• Hari Mohan MEENA , * ,
  • Deepesh MACHIWAL ,
  • Priyabrata SANTRA ,
  • Vandita KUMARI ,
  • Saurabh SWAMI
展开

收稿日期: 2024-10-23

  修回日期: 2025-03-28

  录用日期: 2025-04-03

  网络出版日期: 2025-08-13

Improving water productivity of sprinkler-irrigated cumin through deficit irrigation in arid areas

  • Hari Mohan MEENA , * ,
  • Deepesh MACHIWAL ,
  • Priyabrata SANTRA ,
  • Vandita KUMARI ,
  • Saurabh SWAMI
Expand
  • Division of Natural Resources, Indian Council of Agricultural Research (ICAR)-Central Arid Zone Research Institute (CAZRI), Jodhpur 342003, India
*Hari Mohan MEENA (E-mail: ; )

Received date: 2024-10-23

  Revised date: 2025-03-28

  Accepted date: 2025-04-03

  Online published: 2025-08-13

本文引用格式

Hari Mohan MEENA , Deepesh MACHIWAL , Priyabrata SANTRA , Vandita KUMARI , Saurabh SWAMI . [J]. Journal of Arid Land, 2025 , 17(6) : 791 -807 . DOI: 10.1007/s40333-025-0080-0

Abstract

Integrating sprinkler with deficit irrigation system is a new approach to improve crop water productivity and ensure water and food security in arid areas of India. This study undertook a field experiment of sprinkler-irrigated cumin (variety GC-4) with a mini-lysimeter setup at an experimental research farm in Jodhpur, India during 2019-2022. Four irrigation treatments T1, T2, T3, and T4 were designed at irrigation water/cumulative pan evaporation (IW/CPE) of 1.0, 0.8, 0.6, and 0.4, respectively, with three replications. Daily actual crop evapotranspiration (ETc) was recorded and weekly soil moisture was monitored over the crop growth period. Quantities of applied water and drainage from mini-lysimeters were also measured at every irrigation event. Yield of cumin was recorded at crop maturity. Furthermore, change in farmer's net income from 1-hm2 land was computed based on the cost of applying irrigation water and considering yield variations among the treatments. Results indicated the highest mean seasonal actual ETc (371.7 mm) and cumin yield (952.47 kg/hm2) under T1 (with full irrigation). Under T2, T3, and T4, the seasonal actual ETc decreased by 10.4%, 27.6%, and 41.3%, respectively, while yield declined by 5.0%, 28.4%, and 50.8%, respectively, as compared to the values under T1. Furthermore, crop water productivity of 0.272 (±0.068) kg/m3 under T2 was found relatively higher in comparison to other irrigation treatments, indicating that T2 can achieve improved water productivity of cumin in arid areas at an optimum level of deficit irrigation. The results of cost-economics indicated that positive change in farmer's net income from 1-hm2 land was 108.82 USD under T2, while T3 and T4 showed net losses of 5.33 and 209.67 USD, respectively. Moreover, value of yield response factor and ratio of relative yield reductions to relative ETc deficits were found to be less than 1.00 under T2 (0.48), and more than 1.00 under T3 (1.07) and T4 (1.23). This finding further supports that T2 shows the optimized level of deficit irrigation that saves 20.0% of water with sacrificing 5.0% yield in the arid areas of India. Findings of this study provide useful strategies to save irrigation water, bring additional area under irrigation, and improve crop water productivity in India and other similar arid areas in the world.

1 Introduction

Cumin (Cuminum cymium L.), a native crop of Egypt, is mainly grown in India followed by North Africa, China, and America (Dar et al., 2019). India is the largest producer of cumin worldwide and contributes to 70.0% of the global production (Sharma et al., 2019). More than 90.0% of the total cumin production in the country is contributed by two states, i.e., Gujarat and Rajasthan (Saranya et al., 2025). Cumin is a small annual herbaceous plant species of industrial and medicinal uses (Bettaieb et al., 2011) as its seeds contain oil (10.0%), protein, cellulose, sugar, mineral elements (Li and Jiang, 2004). The essential oil ratio in cumin ranges between 2.5% and 5.0% depending on climatic and soil conditions. The cumin crop, adapted to dry winter climate, is mostly cultivated for production of essential oil or as seed spice. The essential oil of cumin can help the plant species to adapt to its environment, and consequently, higher quantities of oil can be produced when plants are exposed to moisture stress (Olle and Bender, 2010).
Under Indian conditions, cumin is mostly cultivated during winter season (November-March) under arid climate (Sharma et al., 2019), and farmers cultivate cumin as a cash crop with the provision of irrigation despite the fact that water is the most-limiting factor in arid agriculture. It is observed that the irrigated area of cumin has been gradually increasing in arid lands of the country for the past few years due to easy access to groundwater supplies. Consequently, large quantities of groundwater are being extracted for irrigation purpose. Even though shortage of water resources due to low precipitation and limited availability of surface water is the major constraint in the region, extensive cultivation of water intensive crops like groundnut and castor is indeed a major driver of groundwater exploitation, leading to the decline of the water table in the region (Harisha et al., 2017; Machiwal et al., 2024). Thus, the precious water volumes need to be judiciously applied to crops by adopting water-efficient micro-irrigation systems.
Among different irrigation methods used for cultivation of seed spices in arid areas, cumin shows the better performance with sprinkler irrigation as it warrants the sensible water utilization and savings (Malhotra et al., 2009). Sprinkler irrigation further plays a significant role in increasing yield as well as quality of the produce by ensuring the proper and uniform germination of crops (Ravindran et al., 2006). Deficit irrigation offers another valuable tool to deal with the problems of restricted water availability in arid areas. It is revealed from the literature that deficit irrigation saves water quantities and improves water productivity of cereals and other crops in arid climate (Kumar et al., 2019; Attia et al., 2021; Kheir et al., 2021; Meena et al., 2021a, b, 2025; Rathore et al., 2021). However, few studies have investigated cases in which deficit irrigation is adopted to improve water productivity of seed spice crops, particularly cumin. Bondok and El-Sharkawy (2014) compared amount of irrigation water, yield, and yield components of cumin under surface irrigation and sprinkler irrigation at deficit and full irrigation levels (60.0%, 80.0%, and 100.0% actual crop evapotranspiration (ETc)) in El Gharbeia Governorate, Egypt. Results revealed about 45.5%-47.9% water savings through sprinkler irrigation with 10.2%-12.5% increment in cumin yield. Furthermore, yield showed 14.2% and 26.2% decreases and water productivity showed 6.9% and 14.9% increases under deficit irrigation at 80.0% and 60.0% actual ETc, respectively, over the full irrigation (100.0% actual ETc). Ozer et al. (2020) imposed different deficit irrigation treatments to black cumin (Nigella sativa L.) in Turkey based on cumulative pan evaporation (CPE) approach. The results indicated yield reductions of 13.5%, 18.9%, and 30.1% at deficit irrigation levels of 80.0%, 60.0%, and 40.0% CPE, respectively, as compared to the yield (1413.50 kg/hm2) obtained under full irrigation (100.0% CPE). However, irrigation water use efficiency achieved under full irrigation was 6.2%, 23.0%, and 37.6% lower than that obtained under deficit irrigation at 80.0%, 60.0%, and 40.0% CPE, respectively. Mehta et al. (2014) irrigated cumin at three intervals, i.e., 12, 15, and 18 d by employing flooding method. The maximum cumin yield (471.00 kg/hm2) was obtained at the 18-d interval as compared to 12- and 15-d intervals. Besides, water productivity at the 18-d interval was also found higher (0.236 kg/m3) than that at 12-d (0.074 kg/m3) and 15-d (0.139 kg/m3) intervals. Rao et al. (2010) reported that the maximum yield (677.50 kg/hm2) and water productivity (0.311 kg/m3) were obtained for cumin irrigated through micro-sprinklers at irrigation water/cumulative pan evaporation (IW/CPE) of 0.8 as compared to that at IW/CPE of 1.0, 0.6, and 0.4. Jangir et al. (2007) reported that the water productivity for sprinkler-irrigated cumin having five irrigations was 0.260 kg/m3, and the crop yield was 411.00 kg/hm2. In a semi-arid area of India, adoption of drip and micro-sprinkler for irrigating cumin crop saved water quantities by 68.5% and 58.1%, respectively, over the flood irrigation (Singh et al., 2015). Also, drip irrigation (cumin yield of 319.50 kg/hm2) and micro-sprinkler irrigation (cumin yield of 314.85 kg/hm2) improved the water productivity by 4.74% and 4.29%, respectively, over the flood irrigation (cumin yield of 186.45 kg/hm2 and water productivity of 0.721 kg/m3). Kunapara et al. (2016) evaluated the effect of three deficit irrigation levels (i.e., IW/ETc of 0.6, 0.8, and 1.0) on cumin yield and water productivity in Junagarh, India. The results indicated the maximum crop yield (1255.78 kg/hm2) under deficit irrigation at IW/ETc of 0.8 as compared to that at IW/ETc of 1.0 (1042.83 kg/hm2) and 0.6 (1098.67 kg/hm2), whereas water productivity was found to be the maximum under deficit irrigation at IW/ETc of 0.6 (0.555 kg/m3), followed by the IW/ETc of 0.8 and 1.0 (0.476 and 0.316 kg/m3, respectively). Lal Mehriya et al. (2020) evaluated yield and water productivity under three irrigation levels, i.e., 40.0%, 60.0%, 80.0% CPE for drip-irrigated cumin and 80.0% CPE for flood-irrigated cumin. The maximum crop yield obtained at 80.0% CPE (1066.67 kg/hm2) under drip irrigation was higher as compared to that obtained at 60.0% CPE (1062.67 kg/hm2) and 40.0% CPE (934.67 kg/hm2) under drip irrigation and at 80.0% CPE (631.00 kg/hm2) under flood irrigation. The drip irrigation at 40.0% CPE resulted in the maximum water productivity (0.570 kg/m3) and water saving (39.0%), followed by 60.0% CPE (water productivity of 0.480 kg/m3 and water saving of 18.9%).
There exists many water-saving approaches for efficient irrigation application in arid areas including adoption of micro-irrigation methods, such as drip and sprinkler, and employing deficit irrigation practices. However, it is revealed from the literature that studies amalgamating two irrigation water saving strategies are rarely reported for arid areas. This study integrated micro-irrigation and deficit-irrigation approaches and demonstrated its successful application in arid areas of India. An experiment was undertaken to find the optimum level of deficit irrigation applied through a mini-sprinkler irrigation system in order to improve water productivity of cumin. Besides, this study explained how crop yield responds to deficit irrigation levels. Furthermore, this study computed changes in farmer's net income after the impacts of deficit irrigation and water savings, for example, changes in economy from yield reductions and from the saved water. Findings of this study are useful to save irrigation water in regions of water scarcity, and hence, the same may be adopted in other arid areas of the world to escalate economy of irrigated agriculture.

2 Materials and methods

2.1 Overview of the experimental site

This study was carried out at an experimental research farm (26°18′N, 73°01′E; 224 m a.s.l.) of the Indian Council of Agricultural Research (ICAR)-Central Arid Zone Research Institute (CAZRI), Jodhpur, Rajasthan in India. The arid climate of the study area features high diurnal and seasonal temperature variations, irregular annual and inter-annual precipitation patterns, and long dry seasons with strong winds. Long-term climate conditions during 1991-2020 along with short-term climate conditions in the study years (2019, 2020, 2021, and 2022) for the five months of the crop growth period (November-March) are shown in Table 1. The mean monthly values of the climatic parameters for the individual five months did not show any significant variations during the study period (Table 1). Precipitation events occur due to western disturbance at the experimental site. During the crop growth period, the total amount of precipitation was 13.0 and 16.4 mm during 2019-2020 and 2021-2022, respectively. The mean monthly relative humidity varied from 39.8% to 55.1% during 2019-2020, from 29.0% to 48.1% during 2020-2021, and from 26.1% to 57.6% during 2021-2022. The mean monthly minimum temperature varied from 10.3°C to 17.5°C during 2019-2020, from 10.5°C to 19.7°C during 2020-2021, and from 10.1°C to 20.8°C during 2021-2022, whereas the maximum temperature ranged from 22.8°C to 30.5°C during 2019-2020, from 24.5°C to 36.0°C during 2020-2021, and from 21.9°C to 37.0°C during 2021-2022. The mean monthly wind speed was below 1.2 m/s during the crop growth period. Generally, it is recommended that sprinkler irrigation practices be conducted only when wind speeds are below 2.2 m/s (Mohamed et al., 2019). Kumar et al. (2023) reported that uniformity coefficient of 75.0% for sprinkler systems under wind speeds between 1.1 and 2.2 m/s with spacing of 6 m×9 m is considered appropriate. Similarly, to maintain a uniformity coefficient of 85.0% under wind speeds of 0.0-1.1 m/s, a spacing of 6 m×9 m is acceptable.
Table 1 Long-term means of climate variables during 1991-2020 and short-term climate variable values in the study years 2019, 2020, 2021, and 2022) for the five months of the crop growth period (November-March) at the experimental site
Month Period (or year) Maximum temperature (°C) Minimum temperature (°C) Relative humidity (%) Wind speed
(m/s)
Precipitation (mm)
November 1991-2020 31.6 15.5 39.6 0.6 1.8
2019 29.8 18.6 54.8 0.8 1.4
2020 29.6 14.8 41.5 0.6 0.0
2021 31.0 15.8 37.2 0.4 0.0
December 1991-2020 27.2 11.7 43.3 0.7 1.2
2019 24.5 11.5 48.5 0.7 0.3
2020 26.9 12.3 41.6 0.6 0.0
2021 25.0 12.9 43.3 0.5 2.4
January 1991-2020 24.9 10.3 45.7 0.8 4.1
2020 22.8 10.3 55.1 0.8 1.6
2021 24.5 10.5 48.1 0.6 0.0
2022 21.9 10.1 57.6 0.6 14.0
February 1991-2020 28.3 13.0 39.5 0.9 4.0
2020 28.4 12.9 44.7 0.6 0.0
2021 30.9 13.5 38.0 0.4 0.0
2022 28.7 13.6 38.6 0.7 0.0
March 1991-2020 34.0 18.2 31.0 1.1 3.7
2020 30.5 17.5 39.8 1.2 11.4
2021 36.0 19.7 29.0 0.9 0.0
2022 37.0 20.8 26.1 0.8 0.0
Soil of the experimental site was originated from rhyolite and subsequently modified through alluvial and aeolian processes (Kumar et al., 2009). Taxonomically, the soil may be classified as coarse loamy, mixed, hyperthermic Camborthids. Soil organic carbon is inherently very low (1.6 g/kg) (Kumar et al., 2009). Physical soil properties of the experimental site are summarized in Table 2.
Table 2 Soil physical properties of the experimental site
Soil depth Proportion of soil particles (%) Bulk density (g/cm3) Field capacity (%) Permanent wilting point (%)
Clay Silt Sand
0-10 cm 7.5 10.8 81.7 1.65 8.98 3.44
10-20 cm 8.3 6.7 85.0 1.66 8.59 3.48
20-30 cm 9.6 7.5 82.9 1.62 9.76 3.87

2.2 Experimental design

2.2.1 Crop experiment

Seeds of cumin (variety GC-4) were sown on 23 November 2019, 10 November 2020, and 10 November 2021 at a depth of 1.0-1.5 cm using a seed drill, with a seeding rate of 10-12 kg/hm2 and row spacing of 30.0 cm, to achieve the optimum plant population. Recommended dose of fertilizer with 25 kg N/hm2 and 20 kg P2O5/hm2 was applied through urea and di-ammonium phosphate (DAP) at the time of sowing using a seed drill (Mehta et al., 2014). Other cultural practices, adopted as per the recommended package of practices, were uniformly adopted in all irrigation treatments. Crop was harvested at maturity on 20 March 2020, 8 March 2021, and 16 March 2022. Irrigation water was applied using a mini-sprinkler system based on IW/CPE approach. The four irrigation treatments consisted of full irrigation at IW/CPE of 1.0 (T1) and deficit irrigation at IW/CPE of 0.8 (T2), 0.6 (T3), and 0.4 (T4), which were replicated thrice. Crop in all treatments was irrigated on same day when CPE in treatment T1 reached 50.0 (±5.0) mm. The daily evaporation was measured through Class-A open pan evaporimeter at the Agro-meteorological Observatory of the ICAR-CAZRI, Jodhpur nearby the experimental site, and the daily values were sum up to obtain CPE. The experiment site covering an area of 0.10 hm2 with net size of 7 m×11 m (77 m2) for each plot and three replicated plots for each treatment.

2.2.2 Installation of mini-lysimeters

A total of four mini-lysimeters (50 cm length×50 cm width×55 cm depth) were installed at the experimental site in 2020. The mini-lysimeter consists of a single load cell for actual measurement of water balance components. Calibration was carried out in the field to find the conversion factor for unit change in weight of the mini-lysimeter in terms of depth of applied water. It was found that the weight of the mini-lysimeter changed by 1.0 kg on adding 4.0 mm depth of water. Furthermore, the least count of the mini-lysimeter was found to be 0.2 mm (Meena et al., 2015).

2.2.3 Irrigation application and uniformity

A pipe network for mini-sprinkler irrigation was installed in the experimental field, which was operated using a 1 HP centrifugal pump. The irrigation network consisted of a main pipe (high-density polyethylene pipe of 63.0 mm diameter and 2.5 kg/cm2 pressure), screen filter (25.0 m3/h capacity), linear low-density polyethylene (LLDPE) plain lateral (32.0 mm diameter and 2.5 kg/cm2 pressure), pressure gauge, sprinkler head, and risers. At each sprinkler head, we fixed a twin-nozzle mini-sprinkler (model Monsoon S-10) with nozzle size of 2.5 mm ×1.5 mm. In this study, part-circle mini-sprinklers were used at the corners of the field to avoid unnecessary water losses outside the field boundary that are common in case of a full circle (360°) sprinkler. In part-circle sprinkler, water jet can be easily adjusted to rotate within any range of angles (0°-360°). The entire experimental plot (net size of 21 m×11 m under 3 replications) of each treatment was watered using six mini-sprinklers with part-circle nozzles fixed at four corners and two mini-sprinklers at the center of the plot. The mini-sprinklers at four corners were adjusted to shower the water up to 90° angle and two mid-point mini-sprinklers at 180° angle. There was an alley of 1 m between two adjacent plots to ease the field work, including intercultural operations and data collection. Irrigation was provided at operating pressures of 1.0-1.5 kg/cm2 at the nozzles. The average discharge of a single sprinkler nozzle was 480 L/h, whereas the average precipitation rate of the sprinkler system was 4.6 mm/h. Irrigation was required to germinate cumin seeds in sandy loam soil of the study area. The seeds of cumin were very fine and sown at just soil surface layer not beyond the depth of 3 cm. It required moist soil surface for optimum seed germination, and therefore, at least three irrigations were required for crop establishment.
In this study, the catch can method was utilized to determine the depth (amount) of irrigation water falling on the experimental plots and captured by the plant root zone. Also, the catch cans' data were used to determine the uniformity coefficient. In the catch can experiment, a total of 66 cylindrical-shaped plastic cans (size of 98.0 mm length×98.0 mm diameter) were placed in grid pattern (grid size of 2 m×2 m) over each of the four treatment plots (size of 21 m×11 m) once during the irrigation application. At the end of the irrigation, the amount of water captured by the individual cans was recorded using a measuring cylinder. The average values of irrigation application were used to determinate the average discharge of the mini-sprinkler nozzle. Hence, the average irrigation application rates of the mini-sprinkler system obtained ranged from 6.0 to 8.0 mm/h. The results indicated that the uniformity coefficient of irrigation application ranged from 70.0% to 75.0%.

2.2.4 Field observations and measurements

In this study, the recording field observations started just after sowing of crop. Amount of applied irrigation water was monitored based on sprinklers' operational hours and their average nozzle discharge was cross-checked by monitoring changes in weights of the mini-lysimeters before and after the irrigation application. In addition, actual ETc and drainage occurring from the mini-lysimeters were measured daily by weighing the lysimeters daily at 08:30 (LST) during the entire crop growth period of the three study periods (2019-2020, 2020-2021, and 2021-2022). Daily precipitation was recorded using a non-recording type of rain gauge installed at the Agro-meteorological Observatory adjacent to the experimental site. Furthermore, daily soil temperatures of the mini-lysimeters were recorded twice a day at 07:38 and 14:38 for all the four treatments using soil thermometers installed at 5 cm depth. Moreover, treatment-wise plant growth parameters, i.e., plant height, number of branches, crop yield, number of umbels, and number of umblets, were recorded for three selected plants randomly.

2.3 Measurement of soil moisture content

Soil moisture at two depths (i.e., 0-15 and 15-30 cm) from three plots for each treatment was determined at weekly interval as well as before and after irrigation application by collecting soil samples using an auger. The collected samples were stored in moisture boxes and were immediately transported to the laboratory to avoid moisture loss. The samples were weighed and dried in an oven at 105.0°C for 48 h till the weight was constant. After drying, the samples were weighed and volumetric water content (mm) was computed by multiplying moisture content (%) with bulk density (g/cm3) of individual soil layers. Finally, the volumetric water content was converted to water depth (mm) by multiplying with depth (mm) of soil layer (Ali, 2010).

2.4 Computation of actual ETc

The daily actual ETc from mini-lysimeters of full and deficit irrigations was computed using the following water balance equation (Doorenbos and Kassam, 1979; Jensen et al., 1990; Allen et al., 1991):
$\text{Actual E}{{\text{T}}_{\text{c}}}=P+I-D-R\pm \Delta S$,
where P is the amount of precipitation (mm); I is the amount of irrigation application (mm); D is the amount of drainage occurring from the mini-lysimeter (mm); R is the surface runoff (mm); and ΔS is the change in soil moisture of the mini-lysimeter tank (mm).
As precipitation was negligible during the crop growth period and irrigation was applied at a controlled rate through mini-sprinklers, water never overflowed the top surface of the mini-lysimeters during all the years. Therefore, surface runoff was considered as zero. Daily precipitation was obtained from the rain gauge and amount of irrigation application was computed. The amount of drainage occurring from the mini-lysimeter was computed by taking difference of two consecutive daily lysimeter readings, i.e., first, on the day when precipitation or irrigation event occurred and second, on the next day after draining out surplus water. Drainage never occurred in response to any precipitation and irrigation events during the entire study period, which indicated that soil moisture could not exceed the soil's saturation capacity. Accordingly, the amount of drainage occurring from the mini-lysimeter was considered as zero in the study. As runoff and drainage components were absent in the water balance equation (Eq. 1), consecutive daily weights of the mini-lysimeters were simply differenced to obtain the value of ΔS on no-irrigation days.

2.5 Assessment of crop water productivity

The crop water productivity is defined as the ratio of economic crop yield to amount of water used by crop in the process of evapotranspiration, and the formula is as follows (Droogers and Bastiaanssen, 2002; Cetin and Akinci, 2022):
$\text{CWP=}Y\text{/E}{{\text{T}}_{s}}$,
where CWP is the crop water productivity (kg/m3); Y is the economic yield of crop (kg/hm2); and ETs is the seasonal actual ETc (m3/hm2).

2.6 Estimating the impact of deficit irrigation on cost-economics of cumin cultivation

The deficit irrigation practice saves water at the cost of reduction in crop yields. In this study, it was examined how the farmer's net income was affected due to water saving as well as crop yield reduction. The saved water may be utilized to bring additional area for crop irrigation. On the other hand, reduction in cumin yield under all the deficit irrigation treatments can diminish the farmer's net income. Thus, this deficit irrigation practices may be difficult to get adopted by the farmer community. Furthermore, the farmer's income may not have direct relations with the water productivity, and hence, the farmers may show reluctance in accepting water saving techniques (Pereira et al., 2012). Also, environmental and economic criteria usually have contrast to each other, which means water saving approach may lead to the adoption of advanced solutions; on the other hand, economic approach may result in non-acceptance of water saving techniques (Gonçalves et al., 2011). Therefore, it became necessary to adjudge the economic feasibility of the best deficit irrigation treatment considering both additional costs and benefits in addition to examining the feasibility of deficit irrigation simply based on water productivity values. All such changes in the economic computations led to an estimate of changes in farmer's net income from 1-hm2 land, and all other cost and benefit parameters related to cumin cultivation (e.g., cost of cultivation, selling price, etc.) were kept constant except cost of irrigation application, crop yield, and total production. Also, it was assumed that the saved water could be utilized for raising irrigated cumin in the extra land using the same irrigation practice that was considered for particular irrigation levels. The local selling price of cumin was considered to be 1.67 USD/kg (1 USD= 86.87 INR) (https://www.xe.com/currencyconverter/ convert/?Amount=1&From=INR&To=USD) accessed on 11 February 2025 for this study (Meena et al., 2021c).

2.7 Computation of crop yield response factor

The response of crop yield to deficit irrigation or moisture stress throughout the crop growth period was quantified in terms of crop yield response factor (or crop water production function). The crop yield response factor for three deficit irrigation treatments was estimated using the following formula (Doorenbos and Kassam, 1979):
${{K}_{y}}\text{= }\frac{\left( 1-{{Y}_{a}}/{{Y}_{m}} \right)}{\left( 1-\text{E}{{\text{T}}_{a}}/\text{E}{{\text{T}}_{m}} \right)}$,
where Ky is the crop yield response factor; Ya is the actual crop yield (kg/hm2) obtained under three deficit irrigation treatments (T2, T3, and T4); Ym is the maximum crop yield (kg/hm2) obtained under T1; ETm is the maximum actual ETc (mm) under T1; ETa is actual ETc (mm) under three deficit irrigation treatments (T2, T3, and T4); and 1-(Ya/Ym) is the relative reduction in crop yield to the corresponding relative deficit in actual ETc (i.e., 1-(ETa/ETm)).

2.8 Statistical analysis

In this study, one-way analysis of variance (ANOVA) was performed to evaluate the effect of full irrigation and deficit irrigation on actual ETc, crop yield, and crop water productivity. The null hypothesis considered that the population means of full and deficit irrigation treatments were same against the alternative hypothesis of presence of inequality in at least two treatments. Prior to performing the ANOVA, two assumptions of presence of normality and homogeneity of variance were examined and validated by applying the Shapiro-Wilk test and Levene's F-test, respectively (Miller, 1997). The multiple comparison method was adopted for testing the null hypothesis, where the population mean of one treatment was pair-wise compared with the population mean of other treatments by using the Fisher's Least Significant Difference (LSD) test. All statistical analyses were performed using R 4.2.2 software.

2.9 Exploring relationships among crop yield, actual ETc, and irrigation application

This study modeled the impacts of deficit irrigation treatments on reductions in actual ETc and crop yield by exploring relationships among them. The linear empirical relationships among crop yield, actual ETc, and irrigation application were developed for full irrigation and deficit irrigation using regression analysis. Furthermore, extent of the developed relationships (i.e., crop yield-actual ETc, crop yield-irrigation application, and actual ETc-irrigation application) was evaluated by applying the criterion of coefficient of determination (R2).

3 Results and discussion

3.1 Dynamics of soil moisture

Soil moisture measured under full and deficit irrigation treatments is depicted in Figure 1. The largest variation of soil moisture in soil profile due to irrigation application occurred under T1 (7.3-34.8 mm), followed by T2 (7.9-29.9 mm), T3 (6.5-22.8 mm), and T4 (4.3-19.5 mm). The reason could be that under treatment T1 with adequate availability of soil water, the crop roots extract relatively large water quantities in the process of evapotranspiration, which is further supported by plentiful annual average solar irradiance (5.2 kW h/m2) in the study area due to hot arid climate (Santra et al., 2021). Similar findings were reported by Hassan and Ali (2016) where soil moisture was found 20.3%, 30.0%, 35.2%, and 38.6% lower under deficit irrigation at 20.0% of potential evapotranspiration (ETP) in comparison to that measured under irrigation at 40.0%, 60.0%, 80.0%, and 100.0% ETP, respectively. In fact, depletion rate of soil moisture from a cropped area remains directly proportional to amount of water availability in soil profile, and this is largely controlled by imposing deficit irrigation as is the case of this study. Accordingly, the mean soil moisture at 0-30 cm depth were in order of 31.3 (±6.5) mm (T1)>28.7 (±6.0) mm (T2)>27.9 (±5.8) mm (T3)>24.5 (±5.1) mm (T4) (Fig. 1a1-a4). Likewise, during the crop growth period of 2020-2021, the mean soil moisture can be ranked as: 26.3 (±5.5) mm (T1)>24.7 (±5.2) mm (T2)>22.7 (±4.7) mm (T3)>21.4 (±4.5) mm (T4) (Fig. 1b1-b4), and a slight difference can be found as 26.8 (±5.4) mm (T1)>25.8 (±5.2) mm (T2)>26.5 (±5.6) mm (T3)>25.2 (±5.4) mm (T4) during the crop growth period of 2021-2022 (Fig. 1c1-c4). Overall, the soil moisture depletion was the maximum under the largest irrigation deficit (T4), while the depletion was relatively less under full irrigation (T1) and moderate irrigation deficit (T2). The dynamics of soil moisture were more or less similar under T1 and T2, as well as T3 and T4. This finding indicated that choosing an optimized level of deficit irrigation is the key to efficient management of irrigation water in water-scarce hot arid regions. It is further reported that in addition to managing irrigation water applications, sprinkler irrigation can increase the yield and quality of food production in undulating areas of the western Rajasthan (Ravindran et al., 2006).
Fig. 1 Soil moisture dynamics under different irrigation treatments (T1-T4) during the crop growth period of 2019-2021 (a1-a4), 2020-2021 (b1-b4), and 2021-2022 (c1-c4). T1, T2, T3, and T4 were designed at irrigation water/cumulative pan evaporation (IW/CPE) of 1.0, 0.8, 0.6, and 0.4, respectively. Error bars mean standard errors.

3.2 Dynamics of daily and seasonal actual ETc

The mean values of daily actual ETc during the crop growth period of 2019-2020 were 3.2 (±0.1) mm, 2.9 (±0.1) mm, 2.6 (±0.1) mm, and 2.1 (±0.1) mm under T1, T2, T3, and T4, respectively (Fig. 2a1-a4). Similarly, the mean values of daily actual ETc during the crop growth period of 2020-2021 were 3.2 (±0.1) mm, 2.9 (±0.1) mm, 2.2 (±0.1) mm, and 1.7 (±0.1) mm under T1, T2, T3, and T4, respectively (Fig. 2b1-b4). During the crop growth period of 2021-2022, the values were 2.7 (±0.1), 2.5 (±0.1), 2.1 (±0.1), and 1.7 (±0.1) mm under T1, T2, T3, and T4, respectively (Fig. 2c1-c4). The amount of water evaporated from the evaporation pan over the entire crop growth period was obtained as 405.0, 430.0, and 522.0 mm during 2019-2020, 2020-2021, and 2021-2022, respectively, which was indicative of evaporation from the bare soil. It was observed that the amount of water used in the evapotranspiration process by cumin crop was the highest (360.0-380.0 mm) under T1, followed by T2 (327.0-338.0 mm), T3 (249.0-294.0 mm) and T4 (188.0-240.0 mm). The values of actual ETc closely followed the values of CPE from vegetative to reproductive stages of crop due to good canopy cover, which resulted in the high actual ETc. In addition, the initial phase of cumin crop (20-25 days after sowing (DAS)) was considered as establishment stage, when the loss of water was mainly through evaporation process rather than transpiration due to less canopy cover (5.0%-10.0%). After crop establishment, crop canopy started expanding from 50 to 60 DAS, and simultaneously, crop transpiration increased; this duration was considered as crop development stage. Thereafter, crop attained the maximum canopy cover (40.0%-55.0%) from 85 to 100 DAS, which was considered as the middle stage. Finally, the crop attained maturity from 105 to 125 DAS and this was the last/end stage, when leaf colour became yellowish due to loss of chlorophyll. These findings are in close agreement to those reported for black cumin (Nigella sativa L.) under the similar climatic conditions of Iran, where the mean actual ETc value was low (15.0 mm) at the initial stage and gradually increased up to 103.7 mm during crop development stage, and finally decreased to 21.1 mm at maturity stage (Ghamarnia et al., 2014). Similar variations in the actual ETc pattern were reported during the crop growth period of coriander, where the actual ETc value was low during 0-30 DAS, gradually increased during 70-100 DAS, and finally decreased during 100-110 DAS (Ghamarnia et al., 2013). We also observed that the time plot of evapotranspiration occurrence generally followed a sigmoid curve as plant growth curve during the plant life cycle.
Fig. 2 Daily actual crop evapotranspiration (ETc) dynamics under different irrigation treatments (T1, T2, T3, and T4) during the crop growth period of 2019-2021 (a1-a4), 2020-2021 (b1-b4), and 2021-2022 (c1-c4). OPE, open pan evaporation.
The mean values of seasonal actual ETc computed from the pooled data of three crop growth periods during 2019-2022 are shown in Table 3. The mean seasonal actual ETc was the highest (371.8±10.4 mm) under T1, followed by 333.0 (±5.6) mm under T2, 272.7 (±22.6) mm under T3, and 218.3 (±27.1) mm under T4. The seasonal water requirement of cumin, as reported in the literature, varied from 335.0 to 416.4 mm (Khajehpour, 1986; Saeedinia et al., 2018). Hence, the pooled value of the seasonal actual ETc in this study indicated that loss of water during the plant evapotranspiration process was influenced by the amount of deficit irrigation water applied.
Table 3 Seasonal actual ETc, crop yield, and crop water productivity under four irrigation treatments
Treatment Actual ETc (mm) Crop yield (kg/hm2) Crop water productivity (kg/m3)
T1 371.7±10.4a 952.47±238.07a 0.257±0.069
T2 333.0±5.6a 904.80±216.94b 0.272±0.068
T3 272.7±22.6b 682.13±160.71c 0.253±0.071
T4 218.3±27.1b 468.20±39.29d 0.218±0.048

Note: ETc, crop evapotranspiration. T1, T2, T3, and T4 were designed at irrigation water/cumulative pan evaporation (IW/CPE) of 1.0, 0.8, 0.6, and 0.4, respectively. Values are mean±SD. Different lowercase letters represent statistically significant difference (P<0.05) among different irrigation treatments.

3.3 Dynamics of crop yield and crop water productivity

According to Table 3, similar to actual ETc, the maximum crop yield (952.47±238.07 kg/hm2) was obtained under T1, followed by 904.80 (±216.94) kg/hm2 under T2, 682.13 (±160.71) kg/hm2 under T3, and 468.20 (±39.29) kg/hm2 under T4. This indicated a considerable impact of deficit irrigation on crop yield. It is further apparent that 20.0% deficit of applied irrigation water from T1 to T2 resulted in only 5.0% yield reduction of cumin (Table 4). This finding shows harmony with the results reported by Hassan and Ali (2016), where yield of cumin decreased by 1.1% under drip irrigation at 80.0% ETP and by 8.2% under drip irrigation at 80.0% ETP, as compared to that under drip irrigation at 100.0% ETP. They further reported considerably higher yield reductions beyond deficit irrigation at 60.0% ETP, i.e., 22.5% and 27.4% reductions at 40.0% and 20.0% ETP, respectively. Similar findings were reported by Lal Mehriya et al. (2020), where cumin yield reduced up to 1066.67, 1062.67, and 934.67 kg/hm2 on imposing deficit irrigation at 80.0%, 60.0%, and 40.0% CPE, respectively. Likewise, Bondok and El-Sharkawy (2014) observed 22.8% and 59.4% reductions in cumin yield under deficit irrigation at 80.0% and 60.0% actual ETc, respectively as compared to yield under deficit irrigation at 100.0% actual ETc. In contrast to these findings, a couple of Indian studies reported the highest yield under deficit irrigation at IW/CPE of 0.8 in comparison to that obtained at IW/CPE of 1.0 in case of drip-irrigated cumin in Junagarh District of Gujarat and sprinkler-irrigated cumin in Pali District of Rajasthan (e.g., Rao et al., 2010; Kunapara et al., 2016). Similar findings of the highest seed yield under deficit irrigation at IW/CPE of 0.8 were also reported for other seed spices (e.g., Lakpale et al., 2007). Relatively high crop yield under deficit irrigation at IW/CPE of 0.8 in comparison to full irrigation in Pali District of Rajasthan may be likely due to the presence of soils having higher water holding capacity (which can reduce drought stress level in plants) in comparison to soil at the experimental site of this study. On the other hand, comparatively higher yield in deficit irrigation over the full irrigation in Junagarh District of Gujarat may be due to drip irrigation, which could replenish the depleted soil moisture in the root zone by continuously supplying controlled water that remains available to plants during stress conditions. The use of micro-irrigation system (e.g., drip irrigation, micro- or mini-sprinkler irrigation) saved water, energy, and fertilizer by 50.0%-90.0%, 31.0%, and 29.0%, respectively, in comparison to flood irrigation (Kumar et al., 2021). Water productivity of drip-irrigated cumin was reported superior to that irrigated by surface irrigation and sprinkler irrigation (Singh et al., 2015). This may be due to the fact that use of micro-irrigation system can decrease air temperature and increase relative humidity, which ultimately lead to reduction in vapor pressure deficit. The vapour pressure deficit regulates the physiological processes of the plants, including enhancing water use efficiency and reducing transpiration rate (Liu et al., 2021).
Table 4 Costs and benefits under deficit irrigation along with change in farmer's net income from 1-hm2 land
Treatment Water saving Decrease
in actual ETc
Decease in
yield
Reduction in cost of water application Additional income from saved water Combined irrigation benefits Monetary loss due to yield reduction Change in net income of farmer
% mm mm % kg/hm2 USD/hm2 USD/hm2 USD/hm2 USD/hm2 USD/hm2
T2 20.0 38.67 10.40 5.0 47.67 12.74 175.86 188.61 79.79 108.82
T3 40.0 99.00 26.64 28.4 270.34 32.62 414.53 447.16 452.49 -5.32
T4 60.0 153.33 41.26 50.8 484.27 50.53 550.35 600.88 810.55 -209.67
It is worth mentioning that the crop water productivity of cumin in this study was the maximum under T2 (0.272±0.068 kg/m3), followed by T1 (0.257±0.069 kg/m3), T3 (0.253±0.071 kg/m3), and T4 (0.218±0.048 kg/m3) (Table 3). This finding shows coherence with results of Rao et al. (2010), where the maximum crop water productivity (0.310 kg/m3) of sprinkler-irrigated cumin was obtained under deficit irrigation at T2, as compared to full irrigation and other deficit irrigation treatments. Improvement in the crop water productivity of cumin with reduced irrigation application was reported in other studies (Bondok and El-Sharkawy, 2014; Hassan and Ali, 2016; Kunapara et al., 2016; Lal Mehriya et al., 2020) as well as in this study. Other than cumin, water productivity of coriander also increased under restricted water applications, with the highest water productivity obtained under the water deficit stress (Aliabadi et al., 2008). The above discussion revealed that by imposing a little deficit in irrigation application, the crop water productivity may be considerably enhanced. Accordingly, irrigation application of T2 was found beneficial in improving water productivity of cumin crop in arid areas. However, increase in IW/CPE beyond T2, such as T3 and T4, resulted in significant reductions in cumin yield (28.4% and 50.8%, respectively), which may somewhat lessen the crop water productivity. In addition to being advantageous in improving the water productivity, the deficit irrigation practice may also help in reducing the evaporation and percolation losses of water in arid areas. In fact, water is the most limiting factor in crop production under hot arid climate due to competition of evaporation (high solar radiation and high atmospheric water demand) and infiltration (poor water-holding capacity of the soils) in arid areas. Hence, deficit irrigation is one of important strategies in arid areas where water saved through deficit irrigation may be used to convert additional rainfed (dry) area to irrigated (green) area.

3.4 Impact of deficit irrigation on cost-economics of cumin cultivation

The unit cost of irrigation through the mini-sprinkler irrigation system was computed to be 0.33 USD/(hm2•mm) (Meena et al., 2021a), indicating that it costed 0.33 USD in applying 1.0 mm depth of water in 1-hm2 area. As the deficit irrigation saved 20.0% (T2), 40.0% (T3), and 60.0% (T4) water as compared to that applied in full irrigation (T1), the cost of irrigation water application decreased by 12.74, 32.62, and 50.53 USD, respectively (Table 4). When the saved water was utilized to raise the crop in additional areas, it could result in added monetary benefits of 175.86 USD under T2, 414.53 USD under T3, and 550.35 USD under T4. On the other hand, deficit irrigation resulted in yield reductions of 5.0% (T2), 28.4% (T3), and 50.8% (T4) over the treatment T1, which revealed monetary loss of 79.79, 452.49, and 810.55 USD, respectively. These computations of cost-economics revealed that the change in farmer's net income from 1-hm2 land was positive (108.82 USD) in case of T2, and negative in case of T3 (5.32 USD) and T4 (209.67 USD). This finding indicated that the treatment T2 was economically advantageous over the other two treatments (T3 and T4) in terms of farmer's net income regardless of the values of the crop water productivity.

3.5 Response of actual ETc, crop yield, and crop water productivity to deficit irrigation

Results of Shapiro-Wilk's test revealed that the dependent variables (actual ETc and crop yield) were normally distributed (P>0.05). Similarly, Levene's F-test confirmed the equal variances across the groups of actual ETc and crop yield (P>0.05). Further, the result of one-way ANOVA showed that there was statistically significant difference (P<0.05) among the four irrigation treatments, i.e., T1, T2, T3, and T4, for actual ETc and crop yield. Results of the pair-wise comparisons of treatments based on Fisher's LSD post-hoc test are presented in Table 3. It can be seen that the amount of water transferred to the atmosphere from cumin crop through evapotranspiration process was not significantly different for treatments T1 (371.7 mm), T2 (333.0 mm), and T3 (272.7 mm) even if the actual ETc under T3 was about 100.0 mm less than that occurring under T1. Likewise, there was no significant difference for the actual ETc between T3 and T4. On the other hand, values of crop yield were found to be significantly different from each other among the four irrigation treatments. It is worth noting that there was a difference of only 5.0% in crop yield between T1 (952.47 kg/hm2) and T2 (904.80 kg/hm2); however, this difference was found statistically significant, which was likely due to the large standard deviations in crop yield under treatments T1 (238.07 kg/hm2) and T2 (217.94 kg/hm2) compared to T3 (161.71 kg/hm2) and T4 (39.29 kg/hm2) (Table 3). Similar to this study, findings of Hassan and Ali (2016) showed significant difference in cumin yield at different levels of irrigation. Also, Lal Mehriya et al. (2020) reported the highest seed yield of drip-irrigated cumin under deficit irrigation at 80.0% CPE followed by that under deficit irrigation at 60.0% CPE in arid areas of Rajasthan. Likewise, Hassan and Ali (2014) reported significant difference in coriander yield at different irrigation levels. In this study, the lower water productivity at high levels of irrigation applications could be due to greater loss of water in terms of actual ETc than the corresponding increase in seed yield (Kamkar et al., 2011). It is worth mentioning that the large variation or high standard deviation in crop yield in this study was likely due to relatively low yield of cumin crop obtained in the first year of the experiment mainly caused by the presence of stones, pebbles, and concrete in the soil during first time cultivation and less crop germination in the experimental field.

3.6 Tolerance of the cumin crop to water stress under deficit irrigation

The results of crop yield response factor revealed a positive linear relationship between crop yield and amount of applied irrigation water (Fig. 3). It can be observed that yield of cumin crop increased at higher irrigation levels. On the other hand, the yield response factor, represented as slope of the relationship between relative reduction in crop yield and relative deficit in actual ETc, was found to be 0.48, 1.07, and 1.23 under deficit irrigation treatments T2, T3, and T4, respectively (Table 5). This suggested that cumin crop was highly sensitive to water stress beyond the water deficits of T2. This supported the earlier finding that deficit irrigation of T2 was advantageous over the full irrigation (T1) for improving crop water productivity with 5.0% yield reduction and 20.0% water saving. Furthermore, the overall crop yield response factor was 0.89 for all the irrigation treatments based on the cumulative data during the three crop growth periods (Fig. 3), indicating the tolerance of the cumin crop to water stress under deficit irrigation practice when cultivated in arid lands.
Fig. 3 Relationship between relative deficit in actual ETc (1-(ETa/ETm)) and relative reduction in crop yield (1-(Ya/Ym)) indicating the overall crop yield response factor. ETa is actual ETc under three deficit irrigation treatments (T2, T3, and T4); ETm is the maximum actual ETc under T1; Ya is the actual crop yield obtained under three deficit irrigation treatments (T2, T3, and T4); Ym is the maximum crop yield obtained under T1.
Table 5 Crop yield response factor under different irrigation treatments (averaged over three crop growth periods)
Treatment Actual ETc (mm) Maximum actual ETc (mm) Relative deficit in actual ETc Actual
crop yield (kg/hm2)
Maximum
crop yield (kg/hm2)
Relative reduction in
crop yield
Crop yield response factor
T1 371.67 371.67 - 952.47 952.47 - -
T2 333.00 371.67 0.10 904.80 952.47 0.05 0.48
T3 272.67 371.67 0.27 682.13 952.47 0.28 1.07
T4 218.33 371.67 0.41 468.20 952.47 0.51 1.23

Note: "-" means no data.

3.7 Impacts of deficit irrigation treatments on actual ETc and crop yield

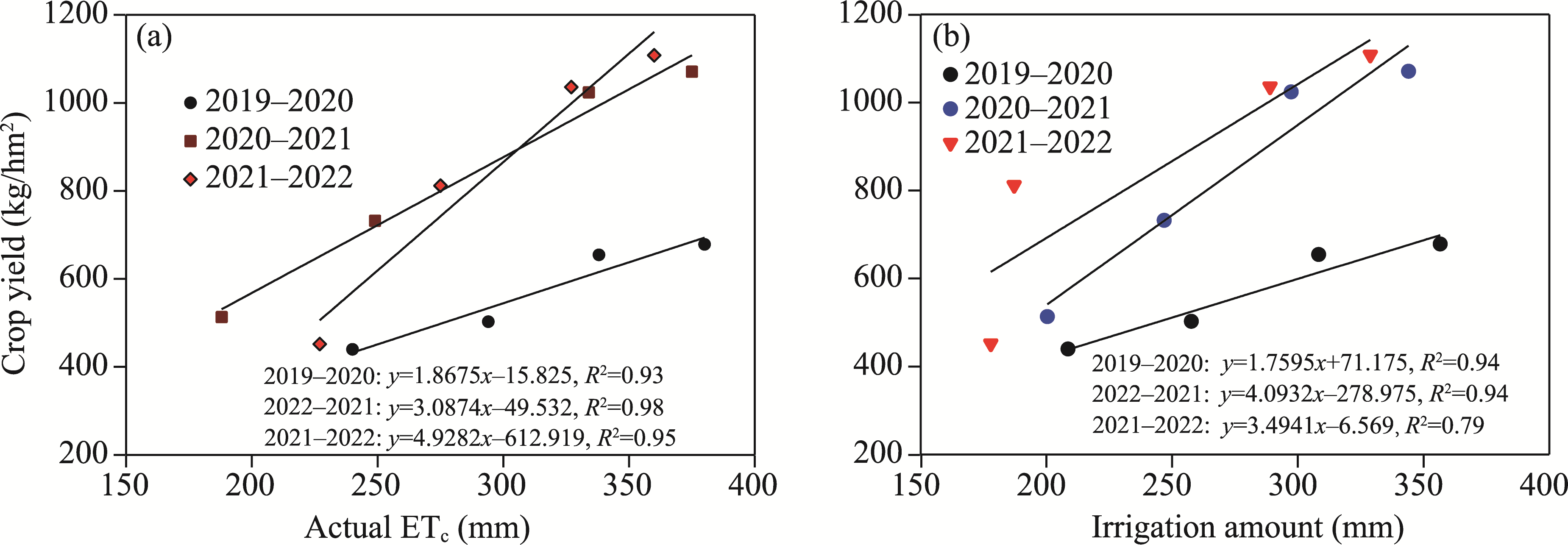
Results of linear regression analyses exploring relationships among crop yield, actual ETc, and amount of applied irrigation water are presented in Figures 4 and 5. It is revealed that a very strong linear relationship (R2 of 0.93-0.98) existed between crop yield and actual ETc (Fig. 4a). Similarly, linear relationship between crop yield and amount of applied irrigation water was found strong (R2 of 0.79-0.94) for the pooled data of four irrigation treatments (Fig. 4b). Both the relationships indicated that crop yield increases with higher amounts of actual ETc as well as increasing irrigation water during the crop growth period. Likewise, results of the linear regression between actual ETc and amount of irrigation water suggested a very strong linear relationship (R2=0.86) (Fig. 5). This finding indicated the more chances of water loss from the soil through the process of actual ETc under higher irrigation application because of relatively high atmospheric water demand in hot arid climate of the study area.
Fig. 4 Scatter diagram between crop yield with actual ETc (a) and amount of applied irrigation water (b) during the three crop growth periods
Fig. 5 Scatter diagram between actual ETc and amount of applied irrigation water during the entire crop growth period

4 Conclusions

This study adopted integration of two water-saving approaches, i.e., micro-irrigation (mini-sprinkler) and deficit irrigation to improve the water productivity of cumin in arid areas of Rajasthan, India. We further determined the actual ETc under deficit irrigation through lysimeter and computed changes in the farmer's net income, considering cost of applying irrigation water and yield reductions of cumin under deficit irrigation. The highest crop yield (952.41 kg/hm2) was obtained under T1 with 5.0%, 28.4%, and 50.8% yield reductions under T2, T3, and T4, respectively. Thus, T2 showed an optimum level of deficit irrigation, which saved 20.0% water in comparison to full irrigation with a slight reduction of cumin yield. In addition, the highest crop water productivity of 0.272 (±0.068) kg/m3 was obtained under T2, with slightly lower values of crop water productivity under T1 (0.257±0.069 kg/m3), T3 (0.253±0.071 kg/m3), and T4 (0.218±0.048 kg/m3). Furthermore, the computation of changes in farmer's net income from 1-hm2 land revealed added benefits due to decrease in cost of irrigation water application and also gain in additional crop produce by applying saved water under T2 (108.82 USD) while there was a loss under treatments T3 (5.32 USD) and T4 (109.67 USD). Findings of this study indicated that crop water productivity can be maximized in hot arid areas by creating a little deficit of water in the crop root zone and sacrificing for the minor crop yield. The integrated strategy of employing deficit irrigation through mini-sprinkler system, proved successful in this study, may be useful in other water scarce drylands of the world to save water resources and bring more areas under irrigation. Moreover, it is observed that the land areas under some water-intensive crops, such as groundnut, fennel, onion, and carrot, increased in the western arid region of India where water resources are limited. Thus, the findings of this study seem applicable to those areas to save water resources and sustain arid agriculture. This study employed deficit irrigation in conjunction with mini-sprinklers, and future studies could explore integrating deficit irrigation with other pressurized irrigation systems such as surface and subsurface drip irrigation methods.

Conflict of interest

The authors declare that they have no known competing financial interests or personal relationships that could have appeared to influence the work reported in this study.

Acknowledgements

The authors are grateful to the Indian Council of Agricultural Research (ICAR)-Central Arid Zone Research Institute (CAZRI), Jodhpur for providing necessary facilities to carry out this work. Authors are also thankful to two anonymous reviewers and editors for providing constructive comments on the earlier version of this paper.

Author contributions

Conceptualization: Hari Mohan MEENA, Deepesh MACHIWAL, Priyabrata SANTRA; Methodology: Hari Mohan MEENA, Deepesh MACHIWAL, Vandita KUMARI; Formal analysis and investigation: Hari Mohan MEENA, Deepesh MACHIWAL; Writing - original draft preparation: Hari Mohan MEENA, Deepesh MACHIWAL; Writing - review and editing: Deepesh MACHIWAL, Priyabrata SANTRA, Saurabh SWAMI, Vandita KUMARI. All authors approved the manuscript.
[1]
Ali M H. 2010. Fundamentals of Irrigation and On-farm Water Management: Volume 1. New York: Springer Science, 1-560.

[2]
Aliabadi F H, Lebaschi M H, Shiranirad A H, et al. 2008. Effects of arbuscular mycorrhizal fungi, different levels of phosphorus and drought stress on water use efficiency, relative water content and proline accumulation rate of coriander (Coriandrum sativum L.). Journal of Medicinal Plants Research, 2(6): 125-131.

[3]
Allen R G, Howell T A, Pruitt W O, et al. 1991. Lysimeters for Evapotranspiration and Environmental Measurements:Proceedings of the International Symposium on Lysimetry. New York: American Society of Civil Engineers, 444.

[4]
Attia A, El-Hendawy S, Al-Suhaibani N, et al. 2021. Evaluating deficit irrigation scheduling strategies to improve yield and water productivity of maize in arid environment using simulation. Agricultural Water Management, 249: 106812, doi: 10.1016/j.agwat.2021.106812.

[5]
Bettaieb I, Knioua S, Hamrouni I, et al. 2011. Water-deficit impact on fatty acid and essential oil composition and antioxidant activities of cumin (Cuminum cyminum L.) aerial parts. Journal of Agricultural and Food Chemistry, 59(1): 328-334.

[6]
Bondok M Y, El-Sharkawy A F. 2014. Management of sprinkler irrigation system for cumin in Old Valley. Egyptian Journal of Agricultural Research, 92(3): 1047-1062.

[7]
Cetin O, Akinci C. 2022. Water and economic productivity using different planting and irrigation methods under dry and wet seasons for wheat. International Journal of Agricultural Sustainability, 20(5): 844-856.

[8]
Dar E A, Mehdi M, Ahmad M, et al. 2019. Cumin: the flavour of Indian cuisines-history, cultivation and uses. Chemical Science Review Letters, 8(29): 129-135.

[9]
Doorenbos J, Kassam H A. 1979. Yield Response to Water. Irrigation and Drainage Paper No. 33. Rome: Food and Agriculture Organization of the United Nations.

[10]
Droogers P, Bastiaanssen W. 2002. Irrigation performance using hydrological and remote sensing modeling. Journal of Irrigation and Drainage Engineering, 128(1): 11-18.

[11]
Ghamarnia H, Jafarizade M, Meri E, et al. 2013. Lysimetric determination of Coriandrum sativum L. water requirement and single and dual crop coefficients in a semiarid climate. Journal of Irrigation and Drainage Engineering, 139(6): 447-455.

[12]
Ghamarnia H, Miri E, Ghobadei M. 2014. Determination of water requirement, single and dual crop coefficients of black cumin (Nigella sativa L.) in a semi-arid climate. Irrigation Science, 32: 67-76.

[13]
Gonçalves J M, Muga A P, Horst M G, et al. 2011. Furrow irrigation design with multicriteria analysis. Biosystems Engineering, 109(4): 266-275.

[14]
Harisha C B, Asangi H, Singh R, et al. 2017. Irrigation management for higher productivity in seed spices-a review. International Journal of Current Microbiology and Applied Sciences, 6(6): 2334-2345.

[15]
Hassan F A S, Ali E F. 2014. Impact of different water regimes based on class-A pan on growth, yield and oil content of Coriandrum sativum L. plant. Journal of the Saudi Society of Agricultural Sciences, 13(2): 155-161.

[16]
Hassan F A S, Ali E F. 2016. Water requirements of drip irrigated cumin and their effects on growth, yield and some physiological as well as biochemical parameters. Research Journal of Pharmaceutical Biological and Chemical Sciences, 7(3): 178-191.

[17]
Jangir R P, Jat B L, Rathore M S. 2007. Comparative efficacy of sprinkler and surface methods of irrigation in cumin (Cuminum cyminum) under arid western Rajasthan conditions. Indian Journal of Agronomy, 52(1): 83-85.

[18]
Jensen M E, Burman R D, Allen R G. 1990. Evapotranspiration and Irrigation Water Requirements. ASCE Manuals and Reports on Engineering Practices No. 70. New York:American Society of Civil Engineers (ASCE), 332.

[19]
Kamkar B, Daneshmand A R, Ghooshchi F, et al. 2011. The effects of irrigation regimes and nitrogen rates on some agronomic traits of canola under a semiarid environment. Agricultural Water Management, 98(6): 1005-1012.

[20]
Khajehpour M R. 1986. Principle of Crop Production. Isfahan: Jehad-e-Daneshgahi of Isfahan University of Technology.

[21]
Kheir A M, Alrajhi A A, Ghoneim A M, et al. 2021. Modeling deficit irrigation-based evapotranspiration optimizes wheat yield and water productivity in arid regions. Agricultural Water Management, 256: 107122, doi: 10.1016/j.agwat.2021.107122.

[22]
Kumar M, Kumar P, Bohra P C. 2009. Effect of land use systems on soil properties and relationship between soil organic carbon and available nutrients in typical arid soils of Rajasthan. Annals of Arid Zone, 48(1): 25-28.

[23]
Kumar R, Pareek N K, Rathore V S, et al. 2019. Effect of irrigation and nitrogen application on water productivity and performance of cotton (Gossypium sp.). Journal of Soil and Water Conservation, 18(3): 282-287.

[24]
Kumar R, Naresh R, Rani S, et al. 2023. Effect of wind speed on distribution uniformity and uniformity coefficient of sprinkler irrigation system in Western Haryana. Environment and Ecology, 41(4B): 2742-2747.

[25]
Kumar R S, Kundu S, Kundu B, et al. 2021. Emerging typology and framing of climate-resilient agriculture in South Asia. In: LetcherT M. TheImpacts of Climate Change. London: Elsevier, 255-287.

[26]
Kunapara A N, Subbaiah R, Prajapati G V, et al. 2016. Influence of drip irrigation regimes and lateral spacing on cumin productivity. Current World Environment, 11(1): 333-337.

[27]
Lal Mehriya M, Geat N, Sarita, et al. 2020. Response of drip irrigation and fertigation on cumin yield, quality, and water-use efficiency grown under arid climatic conditions. Agronomy, 10(11): 1711, doi: 10.3390/agronomy10111711.

[28]
Li R, Jiang Z T. 2004. Chemical composition of the essential oil of Cuminum cyminum L. from China. Flavour and Fragrance Journal, 19(4): 311-313.

[29]
Liu Z P, Jiao X Y, Zhu C L, et al. 2021. Micro-climatic and crop responses to micro-sprinkler irrigation. Agricultural Water Management, 243: 106498, doi: 10.1016/j.agwat.2020.106498.

[30]
Machiwal D, Meena H M, Singh D V, et al. 2024. Trend identification in groundwater levels and exploring linkages with rainfall and irrigated areas in arid region of Rajasthan, India. Journal of Agricultural Engineering (India), 61(3): 1853, doi: 10.52151/jae2024613.1853.

[31]
Malhotra S K, Mehta R S, Meena S S, et al. 2009. Response of sprinkler, drip and surface irrigation in seed spices. Proceeding of IIIrd World Aqua Congress on Enhancing Water Use Efficiency. New Delhi: Aqua Foundation, 16-20.

[32]
Meena H M, Singh R K, Santra P. 2015. Design and development of a load-cell based cost effective mini-lysimeter. Journal of Agricultural Physics, 15(1): 1-6.

[33]
Meena H M, Santra P, Singh R K. 2021a. Quantification of water productivity and economics of irrigation in summer clusterbean (Cyamopsis tetragonoloba) in hot arid region of India. Indian Journal of Soil Conservation, 49(2): 106-111.

[34]
Meena H M, Singh R K, Burman U. 2021b. Determination of actual evapotranspiration for summer clusterbean (Cyamopsis tetragonoloba) using mini-lysimeters in hot arid zone of India. Legume Research, 44(3): 302-307.

[35]
Meena H M, Singh R K, Santra P, et al. 2025. Assessment of evapotranspiration, water productivity and yield response factor for groundnut under deficit irrigation using lysimeter in a hot arid ecosystem. Journal of Agricultural Engineering (India), 62(1): 167-177.

[36]
Meena M D, Vishal M K, Khan M A. 2021c. Market arrivals and prices behavior of cumin in India. International Journal of Current Microbiology and Applied Sciences, 10(1): 528-536.

[37]
Mehta R S, Malhotra S K, Meena S S. 2014. Growth and yield of cumin as influenced by irrigation and nutrient levels with varying crop geometry. Indian Journal of Horticulture, 71(3): 433-436.

[38]
Miller Jr R G. 1997. Beyond ANOVA:Basics of Applied Statistics. Boca Raton: Chapman & Hall/CRC, 336.

[39]
Mohamed A E, Hamed A M N, Ali A A M, et al. 2019. Effect of weather conditions, operating pressure and riser height on the performance of sprinkler irrigation system. IOSR Journal of Agriculture and Veterinary Science, 12(1): 1-9.

[40]
Olle M, Bender I. 2010. The content of oils in umbelliferous crops and its formation. Agronomy Research, 8(3): 687-696.

[41]
Ozer H, Coban F, Sahin U, et al. 2020. Response of black cumin (Nigella sativa L.) to deficit irrigation in a semi-arid region: Growth, yield, quality, and water productivity. Industrial Crops and Products, 144: 112048, doi: 10.1016/j.indcrop.2019.112048.

[42]
Pereira L S, Cordery I, Iacovides I. 2012. Improved indicators of water use performance and productivity for sustainable water conservation and saving. Agricultural Water Management, 108: 39-51.

[43]
Rao S S, Singh Y V, Regar P L, et al. 2010. Effect of micro irrigation on water productivity of cumin (Cuminum cyminum) at varying fertility levels. Indian Journal of Agricultural Sciences, 80(6): 507-511.

[44]
Rathore V S, Nathawat N S, Bhardwaj S, et al. 2021. Optimization of deficit irrigation and nitrogen fertilizer management for peanut production in an arid region. Scientific Reports, 11(1): 5456, doi: 10.1038/s41598-021-82968-w.

[45]
Ravindran P N, Babu N K, Shiva K N, et al. 2006. Advances in Spices Research: History and Achievements of Spices Research in India since Independence. Jodhpur: Agrobios, 994.

[46]
Saeedinia M, Tarnian F, Hosseinian S H, et al. 2018. Estimation of the evapotranspiration and crop coefficient of chamomile (Matricaria chamomilla L.) and cumin (Cuminum cyminum L.) in Khorram Abad region. Water and Irrigation Management, 8(1): 165-175.

[47]
Santra P, Meena H M, Yadav O P. 2021. Spatial and temporal variation of photosynthetic photon flux density within agrivoltaic system in hot arid region of India. Biosystems Engineering, 209: 74-93.

[48]
Saranya R, Kumari N, Gurjar D, et al. 2025. Navigating Alternaria blight in cumin over the decades: A critical review for arid and semi-arid regions of India. Annals of Arid Zone, 64(1): 57-67.

[49]
Sharma S S, Jajoria D K, Sharma R P, et al. 2019. Cumin (Cuminum cyminum L.) cultivation in Rajasthan as an opportunity-A soil and climatic suitability evaluation. Advances in Bioresearch, 10(5): 5-11.

[50]
Singh R, Lal G, Maheria S P, et al. 2015. Effect of irrigation techniques and planting methods on yield and water productivity of cumin (Cuminum cyminum L.). International Journal of Seed Spices, 5(1): 92-94.

文章导航

/