水土资源

干旱区地下水埋深对土壤水盐运移影响的模拟与调控——以阿克苏河下游河岸带典型田块为例

  • 鲁力 , 1, 2 ,
  • 郭建华 , 3 ,
  • 王友年 4
展开
  • 1.吉林大学水资源与环境研究所,吉林 长春 130000
  • 2.新疆大学地质与矿业工程学院,新疆 乌鲁木齐 830046
  • 3.中国地质调查局海口海洋地质调查中心,海南 海口 571127
  • 4.新疆水利水电勘测设计研究院,新疆 乌鲁木齐 830000
郭建华. E-mail:

鲁力(1995-),男,博士研究生,主要研究方向为水文地质与环境地质. E-mail:

收稿日期: 2024-08-11

  修回日期: 2025-03-28

  网络出版日期: 2025-08-13

基金资助

国家自然科学基金项目(U23A2024)

国家地下水监测网运维项目(DD20251302)

Depth on soil water-salt transport in arid regions: A case study of representative farmland in the riparian zone of lower Aksu River

  • LU Li , 1, 2 ,
  • GUO Jianhua , 3 ,
  • WANG Younian 4
Expand
  • 1. Institute of Water Resources and Environment, Jilin University, Changchun 130000, Jilin, China
  • 2. College of Geology and Mining Engineering, Xinjiang University, Urumqi 830046, Xinjiang, China
  • 3. Haikou Marine Geological Survey Center of China Geological Survey, Haikou 571127, Hainan, China
  • 4. Xinjiang Water Resources and Hydropower Survey and Design Institute, Urumqi 830000, Xinjiang, China

Received date: 2024-08-11

  Revised date: 2025-03-28

  Online published: 2025-08-13

摘要

干旱区流域下游灌区盐渍化的问题加剧了土壤退化、作物减产及河水咸化,制约着农业生产与生态环境的稳定。其形成受地下水埋深及灌排管理不当的影响,科学制定土壤水盐调控措施是解决上述问题的关键。本文在阿克苏河下游河岸带典型田块开展试验,基于动态观测和野外调查数据,采用HYDRUS-1D软件建立非饱和模型,模拟棉花生育期内土壤水盐运移规律,确定合理调控方案并探讨地下水稳定蒸发深度与河岸带土壤结构的关系。结果表明:土壤含水率、TDS识别与验证精度分别为0.862、0.752,均方根误差分别为0.033、0.008,表明模型可靠性较高;灌溉入渗补给占土壤水总补给量的85%,带入盐分127.164 mg·cm-2,土壤水向潜水排泄占总排泄量的59.67%,排出盐分267.78 mg·cm-2,水量均衡差为9.2%,脱盐率为33.89%;考虑作物需水规律和土壤盐分动态变化情况,将70 cm作为最佳的灌溉水量的同时控制地下水埋深在220 cm左右,可有效降低根系层土壤盐分;砂夹壤结构中壤土层位置对地下水的临界蒸发深度(150 cm)影响小,主要影响土壤稳定蒸发深度与实际蒸发量,壤土层越靠近地表,稳定蒸发深度越浅,实际蒸发量越小。研究结果可为干旱区盐渍化防治以及水资源的合理配置提供参考。

本文引用格式

鲁力 , 郭建华 , 王友年 . 干旱区地下水埋深对土壤水盐运移影响的模拟与调控——以阿克苏河下游河岸带典型田块为例[J]. 干旱区研究, 2025 , 42(7) : 1196 -1210 . DOI: 10.13866/j.azr.2025.07.04

Abstract

Salinization in the irrigation areas of watersheds in downstream arid regions exacerbates soil degradation, crop yield reduction, and river water salinization, severely limiting agricultural production and harming ecological stability. It arises in a manner influenced by the depth of groundwater and poor irrigation and drainage management. Scientifically formulating measures to regulate soil water-salt is key to addressing these issues. In this study, field experiments were conducted in a typical farmland area of the riparian zone by the downstream part of Aksu River. Based on dynamic observations and field survey data, an unsaturated model was established using the HYDRUS-1D software to simulate soil water and salt transport patterns during the cotton growing season, determine appropriate regulatory strategies, and explore the relationship between the stable groundwater evaporation depth and riparian soil structure. The results revealed that the identification and validation accuracy of the soil moisture content and total dissolved solids were 0.862 and 0.752 with root mean square errors of 0.033 and 0.008, respectively, indicating that the model was highly reliable. Irrigation infiltration accounted for 85% of the total soil water recharge, introducing 127.164 mg·cm-2 of salt, while soil water discharge to groundwater accounted for 59.67% of the total discharge, removing 267.78 mg·cm-2 of salt. The water balance error was 9.2% and the desalination rate was 33.89%. Considering the demand for water for crops and soil salinity dynamics, setting the irrigation water depth to 70 cm while maintaining the groundwater depth at approximately 220 cm can effectively reduce the soil salinity in the root zone. In sandy loam structures, the position of the loam layer has little effect on the critical evaporation depth of groundwater (150 cm), but significantly influences the stable evaporation depth and actual evaporation. If the loam layer is closer to the surface, the stable evaporation depth becomes shallower and the actual evaporation decreases. The findings provide a reference for preventing salinization and managing water resources in arid regions.

西北干旱内陆盆地多属于冲洪积地貌,水资源来源于高山融雪,经入渗与蒸发消散于荒漠中的绿洲。由于地层中富含可溶性矿物,地下水在径流过程中与母岩发生溶滤,向下游排泄过程中,地下水中可溶性盐含量逐步升高[1-2]。在绿洲农业区,灌溉作用是影响田间盐分分布的另一个主要途径,尤其对于一些流域发达、地下水埋深浅的地区,水分会在强烈蒸发作用下裹挟着盐分以毛管水的形式上升至地表,造成土壤盐渍化[3-4]。阿克苏地区位于天山山脉中段南麓、塔里木盆地西北缘,境内主要河流为阿克苏河,水资源丰富,是南疆最大的长绒棉生产基地。20世纪70年代以来,市场化政策提升了农户开荒种田的积极性,使得阿克苏河下游原本废弃的盐碱地开垦为耕地[5-6]。为避免新开垦耕地中土壤盐分对作物生长产生胁迫,常采用过量的灌溉水用于“洗盐”,这种措施虽然暂时抑制了盐渍化发展,但也造成了地下水位上升,改变了包气带-饱和带-植被的水盐循环[7-8],从而引发了一些环境问题,如农田“返盐”,阿克苏河水咸化等[9-10]。显然,合理的灌溉制度和地下水有序的调控是实现研究区水资源有效利用,解决土壤渍化问题的关键。这就需要研究阿克苏河下游灌区土壤在灌溉和水位调控过程中,水文循环与土壤盐分迁移聚集变化。
在此背景下,已有研究使用HYDRUS模型来模拟地下水位变化对土壤水盐分布的影响,提出了改进灌溉管理和地下水调控策略的建议[11-13],这些模拟与试验有助于我们理解灌溉管理对土壤水盐循环过程的影响,然而缺乏作物产量作为水位调控的约束条件,使其在实际应用中可行性有限。虽然Feng等[8]、Che等[14]、Wang等[15]、Li等[16]等利用HYDRUS探讨了水盐调控对土壤盐分分布及作物产量的影响,但这些调控措施主要关注的是灌溉方式与灌溉策略。只有少数学者研究了不同地下水埋深和灌溉策略下土壤盐分和作物产量的变化,揭示了地下水位调节在盐渍化防治和水资源管理中的关键作用[17-18]。此外,针对河岸带土壤结构多变,明确土壤质地在水盐调控模型中的作用,尤其是对地下水临界蒸发深度与稳定蒸发深度的影响,仍是关键问题。土壤的孔隙结构、水力传导性等物理性质对水分的垂向迁移、毛细上升作用以及水盐的动态分布具有重要作用,从而决定了地下水蒸发过程的临界深度与稳定性[19-20]。因此,增加土壤质地的动态变化模拟,有助于深化对河岸带土壤水盐迁移机制的理解,提高模型在变化环境下的适应性,从而为盐渍化防治和水资源优化管理提供更加精细化的指导。
本研究选择在地下水埋深浅,土壤盐渍化严重的阿克苏河下游河岸带进行野外调查与田间试验,利用HYDRUS构建非饱和模型。研究目标:(1) 结合当地栽培管理月历、土壤含盐量与棉花产量调查结果,通过改灌溉水量、地下水埋深等进行多次模拟,提出能兼顾节水灌溉、防治土壤盐渍化的田间水盐调控方案;(2) 基于校准后的模型,模拟不同地下水埋深条件下蒸发量的衰减情况,量化地下水临界蒸发深度与稳定蒸发深度;(3) 对土壤层状结构如何影响地下水临界深度与稳定蒸发深度进行敏感性分析。虽然本研究结果主要与试验区域相关,但所选方法论的某些方面,特别是对物理过程的多角度考虑,可能对其他试验区域也具有参考价值。

1 研究区概况与研究方法

1.1 研究区概况

试验区位于阿拉尔市十三团新开岭镇,地处阿克苏河冲积平原下游,其地理坐标为80°47′43.90″E,40°31′06.60″N(图1),试验田面积为4.5×10 m2。多年平均气温11.2~12.2 ℃,降雨量60.5~98.2 mm,蒸发量可达2121 mm,无霜期193~310 d,日照时数2761~2827.7 h,是典型的暖温带大陆性干旱气候。
图1 试验区位置示意图

Fig. 1 Map of the study area and experimental site location

试验区土壤具有分层结构,以砂性土、壤土为主。土壤类型为结壳盐土、盐化草甸土、草甸盐土[21],种植作物主要为棉花,长期依靠浅层地下水进行农业灌溉。由于村内渠系淤积老化,年久失修,并且受阿克苏河顶托作用,在作物生育期内,地下水位埋深常年在1.2 m左右,地下水矿化度为2.58 g·L-1左右。根系层(0~60 cm)土壤含盐量基本维持在0.68%左右,按新疆土壤盐碱化程度等级分类标准[22],划分为中度盐渍化,并有“表聚”现象。

1.2 试验设计

试验田栽种棉花品种为“拓农1号”,按照“宽窄行”方式共种植12行,宽行间距设置为50 cm、窄行间距设置为30 cm,在宽行与窄行中均布置水位与水质监测井(图2)。试验前通过在田垄上覆盖地膜减少灌水时水分外流引起的计算误差,田垄宽度为25 cm,高度为30 cm,试验过程中棉花种植区未覆盖地膜。本次试验于3月15日—10月1日进行,播种时间为2020年4月10日,收获日期为10月10日,田间试验管理参照当地农业生产方式,其中灌溉时期分别设置为3月20日、4月30日、5月27日、7月20日,每次灌溉水厚为30 cm,灌溉方式为漫灌,灌溉水样取自该地区地下水,地下水TDS(溶解性固体总量)为1.048 g·L-1
图2 棉花种植方式及传感器、地下水观测孔布置示意图

注:图中单位为cm。

Fig. 2 Schematic diagram of cotton planting method and arrangement of sensors and groundwater observation

在试验布置前期,通过土钻钻孔确定试验区土壤质地分布与分层位置,并将传感器(5TE,Meter,USA)埋设在窄行相应的土层中,利用10 cm直径PVC管缠纱打孔作为“水井”,进行地下水位及水质监测(图2b)。场地内土壤共分3层,分别为粉砂土(0~0.35 m)、壤土(0.35~0.8 m)、细砂(0.8~1.8 m),1.8 m以下也均为细砂层,对于河岸带具有代表性。将传感器探头埋设在15 cm、40 cm、 70 cm、110 cm、150 cm处,监测土壤含水率、电导率和温度。现场示意图如图1所示。

1.3 观测内容与方法

1.3.1 气象与三参数据

气象数据通过试验站自动气象站(HOBO H21-001,Onset,USA)获取,包括最高气温、最低气温、相对湿度、风速、太阳辐射、气压、降水量、日照时数等。利用以上气象数据,采用Penman-Monteith公式,逐日计算蒸散量( E T 0)。三参数据通过5TE型传感器实时监测,采集频率为每5 min记录1次。经换算后,试验区年内降雨量、 E T 0与日均气温情况如图3所示,降雨集中分布在5月、7月、9月,在此期间日均气温有明显的降低趋势。
图3 棉花生育期内降水量、日均气温及参考作物蒸散量

Fig. 3 Rainfall, daily average temperature, and reference crop evapotranspiration during cotton growing season

1.3.2 地下水与土壤物理性质

利用10 cm直径PVC管缠纱打孔作为“水井”,在试验期间进行地下水位及水质监测,地下水埋深范围在104~156 cm,地下水TDS变化范围在2.35~2.57 g·L-1,总体上地下水埋深越小,TDS越大(图4)。在试验场内取土样,取样深度分别为0~0.35 m、0.35~0.8 m、0.8~1.8 m。利用环刀法分别测定土壤容重和饱和导水率,采用激光粒度仪(Microtrac Inc. USA)测定各层土壤颗粒粒径百分比(表1),其中0~0.35 m土层砂粒、粉粒、黏粒分别占比74.65%、23.63%、1.72%;0.35~0.8 m土层砂粒、粉粒、黏粒分别占比65.82%、30.26%、3.92%;0.8~1.8 m土层砂粒、粉粒、黏粒分别占比88.58%、10.96%、0.46%。基于砂粒、粉粒和黏粒含量利用Rosetta转换函数预测土壤VG(van Genuchten)参数(表1)。
图4 试验区地下水埋深与水质变化

Fig. 4 Variation of groundwater depth and water quality in the experimental area

表1 土壤基本物理特性以及VG参数

Tab. 1 Basic physical properties of soil and VG parameter table

深度/m 土壤物理特性 VG参数
砂粒/% 粉粒/% 黏粒/% K s θ r θ s α n
0~0.35 74.65 23.63 1.72 90.62 0.029 0.398 0.047 1.549
0.35~0.8 65.82 30.26 3.92 66.11 0.03 0.396 0.035 1.422
0.8~1.8 88.58 10.96 0.46 304.76 0.039 0.389 0.044 2.542

注:表中土壤颗粒分级按照国际制; K s为饱和导水率(cm·d-1); θ r为土壤残余含水率(cm3·cm-3); θ s为饱和含水率(cm3·cm-3);αn为经验参数。

1.4 土壤水盐动态模型

HYDRUS-1D模型界面简洁友好,模块功能细致且适用于二次开发与Intel Visual Fortran软件编程的嵌入,广泛应用于农业、水文地质、水利、环境等领域。参考研究区实际情况,本次模拟过程中考虑作物根系的生长与吸水,采用Galerkin线性有限元法进行方程解法,反演模块中通过Marquardt-Levnenberg参数优化算法求解土壤水力参数、溶质运移参数等,未考虑热量传输问题,模拟过程如图5所示。其中反演流程包括选择初始参数值、模型运行、计算误差函数、参数更新、检查收敛性。
图5 HYDRUS-1D模拟过程示意图

Fig. 5 Schematic diagram of the HYDRUS-1D simulation process

1.4.1 土壤水分运动方程

(1) 假定土壤为各向同性,并且为刚性基模,可采用增加了源汇项的Richards方程来求解土壤水分运移过程:
θ t = z K h h z + 1 - S
式中: θ为体积含水量(cm3·cm-3);t为时间(d);h为压力水头(cm),饱和水h>0为压力势,非饱和水h<0为基质势;z为垂向空间坐标,向上为正; K h为非饱和导水率(cm·d-1);S为源汇项,即单位时间内根系从单位体积土壤中吸收的水量(cm3·d-1)。
(2) 土壤水分特征方程,即土壤持水曲线和非饱和水力传导率函数 K h,用van Genuchten-Mualem模型进行描述:
S e h = θ h - θ r θ s - θ r = 1 + α h n - m
K h = K s S e l 1 - 1 - S e 1 / m m 2
式中: K s为土壤饱和导水率(cm·d-1); θ s为土壤饱和体积含水率(cm3·cm-3); θ r为残余含水率(cm3·cm-3); S e为有效饱和度;αmn为经验形状参数,其中α是进气吸力的倒数 1 h a(cm-1);n>1;m=1- 1 n;l为孔隙连通参数,一般取0.5。
(3) 根系吸水模型:源汇项S,即作物根系吸水在深度x处的值,可按下式计算:
S h , x = T p L R α h , h ϕ , x b x d x
α h , h ϕ , x = 1 1 + h / h 50 p 1 1 1 + h ϕ / h ϕ 50 p 2
$b(x)=\left\{\begin{array}{l}\frac{1.667}{L_{R}}, x>L-0.2 L_{R} \\\frac{2.0833}{L_{R}}\left(1-\frac{L-x}{L_{R}}\right), x \in\left(L-L_{R} ; L-0.2 L_{R}\right) \\0, x<L-L_{R}\end{array}\right.$
L R t = L m f t
f t = L 0 L 0 + L m - L 0 e - r t
HYDRUS-1D模块中的根系吸水项由非线性吸水分布定义。实际吸水量由不受水盐胁迫的潜在植被蒸腾量Tp(cm·d-1)、归一化吸水分布函数 b x以及水盐胁迫响应函数 α h ,   h ϕ ,   x表示,其中的水盐胁迫因子 α h ,   h ϕ ,   x取值范围为0~1。该因子取决于压力头( h 50)和溶质渗透水头( h ϕ 50)的阈值限制。阈值 h 50 h ϕ 50分别代表压力水头和溶质渗透水头降低致使根系吸水速率减少50%时的值。Qi和Hoffman等[23-24]提出的 b x函数计算非线性吸水分布,该分布依赖于根系深度 L R(cm),其最大吸水量出现在0.2 L R处,而在根尖处吸水量最小(即为0)。归一化后的 b x函数由方程(6)给出。为了保证归一化,需满足积分条件 L R b x d x = 1。根深 L R随着根系生长而每日变化,在缺乏现场观测数据的情况下,根系生长采用Logistic生长模型[25],具体见公式(7)与(8),其中, L 0为初始根长(cm); L m为最大根长(cm); f ( t )为根生长系数;r为生长速率(cm·d-1),并假设生育期过去一半时的根系达到最大根深(60 cm)的50%[26-27]

1.4.2 土壤溶质运动方程

以土壤水TDS为研究对象,依据质量守恒定律,采用考虑土壤吸附,但不发生根系吸收的溶质迁移对流和水动力弥散方程。
ρ b c s + θ c l t = z - J w c l + D e c l z - ϕ
式中: c s为吸附态溶质的浓度(mg·L-1); c l为水溶态的浓度(mg·L-1); ρ b为土壤容重(g·cm-3); J w为水流通量(cm·d-1); D e为水动力弥散系数(cm2·d-1); ϕ为源汇项或者吸附等造成的单位体积溶质通量变化(cm·d-1)。

1.4.3 叶面蒸腾与土壤蒸发计算

参考作物蒸散量为 E T 0(mm)、通过Penman-Monteith公式计算参考土壤蒸发量 E p(mm)、潜在作物蒸腾量 T p(mm)可利用作物叶面积指数与消光系数进行分割计算[28]
E p = E T c ( 1 - e - λ L A I )
T p = E T c - E p
E T c = E T 0   K c
式中: E T c为作物不受水分胁迫的实际蒸散量(mm);LAI为叶面积指数; K c为作物系数;λ表示冠层的消光系数,棉花的消光系数一般取0.68[29]

1.4.4 土壤水盐均衡计算

土壤水盐均衡是指在特定的时间和空间尺度内,土壤中的水分与盐分输入、输出、累积和消耗之间的动态平衡关系。
(1) 水量均衡方程
在一个控制体积内,水分的输入、输出和存储变化满足以下平衡方程:
P + I + U - E T - D - R = Δ S w
式中:P、I、U、ET、D、R、 Δ S w分别为降雨量、灌溉量、地下水补给量、蒸发量、深层渗漏量、径流量、土壤水储量变化,单位均为cm,由于灌溉过程中未发生径流,此项为0。
(2) 盐分平衡方程
不考虑降雨影响土壤中的盐分来源和去向可表示为:
I s + U s - L s = Δ S s
式中: I s U s L s Δ S s分别为灌溉水输入的盐分、地下水补给带来的盐分、深层渗漏排泄的盐分、土壤盐分储量变化,单位均为mg·cm-2。当 Δ S s>0,表示土壤盐分累积,可能导致次生盐渍化。其中灌水带进盐量、渗漏排出盐量以及地下水补给盐量可通过下式计算:
I s = W i j × C i j × 10 - 3 U s = W d j × C d j × 10 - 3 L s = W g j × C g j × 10 - 3
式中: W i j为第j时刻灌溉水的输入量(cm); C i j为对应灌溉水的盐浓度(mg·mL-1); W d j为第j时刻地下水补给量(cm); C d j为对应地下水的盐浓度(mg·mL-1); W g j为第j时刻深层排水量(cm); C g j为对应深层排水的盐浓度(mg·mL-1)。

1.5 模型建立、识别与验证

1.5.1 模型定解条件

一维土壤水流的初始条件和边界条件如下:
初始条件 θ ( z , t ) | t = 0 = θ 0 z ,   ( Z z 0 )
上边界   - K h h z + 1 = q s ,   ( t 0 z = 0 )
下边界 h ( z , 0 ) | z = Z = h b ,   ( t 0 )                            
式中:Z为土壤水盐模型模拟深度(cm);t为时间(d); q s为上边界水分通量(cm3·d-1); h b为下边界处压力水头(cm); θ 0为土壤初始含水量(cm3·cm-3)。本模型中不考虑水分与非饱和导水率滞后。上、下边界依次设置为大气边界条件与变水头条件。大气边界条件需要输入日降雨量、日蒸散发量。变水头边界条件输入日地下水埋深值确定的变压力水头值。
一维溶质运移模型的定解条件与边界设置如下:
初始条件 c ( z , t ) | t = 0 = c 0 z ,   Z z 0
$\text { 上边界 }-\theta D \frac{\partial c}{\partial z}+q_{z} c=q_{s} c_{s}(t),(t>0, z=0)$
下边界 C ( z , 0 ) | z = Z = C b ,   ( t 0 )          
式中: c 0 z为初始土壤水浓度(mg·mL-1);上边界设置为浓度通量边界; c s为灌溉水/降水TDS浓度(mg·mL-1); q s为上边界水分通量(cm·d-1);下边界为0浓度边界; C b为下边界潜水TDS(mg·mL-1)。
基于校准模型的后续模拟,以探讨与壤土层位置有关的地下水临界蒸发深度与稳定蒸发深度,以2020年作物生育期气象数据计算的大气边界,下边界设定为恒定水头边界。模拟条件不考虑降水与灌溉作用,如果考虑降水,评估地下水对蒸发的贡献将会很困难,因为渗入的降水和上升的地下水都将对蒸发产生贡献。

1.5.2 模型时空离散

(1) 空间离散
依据研究区实际情况,将模拟深度取至地面以下180 cm,根据场地实测土壤质地(表1)将剖面分为3层,共划分181个节点,节点间距为1 cm,分别在15 cm、40 cm、 70 cm、110 cm、150 cm 布设观测点,如图6所示。
图6 水文地质概念模型

Fig. 6 Hydrogeological conceptual model

(2) 时间离散
模拟时间段为棉花生育期(2020年3月15日—10月1日),时间离散单位为天(d)共201 d。初始时间步长为10-3 d,最小时时间步长为10-5 d,最大时间步长为5 d。

1.5.3 土壤参数获取

初始土壤参数( θ s θ r K s α n l)基于土壤砂粒、粉粒、黏粒含量,利用Rosetta函数进行预测(表1)。Feddes等[30]模型中根系吸水的土壤水势阈值包括 h 1 h 2 h 3 H h 3 L h 4,对于棉花其数值采用软件默认值和查阅文献获得[31-32],其中 h 1=-10 cm、 h 2=-25 cm、 h 3 H=-200 cm、 h 3 L=-600 cm、 h 4=-14000 cm,根系的最大深度为60 cm。

1.5.4 模型识别与验证

首先利用试估法对相关参数进行粗调,待参数相对稳定后利用反演求解对待估参数进行精调。由于非灌溉期土壤水盐变化幅度小,本次使用灌溉期试验数据进行模型的识别与验证,模型精度评价采用RMSE和NSE进行评价,NSE越大,RMSE越小,模拟精度越高。
土壤含水率、浓度的实测值与模拟值的拟合结果如图7所示。可以看出,实测值与模拟值基本分布在1:1线附近,只有少数15 cm土壤含水率、TDS数据偏离该条直线,主要的原因是表层土壤结构易受外界气候与人为活动影响导致水盐模拟过程中具有复杂性与不确定性。表2为模拟精度的检验结果,含水率RMSE基本小于5%,NSE在0.351~0.682之间变化;浓度RMSE基本小于5%,NSE在0.322~0.798之间变化。其中深层土壤NSE较小的原因主要受基线影响,当观测数据较基线值变化幅度较小时,即使模型的预测有一定的趋势性和规律性,其误差相对于基线值的比率会变大,从而导致NSE值较低[33]图8)。总体上,模型模拟精度较高,参数精度基本满足要求。模型识别校正后的参数见表3
图7 不同土壤深度含水率、TDS的模拟精度比较

Fig. 7 Comparison of simulation accuracy of moisture content and TDS at different soil depths

表2 不同土壤深度含水率、TDS的模拟精度检验

Tab. 2 Table for accuracy verification of simulated soil moisture content and TDS at different soil depths

拟合参数 含水率 浓度
评价指标 RMSE NSE RMSE NSE
15 cm 0.07 0.682 0.105 0.798
30 cm 0.034 0.565 0.038 0.573
70 cm 0.02 0.529 0.008 0.494
110 cm 0.007 0.459 0.016 0.361
150 cm 0.004 0.351 0.019 0.322
总体 0.033 0.862 0.008 0.752
图8 不同深度土壤含水率、浓度的观测值与模拟值拟合结果

Fig. 8 Fitting results of observed and simulated soil moisture content and concentration at different depths

表3 校正后的土壤水力参数与溶质运移参数

Tab. 3 Corrected soil hydraulic parameters and solute transport parameters

深度/m 土壤类型 θ r θ s α n K s D W D 0
0~0.35 粉砂土 0.046 0.525 0.032 1.686 83.419 0.34 16.3
0.35~0.8 壤土 0.021 0.546 0.075 1.288 53.801 0.34 14.9
0.8~1.8 细砂 0.060 0.457 0.037 2.281 169.720 0.34 27.2

注: D W表示分子扩散系数(cm·d-1); D 0表示弥散度(cm)。

图8中0~70 cm土壤含水率随灌溉呈周期性的变化,灌溉后含水率迅速增大,随着水分入渗和强烈蒸发作用,含水率逐步减小;110~150 cm含水率几乎无变化,其主要原因是深层土壤受地下水反向补给,导致含水率较高但变化程度小。浅层土壤在灌溉后,土壤水TDS表现为先上升后下降的趋势,原因在于灌溉水携带大量的可溶性盐进入土壤,加大了土壤水的TDS,随着盐分随水向深部运移,浅层土壤水TDS变低。

2 结果与讨论

2.1 土壤水分均衡分析

利用上述识别校正后的土壤水盐运移模型分析作物生育期内土壤水分均衡情况,结果如表4所示。从表4可以看出,灌溉量+降雨量之和为1269.40 mm,占土壤水总补给量的85.66%;潜水反向补给占土壤水总补给量的14.34%,为212.42 mm。土壤水的主要排泄方式是通过底边界补给潜水,这部分占排泄量的59.67%,即802.94 mm,而实际蒸散发量为542.61 mm,占排泄量的40.33%,水量均衡差为9.2%。在灌溉后,土壤水主要以入渗补给地下水的形式排泄,导致地下水埋深减少,之后地下水通过明沟或者侧向径流排出农田,造成水资源的二次浪费与河水咸化等。因此,确定合理的灌溉水量以达到“节水控盐”的效果十分有必要。
表4 土壤水分数值模拟均衡

Tab. 4 Balance of numerical simulation of soil moisture

水分
补给项
补给水量/mm 比值/% 水分
排泄项
排泄水
量/mm
比值/%
灌溉水量+降雨量 1269.40 85.66 作物蒸腾 333.05 24.75
潜水补给 212.42 14.34 潜水蒸发 209.56 15.58
底边界排泄 802.94 59.67
合计 1481.82 100 合计 1345.55 100

2.2 土壤盐分均衡分析

利用上述识别校正后的非饱和水盐运移模型分析作物生育期内土壤盐分均衡情况,结果如表5所示。从表5可以看出,3月受地下水的反向补给,导致土壤积盐,通过“春灌”可以有效降低土壤的盐分,排盐量达到44.258 mg·cm-2;5月排盐量达到最大值,为95.091 mg·cm-2;8—9月灌溉活动停止,但蒸发依然强烈,由于地下水埋深较浅,因此,在毛管作用下地下水携带着盐分向地表聚集,导致土壤积盐,积盐量为21.63 mg·cm-2。在整个生长周期内,通过灌溉作用总进盐量为199.99 mg·cm-2,总排盐量为267.78 mg·cm-2,总脱盐量为67.79 mg·cm-2,脱盐效率达到33.89%,脱盐效果明显。
表5 土壤盐分数值模拟均衡

Tab. 5 Soil salinity numerical simulation equilibrium

月份 进盐量 排盐量 补给量 积盐量 总进盐量 总排盐量 总积盐量 脱盐率/%
/(mg·cm-2)
3 31.44 44.258 35.581 22.763 199.99 -267.78 -67.79 33.89
4 31.44 52.474 3.096 -17.938
5 31.44 95.091 1.519 -62.132
6 0 21.83 0.69 -21.14
7 32.844 52.38 8.56 -10.976
8 0 1.75 9.34 7.59
9 0 0 14.04 14.04

2.3 模型应用与田间灌溉制度优化

通过土壤水盐均衡分析可以得出,田间灌溉的主要目的是满足作物生长发育需求和保持土壤水分,其次是通过“春灌”来“洗盐”,以降低土壤盐分。过量的灌溉水会导致地下水位上升,增加土壤表面的无效蒸发,从而引发次生盐渍化。同时高TDS入渗水侧向径流补给阿克苏河,会造成水资源浪费与河流水质恶化。因此,合理灌溉方式及地下水位有序地调控成为防治土壤次生盐渍化最为经济有效的方法。
利用识别验证后的土壤水盐运移模型,结合下游灌区检测的土壤含盐量,通过改变灌溉水量,确定模拟期末根系层土壤含盐量变化,灌溉水量与土壤含盐量关系如图9所示。灌溉水量的多少直接影响根系层土壤盐分的增减,当灌溉水量低于70 cm时,根系层土壤盐分会迅速降低;当灌溉水量超过70 cm时,根系层土壤盐分降低幅度很小,此时超过70 cm的部分会造成水资源浪费。因此,将70 cm作为最优灌溉水量。
图9 不同灌溉水平下土壤根系层盐分变化

Fig. 9 Variation of soil salinity in the root zone under different irrigation levels

综上所述,干旱区农业灌溉的主要目的是提供作物生长所需水分以及弥补因蒸发造成的土壤水分亏缺。以2020年现场试验为例,依据阿克苏地区农技推广中心栽培管理月历[34]划分作物生长发育阶段耗水规律,具体如图10所示。在棉花整个生育期,作物蒸腾量为422 mm,棵间蒸发量121.15 mm,因此,作物全育期所需的灌溉水量为543.15 mm。其中不同时期蒸发量通过微型蒸渗仪每天观测确定,蒸腾量利用作物系数按照彭曼公式分配至作物不同生长阶段。可以看出,棉花的蒸散量随生长发育呈先增大后减小的趋势,其中在花铃期达到最大值。
图10 研究区作物生长期间水分蒸散发

Fig. 10 Statistics of evapotranspiration during crop growth in the study area

为了压盐抑碱和蓄水保墒,当地采用播前灌水(春灌),通常在3月25日前完成。此“春灌”的水量是通过将作物生育期间的耗水量从总灌溉水量中扣除后得到。即700 mm-543.15 mm=156.85 mm。同时依据采棉主要农艺性状指标要求(DB65/T 4565-2022)[35]与作物生育期间需水要求设计田间灌溉制度,详细情况见表6。具体灌溉时间与频次可依据当地作物生长状况、水资源管理以及传统经验择机进行。
表6 农田棉花灌溉制度优化

Tab. 6 Optimization of irrigation system for cotton in farmland

棉花生育期 灌溉日期/月-日 灌溉量/mm
春灌 03-10—03-25 156.85
苗期 04-20—04-30 63.35
蕾期 05-25—05-30 121.8
花期 06-25—06-30 269.5
吐絮期 08-20—08-25 88.5

2.4 基于产量-地下水埋深的土壤水盐调控模式

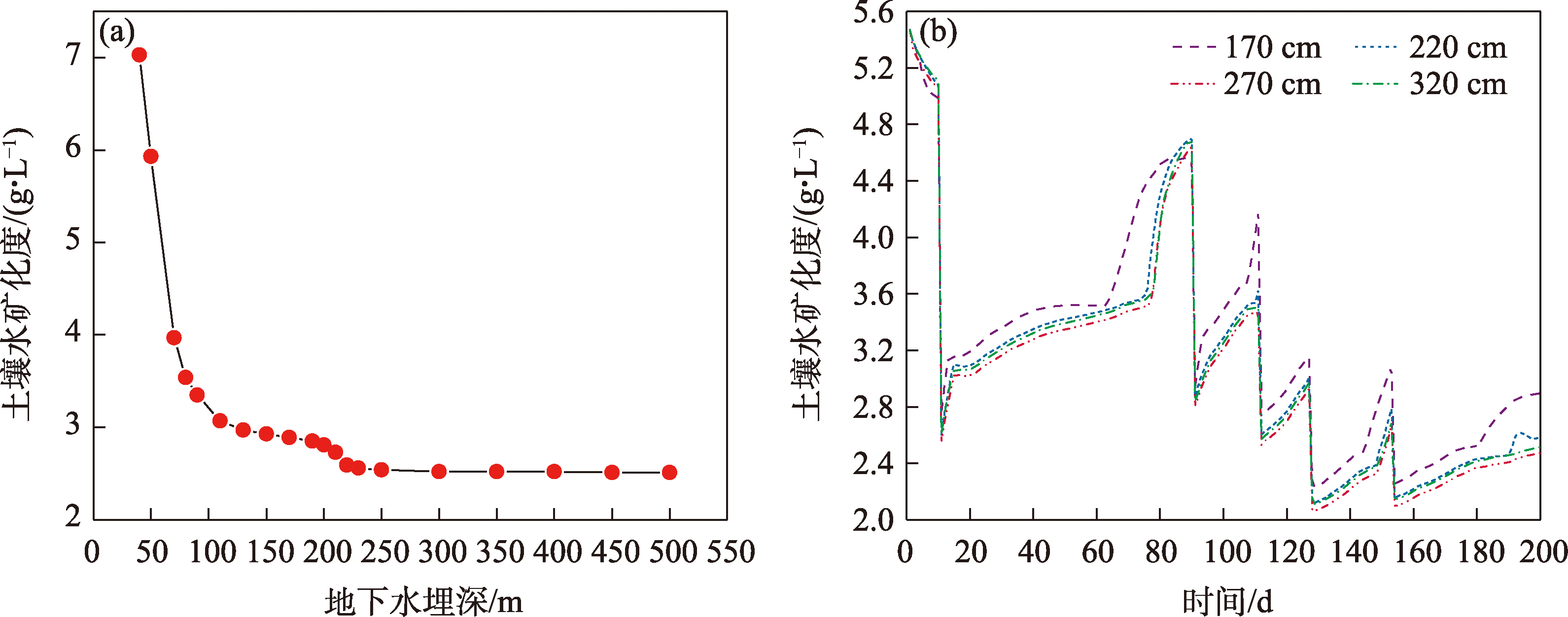
地下水位与水质作为阿克苏河下游灌区土壤盐渍化过程中最活跃的因子,它不仅是盐分的载体也是盐分运移的动力[3,36]。根据优化后的灌溉制度,模拟不同水位条件下根系层土壤水TDS的变化情况,结果见图11,当地下水埋深小于220 cm时,根系层土壤盐分会随着地下水埋深的增加迅速降低;当地下水埋深在220~300 cm时,根系层土壤盐分变化很小;当地下水埋深超过300 cm时,盐分基本无变化。
图11 土壤根系层土壤盐分与地下水埋深的关系

Fig. 11 Relationship between soil salinity in the root zone and groundwater depth

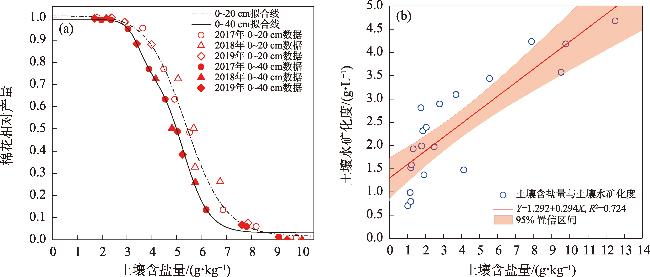
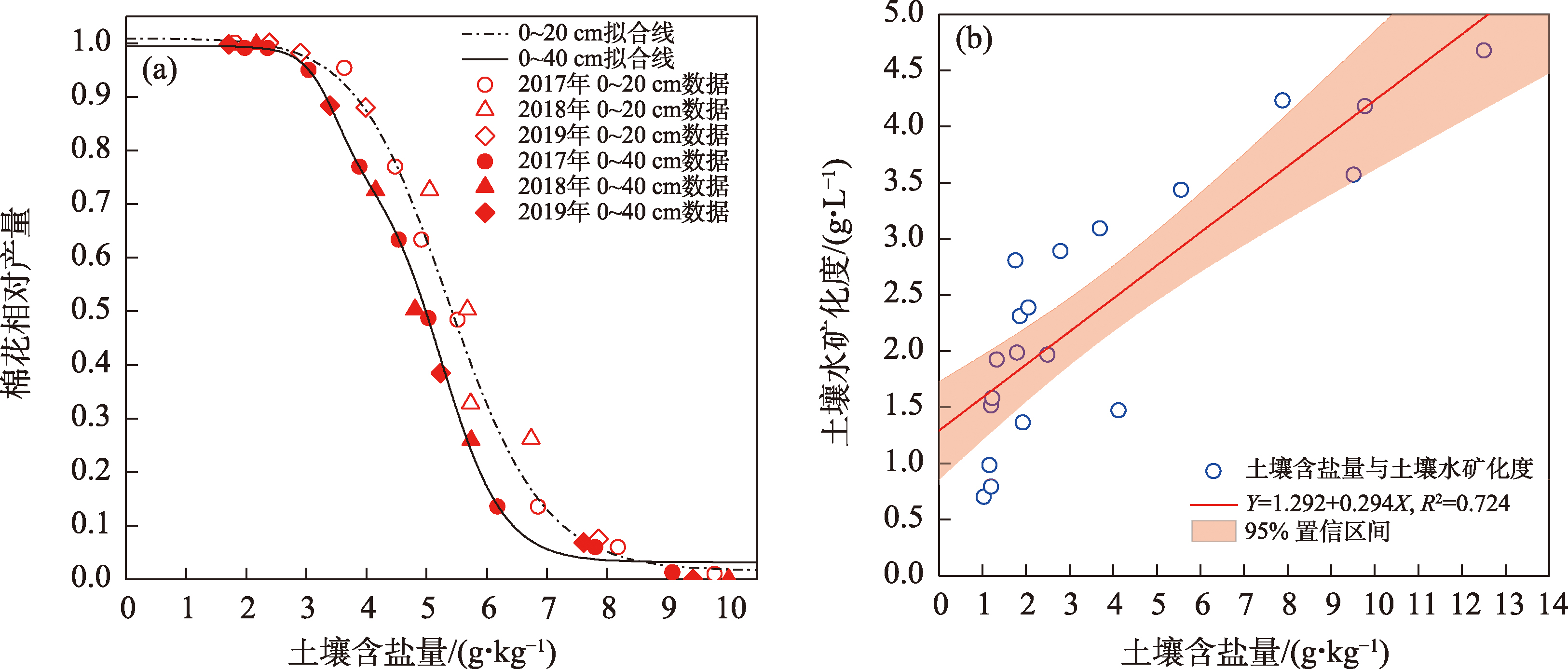
土壤含盐量制约着棉花的相对产量,在阿克苏河灌区,可以用“S”型耐盐函数去描述土壤含盐量与棉花产量之间的关系(图12a)。当土壤含盐量低于2.5 g·L-1时,棉花产量不发生衰减。为明确调控末期土壤含盐量是否低于耐盐阈值,需要建立土壤含盐量和土壤水矿化度之间的相关关系,如图12b所示。它们之间的关系可以通过以下两种方法建立:一是利用土壤水分温度电导率速测仪(WET-2,Delta-T Devices,UK)在野外实测的土壤水电导率与室内测定的土壤含盐量建立相关性;二是通过室内电导率仪(DBBJ-350,北京莱博瑞杰科技有限公司,中国)建立的土壤水矿化度与电导率之间的关系,实现相互转化。由图12b可知,当土壤水矿化度低于2.03 g·L-1时,土壤含盐量低于2.5 g·kg-1,本次调控末期,土壤水矿化度为2.59 g·L-1,略高于耐盐阈值,其对棉花产量影响相对较小。综上所述,按照优化后的灌溉制度,将地下水埋深控制在220 cm左右,既能有效降低根系层土壤含盐量,又能保证作物产量。
图12 土壤含盐量与棉花产量、土壤水矿化度的相关关系

Fig. 12 Relationship between soil salinity in the root zone and groundwater depth

2.5 河岸带地下水稳定蒸发深度与临界蒸发深度

在非灌溉时期,特别是春秋季,由于地下水位较浅,通常保持在约120 cm左右(图4),蒸发作用依然会导致灌区土壤返盐(表5)。因此,确定灌区地下水稳定蒸发深度与临界蒸发深度,有助于深化对盐渍化物理过程的理解。河岸带土壤结构受河漫滩横比降作用,导致夹壤层位置随远离河岸而逐渐加深[37-38]图13)。为研究从近河岸到远河岸过程中夹壤层位置对稳定蒸发深度与临界蒸发深度的影响,对夹壤层位置(分别为5 cm、10 cm、20 cm、30 cm、40 cm、50 cm、60 cm、70 cm、80 cm、90 cm、100 cm、110 cm)进行不同水位模拟。
图13 阿克苏河下游河岸带示意图

Fig. 13 Schematic diagram of the Aksu River riparian zone

有研究表明,阿克苏地区单一结构砂壤土极限蒸发深度约为2.5 m[39-40],因此,从0 cm开始进行递增设置,以10 cm为变化幅度直至2.5 m。由于本模型中潜在蒸发量利用气象数据按照彭曼公式计算得到,因此,模拟期潜在蒸发量为恒定值,实际蒸发量与地下水埋深有关。实际蒸发量随地下水埋深衰减如图14所示。从图14可以看出,两者的关系随地下水埋深的增大逐渐由线性关系转为指数关系,当地下水埋深在拐点的左侧时,比值为1,属于稳定蒸发阶段,不同情景条件下,拐点出现的位置不同,也就是说稳定蒸发深度不同。当稳定蒸发深度位于夹壤层之下时(图15a),稳定蒸发深度随着夹壤层的下移而增大,但是增加幅度逐渐减小,直到夹壤层位于80 cm时,达到最大稳定蒸发深度(80 cm),随着夹壤层继续下移,稳定蒸发深度并不随夹壤层位置的变化而改变。同时,当地下水埋深位于夹壤层之下时,实际蒸发量随着夹壤层的下移逐渐增大,且增加幅度逐渐减小(图15b)。此外,夹壤层的变化对地下水临界蒸发深度(150 cm)影响较小。
图14 夹壤层位置控制下实际蒸散(Ea)与潜在蒸发量(Ep)在不同地下水位深度下的比值

Fig. 14 Variation of actual evaporation and stable evaporation depth with groundwater depth under the control of the soil layer position

图15 稳定蒸发深度与夹壤层位置的关系(a),不同水位条件下夹壤层位置对实际蒸散(Ea)与潜在蒸发量(Ep)比值的影响(b)

Fig. 15 Relationship between stable evaporation depth and the position of the interlayer (a), The influence of interlayer position on the ratio of actual evapotranspiration (Ea) to potential evaporation (Ep) under different water level conditions (b)

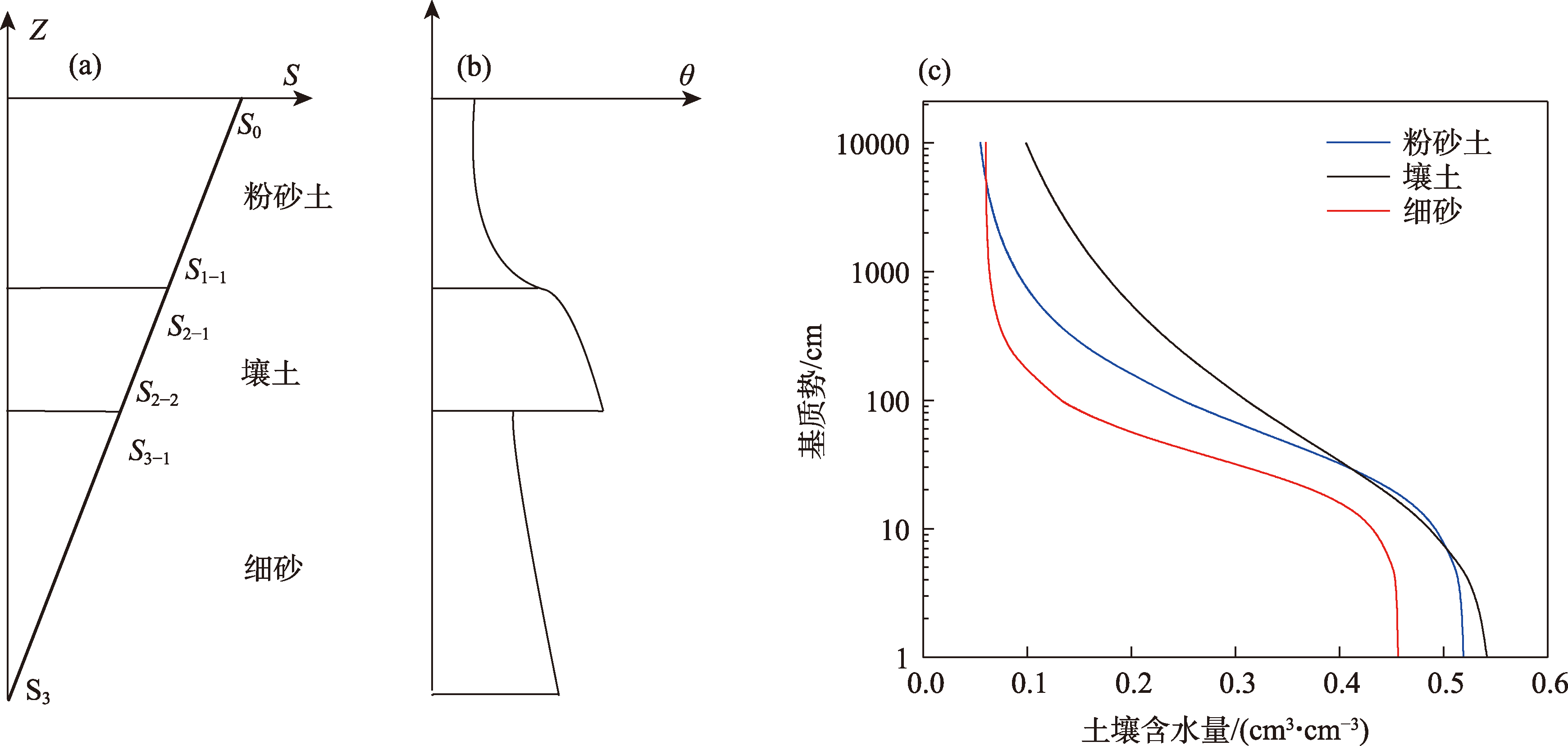
在非饱和带中含水率与非饱和导水率可以是不连续的,但是土壤吸力必须是连续变化的[19,41]图16a图16b),当地下水埋深位于壤土层之下时,下层细砂土水分运移至壤土界面,在同一含水量条件下,细砂的吸力S3-1低于壤土吸力S2-2图16a图16c),水分直接进入壤土层,但是水分进入壤土层后,下层砂土的导水率高于壤土,因此,湿润锋在壤土层中移动速率变缓,控制了水分在下层砂土中的传输速率;当壤土层水分继续上移时,在同一含水率条件下,粉砂土的吸力S1-1低于壤土S2-1,并且壤土的导水率低于粉砂土,水分在壤土层继续集聚,很难向上运移至更高处。因此,可用于蒸发的水分主要由上层粉砂土控制,当壤土层下移,粉砂土变厚,水分供应能力增强,可用于蒸发的水分增加,但是当粉砂土层厚度持续增加时,由于毛管水的上升能力受限,蒸发量趋于稳定。
图16 层状土壤稳定蒸发时的吸力S和含水率θ分布示意图

Fig. 16 Distribution of suction (S) and water content (θ) in layered soil during stable evaporation

稳定蒸发深度是潜在蒸发量等于实际蒸发量的最大深度[42],水分的持续供应对稳定蒸发深度至关重要,当稳定蒸发深度位于壤土层之下时,粉砂土的水分补给主要受壤土渗透性的限制。由于壤土的低渗透性,其水分补给能力有限,导致粉砂土的水分消耗速度快于补充速度。随着壤土层的上移,粉砂土的水分补给能力进一步降低,使水分亏缺加剧,为维持新的水分平衡,需要适当降低稳定蒸发深度,以增强地下水的补给能力,从而弥补表层水分供应的不足。因此,在农田管理中,应结合地下水位,采用秸秆覆盖+深松耕作等措施构建防蒸发屏障,提高土壤持水能力,抑制土壤盐分积累。

3 结论

本文基于田间动态监测与野外调查取样,利用Hydrus模型模拟干旱区地下水埋深对河岸带灌区盐渍化土壤水盐运移的影响,提出合理的土壤水盐调控方案并讨论了不同情景下地下水稳定与临界蒸发深度,主要结论如下:
(1) 模拟期棉花土壤水补给量与排泄量的水分均衡差为9.2%,土壤水库调蓄能力有限,其中85%土壤水来源于灌溉水入渗,土壤水主要通过底边界向潜水排泄,占总排泄量的59.68%。
(2) “春灌”可以有效控制春季土壤返盐,排盐量可达44.258 mg·cm-2,试验期内通过灌溉与地下水反向补给作用总进盐量为199.99 mg·cm-2,总排盐量为267.78 mg·cm-2,脱盐效率达到33.89%,脱盐效果明显。
(3) 依据根系层土壤盐分与灌溉水量的关系,确定灌区棉花最佳灌溉水量为70 cm,根据优化后的灌溉制度,结合调控过程中地下水埋深与土壤含盐量的关系以及棉花耐盐阈值,确定了下游灌区棉花合理的调控埋深为220 cm。
(4) 砂夹壤结构中壤土层位置对地下水的临界蒸发深度(150 cm)影响较小,主要影响土壤稳定蒸发深度与实际蒸发量,壤土层越靠近地表,稳定蒸发深度越浅,实际蒸发量越小。
[1]
鲁力, 葛燕燕, 李升, 等. 新疆阿克苏河流域高砷地下水化学特征及富集成因[J]. 干旱区研究, 2025, 42(2): 258-273.

[Lu Li, Ge Yanyan, Li Sheng, et al. Hydrochemical characteristies and enrichment mechanisms of high-arsenicgroundwater in the Aksu River Basin, Xinjiang[J]. Arid Zone Research, 2025, 42(2): 258-273.]

[2]
Lei Y, Liu Y, Sun Z, et al. Influences of paleoclimatic environment and hydrogeochemical evolution on groundwater salinity in an arid inland plain in northwestern China[J]. Applied Geochemistry, 2023, 154: 105688.

[3]
Lu L, Li S, Wu R, et al. study on the scale effect of spatial variation in soil salinity based on geostatistics: A case study of yingdaya River Irrigation Area[J]. Land, 2022, 11(10): 1697.

[4]
Lu L, Li S, Gao Y, et al. Analysis of the characteristics and cause analysis of soil salt space based on the basin scale[J]. Applied Sciences-Basel, 2022, 12(18): 9022.

[5]
朱会义. 土地利用变化的内在动力——新疆地区农业生产要素产出效率的变动趋势分析[J]. 地理学报, 2013, 68(8): 1029-1037.

[Zhu Huiyi. Incentive of land use change: A case study on the variations of agricultural factor productivity in Xinjiang[J]. Acta Geographica Sinica, 2013, 68(8): 1029-1037.]

[6]
Sheng Y, Tian X, Qiao W, et al. Measuring agricultural total factor productivity in China: Pattern and drivers over the period of 1978-2016[J]. Australian Journal of Agricultural and Resource Economics, 2020, 64(1): 82-103.

[7]
Yan W, Li F, Zhao Y. Determination of irrigation water quantity and its impact on crop yield and groundwater[J]. Agricultural Water Management, 2022, 273: 107900.

[8]
Feng G, Zhang Z, Wan C, et al. Effects of saline water irrigation on soil salinity and yield of summer maize (Zea mays L.) in subsurface drainage system[J]. Agricultural Water Management, 2017, 193: 205-213.

[9]
Wang W, Chen Y, Wang W, et al. Water quality and interaction between groundwater and surface water impacted by agricultural activities in an oasis-desert region[J]. Journal of Hydrology, 2023, 617: 128937.

[10]
Foster S, Pulido-Bbosch A, Vallejos A, et al. Impact of irrigated agriculture on groundwater-recharge salinity: A major sustainability concern in semi-arid regions[J]. Hydrogeology Journal, 2018, 26(8): 2781-2791.

[11]
Xie T, Liu X, Sun T. The effects of groundwater table and flood irrigation strategies on soil water and salt dynamics and reed water use in the Yellow River Delta, China[J]. Ecological Modelling, 2011, 222(2): 241-252.

[12]
Dou X, Shi H, Li R, et al. Simulation and evaluation of soil water and salt transport under controlled subsurface drainage using HYDRUS-2D model[J]. Agricultural Water Management, 2022, 273: 107899.

[13]
Guo S, Li X, Šimůnek J, et al. Experimental and numerical evaluation of soil water and salt dynamics in a corn field with shallow saline groundwater and crop-season drip and autumn post-harvest irrigations[J]. Agricultural Water Management, 2024, 305: 109119.

[14]
Che Z, Wang J, Li J. Effects of water quality, irrigation amount and nitrogen applied on soil salinity and cotton production under mulched drip irrigation in arid Northwest China[J]. Agricultural Water Management, 2021, 247: 106738.

[15]
Wang H, Feng D, Zhang A, et al. Effects of saline water mulched drip irrigation on cotton yield and soil quality in the North China Plain[J]. Agricultural Water Management, 2022, 262: 107405.

[16]
Li W, Wang Z, Zhang J, et al. Soil salinity variations and cotton growth under long-term mulched drip irrigation in saline-alkali land of arid oasis[J]. Irrigation Science, 2022, 40(1): 103-113.

[17]
Chen S, Mao X, Shang S. Response and contribution of shallow groundwater to soil water/salt budget and crop growth in layered soils[J]. Agricultural Water Management, 2022, 266: 107574.

[18]
Xue J, Huo Z, Wang F, et al. Untangling the effects of shallow groundwater and deficit irrigation on irrigation water productivity in arid region: New conceptual model[J]. Science of the Total Environment, 2018, 619: 1170-1182.

[19]
Ma Z, Wang W, Zhang Z, et al. Assessing bare-soil evaporation from different water-table depths using lysimeters and a numerical model in the Ordos Basin, China[J]. Hydrogeology Journal, 2019, 27(7): 2707-2718.

[20]
Fahle M, Dietrich O. Estimation of evapotranspiration using diurnal groundwater level fluctuations: Comparison of different approaches with groundwater lysimeter data[J]. Water Resources Research, 2014, 50(1): 273-286.

[21]
中国科学院新疆生物土壤沙漠研究所. 新疆土壤及土地资源研究[M]. 北京: 科学出版社, 1991: 1-37.

[ Xinjiang Institute of Ecology and Geography, Chinese Academy of Sciences. Research on Xinjiang Soil and Land Resources[M]. Beijing: Science Press, 1991: 1-37.]

[22]
新疆农业农村厅, 新疆土壤普查办公室. 新疆土壤[M]. 北京: 科学出版社, 1996: 151-521.

[ Xinjiang Agricultural Department, Xinjiang Soil Survey Office. Xinjiang Soil[M]. Beijing: Science Press, 1996: 151-521.]

[23]
Qi L, Fan J, Shao M, et al. Simulation and verification of soil moisture of root distribution functions for alfalfa[J]. Transactions of the Chinese Society of Agricultural Engineering, 2009, 25(4): 24-29.

[24]
Hoffman G, Genuchten M. Soil properties and efficient water use: Water management for salinity control[C]// Taylor H, Jordan W, Sinclair T. Limitations to Efficient Water Use in Crop Production. Madison: American Society of Agronomy, Crop Science Society of America, Soil Science Society of America, 1983: 73-85.

[25]
Šimůnek J, Suarez D. Modeling of carbon dioxide transport and production in soil 1. Model development[J]. Water Resources Research, 1993, 29: 487-497.

[26]
张立桢, 曹卫星, 张思平, 等. 棉花根系生长和空间分布特征[J]. 植物生态学报, 2005, 29(2): 266-273.

[Zhang Lizhen, Cao Weixing, Zhang Siping, et al. Characterizing root growth and spatial distribution in cotton[J]. Chinese Journal of Plant Ecology, 2005, 29(2): 266-273.]

[27]
胡宏昌, 张治, 田富强, 等. 新疆绿洲棉田盐分及作物生长对灌溉方式的响应[J]. 清华大学学报: 自然科学版, 2016, 56(4): 373-380.

[Hu Hongchang, Zhang Zhi, Tian Fuqiang, et al. Response of soil salinity and crop growth toirrigation methods in Xinjiang[J]. Journal of Tsinghua University (Science and Technology), 2016, 56(4): 373-380.]

[28]
Belmans C, Wesseling J, Feddes R. Simulation model of a water balance of a cropped soil[J]. Journal of Hydrology, 1983, 63(3-4): 271-286.

[29]
Zhang Y, Zhang F, Fan J, et al. Effects of drip irrigation technical parameters on cotton growth, soil moisture and salinity in Southern Xinjiang[J]. Transactions of the Chinese Society of Agricultural Engineering, 2020, 36(24): 107-117.

[30]
Feddes R, Kowalik P, Kolinska-Malinka K, et al. Simulation of field water uptake by plants using a soil water dependent root extraction function[J]. Journal of Hydrology, 1976, 31(1-2): 13-26.

[31]
Husan Tumarbay, Wu Z, Su L, et al. Numerical simulation of soil water-salt movement on drip irrigation cotton under film[J]. Soils, 2012, 44(4): 665-670.

[32]
刘洪光, 白振涛, 李开明. 基于HYDRUS-2D模型的膜下滴灌暗管排水棉田土壤盐分变化[J]. 农业工程学报, 2021, 37(2): 130-141.

[Liu Hongguang, Bai Zhentao, Li Kaiming. Soil salinity changes in cotton field under mulched drip irrigation with subsurface pipes drainage using HYDRUS-2D model[J]. Transactions of the Chinese Society of Agricultural Engineering, 2021, 37(2): 130-141.]

[33]
Moriasi D, Arnold J, Van L, et al. Model evaluation guidelines for systematic quantification of accuracy in watershed simulations[J]. Transactions of the Asabe, 2007, 50(3): 885-900.

[34]
王璐. 阿克苏河流域盐渍化区包气带水盐运移规律及潜水位动态调控研究[D]. 乌鲁木齐: 新疆大学, 2020.

[Wang Lu. Study on the Law of Water and Salt Migration and Dynamic Regulation of Diving Level in the Vadose Zone in the Salinized Area of the Aksu River Basin[D]. Urumqi: Xinjiang University, 2020.]

[35]
DB65/T 4565-2022. 机采棉主要农艺性状指标要求[S]. 乌鲁木齐: 新疆维吾尔自治区市场监督管理局, 2022.

[ DB65/T 4565-2022. Requirements for Main Agronomic Traits of Machine-Picked Cotton[S]. Urumqi: Xinjiang Uygur Autonomous Region Market Supervision Administration, 2022.]

[36]
鲁力, 李升, 高远, 等. 渭-库绿洲土壤盐分空间分布及变异特征[J]. 干旱区资源与环境, 2022, 36(3): 136-142.

[Lu Li, Li Sheng, Gao Yuan, et al. Spatial distribution and variation characteristics of soil salinity in the oasis of Weigan and Kuga Rivers[J]. Journal of Arid Land Resources and Environment, 2022, 36(3): 136-142.]

[37]
Toonen W H J, Kleinhans M G, Cohen K M. Sedimentary architecture of abandoned channel fills[J]. Earth Surface Processes and Landforms, 2012, 37(4): 459-472.

[38]
李强, 刘天超, 李通, 等. 新疆阿克苏河流域水文地质环境地质调查报告[R]. 乌鲁木齐: 新疆方圆地质矿产勘查院(有限公司), 2019.

[Li Qiang, Liu Tianchao, Li Tong, et al. Hydrogeological and Environmental Geological Survey Report of Aksu River Basin in Xinjiang[R]. Urumqi: Xinjiang Fangyuan Geological and Mineral Exploration Institute (Co., Ltd.), 2019.]

[39]
李艳, 胡顺军, 宋郁东. 渭干河灌区潜水蒸发规律实验分析[J]. 干旱区资源与环境, 2004, 18(3): 92-96.

[Li Yan, Hu Shunjun, Song Yudong. Experimental analysis of phreatic evaporation patterns in the Weigan River Irrigation Area[J]. Journal of Arid Land Resources and Environment, 2004, 18(3): 92-96.]

[40]
来剑斌, 王永平, 蒋庆华, 等. 土壤质地对潜水蒸发的影响[J]. 西北农林科技大学学报(自然科学版), 2003, 31(6): 153-157.

[Lai Jianbin, Wang Yongping, Jiang Qinghua, et al. Study on phreatic evaporation under different soil textures[J]. Journal of Northwest A & F University (Natural Science Edition), 2003, 31(6): 153-157.]

[41]
Gong C, Wang W, Zhang Z, et al. Comparison of field methods for estimating evaporation from bare soil using lysimeters in a semi-arid area[J]. Journal of Hydrology, 2020, 590: 125334.

[42]
Zhang Z, Wang W, Wang Z, et al. Evaporation from bare ground with different water-table depths based on an in-situ experiment in Ordos Plateau, China[J]. Hydrogeology Journal, 2018, 26(5): 1683-1691.

文章导航

/