• SHEN Aihong 1 ,
  • ZHAO Na 2 ,
  • SHI Yun , 1, 2, * ,
  • MI Wenbao 1, 2 ,
  • SHE Jie 2 ,
  • ZHANG Fenghong 3 ,
  • GUO Rui 3 ,
  • WU Tao 4 ,
  • LI Zhigang 1 ,
  • LI Jianhua 2 ,
  • ZHU Xiaowen 2 ,
  • LI Hongxia 2 ,
  • YUE Shaoli 5
展开

收稿日期: 2024-03-29

  修回日期: 2024-09-18

  录用日期: 2024-10-29

  网络出版日期: 2025-08-13

Soil ecological stoichiometry in varied micro- topographies of an alluvial fan at eastern Helan Mountains, Northwest China

  • SHEN Aihong 1 ,
  • ZHAO Na 2 ,
  • SHI Yun , 1, 2, * ,
  • MI Wenbao 1, 2 ,
  • SHE Jie 2 ,
  • ZHANG Fenghong 3 ,
  • GUO Rui 3 ,
  • WU Tao 4 ,
  • LI Zhigang 1 ,
  • LI Jianhua 2 ,
  • ZHU Xiaowen 2 ,
  • LI Hongxia 2 ,
  • YUE Shaoli 5
Expand
  • 1College of Forestry and Prataculture of Ningxia University, Yinchuan 750021, China
  • 2School of Geography and Planning of Ningxia University, Yinchuan 750021, China
  • 3Yinchuan Yinxi Ecological Protection Forest Management Center, Yinchuan 750002, China
  • 4Helan Mountain National Nature Reserve Administration of Ningxia, Yinchuan 750021, China
  • 5Ningxia Hui Autonomous Region Agricultural Comprehensive Development Center, Yinchuan 750002, China
*SHI Yun (E-mail: )

Received date: 2024-03-29

  Revised date: 2024-09-18

  Accepted date: 2024-10-29

  Online published: 2025-08-13

本文引用格式

SHEN Aihong , ZHAO Na , SHI Yun , MI Wenbao , SHE Jie , ZHANG Fenghong , GUO Rui , WU Tao , LI Zhigang , LI Jianhua , ZHU Xiaowen , LI Hongxia , YUE Shaoli . [J]. Journal of Arid Land, 2024 , 16(12) : 1648 -1663 . DOI: 10.1007/s40333-024-0037-8

Abstract

Alluvial fans possess diverse geomorphological features and have a significant impact on soil characteristics and variations in ecological stoichiometry. However, it remains unclear how alluvial fans in arid mountainous areas influence the changes in ecological chemical stoichiometry and, consequently, indirectly affect ecosystem function. Alluvial fan, with its diverse topographical features, exerts a multifaceted influence on soil formation and characteristics. Limited information exists regarding the ecological stoichiometric characteristics of the alluvial fan in arid mountainous areas. This study investigated the soil physical-chemical characteristics, enzyme activities, soil ecological stoichiometries, and its driving factors of four types of micro-topographies (alluvial mesas, high floodplain, groove beach, and striated groove) in the foothills of eastern Helan Mountains, China. Results showed that soil physical and chemical properties in the 0-20 cm soil depth was consistently higher than those in the 20-40 cm soil depth, with no changes in pH, total nitrogen, and total potassium. C:P and N:P ratios in alluvial mesas, high floodplain, and striated groove were significantly higher than those in groove beach. Redundancy analysis showed that soil nutrients played the most significant role in the variation of soil ecological stoichiometry characteristics. Topography influenced soil stoichiometry indirectly, primarily through impacts on enzyme activity and soil nutrient elements. These findings elucidate the intricate interplay between soil ecological stoichiometric characteristics and environmental factors across diverse micro-topographies in alluvial fan, contributing to our understanding of the formation and development of soil in dryland.

1 Introduction

Soil, as the primary source of water and essential nutrient for plant growth, reflects a dynamic interplay of factors, including soil parent material, topography, climate, and human activities (Tessier and Raynal, 2003). Notably, alterations in topography can induce spatial disparities in soil water content, thermal property, nutrient availability, and other characteristics, thereby giving rise to environmental heterogeneity and niche differentiation among plant species (Lobo and Dalling, 2013; Zhao et al., 2015). Micro-topography, characterized by subtle surface fluctuations (Zhang et al., 2014; Lampela et al., 2016), plays a pivotal role in redistributing local resources such as soil water, nutrient, light, and heat (Stoeckel, 1999; Peterson and Baldwin, 2004; Hong et al., 2021). Consequently, it causes significant variations in soil attributes across distinct locations. These distinct soil characteristics exhibit a discernible spatial regularity as they respond to micro-topographical fluctuations (Stoeckel, 1999; Perron et al., 2003; Moser et al., 2009), ultimately contributing to the heterogeneity in characteristics and functions among different micro-topographies and native plant communities (Lu, 2016). For instance, Moser et al. (2009) elucidated the connection between micro-topography and soil nutrients through a comparative analysis of natural non-tidal freshwater mitigation wetland and reference wetland. They also explored the influence of mesoscale micro-topography on biomass production and plant species diversity. Consequently, the relationship between micro-topography at varying scales and ecological environmental features has become a focal point for numerous researchers. The research findings highlight the predominant role of topographic transformation and external erosion process (Wei et al., 2013; Kishné et al., 2014).
Most micro-topography studies mainly focus on changes in soil moisture content, with less exploration into aspects such as soil temperature, physical, and chemical properties related to micro-topography. Current research has found that micro-topography significantly alters soil carbon pool (Wang et al., 2021), reduces vegetation diversity and biomass (Hong et al., 2021), thereby exerting significant impacts on soil microbial community structure (Li et al., 2024). Additionally, studies have found that micro-topography indirectly affects soil vegetation changes by altering soil moisture content (Yu et al., 2018), thus significantly impacting soil ecosystem function (Zona et al., 2011). However, there is currently no definite conclusion on the effects of different micro-topographies on soil and vegetation characteristics. The ecological stoichiometry ratio of micro-topography, expressed as carbon:nitrogen:phosphorous (C:N:P), is often used to determine the degree of nutrient limitation in ecosystems (Tian et al., 2010). As an important indicator of soil quality, the ecological stoichiometry ratio of micro-topography has attracted researchers' attention to its relationship with environmental factors (Sterner and Elser, 2002; Elser et al., 2007; Hume et al., 2016). Natural factors are the main sources and intrinsic drivers of soil properties, while topography is a major factor influencing changes in soil nutrient content and its proportional composition (Fowler et al., 2007). Therefore, studying soil ecological stoichiometry characteristics and their driving factors across different micro-topographies is crucial for understanding plant growth dynamics and community development. According to the topographic relief grading in China, a terrain within an elevational difference of 0-30 m belongs to the micro-topography category, which can be divided into three types, i.e., plane, slope, and uneven terrain (Tu and Liu, 1991). An alluvial fan, a unit of slope micro-topography and geomorphology formed by fan-shaped accumulation, presents an optimal site for investigating the influence of micro-topography on soil characteristics. Due to the combined effects of flooding and sedimentation, different micro-topographies, such as gully, alluvial mesas, groove beach, and striated groove, are formed in alluvial fan, and there are differences in soil characteristics among these micro-topographies. According to Bahrami and Ghahraman (2019), the physical and chemical properties of soil is higher in riverside than in gully bed, the end of fan is higher than the fan top, and riverside gully in alluvial fan is higher than the alluvial fan. Oliveira Junior et al. (2019) researched the differences between soils affected by salinity at different locations of an alluvial fan in northern Brazil and found that pH, cation exchange capacity, and exchangeable sodium percentage at the foothills of the alluvial fan were lower than those at fan top. Researchers have conducted extensive studies on the physical and chemical properties of soil at the top, middle, and edge of the alluvial fan (Zhang et al., 2015; Ma et al., 2016). However, most of these studies divide the alluvial fan into top, middle, and edge of fan from the perspective of geomorphology and only focus on the impact of different landforms on the soil ecological stoichiometry (Ma et al., 2020). Furthermore, relevant research on the nutrient content and ratio change characteristics of different micro-topographies of the alluvial fan, particularly on the response relationship between C:N:P ratio and environmental factors, has rarely been conducted.
The Helan Mountains, situated in Northwest China, serve as a crucial natural geographic boundary and ecological protection area. Range of the mountains exerts a pivotal influence on climate distribution and ecological patterns across vast areas, including the Huanghuai region, and the ecotone between Ningxia Hui and Inner Mongolia autonomous regions (Jiang et al., 2007). As a notable geomorphic feature within eastern foothills of the Helan Mountains, the alluvial fan has abundant biodiversity and represents a vital water conservation zone. Predominantly characterized by desert grassland vegetation, the Helan Mountains play pivotal ecological roles in climate regulation, air purification, water and soil maintenance, and protection against wind and sand erosion (Liang, 2020). However, the ecological equilibrium of desert grassland within the alluvial fan at eastern Helan Mountains has been disrupted in recent years. This phenomenon can be attributed to multiple factors, including rapid development of ecotourism in the Helan Mountains, the expansive growth of grape cultivation in eastern foothills, and recurrent seasonal mountain flood. These disturbances have led to a cascade of ecological challenges, encompassing water and soil loss, grassland degradation, and deterioration of soil environment (Ren et al., 2022). Regrettably, ecological stoichiometric characteristics of the alluvial fan in this area, particularly the interplay between ecological stoichiometric features within different micro-topographies and their associated environmental factors, have received little attention. In light of this knowledge gap, the aim of this study was to unravel the underlying reasons behind variations in vegetation community characteristics. We examined soil parameters, including soil moisture (SM), pH, soil organic carbon (SOC), total nitrogen (TN), total phosphorus (TP), total potassium (TK), hydrolyzable nitrogen (HN), available phosphorus (AP), and available potassium (AK) within the alluvial fan at eastern Helan Mountains. In addition, we systematically investigated ecological stoichiometric variations and their correlation with environmental factors across distinct micro-topographies. By shedding light on these ecological intricacies, our research endeavors to elucidate the mechanisms governing vegetation community assembly, thereby establishing a theoretical framework for future studies on the alluvial fan development, ecological restoration, and agricultural sustainability within eastern foothills of the Helan Mountains.

2 Materials and methods

2.1 Study area

The study area is located within eastern foothills of the Helan Mountains in Ningxia Hui Autonomous Region, China (38°27′-39°30′N, 105°41′-106°41′E). This area exhibits a distinctive southwest-northeast orientation and has an average elevation of approximately 2000 m a.s.l., as depicted in Figure 1. Terrain within eastern foothills of the Helan Mountains primarily comprises alluvial fan. It exhibits higher elevations in western sector gradually sloping down towards the east, encompassing altitudes between 1120 and 1150 m. Annual average precipitation is 426 mm, with 255 mm in mountainous areas and 181 mm in sloping areas. From November to March of the following year, precipitation is relatively low, generally accounting for 20.0%. Precipitation mainly occurs during flood season from June to September. Moreover, the higher the altitude, the more evenly distributed the precipitation. In the middle section (>2000 m) of the Helan Mountains, 60.0%-70.0% of precipitation occurs. The study area predominantly comprises ordinary calcareous gravel and aeolian sandy soil. Vegetation resources in the alluvial fan are dominated by vascular plants, with the most abundant families being Compositae and Gramineae, followed by Fabaceae, Rosaceae, Chenopodiaceae, Ranunculaceae, Cyperaceae, Cruciferae, Caryophyllaceae, and Liliaceae. Wild plants under second-level national protection include Glycine soja Sieb. et Zucc., the endemic species Ephedra rhytidosperma C. Y. Cheng, Prunus mongolica (Maxim.) Ricker, Tetraena mongolica Maxim., Ammopiptanthus mongolicus (Maxim. ex Kom.) Cheng f., Tugarinovia mongolica Iljin, and Glycyrrhiza uralensis Fisch.
Fig. 1 Alluvial fan and sampling sites in the Helan Mountains

2.2 Site selection

Suyukou alluvial fan, centrally located within the study area and extending from Dawukou in the north to Gangoukou in the south, was chosen as our primary sampling site (Fig. 1). In the southern region of the Helan Mountains, this well-developed alluvial fan is predominantly shaped by the sedimentation of water and non-viscous debris flow, resulting in a diverse landscape. Over time, this area has experienced continuous influence of perennial flood scouring and sedimentation, leading to the formation of gravel dams intermingled with gravel deposits in the older section of the fan. In line with the classification methods established by Bahrami and Ghahraman (2019) in Iran and the micro-topography classification utilized in the alluvial fan of the Qinghai-Xizang Plateau, we used a multidimensional approach for micro-topographical differentiation. This method involved in unmanned aerial vehicle (UAV) imagery in conjunction with field surveys and analytical techniques. This method enabled us to categorize the micro-topography of Suyukou alluvial fan into four distinct types based on surface morphology, relative elevation, gravel pebble size, and composition of vegetation. The following four types of micro-topography are identified, i.e., alluvial mesas, high floodplain, groove beach, and striated groove. Further information of each type of micro-topography is shown in Table 1.
Table 1 Types of micro-topography and characteristics
Micro-topography Photograph Feature Community composition
Alluvial mesas Difference in relative height is the greatest; it mainly distributes coarse gravel and boulder sediments, flat terrain, well developed fan soil; and vegetation is mainly small shrubs. Sophora laricifolia Maxim., Elymus rhytidosperma (Hook. f.) Pilg., Caragana tragacanthoides (Pall.) DC., Lespedeza davurica (Laxm.) Schindl., Caragana arborescens Lam., Stipa breviflora Griseb., and Glycyrrhiza glabra L.
High floodplain Difference in relative height is significant; it irregularly distributes fine gravel and coarse gravel sediments; the fan area is in the early stages of soil development; and vegetation is mainly small shrubs. C. spinifera, Sophora laricifolia Maxim., Euphorbia maculata L., and Stipa breviflora Griseb.
Striated groove Relatively low and flat terrain exists with fine-grained gravel sediments in a narrow strip and thick soil layer and vegetation is mainly herbs. S. breviflora, Caragana inermis Kom., Polygonatum multiflorum (L.) All., Camellia japonica L., and Allium leek L.
Groove beach Low and flat terrain exists and vegetation is mainly herbs. S. breviflora, Reaumuria alashanica Maxim., and Ammopiptanthus mongolicus (Maxim. ex Kom.)

2.3 Soil sampling

In late June 2022, soil sampling was collected within the study area, encompassing the upper, middle, and lower areas of the alluvial fan. Six distinct replicate sampling sites were established for each type of micro-topography, ensuring a representative sampling strategy. Spatial interval between two sampling sites ranged from 5.0 to 10.0 km, and each sampling site has a 4.5 m×5.0 m area, situated at intervals of approximately 5.0 m. Surface litter and extraneous materials were removed during soil sampling process. Subsequently, soil samples were collected from two depths, 0-20 and 20-40 cm. Soil samples derived from the same depth were homogenized to create composite samples, thereby ensuring sample uniformity. Larger stones were removed manually, followed by use of a 2-mm mesh sieve to extract smaller stones and plant roots. Soil sample was stored in a labeled plastic bag and transported to the laboratory for further analysis. There are total 96 soil samples. The collected soil samples were air dried and subsequently ground to a fine consistency to facilitate the assessment of physical and chemical properties.

2.4 Measurement of physical and chemical properties

Physical and chemical properties of the soil were determined using conventional analytical methods (Bao, 2000). A PHS-3G pH meter (INESA Scientific Instrument Co., Ltd., Shanghai, China) for pH measurement, potassium chromate volumetric method for soil organic carbon (SOC), the semi-micro Kjeldahl method for total nitrogen (TN), molybdenum-antimony colorimetry for total phosphorus (TP), NaOH melt and flame photometry for total potassium (TK), alkali-hydrolyzed diffusion method for hydrolysable nitrogen (HN), 0.5 mol/L NaHCO3 method for available phosphorus (AP), and flame photometry after NH4OAc extraction for available potassium (AK). Soil samples were dried at 105°C to a constant weight and soil water content (SWC) was measured. The activities of alkaline phosphatase, urease, catalase, and peroxidase in soil samples were determined using colorimetric methods as described by Tabatabai and Bremner (1969), Kandeler and Gerber (1988), Alef and Nannipieri (1995), and Kar and Mishra (1976), respectively.

2.5 Data analysis

Stoichiometric ratios considered in this study involved the mass ratios of total soil nutrients. Multivariate analysis involved utilizing C:N:P ratios as the response variable and topographic factors along with comprehensive soil nutrient content as explanatory variables. These topographic factors included slope (SLO), slope aspect (ASP), terrain curvatures (TC), relief degree of land surface (RDSL), surface roughness (SRL), stream power index (SPI), topographic wetness index (TWI), and elevation (ELE). Extraction of micro-topography was facilitated through remote sensing imagery and digital elevation models provided by UAV, with the assistance of ArcGIS v.10.2 software. Terrain factors were subsequently extracted using terrain analysis and grid calculator functions within spatial analysis software. Topographic factors were quantified with the formula α=cosβ, where β is the actual slope in degrees, and α is the slope code value. Larger values of α mean sunnier slopes. One-way and two-way analysis of variation tests and Duncan's multiple range test were performed using JMP Pro v.13.0 software (SAS Institute, Cary, USA) to analyze the differences among treatments (4 micro-topographies, 2 soil depths, and 6 replicates). The impacts of topographic factors, soil physical-chemical characteristics, and soil enzyme activity on ecological stoichiometry of soil C:N:P were analyzed using redundancy analysis (RDA) and variance decomposition analysis (VPA) with Canoco v.5.0 software. A partial least squares structural equation model (PLS-SEM) was used to construct a path analysis of the effects of topographic factors, soil physical-chemical characteristics, and soil enzyme activity on changes in soil C:N:P ratio.

3 Results

3.1 Soil nutrient contents and ecological stoichiometry

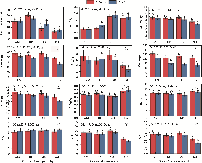
Soil nutrient analysis showed notable differences for SWC, gravel content, pH, TK, HN, AK, SOC, TN, TP, C:P, and N:P ratios in the 0-20 cm depth among different micro-topography (P<0.050); however, no significant differences were detected for AP and C:N ratio (Table 2).
Table 2 Effects of micro-topography and soil depth on soil physical-chemical parameters and ecological stoichiometry
Factor SWC Gravel content pH TK HN AP AK
Micro-topography <0.001 <0.001 0.020 <0.010 <0.001 0.070 <0.001
Soil depth 0.420 0.460 0.170 0.080 <0.001 0.330 <0.001
Micro-topography×soil depth 0.850 0.120 0.910 0.680 0.640 0.790 0.510
Factor SOC TN TP C:N C:P N:P
Micro-topography <0.001 <0.001 <0.001 0.460 <0.001 <0.001
Soil depth 0.040 <0.010 0.670 0.010 0.210 0.020
Micro-topography×soil depth 0.850 0.710 0.620 0.630 0.680 0.590

Note: SWC, soil water content; TK, total potassium; HN, hydrolysable nitrogen; AP, available phosphorus; AK, available potassium; SOC, soil organic carbon; TN, total nitrogen; TP, total phosphorus; C:N, carbon:nitrogen; C:P, carbon:phosphorous; N:P, nitrogen:phosphorous. The abbreviations are the same in the following tables and figures.

In the 0-20 cm soil depth, striated groove exhibited the lowest values for SOC, TN, C:P, and N:P ratios, being 10.80 (±0.56) mg/kg, 1.31 (±0.06) mg/kg, 16.66 (±1.07), and 2.04 (±0.13), respectively (P<0.050; Fig. 2). However, when analyzing soil samples in the 20-40 cm soil depth, nutrients among different micro-topographies were different with those in the 0-20 cm soil depth. For instance, while TK did not significantly differ among different micro-topographies in the 0-20 cm soil depth, it was significantly lower in the 20-40 cm soil depth in groove beach than in the other micro-topographies, and it had the highest value (2.31% (±0.03%)) in striated groove (P<0.050; Fig. 2).
Fig. 2 Soil physical-chemical parameters (a-i) and stoichiometric ratios (j-l) in different micro-topographies and soil depths. M, micro-topography; D, soil depth; M×D, interaction between micro-topography and depth. AM, alluvial mesas; HF, high floodplain; GB, groove beach; SG, striated groove. Different lowercase letters represent significant differences in the same soil depth among different micro-topography at P<0.050 level. ***, P<0.001 level; **, P<0.010 level; *, P<0.050 level; ns, no significant difference. The abbreviations are the same as in the following figures.
Subsequent two-factor analysis of variance indicated that both sampling depth and micro-topography significantly influenced soil nutrients and ecological stoichiometry ratios (Table 2). Notably, HN, AK, SOC, TN, C:N, and N:P ratios displayed significant differences at different soil depths. The remaining indicators, except AP and C:N ratio, also exhibited significant differences among different micro-topographies. However, it should be noted that the interaction between micro-topography and soil depth did not have a significant effect on any soil nutrient or chemical stoichiometric index (Table 2).
Figure 2 presents variations in ecological stoichiometry among different micro-topographies and soil depths. Overall, the interactions between micro-topographies and soil depths were not significant (P>0.050). However, other variables exhibited distinctive trends. Specifically, there were no significant differences among different micro-topographies for C:N ratio. Differences between soil depths were significant (P<0.050), with all micro-topographies showing lower C:N ratio in the 0-20 cm soil depth than in the 20-40 cm soil depth. In terms of C:P ratio, the values in striated groove were significantly lower than in other micro-topographies. Differences between soil depths were not highly significant (P>0.050). For N:P ratio, all micro-topographies had higher values in the 0-20 cm soil depth than in the 20-40 cm soil depth. Differences between micro-topographies and soil depths were highly significant, with striated groove having markedly a lower N:P ratio in the 0-20 cm soil depth.

3.2 Soil enzyme activity

Significant variations in peroxidase activity among different micro-topographies in the 0-20 cm soil depth were found, with groove beach having the highest values (P<0.050; Fig. 3). In contrast, catalase activity significantly differed among different micro-topographies only in the 20-40 cm soil depth, with groove beach having the highest values at P<0.050 level. Additionally, in the two-factor analysis, all enzymes, except alkaline phosphatase, differed significantly among different micro-topographies (P<0.050). However, soil enzyme activity did not differ between soil depths and no interaction between micro-topography and soil depth was observed (P>0.050).
Fig. 3 Soil enzyme activity in different micro-topographies and soil depths. (a), ALP (alkaline phosphatase); (b), URE (urease); (c), POD (peroxidase); (d), CAT (catalase). Different lowercase letters represent significant differences at the same soil depth among different micro-topographies at P<0.050 level. **, P<0.010 level; ns, no significant difference.

3.3 Micro-topographic factors in the alluvial fan

To investigate the correlation between soil ecological stoichiometry in different micro-topographies within the alluvial fan of the Helan Mountains and environmental factors (Fig. 4), we conducted variance decomposition and RDA ranking.
Fig. 4 Differences of topographic factors among different micro-topographies. (a), ASP (slope aspect); (b), ELE (elevation); (c), RDSL (relief degree of land surface); (d), SLO (slope); (e), TWI (topographic wetness index); (f), SPI (stream power index); (g), TC (terrain curvature). Different lowercase letters represent significant differences in environmental indicators among different micro-topographies at P<0.050 level. The abbreviations are the same in the following figures.
Figure 4 shows significant differences in terrain factors among different micro-topographies. Various topographic factors differed among different landforms. Specifically, RDSL and SLO exhibited significant differences among different micro-topographies, with both being the highest in alluvial mesas (P<0.050). ELE and TWI also showed significant differences among different micro-topographies, and TWI was the lowest in alluvial mesas (P>0.050).

3.4 Factors influencing soil ecological stoichiometry

Factors influencing soil ecological stoichiometry characteristics in different micro-topographies were categorized into three types, i.e., topographic factor (Fig. 5a), enzyme activity (Fig. 5b), and nutrient element (Fig. 5c). RDA results indicated that these three types of factors explained about 0.0%, 0.1%, and 52.1% of the variations in soil ecological stoichiometry, respectively (Fig. 5d).
Fig. 5 Redundancy analysis (RDA) and variance partitioning analysis (VPA) between soil ecological stoichiometry and their influencing factors. (a), topographic factor; (b), enzyme activity; (c), soil nutrient; (d), VPA. In Figure 5d, a, b, and c are topographic factor, enzyme activity, and soil nutrient, respectively; d is the interaction between a and b; e is the interaction between b and c; f is the interaction between a and c; and g is the interaction among a, b, and c.
Interactions among these three types of factors accounted for 40.0% of the variation in soil ecological stoichiometry (Fig. 5d). In RDA analysis, RDSL, SLO, ELE, SRL, and ASP exhibited strong positive correlations with C:P ratio (Fig. 5a). URE activity was positively related to N:P and C:P ratios, but had a negative correlation with C:N ratio (Fig. 5b). Among contributing factors, soil nutrient played the most significant role in the variation of soil ecological stoichiometry. Specifically, SOC made the largest contribution to C:P ratio and had a positive correlation, while TP and C:N ratio had a positive correlation (Fig. 5c). The response of soil ecological stoichiometry to different influencing factors varied. Among these factors, neither topographic factors nor enzyme activity had a significant impact, and their interaction did not exhibit a significant influence (P>0.050; Table 3). However, the overall influence of all influencing factors and their interactions on soil ecological stoichiometry was significant (P<0.050).
Table 3 Effects of influencing factors and their interaction on soil ecological stoichiometry
Tested fraction F P Tested fraction F P
Topographical factor (a) 1.000 0.402 b×e 10.900 0.002
Enzyme activity (b) 1.400 0.184 c×f 171.000 0.002
Soil nutrient (c) 134.000 0.002 a×b×c×d×e×f×g 83.900 0.002
a×d 1.000 0.434

Note: d is the interaction between a and b; e is the interaction between b and c; f is the interaction between a and c; and g is the interaction among a, b, and c.

By constructing the PLS-SEM, we found the effects of interaction among topographic factor, enzyme activity, SWC, pH, and soil nutrient on soil ecological stoichiometry (Fig. 6). Soil nutrient had an extremely significant and positive effect on ecological stoichiometry (P<0.001), while enzyme activity had a marginally significant and positive effect on soil ecological stoichiometry (0.050<P<0.100).
Fig. 6 Partial least squares structural equation model (PLS-SEM) result for influencing factors on soil chemical stoichiometry. GOF, goodness-of-fit; *, P<0.050 level, ***, P<0.001 level.
Changes in enzyme activity affected soil nutrient cycling, with a significantly positive effect (P<0.001), indirectly affecting soil ecological stoichiometry. SWC changes could exert a negative impact on soil nutrient, subsequently affecting soil ecological stoichiometry. Topographic factors had an extremely significant positive impact on soil nutrient (P<0.001), leading to changes in ecological stoichiometry. Furthermore, topographic factors, as well as SWC, had significantly negative impacts on pH. We divided these factors into two categories, i.e., direct factors and indirect factors. Topographic factor, SWC, and pH on ecological stoichiometry occurred indirectly through exerting positive or negative effects on enzyme activity and soil nutrient, thereby altering ecological stoichiometry. Consequently, they were considered as indirect factors. In contrast, enzyme activity and nutrient element had a direct positive impact on ecological stoichiometry and were considered as direct factors (Fig. 6).

4 Discussion

4.1 Factors influencing soil nutrient

Limited variation in altitude and absence of distinct vegetation zonation in the alluvial fan area highlight the importance of micro-topography in explaining soil spatial heterogeneity. The unique morphological characteristics of different micro-topographies play a pivotal role in redistributing environmental factors, such as solar radiation, precipitation, litter accumulation, and mineral elements (Hartley et al., 2007; Dixon, 2013). These redistributions have a significant impact on the physical and chemical properties of the soil (Perron et al., 2003; Monger and Bestelmeyer, 2006). In our study, we also observed marked differences in the vertical distribution of soil physical and chemical properties among different micro-topographies. The physical and chemical attributes within the 0-20 cm soil depth consistently surpassed those observed in the 20-40 cm soil depth, with some exceptions noted for pH, TN, and TK. This observation underscores the influence of plant root systems on the vertical distribution of soil properties. The findings corroborate the research conducted by Tian et al. (2017), who attributes this phenomenon to the progressive translocation of organic matter from the soil surface to deeper strata, driven by the decomposition of litter and aided by precipitation and surface runoff processes.
Variation in nutrient content across different micro-topographies showed distinct trends. For instance, the order of AP content was groove beach, alluvial mesas, high floodplain, and striated groove. Groove beach displayed slightly higher AP content than alluvial mesas, while SOC, TN, HN, and AK exhibited descending order: alluvial mesas, groove beach, high floodplain, and striated groove. These variations could be explained by the following reasons. First, gravel content differed among different micro-topographies, with high floodplain, alluvial mesas, groove beach, and striated groove showing a decreasing order. The presence of fine gravel particles in groove beach soils, albeit in smaller quantities, had an effect. In contrast, the larger gravel size in alluvial mesas and high floodplain limited water erosion, retaining nutrients in the soil (Bedford and Small, 2008; Harvey, 2011; Shoshta and Kumar, 2023). Second, influenced by the "fertilizer island effect" of shrubs, vegetation on alluvial mesas and high floodplain is predominantly shrub-based. Robust root systems of these shrubs enable them to absorb water and nutrients over a wide range, turning these areas into enrichment zones for soil moisture and nutrients (Bahrami and Ghahraman, 2019; Sepehr et al., 2022). This, in turn, creates a positive feedback loop between shrub growth and soil morphology. Shrub also intercepts wind-transported materials such as litter and dust, absorbing and depositing these substances, which enrich the soil (Li et al., 2011). Organic matter from atmospheric dust intercepted by the canopy is carried into the soil through rainfall and runoff from shrubs. Additionally, the milder microclimate created by shrubs serves as animal habitats, and the resulting animal excrement contributes to soil nutrient levels, increasing soil heterogeneity in different micro-topographies (Osterkamp et al., 2012; Bashtian et al., 2019). Furthermore, these areas are also influenced by the combined effects of wind and water erosion. Wind erosion occurs during windy winter and spring seasons, while water erosion predominates during summer and autumn with concentrated rainfall and short-duration rainstorm events (Gao, 2013; Delpupo et al., 2017). These erosional processes impact the surface materials of the alluvial fan, affecting different micro-topographies in distinct ways. Alluvial mesas and high floodplain areas, with relatively higher elevation and larger gravel particle size, have stable vegetation communities and limit water and soil loss. In contrast, striated groove is relatively low-lying and is prone to hydraulic erosion during rainy season. Therefore, it has lower soil SOC content than alluvial mesas and high floodplain. In this study, significant differences were observed in soil pH, TK, and TP contents among different micro-topographies (P<0.050), while differences among different soil depths were not significant (P>0.050). The pH values in the soils of alluvial mesas, high floodplain, striated groove, and groove beach were weakly alkaline, and these values gradually increased with soil depth. This pattern is likely associated with arid and low rainfall conditions in the alluvial fan, where precipitation primarily occurs as heavy rainstorms. High evaporation rates and distribution of plant communities with herbaceous companion species in the soil surface layer contribute to this trend (McAuliffe, 1994; Perron et al., 2003). TP and TK elements mainly originate from the differentiation of gravel and the formation of minerals (Walker and Syers, 1976). Given the similarity in soil parent material within a specific area, there were minor differences in P and K contents between different soil depths and micro-topographies. Therefore, micro-topography plays a critical role in shaping soil nutrient distribution across the alluvial fan, and many factors, including gravel content, vegetation, and erosion process, contribute to the observed variations. Understanding these dynamics is vital for effective land management and soil conservation efforts in similar areas.

4.2 Ecological stoichiometric characteristics

Soil C:N:P ratio is a critical indicator of soil fertility (Wu et al., 2023). In this study, C:P and N:P ratios exhibited significant differences among different micro-topographies (P<0.050). All parameters showed a decrease with increasing soil depth. Difference in C:N ratio between different micro-topographies was not significant (P>0.050), but significant differences were observed among different soil depths (P<0.050), where C:N ratio increased with soil depth. Average C:N ratios in striated groove, high floodplain, alluvial mesas, and groove beach were 8.73, 8.71, 8.36, and 8.76, respectively. These were all lower than average C:N ratio of 11.38 for Chinese soil and average C:N ratio of 13.30 for global soil (Li et al., 2012). Rate of SOC mineralization between different micro-topographies in alluvial-proluvial fan of the Helan Mountains was high (Hessen et al., 2004). This result indicated a relatively high decomposition rate of soil organic matter and SOC mineralization. Limitations imposed by C:N ratio on SOC accumulation were consistent with findings from Zhou et al. (2019). Moreover, it's worth noting that the difference in C:N ratio between different micro-topographies was not significant, suggesting a stable response between SOC and TN to environmental factors. This stability in the accumulation and consumption of both components supports previous research that has demonstrated the relative stability of C values across various ecosystems (Ostrowska and Porębska, 2015). As known from prior studies, soil C:N ratio inversely correlates with the rate of soil organic matter decomposition, i.e., lower C:N ratio implies faster soil organic matter decomposition and a thicker soil layer (Kirkby et al., 2011). In our study, high floodplain displayed the lowest C:N ratio, while groove beach had the highest. Variation in soil layer thickness observed during field survey might be attributed to topographical factors at sampling sites. Soil C:P ratio is a crucial indicator for assessing P mineralization and the release of soil organic matter (Luo et al., 2020). A low C:P ratio indicates a strong ability of microorganisms to decompose soil organic matter and leads to an increase in soil AP content, as confirmed in this study.
Average C:P ratio for different micro-topographies in alluvial fan of the Helan Mountains was 212.26, significantly higher than the average ratio (81.90) of global forest soil (Cleveland and Liptzin, 2007). This finding suggested that P content in alluvial fan was relatively low. In particular, C:P ratio revealed the following pattern, i.e., groove beach and alluvial mesas had higher values than high floodplain, which, in turn, exceeded the values found in striated groove. This pattern suggested that striated groove underwent high pronounced microbial decomposition of soil organic matter in alluvial fan of the Helan Mountains. Soil N:P ratio, a key indicator for studying N saturation and nutrient supply for plant growth (Luo et al., 2020; Wu et al., 2023), plays a quantitative role in influencing plant growth. An N:P ratio in soil exceeding 16.00 indicates P limitation (Li et al., 2012). However, the average soil N:P ratio in alluvial fan of the Helan Mountains was 27.91, significantly higher than 16.00 and N:P ratio average of 6.60 for global forest soil (Cleveland and Liptzin, 2007). This high N:P ratio suggests limited P content in the study area. Soil TP content averaged 0.59 g/kg, slightly higher than Chinese average of 0.56 g/kg (Tian et al., 2010). Soil TN content in the study area was 1.42 g/kg, lower than Chinese average of 2.10 g/kg. In summary, P and N limitations affect plant growth in alluvial fan of the Helan Mountains.

4.3 Factors influencing soil ecological stoichiometry

Micro-topography, a key indicator of terrain fluctuation, is pivotal in shaping soil nutrient dynamics, water flow, temperature, and other ecological factors in semi-arid area. The results indicate that topography influences soil ecological stoichiometry indirectly, primarily through impacts on enzyme activity and soil nutrient elements. While topographic factors alone did not account for significant variations in ecological stoichiometry, they had strong positive correlations with factors like slope and elevation. This suggests that topography alters ecological stoichiometry indirectly. Similarly, soil enzyme activities such as urease were positively related to C:N ratio, but their overall contribution to ecological stoichiometry was small (0.1%). However, enzyme activity plays a key role in nutrient cycling. Variations in SWC significantly affected enzyme activity and soil nutrient. As soil nutrient was the dominant factor driving variation of ecological stoichiometry (52.1%), this pathway indirectly affects chemical ratios by altering enzyme activity and nutrient transformations, which are influenced by topography and soil moisture. The PLS-SEM analysis demonstrated the indirect effects of topographic factors on ecological stoichiometry. While soil nutrient had a direct positive impact, topography had an indirect positive effect mediated through increases in soil nutrient. SWC indirectly affected ecological stoichiometry by negatively influencing enzyme activity. Enzyme activity indirectly altered stoichiometry through positive impacts on nutrient cycling. In summary, the results suggested that topographic factors and soil moisture influence ecological stoichiometry ratios indirectly by modifying soil enzyme activity and nutrient level. However, these pathways resulted in significant alterations to elemental ratios and chemical composition indirectly. These results highlight the need to consider both direct and indirect mechanisms when evaluating landscape controls over ecological stoichiometry.
Previous studies have demonstrated that topography and micro-topography significantly influence soil properties and nutrient dynamics (Woo and Kumar, 2017; Kokulan et al., 2018). For example, topographic position affects SOC and nutrient distribution in tropical forests through indirect pathways such as soil moisture and enzyme activity (Yu et al., 2020). Additionally, micro-topography shapes microbial communities and enzyme activities in semi-arid area, which in turn affects soil nutrient cycling and stoichiometry (Zhang et al., 2021). In our study, we focused on several factors, particularly natural elements such as elevation and altitude that influence soil ecological stoichiometry. However, the impact of human activities on the environment in eastern foothills of the Helan Mountains remains unclear, prompting the need for a more comprehensive approach in future research. It is crucial to thoroughly investigate the complex relationships between natural factors, such as elevation and micro-topography, and anthropogenic activities, including land use and pollution. The future research could explore the combined effects of these factors on soil types and ecological stoichiometric ratios, especially in alluvial fan areas. By investigating these dynamics, valuable insights could be gained into how both natural and human-induced changes influence soil environment. Such research would contribute not only to understanding the underlying processes but also to promoting the growth of grassland communities and protecting the fragile ecological environment in the arid areas of the alluvial fan.

5 Conclusions

In summary, our study reveals significant variations in soil fertility and ecological stoichiometric characteristics across different micro-topographies within the study area. Specifically, alluvial mesas had the highest soil fertility, promoting robust vegetation growth compared with other micro-topographies. We observed a descending trend in SOC, HN, and TN contents from alluvial mesas to groove beach, high floodplain, and striated groove. Furthermore, our analysis identified variations in N:P and C:P ratios among different micro-topographies, with high floodplain exhibiting the greatest nitrogen-releasing potential. Despite relatively uniform water conditions, significant differences were observed in SOC content across different micro-topographies. However, the presence of low levels of TP and TN suggests limitations in plant growth due to P and N deficiencies. RDA results further emphasized the influence of topographic and nutrient factors on soil ecological stoichiometric characteristics. Specifically, topography indirectly influenced soil chemical stoichiometry ratios through its impacts on enzyme activity and soil nutrient. These findings underscore the crucial role of environmental factors, including topography and nutrient availability, in shaping soil ecological stoichiometry. Moreover, our study highlights the intricate relationship between soil characteristics in small watersheds, particularly micro-topography. Further analysis and exploration of this relationship are needed to better understand the complex dynamics between soil properties and anthropogenic influences. Overall, our findings contribute to understanding soil fertility and ecological stoichiometric variations across different micro-topographies, providing valuable insights for soil management and ecosystem conservation in similar areas.

Conflict of interest

The authors declare that they have no known competing financial interests or personal relationships that could have appeared to influence the work reported in this paper.

Acknowledgements

This research was funded by the Key Project of Natural Science Foundation of the Ningxia Hui Autonomous Region (2022AAC02020), the Chinese Academy of Engineering and Local Cooperation (2021NXZD8), and the Yinchuan Natural Resources Bureau Research Project (022204129004).

Author contributions

Conceptualization: SHI Yun, MI Wenbao; Methodology: SHEN Aihong; Formal analysis: SHEN Aihong; Writing - original draft preparation: SHEN Aihong; Writing - review and editing: ZHAO Na, SHI Yun; Funding acquisition: SHI Yun; Project administration: SHI Yun, MI Wenbao; Field investigation: SHE Jie, ZHANG Fenghong, GUO Rui, WU Tao, LI Zhigang, LI Jianhua, ZHU Xiaowen, LI Hongxia, YUE Shaoli, MI Wenbao; Supervision: ZHAO Na. All authors approved the manuscript.
[1]
Alef K, Nannipieri P. 1995. Methods in Applied Soil Microbiology and Biochemistry. Salt Lake City: Academic Press.

[2]
Bahrami S, Ghahraman K. 2019. Geomorphological controls on soil fertility of semi-arid alluvial fans: A case study of the Joghatay Mountains, Northeast Iran. Catena, 176: 145-158.

[3]
Bao S D. 2000. Soil Agricultural Chemical Analysis (3rd ed.). Beijing: Agricultural Press, 30-81. (in Chinese)

[4]
Bashtian M H, Sepehr A, Farzam M, et al. 2019. Biological soil crusts, plant functional groups, and soil parameters in arid areas of Iran. Polish Journal of Ecology, 66(4): 337-351.

[5]
Bedford D R, Small E E. 2008. Spatial patterns of ecohydrologic properties on a hillslope-alluvial fan transect, central New Mexico. Catena, 73(1): 34-48.

[6]
Cleveland C C, Liptzin D. 2007. C:N:P stoichiometry in soil: Is there a ''Redfield ratio'' for the microbial biomass? Biogeochemistry, 85: 235-252.

[7]
Delpupo C, Schaefer C E G R, Roque M B, et al. 2017. Soil and landform interplay in the dry valley of Edson Hills, Ellsworth Mountains, continental Antarctica. Geomorphology, 295: 134-146.

[8]
Dixon J C. 2013. Pedogenesis with respect to geomorphology. In: Shroder J F. Treatise on Geomorphology. Academic Press, 27-43.

[9]
Elser J J, Bracken M E S, Cleland E E, et al. 2007. Global analysis of nitrogen and phosphorus limitation of primary producers in freshwater, marine and terrestrial ecosystems. Ecology Letters, 10: 1135-1142.

[10]
Fowler H J, Blenkinsop S, Tebaldi C. 2007. Linking climate change modelling to impacts studies: Recent advances in downscaling techniques for hydrological modelling. International Journal of Climatology, 27(12): 1547-1578.

[11]
Gao P. 2013. Rill and gully development processes. In: Shroder J F. Treatise on Geomorphology. San Diego: Academic Press, 122-133.

[12]
Hartley A, Barger N, Belnap J, et al. 2007. Dryland ecosystems. In: Marschner P, Rengel Z. Nutrient Cycling in Terrestrial Ecosystems, Book Series: Soil Biology Vol. 10. Heidelberg: Springer, 271-307.

[13]
Harvey A. 2011. Process, Form and Change in Drylands. Hoboken: John Wiley & Sons.

[14]
Hessen D O, Ågren G I, Anderson T R, et al. 2004. Carbon sequestration in ecosystems: The role of stoichiometry. Ecology, 85(5): 1179-1192.

[15]
Hong M G, Nam B E, Kim J G. 2021. Effects of microtopography and nutrients on biomass production and plant species diversity in experimental wetland communities. Ecological Engineering, 159: 106-125.

[16]
Hume A, Chen H Y H, Taylor A R, et al. 2016. Soil C:N:P dynamics during secondary succession following fire in the boreal forest of central Canada. Forest Ecology and Management, 369: 1-9.

[17]
Jiang Y, Kang M Y, Zhu Y, et al. 2007. Plant biodiversity patterns on Helan Mountain, China. Acta Oecologica, 32(2): 125-133.

[18]
Kandeler E, Gerber H. 1988. Short-term assay of soil urease activity using colorimetric determination of ammonium. Biology and Fertility of Soils, 6: 68-72.

[19]
Kar M, Mishra D. 1976. Catalase, peroxidase, and polyphenoloxidase activities during rice leaf senescence. Plant Physiology, 57(2): 315-319.

[20]
Kirkby C A, Kirkegaard J A, Richardson A E, et al. 2011. Stable soil organic matter: a comparison of C:N:P:S ratios in Australian and other world soils. Geoderma, 163(3-4): 197-208.

[21]
Kishné A S, Morgan C L S, Neely H L. 2014. How much surface water can gilgai microtopography capture? Journal of Hydrology, 513: 256-261.

[22]
Kokulan V, Akinremi O, Moulin A, et al. 2018. Importance of terrain attributes in relation to the spatial distribution of soil properties at the micro scale: A case study. Canadian Journal of Soil Science, 98(2): 292-305.

[23]
Lampela M, Jauhiainen J, Kamari I, et al. 2016. Ground surface microtopography and vegetation patterns in a tropical peat swamp forest. Catena, 139: 127-136.

[24]
Li X R, Jia R L, Chen Y W, et al. 2011. Association of ant nests with successional stages of biological soil crusts in the Tengger Desert, Northern China. Applied Soil Ecology, 47(1): 59-66.

[25]
Li X W, Li X L, Shi Y, et al. 2024. Effects of microtopography on soil microbial communities in alpine meadows on the Qinghai-Tibetan Plateau. Catena, 239: 107945, doi: 10.1016/j.catena.2024.107945.

[26]
Li Y, Wu J S, Liu S L, et al. 2012. Is the C:N:P stoichiometry in soil and soil microbial biomass related to the landscape and land use in southern subtropical China? Global Biogeochemical Cycles, 26(4): GB004399, doi: 10.1029/2012GB004399.

[27]
Liang J. 2020. Study on the habitat construction and plant community design in the desert steppe area of the eastern foot of Helan. MSc Thesis. Xi'an: Xi'an University of Architecture and Technology. (in Chinese)

[28]
Lobo E, Dalling J W. 2013. Effects of topography, soil type and forest age on the frequency and size distribution of canopy gap disturbances in a tropical forest. Biogeosciences, 10(11): 6769-6781.

[29]
Lu J Y. 2016. Coupling relationship between plant community structure and soil nutrient in micro-topography in northern Shaanxi. MSc Thesis. Beijing: Beijing Forestry University. (in Chinese)

[30]
Luo G W, Xue C, Jiang Q H, et al. 2020. Soil carbon, nitrogen, and phosphorus cycling microbial populations and their resistance to global change depend on soil C:N:P stoichiometry. mSystems, 5(3): e00162-20, doi: 10.1128/mSystems.00162-20.

[31]
Ma H, Zhu Q K, Zhao W J. 2020. Soil water response to precipitation in different micro-topographies on the semi-arid Loess Plateau, China. Journal of Forest Research, 31: 245-256.

[32]
Ma Y, Ding S W, Deng Y S, et al. 2016. Study of soil dimension characteristics and spatial variability in collapsing alluvial fan of Wuhua County. Journal of Soil and Water Conservation, 30(5): 279-285. (in Chinese)

[33]
McAuliffe J R. 1994. Landscape evolution, soil formation, and ecological patterns and processes in Sonoran Desert Bajadas. Ecological Monographs, 64(2): 111-148.

[34]
Monger H C, Bestelmeyer B T. 2006. The soil-geomorphic template and biotic change in arid and semi-arid ecosystems. Journal of Arid Environments, 65(2): 207-218.

[35]
Moser K F, Ahn C, Noe G B. 2009. The influence of microtopography on soil nutrients in created mitigation wetlands. Restoration Ecology, 17(5): 641-651.

[36]
Oliveira Junior J C, Furquim S A C, Nascimento A F, et al. 2019. Salt-affected soils on elevated landforms of an alluvial megafan, northern Pantanal, Brazil. Catena, 172: 819-830.

[37]
Osterkamp W R, Hupp C R, Stoffel M. 2012. The interactions between vegetation and erosion: New directions for research at the interface of ecology and geomorphology. Earth Surface Processes and Landforms, 37(1): 23-36.

[38]
Ostrowska A, Porębska G. 2015. Assessment of the C/N ratio as an indicator of the decomposability of organic matter in forest soils. Ecological Indicators, 49: 104-109.

[39]
Perron I, Cluis D A, Nolin M C, et al. 2003. Influence of microtopography and soil electrical conductivity on soil quality and crop yields. In: Proceedings of the 6th International Conference on Precision Agriculture and Other Precision Resources Management, Minneapolis, USA, 14-17 July, 2002, 1081-1094.

[40]
Peterson J E, Baldwin A H. 2004. Seedling emergence from seed banks of tidal freshwater wetlands: Response to inundation and sedimentation. Aquatic Botany, 78(3): 243-254.

[41]
Ren Y, Chen Y, Chen D M, et al. 2022. Spatial and temporal effects on the value of ecosystem services in arid and semi-arid mountain areas—a case study from Helan Mountain in Ningxia, China. Frontiers in Ecology and Evolution, 10: 1072015, doi: 10.3389/fevo.2022.1072015.

[42]
Sepehr A, Hosseini A, Naseri K, et al. 2022. Biological soil crusts impress vegetation patches and fertile islands over an arid pediment, Iran. Journal of Ecology and Environment, 46(1): 31-40.

[43]
Shoshta A, Kumar S. 2023. Soil development on alluvial fans in the mountainous arid regions:A case study of Spiti valley in North-western Himalaya, India. In: Bhadouria R, Singh S, Tripathi S, et al. Understanding Soils of Mountainous Landscapes. Amsterdam: Elsevier, 245-266.

[44]
Sterner R W, Elser J J. 2002. Ecological Stoichiometry:The Biology of Elements from Molecules to the Biosphere. Princeton: Princeton University Press.

[45]
Stoeckel D M. 1999. Soil microbial ecology of the Coosawhatchie River floodplain: Influences of microtopography, season and depth. Auburn University.

[46]
Tabatabai M A, Bremner J M. 1969. Use of p-nitrophenyl phosphate for assay of soil phosphatase activity. Soil Biology and Biochemistry, 1(4): 301-307.

[47]
Tessier J T, Raynal D J. 2003. Use of nitrogen to phosphorus ratios in plant tissue as an indicator of nutrient limitation and nitrogen saturation. Journal of Applied Ecology, 40(3): 523-534.

[48]
Tian H Q, Chen G S, Zhang C, et al. 2010. Pattern and variation of C:N:P ratios in China's soils: A synthesis of observational data. Biogeochemistry, 98: 139-151.

[49]
Tian L M, Zhao L, Wu X D, et al. 2017. Vertical patterns and controls of soil nutrients in alpine grassland: implications for nutrient uptake. Science of the Total Environment, 607-608: 855-864.

[50]
Tu H M, Liu Z D. 1991. Study on relief amplitude in China. Acta Geodaetica et Cartographica Sinica, 20(5): 311-319. (in Chinese)

[51]
Walker T W, Syers J K. 1976. The fate of phosphorus during pedogenesis. Geoderma, 15(1): 1-19.

[52]
Wang M, Wang S Z, Cao Y W, et al. 2021. The effects of hum-mock-hollow microtopography on soil organic carbon stocks and soil labile organic carbon fractions in a sedge peatland in Changbai Mountain, China. Catena, 201: 105204, doi: 10.1016/j.catena.2021.105204.

[53]
Wei W, Yu Y, Jia F Y, et al. 2013. Research progress in the ecological effects of micro-landform modification. Acta Ecological Sinica, 33(20): 6462-6469. (in Chinese)

[54]
Woo D K, Kumar P. 2017. Role of Micro-Topographic Variability on the Distribution of Inorganic Soil-Nitrogen Age in Intensively Managed Landscape. Water Resources Research, 53(10): 8404-8422.

[55]
Wu G L, Gao J, Li H L, et al. 2023. Shifts in plant and soil C, N, and P concentrations and C:N:P stoichiometry associated with environmental factors in alpine marshy wetlands in West China. Catena, 221: 106801, doi: 10.1016/j.catena.2022.106801.

[56]
Yu B W, Liu G H, Liu Q S, et al. 2018. Effects of micro-topography and vegetation type on soil moisture in a large gully on the Loess Plateau of China. Hydrology Research, 49(4): 1255-1270.

[57]
Yu H Y, Zha T G, Zhang X X, et al. 2020. Spatial distribution of soil organic carbon may be predominantly regulated by topography in a small revegetated watershed. Catena, 188: 104459, doi: 10.1016/j.catena.2020.104459.

[58]
Zhang A, Jiang L L, Qi Q W, et al. 2014. Spatial heterogeneity of surface soil nutrients in small scale in the black soil region of Northeast China. In: Third International Conference on Agro-Geoinformatics. Danvers: IEEE (Institute of Electrical and Electronics Engineers).

[59]
Zhang X B, Meng D, Chen L, et al. 2021. Effects of depth to water table and micro-topography on microbial activity and methane functional genes of peat bog in Jinchuan. Chinese Journal of Ecology, 40(2): 381-391. (in Chinese)

[60]
Zhang Y, Ding S W, Wei Y J, et al. 2015. Transfer rules of soil nutrients in collapsing pluvial fan. Transactions of the Chinese Society for Agricultural Machinery, 46(10): 216-222. (in Chinese)

[61]
Zhao W J, Zhang Y, Zhu Q K, et al. 2015. Effects of microtopography on spatial point pattern of forest stands on the semi-arid Loess Plateau, China. Journal of Arid Land, 7(3): 370-380.

[62]
Zhou G Y, Xu S, Ciais P, et al. 2019. Climate and litter C/N ratio constrain soil organic carbon accumulation. National Science Review, 6(4): 746-757.

[63]
Zona D, Lipson D A, Zulueta R C, et al. 2011. Microtopographic controls on ecosystem functioning in the Arctic Coastal Plain. Journal of Geophysical Research-Biogeosciences, 116(G4): G001241, doi: 10.1029/2009JG001241.

文章导航

/