天气与气候

河西走廊东部不同气候态气温变化及其对气候评价的影响

  • 杨晓玲 , 1, 2 ,
  • 周华 1 ,
  • 陈静 1 ,
  • 赵慧华 1 ,
  • 吴雯 1
展开
  • 1.武威国家气候观象台,甘肃 武威 733099
  • 2.中国气象局兰州干旱气象研究所,甘肃省干旱气候变化与减灾重点实验室,中国气象局干旱气候变化与减灾重点开放实验室,甘肃 兰州 730020

杨晓玲(1971-),女,高级工程师,主要从事天气预报及气候变化研究. E-mail:

收稿日期: 2024-02-18

  修回日期: 2024-05-12

  网络出版日期: 2025-08-14

基金资助

国家自然科学基金(42175192)

国家自然科学基金(41975015)

国家自然科学基金(41775107)

Temperature in different climate states and their influence on climate evaluation in the Hexi Corridor Eastern

  • YANG Xiaoling , 1, 2 ,
  • ZHOU Hua 1 ,
  • CHEN Jing 1 ,
  • ZHAO Huihua 1 ,
  • WU Wen 1
Expand
  • 1. Wuwei National Climate Observation Platform, Wuwei 733099, Gansu, China
  • 2. Lanzhou Institute of Arid Meteorology of China Meteorological Administration, Key Laboratory of Arid Climatic Change and Reducing Disaster of Gansu Province, Key Open Laboratory of Arid Climatic Change and Disaster Reduction of CMA, Lanzhou 730020, Gansu, China

Received date: 2024-02-18

  Revised date: 2024-05-12

  Online published: 2025-08-14

摘要

河西走廊东部是气候变化的敏感区,其气候态的更替对气候评价影响较大。采用河西走廊东部5个国家气象站的1961─2022年逐月气温数据,对比分析河西走廊东部1961─1990年、1971─2000年、1981─2010年和1991─2020年4个气候态气温的差异及其对气候业务评价的影响。结果表明:全区域及各地4个气候态年平均气温均呈升高趋势,P2(1971—2000年气候态)~P4(1991—2020年气候态)气温升高趋势均极显著。从4个气候态气温的差值来看,全区域及各地年、季、月气温基本一致升温,除P3(1981—2010年气候态)和P4外,其他气候态表现为冬季升幅最大,夏季升幅最小,各月升温差异较大,同一季度、同一月份气温升幅存在明显空间差异。气候态平均值更替后,河西走廊东部气温距平明显偏大的特征弱化了,其等级由正距平向负距平方向调整,P1(1961—1990年气候态)~P4年平均气温评价等级高达56%~87%向偏低一级转变,冷冬年份增多17~28 a,暖冬年份减少15~23 a。本研究将为了解河西走廊东部气温的变化规律以及气候业务、决策服务和气象科学研究提供参考依据。

本文引用格式

杨晓玲 , 周华 , 陈静 , 赵慧华 , 吴雯 . 河西走廊东部不同气候态气温变化及其对气候评价的影响[J]. 干旱区研究, 2024 , 41(7) : 1089 -1098 . DOI: 10.13866/j.azr.2024.07.01

Abstract

Hexi Corridor Eastern is an area sensitive to changes in climate and climate states, greatly affecting climate evaluation. Using the monthly temperature data of five national meteorological stations in Hexi Corridor Eastern from 1961 to 2022, differences in the average temperatures of four climate states, including 1961-1990, 1971-2000, 1981-2010 and 1991-2020 were compared, and their influence on the climate assessment business was analyzed. The results showed that the annual temperatures of the four climate states increased in various and whole regions, most notably in the P2 (1971-2000) and P4 (1991-2020) states. The temperature differences in the climate states revealed the following: (1) the monthly, seasonal, and yearly temperatures consistently warmed up in the whole basin and various regions, and (2) except for the P3 (1981-2010) to P4 climate states, others showed maximal and minimal elevation in winter and summer, respectively. The monthly variations in enhanced temperatures were apparent, and the growth rate demonstrated obvious spatial differences in the same season and month. After the replacement of the climate state means, the conspicuous characteristics of temperature variations were weakened in the Hexi Corridor Eastern, and their grades were adjusted from positive to negative; temperature rating was as high as 56%-87% to a lower level; the cold winter years increased by 17-28 years, and the warm winter years reduced by 15-23 years from P1(1961-1990) to P4 climate states. This study can provide a reference for understanding temperature changes, climate business, decision-making service, and meteorological science research in Hexi Corridor Eastern.

气象要素累年平均值反映了当地气候的一般状况,是概括气候常用的指标。世界气象组织(WMO)规定[1],在现行气候影响评价业务中,通常以气候要素与气候平均值的距平进行评价,气候平均值是指某个气候周期的平均值,可作为对照比较长期气候观测变化的稳定基准,并认为30 a的长度可以消除气候的年变化,即气象要素和气候变量的气候平均值采用连续3个整年代的平均值或统计值,需每隔10 a进行一次更新。为保证与国际气候业务工作接轨,中国气象局规定自2022年1月1日起,中国各级气象部门在气候业务中使用1991—2020年新气候态替换1981—2010年旧气候态[2]
在全球变暖的大背景下,气候变化问题日益突出,气候态作为气候分析中的基准条件,也在不断发生改变,气候态的改变将使所表征变量的距平发生变化,从而对气候预报预测和评价业务等造成一定影响。近年来,学者们围绕气候态的改变对气候业务的影响进行了探讨:王永光[3]、王秀文等[4]分析发现1961—1990年气候平均值更替为1971—2000年气候平均值后,对中国气候业务和中期预报业务产生了较大的影响。林婧婧等[5]、梅梅等[6]研究指出,不同时期中国气温随时间推移表现出增温趋势且增幅不断增大,不同气候态标准对评价气温要素及相关极端高、低值出现的概率等具有不同程度的影响。晏红明等[7]指出,气候态变化对中国不同气象要素影响不同,总体上气温影响最为突出,对冬半年气温影响大于夏半年。针对不同区域不同气候态下气候变化特征各有差异:东北大部分地区1981─2010年所表征的气候较1971─2000年偏暖、偏湿[8-9];西南大部分地区1981─2010年较1971─2000年更暖、更干,气候态的更替对该区域冬季气温评价影响较大[10-11];西北地区气候也呈暖湿趋势,不同气候态随时间推移呈一致增温特征[12-17]。气候态的改变在一定程度上还影响了极端事件、冷暖冬事件及ENSO事件等的评估[18-20]。因此,分析不同时段气候平均值的差异及其对气候业务的影响意义重大。
河西走廊东部是气候变化的敏感区,其气候态的更替对气候评价影响较大。近年来,河西走廊东部气候变暖程度逐渐增强,1971—2000年、1981—2010年所表征的气候分别较1961—1990年、1971—2000年更暖[21]。前人针对河西走廊东部气候的研究多集中在1981—2010年及之前的气候平均值以及气候评价和冷暖冬等事件的影响[22-24],但2011—2020年和1981—1990年两个时段气候要素存在明显差异,必然导致1991—2020年和1981—2010年两个气候平均值的差异。目前,还尚未有对河西走廊东部多个气候态更替的气候变化差异及其对气候评价影响的研究,且气温是气候监测、预报预测和评估最主要的气象因素,因此,本文以河西走廊东部1961—2022年5个气象站逐月气温数据为基础,分析近60 a来4个气候态下气温的变化趋势及差异,并讨论逐气候态的更替对气候业务评价的影响,以期更好地掌握河西走廊东部气温的变化规律,为当地气候业务、决策服务和气象科学研究提供参考依据。

1 研究区概况

河西走廊东部位于甘肃省中段,地处青藏高原、黄土高原以及蒙古高原三大地形的汇集区,地理位置为36°29′~39°27′N,101°41′~104°16′E,地势南高北低,由西南向东北倾斜,海拔高度由2500~4850 m下降到1300~2000 m,自东南向西北倾斜,其包括北部民勤荒漠区,中部凉州绿洲平原区,北部永昌和南部古浪浅山区,天祝祁连山边坡高寒山区(图1)。河西走廊东部南北温差大,降水少,日照足,蒸发强,年平均气温在0.7~9.4 ℃、年降水量在120.8~431.1 mm、年日照时数2650.8~3189.3 h、蒸发皿年蒸发量在1567.9~2631.3 mm,蒸发量是降水量的3.6~21.8倍(均为近30 a气候值),属大陆性温带干旱、半干旱气候区[25]
图1 河西走廊东部地理及气象站点分布

Fig. 1 Distribution of geography and meteorological stations in Hexi Corridor Eastern

2 数据与方法

2.1 数据

选用河西走廊东部永昌县、凉州区、民勤县、古浪县、天祝县(乌鞘岭站)5个气象站点1961—2022年逐月平均气温观测数据,数据均来源于甘肃省气象局气象信息中心,且已经通过严格质量审核,气温数据时间序列长,完整性和连续性好,可信度高。全区域年、季、月气温为各县区年、季、月的均值。季节划为春季3—5月、夏季6—8月、秋季9—11月、冬季12—2月。为了方便描述,本文将1961—1990年、1971—2000年、1981—2010年、1991—2020年4个气候态分别记为P1、P2、P3、P4,4个气候基准期平均气温分别用T1T2T3T4表示。

2.2 方法

2.2.1 线性趋势法

采用线性趋势法分析4个气候态年平均气温的变化趋势,其线性趋势方程[26]为:
x i = b + a × t i , i = 1 ,   2 ,   3 ,   ,   n
式中: x为年平均气温, t x所对应的时间, a为气候倾向率,即 x t的变化率, b为常数项, n为研究年数。变化趋势的显著性,采用 x t之间的相关系数即气候趋势系数进行检验[27]。根据蒙特卡罗模拟方法[28],当相关系数依次大于临界值0.306、0.365、0.443时,分别认为通过了信度a=0.1、0.05、0.01检验,依次为较显著、显著、极显著。

2.2.2 气候评价标准

分析气候平均值变化对气温评价的影响时,参照《短期气候预测质量评定暂行办法》[29]结合河西走廊东部实际情况规定了气温异常等级判别标准(表1),气温等级评价以气温距平(ΔA)表示,采用气温评价值减去气温气候平均值计算。
表1 气温评价标准及等级

Tab. 1 Evaluation criteria and grades of temperature

序号 评价标准/℃ 等级
1 ΔA≤-2.0 异常偏低
2 -2.0<ΔA≤-1.0 明显偏低
3 -1.0<ΔA<0.0 正常略低
4 0.0≤ΔA<1.0 正常略高
5 1.0≤ΔA<2.0 明显偏高
6 ΔA≥2.0 异常偏高

2.2.3 冷、暖冬判定标准

根据国家标准《冷冬等级》[30]和《暖冬等级》[31]的定义,使用气候态平均气温标准差的0.43倍为基准,若冬季气温距平≤标准差的-0.43倍,则为冷冬;若冬季气温距平≥标准差的+0.43倍,则为暖冬。

3 气温气候态变化特征

3.1 年平均气温的变化

河西走廊东部及各地4个气候态气温、气候倾向率、趋势系数及气候倾向率的差值见表2,全区域及各地4个气候态年平均气温均表现为民勤>凉州>全区域>古浪>永昌>天祝。全区域及各地4个气候态年平均气温均呈升高趋势(图2a~图2d),全区域及各地4个气候态年平均气温气候倾向率基本表现为a4>a3>a2>a1,即气候倾向率逐气候态呈增加趋势。根据蒙特卡罗模拟方法规定,P1下,民勤气候趋势通过了α=0.05显著性检验,升高趋势显著,全区域及其他各地气候趋势没有通过显著性检验,升高趋势不显著;P2、P3和P4下,全区域及各地气候趋势通过了α=0.01显著性检验,升高趋势极显著。4个气候态相比,气候倾向率的差值基本都>0,其差值表现为:P1~P2在0.159~0.378 ℃·(10a)-1;P2~P3在-0.007~0.385 ℃·(10a)-1,其中,民勤和天祝<0;P3~P4在0.013~0.226 ℃·(10a)-1;特别是P1~P4在0.282~0.865 ℃·(10a)-1表2),进一步说明河西走廊东部变暖趋势在加剧。
表2 河西走廊东部4个气候态年平均气温的均值、气候倾向率、趋势系数及气候倾向率的差

Tab. 2 Mean value and climate tendency rate and trend coefficient and difference of climate tendency of annual average temperature of four climatic states in Hexi Corridor Eastern

项目 永昌 凉州 民勤 古浪 天祝 全区域


均值(T1)/℃ 4.8 7.7 7.9 4.9 -0.3 5.0
倾向率(a1)/[℃·(10a)-1] 0.139 0.029 0.272 0.127 0.064 0.126
趋势系数 0.250 0.054 0.433** 0.244 0.137 0.243
均值(T2)/℃ 5.0 7.9 8.3 5.2 0.0 5.3
倾向率(a2)/[℃·(10a)-1] 0.298 0.407 0.548 0.418 0.385 0.411
趋势系数 0.505* 0.551* 0.739* 0.594* 0.612* 0.621*


均值(T3)/℃ 5.4 8.5 8.8 5.7 0.3 5.8
倾向率(a3)/[℃·(10a)-1] 0.412 0.792 0.541 0.626 0.293 0.533
趋势系数 0.629* 0.795* 0.719* 0.787* 0.523* 0.736*



均值(T4)/℃ 5.8 9.2 9.4 6.3 0.7 6.3
倾向率(a4)/[℃·(10a)-1] 0.528 0.894 0.554 0.770 0.519 0.653
趋势系数 0.750* 0.842* 0.730* 0.844* 0.753* 0.810*
Δa2-1/[℃·(10a)-1] 0.159 0.378 0.276 0.291 0.321 0.285
Δa3-2/[℃·(10a)-1] 0.114 0.385 -0.007 0.208 -0.092 0.122
Δa4-3/[℃·(10a)-1] 0.116 0.102 0.013 0.144 0.226 0.120
Δa4-1/[℃·(10a)-1] 0.389 0.865 0.282 0.643 0.455 0.527

注:Δa2-1是P2的倾向率(a2)减去P1的倾向率(a1)的差,依次类推;Δa4-1是P4的倾向率(a4)减去P1的倾向率(a1)的差。**、*分别表示趋势系数通过了α=0.05、0.01显著性水平检验。

图2 河西走廊东部4个气候态年平均气温的变化

Fig. 2 Variation of annual average temperature of four climatic states in Hexi Corridor Eastern

3.2 年平均气温的差异

表3可知,河西走廊东部全区域及各地逐气候态年平均气温均呈明显升高态势,4个气候态相比,全区域及各地逐气候态气温升幅为:P1~P2在0.2~0.4 ℃、P2~P3在0.4~0.6 ℃、P3~P4在0.4~0.7 ℃,呈现逐气候态气温升幅增大;特别是P1~P4升幅达1.0~1.5 ℃,即河西走廊东部逐气候态呈现出明显变暖趋势。因此,在年尺度上,气温平均值的升高将导致气温距平下降,将使基于原气候态下的偏暖、正常、偏冷年将发生变化。
表3 河西走廊东部4个气候态年平均气温的差

Tab. 3 Difference of annual average temperature of four climatic states in Hexi Corridor Eastern /℃

差值 永昌 凉州 民勤 古浪 天祝 全区域
ΔT2-1 0.2 0.2 0.4 0.3 0.2 0.3
ΔT3-2 0.4 0.6 0.5 0.5 0.4 0.5
ΔT4-3 0.4 0.7 0.5 0.6 0.4 0.5
ΔT4-1 1.0 1.5 1.4 1.5 1.0 1.3

注:ΔT2-1T2减去T1的差,依次类推;ΔT4-1T4减去T1的差。下同。

3.3 季气温的差异

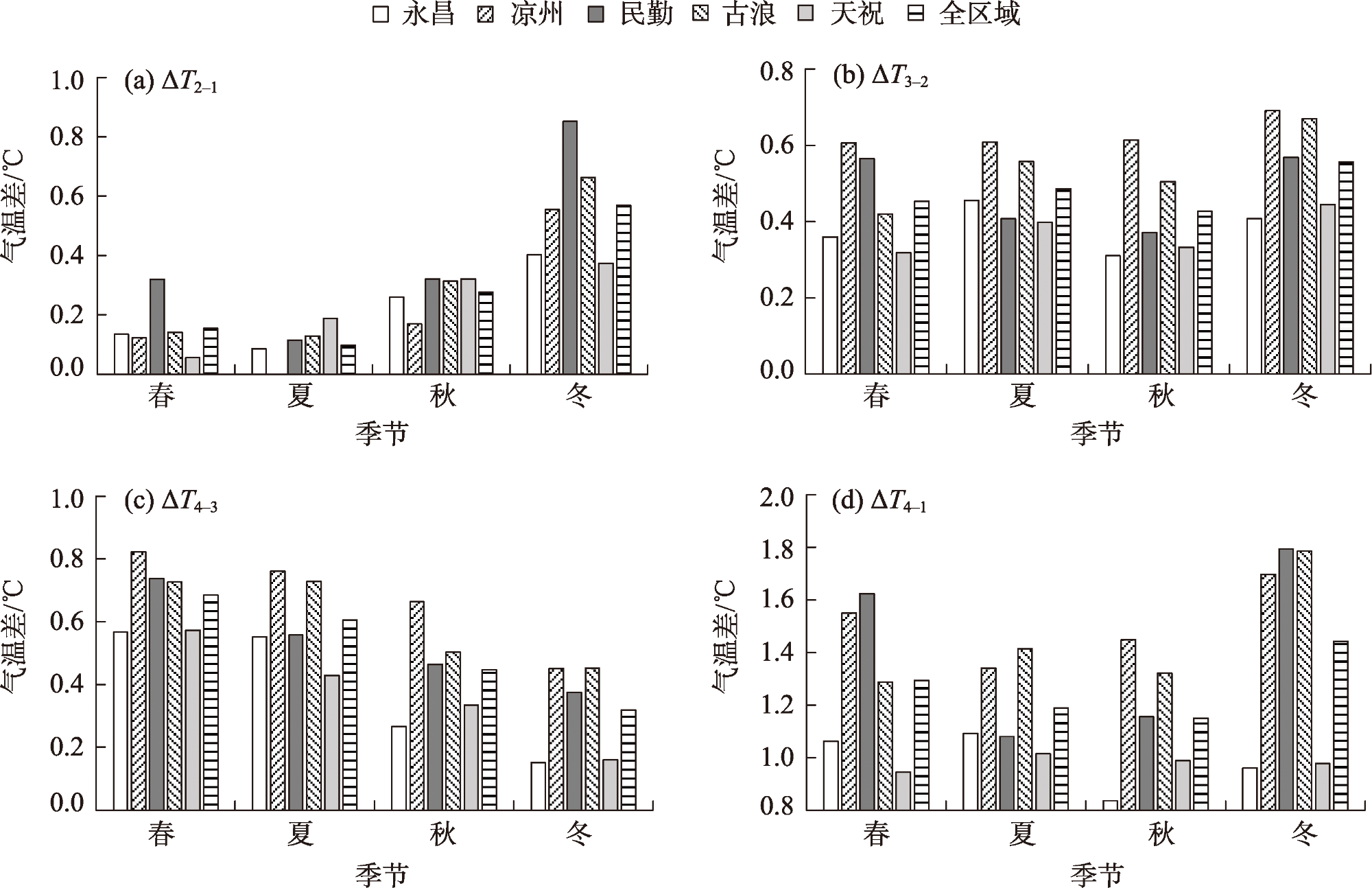
河西走廊东部全区域及各地逐气候态4季气温差值显示出一致升温特征,P1~P2各季节升温差异明显,冬季升幅最大,在0.4~0.9 ℃,秋季次之,在0.2~0.3 ℃,春季在0.1~0.3 ℃,夏季升幅最小,在0.0~0.2 ℃(图3a);P2~P3各季节升温差异不明显,冬季升幅最大,在0.4~0.7 ℃,夏季次之,在0.4~0.6 ℃,春季和秋季在0.3~0.6 ℃(图3b);P3~P4各季节升温差异出现了几乎与P1~P2相反的变化趋势,春季升幅最大,在0.6~0.8 ℃,夏季次之,在0.4~0.8 ℃,秋季在0.3~0.7 ℃,冬季升幅最小,在0.2~0.5 ℃(图3c);特别是P1~P4各季节升温差异非常显著,冬季升幅最大,在1.0~1.8 ℃,春季次之,在0.9~1.6 ℃,夏季在1.0~1.4 ℃,秋季升幅最小,在0.8~1.4 ℃(图3d),即河西走廊东部各季节均呈变暖态势,但不同气候态不同季节气温升幅不一致,同一季节升幅也存在明显空间差异,总体来看,以冬、春季升温最为明显。
图3 河西走廊东部4个气候态四季气温差的变化

注:∆T2-1T2减去T1的差,依次类推;∆T4-1T4减去T1的差。

Fig. 3 Variation change of four seasons temperature difference of four climate states in Hexi Corridor Eastern

3.4 月气温的差异

河西走廊东部全区域及各地逐气候态月气温绝大多数呈现升温特征,各地各月升温差异较大,同一月份各地升温也存在明显空间差异(表4)。P1~P2各月气温升降差异明显,其中,5月、6月、10月部分站点出现了降温,个别站点持平,3月、7月、8月气温升幅小,也有个别站点持平,其他月份升幅较明显;P2~P3各月均在升温,其中,8月、9月、12月升幅较小,2月、3月、7月、11月气温升幅较大,其他月份升幅居中;P3~P4各月基本在升温,其中12月永昌和天祝出现降温,1月永昌和天祝持平,其他站点气温升幅小,2月、3月、4月、6月、7月气温升幅较大,其他月份升幅居中;P1~P4各月气温升幅均较明显,其中,5月、8月、10月气温升幅相对较小,2月、3月、4月、6月、7月、11月气温升幅大,其他月份居中。即河西走廊东部各月气温大多数呈升温趋势,但不同气候态不同月份气温升幅很不一致,同一月份内气温升幅存在明显空间差异。
表4 河西走廊东部4个气候态月气温的差

Tab. 4 Monthly temperature difference of four climate states in Hexi Corridor Eastern /℃

差值 站点 1月 2月 3月 4月 5月 6月 7月 8月 9月 10月 11月 12月
ΔT2-1




永昌 0.2 0.6 0.1 0.4 -0.1 -0.1 0.1 0.2 0.4 -0.1 0.5 0.4
凉州 0.3 0.7 0.1 0.3 -0.1 -0.1 0.0 0.0 0.2 -0.1 0.4 0.7
民勤 0.6 1.0 0.4 0.5 0.1 0.1 0.1 0.1 0.2 0.1 0.6 1.0
古浪 0.5 0.8 0.2 0.3 0.0 0.2 0.2 0.0 0.3 0.0 0.6 0.7
天祝 0.2 0.5 0.1 0.2 -0.1 0.2 0.2 0.1 0.4 -0.1 0.7 0.4
全区域 0.4 0.7 0.2 0.3 0.0 0.1 0.1 0.1 0.3 0.0 0.5 0.6
ΔT3-2





永昌 0.3 0.7 0.5 0.3 0.2 0.5 0.6 0.3 0.3 0.3 0.3 0.2
凉州 0.6 1.0 0.8 0.5 0.5 0.8 0.7 0.3 0.5 0.7 0.7 0.4
民勤 0.4 0.9 0.7 0.4 0.5 0.6 0.5 0.1 0.2 0.4 0.5 0.4
古浪 0.6 1.0 0.6 0.3 0.3 0.7 0.7 0.3 0.4 0.5 0.6 0.4
天祝 0.4 0.7 0.5 0.2 0.2 0.5 0.5 0.2 0.4 0.2 0.4 0.2
全区域 0.5 0.9 0.6 0.4 0.4 0.6 0.6 0.3 0.4 0.4 0.5 0.3
ΔT4-3




永昌 0.0 0.5 0.8 0.7 0.2 0.6 0.6 0.4 0.2 0.3 0.3 -0.1
凉州 0.3 0.8 1.1 0.8 0.5 1.0 0.7 0.6 0.6 0.7 0.7 0.3
民勤 0.2 0.7 1.0 0.8 0.4 0.7 0.5 0.5 0.4 0.4 0.6 0.3
古浪 0.3 0.8 1.1 0.8 0.3 0.8 0.8 0.6 0.4 0.5 0.7 0.2
天祝 0.0 0.6 0.8 0.7 0.2 0.5 0.4 0.4 0.3 0.3 0.3 -0.1
全区域 0.1 0.7 1.0 0.8 0.3 0.7 0.6 0.5 0.4 0.4 0.5 0.1
ΔT4-1





永昌 0.5 1.9 1.5 1.4 0.3 1.0 1.3 0.9 0.9 0.5 1.1 0.6
凉州 1.2 2.5 2.0 1.7 1.0 1.7 1.4 0.8 1.3 1.3 1.8 1.4
民勤 1.2 2.6 2.2 1.7 1.0 1.5 1.1 0.7 0.8 1.0 1.6 1.6
古浪 1.4 2.6 1.8 1.4 0.7 1.6 1.6 1.0 1.1 1.0 1.9 1.3
天祝 0.6 1.9 1.4 1.1 0.4 1.1 1.1 0.7 1.1 0.5 1.4 0.5
全区域 1.0 2.3 1.8 1.5 0.7 1.4 1.3 0.8 1.0 0.8 1.6 1.1

4 气候均值更替对气候评价业务的影响

4.1 对年平均气温等级评价的影响

气候平均值更替会对气候预测及评价业务产生一定的影响,尤其是在两个平均值差异较大的时段和地区[32-33]。根据表1的气温等级评价标准,以4个气候态平均值为基准,分别对1961—2022年河西走廊东部全区域及各地年平均气温进行评价,分析等级评价结果的变化,探讨气候平均值的改变对年平均气温等级评价的影响。
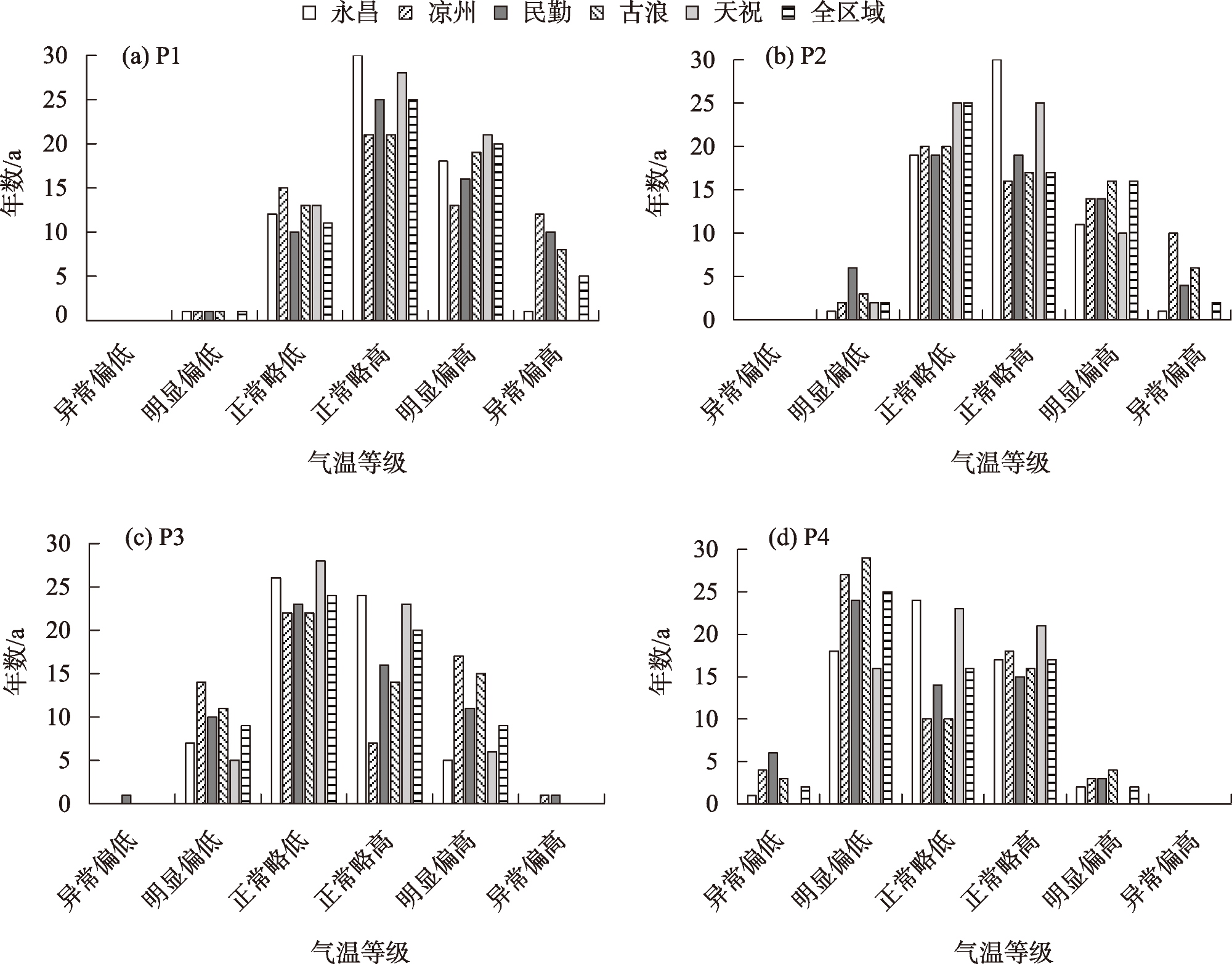
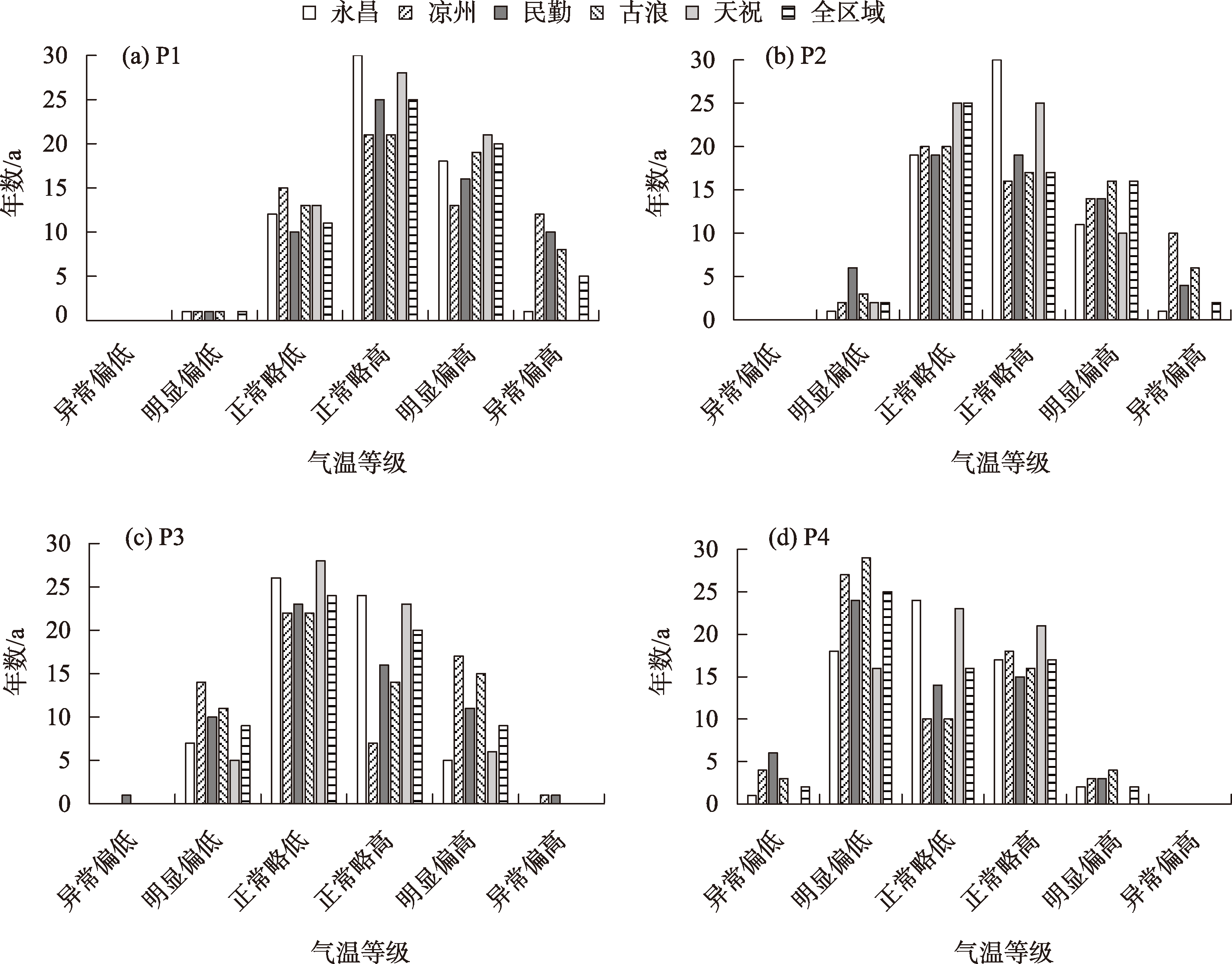
采用4个气候态分别对河西走廊东部全区域及各地年平均气温进行等级评价。采用T1表现出:正常略高年最多,明显偏高年次之,再次为正常年略低,依次为异常偏高年、明显偏低年,无异常偏低年(图4a);采用T2表现出:正常略低年最多,正常略高年次之,再次为明显偏高年,依次为异常偏高年、明显偏低年,无异常偏低年(图4b);采用T3表现出:正常略低年最多,正常略高年次之,再次为明显偏高年,依次为明显偏低年、异常偏高年,只有凉州、民勤出现异常偏高年1 a,无异常偏低年(除民勤1 a)(图4c);采用T4表现出:明显偏低年最多,正常略高年次之,再次为正常略低年,依次为异常偏低年、明显偏高年,无异常偏高年(图4d)。从偏离气候平均值的变化(表5)来看,河西走廊东部全区域及各地气温由高于气候平均值转变为低于气候平均值的年数:P1~P2在6~17 a;P2~P3和P3~P4均在4~12 a;P1~P4高达23~32 a,评价等级由正常略高转变为正常略低。气候态更替后,评价等级向偏低1级变化的年份占总年数的比例:P1~P2在23%~61%;P2~P3在20%~52%;P3~P4均在39%~73%;特别是P1~P4高达56%~87%,这主要是由于随着气温气候平均值基准的增大,平均气温的等级由正距平向负距平方向调整,气温距平明显偏大的特征弱化了。
图4 河西走廊东部4个气候态年平均气温等级评价年数变化

Fig. 4 Years change of annual average temperature grade evaluation of four climate states in Hexi Corridor Eastern

表5 河西走廊东部气候态更替后气温等级偏离气候平均值的年数

Tab. 5 Years of temperature grade deviation from climate average after climate states supersedure in Hexi Corridor Eastern /a

气候态 永昌 凉州 民勤 古浪 天祝 全区域
P1~P2 6 7 17 10 12 12
P2~P3 8 12 5 4 4 6
P3~P4 14 4 10 12 12 12
P1~P4 28 23 32 26 28 30

4.2 对冷、暖冬事件的影响

气候平均值变化对河西走廊东部冷、暖冬事件产生了一定的影响,因此,非常有必要对近几十年来的冷、暖冬事件进行重新评估。
根据国家冷、暖冬等级标准,挑选了1961—2022年4个气候态下河西走廊东部全区域及各地冷、暖冬事件(表6)。由表6可知,冷冬增加的年数:P1~P2为5~16 a,P2~P3为8~12 a,P3~P4为3~7 a,特别是P1~P4高达17~28 a,即随着气候态的更替,河西走廊东部全区域及各地冷冬年数呈增加趋势;暖冬减少的年数:P1~P2为6~12 a,P2~P3为7~11 a,P3~P4为1~5 a,特别是P1~P4高达15~23 a,即随着气候态的更替,河西走廊东部全区域及各地暖冬年数呈减少趋势。
表6 河西走廊东部4个气候态下冷暖冬年数

Tab. 6 Years of cold and warm winter of four climate states in Hexi Corridor Eastern /a

气候态 永昌 凉州 民勤 古浪 天祝 全区域
冷冬年数

P1 10 6 10 14 14 11
P2 18 22 20 19 21 19
P3 30 30 31 28 28 29
P4 34 33 38 31 33 35
暖冬年数

P1 34 33 38 30 34 34
P2 28 26 26 23 26 25
P3 17 19 17 16 17 17
P4 13 14 15 15 13 15

5 讨论

本文重点探讨了1961─1990年、1971─2000年、1981─2010年和1991─2020年4个气候态下河西走廊东部气温的变化趋势、气温平均值的差异及对气候评价业务的影响,全面认识了全球变暖背景下对河西走廊东部气温的变化规律,发现4个气候态气温均呈升高趋势,且差异明显,气候态平均值更替后,河西走廊东部气温气候平均值基准在增大,其评价等级由正距平向负距平方向调整,使气候业务评价结果发生了一定的变化。研究结果有助于进一步提升河西走廊东部气候业务评价和决策服务能力。
分析发现,1961—2020年河西走廊东部年平均气温升高率达0.40 ℃·(10a)-1,而1951—2020年中国年平均气温升高率为0.24 ℃·(10a)-1,全球平均水平为0.20℃·(10a)-1 [34],说明河西走廊东部相比全国乃至全球均为升温较快的地区。中国1951─2020年期间不同时段气候态下的气温平均值变化趋势与全球变暖趋势一致,尤其是在1971─2000年、1981─2010年的上升趋势显著[6]。自20世纪70年代以来,全球表面温度保持迅速上升趋势,全球表面温度于2000年左右显著上升趋势明显减弱,甚至停滞,增温停滞现象于2013─2014年结束[35-36],但通过对比分析河西走廊东部1961─1990年、1971─2000年、1981─2010年、1991─2020年4个不同时段的气温平均值发现,逐气候态年平均气温距平在增大,表明河西走廊东部气候呈现出加剧变暖特征。这一点与全球表面温度上升趋势于2000年左右开始减弱的现象不一致,说明,气候变化具有局地性,这一点还需进一步探究。另外本文只是对气温本身及冷暖冬气候事件等一般性气候状况进行了影响评价,但在有些气候灾害标准中也用到了气温气候态[37-38],因此,在今后的工作中需增加对气象灾害的影响评价以及其他气象要素气候态的影响分析。

6 结论

河西走廊东部全区域及各地4个气候态年平均气温均呈升高趋势,除P1外,P2、P3和P4升高趋势均极显著。4个气候态相比,逐气候态的气候倾向率基本呈增加趋势,说明河西走廊东部变暖趋势在加剧。
随着气候态气温平均值的更替,河西走廊东部全区域及各地年、季、月气温逐气候态基本呈一致升温,特别是P1~P4,年平均气温升幅在1.0~1.5 ℃,春、夏、秋、冬四季气温升幅分别在0.9~1.6 ℃、1.0~1.4 ℃、0.8~1.4 ℃、1.0~1.8 ℃,月气温升幅在0.3~2.6 ℃,各月升温差异较大,在同一季度、同一月份,气温升幅存在明显空间差异。
气候平均值更替后,由于平均气温气候平均值基准的增大,河西走廊东部全区域及各地平均气温的等级由正距平向负距平方向调整,气温距平明显偏大的特征弱化了,各气候态调整和变化的比例不太一致,特别是P1~P4,年平均气温评价等级高达56%~87%向偏低1级转变。随着气候态的更替,冷冬年增多了,暖冬年减少了,特别是P1~P4,冷冬年增多17~28 a,暖冬年减少15~23 a。
[1]
世界气象组织. WMO气候平均值计算指南[R]. 瑞士日内瓦: 主席出版物委员会, 2017.

[World Meteorological Organization. WMO Guidelines on the Calculation of Climate Mean[R]. Switzerland Geneva: Chairperson Publications Board, 2017.]

[2]
中国气象局预报与网络司. 《关于做好气候业务中气候平均值更新工作的通知》[Z]. 北京: 中国气象局, 2021.

[Forecast and network department of China Meteorological Administration. Notice on updating the climate average value in climate business[Z]. Beijing: China Meteorological Administration, 2021.]

[3]
王永光. 多年平均值的改变对中国气候业务的影响[J]. 气象, 2002, 28(8): 41-43.

[Wang Yongguang. The influence of normals change upon climate operation of China[J]. Meteorological Monthly, 2002, 28(8): 41-43.]

[4]
王秀文, 李月安. 新气候平均值在中期预报业务中的应用[J]. 气象, 2003, 29(1): 43-45.

[Wang Xiuwen, Li Yue’an. Application of new normals to med-range forecast operation[J]. Meteorological Monthly, 2003, 29(1): 43-45.]

[5]
林婧婧, 张强. 中国气候态变化特征及其对气候变化分析的影响[J]. 高原气象, 2015, 34(6): 1593-1600.

DOI

[Lin Jingjing, Zhang Qiang. Characteristics of China climate states change and its impact on the analysis of climate change[J]. Plateau Meteorology, 2015, 34(6): 1593-1600.]

DOI

[6]
梅梅, 侯威, 周星妍. 新、旧气候态差异及对中国地区气候和极端事件评估业务的影响[J]. 气候变化研究进展, 2022, 18(6): 653-669.

[Mei Mei, Hou Wei, Zhou Xingyan. The difference between new and old climate states and its impact on the assessment of climate and extreme event in China[J]. Climate Change Research, 2022, 18(6): 653-669.]

[7]
晏红明, 袁媛, 王永光. 气候变暖背景下气候平均值更替对中国气候业务的影响[J]. 气象, 2022, 48(3): 284-298.

[Yan Hongming, Yuan Yuan, Wang Yongguang. Influence of climate mean value change on climate operation in China under the global warming[J]. Meteorological Monthly, 2022, 48(3): 284-298.]

[8]
房一禾, 赵春雨, 王颖, 等. 新、旧气候态的差异及对东北地区气候业务的影响[J]. 气候变化研究进展, 2016, 12(3): 193-201.

[Fang Yihe, Zhao Chunyu, Wang Ying, et al. The differences between new and old climate states and its influence on climate operation in the Northeast China[J]. Climate Change Research, 2016, 12(3): 193-201.]

[9]
张萌萌, 赵春雨, 房一禾, 等. 基于新气候态背景的中国东北地区气候变化评估与预测研究[J]. 气象与环境学报, 2023, 39(4): 95-102.

[Zhang Mengmeng, Zhao Chunyu, Fang Yihe, et al. Assessment and prediction of climate change in northeast China based on new climate state background[J]. Journal of Meteorology and Environmental, 2023, 39(4): 95-102.]

[10]
王劲廷, 马振峰, 杨小波, 等. 新旧气候平均值的差异及其对西南气候业务的影响[J]. 高原山地气象研究, 2014, 34(1): 46-50.

[Wang Jinting, Ma Zhenfeng, Yang Xiaobo, et al. Difference of two 30 years averages and its influence on operational climatic analysis[J]. Plateau and Mountain Meteorology Research, 2014, 34(1): 46-50.]

[11]
邓彪, 王顺久, 王春学, 等. 1991-2020年四川省气候平均值的变化及业务应用评估[J]. 高原山地气象研究, 2023, 43(2): 90-95.

[Deng Biao, Wang Shunjiu, Wang Chunxue, et al. Change of climate average value in Sichuan Province from 1991 to 2020 and assessment of operational applications[J]. Plateau and Mountain Meteorology Research, 2023, 43(2): 90-95.]

[12]
雷向杰, 黄祖英, 田武文, 等. 两个30年气候平均值的差异及其对气候业务的影响[J]. 气象科技, 2005, 33(2): 124-127.

[Lei Xiangjie, Huang Zuying, Tian Wuwen, et al. Difference of two 30-year averages and its influence on operational climatic analysis[J]. Meteorological Science and Technology, 2005, 33(2): 124-127.]

[13]
刘桂芳, 卢鹤立. 全球变暖背景下的中国西部地区气候变化研究进展[J]. 气象与环境科学, 2009, 32(4): 69-73.

[Liu Guifang, Lu Heli. Research progress on climate change in western China on the background of global warming[J]. Meteorological and Environmental Science, 2009, 32(4): 69-73.]

[14]
马鹏里, 杨金虎, 卢国阳, 等. 西北地区东部气候的转折性变化[J]. 高原气象, 2020, 39(4): 840-850.

DOI

[Ma Pengli, Yang Jinhu, Lu Guoyang, et al. The transitional change of climate in the east of Northwest China[J]. Plateau Meteorology, 2020, 39(4): 840-850.]

DOI

[15]
李明, 孙洪泉, 苏志诚. 中国西北气候干湿变化研究进展[J]. 地理研究, 2021, 40(4): 1180-1194.

DOI

[Li Ming, Sun Hongquan, Su Zhicheng. Research progress in dry/wet climate variation in northwest China[J]. Geographical Research, 2021, 40(4): 1180-1194.]

DOI

[16]
张强, 朱彪, 杨金虎, 等. 西北地区气候湿化趋势的新特征[J]. 科学通报, 2021, 66(增刊): 3757-3771.

[Zhang Qiang, Zhu Biao, Yang Jinhu, et al. New characteristics of the climate humidification trend in Northwest China[J]. Chinese Science Bulletin, 2021, 66(Suppl. ): 3757-3771.]

[17]
张婧莉, 吴秀兰, 姚俊强, 等. 新、旧气候态的差异及其对新疆气候评价业务的影响[J]. 沙漠与绿洲气象, 2023, 17(5): 134-140.

[Zhang Jingli, Wu Xiulan, Yao Junqiang, et al. The difference between new and old climate states and its influence on climate operation in Xinjiang[J]. Desert and Oasis Meteorology, 2023, 17(5): 134-140.]

[18]
孙爽, 高原, 裴宇航, 等. 黑龙江省1981-2010年气候平均值的变化对气候评价的影响[J]. 黑龙江气象, 2014, 31(2): 1-3.

[Sun Shuang, Gao Yuan, Pei Yuhang, et al. The climate average change from 1981 to 2010 and its impact on the climate evaluation in Heilongjiang Province[J]. Heilongjiang Meteorology, 2014, 31(2): 1-3.]

[19]
梁茹雪, 李茜, 张丽君. 新旧气候平均值更替对陕西气候业务的影响[J]. 沙漠与绿洲气象, 2023, 17(4): 111-117.

[Liang Ruxue, Li Qian, Zhang Lijun. Influence of climatic mean value change on Shanxi climatic operation[J]. Desert and Oasis Meteorology, 2023, 17(4): 111-117.]

[20]
黄彩婷, 董保华, 赵冠男, 等. 新旧气候态的差异及其对江西气候业务的影响[J], 气象与减灾研究, 2023, 6(2): 89-91.

[Huang Caiting, Dong Baohua, Zhao Guannan, et al. Differences between old and new climate states and its influence on Jiangxi climatic operation[J]. Meteorology and Disaster Reduction Research, 2023, 6(2): 89-91.]

[21]
杨晓玲, 丁文魁, 杨金虎, 等. 河西走廊东部近50年气候变化特征及区内5站对比分析[J]. 干旱地区农业研究, 2011, 29(5): 259-268.

[Yang Xiaoling, Ding Wenkui, Yang Jinhu, et al. Change characteristics and 5 statoins comparative analysis of climate in Hexi Corridor Eastern in resent 50 years[J]. Agricultural Research in the Arid Areas, 2011, 29(5): 259-268.]

[22]
李玲萍, 杨永龙, 钱莉. 石羊河流域近45年气温和降水特征分析[J]. 干旱区研究, 2008, 25(5): 705-710.

[Li Lingping, Yang Yonglong, Qian Li. Analysis on the characteristics of temperature and precipitation in the Shiyang River Basin since resent 45 years[J]. Arid Zone Research, 2008, 25(5): 705-710.]

[23]
丁贞玉, 马金珠, 张宝军, 等. 近50年来石羊河流域气候变化趋势分析[J]. 干旱区研究, 2007, 24(6): 779-784.

[Ding Zhenyu, Ma Jinzhu, Zhang Baojun, et al. Analysis on the climate change in the Shiyang River Basin since resent 50 years[J]. Arid Zone Research, 2007, 24(6): 779-784.]

[24]
魏邦宪, 苗婷, 雷瑜, 等. 石羊河流域气候变化特征及干旱变化趋势分析[J]. 现代农业科技, 2017(15): 220-222.

[Wei Bangxian, Miao Ting, Lei Yu, et al. Analysis of climate change characteristics and drought change trend in Shiyang River Basin[J]. Modern Agricultural Science and Technology, 2017(15): 220-222.]

[25]
白肇烨, 徐国昌, 孙学筠, 等. 中国西北天气[M]. 北京: 气象出版社, 1991: 258-357.

[Bai Zhaoye, Xu Guochang, Sun Xuejun, et al. Weather over Northwest China[M]. Beijing: Meteorological Press, 1991: 258-237.]

[26]
魏凤英. 现代气候统计诊断与预测技术[M]. 北京: 气象出版社, 2007: 37-41.

[Wei Fengying. Modern Climatic Statistical Giagnosis and Prediction Technology[M]. Beijing: Meteorological Press, 2007: 37-41.]

[27]
施能, 陈家其, 屠其璞. 中国近100年来4个年代际的气候变化特征[J]. 气象学报, 1995, 53(4): 431-439.

[Shi Neng, Chen Jiaqi, Tu Qipu. Climate variation characteristics over China in 4 age nearly 100 years[J]. Journal of Meteorology, 1995, 53(4): 431-439.]

[28]
Livezey R E, Chen W Y. Statistical filed significance and its determination by Monte Carlo techniques[J]. Monthly Weather Review, 1983, 111(1): 46-59.

[29]
中国气象局. 《短期气候预测质量评定暂行办法》[Z]. 北京: 中国气象局, 1999.

[China Meteorological Administration. Interim measures for quality assessment of short-term climate forecasting[Z]. Beijing: China Meteorological Administration, 1999.]

[30]
中华人民共和国国家质量监督检验检疫总局, 中国国家标准化管理委员会. 冷冬等级(GB/T 33675—2017)[S]. 北京: 中国标准出版社, 2017.

[General Administration of Quality Supervision, Inspection and Quarantine of the People’s Republic of China, Standardization Administration of the People’s Republic of China, SAC. Cold Winter Grade (GB/T 33675—2017)[S]. Beijing: China Standards Press, 2017.]

[31]
中华人民共和国国家市场监督管理总局, 中国国家标准化管理委员会. 暖冬等级(GB/T 21983—2020)[S]. 北京: 中国标准出版社, 2020.

[The State Administration for Market Regulation of the People’s Republic of China, Standardization Administration of the People’s Republic of China, SAC. Warm Winter Grade (GB/T 21983—2020) [S]. Beijing: China Standards Press, 2020.]

[32]
姚俊强, 李漠岩, 迪丽努尔·托列吾别克, 等. 不同时间尺度下新疆气候“暖湿化”特征[J]. 干旱区研究, 2022, 39(2): 333-346.

[Yao Junqiang, Li Moyan, Dilinuer Tuoliewubieke, et al. The assessment on “warming-wetting” trend in Xinjiang at multi-scale during 1961-2019[J]. Arid Zone Research, 2022, 39(2): 333-346.]

[33]
白素琴. 不同气候平均值对气候评价业务的影响[J]. 沙漠与绿洲气象, 2016, 10(1): 88-94.

[Bai Suqin. Difference of normals and its influence on climate assessment in Xinjiang[J]. Desert and Oasis Meteorology, 2016, 10(1): 88-94.]

[34]
中国气象局气候变化中心. 中国气候变化蓝皮书2020[M]. 北京: 科学出版社, 2020: 8.

[The Climate Change Center of China Meteorological Administration. China Blue Book on Climate Change 2020[M]. Beijing: Science Press, 2020: 8.]

[35]
刘芸芸, 王永光, 柯宗健. 2020年夏季我国气候异常特征及成因分析[J]. 气象, 2021, 47(1): 117-126.

[Liu Yunyun, Wang Yongguang, Ke Zongjian. Characteristics and possible causes for the climate anomalies over china in summer 2020[J]. Meteorological Monthly, 2021, 47(1): 117-126.]

[36]
吴立新. 气候变暖背景下全球平均海洋环流在加速[J]. 中国科学: 地球科学, 2020, 50(7): 1021-1022.

[Wu Lixin. The global mean ocean circulation is accelerating under the climate warming[J]. Chinese Science: Earth Science, 2020, 50(7): 1021-1022.]

[37]
雷杨娜. 中国近50年夏季高温时空变化特征及其影响因子分析[D]. 北京: 北京师范大学, 2009.

[Lei Yangna. The Change of Summer Fot Days in East China during the Last 50 Years[D]. Beijing: Beijing Normal University, 2009.]

[38]
杨若子. 东北地区玉米低温冷害指标及其风险研究[D]. 北京: 中国气象科学研究院, 2012.

[Yang Ruozi. Study on Corn Chilling Damage and Its Risk Factor in Northeast China[D]. Beijing: Chinese Academy of Meteorological Sciences, 2012.]

文章导航

/