the effect of salt stress on seed germination, we sowed seeds from both populations in different NaCl concentrations (0, 125, 250, and 500 mM), in which 500 mM concentration represents the hypersaline condition that seeds can be exposed, the other concentrations were selected in order to simulate 25% and 50% of seawater (Del Vecchio et al., 2018). Seeds were incubated at constant temperatures (20°C, 25°C, and 30°C), in the light (12 h/12 h), for each condition, and three replicates of 20 seeds were tested. After 30 d, non-germinated seeds were washed with distilled water and then sown in new Petri dishes containing 1% water agar substrate for an additional 30 d (recovery phase) at the same incubation temperature to evaluate the recovery percentage (RP). At the end of recovery phase, a cut test was carried out to determine the firmness of remaining seeds and the number of empty seeds.

2.5 Data analysis

We calculated final germination percentage (FGP) as the mean of three replicates based on the total number of filled seeds, whereas we estimated RP according to the following equation (Pujol et al., 2000):
RP = [(ab)/(cb)]×100%,
where a is the total number of seeds germinated in saline solutions plus those that recovered to germinate in freshwater; b is the total number of seeds germinated in saline solutions; and c is the total number of seeds.
Generalised linear model (GLM) was applied to evaluate the effect of population and incubation temperature on FGP, the effect of different concentrations of NaCl in seed germination, and the recovery capacity after NaCl exposure. Significant differences were then analyzed with a post-hoc pairwise comparison t-test (with Bonferroni adjustment). GLMs with a logit link function and quasi-binomial error structures were used to analyze germination percentage; and F-tests with an empirical scale parameter instead of chi-squared on the subsequent analysis of variance (ANOVA) were used to overcome the residual over-dispersion. All statistical analyses were performed using R v.3.0.3 software (R Development Core Team, 2023).

3 Results

3.1 Inter-population variability

Differences between populations were detected in the production of empty fruits. In particular, the population from Sardinia had a lower percentage of empty fruits (48%), while the population from Corsica had a higher percentage of empty fruits (71%).
Values of FGP in both populations were always above 55% (Fig. 1). In the Sardinian population, the highest germination percentage was found at 25°C (84%), while the lowest germination percentage was found at 25°C/10°C with 66%. In the Corsican population, the highest FGP was found at 20°C (90%), while the lowest FGP was found at 30°C (59%) (Fig. 1). Germination in both populations and at different temperatures showed a similar trend, with no significant differences in germination behaviour (P>0.050). Factors included population, temperature, and their interaction had no significant effect on FGP (P>0.050; Table 2).
Fig. 1 Final germination percentage (FGP) of Limonium strictissimum (Salzm.) Arrigoni seeds from different populations incubated at constant (5°C, 10°C, 15°C, 20°C, 25°C, and 30°C) and alternating (25°C/10°C) temperatures. Bars are standard errors.
Table 2 Generalised linear model (GLM) result of final germination percentage (FGP) in L. strictissimum seeds under different temperatures and populations
Factor df Sum square Mean square F P value
Population (P) 1 0.005 0.005 0.281 0.600
Temperature (T) 6 0.177 0.029 1.464 0.226
P×T 6 0.089 0.014 0.737 0.624

3.2 Seed germination under salt stress

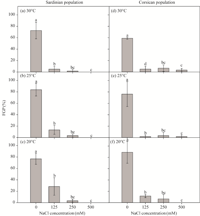
Salt significantly affected FGP in both populations (P<0.001) and temperatures (P<0.050), however, the effect of salt stress did not show statistical differences between populations (P=0.324; Table 3). In the Sardinian population, seed germination decreased with the increasing salinity. The highest FGP in conditions of salt stress (about 30%) was obtained at 125 mM NaCl and a temperature of 20°C (Fig. 2). At the concentration of 250 mM NaCl, values of FGP were always below 10%, independently of the temperature tested, and no seed had the ability to germinate at 500 mM NaCl, independently of the tested temperature (Fig. 2). Differently, Corsican population had the ability to germinate even at the concentration of 500 mM NaCl and 25°C and 30°C temperatures with FGP of about 5%. The Corsican seeds showed a low germination capacity under salt stress conditions, with FGP not exceeding 10% at 125, 250, and 500 mM of NaCl, independently from the incubation temperature considered (Fig. 2).
Table 3 GLM result of FGP in L. strictissimum seeds under different salt stresses, temperatures, and populations
Factor df Sum square Mean square F P value
Salt stress 3 6.917 2.305 318.856 <0.001***
Temperature 2 0.073 0.036 5.031 <0.050*
Population 1 0.007 0.007 0.992 0.324

Note: *, P<0.050 level; ***, P<0.001 level.

Fig. 2 Effect of different concentrations of NaCl (0, 125, 250, and 500 mM) on FGP of L. strictissimum incubated at constant temperatures (20°C, 25°C, and 30°C) for different populations. Different lowercase letters indicate significant differences among different NaCl concentrations at P<0.050 level. (a-c), 30°C, 25°C, and 20°C in the Sardinian population; (d-f), 30°C, 25°C, and 20°C in the Corsican population. Bars are standard errors.

3.3 Recovery phase of seed germination

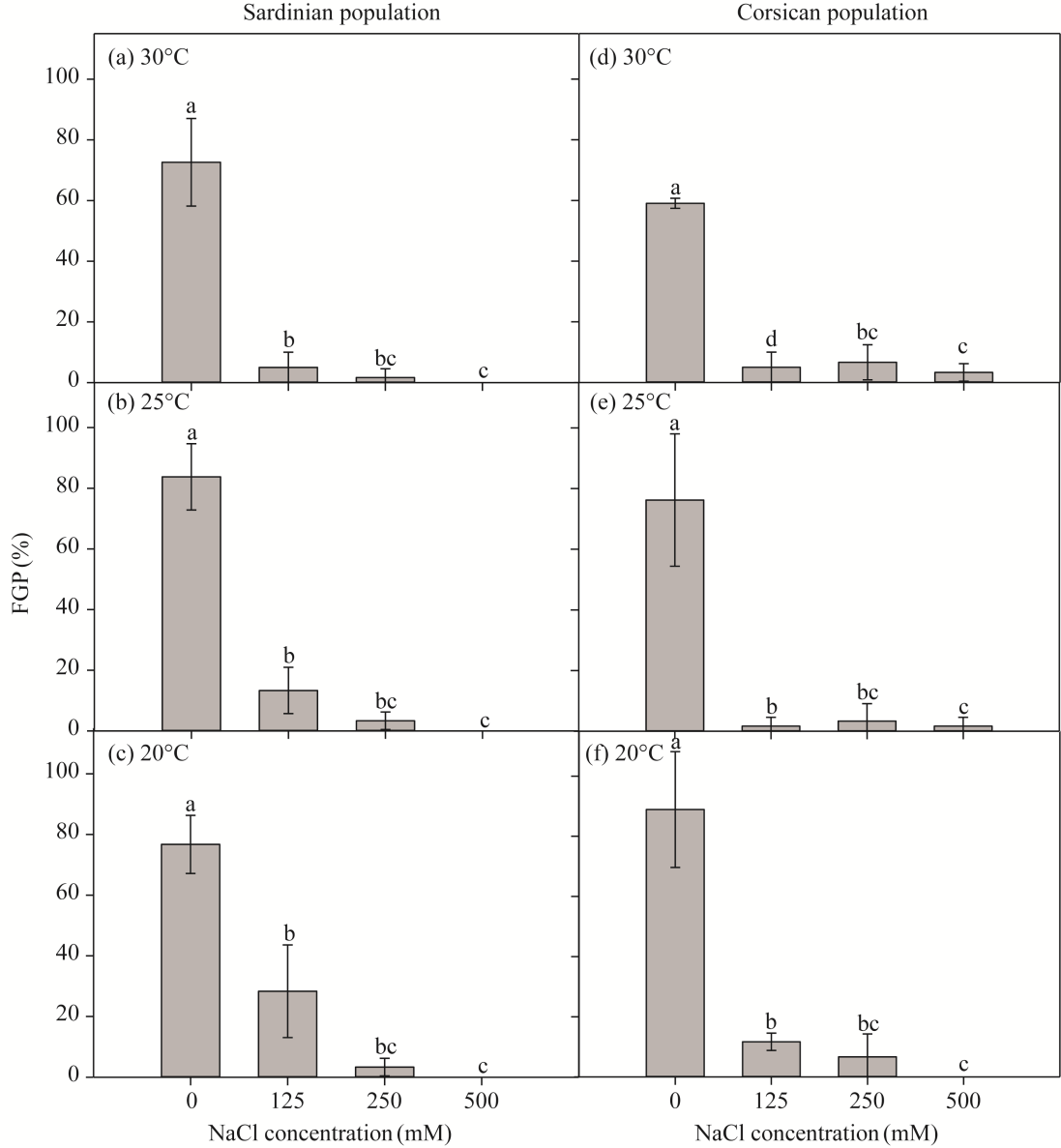
Population and salt stress (P<0.001), and their interaction (P<0.050) had significant effects on RP, while temperature and the interaction of temperature with the other factors did not significantly affect RP (P>0.050; Table 4). In particular, the Sardinian population seeds showed a higher germination recovery capacity after exposure to salt stress (Fig. 3), compared with the seeds of the Corsican population, which showed a limited recovery capacity. In the Sardinian population, the lowest RP was recorded at 125 mM NaCl concentration and 30°C (56%), while RP reached 60% and 70% at 20°C and 25°C, respectively. At 250 mM NaCl concentration, the highest RP was found at 25°C (84%), followed by 30°C (79%) and 20°C (60%). At 500 mM NaCl concentration, the highest RP (75%) was found at 20°C, while 73% was found at 25°C and 30°C (Fig. 3). In the Corsican population, RP at 125 mM NaCl concentration was about 11% at 30°C, while was 0% at 20°C and 25°C; at 250 mM NaCl concentration, the highest RP was found at 20°C (56%), and the lowest RP at 30°C (26%). At 500 mM NaCl concentration and 30°C, the highest RP was 54%, while the lowest RP was found at 25°C (38%; Fig. 3).
Table 4 GLM result of recovery percentage (RP) in L. strictissimum seeds under different salt stresses, temperatures, populations, and their interactions
Factor df Sum square Mean square F P value
Salt stress (S) 2 0.938 0.469 11.682 <0.001***
Temperature (T) 2 0.034 0.017 0.426 0.656
Population (P) 1 1.780 1.780 44.314 <0.001***
S×T 4 0.081 0.020 0.505 0.732
S×P 2 0.352 0.176 4.389 <0.050*
T×P 2 0.039 0.019 0.492 0.615
S×T×P 4 0.172 0.042 1.059 0.390

Note: *, P<0.050 level; ***, P<0.001 level.

Fig. 3 Cumulative germination percentage of L. strictissimum seeds under different temperatures (20°C, 25°C, and 30°C) and salt stresses (0, 125, 250, and 500 mM NaCl) for different populations. (a-c), 30°C, 25°C, and 20°C in the Sardinian population; (d-f), 30°C, 25°C, and 20°C in the Corsican population. The vertical line indicates the beginning of the recovery phase.

4 Discussion

In this study, we observed a high percentage of empty fruits in both populations collected, ranging from 48% in the Sardinian population to 71% in the Corsican population, indicating a relatively low percentage of seed formation for this species. One would therefore expect that, among the two populations under study, the Corsican population, located in the area with the largest distribution of L. strictissimum, would produce a fewer quantity of empty fruits compared with the Sardinian population, which is the only representative and isolated population of the species in Sardinia. Our results are in line with previous report of Martín et al. (1998), who detected that the percentage of fruits with developed seeds was always below 50% in Limonium estevei Fern. Casas, Limonium carthaginense (Rouy) C.E.Hubb. & Sandwith, Limonium hibericum Erben, Limonium dichotomum (Cav.) Kuntze, Limonium dufourii (Girard) Kuntze, and Limonium gibertii (Sennen) Sennen, and that the low percentage of seed development appears to be related to the degree of threat and restricted distribution. Baker (1966) and Richards (1986) reported that low seed production in the genus Limonium Mill. could be caused by self-incompatibility or related to an inbreeding process for small and isolated plant populations in the wild (Keller and Waller, 2002). FGP in L. strictissimum was very high in both populations (60%-80%) under non-saline conditions and over a wide temperature range. Indeed, the seeds of this species showed no temperature preference for germination, and they germinated as soon as there was water availability in the environment. The high germination percentages in both populations studied, regardless of the incubation temperature, suggest the absence of dormancy in this species, as also observed in other Limonium Mill. species such as in Limonium merxmuelleri subsp. merxmuelleri (Boi et al., 2022), Limonium avei (De Not.) Brullo & Erben (Santo et al., 2017a), Limonium lobatum (L.fil.) Chaz. (Kleemann and Gill, 2018), Limonium supinum (Girard) Pignatti (Melendo and Giménez, 2019), and Limonium mansanetianum M.B.Crespo & Lledó (Fos et al., 2020).
The presence of NaCl in the substrate highly inhibited the germination of L. strictissimum seeds in both populations. Generally, the presence of NaCl in the substrate is a main environmental stress that can limit the germination (Baskin and Baskin, 2014). Several studies have observed how seeds of different species decrease their germination under increasing salt concentration and increase germination when salt is absent in the substrate (Baskin and Baskin, 2014; Podda et al., 2017; Santo et al., 2019), the same result was also observed in several species of Limonium Mill., such as L. mansanetianum (Fos et al., 2020). Limonium strictissimum had a low salt tolerance in seed germination, with germination percentages consistently below 40% regardless of population, temperature, and NaCl concentration. A low salt tolerance had also been observed in Limonium emarginatum (Willd.) Kuntze (Redondo-Gómez et al., 2008), Limonium tabernense Erben (Delgado Fernández et al., 2016), Limonium girardianum (Guss.) Fourr., and Limonium santapolense Erben (Al Hassan et al., 2017).
In addition to the presence of salt, temperature was also a factor that significantly influenced germination, as reported for other halophytes (Khan et al., 2001). The sensitivity of seed germination to temperature variation differs from species to species (Porceddu et al., 2013; Santo et al., 2019), and generally, increasing temperature tends to amplify the deleterious effect of salinity (Baskin and Baskin, 2014; Santo et al., 2019). In this study, within the Sardinian population, seeds of L. strictissimum showed lower germination at higher temperatures, regardless of salinity. In general, the Sardinian population was slightly more salt tolerant. This result could be used for further management of the populations with conservative purposes if sea level rises. Rising sea levels increase the salinity of both surface water and groundwater through saltwater intrusion (Ullah et al., 2021). In contrast, within the Corsican population, seeds at 125 mM NaCl, germination percentages were higher at 30°C compared with 25°C, while at concentrations of 250 and 500 mM NaCl, we observed a lower germination at lower tested temperature compared with the higher one. Similar result has also been observed by Khan et al. (2000, 2001) with halophyte species (Halogeton glomeratus (M.Bieb.) Ledeb. and Salicornia rubra A.Nelson), which lower germination in salt was observed at lower temperatures (as in the case of the Sardinian population). Limonium strictissimum showed a great recovery capacity after exposure to salt stress, with a different RP depending on the population and salt stress. However, temperature did not influence the seeds' ability to recover their germination after salt exposure. The Corsican population exhibited a lower recovery capacity, with a higher RP in previously exposed seeds at 500 mM NaCl, while for the concentration of 125 mM NaCl, the highest RP was observed at 30°C. In contrast, the Sardinian population showed a high RP, which was always above 50% regardless of salt concentration and incubation temperature. Such results suggest a timelier germination in response to the first rainfall event in Sardinia, where drought conditions begin earlier than in Corsica. Furthermore, the percentage of dead seeds after exposure to salt was never higher than 20%, regardless of population, temperature, and salt concentration. This low percentage of dead seeds could indicate that salt causes a secondary dormancy in the seeds, which is only partially interrupted by recovery, highlighting a secondary physiological dormancy (Baskin and Baskin, 2014). Similar phenomenon has also been highlighted in other species, such as in Phleum sardoum (Hack.) Hack. (Santo et al., 2014) and Opuntia-ficus indica (L.) Mill. (Podda et al., 2017). The results showed that the seeds of L. strictissimum, according to the classification proposed by Khan and Gul (2002), belong to the category that has the ability to complete the life cycle under high salinity. This ecological advantage allows them to remain viable after exposure to salt stress and high temperature, as occurs during dry summer in Mediterranean climate. Subsequently, the seeds retain the ability to germinate when salinity is reduced by autumn rainfall (Pujol et al., 2000; Baskin and Baskin, 2014). Typically, Mediterranean species do not germinate during summer, avoiding high temperature and water scarcity, and instead, they germinate with the first autumn rainfall event (Céspedes et al., 2012). This behavior is typical in Mediterranean coastal species and is known as the Mediterranean germination syndrome (Thanos et al., 1995). Similar results have been observed in other Limonium Mill. species (Zia and Khan, 2002; Fos et al., 2020) and other halophytes (Khan and Ungar, 1997; Gul et al., 2013). These insights will be essential for planning and implementing effective conservation measures for this species, both ex situ and in situ conservations in at-risk areas.
Research on germination ecology, based on various environmental factors, can facilitate the design of restoration and monitoring interventions for a species vulnerable to climate change, also contributing to the conservation of its habitats. For example, our results found that the Corsican population was likely more sensitive to global warming, and that seeds or seedlings from both islands might be reintroduced into the wild in autumn, when first rain event starts, but where exposure to autumn-winter marine aerosols is not excessive. Furthermore, the results obtained are crucial for planning land management action and evaluating predictive models that correlate germination responses to rising global temperature and alteration in seasonal rainfall patterns (Porceddu et al., 2013; Fernández-Pascual et al., 2015; Cuena-Lombraña et al., 2020). For example, changes in rainfall patterns after natural seed dispersal could affect the recovery phase, thereby influencing subsequent germination. Therefore, this study could form the basis for future research on the production of plants for the reinforcement of natural populations.

5 Conclusions

In this study, significant inter-population variability of seed germination in L. strictissimum under different salt stresses and temperatures was detected. However, no significant difference between the two populations was observed. Despite low seed production, L. strictissimum had a high germination capacity in non-saline conditions, regardless of temperature. Moreover, the ability to germinate in the presence of salt was limited. The Sardinian population showed a greater capacity for germination recovery after salt stress than the Corsican population. This study provides new insights into the seed ecology of L. strictissimum, which could help in preserving and implementing effective ex situ and in situ conservation measures for this endangered species with a restricted distribution area.

Conflict of interest

The authors declare that they have no known competing financial interests or personal relationships that could have appeared to influence the work reported in this paper.

Acknowledgements

This study was partially funded by the Life Seedforce (Life20 NAT/IT/001468), which aims to use seed banks to restore and reinforce the endangered native plants of Italy.

Author contributions

Conceptualization: Ludovica DESSÌ, Alba CUENA-LOMBRAÑA, Marco PORCEDDU, Lina PODDA, Gianluigi BACCHETTA; Data curation: Ludovica DESSÌ, Alba CUENA-LOMBRAÑA; Methodology: Ludovica DESSÌ, Alba CUENA-LOMBRAÑA, Marco PORCEDDU, Lina PODDA, Lillia FAUSTI, Carol PIAZZA, Gianluigi BACCHETTA; Formal analysis: Ludovica DESSÌ; Alba CUENA-LOMBRAÑA; Investigation: Ludovica DESSÌ, Alba CUENA-LOMBRAÑA, Marco PORCEDDU, Lina PODDA, Mauro FOIS, Lillia FAUSTI, Carol PIAZZA, Gianluigi BACCHETTA; Writing - original draft preparation: Ludovica DESSÌ; Alba CUENA-LOMBRAÑA; Writing - review and editing: Ludovica DESSÌ; Alba CUENA-LOMBRAÑA, Marco PORCEDDU, Lina PODDA, Mauro FOIS, Lillia FAUSTI, Carol PIAZZA; Funding acquisition: Gianluigi BACCHETTA; Project administration: Gianluigi BACCHETTA; Resources: Marco PORCEDDU, Gianluigi BACCHETTA; Supervision: Gianluigi BACCHETTA; Software: Ludovica DESSÌ; Validation: Ludovica DESSÌ, Alba CUENA-LOMBRAÑA, Marco PORCEDDU, Lina PODDA, Mauro FOIS, Lillia FAUSTI, Carol PIAZZA, Gianluigi BACCHETTA; Visualization: Ludovica DESSÌ, Alba CUENA-LOMBRAÑA. All authors approved the manuscript.
[1]
Al Hassan M, Estrelles E, Soriano P, et al. 2017. Unravelling salt tolerance mechanisms in halophytes: A comparative study on four Mediterranean Limonium species with different geographic distribution patterns. Frontiers in Plant Science, 8: 1438, doi: 10.3389/fpls.2017.01438.

[2]
Arrigoni P V, Diana S. 1999. Karyology, chorology and bioecology of the genus Limonium (Plumbaginaceae) in Sardinia. Plant Biosystems, 133: 63-71.

[3]
Bacchetta G, Fenu G, Mattana F, et al. 2006. Manual for the Collection, Study, Conservation and Ex Situ Management of Germplasm. Rome: Italian Institute for Environmental Protection and Research. (in Italian)

[4]
Baker H G. 1966. The evolution, functioning and breakdown of heteromorphic incompatibility systems. I. The Plumbaginaceae. Evolution, 20(3): 349-368.

[5]
Baskin C C, Baskin J M. 2014. Seeds:Ecology, Biogeography, and Evolution of Dormancy and Germination (2nd ed.). San Diego: Academic Press.

[6]
Boi M E, Podda L, Porceddu M, et al. 2022. Seed germination report for Limonium merxmuelleri subsp. merxmuelleri (Plumbaginaceae). Flora Mediterranea, 32: 197-200.

[7]
Carta A, Bedini G, Müller J V, et al. 2013. Comparative seed dormancy and germination of eight annual species of ephemeral wetland vegetation in a Mediterranean climate. Plant Ecology, 214: 339-349.

[8]
Céspedes B, Torres I, Urbieta I R, et al. 2012. Effects of changes in the timing and duration of the wet season on the germination of the soil seed bank of a seeder-dominated Mediterranean shrubland. Plant Ecology, 213: 919-931.

[9]
Cruz A, Perez B, Velasco A, et al. 2003. Variability in seed germination at the interpopulation and intraindividual levels of shrub Erica australis in response to fire-related cues. Plant Ecology, 169: 93-103.

[10]
Cuena-Lombraña A, Porceddu M, Dettori C A, et al. 2020. Predicting the consequences of global warming on Gentiana lutea germination at the edge of its distributional and ecological range. PeerJ, 8: e8894, doi: 10.7717/peerj.8894.

[11]
Cuena-Lombraña A, Lallai A, Belhadj F, et al. 2022. Carignan grape cultivar salt tolerance during the germination phase across the Mediterranean basin. Seeds, 1(2): 136-145.

[12]
Del Vecchio S, Porceddu M, Fantinato E, et al. 2018. Germination responses of Mediterranean populations of Cakile maritima to light, salinity and temperature. Folia Geobotanica, 53: 417-428.

[13]
Delgado Fernández I C, Giménez Luque E, Gómez Mercado F, et al. 2016. Influence of temperature and salinity on the germination of Limonium tabernense Erben from Tabernas Desert (Almería, SE Spain). Flora-Morphology, Distribution, Functional Ecology of Plants, 218: 68-74.

[14]
El-Keblawy A, Al-Shamsi N. 2008. Salinity, temperature and light affect on seed germination of Haloxylon salicornicum, a common perennial shrub of the Arabian deserts. Seed Science and Technology, 36: 679-688.

[15]
Erben M. 1993. Limonium Miller. In: Castroviejo S, Aedo C, Cirujano S, et al. Flora Ibérica. Madrid: CSIC, 2-143. (in Spanish)

[16]
Fernández-Pascual E, Seal C E, Pritchard H W. 2015. Simulating the germination response to diurnally alternating temperatures under climate change scenarios: comparative studies on Carex diandra seeds. Annals of Botany, 115(2): 201-209.

[17]
Fois M, Farris E, Calvia G, et al. 2022. The endemic vascular flora of Sardinia: A dynamic checklist with an overview of biogeography and conservation status. Plants, 11(5): 601, doi: 10.3390/plants11050601.

[18]
Fos M, Lorena A, Ferrer-Gallego P, et al. 2020. Effect of salinity, temperature and hypersaline conditions on the seed germination in Limonium mansanetianum an endemic and threatened Mediterranean species. Plant Biosystems, 155(1): 165-171.

[19]
González-Orenga S, Llinares J V, Al Hassan M, et al. 2020. Physiological and morphological characterisation of Limonium species in their natural habitats: Insights into their abiotic stress responses. Plant and Soil, 449: 267-284.

[20]
Gul B, Ansari R, Flowers T J, et al. 2013. Germination strategies of halophyte seed under salinity. Environmental and Experimental Botany, 92: 4-18.

[21]
Hassler M. 2024. Synonymic Checklists of the Vascular Plants of the World. In: Bánki O, Roskov Y, Döring M, et al. Catalogue of Life. [2024-06-12]. https://doi.org/10.48580/dgbqz-3dd.

[22]
ISTA (International Seed Testing Association). 2006. International Rules for Seed Testing. [2024-04-17].

[23]
IUCN (International Union for Conservation of Nature). 2024. The National Red List Database. [2024-02-08].

[24]
Jeanmonod D, Gamisans J. 2013. Flora Corsica (2nd ed.). Paris: Bulletin of the Botanical Society of France Center. (in French)

[25]
Keller L F, Waller D M. 2002. Inbreeding effects in wild populations. Trends in Ecology and Evolution, 17(5): 230-241.

[26]
Khan M A, Ungar I A. 1997. Effects of thermoperiod on recovery of seed germination of halophytes from saline conditions. American Journal of Botany, 84(2): 279-283.

[27]
Khan M A, Gul B, Weber D J. 2000. Germination responses of Salicornia rubra to temperature and salinity. Journal of Arid Environments, 45: 207-214.

[28]
Khan M A, Gul B, Weber D J. 2001. Seed germination characteristics of Halogeton glomeratus. Canadian Journal of Botany, 79: 1189-1194.

[29]
Khan M A. 2002. Halophyte seed germination:Success and pitfalls. In: Proceedings of the international symposium on optimum resource utilization in salt affected ecosystems in arid and semi arid regions. Reno: Desert Research Institute, 346-358.

[30]
Khan M A, Gul B. 2002. Salt tolerance plants of coastal sabkhas of Pakistan. In: Barth H J, Böer B. Sabkha Ecosystems. New York: Springer Science+Business Media, 123-139.

[31]
Kleemann S G L, Gill G. 2018. Seed germination and seedling recruitment behavior of winged sea lavander (Limonium lobatum) in Southern Australia. Weed Science, 66(4): 485-493.

[32]
Koutroumpa K, Theodoridis S, Warren B H, et al. 2018. An expanded molecular phylogeny of Plumbaginaceae, with emphasis on Limonium (sea lavenders): Taxonomic implications and biogeographic considerations. Ecology and Evolution, 8: 12397-12424.

[33]
Li Y. 2008. Effect of salt stress on seed germination and seedling growth of three salinity plants. Pakistan Journal of Biological Sciences, 11(9): 1268-1272.

[34]
Lledó M D, Karis P O, Crespo M B, et al. 2011. Endemism and evolution in Macaronesian and Mediterranean Limonium taxa. In: Bramwell D, Caujapé-Castells J. The Biology of Island Floras. Cambridge: Cambridge University Press, 325-337.

[35]
Martín C, Martı́nez-Laborde J B, Pérez C. 1998. The use of X-ray radiography in the assessment of conserved seeds of six halophytic species of Limonium. Journal of Arid Environments, 38(2): 245-253.

[36]
Médail F, Petit Y, Delage A, et al. 2017. The vascular flora of the island of Cavallo (Lavezzi archipelago, Corsica): Diversity, biogeographical interest and conservation. Mediterranean Ecology, 43: 103-158. (in French)

[37]
Melendo M, Giménz E. 2019. Seed germination responses to salinity and temperature in Limonium supinum (Plumbaginaceae), an endemic halophyte from Iberian Peninsula. Plant Biosystems, 153: 257-263.

[38]
Montmollin B de, Strahm W. 2005. The Top 50 Mediterranean Island Plants: Wild Plants at the Brink of Extinction, and What Is Needed to Save Them. Gland+Cambridge: IUCN/SSC Mediterranean Islands Plant Specialist Group.

[39]
Oliveira-Silveira F A, Negreiros D, Màrcia-Araùjo L, et al. 2012. Does seed germination contribute to ecological breadth and geographic range? A test with sympatric Diplusodon (Lythraceae) species from rupestrian fields. Plant Species Biology, 27: 170-173.

[40]
Paradis G, Piazza C. 2003. Limonium strictissimum (Salzm.) Arrigoni, rare and protected Corso-Sardinian endemic: Description of its Corsican stations and number of individuals. The Botanical Journal, 23: 31-41. (in French)

[41]
Paradis G. 2009. Remarks on the differentiation of the genus Limonium (Plumbaginaceae) in Corsica. Bulletin of the Central West Botanical Society, 24: 167-186. (in French)

[42]
Podda L, Santo A, Leone C, et al. 2017. Seed germination, salt stress tolerance and seedling growth of Opuntia ficus-indica (Cactaceae), invasive species in the Mediterranean Basin. Flora, 229: 50-57.

[43]
Podda L, Santo A, Mattana E, et al. 2018. Inter‐and intra‐variability of seed germination traits of Carpobrotus edulis N. E. Br. and its hybrid C. affine acinaciformis. Plant Biology, 20(6): 1059-1067.

[44]
Porceddu M, Mattana E, Pritchard H W, et al. 2013. Thermal niche for in situ seed germination by Mediterranean mountain streams: Model prediction and validation for Rhamnus persicifolia seeds. Annals of Botany, 112(9): 1887-1897.

[45]
Porceddu M, Santo A, Orrù M, et al. 2017. Seed conservation actions for the preservation of plant diversity: The case of the Sardinian Germplasm Bank (BG-SAR). Plant Sociology, 54(2): 111-117.

[46]
Pujol J A, Calvo J F, Ramirez-Diaz L. 2000. Recovery of germination from different osmotic conditions by four halophytes from southeastern Spain. Annals of Botany, 85(2): 279-286.

[47]
R Development Core Team. 2023. R: A Language and Environment for Statistical Computing. R Foundation for Statistical Computing, Vienna, Austria. [2024-02-04]. https://www.rproject.org/

[48]
Redondo-Gómez S, Mateos Naranjo E, Garzón O, et al. 2008. Effects of salinity on germination and seedling establishment of endangered Limonium emarginatum (Willd.) O. Kuntze. Journal of Coastal Research, 24(1): 201-205.

[49]
Ribeiro K T, Fernandes G W. 2000. Patterns of abundance of a narrow endemic species in a tropical and infertile montane habitat. Plant Ecology, 147: 205-218.

[50]
Richards A J. 1986. Plant Breeding Systems. Garland Science (2nd ed.). Cambridge: The University Press, 529.

[51]
Santo A, Mattana E, Frigau L, et al. 2014. Light, temperature, dry after‐ripening and salt stress effects on seed germination of Phleum sardoum (Hackel) Hackel. Plant Species Biology, 29(3): 300-305.

[52]
Santo A, Mattana E, Grillo O, et al. 2017a. Variability on morphological and ecological seed traits of Limonium avei (De Not.) Brullo & Erben (Plumbaginaceae). Plant Species Biology, 32(4): 368-379.

[53]
Santo A, Mattana E, Frigau L, et al. 2017b. Effects of NaCl stress on seed germination and seedling development of Brassica insularis Moris (Brassicaceae). Plant Biology, 19(3): 368-376.

[54]
Santo A, Dessì L, Ucchesu M, et al. 2019. Seed germination ecology and salt stress response in eight Mediterranean populations of Sarcopoterium spinosum (L.) Spach. Plant Species Biology, 34(3): 110-121.

[55]
Song J, Feng G, Tian C Y, et al. 2005. Strategies for adaptation of Suaeda physophora, Haloxylon ammodendron and Haloxylon persicum to a saline environment during seed-germination stage. Annals of Botany, 96(3): 399-405.

[56]
Thanos C A, Kadis C C, Skarou F. 1995. Ecophysiology of germination in the aromatic plants thyme, savory and oregano (Labiatae). Seed Science Research, 5(3): 161-170.

[57]
Ullah A, Bano A, Khan N. 2021. Climate change and salinity effects on crops and chemical communication between plants and plant growth-promoting microorganisms under stress. Frontiers in Sustainable Food Systems, 5: 618092, doi: 10.3389/ fsufs.2021.618092.

[58]
Weber E, D'antonio C. 1999. Germination and growth responses of hybridising Carpobrotus species (Aizoaceae) from coastal California to soil salinity. American Journal of Botany, 86(9): 1257-1263.

[59]
Woodell S R J. 1985. Salinity and seed germination patterns in coastal plants. Ecophysiological Studies, 61: 223-229.

[60]
Yildiz M, Cenkci S, Kargioglu M. 2008. Effects of salinity, temperature, and light on seed germination in two Turkish endemic halophytes, Limonium iconicum and L. lilacinum (Plumbaginaceae). Seed Science and Technology, 36(3): 646-656.

[61]
Zia S, Khan M A. 2002. Alleviation of salinity effects by sodium hypochlorite on seed germination of Limonium stocksii. Pakistan Journal of Botany, 39(2): 503-511.

Outlines

/