• MEN Huan 1 ,
  • DING Hua , 2, 3, 4, * ,
  • DENG Yahong 1, 5 ,
  • MU Huandong 1 ,
  • HE Nainan 1 ,
  • SUN Pushuo 1 ,
  • LI Zhixu 1 ,
  • LIU Yan 1
展开

收稿日期: 2024-03-26

  修回日期: 2024-08-20

  录用日期: 2024-09-15

  网络出版日期: 2025-08-13

Rock mechanical characteristics and landscape evolutionary mechanism of the slit-type Danxia landform on the Chinese Loess Plateau

  • MEN Huan 1 ,
  • DING Hua , 2, 3, 4, * ,
  • DENG Yahong 1, 5 ,
  • MU Huandong 1 ,
  • HE Nainan 1 ,
  • SUN Pushuo 1 ,
  • LI Zhixu 1 ,
  • LIU Yan 1
Expand
  • 1School of Geology Engineering and Geomatics, Chang'an University, Xi'an 710054, China
  • 2School of Architecture, Chang'an University, Xi'an 710061, China
  • 3Shaanxi Academy of Yellow River Sciences, Xi'an 710054, China
  • 4Institute of Tourism Planning and Design, Chang'an University, Xi'an 710054, China
  • 5Key Laboratory of Mine Geological Hazards Mechanism and Control, Ministry of Natural Resources, Xi'an 710054, China
* DING Hua (E-mail: )

Received date: 2024-03-26

  Revised date: 2024-08-20

  Accepted date: 2024-09-15

  Online published: 2025-08-13

本文引用格式

MEN Huan , DING Hua , DENG Yahong , MU Huandong , HE Nainan , SUN Pushuo , LI Zhixu , LIU Yan . [J]. Journal of Arid Land, 2024 , 16(10) : 1327 -1343 . DOI: 10.1007/s40333-024-0029-8

Abstract

Since 2015, the newly discovered slit-type Danxia landform on the Chinese Loess Plateau has become a hot topic in the field of geomorphology worldwide. However, the relationships among its formation, evolutionary mechanism, and mechanical characteristics of its strata and rocks are not clear. In this paper, the Ganquan canyon group is used as the research object. Basic physical and mechanical indices of sandstone in the Ganquan canyon group were measured through field investigation and indoor experiments, and the deterioration trends for the mechanical parameters of sandstone in this area under the action of infiltration, acid dry-wet cycles, and freeze-thaw cycles were revealed. Lastly, the formation and evolutionary mechanism of the slit-type Danxia landform were discussed. The results showed that: (1) The sandstone in the canyon group had a low cementation degree and weak cohesive force, which was easily weakened under the action of water, resulting in a decrease in compressive strength and elastic modulus. (2) Acidic dry-wet cycles caused the mineral composition of the sandstone to be dissolved, and the micropores continued to grow and develop until new cracks were produced. Macroscopically, the compressive strength and elastic modulus of sandstone were greatly reduced, and this damage was cumulative and staged. The greater the acidity, the greater the damage. (3) As the number of freeze-thaw cycles increased, the uniaxial compressive strength and elastic modulus of the sandstone decreased continuously. During the freeze-thaw cycle process, the growth and development of cracks were primarily in fracture mode and usually developed along parallel bedding positions. (4) The interaction of tectonic activity and lithology with different weathering processes was a key factor in the formation and evolution of the slit-type Danxia landform. In conclusion, the intricate process of weathering influenced by historical climatic fluctuations has been pivotal in shaping the topography of Danxia landform.

1 Introduction

Danxia landform is a unique type of geology that originates from Mesozoic to Cenozoic terrestrial red-bed sequences shaped by both internal and external forces acting upon the Earth. For more than 90 a since the term ''Danxia Formation'' was introduced by Feng and Zhu (1928), remarkable achievements have been made in the study of Danxia landform, including the classification and nomenclature of geomorphic type (Guo et al., 2020; Peng et al., 2021), regional spatial distribution (Li et al., 2013; Ding et al., 2023a), formation mechanism (Jiang et al., 2010; Peng et al., 2020; Chen et al., 2022), and comparison among different Danxia landforms from different countries (Peng et al., 2013; Pan et al., 2021). Since 2015, the newly discovered slit-type Danxia landform in the Chinese Loess Plateau has gradually attracted the attention of researchers. Pan et al. (2021) summarized the geomorphic types of Danxia landform in northern Shaanxi Province and categorized the evolutionary process of Danxia landform into four stages. Peng et al. (2020) explored the genesis of wave-like Danxia landform in Jingbian, Shaanxi Province, through the examination of rock characteristics, geological structural features, and external driving factors. Ding et al. (2023b) investigated the spatial distribution patterns, geological landscape features, and formation mechanisms of Danxia landform in Shaanxi and suggested that the development stages of Danxia landform primarily consist of the juvenile phase, with localized instances of mature and declining phases. Scholars have gradually recognized the crucial role of rock properties in the qualitative description and inference of morphological features, developmental conditions, and formation mechanisms of Danxia landform.
The genesis of topography entails a multifaceted process shaped by the intersection of various influencing factors (Turkington and Paradise, 2005). Numerous scholars posit that the sculpting of landform arises as a consequence of collaborative interplay between force (process) and resistance (material properties). However, while materials themselves serve as the elemental substratum for landform genesis, their quantitative delineation remains somewhat lacking (Goudie, 2016). The concept of rock control, which refers to the influence of rock properties on landscape evolution, was initially proposed by Yatsu (1966). He emphasized the key role of rock property anisotropy and heterogeneity in landscape evolution and highlighted the importance of understanding the physical, chemical, and mechanical properties of rocks in geomorphological research. With the introduction of this idea, the application of rock mechanics, mineralogy, and engineering geology in geomorphological studies has gradually increased.
In recent years, there is a growing trend towards incorporating quantitative methodologies such as experiments and simulations to delve deeper into the formation and evolution of Danxia landform (Tan et al., 2021). In the research of chronology of Danxia landform and its history of uplift, cutting-edge techniques including luminescence dating and thermoluminescence dating were developed for the first time (Huang, 2004; Jiang et al., 2006). These methodologies have been instrumental in examining the geomorphic ages of river terraces and riverine landforms, thereby enabling inferences into the evolutionary trajectory of Danxia landform. The role of weathering studies in geomorphology is paramount due to their transformative impact on the mechanical equilibrium inherent within rock formation (Turkington and Paradise, 2005). Prolonged weathering processes can induce rock instabilities, consequently altering the external morphology of rocks. Varieties of weathering actions yield distinctive effects on rock structures, leading to diverse forms of rock degradation (Filippi et al., 2021). Periodic temperature fluctuations can induce stress variations within rocks, leading to surface exfoliation (Luo, 1993, 1994). Weathering processes related to water, such as wet-dry cycles, freeze-thaw cycles, and infiltration, can alter the strength properties of rocks, ultimately causing rock instability under the influence of gravity (Ouyang et al., 2009, 2011; Zhu et al., 2010). Additionally, numerical simulations are gradually used in the study of Danxia landform, offering a new avenue for a more profound understanding of the formation and evolution of the landform (Yan et al., 2015).
Numerous studies have researched the intricate effects of various weathering processes on rock formation in Danxia landform (Guo et al., 2006; Zhu et al., 2015). However, pervious research has primarily focused on southeastern China, where the rocks are predominantly fluvial- lacustrine deposits. In contrast, slit-type Danxia landform in the Loess Plateau is located in the Yishan Mountains of the Ordos Basin. It is a rare Danxia landform type with aeolian desert facies as the main landscape rock layer (Ding et al., 2023a). The differential sedimentary contexts give rise to distinct characteristics in how rocks respond to varying weathering processes (Turkington and Paradise, 2005). Moreover, previous studies have often been confined to simulate weathering experiments on rocks under fixed periodic conditions, with most concentrating solely on the outcomes at the end of experiment. The lack of well-considered cyclic condition settings has constrained our understanding of the overall evolutionary processes shaping Danxia landform.
Based on field investigation and laboratory analysis, we obtained the mechanical properties of sandstone in the study area and its deterioration under the action of infiltration, dry-wet cycles, and freeze-thaw cycles. At the same time, we analyzed the responses of rocks of slit-type Danxia landform to different weathering conditions and explored the formation and evolutionary mechanism of slit-type Danxia landform, which provides a scientific foundation for further exploration of scientific significance, development potential, and conservation strategies of Danxia landform in the Loess Plateau.

2 Materials and methods

2.1 Study area

2.1.1 Landscape features

Climate of the Ganquan canyon group belongs to arid and semi-arid. Slit-type Danxia landform on the Loess Plateau is primarily distributed in the Ganquan County-Ansai District (36°28′00″-36°37′00″N, 108°55′30″-109°06′00″E; Fig. 1), with more than 120 canyons in Ganquan County, Shannxi Province, China. Despite the area being hot and rainy in summer and cold and dry in winter, it boasts a variety of landscapes with unique features.
Fig. 1 Sampling sites of the Ganquan canyon group, Shaanxi Province, China
Notably, the wave valleys are characterized by wave-like grooves and protuberances, and are present in several gullies, including the Huabaocha (Fig. 2a), Mudan (Fig. 2b), Yixiantian (Fig. 2c), Longbagou (Fig. 2d), and Huashu (Fig. 2e) gullies. Additionally, kettle caves (Fig. 2f), formed by seasonal running water scouring and the down-erosion of joints or fissures, occur in the central part of the canyon group. Red cliffs (Fig. 2g) are mostly developed in the tail of the canyon group, and the exposed red cliffs often extend for tens to tens of kilometres, on which large-scale interbedded laminations of the sandstone of Lower Cretaceous Luohe Formation, as well as micro-geomorphic types such as arches and small weathered caves, can be observed (Fig. 2h and i).
Fig. 2 Danxia landform landscape of the Ganquan canyon group. (a), Huabaocha Gully; (b), Mudan Gully; (c), Yixiantian Gully; (d), Longbagou Gully; (e and f), Huashu Gully; (g), kettle caves; (h), red cliffs; (i), micro-geomorphology.

2.1.2 Lithology and geological structure

Lower Cretaceous Luohe Formation is the main rock component in the Ganquan canyon group. It is a set of purple clastic rock deposits under arid climate conditions. Sediment is primarily aeolian desert facies, and rock composition is dense and uniform. Strata are nearly horizontal, and large-scale tabular, wedge-shaped cross-bedding, and oblique bedding are extremely developed. Dip angle ranges from 10° to 25°, with a maximum of 35°. Rock slice specimens collected within the canyon were identified using a polarizing microscope. Results indicated that the fine-grained argillaceous or calcareous cemented feldspar sandstone is primarily composed of debris (71.00%), matrix (1.00%), and cement (5.00%) (Fig. 3). Rock debris components primarily include quartz, potassium feldspar, albite, muscovite, biotite, and debris (mainly rhyolite debris, rare granite, and granitic mylonite debris). Debris particles are mostly fine and secondary with medium-poor sorting. Rock is particle-based and point-line contact. Matrix is mostly composed of quartz and feldspar with a particle size of less than 0.03 mm. Cement includes a film-like structure (illite), grain-like structure (laumontite), embedded crystal structure (calcite), and secondary overgrowth edge structure (quartz and feldspar). Feature of cement is poriferous, and the porosity is 15.00%, mainly residual intergranular pores.
Fig. 3 Microscopic characterization of sandstones in the Lower Cretaceous Luohe Formation. (a), single polarized photo; (b), orthogonal polarizer photo. PI, feldspar; Q, quartz.
Geological structure is uncomplicated, with gentle folds, minimal fault development, and a long-term stable nature for craton block (Peng et al., 2021). During the evolution of the Mesozoic Ordos inland basin, the tectonic stress shifted from the Indonesian movement to the Yanshan movement, and the paleoclimate changed from the Triassic drought to the early Middle Jurassic warm and humid climate, followed by drought after the late Middle Jurassic. Primary material of the Danxia landform is the red beds that developed in the Early Cretaceous. In the Late Cretaceous, the region's crust generally uplifted, experiencing multistage complex tectonic intermittent uplifting activities. At the end of tectonic movement, three dominant joint directions in the Ganquan canyon group are prevalent: northeast-northeast, near-south-north, and northwest.

2.2 Field sampling

Over 120 cylindrical rock samples were collected from the Huashu Gully, Longbagou Gully, Yucha Gully, Yixiantian Gully, and Mudan Gully. We prepared cylindrical samples with a height of 10.00 cm and a diameter of 5.00 cm by using a water drill, cutting machine, and stone grinder. Any rock samples with visible damage were removed, and then a longitudinal wave velocity test was conducted on the screened rock samples. Lastly, rock samples with similar wave velocities were taken as the test rock samples.

2.3 Methods

Exposed rocks inevitably undergo water weathering (Zhu et al., 2015; Huang et al., 2021). The study area experiences limited annual precipitation and significant temperature fluctuations between day and night. Rock mass is vulnerable to irreversible damage caused by sudden rainstorms and water erosion as well as dry-wet and freeze-thaw cycles that lead to varying degrees of deterioration. To determine the fundamental properties and differential erosion characteristics of sandstone in the area, we devised four types of tests, i.e., basic physical and mechanical tests, softening test, acidic dry-wet cycle test, and freeze-thaw cycle test (Table 1).
Table 1 Overall experimental design
Test type Content Groups×number of samples per group
Basic physical
and mechanical
test
Natural moisture 2×5
Water absorption 2×5
Saturated water absorption 2×5
Natural density 2×5
Uniaxial compression strength 1×3
Triaxial compressive strength (1, 3, 6, 9, and 12 MPa) 5×3
Softening
test
Natural 1×3
Dry 1×3
Saturated 1×3
Acid dry-wet
cycle test
The samples were dried in the oven for 12 h, cooled naturally for 15 min to room temperature, and then soaked in the solution for 12 h to ensure full water absorption. After soaking, we dried the samples at room temperature for 15 min. 4×3, pH=4
4×3, pH=5
4×3, pH=6
Freeze-thaw cycle test The samples were frozen at -20°C for 4 h, and then thawed in a water bath at 20°C for 4 h. 4×3

2.3.1 Basic physical and mechanical tests

We performed natural moisture content, water absorption, saturated water absorption, natural density, uniaxial compressive strength, and triaxial compression tests according to the process and steps of engineering rock mass test method standard GB/T 50266 (National Standards Compilation Group of People's Republic of China, 2013). Instrument used in the uniaxial and triaxial compression tests is the rock mechanics digital control electrohydraulic servo testing machine (RMT-150C, Wuhan Institute of Rock and Soil Mechanics, Chinese Academy of Sciences, Wuhan, China). The unconfined uniaxial compressive strength test was loaded at a rate of 1.00 kN/s. In the triaxial compression test, the axial loading rate was 0.20 kN/s, and the confining pressure loading rate was 0.10 MPa/s. In all mechanical tests, vertical bedding direction was loaded.

2.3.2 Softening test

Rock samples were saturated and dried. For the saturation treatment, rock sample was forced into a vacuum saturation cylinder for 24 h, and for the drying treatment, rock sample was dried in an oven for 24 h. Lastly, unconfined uniaxial compressive strength tests were performed on the dry and saturated rock samples.

2.3.3 Acid dry-wet cycle test

For acid dry-wet cycle test, aqueous solutions with pH values of 4, 5, and 6 were prepared using diluted sulfuric acid and distilled water. The experiment involved with 10, 20, 30, or 40 cycles, and each cycle step is detailed in Table 2. The samples were dried at 105°C during the first drying to reach a dry state, and 60°C was used for subsequent dry-wet cycles. Three tanks were set up for different acid solutions, each containing 10.5 L of volume and 12 specimens for soaking. Before each immersion, the solution was reconfigured, and pH was checked with a detection pen. The unconfined uniaxial compressive strength test was performed on the sample at the end of acid dry-wet cycle.
Table 2 Basic physical-mechanical properties of sandstone
Natural density
(g/cm3)
Natural moisture content (%) Water absorption
(%)
Saturated water absorption (%) Saturation coefficient Cohesion
(MPa)
Internal friction angle
(°)
2.10 5.81 6.40 9.29 0.69 3.79 41.98

2.3.4 Freeze-thaw cycle test

Freeze-thaw cycle test was designed for 3, 6, 9, and 12 cycles. The single-cycle steps are shown in Table 2. After a single freeze-thaw cycle, an unconfined uniaxial compressive strength test was performed on the sample.

2.4 Calculation of mechanical parameters deterioration of sandstone

Mechanical integrity of sandstone is influenced by various external and internal factors, leading to deterioration over time. It is crucial to consider these parameters when analyzing the mechanical properties of sandstone under different weathering conditions. Deng et al. (2015) clearly defined the total deterioration degree (Sn) as the total decrease in the mechanical properties of sandstone caused by weathering processes such as acid dry-wet cycles and freeze-thaw cycles. Moreover, stage deterioration degree (△Sn) is defined as the decrease in the mechanical properties after each adjacent stage of weathering. Therefore, the equations can be written as follows:
$\begin{matrix} {{S}_{n}}=\frac{{{T}_{0}}-{{T}_{n}}}{{{T}_{0}}}\times 100 \% \\\end{matrix}$,
$\begin{matrix} \Delta {{S}_{n}}={{S}_{n}}-{{S}_{m}} \\\end{matrix}$,
where T0 is the initial mechanical parameter value of sandstone before experiment; Tn is the mechanical parameter value of sandstone after n cycles; and Sm is the total deterioration degree after the mth cycles. For acid dry-wet cycles, the relations n and m in Equation 2 are changed to m=n-10, and the values of n are 10, 20, 30, and 40. For freeze-thaw cycles, the relations n and m in Equation 2 are changed to m=n-3, and the values of n are 3, 6, 9, and 12.
This study employs a logarithmic equation to determine the relationships of total deterioration degree and mechanical parameters with the number of acid dry-wet cycles, and uses quadratic polynomial equation to determine the relationships of total deterioration and the mechanical parameters with the number of freeze-thaw cycles. The logarithmic equation is as follows:
$\begin{matrix} y=a+b\times \ln \left( n+c \right) \\\end{matrix}$,
where y is the parameter that is used to calculate peak strength, elastic modulus, and total deterioration degree; n is the number of cycles under different weathering conditions; and a, b, and c are the fitting parameters, respectively.

2.5 Data analysis

All experiment data were processed by the libraries Pandas and Numpy of Python v.3.9. Visualizations are crafted employing the Matplotlib library. The goodness of fit for the regression equation is assessed using the coefficient of determination.

3 Results

3.1 Effect of softening test

Hydrophysical properties of rocks were evaluated using two critical indicators, i.e., water absorption and saturated water absorption rate. The ratio of these two indicators is known as the saturation coefficient. Table 2 shows the basic physical-mechanical properties of sandstone in the study area. Saturation coefficient of sandstone was 0.69, indicating that rock contained many large open voids and had a loose structure.
Table 3 and Figure 4 show the unconfined uniaxial compressive strength test results for sandstone under natural, dry, and saturated conditions. Peak strength and elastic modulus of sandstone weakened after immersion, and the softening coefficient was determined to be 0.52. A comparison of the stress-strain curves for sandstone specimens under different conditions demonstrated that the compaction and elastic stages were considerably slower under saturated conditions. This result implies that water molecules interfere with the particle connections and alter the physical state of sandstone. Furthermore, the minerals in the rocks dissolve and expand due to water in the pore space, reducing the strength and deformation parameters of sandstone when saturated.
Table 3 Unconfined uniaxial compressive strength test results under natural, dry, and saturated conditions
Sample state Peak strength
(MPa)
Elastic modulus
(GPa)
Mean
Peak strength
(MPa)
Elastic modulus
(GPa)
Natural 15.936 3.070 14.049 2.491
13.617 2.591
12.593 1.813
Dry 17.811 2.846 18.517 3.433
19.012 3.335
18.728 4.119
Saturated 11.924 2.286 9.578 1.980
8.759 1.846
8.590 1.808
Fig. 4 Comparison of uniaxial stress-strain curves under natural, dry, and saturated conditions

3.2 Effect of acid dry-wet cycles

Figure 5 shows the stress-strain curves of sandstone specimens under various acidic environments after different dry-wet cycles. The curve exhibited distinct stages, namely, the compaction stage (where strain increased rapidly but stress increased little), elastic deformation stage (where the curve increases linearly), crack propagation stage (where the curve deviates from linearity and plastic deformation occurs), and failure stage (where the curve decreases).
Fig. 5 Stress-strain curves of sandstone under different dry-wet cycles and acidic environments. (a), pH=4; (b), pH=5; (c), pH=6.
In an acidic environment (pH=6), the compaction stage of the curve was short, and there was little difference in morphology. Dry-wet cycles can slightly decrease the elastic stage and result in an obvious scarp shape in the crack propagation stage before reaching peak strength. This behaviour is due to the discontinuity of sedimentation, which produces heterogeneous rock masses that accumulate many clay minerals in specific parts. Dry-wet cycles can lead to dissolution in these parts, resulting in a vast number of secondary pores, which reduces the bond strength between mineral particles and loosens the rock mass structure, ultimately affecting the deformation characteristics of the rocks.
When the pH was 5, the compaction stage was longer, and with an increase in the number of cycles, the compaction stage gradually increased. The curve showed an obvious plastic deformation zone. When the pH was 4, the side length of the compaction stage increased, the straight line segment of the curve became shorter, and the scarp shape appeared earlier before the peak strength. Referencing the stress-strain curve in Figure 5 can provide the corresponding curve's peak strength and elastic modulus, as shown in Table 4.
Table 4 Peak strength and modulus of elasticity of sandstones under acidic wet-dry cycles
Number of cycles pH=4 pH=5 pH=6
Peak strength
(MPa)
Elastic modulus
(GPa)
Peak strength
(MPa)
Elastic modulus
(GPa)
Peak strength
(MPa)
Elastic modulus
(GPa)
0 15.936 3.070 15.936 3.070 15.936 3.070
10 10.355 1.911 12.227 2.480 12.722 2.412
20 9.790 1.801 10.887 2.282 11.169 2.600
30 9.668 1.994 10.737 2.221 11.095 2.129
40 8.724 1.800 9.699 1.813 10.641 2.138
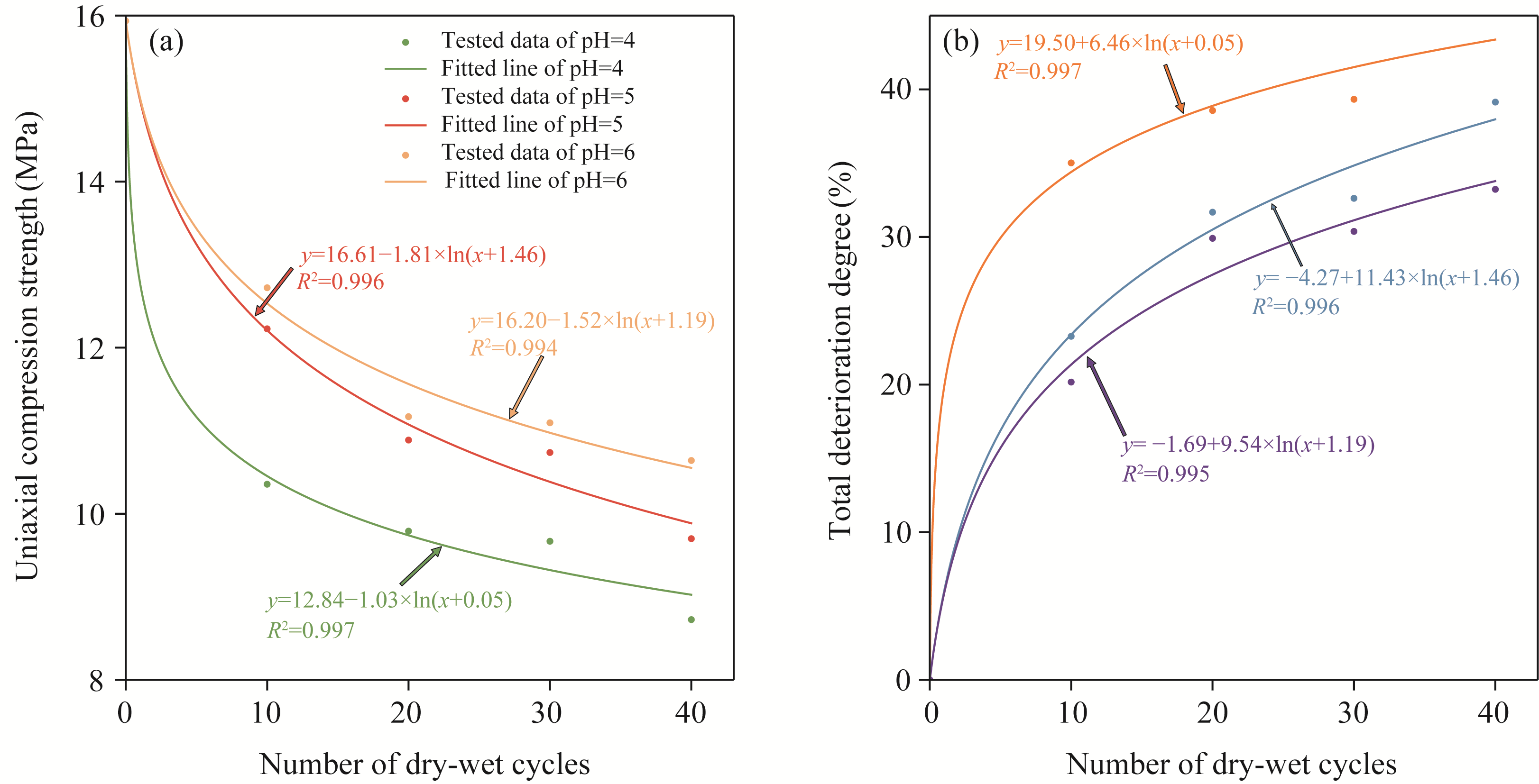
Peak stress of sandstone decreased as the number of dry-wet cycles increased in acidic environments (Table 4). Peak strength of sandstone decreased significantly after undergoing dry and wet cycles, and this decrease became more pronounced as the number of cycles increased. For instance, in an acidic environment with a pH of 4, the peak strength of initial specimen was 15.936 MPa, but after 10 cycles, it decreased to 10.355 MPa with a 35.02% decrease. After 20 cycles, the strength decreased further to 9.790 MPa with a 38.57% decrease, and after 40 cycles, it decreased to 8.724 MPa with a 45.27% decrease. Similarly, in acidic environments with pH values of 5 and 6, peak strengths of sandstone after 40 cycles were 9.699 and 10.641 MPa, respectively. These findings indicated that the presence of an acidic medium significantly deteriorated the peak strength of sandstone, and the greater the acidity, the more pronounced the deterioration. However, the elastic modulus of rocks showed a fluctuating downwards trend throughout the process, which is common in soft rocks with low strength, loose structure, or a high degree of weathering. Although the dry-wet cycles can lead to a decrease in rock strength, the heterogeneity of rock mass causes the thickness of adsorption layer to change from the centre to the edge of sample, resulting in the central part of rock shrinking and increasing its elastic modulus before reaching hydraulic balance.
Repeated submersion of sandstone in an acidic solution has a detrimental effect on its mechanical properties. Water molecules enter through micro-fractures and secondary pores, weakening the cohesion and friction between particles. Mineral dissolution occurs as a result of the H+ reaction with certain minerals in the sandstone. This reaction leads to the gradual formation of new cracks between pores, altering the shape and size of particles and weakening the contact between them. Sandstone in this study is primarily composed of feldspar, quartz, and mica. Quartz is almost insoluble in acidic solutions, while feldspar, mica, and other minerals react with it.
Deterioration degree of peak stress was the greatest at 10 dry-wet cycles under acidic environments (Table 5). Moreover, deterioration was more significant when acidity was greater. Degradation degree of elastic modulus was not as apparent as that of peak stress, but it was still greater under a pH of 4 than under the other two conditions with the same number of cycles (Figs. 6 and 7). Additionally, both peak stress and elastic modulus exhibit significant mechanical damage during early stage, under the influence of dry-wet cycles, particularly at 10 cycles. These findings indicated that sandstone is highly vulnerable to mechanical damage in the initial phase of dry-wet cycles. Furthermore, total degradation degree of peak strength and elastic modulus for sandstone exhibited a consistent upwards trend as the value of n increased under acidic environments. This accumulation of damage caused by dry-wet cycles on sandstone was undeniable. When the number of dry-wet cycles was constant, stronger acidity led to a greater total deterioration degree of peak strength. The trend observed in elastic modulus was generally consistent with that of peak strength. As the number of dry-wet cycles increased, irreversible damage within sandstone was intensified, indicating the crucial role of dry-wet cycles in weakening the erosion resistance of rock mass.
Table 5 Mechanical parameters of sandstone under acid dry-wet cycles
Number
of dry-wet cycles
pH=4 pH=5 pH=6
Peak strength Elastic modulus Peak strength Elastic modulus Peak strength Elastic modulus
${{S}_{n}}$(%) $\Delta {{S}_{n}}$(%) ${{S}_{n}}$(%) $\Delta {{S}_{n}}$(%) ${{S}_{n}}$(%) $\Delta {{S}_{n}}$(%) ${{S}_{n}}$(%) $\Delta {{S}_{n}}$(%) ${{S}_{n}}$(%) $\Delta {{S}_{n}}$(%) ${{S}_{n}}$(%) $\Delta {{S}_{n}}$(%)
10 35.02 35.02 37.75 37.75 23.27 23.27 19.22 19.22 20.17 20.17 21.43 21.43
20 38.57 3.55 41.34 3.58 31.68 8.41 25.67 6.45 29.91 9.74 15.31 -6.12
30 39.33 0.77 35.05 -6.29 32.62 0.94 27.65 1.98 30.38 0.46 30.65 15.34
40 45.26 5.92 41.37 6.32 39.14 6.51 40.91 13.29 33.23 2.85 30.36 -0.29

Note: Sn, total deterioration degree; ΔSn, stage deterioration degree.

Fig. 6 Trends of uniaxial compression strength (a) and total deterioration degree (b) under acidic dry-wet cycles
Fig. 7 Trends of elastic modulus (a) and total deterioration degree (b) under acidic dry-wet cycles
Slit-type Danxia landform was predominantly influenced by acid dry-wet cycles in two significant ways. Firstly, atmospheric precipitation in the study area was a mild acidity. During the rainy season, rain flowed along the structural systems composed of joints and fissures into the core of rock mass, resulting in erosive processes (Fig. 8a). Secondly, growth and development of lichens and bryophytes attached to the rock walls on both sides of canyon also secreted a variety of organic acids, which had a significant impact on the weathering process of rock and often caused widespread erosion on the surface of rock walls on both sides (Fig. 8b).
Fig. 8 Slit-type Danxia landform rock echelon joints (a) and bryophyte-attached rock walls (b)

3.3 Effect of freeze-thaw cycles

Figure 9 shows the stress-strain curves of sandstone under different numbers of freeze-thaw cycles. Compaction stage became shorter with fewer cycles and increased in length as freeze-thaw cycles accumulated. Elastic growth stage shrinked during this time, causing the slope to decrease and elastic modulus to remain small. Moreover, yield stage increased as the number of cycles increased. During the post-failure stage, stress drop slowed and the specimen gradually shifted from brittle failure to ductile failure after stress-strain peaked. To describe the deterioration degree of mechanical properties for sandstone under freeze-thaw cycles, we computed the total deterioration degree and stage deterioration degree of peak strength and elastic modulus by Equations 1 and 2, with the outcomes visualized in Figure 10 and Table 6. Trends of stage degradation of sandstone peak stress and elastic modulus are shown in Table 6. With an increase in the number of freeze-thaw cycles, the degrees of stage deterioration for peak stress were 4.87%, 7.20%, 14.23%, and 22.44% under 3, 6, 9, and 12 freeze-thaw cycles, respectively. Although degree of stage degradation for elastic modulus did not follow the same pattern as that of peak stress, it was evident that the highest degree of stage degradation for both occurred during the later stage of the cycle. This result indicated that the strength and stiffness of sandstone might significantly decrease as the number of cycles increased. As the number of cycles increased, the reduction became even higher. Therefore, it can be concluded that sandstone is highly vulnerable to the damage of freeze-thaw cycles.
Fig. 9 Uniaxial stress-strain curves of sandstone under freeze-thaw cycles. n is the number of freeze-thaw cycles.
Fig. 10 Trends of peak strength (a) and elastic modulus (b) of sandstone under freeze-thaw cycles. UCS, uniaxial compression strength; TDD, total deterioration degree; EM, elastic modulus.
Table 6 Mechanical parameter of sandstone under freeze-thaw cycles
Number of
freeze-thaw cycles
Peak strength
(MPa)
Elastic modulus
(GPa)
Total deterioration degree (%) Stage deterioration degree (%)
Peak strength Elastic modulus Peak strength Elastic modulus
0 14.566 2.998 0.00 0.00 0.00 0.00
3 13.856 2.446 4.87 18.41 4.87 18.41
6 12.807 2.357 12.08 21.38 7.20 2.97
9 10.736 1.770 26.29 40.96 14.22 19.58
12 7.467 1.263 48.74 57.87 22.44 16.91
Mechanical properties of sandstone were significantly impacted by freeze-thaw cycles. Peak strength and modulus of elasticity decreased by 48.74% and 57.87%, respectively, after 12 freeze- thaw cycles. During the process of freeze-thaw cycles, in addition to dissolution, argillization, and softening effects of water on rock, expansion of microcracks caused by water amount changes was also an important factor in aggravating rock damage. Low temperatures caused the water amount to expand by approximately 9.00%, while mineral particles shrank. This change led to local tension and pressure, known as the frost heaved force between mineral particles to resist the expansion of water amount. This force had a destructive effect, causing fractures and spalling of rock mass. With an increase in the number of freeze-thaw cycles, microcracks in the rocks gradually connected into cracks, leading to a decrease in the strength and stiffness of the rocks. Eventually, the rock mass fractured and spalled.
Damage to the sandstone during freeze-thaw cycles is shown in Figure 11. As shown in the figure, the crack growth and development of sandstone after freeze-thaw cycles were primarily influenced by fracture mode, and the fracture section displayed evident argillization properties. Sandstone damage under freeze-thaw cycles revealed that rock masses formed by sedimentary characteristics were more susceptible to damage when exposed to weathering. This observation highlights the crucial role that rock properties play in geomorphological evolution.
Fig. 11 Growth and development of cracks in rocks during freeze-thaw cycles. (a), 3 cycles; (b), 6 cycles; (c), 9 cycles.

4 Discussion

4.1 Agent of erosion

Formation of Danxia landform is the result of combined action of internal and external dynamic geological actions (Peng, 2000; Pan and Peng, 2015). Aeolian purplish red clastic rock that formed during the Cretaceous is the main landscape rock layer of slit-type Danxia landform. Its ability of cementation is weak, and its erosion resistance is poor (Zhao et al., 2012; Ding et al., 2023b). Joints and fissures formed during regional tectonic movement lay the foundation for later dynamic geological processes (Fig. 8a). Moreover, external dynamic effects, such as water erosion, acid dry-wet cycles, freeze-thaw cycles, and gravity effects, are the main factors shaping Danxia landform (Ouyang et al., 2009; Zhu et al., 2015). Among them, the most important is aquatic weathering, which plays a leading role in the evolution of Danxia landform.
Transformation of climate engenders the requisite conditions for aquatic weathering to unfold. During the rainy season, in situ alteration of rocks by water can diminish the physical and mechanical properties to varying extents, thereby hastening the weathering of rock mass (Zhu et al., 2010). Infiltration of water changes the mineral composition and bonding degree in rock mass, and evaporation of water becomes the internal driving force for the generation of mineral ions, which eventually leads to the expansion of primary pores and formation of secondary cracks, providing space for future corrosion and dissolution (Zhang et al., 2020). Under the action of this mechanism, the damage inside rock mass is aggravated, and the surface rock mass will fall off and disintegrate under the action of gravity. Precipitation in the study area is a weakly acidic (Li, 2014). Due to the action of acid, the dissolution of feldspar and other minerals in sandstone will be accelerated, and the cohesive force between mineral particles will be weakened to control the evolution of secondary pores and permeability in rocks (Fu et al., 2018; Yuan et al., 2019). The greater the acidity, the more pronounced the degradation. In frigid environments, when water flows along joints and fissures and accumulates in a rock mass, the change in the water phase state will produce a frost heaving force in the rock mass, thus destroying the cohesive force between particles and forming different degrees of macrocracks (Song et al., 2021; Jiang et al., 2022). Under the action of this mechanism, the connection degree of rock mass on both sides of joints and fissures will continue to weaken, and in situ disintegration will occur under the action of gravity (Xu and Liu, 2005; Fang et al., 2014). Outcrop shape of rock mass changes, which redistributes the stress field in rock mass, thus affecting the erosion resistance of rock mass.
This study primarily addresses the influence of various weathering conditions on slit-type Danxia landform rock mass, however, the real situation is undeniably more complex than that of laboratory experimental model. Weathering of rock mass is often the result of a confluence of multiple factors (McGreevy, 1985; Turkington and Paradise, 2005). In this experiment, we found that the zones of rock where macroscopic cracks first appeared were predominantly located along bedding planes. This result suggests that the bedding sections of rock mass are more vulnerable to weathering conditons than other sections. As time progresses, the materials within this area are gradually eroded, resulting in the development of micro-geomorphic features such as bedding grooves and honeycomb caverns on the walls of canyon. This finding highlights the sensitivity of rock mass structure to intricate weathering processes and provides essential insights for understanding the evolutionary mechanisms underlying slit-type Danxia landform.

4.2 Evolution and formation mechanism of slit-type Danxia landform

Aeolian desert red sandstone deposited during the Early Cretaceous constitutes the material basis of slit-type Danxia landform (Shi et al., 2022). Sedimentary rock contains feldspar, debris, and a large amount of calcareous cement. In addition, sandstone has poor cementation ability, high porosity, and good permeability, which makes it easy to break, and it has poor erosion resistance. Large parallel bedding and cross bedding are well developed. The distance between laminae is between millimetres and centimetres. There are obvious differences in the structure and material composition between adjacent laminae, which control the formation of bedding grooves and concave surfaces on both sides of canyon.
Since the Cenozoic, the Ordos Basin, where slit-type Danxia landform is located, has experienced a strong uplift due to the Himalayan uplift, tectonic movement, and other multistage tectonic stresses (Li et al., 2015). During the process of tectonic uplift, many joints and fissures formed. These joints and fissures lay the foundation for the formation and distribution of slit canyons (Ding et al., 2023a). Additionally, due to the influence of the Asian monsoon, the blocking of the terrain in northwestern China makes moist air flow inaccessible, resulting in increasing drought, and a large amount of aeolian loess carried by the monsoons significantly accumulates in the area (Sun and Wang, 2005). During the Quaternary, the uplift rate of the Qinghai-Xizang Plateau accelerated. Due to climate warming, the degree of drought in this area increased. A large amount of aeolian loess accumulated with the underlying sandstone, forming a special loess-covered Danxia landform (Pan et al., 2021; Peng et al., 2021).
Tectonic activity in this area is weak and has little influence on the evolution of slit-type Danxia landform. Therefore, external dynamic geological action has become the main factor controlling the evolution of slit-type Danxia landform. Water erosion dominated by abrasion is the main driving force for the formation of slit canyon (Ding et al., 2023b). During the rainy season, surface water flows along joints and fissures, causing side erosion and erosion of rock mass in the canyon. During this process, the side erosion of water flow causes the canyon rock wall to form a concave surface of different sizes, and the down erosion causes the depth of canyon to deepen continuously (Duszynski et al., 2018). At the bottom of canyon, wavy rock wall formed by water erosion can be clearly observed (Fig. 2c and g).
On the rock wall of the Ganquan canyon group, bedding grooves developed along the bedding plane (Fig. 2a), with a depth of approximately 0.00-1.00 cm and a height of 1.00-3.00 cm. Shapes of these bedding grooves are similar to those of arched microtopography in sandstone landforms, but the difference may exist when the formation of bedding grooves is dominated by plane discontinuities. Plane discontinuities usually refer to rock masses divided by sedimentary or structural features (Bruthans et al., 2014). Examples of such discontinuities include unconformities, bedding planes, joints, and faults. Plane discontinuities are also formed by interbedded weathering along argillaceous or carbonate-rich layers (Filippi et al., 2018). They usually affect the weathering of rocks by changing the stress field, enhancing water-related weathering, and forming weak areas with low tensile and shear strength (Bruthans et al., 2012; Barton, 2013).
Sandstone in the Ganquan gorge group has weak cohesive force and poor cementation, and there are mud lenses or clay mineral interlayers in rock layer. These interlayers decompose more quickly under weathering and form depressions, destroying the overlying strata. This erosion is generally considered to be due to the infiltration of water into rock surface, leading to mud expansion and plastic damage (Young and Wray, 2015). Formation of bedding grooves may be due to the difference in lithology on the vertical plane, resulting in different erosion resistance in different parts of rock samples. In the parts with weak erosion resistance, the cementation degree of particles decreases and the particles are then removed, thus forming an uneven surface. Meanwhile, the depth of groove is usually shallow, which can be attributed to the following two reasons: first, due to the negative feedback relationship between erosion and stress, the presence of confining pressure increases the erosion resistance of rock mass, making it difficult for the groove to develop into the interior of rock mass (Bruthans et al., 2014; Filippi et al., 2021); second, weathering aggravates the internal damage of rock mass. When a specific threshold is reached, the part with weak cementation ability will decompose and fall off under the action of wind or hydraulic force, so that the prominent part on the cliff develops to the side away from free surface.
In addition to the bedding grooves, uneven surface of canyon is also a major feature of slit-type Danxia landform. A tectonic system composed of joints and fissures not only controls the distribution of whole canyon, but also affects the formation and evolution of concave canyon walls. In addition, due to the emergence of bedding grooves, convex parts connected between canyon concaves usually have poor erosion resistance. Under different weathering conditions, convex parts between concaves gradually become thinner, and the ratio of depth to height of concaves is further reduced, promoting the formation of a larger concave surface.

5 Conclusions

We examined the detrimental effects of infiltration, acidic dry-wet cycles, and freeze-thaw cycles on the rock mass of Danxia landform. The results indicated that these three factors led to varying degrees of degradation within rock mass of the Ganquan canyon group. Notably, freeze-thaw cycles exerted the most pronounced deterioration effect, followed by acidic dry-wet cycle, while infiltration had the least impact. Under acidic dry-wet cycles and freeze-thaw cycles, as the number of cycles increased, we found that macroscopic cracks typically originated from the sandstone bedding and gradually propagated, ultimately culminating in rock failure. These results illuminated the deterioration mechanisms of rock mass in response to climatic evolution, underscored its reaction to diverse weathering conditons, and offered crucial insights into the processes governing rock mass degradation. However, weathering experiments simulated in this paper ignore the influence of confining pressure. We need to study the role of in situ stress field in the evolution of canyon and further explore the stress distribution of canyon walls with different curvatures via numerical simulation to obtain a more accurate and comprehensive understanding of the formation and evolution process of slit-type Danxia landform.

Conflict of interest

The authors declare that they have no known competing financial interests or personal relationships that could have appeared to influence the work reported in this paper.

Acknowledgements

This research was funded by the National Natural Science Foundation of China (42077282).

Author contributions

Conceptualization: DING Hua, MEN Huan; Methodology: DING Hua, DENG Yahong, MU Huandong, LI Zhixu, MEN Huan; Formal analysis: DING Hua, MEN Huan; Funding acquisition: DING Hua; Data curation: DENG Yahong, DING Hua; Investigation: LIU Yan, HE Nainan, MEN Huan; Project administration: DING Hua; Resources: DING Hua; Supervision: DENG Yahong, DING Hua; Validation: HE Nainan, MU Huandong, SUN Pushuo, MEN Huan; Visualization: MEN Huan; Writing - original draft preparation: MEN Huan; Writing - review and editing: DING Hua. All authors approved the manuscript.
[1]
Barton N. 2013. Shear strength criteria for rock, rock joints, rockfill and rock masses: Problems and some solutions. Journal of Rock Mechanics and Geotechnical Engineering, 5(4): 249-261.

[2]
Bruthans J, Svetlik D, Soukup J, et al. 2012. Fast evolving conduits in clay-bonded sandstone: Characterization, erosion processes and significance for the origin of sandstone landforms. Geomorphology, 177-178: 178-193.

[3]
Bruthans J, Soukup J, Vaculikova J, et al. 2014. Sandstone landforms shaped by negative feedback between stress and erosion. Nature Geoscience, 7(8): 598-602.

[4]
Chen L Q, Guo F S, Shao C J, et al. 2022. Characteristics and controlling factors of danxia landscapes in Jiangxi Province. Acta Geologica Sinica, 96(11): 4023-4037. (in Chinese)

[5]
Deng H F, Xiao Z Y, Li J L, et al. 2015. Deteriorating change rule test research of damage sandstone strength under water-rock Interaction. Chinese Journal of Rock Mechanics and Engineering, 34(Supp1.): 2690-2698. (in Chinese)

[6]
Ding H, Duan F H, Chen S S, et al. 2023a. Characteristics, protection and utilization of the canyons of Danxia landscape geoheritages in Ganquan area of the northern Shaanxi, China. Journal of Earth Sciences and Environment, 45(2): 362-372. (in Chinese)

[7]
Ding H, Liao W Q, Duan F H, et al. 2023b. Characteristics, spatial distribution and formation mechanism of Danxia landform in Shaanxi Province. Arid Land Geography, 46(4): 527-538. (in Chinese)

[8]
Duszynski F, Jancewicz K, Migon P. 2018. Evidence for subsurface origin of boulder caves, roofed slots and boulder-filled canyons (Broumov Highland, Czechia). International Journal of Speleology, 47(3): 343-359.

[9]
Fang Y, Qiao L, Chen X, et al. 2014. Experimental study of freezing-thawing cycles on sandstone in Yungang grottos. Rock and Soil Mechanics, 35(9): 2433-2442. (in Chinese)

[10]
Feng J L, Zhu H S. 1928. Geology and mineral resources of Qujiang, Renhua, Shixing and Nanxiong, Guangdong Province. Annals of Guangdong and Guangxi Geological Survey, 1: 38-42. (in Chinese)

[11]
Filippi M, Bruthans J, Řihošek J, et al. 2018. Arcades: Products of stress-controlled and discontinuity-related weathering. Earth-Science Reviews, 180: 159-184.

[12]
Filippi M, Slavík M, Bruthans J, et al. 2021. Accelerated disintegration of in situ disconnected portions of sandstone outcrops. Geomorphology, 391: 107897, doi: 10.1016/j.geomorph.2021.107897.

[13]
Fu Y, Yuan W, Liu X R, et al. 2018. Deterioration rules of strength parameters of sandstone under cyclical wetting and drying in acid-based environment. Rock and Soil Mechanics, 39(9): 3331-3339. (in Chinese)

[14]
Goudie A S. 2016. Quantification of rock control in geomorphology. Earth-Science Reviews, 159: 374-387.

[15]
Guo F S, Chen L Q, Yan Z B, et al. 2020. Definition, classification, and danxianization of Danxia landscapes. Acta Geologica Sinica, 94(2): 361-374. (in Chinese)

[16]
Guo G L, Guo F S, Liu X D, et al. 2006. Study by EPMA on microcosmic chemical weathering to sandstone in Danxia landform. Carsologica Sinica, 25(2): 172-176. (in Chinese)

[17]
Huang J. 2004. Quantitative survey of several important issues concerning the formation of the Danxia landforms. Tropical Geography, 24(2): 127-130. (in Chinese)

[18]
Huang S B, He Y B, Liu X W, et al. 2021. Experimental investigation of the influence of dry-wet, freeze-thaw and water immersion treatments on the mechanical strength of the clay-bearing green sandstone. International Journal of Rock Mechanics and Mining Sciences, 138: 104613, doi: 10.1016/j.ijrmms.2021.104613.

[19]
Jiang H P, Jiang A N, Zhang F R, et al. 2022. Study on mechanical properties and statistical damage constitutive model of red sandstone after heating and water-cooling cycles. International Journal of Damage Mechanics, 31(7): 975-998.

[20]
Jiang Y B, Guo F S, Liu L Q, et al. 2006. TL dating research of geomorphic surface on lower terraces of rives in Longhushang Danxia Landform areas. Journal of East China University of Technology, 29(3): 225-228. (in Chinese)

[21]
Jiang Y B, Guo F S, Liu L Q, et al. 2010. A study on the structure features and its relationship with the Danxia landforms in Xinjiang Basin. Journal of East China University of Technology, 33(4): 325-331. (in Chinese)

[22]
Li X, He Q C, Dong Y, et al. 2013. An analysis of characteristics and evolution of Danxia landform in the south of Chishui County, Guizhou. Acta Geoscientica Sinica, 34(4): 500-507. (in Chinese)

[23]
Li Z H, Dong S W, Feng S B, et al. 2015. Sedimentary response to Middle-late Jurassic tectonic events in the Ordos Basin. Acta Geoscientica Sinica, 36(1): 21-29. (in Chinese)

[24]
Luo B S. 1993. The relationship between Danxia landform development and unloading effect in Jinjiling Mountains. Journal of Guangdong University of Technology, 10(1): 83-90. (in Chinese)

[25]
Luo B S. 1994. The temperature stress effect of rock mass in the formation process of Danxia landform. Journal of Guangdong University of Technology, 11(4): 1-7. (in Chinese)

[26]
McGreevy J P. 1985. Thermal properties as controls on rock surface temperature maxima, and possible implications for rock weathering. Earth Surface Processes and Landforms, 10(2): 125-136.

[27]
National Standards Compilation Group of People's Republic of China. 2013. GB/T 50266-2013: Standard for Test Method of Engineering Rock Mass. Beijing: China Planning Publishing House. (in Chinese)

[28]
Ouyang J, Zhu C, Peng H, et al. 2009. Types and spatial combinations of Danxia landform of Fangyan in Zhejiang Province. Journal of Geographical Sciences, 19(5): 631-640.

[29]
Ouyang J, Zhu C, Peng H. 2011. A contrast introduction to Danxia landforms from a world-wide references for similar landforms. Scientia Geographica Sinica, 31(8): 996-1000. (in Chinese)

[30]
Pan Z X, Peng H. 2015. Comparative study on the global distribution and geomorphic development of red beds. Scientia Geographica Sinica, 35(12): 1575-1584. (in Chinese)

[31]
Pan Z X, Ren F, Chen L Q, et al. 2021. Characteristics of Danxia landform in the northern Shaanxi and a comparison with other Danxia areas in and outside China. Scientia Geographica Sinica, 41(6): 1069-1078. (in Chinese)

[32]
Peng H. 2000. Research progress of Danxia landform in China. Scientia Geographica Sinica, 20(3): 203-211. (in Chinese)

[33]
Peng H, Pan Z X, Yan L B, et al. 2013. A review of the research on red beds and Danxia landform. Acta Geographica Sinica, 68(9): 1170-1181. (in Chinese)

[34]
Peng X H, Wu H, Li Y Z, et al. 2020. A preliminary study on the genetic mechanism of wavy Danxia Landform in Longzhou, Jinabian, Shaanxi Province. Acta Geoscientica Sinica, 41(3): 443-451. (in Chinese)

[35]
Peng X H, Wu H, Li X W, et al. 2021. Danxia landform types and development mechanism in Yan'an City. Arid Land Geography, 44(2): 418-426. (in Chinese)

[36]
Shi H, Yue D P, Zhao J B, et al. 2022. Study on geochemical sedimentary characteristics and paleoenvironment of red sandstone in Danxia landform area of Jingbian, northern Shaanxi Province. Geological Review, 68(1): 323-334. (in Chinese)

[37]
Song Y J, Tan H, Yang H M, et al. 2021. Fracture evolution and failure characteristics of sandstone under freeze-thaw cycling by computed tomography. Engineering Geology, 294: 106370, doi: 10.1016/j.enggeo.2021.106370.

[38]
Sun X J, Wang P X. 2005. How old is the Asian monsoon system?—Palaeobotanical records from China. Palaeogeography, Palaeoclimatology, Palaeoecology, 222(3): 181-222.

[39]
Tan Y F, Li L H, Huang B X. 2021. Constrasting characteristics and origin of Danxia arched rock shelters in Zhejiang, China, and natural arches and bridges on the Colorado Plateau, USA. Journal of Geographical Sciences, 31(6): 802-818.

[40]
Turkington A V, Paradise T R. 2005. Sandstone weathering: A century of research and innovation. Geomorphology, 67(1-2): 229-253.

[41]
Xu G M, Liu Q S. 2005. Analysis of mechanism of rock failure due to freeze-thaw cycling and mechanical testing study on frozen-thawed rocks. Chinese Journal of Rock Mechanics and Engineering, 24(17): 3076-3082. (in Chinese)

[42]
Yan Z Z, Du X P, Fan X T. 2015. Numerical simulation of the evolutionary process of Danxia landforms. Physical Geography, 36(4): 322-336.

[43]
Yatsu E. 1966. Rock Control in Geomorphology. Tokyo: Sozosha.

[44]
Young R W, Wray A L. 2015. Rock control in sandstone geomorphology: A tribute to Eiju Yatsu with some Australian examples. Zeitschrift für Geomorphologie, 59(Suppl.): 3-17.

[45]
Yuan W, Liu X R, Fu Y. 2019. Chemical thermodynamics and chemical kinetics analysis of sandstone dissolution under the action of dry-wet cycles in acid and alkaline environments. Bulletin of Engineering Geology and the Environment, 78(2): 793-801.

[46]
Zhang Z T, Gao W H, Huang J P, et al. 2020. Swelling characteristics of red sandstone under cyclic wetting and drying. Geotechnical and Geological Engineering, 38(4): 4289-4306.

[47]
Zhao Z Y, Guo Y R, Wang Y, et al. 2012. Study progress in tectonic evolution and paleogeography of Ordos Basin. Special Oil & Gas Reservoirs, 19(5): 15-20. (in Chinese)

[48]
Zhu C, Peng H, Ouyang J, et al. 2010. Rock resistance and the development of horizontal grooves on Danxia slopes. Geomorphology, 123(1-2): 84-96.

[49]
Zhu C, Wu L, Zhu T X, et al. 2015. Experimental studies on the Danxia landscape morphogenesis in Mt. Danxiashan, South China. Journal of Geographical Sciences, 25(8): 943-966.

文章导航

/