天气与气候

海温与海冰对宁夏汛期降水分布特征异常的协同影响

  • 王岱 , 1, 2 ,
  • 李欣 , 1, 2 ,
  • 张雯 1, 2 ,
  • 马阳 1, 2 ,
  • 王素艳 1, 2 ,
  • 李佳瑶 1, 2
展开
  • 1.中国气象局旱区特色农业气象灾害监测预警与风险管理重点实验室,宁夏 银川 750002
  • 2.宁夏回族自治区气候中心,宁夏 银川 750002
李欣. E-mail:

王岱(1990-),女,工程师,主要从事气候变化及短期气候预测研究. E-mail:

收稿日期: 2024-02-26

  修回日期: 2024-04-26

  网络出版日期: 2025-08-14

基金资助

宁夏智能数字预报技术研究与应用科技创新团队(2024CXTD006)

2022年中国气象局复盘总结专项(FPZJ2023-145)

宁夏自然科学基金项目(2023AAC03792)

第七批宁夏回族自治区青年科技人才托举工程

Synergistic effects of sea surface temperature and sea ice on the anomalous characteristics of precipitation distribution during the flood season in Ningxia

  • WANG Dai , 1, 2 ,
  • LI Xin , 1, 2 ,
  • ZHANG Wen 1, 2 ,
  • MA Yang 1, 2 ,
  • WANG Suyan 1, 2 ,
  • LI Jiayao 1, 2
Expand
  • 1. Key Laboratory for Meteorological Disaster Monitoring and Early Warning and Risk Management of Characteristic Agriculture in Arid Regions, China Meteorological Administration, Yinchuan 750002, Ningxia, China
  • 2. Ningxia Hui Autonomous Region Climate Center, Yinchuan 750002, Ningxia, China

Received date: 2024-02-26

  Revised date: 2024-04-26

  Online published: 2025-08-14

摘要

宁夏南北气候差异大,与生态息息相关的降水空间分布特征演变及其影响因素需要更加细致深入的分析,本文选取1961—2022年宁夏20个国家气象站汛期降水、NCEP/NCAR大气再分析、海温及北极海冰资料,利用气候统计诊断方法,建立了宁夏汛期降水南北异常指标,探究太平洋海温和北极海冰强迫信号协同作用对其异常的可能影响。结果表明:宁夏汛期降水南北反位相特征分量呈明显的年代际变化,新年代际背景下典型“北涝南旱”分布型相比于1991年以前频次明显增加,南北反位相分布型出现比重增大,且南北差异愈发明显。太平洋海温(Isst)和北极海冰(Iice)关键区指标的协同(符号一致)和拮抗(符号相反)作用,造成乌拉尔山、贝加尔湖及鄂霍茨克海附近的位势高度异常,使得冷空气影响路径以及水汽输送位置不同。当IsstIice同为正时,宁夏汛期容易出现“南涝北旱”分布型,主要以南区偏多、北区偏少和南区偏多程度大于北区为主;当Isst为正、Iice为负时,容易出现“北涝南旱”分布型,尤其以北区偏多、南区偏少为主;当IsstIice同为负时,容易出现“北涝南旱”分布型,以北区偏多、南区偏少和北区偏少程度小于南区为主;当Isst为负、Iice为正时,以南区、北区均偏少为主。

本文引用格式

王岱 , 李欣 , 张雯 , 马阳 , 王素艳 , 李佳瑶 . 海温与海冰对宁夏汛期降水分布特征异常的协同影响[J]. 干旱区研究, 2024 , 41(8) : 1288 -1299 . DOI: 10.13866/j.azr.2024.08.03

Abstract

There are significant climate differences between the north and south of Ningxia; however, the evolution characteristics and factors influencing precipitation spatial patterns closely related to ecology require more detailed and in-depth analysis. Using climate statistical diagnostic methods, this research examines precipitation data during the flood season for 20 meteorological stations in Ningxia, NCEP/NCAR atmospheric reanalysis, sea surface temperature and Arctic sea ice data from 1961 to 2022. An abnormal index for the north-south pattern of precipitation during the flood season in Ningxia was identified and explored the possible impact of the synergy of Pacific sea surface temperature and Arctic sea ice signals driving this anomaly. The results show that the characteristic components of the north-south reverse phase of precipitation during the flood season in Ningxia have significant interdecadal variations. The frequency of the typical “northern flood and southern drought” distribution patterns increased significantly in the recent interdecadal background compared with before 1991, the proportion of the north-south reverse phase distribution pattern increased, and the north-south difference become more obvious. The synergistic (consistent phase) and antagonistic (opposite phase) effects of key indicators of Pacific sea surface temperature (Isst) and Arctic sea ice (Iice) cause abnormal geopotential heights over the Ural Mountains, Lake Baikal, and the Okhotsk Sea, resulting in different impact paths of cold air and positions of water vapor transport. When Isst and Iice are both positive, Ningxia is prone to the distribution pattern of “southern flooding and northern drought” during the flood season, characterized mainly by more precipitation in the southern region, less in the northern region, and more in the southern region than in the northern region. When Isst is positive and Iice is negative, the “northern flooding and southern drought” distribution pattern is likely to occur, especially when the northern region has more precipitation and the southern region has less. When Isst and Iice are both negative, the “northern flooding and southern drought” distribution pattern was likely to occur, mainly because of more precipitation in the northern region, less precipitation in the southern region, and less precipitation in the northern region compared with the southern region. When Isst is negative and Iice is positive, this was mainly due to the precipitation in the southern and northern regions being lower.

在全球气候变暖的大背景下,气候变化问题一直受到关注,其中降水格局变化是全球气候变化的主要内容与研究热点[1],深刻影响着区域干旱[2-3]、地表径流[4-6]等问题,对当地生态环境产生较大的影响,因此,关于降水空间分布异常的研究也越来越受到重视。宁夏位于西北地区东部,三面环沙,干旱少雨,是唯一全境属于黄河流域的省份,也是典型的生态脆弱区,作为西北地区重要的生态安全屏障,承担着维护西北乃至全国生态安全的重要使命[7]。虽然面积不大,然而由于独特的地理地貌特征,南北气候差异大:南部山区年降水量在400 mm以上,是北方重要的分水岭(半湿润与半干旱区分界线);北部引黄灌区年降水量在200 mm以下,是季风气候和非季风气候的分界线以及中国干旱区与半干旱区分界线。降水是制约宁夏尤其中南部地区生态环境、农牧业发展的主要因素;引黄灌区虽有黄河灌溉,但受黄河水量调度限制,供用水矛盾突出[8]。随着气候变暖,热量资源更加充沛,蒸散也随之增大,极端干旱和强降水事件增多,降水格局的演变将对生态带来更大的影响。近十几年宁夏南北降水趋势呈现反位相的“跷跷板”模态开始占据主导地位[9],因此,宁夏汛期降水空间分布异常,特别是在新年代际背景下其异常的影响因子有必要进一步探索。
影响中国区域性降水分布异常变化的因子复杂,但目前大多数相关研究主要集中于海温这一因子。前人的研究已经证实,海温是影响全球气候异常的主要外强迫信号,其年代际变化[例如太平洋海温年代际振荡(PDO)]能够显著影响中国东部的旱涝,且认为气候变暖后东亚夏季风的减弱可能受PDO年代际转折所调制[10-12],进而改变我国东部“南涝北旱”的降水格局[13-15];此后,Yang等[16]进一步基于数值模拟研究系统地诠释了PDO影响我国东部“南涝北旱”的机制,即当PDO处于暖(冷)位相时,我国东部呈现“南涝(旱)北旱(涝)”的分布格局,华北地区持续干旱(多雨),而南方则为持续的多雨(干旱)时期。印度洋海温偶极振荡(DMI)通过影响南亚高压及副热带高压的强度,改变印度及南海季风强度[17-18],进而引起中国东部夏季降水异常[19-20]。宁夏区域降水影响因子的研究中,李欣等[21]研究发现,引黄灌区和中南部对海温信号的响应不完全相同,如中部型厄尔尼诺次年,宁夏春季降水量以南多北少为主;杨建玲等[22]的研究表明,印度洋海盆模指数近年来也发生了明显的年代际变化,其对宁夏南部春季降水的影响更加显著;张雯等[23]指出21世纪以来赤道太平洋海温与宁夏7月降水关系加强,尤其是在ENSO衰减位相。另外,宁夏处于东亚夏季风北部边缘,副热带高压的强度和脊线位置进退对宁夏南北降水的影响差异大[9]。综上可知,一个地区气候异常是多个影响因素协同作用的结果,而大气环流是最直接的影响因子,随着气候变暖海冰显著减少,在新的年代际背景下,围绕海冰放大效应及其与其他外强迫因子协同影响大气环流进而影响宁夏区域间降水异常的机理研究并不多。
长期极端缺水的西北地区,由于近些年降水量的增加,“变暖变湿”成为焦点[24-25],加之当前黄河流域生态保护和高质量发展的需求,在此背景下,位于西北地区的宁夏,其气候时空差异显著。那么与宁夏生态环境发展相关的降水空间分布特征发生了怎样的变化?其影响因素是什么?这些问题目前还未有深入的分析研究。因此,本文旨在对新年代际背景下宁夏汛期降水空间分布演变特征进行分析,揭示环流和外强迫因子对这一新特征的可能影响,在深入理解降水分布异常成因的同时,对提高宁夏汛期降水预测水平具有重要意义,为宁夏气象防灾减灾决策服务和建设黄河流域生态保护和高质量发展先行区提供科学的理论参考。

1 资料与方法

1.1 数据资料

降水观测资料为1961—2022年宁夏全区20个国家气象站汛期(6—8月)逐月降水量数据,站点分布见图1。大气环流资料为NCEP/NCAR逐月再分析资料(包括位势高度场、风场、相对比湿场、地表气压场),水平分辨率为2.5°×2.5°。海温资料为美国国家海洋和大气管理局(National Oceanic and Atmospheric Administration,NOAA)逐月平均海温数据,水平分辨率为2°×2°。海冰资料来源于英国哈德莱(Hadley)中心逐月海冰密集度数据,水平分辨率为1°×1°。
图1 1961—2022年宁夏汛期降水标准化场EOF分解的前三模态空间向量分布(a~c)和第二模态时间系数变化(d)

注:底图采用自然资源部标准地图制作,审图号为GS(2019)1822号,对底图边界无修改。

Fig. 1 Spatial vector distribution of the first three modes of the EOF decomposition of the normalized field of precipitation during the flood season in Ningxia from 1961 to 2022 (a-c) and the second modal time coefficient variation (d)

1.2 方法

滑动相关系数法是一种诊断变异的方法,结合了相关系数与滑动窗口,本文采用局域滑动相关系数(Local Running Correlation Coefficient,LRCC)[26]诊断两个区域降水异常序列的相关性变化,计算公式如下:
R ( i ) = k = i - n i + n ( x k - X - i ) ( y k - Y - i ) k = i - n i + n ( x k - X - i ) 2 k = i - n i + n ( y k - Y - i ) 2
X - i = 1 2 n + 1 k = i - n i + n x k
Y - i = 1 2 n + 1 k = i - n i + n y k
式中: X = x k :   k = 1,2 , , N Y = y k :   k = 1,2 , , N分别为两个时间序列;n为滑动窗口的长度,滑动相关系数的计算范围为 i n + 1 ,   N - n in+1开始。
海冰数据在分析之前,经过去趋势处理;此外,还用到经验正交函数分解(EOF)方法、一元线性趋势、合成、相关、滑动t检验[27]以及偏相关[28]等方法。

2 结果与分析

2.1 宁夏汛期降水南北分布异常特征

为分析宁夏汛期降水区域性分布特征的异常变化,将宁夏1961—2022年汛期降水标准化场进行EOF分解,第一模态方差贡献率为58%,为全区一致变化的分布型,是最主要的分布模态(图1a);第二模态方差贡献率为12%,为南北反位相分布型,也是主要模态(图1b);第三模态方差贡献率为7%,为南北与中间区域反位相分布型,所占比重相对较小(图1c)。
EOF的分析结果依赖于分析区域的选择,本文以宁夏区域作为着眼点重点对第二模态进行分析,其最能表征宁夏汛期降水南北分布特征异常,需要说明的是,本文分析的降水分布异常仅相对于宁夏本地区而言,放眼整个西北地区进行EOF分析,则宁夏全区汛期降水具有一致性分布特征[29]。另外,文中“旱”、“涝”的说法实际指降水异常偏少、偏多,但为陈述方便,采用“旱”、“涝”术语,本质上宁夏干旱半干旱地区的属性依然没有改变。定义EOF第二模态标准化时间系数为汛期降水南北异常指标(Iprep),即Iprep>0(Iprep<0)表示“南涝北旱”(“北涝南旱”)分布型,包括南部偏多(少)北部偏少(多)、南部偏多程度大(小)于北部以及南部偏少程度小(大)于北部3种情况。由Iprep变化可以看出,宁夏汛期降水南北反位相特征呈明显的年代际变化,滑动t检验结果表明,存在2个趋势的突变点,分别为1979年和2005年;在1979年之前,Iprep呈减小趋势,即中宁及以北地区降水量呈增加趋势,中宁以南地区呈减少趋势,表明南北区域降水异常差异减小;1980—2005年间,Iprep无明显线性趋势,呈波动性变化,但年际变率略有增加;2005年之后,Iprep呈明显增大趋势,即南部降水呈增加趋势,北部降水呈减少趋势,年际变率显著增加,表明南北区域降水异常差异明显加大(图1d)。
此外,为更好地表征宁夏汛期降水南北分布异常的年代际特征差异及变化,以图1b中空间向量值±0.2为划分依据(<-0.2区域定义为“北区”,即吴忠及其以北地区,>0.2区域定义为“南区”,即麻黄山-同心一带及其以南地区),计算“北区”和“南区”区域平均降水距平百分率(分别定义为RR)的21 a滑动相关系数(图2),图中1981年滑动相关系数代表1961—1981年两者的相关,以此类推,可以看出,RR相关系数在1991年后不再通过0.05的显著性检验,表明两者的相关性发生年代际转折,因此,认为1991年以后南、北区域汛期降水异常出现了不一致、不同步的变化,区域差异明显,降水空间分布可能发生变化。在此基础上,对1961—1991年和1992—2022年前后两个时段宁夏标准化降水场分别进行EOF分解(图略),发现在前三模态中,第一模态方差贡献率由63%减少到54%,第三模态也略有减少,仅第二模态方差贡献率由10%(1961—1991年)增加到15%(1992—2022年),变率在前3个模态中最大(为50%)。与此同时,1992—2022年以南北反位相为特征的“北涝南旱”分布型(R>0,R<0)相比于1961—1991年,其频次明显增加,而“南涝北旱”分布型(R>0,R<0)则略增加,且南北反位相异常年( I p r e p≥1)频次增加明显(表1),表明新年代际背景下南北反位相分布型出现比重增大,且南北差异愈发明显。
图2 宁夏汛期RR21 a滑动相关

Fig. 2 21-year sliding correlation of precipitation anomaly percentage in the southern and northern zones during the flood season in Ningxia

表1 宁夏汛期降水空间分布型频次

Tab. 1 Frequency of precipitation distribution type of north-south pattern during the flood season in Ningxia

降水分布型 1961—1991年
频次/a
1992—2022年
频次/a
典型“北涝南旱”(R<0,R>0) 2 9
典型“南涝北旱”(R>0,R<0) 3 5
异常年( I p r e p≥1) 8 12

2.2 宁夏汛期降水南北分布异常的环流分析

综上所述,1992年以来宁夏汛期降水南北分布异常特征明显,因此,为更好地分析新年代际背景下影响降水分布异常的环流机制,下文主要分析时段为1992—2022年。
为找出影响宁夏汛期降水南北分布异常的关键环流信号,将Iprep指标与500 hPa位势高度距平场求相关。由图3a可知,在中高纬地区,显著相关区为乌拉尔山以南地区、贝加尔湖北侧、鄂霍茨克海,其上空有一明显位势高度场异常的“负-正-负”波列,即当乌拉尔山附近高压脊偏弱(强),鄂霍茨克海为负(正)位势高度异常,贝加尔湖北侧为正(负)位势高度场异常时,宁夏汛期降水易出现“南涝北旱”(“北旱南涝”)的分布型。
图3 1992—2022年Iprep与500 hPa位势高度距平场的相关系数分布(等值线代表相关系数,填色区域代表通过了0.05显著性水平)(a),Iprep>0的前5高值年与Iprep<0的后5低值年500 hPa位势高度合成差值场(等值线和填色区域,单位:gpm)(b)及整层(地面到300 hPa)积分水汽输送通量合成差值场(矢量,单位:102 kg·s-1·m-1)和水汽输送通量散度合成差值场(填色区,单位:10-3 kg·s-1·m-1)(c)

Fig. 3 Distribution of correlation coefficients between Iprep index and the 500 hPa potential height anomaly field fron 1992 to 2022 (contours represent correlation coefficients, filled areas represent passing the 0.05 significance level) (a), composite difference field of the 500 hPa potential height for the first five high value years with Iprep>0 and the last five low value years with Iprep<0 (contours and filled region, the unit is gpm) (b) and the whole-layer (surface to 300 hPa) integral water vapor transport flux (vector, the unit is 102 kg·s-1·m-1) and water vapor transport flux divergence composite difference field (filled areas, the unit is 10-3 kg·s-1·m-1) (c)

Iprep指标序列值最高5 a作为区域降水“南涝北旱”异常年,分别为2013年、2019年、2018年、2005年、1996年;Iprep指标序列值最低5 a作为区域降水“北涝南旱”异常年,分别为2012年、2008年、2006年、2016年和2022年。分析上述高值年和低值年500 hPa位势高度合成差值场(图3b),可看出其与图3a显著相关区位置对应较为一致,即当乌拉尔山南侧为负位势高度异常时,冷空气路径偏西,容易影响宁夏南部,配合贝加尔湖上空的正位势高度异常,使得高纬度冷空气不易南下,北部受冷空气活动影响较小,另外,鄂霍茨克海上空为负位势高度异常,造成其南侧反气旋位置偏南,水汽输送偏南,该种环流配置下,宁夏南部降水条件比北部更有利,容易出现“南涝北旱”分布型;反之,当乌拉尔山附近为正位势高度异常,贝加尔湖上空为明显的负位势高度异常时,有利于冷空气沿偏北路径南下,鄂霍茨克海上空为正位势高度异常,该反气旋环流南侧为暖湿的东南气流,使得水汽输送位置更偏北,有利于宁夏出现“北涝南旱”分布型。
为进一步对汛期降水南北分布异常的水汽输送特征进行分析,将上述Iprep前5高值年与Iprep后5低值年的整层水汽通量及其散度场做合成差值,可以看出,当“南涝北旱”年时,宁夏区域水汽通量散度北部及附近为正,中南部为负,水汽通道主要为鄂霍茨克海以南区域的反气旋南侧偏东气流,使得宁夏南部更易受偏东、偏南方向水汽输送影响,造成该区域降水相对的偏多,值得注意的是,图3a中未体现与西太平洋副热带高压显著的相关,因此,该方向的水汽输送不一定是副高造成的,只是Iprep前5高值年与后5低值年相对差异的体现;当为“北涝南旱”年时反之(图3c)。

2.3 海温、海冰协同影响汛期降水南北分布异常的指示意义

2.3.1 海温、海冰关键区指数的确定

为进一步说明前期外强迫场异常影响环流进而影响宁夏汛期降水南北分布异常的可能途径,本研究将Iprep指标分别与前期1~6个月逐月全球海温场、北极海冰场等求相关(图略),确定外强迫场关键区域和时段,发现Iprep指标与前期春季(3—5月)太平洋海温(图4a)及北极海冰场(图4b)均存在显著相关区域。因此,将图4a中A和B区域海温分别进行区域平均并标准化后,得到序列1和序列2,将序列1与序列2相加后再标准化,得到的新序列定义为关键区海温指数(Isst);同理,将图4b中的C、D、E区域海冰密集度以同样的方法处理,得到序列3、序列4和序列5,将序列3的值与序列4的值相加并减去序列5的值,得到的新序列再进行标准化,定义为关键区海冰指数(Iice)。
图4 1992—2022年Iprep与前期春季全球海温场(a)、北极海冰场(b)的相关系数分布(填色区域表示通过了0.05显著性水平)以及IprepIsstIice变化(c)

Fig. 4 Distribution of correlation coefficients between Iprep index with spring global sea surface temperature (a) and Arctic sea ice field (b), respectively (filled areas represent passing the 0.05 significance level), as well as the changes in Iprep, Isst, and Iice from 1992 to 2022 (c)

图4c可知,建立的IsstIice较为合理,其与Iprep的相关系数分别为0.49和0.71,通过0.05和0.001的显著性水平,另外,IsstIiceIprep同号率分别为65%和74%。

2.3.2 海温、海冰协同作用对汛期降水南北分布异常的可能影响

为说明海温、海冰通过影响环流异常进而协同影响宁夏汛期降水南北分布异常的可能途径,本研究将IsstIice分别与500 hPa位势高度距平场求相关,看是否能建立其与环流关键系统的联系。从图5相关系数分布可以看出,两者与500 hPa位势高度距平场的显著相关区位置(尤其乌拉尔山及略偏西区域和鄂霍茨克海)基本重叠,与图3a分布较为相似,可见当关键区海温和海冰指标均为正异常时,有利于乌拉尔山及偏南区域、鄂霍次克海为负位势高度异常,贝加尔湖附近为正位势高度异常,使得宁夏汛期降水容易出现“南涝北旱”分布型,反之当关键区海温和海冰指标均为负异常时容易出现“北涝南旱”分布型。
图5 1992—2022年Isst(符号×区域)和Iice(符号+区域)指标分别与汛期500 hPa位势高度距平场的相关系数分布

注:符号填充区域代表通过0.05显著性水平,其中红色实线区域内表示相关系数为正,蓝色虚线区域内表示相关系数为负。

Fig. 5 Distribution of correlation coefficients of Isst (symbols×area) and Iice (symbols+area) index with the 500 hPa potential height anomaly field during flood season from 1992 to 2022, respectively

图6为海温和海冰关键区协同(IsstIice为同号,表示两者相互配合共同作用)和拮抗(IsstIice为异号,表示两者对抗,互相牵制,与协同意思相反)作用下500 hPa位势高度场的合成,当IsstIice同为正时,二者协同作用使得乌拉尔山附近为正位势高度异常,贝加尔湖上空为弱的负位势高度异常,有利于冷空气南下,鄂霍茨克海上空为负位势高度异常,其南侧反气旋位置偏南,造成水汽输送位置偏南,此种配置下有利于宁夏汛期“南涝北旱”分布型(图6a);当Isst为正、Iice为负时,二者拮抗作用使得乌拉尔山附近为明显的负位势高度异常,贝加尔湖附近为正位势高度异常,虽然不利于偏北路径的冷空气南下,但乌拉尔山附近负位势高度位置偏西且略往东南方向延伸,有利于西北路径冷空气影响宁夏北部,鄂霍茨克海附近正位势高度异常位置偏北,导致其南侧气旋位置偏北,造成水汽输送位置偏北,有利于出现“北涝南旱”分布型(图6b);当IsstIice同为负时,二者协同作用使得乌拉尔山附近为明显的正位势高度异常,贝加尔湖附近为负位势高度异常,有利于冷空气南下,鄂霍茨克海为明显的正位势高度异常且南伸至宁夏北部区域,导致冷空气影响宁夏的范围偏北,且水汽输送位置亦偏北,有利于出现“北涝南旱”分布型(图6c);当Isst为负、Iice为正时,二者拮抗作用使得乌拉尔山阻塞高压偏弱,贝加尔湖为明显的正位势高度异常,且南伸至宁夏上空附近,使得冷空气不易沿偏北路径南下,但乌尔拉山负位势高度异常明显往南延伸,有利于冷空气沿偏西路径影响宁夏南部,鄂霍茨克海上空为明显的负位势高度异常,使南侧反气旋位置偏南,水汽输送偏南,使得宁夏容易出现“南涝北旱”的分布型(图6d)。
图6 IsstIice不同位相组合的500 hPa位势高度距平合成场(等值线和填色区域,单位:gpm)

Fig. 6 Composite of 500 hPa potential height anomaly field in different phase combinations of Isst and Iice (contours and filled areas, the unit is gpm)

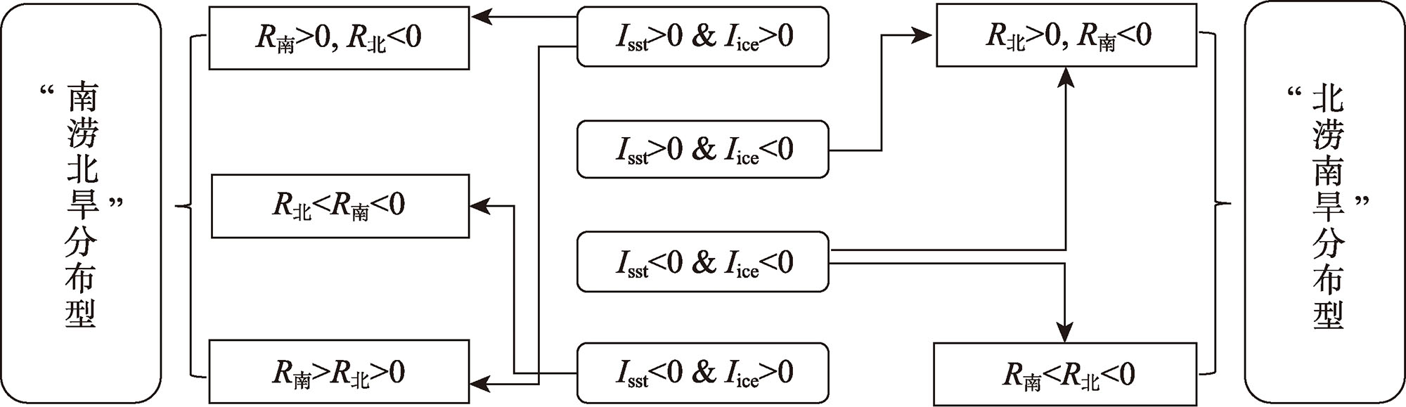
由此可知,海温和海冰正/负位相下的协同和拮抗作用使得冷空气影响路径以及水汽输送位置不同,Isst无论为正还是负,只有Iice对它同为正(负)的协同叠加效应,才可能更容易出现“南涝北旱”(“北涝南旱”)的分布型;当Iice为正,只有Isst为正的协同叠加效应,则可能容易出现“南涝北旱”的分布型,但当Iice为负,无论Isst为正还是负,均可能容易出现“北涝南旱”的分布型。

2.3.3 海温、海冰协同作用对汛期降水南北分布特征的指示意义

分别计算IsstIiceIprep的偏相关系数,从而得出两种外强迫指标对宁夏汛期降水南北分布异常的相对重要性。在消除海冰的影响下,IprepIsst的偏相关系数为0.18,但在消除海温的影响下,IprepIice的偏相关系数为0.61;可见对于影响汛期降水南北分布特征异常的外强迫指标,前期春季太平洋海温关键区的影响可能小于北极海冰关键区的影响。
表2可知,1992—2022年期间,IsstIice同为正的年份有12 a,主要为“南涝北旱”分布型(共8 a),以南区降水偏多、北区降水偏少和南区降水偏多程度大于北区为主;通过对比图6a,此种环流配置下既有冷空气南下活动,又有偏南方向往北的水汽输送,所以,很大可能为全区均偏多,或者南区偏多北区偏少。Isst为正、Iice为负有5 a,主要为“北涝南旱”分布型(共4 a),以北区降水偏多、南区降水偏少为主,对比图6b,此种环流配置下,有利于西北路径冷空气影响北部且北部有更充足的水汽输送,因此,发生北多南少的可能性大。IsstIice同为负有10 a,主要为“北涝南旱”分布型(共8 a),以北区降水偏多、南区降水偏少以及北区偏少程度小于南区为主,对比图6c,此种环流配置下偏北路径南下的冷空气活动更强,且水汽输送位置偏北,因此,容易出现北多南少或者全少的可能。Isst为负、Iice为正有4 a,“北涝南旱”和“南涝北旱”分布型各占2 a,主要以南区、北区均偏少为主,对比图6d,此种环流配置下冷空气南下强度弱,且水汽输送偏南,因此,为全区偏少的可能性大。
表2 1992—2022年间Isst和Iice不同位相组合的降水分布型频次

Tab. 2 Frequency of precipitation distribution pattern in different phase combinations of Isst and Iice from 1992 to 2022

降水分布型 北区和南区降水距平百分率 Isst>0 & Iice>0 Isst>0 & Iice<0 Isst<0 & Iice<0 Isst<0 & Iice>0
“南涝北旱”频次/a R>0,R<0 4 0 1 0
R<R<0 1 0 1 2
R>R>0 4 1 0 0
“北涝南旱”频次/a R>0,R<0 2 3 4 1
R<R<0 1 0 4 1
R>R>0 0 1 0 0
上述4种配置下降水实况分布型的频次统计,均与图6海温和海冰共同影响下的环流配置指示意义对应较为一致,不同海温和海冰异常配置下冷空气影响路径以及水汽输送位置均有所不同,从而形成了两种降水格局下的不同分布型。因此,本文所建立的海温和海冰关键区指标,对于宁夏汛期降水分布型有较好的指示意义,故形成图7的预测示意图,便于更好应用于宁夏汛期降水预测。
图7 IsstIice不同位相组合对宁夏汛期降水南北分布型的指示作用示意图

Fig. 7 Schematic diagram of the indicative effect of different phase combinations of Isst and Iice on the precipitation distribution pattern during the flood season in Ningxia

3 结论与讨论

本文利用宁夏汛期降水EOF分解的第二模态标准化时间系数表征降水南北异常指标,对1992—2022 年宁夏汛期降水异常的环流特征进行分析,探讨太平洋海温和北极海冰强迫信号对其异常的可能影响,得出以下结论:
(1) 1961—2022年间宁夏汛期降水南北反位相特征呈明显的年代际变化,1979年之前南、北降水量区域差异呈减小趋势,2005年以后呈明显增大趋势。新年代背景下典型“北涝南旱”分布型频次相比于1991年之前明显增加,南北反位相分布型出现比重增大,且南北差异愈发明显。
(2) 宁夏汛期“南涝北旱”异常年,500 hPa位势高度场有一明显的“负-正-负”波列,乌拉尔山南侧为负位势高度异常,贝加尔湖北侧为正位势高度场异常时,有利于偏西路径冷空气影响宁夏南部,宁夏北部不易受到偏北路径冷空气影响;鄂霍茨克海附近为负位势高度异常,有利于偏东南方向水汽输送影响宁夏南部;整层水汽通量散度宁夏北部为正,南部为负,水汽通道主要为鄂霍次克海以南区域反气旋南侧的偏东南气流。“北涝南旱”异常年反之。
(3) 海温和海冰正/负位相下的协同和拮抗作用使得冷空气影响路径以及水汽南北输送位置不同,当IsstIice同为正时,有利于冷空气沿偏北路径南下,水汽输送位置偏南,宁夏容易出现“南涝北旱”分布型,主要以南区降水偏多、北区偏少和南区偏多程度大于北区为主;当Isst为正、Iice为负时,使得西北路径冷空气影响宁夏北部且北部有更充足的水汽输送,容易出现“北涝南旱”分布型,尤其以北区偏多、南区偏少为主;当IsstIice同为负时,沿偏北路径南下的冷空气活动更强,且水汽输送位置偏北,容易出现“北涝南旱”分布型,以北区偏多、南区偏少和北区偏少程度小于南区为主;当Isst为负、Iice为正时冷空气南下强度弱,且水汽输送位置偏南,以南区和北区均偏少为主。
造成西北地区汛期降水异常的外强迫因子较多,本文主要从宁夏汛期降水南北反位相分量入手,围绕太平洋海温、北极海冰对其异常的影响进行探究,在全球变暖、极端天气频发的背景下,由于气候异常成因的复杂性,造成宁夏降水异常的因子绝不仅限于此,印度洋与大西洋[30-31]等其他海区、积雪[32]、感热[33]等不同时间尺度的信号同样会产生重要影响,多因子之间的协同作用是造成区域气候异常的根本原因[34],例如本文图6中2022年宁夏汛期降水南北分布异常指标为显著的负异常,但海温和海冰指标不异常,指示意义不明显,经初步分析,可能为前冬青藏高原积雪异常所导致;虽然有些年份降水分布型相似,但是其影响因子不完全相同,仍有其他因子发挥重要作用,需要进一步探索分析。另外,本文中海温、海冰异常对宁夏降水的影响目前只基于统计上的分析,大尺度的外强迫异常对面积较小的宁夏区域降水南北差异的影响还需要通过模式模拟、机理分析等方式进行深入研究。
[1]
Pendergrass A G. What precipitation is extreme?[J]. Science, 2018, 360(6393): 1072-1073.

[2]
Ault T R. On the essentials of drought in a changing climate[J]. Science, 2020, 368(6488): 256-260.

[3]
Hu T, van Dijk A I J M, Renzullo L J, et al. On agricultural drought monitoring in Australia using Himawari-8 geostationary thermal infrared observations[J]. International Journal of Applied Earth Observation and Geoinformation, 2020, 91: 102153.

[4]
Chen S A, Michaelides K, Grieve S W D, et al. Aridity is expressed in river topography globally[J]. Nature, 2019, 573(7775): 573-577.

[5]
Konapala G, Mishra A K, Wada Y, et al. Climate change will affect global water availability through compounding changes in seasonal precipitation and evaporation[J]. Nature Communications, 2020, 11(1): 3044.

[6]
Valmassoi A, Dudhia J, Di Sabatino S, et al. Irrigation impact on precipitation during a heatwave event using WRF-ARW: The summer 2015 Po Valley case[J]. Atmospheric Research, 2020, 241: 104951.

[7]
耿国彪. 三北工程40年—宁夏中卫用“草方格”护卫着“塞上江南”[J]. 绿色中国, 2018(20): 70-73.

[ Geng Guobiao. Forty years of the Three North Project-Ningxia Zhongwei uses “grass squares” to protect “Jiangnan on the frontier”[J]. Green China, 2018(20): 70-73. ]

[8]
田巍. 宁夏引黄灌区重点湖泊生态需水量测算及再生水补水方案研究[J]. 中国农村水利水电, 2018(12): 45-48.

[ Tian Wei. Ecological water demand and reclaimed water recharge scheme of key lakes in the Yellow River Irrigation Area of Ningxia[J]. China Rural Water and Hydropower, 2018(12): 45-48. ]

[9]
王素艳, 李欣, 王璠, 等. 宁夏降水资源格局演变特征[J]. 干旱区研究, 2021, 38(3): 733-746.

[ Wang Suyan, Li Xin, Wang Fan, et al. Evolution characteristics of precipitation resources pattern in Ningxia[J]. Arid Zone Research, 2021, 38(3): 733-746. ]

[10]
Zhu Y, Wang H, Ma J, et al. Contribution of the phase transition of Pacific Decadal Oscillation to the late 1990s’ shift in East China summer rainfall[J]. Journal of Geophysical Research-Atmospheres, 2015, 120(17): 8817-8827.

[11]
Li H, Dai A, Zhou T, et al. Responses of East Asian summer monsoon to historical SST and atmospheric forcing during 1950-2000[J]. Climate Dynamics, 2010, 34(4): 501-514.

[12]
Yang F, Lau K. Trend and variability of China precipitation in spring and summer: Linkage to sea-surface temperatures[J]. International Journal Climatology, 2004, 24(13): 1625-1644.

[13]
龚志强, 赵俊虎, 封国林. 中国东部2012年夏季降水及年代际转型的可能信号分析[J]. 物理学报, 2013, 62(9): 547-556.

[ Gong Zhiqiang, Zhao Junhu, Feng Guolin. Analysis of the summer precipitation of 2012 in East China and its possibility of decadal shift[J]. Acta Physica Sinica, 2013, 62(9): 547-556. ]

[14]
孙照渤, 徐青竹, 倪东鸿. 华南春季降水的年代际变化及其与大气环流和海温的关系[J]. 大气科学学报, 2017, 40(4): 433-442.

[ Sun Zhaobo, Xu Qingzhu, Ni Donghong. Interdecadal variation of spring precipitation in South China and its relationships with atmospheric circulation and SST[J]. Transactions of Atmospheric Sciences, 2017, 40(4): 433-442. ]

[15]
Zhou W, Li C Y, Chan J C L. The interdecadal variations of the summer monsoon rainfall over south China[J]. Meteorology and Atmospheric Physics, 2006, 93(3-4): 165-175.

[16]
Yang Q, Ma Z G, Fan X G, et al. Decadal modulation of precipitation patterns over eastern China by sea surface temperature anomalies[J]. Journal of Climate, 2017a, 30(17): 7017-7033.

[17]
贾小龙, 李崇银. 南印度洋海温偶极子型振荡及其气候影响[J]. 地球物理学报, 2005, 48(6): 1238-1249.

[ Jia Xiaolong, Li Chongyin. Dipole Oscillation in the Southern Indian Ocean and its impacts on climate[J]. Chinese Journal of Geophysics, 2005, 48(6): 1238-1249. ]

[18]
刘青春, 秦宁生, 李栋梁, 等. 印度洋海温的偶极振荡与高原汛期降水和温度的关系[J]. 高原气象, 2005, 24(3): 350-356.

[ Liu Qingchun, Qing Ningsheng, Li Dongliang, et al. Relationship between Dipole Oscillation of sea temperature in Indian Ocean and precipitation and temperature in flood season over Qinghai-Xizang Plateau[J]. Plateau Meteorology, 2005, 24(3): 350-356. ]

[19]
肖子牛, 晏红明. ElNino位相期间印度洋海温异常对中国南部初夏降水及初夏亚洲季风影响的数值模拟研究[J]. 大气科学, 2001, 25(2): 173-183.

[ Xiao Ziniu, Yan Hongming. A numerical simulation of the Indian Ocean SSTA influence on the early summer precipitation of the Southern China during an ElNino year[J]. Chinese Journal of Atmospheric Sciences, 2001, 25(2): 173-183. ]

[20]
闫晓勇, 张铭. 赤道东太平洋海温异常期间印度洋偶极子对东亚季风区影响的数值模拟[J]. 热带气象学报, 2004, 20(4): 375-382.

[ Yan Xiaoyong, Zhang Ming. Numerical simulation of the Indian Ocean Dipole influence on climate variations over Eastasian Monsoon region during Equatoreast Pacific SSTA[J]. Journal of Tropical Meteorology, 2004, 20(4): 375-382. ]

[21]
李欣, 王素艳, 郑广芬, 等. 不同分布型El Nino事件次年宁夏春季降水的差异[J]. 干旱气象, 2016, 34(2): 290-296.

[ Li Xin, Wang Suyan, Zheng Guangfen, et al. Impacts of different types ElNino events on the next spring precipitation in Ningxia[J]. Journal of Arid Meteorology, 2016, 34(2): 290-296. ]

[22]
杨建玲, 李艳春, 穆建华, 等. 热带印度洋海温与西北地区东部降水关系研究[J]. 高原气象, 2015, 34(3): 690-699.

[ Yang Jianling, Li Yanchun, Mu Jianhua, et al. Analysis of relationship between sea surface temperature in Tropical Indian Ocean and precipitation in East of Northwest China[J]. Plateau Meteorology, 2015, 34(3): 690-699. ]

[23]
张雯, 马阳, 李欣, 等. 赤道太平洋海温异常对宁夏7月降水的影响[J]. 干旱气象, 2020, 38(4): 543-551.

[ Zhang Wen, Ma Yang, Li Xin, et al. Effect of equatorial Pacific SSTA on precipitation in July in Ningxia[J]. Journal of Arid Meteorology, 2020, 38(4): 543-551. ]

[24]
张强, 张存杰, 白虎志, 等. 西北地区气候变化新动态及对干旱环境的影响: 总体暖干化, 局部出现暖湿迹象[J]. 干旱气象, 2010, 28(1): 1-7.

[ Zhang Qiang, Zhang Cunjie, Bai Huzhi, et al. New development of climate change in Northwest China and its impact on arid environment: Overall warming and drying, with localized signs of warmth and humidity[J]. Journal of Arid Meteorology, 2010, 28(1): 1-7. ]

[25]
李明, 孙洪泉, 苏志诚. 中国西北气候干湿变化研究进展[J]. 地理研究, 2021, 40(4): 1180-1194.

[ Li Ming, Sun Hongquan, Su Zhicheng. Research progress in dry/wet climate variation in Northwest China[J]. Geographical Research, 2021, 40(4): 1180-1194. ]

[26]
赵进平, 曹勇, 石岩月. 合成滑动相关系数的研究进展及其应用价值[J]. 中国海洋大学学报, 2022, 52(2): 1-12.

[ Zhao Jinping, Cao Yong, Shi Yanyue. Research progress and application significance of the synthetic running correlation coefficient[J]. Periodical of Ocean University of China, 2022, 52(2): 1-12. ]

[27]
魏凤英. 现代气候统计诊断与预测技术[M]. 北京: 气象出版社, 2007: 13-106.

[ Wei Fengying. Modern Climate Statistical Diagnosis and Prediction Techniques[M]. Beijing: Meteorological Press, 2007: 13-106. ]

[28]
施能. 气象科研与预报中的多元分析方法[M]. 北京: 气象出版社, 2002: 21-22.

[ Shi Neng. Multivariate Analysis Methods in Meteorological Research and Forecasting[M]. Beijing: Meteorological Press, 2002: 21-22. ]

[29]
朱姜韬, 杨庆怡, 李旭, 等. 中国西北地区夏季降水及其东部降尺度预测模型[J]. 高原气象, 2023, 42(3): 646-656.

[ Zhu Jiangtao, Yang Qingyi, Li Xu, et al. Characteristics and east downscaling forecast model of summer precipitation in Northwest China[J]. Plateau Meteorology, 2023, 42(3): 646-656. ]

[30]
张雯, 马阳, 王岱, 等. 不同时间尺度海温因子对西北地区东部夏季降水的影响及预测[J]. 干旱区研究, 2023, 40(4): 532-542.

[ Zhang Wen, Ma Yang, Wang Dai, et al. The influence and prediction of SST predictors at different timescales on summer precipitation over the eastern part of Northwest China[J]. Arid Zone Research, 2023, 40(4): 532-542. ]

[31]
杨建玲, 张素诏, 马珺玢, 等. 北大西洋海温对宁夏春末夏初降水影响及成因研究[J]. 干旱区研究, 2023, 40(5): 703-714.

[ Yang Jianlin, Zhang Suzhao, Ma Junbin, et al. The impact of the North Atlantic sea surface temperature anomaly on precipitation anomaly in Ningxia from late spring to early summer and associated mechanisms[J]. Arid Zone Research, 2023, 40(5): 703-714. ]

[32]
王芝兰. 青藏高原冬春积雪与我国西北地区夏季降水关系及其机理研究[D]. 兰州: 兰州大学, 2023.

[ Wang Zhilan. Relations and Mechanism between Winter and Spring Snow over the Tibetan Plateau and Summer Precipitation in Northwest China[D]. Lanzhou: Lanzhou University, 2023. ]

[33]
王蕊, 王慧, 李栋梁. 中国西北地区东部盛夏降水特征及对初春地表感热异常的响应[J]. 高原气象, 2019, 38(6): 1241-1250.

[ Wang Rui, Wang Hui, Li Dongliang. Response of summer precipitation in eastern part of northwest China to the surface sensible heat in early spring[J]. Plateau Meteorology, 2019, 38(6): 1241-1250. ]

[34]
李维京, 张若楠, 孙丞虎, 等. 中国南方旱涝年际年代际变化及成因研究进展[J]. 应用气象学报, 2016, 27(5): 577-591.

[ Li Weijing, Zhang Ruonan, Sun Chenghu, et al. Recent research advances on the interannual-interdecadal variations of drought/flood in South China and associated causes[J]. Journal of Applied Meteorological Science, 2016, 27(5): 577-591. ]

文章导航

/