水土资源

呼伦贝尔东部农田区动态融雪过程及其影响因子

  • 黄坤琳 , 1 ,
  • 吴国周 2 ,
  • 徐维新 , 1 ,
  • 李利东 1 ,
  • 王海梅 2 ,
  • 李航 1 ,
  • 李自翔 1 ,
  • 司荆柯 1 ,
  • 刘洪宾 1 ,
  • 吴成娜 1
展开
  • 1.成都信息工程大学资源环境学院,四川 成都 610225
  • 2.内蒙古自治区生态与农业气象中心,内蒙古 呼和浩特 010051
徐维新. E-mail:

黄坤琳(1999-),男,硕士研究生,主要从事积雪遥感研究. E-mail:

收稿日期: 2024-02-02

  修回日期: 2024-08-07

  网络出版日期: 2025-08-13

基金资助

水利部重大研究计划(SKS-2022034)

内蒙古自治区科技计划项目(2021GG0019)

三峡金沙江川云水电科研项目(4323020011)

西藏自治区科技计划项目(XZ202102YD0012C)

青海省科技计划项目(2023-ZJ-733)

Dynamic snowmelt process and its influencing factors in the eastern farmland region of Hulun Buir

  • HUANG Kunlin , 1 ,
  • WU Guozhou 2 ,
  • XU Weixin , 1 ,
  • LI Lidong 1 ,
  • WANG Haimei 2 ,
  • LI Hang 1 ,
  • LI Zixiang 1 ,
  • SI Jingke 1 ,
  • LIU Hongbin 1 ,
  • WU Chengna 1
Expand
  • 1. College of Resources and Environment, Chengdu University of Information Technology, Chengdu 610225, Sichuan, China
  • 2. Inner Mongolia Ecological and Agricultural Meteorological Center, Hohhot 010051, Inner Mongolia, China

Received date: 2024-02-02

  Revised date: 2024-08-07

  Online published: 2025-08-13

摘要

春季融雪过程不仅是陆面过程与冰雪水文研究领域的关键一环,更直接指示了气候、物候及其变化特征。受气候条件以及观测数据的限制,呼伦贝尔中高纬农田地区积雪消融过程及其变化规律长期被忽略。本文以呼伦贝尔东部农田区域两个野外雪深自动观测站2021—2022年小时级雪深数据以及同步气温、地表温度等气象观测数据为依据,分析了呼伦贝尔农区积雪消融过程及其敏感影响因子。结果表明:(1) 在呼伦贝尔高纬农区积雪持续期一般始于10月中旬并终于次年3月上旬,其中,2022年的积雪期长达116 d。秋冬季节积雪较浅,雪深一般处于5~9 cm,春季雪深大多超过10 cm以上。积雪融化期始于3月上旬,完全融化需5~18 d。(2) 年融雪过程表现为先逐渐减少后迅速融化的前稳后急特征。日融雪过程则开始于每日9:00—10:00,最大融雪速率通常出现于11:00—16:00。(3) 气温和雪面温度对积雪融化影响显著,但融雪与土壤温度相关最为显著,9:00—17:00地表0 cm的温度是融化速率快慢的主导影响因子。(4) 不同类型融雪过程对比表明,呼伦贝尔市高纬农区动态融雪特征与草地、林地不同覆盖条件下融雪过程有较好的一致性,表明融雪过程主要决定于热量条件的差异,不同土地覆盖与利用类型条件下的融雪过程差异性小。

本文引用格式

黄坤琳 , 吴国周 , 徐维新 , 李利东 , 王海梅 , 李航 , 李自翔 , 司荆柯 , 刘洪宾 , 吴成娜 . 呼伦贝尔东部农田区动态融雪过程及其影响因子[J]. 干旱区研究, 2024 , 41(9) : 1514 -1526 . DOI: 10.13866/j.azr.2024.09.08

Abstract

The spring snowmelt process is not only a key part of land surface processes and snow hydrology studies but also directly indicates climate, phenology, and their changing characteristics. Due to climatic conditions and limitations in observational data, the snowmelt process and its altering patterns in the snow-covered farmlands of the northern mid-high latitude regions have been long neglected. This paper, based on hourly snow depth data from two automatic snow depth observation stations in the eastern farmland area of Hulunbuir during 2021-2022 and synchronous meteorological observation data such as air and ground temperatures, analyzes the snowmelt process on the underlying surface of the northern agricultural area and the factors influencing it. The results show that: (1) In these areas, the snow cover period generally started in mid-October and ended in early March of the following year, with the snow cover period in 2022 lasting 116 days. The snow depth in autumn and winter was relatively shallow, generally 5-9 cm, and in spring, often exceeded 10 cm. The snowmelt period began in early March, and complete melting took 5-18 days. (2) The annual snowmelt process was characterized by a gradual decrease followed by a rapid melt. The daily snowmelt process started between 9:00 and 10:00 AM, with the maximum melting rate usually occurring between 11:00 AM and 16:00 PM. (3) Air and snow surface temperatures markedly influenced snowmelt, but the correlation between snowmelt and soil temperature was the most significant, with the 0 cm ground surface temperature between 9:00 AM and 17:00 PM being the dominant factor influencing the rate of melting. (4) A comparison of the different types of snowmelt processes suggested that the dynamic snowmelt characteristics in these areas were consistent with those under various cover conditions such as grass and forestlands, indicating that the snowmelt process was mainly influenced by differences in thermal conditions, with little variability in the snowmelt process under various land cover and use types.

在全球气候变暖背景下,春季融雪过程作为陆面过程与冰雪水文研究的关键环节[1],承载着对气候变化、物候特性及其演变规律的深刻指示[2]。尤其是在北方中高纬度地区,冻融过程不仅对农业生产具有深远影响[3],而且与区域水循环、生态平衡及气候系统紧密相连[4-6]。然而,由于观测手段的限制和气候条件的复杂性,这些地区的冻融动态规律尚未得到充分研究。
随着全球气候变化加剧,冰雪融化过程及其对气候系统的影响受到了更多的关注。在加拿大,农业融雪展现出了零散化的趋势[7],能量不断通过平流作用从温暖的无雪地表转移到雪面之上,增强了其融雪速率。在阿尔卑斯山脉,春季积雪融化则对夏季河流径流量产生直接影响[8]。而寒冷地区的耕地中,积雪的融化更是在土壤氮循环的耦合响应中发挥出重要作用[9]
我国东北地区的农田,作为中国主要的商品粮生产基地之一,同时也是国内积雪覆盖最广、积雪状态最为稳定的区域[10],其农耕区域的积雪消融过程规律及其影响因子研究,在农田特殊下垫面融雪过程以及农田土壤水分储散等方面具有重要意义[11]。农区积雪覆盖与消融,不仅联系到生态环境和社会生产发展问题[12-13],也对灾害防治提出了直接需求[14]。特别是在我国重要的商品粮基地北方农区,积雪终期相关指标的明确,有助于预测季节性积雪的未来变化趋势,更好地理解该区域乃至全球气候变化的影响。
目前,对动态融雪过程的研究,主要以针对青藏高原草地的研究为主[15-16],积雪分布及其变化特征的揭示,使我们有机会更精准地认识了高时空动态融雪过程与规律。青藏高原玛多地区积雪融化速度与日气温密切相关[17],同样长江源区玉树州隆宝自然保护区积雪融化过程,呈现出“先慢后快”及日气温对积雪消融显著影响的区域性特点[18]。而在整体变化上,西北干旱区冬季积雪期呈现明显增加趋势[19]。目前,国内针对北方农田地区积雪相关研究主要以小尺度水文过程及农田需水为主,王斌等[20]以黑龙江省中部的呼兰河流域为例,运用SWAT模型研究了降雪、积雪、融雪的时空变化特征及其对春季农田土壤水分的影响,指出前一年积雪量是春季土壤水分的关键决定因素。刘祥辉[21]探究东北地区不同垄作农田融雪过程及其径流中化学指标的流失规律。王光远等[22]探讨了基于遥感的不同方法在积雪信息识别中的应用,发现深度学习算法在积雪识别上表现最佳。
当前,我国有关积雪动态和融雪过程的研究主要聚焦于内蒙古、新疆以及青藏高原的寒区草地。在北方地区,研究者广泛利用遥感数据探究积雪的时空分布及其动态变化,揭示了北方积雪分布及变化的整体特点[23-25]。然而,针对北方农田地区高时间频次(逐小时以上时间分辨率)动态融雪过程的研究明显不足。现有研究受数据资料限制,大多倾向于关注单一站点多日变化的特征[26],限制了对农区融雪过程具体全面的理解。
本文采用2021—2022年呼伦贝尔地区小时级雪深数据序列,通过分析我国北方农区冬季积雪及融雪特征,揭示并对比呼伦贝尔市农区冬季融雪特征,分析融雪与气候、地表温度等气象因素间的响应与反馈关系,为认识我国呼伦贝尔市高纬地区融雪特征与规律,以及积雪、雪情与雪灾的预测提供参考。

1 数据与方法

1.1 研究区概况

以全国重要商品粮生产基地呼伦贝尔市的莫力达瓦达斡尔族自治旗(简称莫旗)(124.48°E,48.48°N)、扎兰屯(122.75°E,47.98°N)两个气象雪深观测站点为研究对象,探讨农区农田融雪特征与影响因子。站点地处典型的北方农区(图1),东侧毗邻松嫩平原,西侧接壤大兴安岭。呼伦贝尔市农田面积为35485 km2,占全市总面积的9.1%。这里昼夜热量条件差异较为明显,年降水量685~758 mm,属典型东亚大陆性季风气候。冬季降雪多、积雪厚、积雪面积大、维持时间较长,为耕地动态融雪过程提供了有利条件。
图1 研究区土地利用类型及自动气象观测站点分布

注:底图采用自然资源部标准地图制作,审图号为GS(2024)0650号,对底图边界无修改。下同。

Fig. 1 Location of automatic weather observation stations and land use and land cover in the study area

1.2 数据来源

1.2.1 逐小时雪深

逐小时雪深数据源自布设于农业区自动气象站(华云DSJ1型超声雪深自动观测仪)。仪器最大雪深测量范围达2000 mm,观测分辨率0.25 mm,可每10 min进行一次数据采集,并能在最低-45 ℃的寒冷气候条件下正常工作。该仪器在野外寒冷地区雪深数据采集中有着较高的稳定性与可靠性,已通过中国气象局的考核许可,被准许投入气象站探测业务工作,并已在多个地区得到了广泛应用。
本研究雪深自动观测仪时间分辨率统一设置为1 h,即每日可获24个逐小时雪深观测数据序列,数据时段为2020年10月1日—2022年5月31日。研究时段降雪与积雪原始观测数据序列如图2所示。
图2 2020年10月—2022年5月气象站点雪深观测数据序列

Fig. 2 Snow depth observation data series at sites from October 2020 to May 2022

1.2.2 气象数据

为更全面地分析融雪过程不同气象要素的影响关系,尽可能考虑水热条件以及辐射、风速等因素的可能影响作用,收集莫旗与扎兰屯气象观测站点雪深同步的6类8个气象要素数据。包括逐小时气温(Ta)、0 cm地表温度(T0 cm)、5 cm地表温度(T5 cm)、10 cm地表温度(T10 cm)、雪面温度(Ts)、相对湿度(RH)、日照时数(h)和风速(W)等。雪面温度通过浅层地表温度观测场西侧的铂电阻温度传感器测量,该传感器也称为草温传感器。传感器精确放置在积雪表面,确保始终测量到积雪表面的温度,从而获得积雪表面温度的观测数据。

1.3 研究方法

1.3.1 数据质量控制

由青藏高原等地区已有研究[18]表明,雪深波动特征由超声雪深仪观测的原始数据序列体现,易受多种因素的影响。如动物经过、电场脉动等都可能引起观测数据序列波动与紊乱。为确保观测数据的准确性和可靠性,进行三步数据筛查与质量控制。
首先,通过原始雪深数据序列逐一检查,剔除数值前后偏差超过100%以上明显异常的观测值。其次,对雪深观测值连续长时间小于1 cm且接近0 cm时,基于前后雪深数据序列差异性判断,将该时段数据视为误测偏差,其雪深值标记为0 cm。最后,对所有原始数据序列应用五点平滑计算,以进一步滤除数据序列中的“毛刺”等异常波动。

1.3.2 滞后相关分析

计算Pearson线性相关系数评估雪深变化与气象因素的相关性及其影响强度。Pearson线性相关系数计算方法参见文献[27]
考虑热量条件或气象因子在融雪过程中可能的时间滞后效应,参照相关研究结果[28-29],假设超前0~12 h的气象因子对积雪融化可能存在不同程度的影响作用。因此,分别计算超前12 h与当前时刻雪深的相关关系,以分析不同时刻气象因子与雪深变化间的关联关系,并探讨相互间的滞后效应与时间敏感性。

1.3.3 变温与积温

积雪的消融过程不单受瞬时热量的影响,往往也是累计热量的表现。因此,本研究通过计算融雪期逐小时温度的变化量(变温)以及不同时段变化量的累积值(积温),分析热量变化及累积对融雪的影响。逐小时变温(ΔT)(℃)计算公式如下:
Δ T i = T i - T i - 1
式中:i为每日逐小时时次(i=0, 1, 2, …, 23); T i为第i小时温度数值(℃)。 T 0为当日0:00温度数值,为0:00温度值减去前一日23:00温度所得。
融雪期不同时段积温( σ i)(℃)计算公式如下:
σ i = j = 0 i Δ T j
式中:i为温差计算时刻(i=0, 1, 2, … 23);j为逐小时变量时刻。 σ i为前i小时内温差累积量; Δ T j为第j小时变温(℃)。当时间为0:00, σ 0 = Δ T 0

1.3.4 主导因子筛选

融雪过程中,不同气象因子对雪深变化的影响程度有所差异,同时,同一个因子不同时次温度因子之间也会引发自变量间的多重共线性问题。为了区分不同因子以及不同时刻融雪过程的贡献度,通过逐步回归过程(Step Regression)中因子的引入与剔除过程,消除自变量间多重共线性的同时,基于回归过程中保留的自变量与雪深偏相关关系的显著程度,判别雪深对气象因子响应的敏感性以及重要程度,最终识别得到雪深变化的主导驱动因子,并区分主导因子在融雪过程中的贡献程度。

2 结果与分析

2.1 积雪与融雪过程

为较客观的分析动态融雪过程中各因子的影响,选取2021—2022年莫旗和扎兰屯两个站点融雪期超过5 d以上共4次典型融雪过程,当日积雪深度小于1 cm时,视其为积雪完全融化状态。

2.1.1 积雪时间变化特征

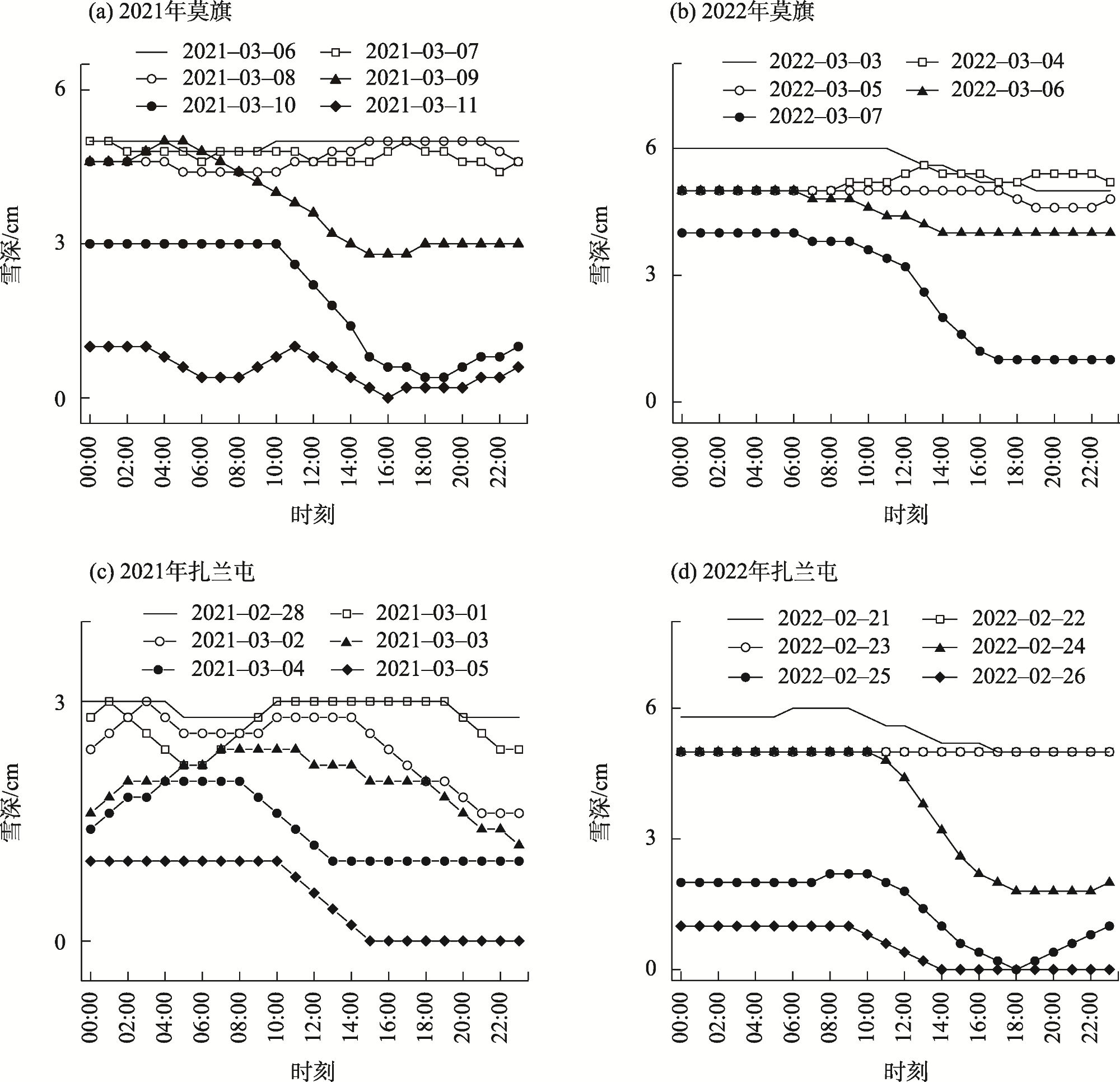
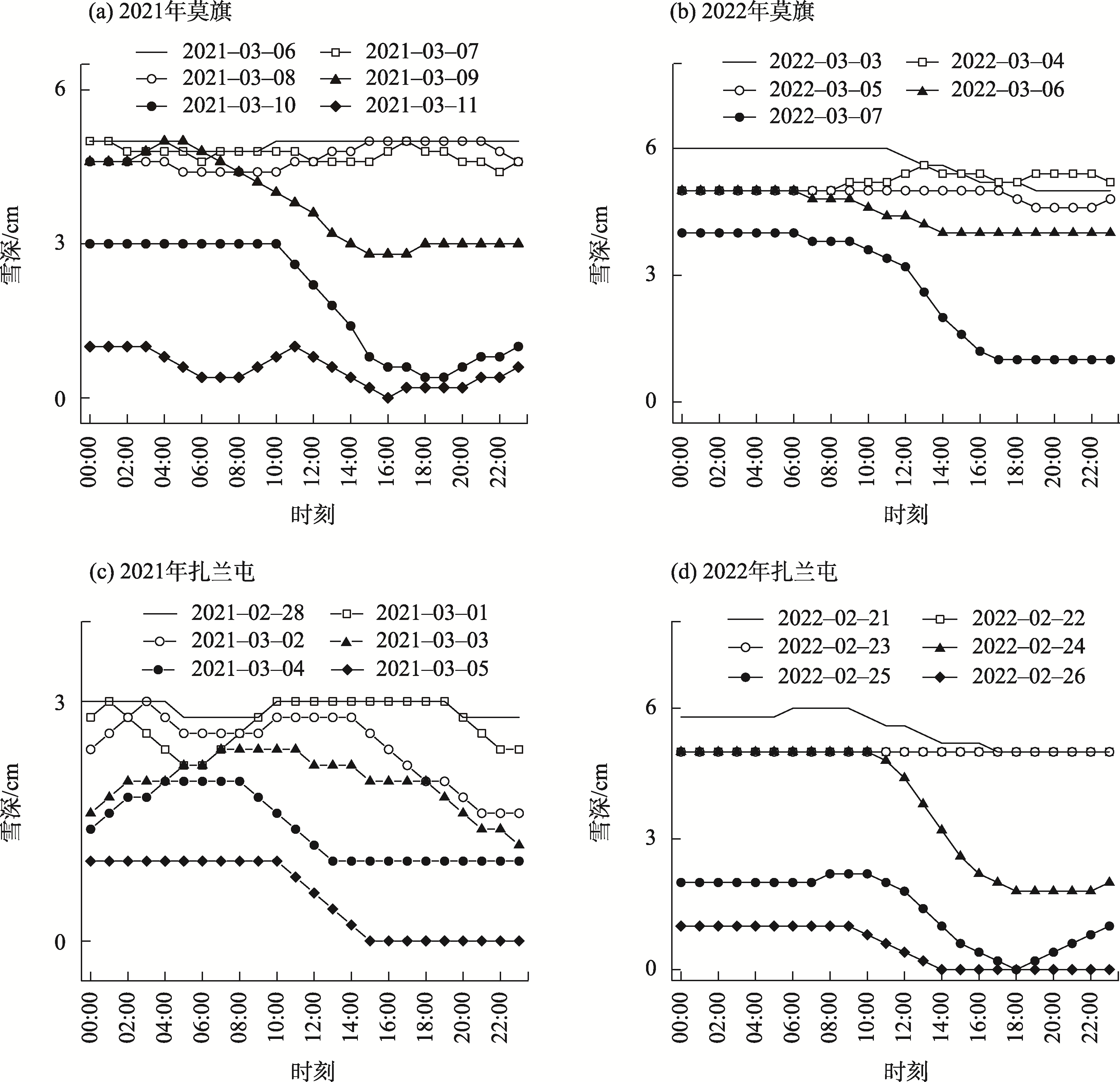
通过降噪与数据质量控制,建立每日0:00雪深数据序列(图3)。数据显示,呼伦贝尔农区2021—2022年冬季积雪过程存在差异,2021年莫旗站仅有一次21 d的小型积雪期,而2022年持续约116 d;扎兰屯站在2021年有6次积雪过程,最大雪深超过5 cm,持续15~63 d(图3c图3d)。融雪期普遍在2月中下旬,3月中旬雪深降至0 cm。
图3 2020年10月—2022年3月每日0:00雪深五点平滑数据序列

Fig. 3 Daily midnight snow depth five-point smoothed data series from October 2020 to March 2022

2.1.2 日融雪特点

图4显示,融雪过程通常先平缓下降,然后急速下降,再逐渐减缓。这与昼夜热量条件一致,白天雪深迅速减少,夜晚保持稳定。每日9:00前和18:00后雪深基本稳定,但天气变化可导致不规律波动。雪深下降通常在10:00开始,快速下降发生在11:00—16:00,是雪深变化最显著的时段,表现出从平稳到陡降的特征。
图4 2020—2022年融雪期逐日雪深变化

Fig. 4 Daily snow depth changes during the snowmelt period from 2020 to 2022

2.2 融雪与热量协同变化特征

在分析融雪期雪深与热量条件的协同作用时,温度变化量(Δ)是关键变量。通过计算多日平均气温逐小时变化量,并与对应时段的雪深变化进行比较,2021年莫旗站雪深在0:00—15:00快速下降,15:00后随温差转负而平缓;2022年扎兰屯雪深变化平滑,温差大于0 ℃时雪深下降,跌至零点后出现停滞和增加(图5)。说明融雪初期,雪面温度最早达到峰值,气温和地表温度滞后出现峰值,地表温度的滞后性随深度增加而显著。
图5 多日平均不同时刻雪深与气温、雪面温度及0 cm、5 cm、10 cm地表温度的变化量

注:Sd表示积雪深度;ΔTa表示气温变化量;ΔTs表示雪面温度变化量;ΔT0 cm表示0 cm地表温度变化量;ΔT5 cm表示5 cm地表温度变化量;ΔT10 cm表示10 cm地表温度变化量。

Fig. 5 Changes in multi-day average snow depth at different times and air temperature, snow surface temperature, and ground temperature at 0 cm, 5 cm and 10 cm

图5显示,雪深变化与热量累积(σ)直接相关。快速融雪期多日平均不同时间的温度累积变化显示(图6),不同温度累积变温与图5中的温度变化特征相似,但峰值滞后性更明显。具体来说,气温在12:00左右达到最高,雪面温度在15:00左右达到峰值,0 cm地表温度在15:00和17:00达到峰值,而5 cm和10 cm地表温度则显示更大的滞后效应。从图6中清晰观察到,累积气温和雪面温度从9:00开始逐渐超过零值,标志着热量在此后不断积累,延续至23:00。这解释了夜晚融雪现象,并展示了热量与雪深变化的紧密关联。当变温累积量较小时,融雪量也较小;而累积变温较大时,融雪则更为剧烈。这表明融雪不仅受当前温度变化影响,还与前一时刻的温度波动和热量积累直接相关。
图6 多日平均不同时刻雪深与气温、雪面温度及0 cm、5 cm、10 cm地表温度的差值累积量

注:Sd表示积雪深度;σTa表示气温变化累积量;σTs表示雪面温度变化累积量;σT0 cm表示0 cm地表温度变化累积量;σT5 cm表示5 cm地表温度变化累积量;σT10 cm表示10 cm地表温度变化累积量。

Fig. 6 Cumulative difference of multi-day average snow depth at different times and air temperature, snow surface temperature, and ground temperature at 0 cm, 5 cm and 10 cm

2.2.1 融雪过程气温相关关系

根据前述分析,温度对积雪消融存在超前效应。选取所有超过10 d的融雪期雪深数据序列,计算其同步及超前12 h气温的相关系数(表1)。结果显示,融雪期雪深与气温显著负相关,尤其在8:00—12:00,相关系数超过-0.76,并通过0.01显著性检验。这表明该时段气温升高对雪深变化影响最大,并与之后12 h的雪深下降显著相关。2022年数据验证了这一趋势,各站点融雪过程亦高度相关,强调了呼伦贝尔农区融雪对气温和热量条件的高度依赖。
表1 莫旗、扎兰屯站点融雪期逐1 h雪深与同步至超前6:00气温相关系数

Tab. 1 Correlation coefficients between 1-hour snow depth during the snowmelt period at Moqi and Zhalantun stations and temperature synced to 6:00 ahead

站点 年份 气温
6:00 7:00 8:00 9:00 10:00 11:00 12:00 13:00 14:00 15:00 16:00 17:00 18:00 19:00 20:00 21:00 22:00
莫旗 2021年雪深 6:00 -0.64
7:00 -0.66 -0.71
8:00 -0.67 -0.72 -0.76
9:00 -0.68 -0.72 -0.76 -0.79
10:00 -0.69 -0.74 -0.77 -0.80 -0.82
11:00 -0.71 -0.75 -0.79 -0.81 -0.83 -0.83
12:00 -0.71 -0.76 -0.79 -0.82 -0.84 -0.84 -0.83
13:00 -0.72 -0.77 -0.80 -0.83 -0.84 -0.84 -0.84 -0.84
14:00 -0.73 -0.78 -0.81 -0.84 -0.85 -0.85 -0.85 -0.84 -0.84
15:00 -0.73 -0.77 -0.80 -0.83 -0.84 -0.84 -0.84 -0.84 -0.84 -0.84
16:00 -0.72 -0.77 -0.80 -0.82 -0.84 -0.84 -0.83 -0.83 -0.83 -0.84 -0.83
17:00 -0.73 -0.77 -0.80 -0.82 -0.84 -0.84 -0.83 -0.83 -0.83 -0.84 -0.83 -0.80
18:00 -0.72 -0.77 -0.80 -0.82 -0.84 -0.84 -0.84 -0.83 -0.83 -0.84 -0.83 -0.80 -0.75
19:00 -0.77 -0.80 -0.82 -0.84 -0.84 -0.83 -0.83 -0.83 -0.84 -0.83 -0.81 -0.76 -0.72
20:00 -0.80 -0.83 -0.85 -0.85 -0.85 -0.84 -0.84 -0.85 -0.84 -0.82 -0.77 -0.73 -0.69
21:00 -0.83 -0.85 -0.85 -0.84 -0.84 -0.85 -0.85 -0.85 -0.82 -0.77 -0.73 -0.69 -0.66
22:00 -0.85 -0.85 -0.85 -0.85 -0.85 -0.86 -0.86 -0.83 -0.78 -0.75 -0.71 -0.67 -0.65
扎兰屯 2022年雪深 6:00 -0.62
7:00 -0.62 -0.64
8:00 -0.64 -0.65 -0.68
9:00 -0.64 -0.65 -0.68 -0.71
10:00 -0.64 -0.65 -0.67 -0.70 -0.71
11:00 -0.65 -0.66 -0.68 -0.71 -0.72 -0.70
12:00 -0.69 -0.70 -0.72 -0.75 -0.76 -0.74 -0.72
13:00 -0.72 -0.74 -0.76 -0.79 -0.80 -0.78 -0.76 -0.73
14:00 -0.74 -0.76 -0.79 -0.82 -0.83 -0.82 -0.79 -0.76 -0.73
15:00 -0.76 -0.78 -0.81 -0.85 -0.86 -0.85 -0.83 -0.80 -0.77 -0.75
16:00 -0.76 -0.79 -0.82 -0.86 -0.88 -0.87 -0.85 -0.83 -0.80 -0.77 -0.78
17:00 -0.76 -0.78 -0.82 -0.85 -0.88 -0.86 -0.85 -0.82 -0.79 -0.77 -0.78 -0.79
18:00 -0.75 -0.78 -0.81 -0.86 -0.88 -0.87 -0.85 -0.83 -0.80 -0.78 -0.79 -0.80 -0.82
19:00 -0.79 -0.83 -0.86 -0.89 -0.87 -0.86 -0.83 -0.80 -0.78 -0.79 -0.80 -0.82 -0.82
20:00 -0.84 -0.87 -0.89 -0.88 -0.86 -0.83 -0.80 -0.78 -0.79 -0.80 -0.81 -0.82 -0.82
21:00 -0.88 -0.90 -0.88 -0.86 -0.83 -0.80 -0.78 -0.78 -0.80 -0.81 -0.81 -0.82 -0.80
22:00 -0.90 -0.88 -0.86 -0.83 -0.80 -0.78 -0.78 -0.79 -0.81 -0.81 -0.81 -0.79 -0.81

注:不同颜色表示显著性水平, 表示0.05; 表示0.01; 表示0.001。

2.2.2 气温敏感时段

为全面分析气温与雪深变化之间的滞后关系,列出13组气温的同步及超前相关系数,四次相关系数变化如图7所示。在大多数融雪过程中,除扎兰屯2021年融雪过程外,超前2~8 h的气温与雪深均通过0.001显著性检验水平。融雪前8 h之内的气温都将显著影响到积雪深度的变化。虽然不同过程中气温影响最显著时刻并非完全一致,但主要集中在超前4~6 h(P<0.001),相关系数最高可达到-0.68,表明春季雪深的变化幅度主要受到超前4~6 h的气温条件的决定性影响。
图7 2021年和2022年融雪时段雪深数据序列与同步至超前12 h气温的相关关系变化

Fig. 7 Changes in the correlation relationship between snow depth data series and synchronous to advanced 12 h air temperature during the snowmelt period in 2021 and 2022

2.2.3 敏感影响因子

除了气温数据外,还收集了逐小时风速和相对湿度的数据,以讨论融雪过程与各气象因子的关系。在大多数地区,20:00之后雪深不再明显变化,表明每日融雪在此之前完成。20:00也是全球气象观测的重要时刻,提供日常积雪深度数据和未来一周气温预测的基础。以2021年莫旗和2022年扎兰屯的快速融雪期为例(表2),发现融雪过程主要与热量条件相关。2021年各时刻温度均与雪深变化显著相关,多数通过0.001显著性水平。2022年显著性有所减弱,但仍高于风速和湿度。不同深度地表温度的相关性显示,融雪过程中,温度影响随土壤深度增加而滞后。雪面温度在超前11 h最显著,10 cm地表温度在14:00相关性最高。
表2 2021年莫旗和2022年扎兰屯站点快速融雪期20:00雪深与超前12 h不同气象因子间相关系数

Tab. 2 Correlation coefficients between 20:00 snow depth during the rapid snowmelt period at Moqi in 2021 and Zhalantun in 2022 and different meteorological factors 12 hours ahead

站点 要素 时间
8:00 9:00 10:00 11:00 12:00 13:00 14:00 15:00 16:00 17:00 18:00 19:00 20:00
2021年莫旗 Ta -0.80 -0.83 -0.85 -0.85 -0.85 -0.84 -0.84 -0.85 -0.84 -0.82 -0.77 -0.73 -0.69
W -0.20 -0.22 -0.26 -0.32 -0.38 -0.41 -0.39 -0.32 -0.22 -0.02 0.15 0.15 0.06
RH 0.31 0.37 0.45 0.51 0.55 0.57 0.59 0.61 0.60 0.58 0.53 0.50 0.43
Ts -0.89 -0.92 -0.92 -0.91 -0.90 -0.91 -0.92 -0.92 -0.90 -0.84 -0.74 -0.64 -0.54
T0 cm -0.77 -0.85 -0.89 -0.90 -0.90 -0.90 -0.90 -0.91 -0.93 -0.93 -0.90 -0.84 -0.76
T5 cm -0.80 -0.83 -0.86 -0.88 -0.90 -0.91 -0.92 -0.92 -0.93 -0.94 -0.95 -0.95 -0.95
T10 cm -0.86 -0.87 -0.88 -0.89 -0.90 -0.91 -0.92 -0.93 -0.94 -0.94 -0.95 -0.95 -0.95
2022年扎兰屯 Ta -0.84 -0.87 -0.89 -0.88 -0.86 -0.83 -0.80 -0.78 -0.79 -0.80 -0.81 -0.82 -0.82
W 0.63 0.53 0.30 0.11 -0.05 -0.05 0.06 0.11 -0.23 -0.52 -0.51 -0.53 -0.60
RH -0.66 -0.56 -0.28 0.15 0.48 0.58 0.65 0.70 0.71 0.58 0.48 0.40 0.33
Ts -0.89 -0.94 -0.93 -0.91 -0.89 -0.84 -0.80 -0.80 -0.86 -0.87 -0.85 -0.83 -0.82
T0 cm -0.75 -0.84 -0.90 -0.93 -0.94 -0.94 -0.95 -0.96 -0.97 -0.97 -0.95 -0.92 -0.89
T5 cm -0.75 -0.80 -0.84 -0.88 -0.91 -0.94 -0.95 -0.96 -0.97 -0.97 -0.96 -0.96 -0.95
T10 cm -0.81 -0.81 -0.84 -0.87 -0.89 -0.91 -0.93 -0.95 -0.96 -0.96 -0.96 -0.96 -0.96
分析表明,20:00雪深与同步至超前12 h雪面温度显著相关,8:00—13:00及16:00—18:00为敏感时段。而雪深变化与不同超前时段的风速相关性未通过显著性检验,说明风速对积雪深度影响不显著,可能因平坦地形和站点选择因素,风吹雪影响难以观测。

2.2.4 主导影响因子

为解决因子在不同介质和时间点上表现出差异性,本研究采用逐步回归分析,纳入敏感因子,消除因子间相互依赖和多重共线性问题。逐步回归分析将通过0.001显著性水平检验的气象因子作为自变量,确定其与20:00积雪深度的关系(表3)。变量名称中不同时间点的表示采用上下标形式,例如 T 0   c m 20指的是20:00的0 cm地表温度, T S 20指的是20:00的雪面温度。结果表明0 cm土壤温度对积雪深度变化最敏感。在莫旗地区,20:00时10 cm地表温度和9:00时0 cm地表温度是主要影响因子。
表3 莫旗、扎兰屯站点两次快速融雪过程20:00雪深与敏感因子的逐步回归过程及相关参数

Tab. 3 Stepwise regression process and related parameters of 20:00 snow depth and sensitive factors during two rapid snowmelt events at Moqi and Zhalantun sites

站点 模型 非标准化系数 标准系数 t sig 相关性 方差分析 R2 VIF
B 标准误差 Beta 零阶 偏相关 部分相关 F sig
莫旗 Step1 (常量) -2.750 0.681 -4.038 0.001 152.399 0.000 0.910
T 10   c m 20 -1.109 0.090 -0.954 -12.345 0.000 -0.954 -0.954 -0.954 1.000
Step2 (常量) -4.127 0.734 -5.622 0.000 117.645 0.000 0.944
T 10   c m 20 -1.750 0.234 -1.506 -7.479 0.000 -0.954 -0.894 -0.474 10.111
T 0   c m 9 0.322 0.111 0.582 2.888 0.012 -0.848 0.611 0.183 10.111
扎兰屯 Step1 (常量) -0.027 0.459 -0.058 0.956 61.365 0.001 0.939
T 0   c m 17 -0.561 0.072 -0.969 -7.834 0.001 -0.969 -0.969 -0.969 1.000

注:B为独立变量;Beta为回归系数;t值为T检验显著性;sig为显著性;F值为组间均方与组内均方的比值;R2为决定系数;VIF为方差膨胀系数。

总体而言,呼伦贝尔农田地区积雪融化过程主要受地表温度影响,尤其是0 cm地表温度在9:00—17:00时间段关系最为重要。此外,雪面温度也在确定积雪融化速率方面发挥关键作用。这些因子的作用可能与具体天气条件相关,需要详细分析每个过程。

3 讨论

3.1 原始观测数据误差分析

仪器观测过程中因电流波动、大风或观测平台异物等干扰可能带来一定的观测误差与数据异常。从图4a图4c中可以发现,早晨雪深值出现异常升高,而图4b图4d中夜间雪深也表现出异常的增加现象。对照该站气象观测资料发现,两个时段均未出现降雪,观测数据序列中的数据波动异常,应为观测过程中仪器误差的表现。这些因仪器稳定性而导致的数据误差,将一定程度上影响到分析结果的准确性与可靠性。此外,夜间还可能因积雪密实作用与积雪的升华而出现雪深下降的观测结果,误差低温下积雪消融的错误判断。本研究中,观测的误差不可避免,也对数据序列的正确性、连续性与合理性以及分析过程带来了一定的干扰。虽然仪器导致的数据不稳定可能对我们分析的结果造成一定的影响,然而,我们的结论表明,积雪的消融以及与气象因子的响应主要发生在热量条件较好的午后,这恰好避开了观测误差集中的早晨与夜间。因此,虽然数据序列中包含的一些此类的观测误差,但对本研究结论可信度的影响有限。

3.2 农区融雪过程与草地林地对比

参照桑婧等[26]、黄坤琳[28]等在呼伦贝尔草地以及林地融雪特征的结果发现,相比草地、林地区域的融雪过程,农区长期连续积雪期明显偏少,与草原区自10月中下旬—次年3月上旬可稳定维持约102~155 d不同,研究期的两年中,2022年仅莫旗出现时长超过100 d的连续积雪过程,其余积雪过程均为持续时间少于60 d的短期积雪。同时,对比同时期呼伦贝尔地区林区站、草原、以及农区三种不同覆盖类型下雪深数据序列及其消融曲线可以发现,不同类型区域雪深消融特点存在比较一致的变化特征。9:00—11:00雪深开始出现小幅下降,且明显下降,不同类型区域一般均出现在11:00—16:00。此外,融雪敏感因子间关系的显示,不同类型区域,地表温度均为融雪影响重要的主导因子。虽然不同土地类型的关键融雪时段存在差异,但不同覆盖类型条件下农区、草地、林区的融雪主导影响因子均以地表温度为主导,不同覆盖类型融雪过程表现为影响因子上的明显一致性。说明我国北方地区,无论林地、草地还是农田,其冬季融雪的驱动因子主要为热量条件的多少,且与地表温度的多少直接相联系。

3.3 积雪消融的关键影响因子

融雪过程中,决定融雪开始的阈值受到雪面温度以及每日最高气温的显著影响[17]。这两个热量参数在预测积雪开始融化的时刻方面,提供了关键的物理依据。然而,本研究分析进一步指出,对于融雪量的计算和预测而言,关注与融雪量相关性最高的特定时段温度(例如17:00时0 cm地表温度)同样也是至关重要的。这种方法的优势在于,能够更准确地捕捉到地理位置差异对融雪过程的影响,从而提供更为精确的融雪预测模型。
此外,本研究通过引入日照时数作为变量进行回归分析,发现在本研究区域内,日照对融雪过程的影响几乎可以忽略。尽管日照是提供融雪所需能量的直接来源之一,但在这一特定的地理位置和气候条件下,其对融雪过程的实际影响远低于气温。在当前分析中,仅通过简单的统计方法难以准确捕捉到升华对融雪过程的贡献。然而,这并不意味着升华在实际的融雪模型中不具有重要性。相反,模型分析可能揭示升华在特定条件下对融雪在气候特征多样的地区有显著影响。因此,尽管统计分析在当前研究中未能突显升华的显著作用,但在融雪模型的建立和分析中,仍需细致考虑升华过程的潜在影响。

4 结论

针对呼伦贝尔农田区积雪特性和融化过程的影响因子研究,主要结论如下:
(1) 在呼伦贝尔高纬农区,2021年积雪持续期可达53 d,而在2022年积雪期较长可达116 d,从每年的10月中旬延续至次年的3月初。秋冬季节虽然积雪持续时间较长,但雪深相对较浅最深为5~9 cm。春季时,积雪深度达到峰值,所有观测地区的雪深均达到或超过10 cm。至次年3月上旬,积雪进入融化期,完全融化所需时间为5~18 d。
(2) 积雪融化呈现出先逐渐减少后迅速融化的模式,9:00—11:00雪深开始出现小幅下降,最大融雪速率通常发生在11:00—16:00。气象因素的影响具有较长的时滞效应,往往前期8~12 h的气象要素也会对雪深的变化产生影响作用。
(3) 气温和雪面温度对积雪融化有显著影响,但在融化过程中,土壤温度显示为最敏感的相关因素。特别是在下午时段,地表0 cm处的温度成为影响积雪融化过程和速率的主要因素。积雪深度与非热量因素,例如相对湿度和风速之间的相关性不显著,再次验证了热量条件是影响呼伦贝尔农区积雪融化过程的主导因素。
(4) 呼伦贝尔高纬农区动态融雪过程与草地林地有较好的一致性,每日融雪初始时段相近,均为9:00—10:00。此外,地表温度在该地区融雪过程中均起主导作用。可见在呼伦贝尔高纬农田区融雪过程受地面土地类型的影响较小。
[1]
崔曼仪, 周刚, 张大弘, 等. 1900—2020年全球融雪洪水灾害及其影响[J]. 冰川冻土, 2022, 44(6): 1898-1911.

DOI

[Cui Manyi, Zhou Gang, Zhang Dahong, et al. Global snowmelt flood disasters and their impact from 1900 to 2020[J]. Journal of Glaciology and Geocryology, 2022, 44(6): 1898-1911.]

DOI

[2]
赵强, 吴从林, 罗平安, 等. 冻融期东北农田土壤温度和水分变化规律及影响因素分析[J]. 冰川冻土, 2020, 42(3): 986-995.

DOI

[Zhao Qiang, Wu Conglin, Luo Ping’an, et al. Variation and influencing factors of soil temperature and moisture during freezing and thawing period in a seasonal freezing agricultural area in Northeast China[J]. Journal of Glaciology and Geocryology, 2020, 42(3): 986-995.]

DOI

[3]
Biemans H, Siderius C, Lutz A F, et al. Importance of snow and glacier meltwater for agriculture on the Indo-Gangetic Plain[J]. Nature Sustainability, 2019, 2(7): 594-601.

DOI

[4]
Rott H, Yueh S H, Cline D W, et al. Cold regions hydrology high-resolution observatory for snow and cold land processes[J]. Proceedings of the IEEE, 2010, 98(5): 752-765.

[5]
Callaghan T V, Johansson M, Brown R D, et al. Multiple effects of changes in Arctic snow cover[J]. Ambio, 2011, 40(3): 32-45.

[6]
车涛, 李新. 1993—2002年中国积雪水资源时空分布与变化特征[J]. 冰川冻土, 2005, 27(1): 64-67.

[Che Tao, Li Xin. Spatial distribution and temporal variation of snow water resources in China during 1993-2002[J]. Journal of Glaciology and Geocryology, 2005, 27(1): 64-67.]

[7]
Harder P, Pomeroy J W, Helgason W D. Implications of stubble management on snow hydrology and meltwater partitioning[J]. Canadian Water Resources Journal, 2019, 44(2): 193-204.

[8]
Junghans N, Cullmann J, Huss M. Evaluating the effect of snow and ice melt in an Alpine headwater catchment and further downstream in the River Rhine[J]. Hydrological Sciences Journal, 2011, 56(6): 981-993.

[9]
Green D, Rezanezhad F, Jordan S, et al. Effects of winter pulsed warming and snowmelt on soil nitrogen cycling in agricultural soils: A lysimeter study[J]. Frontiers in Environmental Science, 2022, 10: 1020099.

[10]
陈秀雪, 李晓峰, 卫颜霖, 等. 2017—2020年东北典型农田区积雪水热效应数据集[J]. 中国科学数据(中英文网络版), 2022, 7(3): 106-119.

[Chen Xiuxue, Li Xiaofeng, Wei Yanlin, et al. A dataset of hydrothermal effect of snow cover in typical farmland of Northeast China from 2017 to 2020[J]. China Scientific Data, 2022, 7(3): 106-119.]

[11]
周扬, 徐维新, 白爱娟, 等. 青藏高原沱沱河地区动态融雪过程及其与气温关系分析[J]. 高原气象, 2017, 36(1): 24-32.

DOI

[Zhou Yang, Xu Weixin, Bai Aijuan, et al. Dynamic snow-melting process and its relationship with air temperature in Tuotuohe, Qinghai-Xizang Plateau[J]. Plateau Meteorology, 2017, 36(1): 24-32.]

DOI

[12]
Young K L. Assessment of snow storage and ground ice melt in High Arctic environments[J]. Hydrological Processes, 2006, 20(12): 2643-2645.

[13]
Reynolds R L, Goldstein H L, Moskowitz B M, et al. Dust deposited on snow cover in the San Juan Mountains, Colorado, 2011-2016: Compositional variability bearing on snow-melt effects[J]. Journal of Geophysical Research-Atmospheres, 2020, 125(7): e2019JD-032210.

[14]
袁喆, 张妍, 刘彪. 天气预报准确性对农作物种植的影响[J]. 种子科技, 2023, 41(6): 136-138.

[Yuan Zhe, Zhang Yan, Liu Biao. The impact of weather forecast accuracy on crop cultivation[J]. Seed Science & Technology, 2023, 41(6): 136-138.]

[15]
许少辉. 2003—2018年喀喇昆仑-西昆仑地区积雪时空变化及影响因素分析[D]. 西安: 西北大学, 2021.

[Xu Shaohui. Spatial-temporal Variations of Snow Cover and Influencing Factors in the Karakoram-West Kunlun Area from 2003 to 2018[D]. Xi’an: Northwest University, 2021.]

[16]
陈涛, 高歌, 陈德亮, 等. 青藏高原多源雪深数据适用性综合评估[J]. 冰川冻土, 2022, 44(3): 795-809.

DOI

[Chen Tao, Gao Ge, Chen Deliang, et al. Comprehensive applicability evaluation of multi-source snow depth datasets over the Tibetan Plateau[J]. Journal of Glaciology and Geocryology, 2022, 44(3): 795-809.]

DOI

[17]
周扬, 徐维新, 张娟, 等. 2013—2015年青藏高原玛多地区两次动态融雪过程及其与气温关系对比分析[J]. 自然资源学报, 2017, 32(1): 101-113.

DOI

[Zhou Yang, Xu Weixin, Zhang Juan, et al. A comparative analysis of the two dynamic snow-melting process and their relationship with air temperature during 2013-2015 in the area of Maduo, Tibetan Plateau[J]. Journal of Natural Resources, 2017, 32(1): 101-113.]

DOI

[18]
张娟, 徐维新, 王力, 等. 三江源腹地玉树地区动态融雪过程及其与气温关系分析[J]. 高原气象, 2018, 37(4): 936-945.

DOI

[Zhang Juan, Xu Weixin, Wang Li, et al. Dynamic snow melting process and its relationship with air temperature in the hinterland of Sanjiangyuan region in Qinghai-Tibetan Plateau[J]. Plateau Meteorology, 2018, 37(4): 936-945.]

DOI

[19]
马荣, 张明军, 王圣杰, 等. 近50 a西北干旱区冬季积雪日数变化特征[J]. 自然资源学报, 2018, 33(1): 127-138.

DOI

[Ma Rong, Zhang Mingjun, Wang Shengjie, et al. Variation characteristics of snow cover days in winter in arid region of Northwest China in last 50 years[J]. Journal of Natural Resources, 2018, 33(1): 127-138.]

DOI

[20]
王斌, 郭帅帅, 冯杰, 等. 基于SWAT的积雪消融对高寒区农田土壤水分影响模拟[J]. 农业机械学报, 2022, 53(1): 271-278.

[Wang Bin, Guo Shuaishuai, Feng Jie, et al. Simulation on effect of snowmelt on cropland soil moisture within basin in high latitude cold region using SWAT[J]. Transactions of the Chinese Society for Agricultural Machinery, 2022, 53(1): 271-278.]

[21]
刘祥辉. 季节性冻融区不同垄向农田融雪过程及融雪径流化学特征研究[D]. 沈阳: 沈阳农业大学, 2019.

[Liu Xianghui. Study on Snow Melting Process and Chemical Characteristics of Snow Melting Runoff in Different Ridge Directions in Seasonal Freeze-thaw Zone[D]. Shenyang: Shenyang Agricultural University, 2019.]

[22]
王光远, 邓正栋, 路钊, 等. 基于GF-6 PMS影像的积雪信息识别[J]. 红外技术, 2021, 43(6): 543-556.

[Wang Guangyuan, Deng Zhengdong, Lu Zhao, et al. Snow information recognition based on GF-6 PMS images[J]. Infrared Technology, 2021, 43(6): 543-556.]

[23]
朱淑珍, 黄法融, 冯挺, 等. 1979—2020年天山地区积雪量估算及其特征分析[J]. 冰川冻土, 2022, 44(3): 984-997.

DOI

[Zhu Shuzhen, Huang Farong, Feng Ting, et al. Estimation of snow mass and its distribution characteristics from 1979 to 2020 in Tianshan Mountains, China[J]. Journal of Glaciology and Geocryology, 2022, 44(3): 984-997.]

DOI

[24]
张梦肖, 王豫, 买买提艾力·买买提依明, 等. 古尔班通古特沙漠及周边区域冬季大气边界层高度对地表积雪的响应[J]. 冰川冻土, 2022, 44(5): 1558-1569.

DOI

[Zhang Mengxiao, Wang Yu, Aili Mamtimin, et al. Response of atmospheric boundary layer height to snow cover in winter in Gurbantunggut Desert and its surrounding areas[J]. Journal of Glaciology and Geocryology, 2022, 44(5): 1558-1569.]

DOI

[25]
李晶, 刘时银, 张世强, 等. 中国西北山区融雪径流模拟研究回顾与展望[J]. 冰川冻土, 2022, 44(3): 1029-1040.

DOI

[Li Jing, Liu Shiyin, Zhang Shiqiang, et al. Review on snowmelt runoff simulation in mountain regions, Northwest China[J]. Journal of Glaciology and Geocryology, 2022, 44(3): 1029-1040.]

DOI

[26]
桑婧, 王迎宾, 钱连红, 等. 草甸草原动态融雪过程与气象要素关系分析——以额尔古纳市为例[J]. 干旱区研究, 2022, 39(5): 1428-1436.

DOI

[Sang Jing, Wang Yingbin, Qian Lianhong, et al. Analysis of the relationship between the dynamic snowmelt process of meadow grassland and meteorological factors: Ergun City[J]. Arid Zone Research, 2022, 39(5): 1428-1436.]

DOI

[27]
魏凤英. 全国夏季降水区域动态权重集成预报试验[J]. 应用气象学报, 1999, 10(4): 402-409.

[Wei Fengying. Regional consensus forecast method with dynamic weighting for summer precipitation over China[J]. Journal of Applied Meteorological Science, 1999, 10(4): 402-409.]

[28]
黄坤琳, 徐维新, 王海梅, 等. 内蒙古呼伦贝尔林区动态融雪过程及其影响因子[J]. 冰川冻土, 2023, 46(3): 832-849.

[Huang Kunlin, Xu Weixin, Wang Haimei, et al. Dynamic snowmelt process and its influencing factors in Hulunbuir forest region, Inner Mongolia[J]. Journal of Glaciology and Geocryology, 2023, 46(3): 832-849.]

[29]
赵红玲. 基于改进SWAT的东北寒区融雪径流模拟及预测[D]. 长春: 吉林大学, 2023.

[Zhao Hongling. Snowmelt Runoff Simulation and Forecast Using Improved SWAT in Cold Regions of Northeast China[D]. Changchun: Jilin University, 2023.]

文章导航

/