水土资源

黄河源区典型日近地表土壤-植被-水体蒸散发及水汽同位素特征

  • 柏文文 ,
  • 王尚涛 ,
  • 倪三川 ,
  • 贺巨龙 ,
  • 王春艳 ,
  • 刘伊丰 ,
  • 吴淼 ,
  • 苏宇博 ,
  • 王凯玉
展开
  • 青海大学土木水利学院,黄河上游生态保护与高质量发展实验室,水利部江河源区水生态治理与保护重点实验室,三江源生态与高原农牧业国家重点实验室,青海 西宁 810016
王尚涛. E-mail:

柏文文(1989-),男,副教授,博士,主要从事水文气象、水力学与河流动力学等方面的研究. E-mail:

收稿日期: 2024-08-12

  修回日期: 2024-09-29

  网络出版日期: 2025-08-13

基金资助

青海省科技厅青年基金(2023-ZJ-971Q)

国家重点研发计划项目(2022YFF1302602)

国家自然科学基金(52209092)

Characteristics of near-surface soil-vegetation-water body evapotranspiration and water vapor isotope in typical days in source region of the Yellow River

  • BAI Wenwen ,
  • WANG Shangtao ,
  • NI Sanchuan ,
  • HE Julong ,
  • WANG Chunyan ,
  • LIU Yifeng ,
  • WU Miao ,
  • SU Yubo ,
  • WANG Kaiyu
Expand
  • Qinghai University, School of Civil Engineering and Water Resources, Laboratory of Ecological Protection and High-Quality Development in the Upper Yellow River, Key Laboratory of Water Ecology Remediation and Protection at Headwater Regions of Big Rivers, Ministry of Water Resources, State Key Laboratory of Plateau Ecology and Agriculture, Xining 810016, Qinghai, China

Received date: 2024-08-12

  Revised date: 2024-09-29

  Online published: 2025-08-13

摘要

基于蒸发量及其水汽同位素原位观测,研究了黄河源区王家乡典型日近地表土壤-水体-植被蒸散发特性,探讨了土壤-植被-水体蒸散发水汽同位素特征,计算了蒸散发和迁移水汽占比。研究结果表明:土壤、植被蒸散发峰值时间相对于水体蒸发峰值时间存在延迟效应,蒸散发影响土壤水深度为20 cm。不同观测对象(裸土、植被、水体、混合)蒸散发水汽同位素值存在显著性差异,植物散发过程相对土壤蒸发过程,有更加强烈的同位素分馏过程,并且蒸散发消耗土壤水深度越大,分馏效应越强,蒸发引起观测水汽δ18O、δD、δ17O先富集增大后趋于稳定,表明存在同位素平衡分馏过程,而蒸发过程氘盈余持续减小。采用逐小时瑞利分馏模型可以较好的刻画水汽同位素变化特征。水汽同位素端元混合模型计算结果表明观测站点近地表以蒸散发水汽为主,未来在水资源量调配和管理时,应更加关注气候变化对土壤蒸散发量的影响。

本文引用格式

柏文文 , 王尚涛 , 倪三川 , 贺巨龙 , 王春艳 , 刘伊丰 , 吴淼 , 苏宇博 , 王凯玉 . 黄河源区典型日近地表土壤-植被-水体蒸散发及水汽同位素特征[J]. 干旱区研究, 2025 , 42(1) : 72 -83 . DOI: 10.13866/j.azr.2025.01.07

Abstract

Based on the in situ observation of evaporation and water vapour isotope, the study investigated the characteristics of near-surface soil-water-vegetation evaporation and transpiration in Wangjiaxiang, a typical area in source region of the Yellow River, and explored the isotopic features of water vapour emitted from soil, vegetation, and water bodies. The study also calculated the proportion of evaporation and migrating water vapour. The results show that the peak time of soil and vegetation evaporation is delayed relative to the peak time of water body evaporation, and the influence of evaporation on soil water depth is 20 cm. There are significant differences in the isotopic values of evaporation between different observation objects (bare soil, vegetation, water bodies, and mixed), the isotope fractionation process during plant transpiration is generally stronger than that during soil evaporation. The isotopic fractionation effect becomes stronger as the depth of soil water consumed by evaporation increases. Evaporation causes the observed water vapour δ18O, δD and δ17O to initially enrich and then stabilize, indicating the existence of an isotopic equilibrium process, while the d-excess continues to decrease during evaporation. The hourly Rayleigh fractionation model can reflect the changes in the isotopic composition of evaporation water vapour to a good extent. The results of the endmember mixing model for water vapour isotopes show that the near-surface observation site, water vapour is mainly dominated by evapotranspirationn. Future water resource allocation and management should pay more attention to the impact of climate change on soil evaporation.

黄河源区是黄河重要的产流区,研究证实黄河年径流的35%以上来自于黄河源区[1],全球气候变化背景下[2-4],黄河源区温升速率显著高于其他地区,导致黄河源区年径流呈减小的趋势[5-6]。降水是源区径流的重要组成部分[7],而水汽是降水的直接来源[8],研究表明黄河源区水汽主要来自于季风控制的外部迁移水汽和源区陆面蒸散发水汽[9-11]。温度升高导致源区蒸散发加剧,进一步影响陆面水汽的蒸散发过程[12-13],采用稳定同位素示踪技术,揭示蒸散发水汽特征,对源区水资源调配和生态保护具有重要意义。
氢氧同位素能够识别和标记[14]区域蒸散发水汽和外部迁移水汽,并对水汽来源进行分割。研究证实,不同来源地区水汽同位素值存在显著差异,例如青藏高原西风带水汽和季风水汽同位素就存在显著差异[10,15],相比而言,西风带水汽同位素富集[16]。陆面蒸散发水汽相对于迁移水汽更加富集[17],并且受气象参数影响较大。此外,地面植被类型不同,也会显著影响土壤水蒸发的同位素分馏过程[18-19],曾有报道采用同位素技术手段,将蒸散发量分离[20]
黄河源区土壤、植被及水体蒸散发水汽同位素特征及其机制认识仍然不足。目前,土壤蒸散发水汽同位素特征多采用Craig-Gordon模型计算[20],但是模型参数取舍及其对实际场景的代表性,需进一步观测验证。此外,植被吸收土壤水通过蒸腾形成水汽,蒸腾过程的同位素分馏机制尚不明晰[21],并且不同植被蒸腾过程的同位素分馏关系是否相同,未见定论。虽然水体蒸发过程研究成果较多,但是动力分馏和平衡分馏耦合引起的蒸发水汽同位素特征仍无法精确计算和评估。
原位观测是认识水汽同位素变化的重要手段,本研究重点关注以下两个问题:(1) 黄河源区近地表不同对象(裸土、草地、水体)蒸散发水汽同位素差异是否能够被观测并区分。(2) 典型日不同对象蒸散发水汽同位素变化特征及其影响因素。基于此,研究聚焦裸土、草地及水体蒸散发水汽同位素特征,在黄河源区搭建水汽同位素原位监测点,观测和分析土壤、植被、水体蒸散发水汽同位素特征,采用逐小时瑞利分馏模型,计算蒸发水体及其形成水汽同位素值,分析土壤蒸散发和迁移水汽占比,研究结果对高寒草地蒸散发水汽同位素分馏机制认识具有重要的参考意义。

1 材料与方法

1.1 研究区域

研究区域位于黄河源区泽库县王家乡,该区域属大陆性高原气候,年均气温为-2.4 ℃,全年冬长无夏,春秋相连,牧草生长期仅90 d左右。全年平均降雨量为437.2 mm左右,年日照时数为2509 h。境内主要河流有巴河,河流长度10 km,由东部向西流出,经同德县汇入黄河。观测站点位置见图1所示,观测点地理坐标为(35°22′56.1390″N,101°01′23.5495″E),观测区为牧区,牧区主要草种为星星草、针茅、早熟禾等[22],为高寒草甸主要植物类型,因此本研究观测取得的同位素数据,能够很好的代表黄河源区典型草地的蒸散发水汽同位素特征。
图1 黄河源区水系分布及观测点位置

Fig. 1 The water system of the source region of Yellow River and the locations of observation points

1.2 试验观测

1.2.1 观测装置

在泽库县王家乡原位观测蒸散发水汽同位素值。水汽同位素监测共设计4个通道,如图2所示,其中第1、2、3通道分别为牧区草地散发水汽、裸土蒸发水汽、水体蒸发水汽监测通道,各通道口距离监测对象高度约5 cm。第4通道为近地面2 m处大气水汽同位素监测通道,即不同对象(草地、裸土、水体)蒸散发水汽和迁移水汽混合后的水汽同位素值。第1~3通道取样口固定在直径为10 cm的有机玻璃管内,有机玻璃管用于限制非观测方向的水汽运动,以免对观测目标水汽同位素造成影响。第3通道下方为蒸发皿,蒸发皿外径150 mm,高度73 mm,试验时初始水体高度为71 mm,水源为试验前一天采集的当地地下水。
图2 野外原场观测场景及设备

Fig. 2 Field observation scenes and equipments

水汽同位素测量装置采用高精度液态水和水汽同位素分析仪(ABB,GLA431-TIWA)配合多路器连用,同位素分析仪时间分辨率为1 s,水汽δ18O、δ2H分析精度分别为0.05‰和0.2‰。不同观测通道采用电磁阀切换控制,切换时间小于1 s。同位素分析仪距离原位监测取样口约15 m。微气象站观测距离地面2 m处的气象参数,共观测7个参量,分别是温度(±0.3 ℃)、湿度(±3%)、压强(±0.25%)、光照度(<±3%)、风速(±0.1 m·s-1)、风向(以北方向为0度,顺时针转为正,±2°)和雨量(≤4%),时间分辨率为1 s,观测数据存储于在线平台中,试验结束后下载分析。

1.2.2 试验观测过程

于2023年8月8日8:00开始观测水汽同位素值,水汽同位素观测顺序为1~4号,每个通道观测时间均设置为15 min,至20:00观测结束。水汽同位素观测之前先进行时间校正,即采用已知同位素值的水源生成标准水汽源,用于校正监测水汽同位素值。试验观测结束后,仪器开始进行浓度依赖性校正,共设置10个水汽浓度梯度,用于校正浓度偏差。
蒸发皿水体每间隔1 h采集一次样品,采用5 mL玻璃瓶留样(排除多余空气后密封),共采集13个样品。采样前后对蒸发皿及其水体称重,用于计算不同时间的水体蒸发量,称重仪器精度为0.01 g,称重及取样时间控制在2 min以内,称重完成后将蒸发皿放回原处。采集的液态水样品,低温保存后运至青海大学检测同位素值,液态水δ18O、δ2H分析精度分别为0.02‰和0.15‰。
为监测土壤蒸发量,采用环刀(70 mm×52 mm×2.1 mm)采集土壤样本,按照不同植被生物量,共设计5种生物量梯度(图3),环刀上生物量(湿重)分别为0 g(两个样品)、3.44 g、3.87 g、4.00 g、4.18 g。每间隔1 h观测一次土壤重量(含环刀重量,称重时间控制在2 min以内),再置于原处。观测结束后,采集观测站点附近不同深度土壤(0~40 cm)样品10个(每个采样深度采集2个样品),用于检测土壤水同位素值。此外,采集植被样品共计30 g,用于检测植被水氢氧同位素值。
图3 环刀采样现场照片

Fig. 3 On-site photo of ring knife sampling

1.3 数据处理

1.3.1 水汽同位素数据

水汽同位素观测值需要进行时间校正和浓度依赖性校正[23-24],通过建立标准水汽源的观测值和真值之间的函数关系,对观测值进行时间校正。浓度依赖性校正采用已知浓度梯度的标准水汽源,建立浓度和偏差值的线性关系,根据建立的函数关系,对实际观测的水汽同位素值进行偏差校正。本研究中实际观测的水汽浓度在20000 ppm左右波动,因此浓度引起的实测值和真值之间的偏差分别为0.21‰(δ18O)、-5.27‰(δD)和0.97‰(δ17O),时间校正量为1.19‰(δ18O)、2.01‰(δD)和1.50‰(δ17O)。此外由于通道切换,导致观测同位素值不准确,通过标准水汽源的通道切换时间(根据仪器观测的浓度),确定1~4通道切换后观测样点水汽进入同位素分析仪的时间为303 s,因此,将每个通道观测的前303 s数据剔除。

1.3.2 土壤水和植被水处理

土壤水和植被水抽提采用北京理加联合生产的全自动真空冷凝抽提系统(LI2100),抽提温度设置205 ℃,抽提时间6 h。抽提完成后,取出试管,密封后室温融化,然后用一次性针管移至进样瓶,进行液态水同位素值测量。抽提过程中,放置已知标样(标样1和标样5)进行抽提,用于修正土壤水和植被水抽提过程产生的偏差。

2 结果与分析

2.1 日气象参数及其蒸散发量变化

湿度和气压随时间呈先减小后增大的趋势(图4a),而温度则呈现先增大后减小的变化趋势,转折时间均为18:00。温度从早上9:00由13.51 ℃增大至22.25 ℃,然后出现减小,至试验结束温度变为19.10 ℃。9:00—18:00相对湿度和气压分别由71.81%和66.81 kPa减小至44.09%和66.58 kPa,至试验结束,相对湿度逐渐增大至56.84%,气压增至66.62 kPa。湿度减小和温度升高,主要是受到太阳辐射的影响。由图4b可知,9:00光照强度为7970 lux,至14:00增至最大值140532 lux,然后波动减小,至20:00降至2468 lux。风速出现波动变化,9:00—14:00风速维持在3.33 m·s-1以上,15:00风速值为2.82 m·s-1,后又波动增大为3.58 m·s-1(17:00),至试验结束逐渐减小至1.50 m·s-1。风向在19:00之前维持在110°以上,以东南风为主,后变为东北风。温度和光照度变化能够表征晴空天气太阳辐射主导的日温度等气象参数变化特征,因此本研究能够很好的代表典型日(晴空天气背景)蒸散发及其水汽同位素特征。
图4 气象参数时间变化

Fig. 4 Temporal variation of meteorological parameters

不同时刻的水体蒸发量较土壤、植被蒸散发量大,不同生物量的土壤蒸散发量变化趋势一致,但蒸发量峰值时间相对于水体存在延迟。水体蒸发量受气象参数的影响,随时间呈现出增大-减小的波动变化(图5),存在两个蒸发量峰值0.53 mm和0.80 mm,对应的时间分别为13:00和17:00。不同生物量的土壤-植被蒸散发量变化趋势一致,存在两个蒸发量峰值分别为0.45 mm和0.44 mm,对应时间均较水体峰值时间延后1 h。
图5 水体及土壤蒸散发量随时间变化

Fig. 5 Temporal variation of water body and soil evapotranspiration

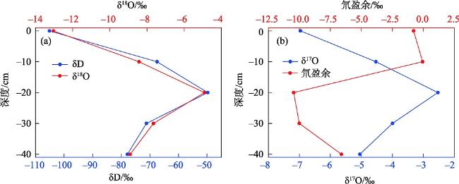
2.2 土壤及水体同位素变化

随着深度的增加,δ18O、δD和δ17O均表现出先增大后减小的变化趋势,转折深度20 cm(图6)。随土壤深度增加,δ18O由近地面的-13.03‰逐渐增加至-4.91‰,后逐渐减小至-8.90‰;δD由近地面的-105.10‰逐渐增加至-49.74‰,后逐渐减小至-77.85‰;δ17O由近地面的-6.87‰逐渐增加至-2.53‰,然后逐渐减小至-5.05‰;氘盈余由近地面的-0.78‰先增大至-0.06‰,然后减小至-10.46‰,最后逐渐增加至-6.61‰。
图6 观测站点土壤水同位素随深度变化

Fig. 6 Soil water isotope variation with depth at the observation site

土壤水同位素随深度变化表明蒸发影响的潜在深度为20 cm。0~20 cm随土壤深度的增加,土壤水同位素值均出现富集,表明该层土壤水同位素富集主要受土壤蒸发和植物散发影响。20~40 cm,随着深度增加同位素表现出减小的趋势,说明土壤水和地下水有联系,试验40 cm处土壤水同位素值为-77.85‰和-8.91‰,与试验采集的地下水同位素值接近,其值为-72.02‰和-10.82‰。氘盈余在0~10 cm表现出增大的趋势,说明此深度土壤水受植物根系调节的影响较大[25],导致氘盈余增大,此后受蒸发影响氘盈余减小(至地面以下20 cm处)。20~40 cm,氘盈余主要受水源混合和降水下渗的影响。
氢氧同位素随着时间表现出富集增大的趋势,而氘盈余则出现减小(图7)。δD、δ18O随时间呈现递增规律,其值分别由-72.02‰和-10.82‰增加至-64.87‰和-8.11‰,增量分别为7.15‰和2.71‰,增量比值为2.64。氘盈余由14.51‰减小至-0.02‰。蒸发导致氢氧同位素富集增大,氘盈余减小。根据同位素时间变化率大小,蒸发水体同位素变化分为两个阶段,8:00—11:00,该阶段由于温度较低,蒸发量较小,δD、δ18O时间增长率分别为0.09‰·h-1和0.08‰·h-1,氘盈余时间增长率为-0.53‰·h-1,δD、δ18O同位素时间增长率基本相同,说明此阶段蒸发过程受平衡分馏控制。11:00—20:00,δD、δ18O时间增长率分别为0.76‰·h-1和0.27‰·h-1,氘盈余时间增长率为-1.44‰·h-1,受气温和太阳辐射的综合影响,蒸发量整体较大,导致同位素变幅较大。δD、δ18O增速比值为2.8,表明存在显著的动力分馏过程(蒸发过程),导致氘盈余持续减少。
图7 蒸发水体同位素时间变化

Fig. 7 The temporal variation of isotopic composition in evaporating water bodies

2.3 土壤-水体-植被蒸散发水汽同位素时间变化

草地、裸土、水体蒸散发水汽氢氧同位素值均随时间表现出先波动增大再趋于稳定的变化趋势(初始时刻草地蒸散发水汽同位素值除外),而混合水汽同位素表现出先减小再增大的变化趋势,氘盈余全时段表现出减小的趋势。草地、裸土以及水体的蒸散发水汽同位素值波动性基本一致(图8),说明其同位素主要受蒸发过程控制。氘盈余随时间呈现递减规律,与蒸发水体氘盈余变化趋势相一致。混合水汽同位素值在12:00—14:00出现显著下降,说明有足够的外部迁移水汽影响,这一点从观测风速和蒸散发量可以佐证。采用显著性检验,分别对不同观测对象水汽同位素值进行检验,发现其同位素值存在显著性差异(显著性水平均超过0.05,大部分超过0.01),说明水汽同位素分馏机制不同。
图8 不同观测对象(通道)同位素时间变化特征

Fig. 8 Isotope temporal variation characteristics of different observed objects (channels)

植物、土壤、水体蒸散发水汽同位素受蒸发影响,表现出先增大后稳定的趋势(图9),表明存在同位素稳态[21]过程,并且水体和裸土蒸发水汽同位素增幅更大。草地散发水汽、裸土蒸发水汽、水体蒸发水汽δ18O、δD和δ17O均呈现先减小后增大,最后趋于波动平衡(16:00—20:00)的变化趋势,氘盈余持续减小,由9.51‰减小至-3.74‰。草地散发水汽同位素值先减小,主要是因为夜间水汽凝结,导致地面和草地潮湿,在太阳照射下迅速蒸发(8:00—8:15),造成初始水汽同位素值较大,这一点从观测水汽氘盈余值也可以佐证。
图9 不同观测对象(通道)水汽同位素均值时间变化

Fig. 9 Temporal changes in the mean isotopic composition of water vapour for different observation objects (channels)

3 讨论

3.1 同位素观测值-理论值对比

3.1.1 水体同位素观测值-理论值对比

根据瑞利分馏模型,蒸发水体同位素值满足如下关系式[26],即:
δ D = ( 1 + δ D 0 ) f 2 ε W - V - 1
δ 18 O = ( 1 + δ 18 O 0 ) f 18 ε W - V - 1
式中:εW-V为富集系数,其值可根据拟合温度关系式计算;f为蒸发度。根据上式,计算蒸发水体同位素变化(图10),采用瑞利模型计算的δD较观测值偏大,而计算的δ18O较观测值偏小,δD、δ18O计算值与观测值最大偏差分别为1.50‰和-1.77‰,计算值变化趋势与观测值变化趋势一致。瑞利分馏模型计算结果与观测结果存在较大偏差,对δ18O尤其明显,并且随着蒸发持续,计算偏差进一步扩大。
图10 蒸发水体氢氧同位素计算值与观测值对比

Fig. 10 Comparison of calculated and observed hydrogen and oxygen isotope values in evaporating water bodies

逐小时瑞利分馏模型能够增大计算精度,对δD尤为明显。图10显示采用逐小时瑞利分馏模型(即每一个小时采用瑞利分馏模型计算,其计算水体初始值是前一时刻采用瑞利模型计算得出,蒸发度也采用这一小时的蒸发度),计算的水体同位素值能更好的符合观测值,并且最大偏差减小为-0.84‰,偏差减幅绝对值达44%。δ18O偏差没有太大改进,说明自然水体蒸发过程中,存在较明显的动力分馏过程。

3.1.2 水汽同位素观测值-理论值对比

根据蒸发过程中质量守恒,建立蒸发水体与水汽之间的同位素关系[26],则有:
δ v = ( 1 + δ W ) f ε W - V α W - V - 1
式中:δ表示同位素值(‰),下标W和V分别表示液态水和水汽。公式(3)即为蒸发水体同位素与水汽同位素所满足的关系式,据此采用逐小时瑞利分馏模型对水汽同位素值进行计算。
计算的水汽同位素值较观测值偏大,并且峰值时间延后3 h(图11)。采用逐小时瑞利分馏模型,计算的水汽δ18O由-21.05‰先增加至-18.75‰(18:00),后减小至-18.77‰,δD由-158.15‰先增至-137.25‰(18:00),后减小至-139.45‰。δ18O、δD计算值较观测值均出现偏大,δ18O计算偏差从初始时刻的1.35‰先波动减小至0.27‰,后波动增大至1.25‰,δD计算偏差从初始时刻的10.92‰波动增加至21.35‰,δ18O、δD计算值与观测值平均偏差分别为14.75‰和0.99‰。
图11 水汽同位素计算与观测对比

Fig. 11 Comparison of calculated and observed hydrogen and oxygen isotope values in water vapour

根据观测的水汽和水体同位素值,采用富集系数定义式计算其富集系数,然后将富集系数与气象参数建立多元线性回归关系,得到εH= 1.46 × 10-1 - 4.22 × 10-2 T -1.16 × 10-2 RH -1.51 × 10-2 P + 3.55 ×10- 3 I-2.02×10-4 WVn = 12, R2 = 0.905, P = 0.05), εO = 1.49 × 10 -2- 4.43 × 10-3 T + 5.29 × 10-4 RH - 3.38 × 10-3P + 7.70 × 10-4 I - 1.58 × 10-4 WVn = 12, R2= 0.868, P = 0.05)。
采用回归模型得出的富集系数,进一步计算出的水汽同位素值与观测值变化趋势一致,峰值时间相同(图11)。δ18O计算值较观测值出现偏大-偏小波动变化趋势,其最大、最小偏差分别为0.2‰和-0.59‰,平均偏差-0.27‰。δD计算值较观测值均出现偏小趋势,其偏差从初始时刻的-13.39‰先波动增加至-1.16‰,平均偏差为-6.03‰。δ18O、δD计算平均偏差相对于逐小时瑞利分馏模型减小59%和65%,并且峰值时间相同。
瑞利分馏模型中分馏系数被认为是常量,但是外场条件复杂,分馏系数受气象参数等影响,因而改成逐小时瑞利分馏模型后,计算条件与观测条件更加符合[26]。此外,采用气象参数拟合的富集系数进行水汽同位素计算,其参数能够一定程度反映动力分馏过程,使得计算值与观测值更加接近。

3.2 土壤-植被蒸散发同位素富集系数变化及机制

土壤蒸发、植被散发过程氢氧同位素富集系数与土壤深度呈正相关,并且植物散发过程同位素分馏效应更强。为探究土壤蒸发和植物散发同位素分馏系数变化特征,假设随着蒸发进行,消耗土壤水由地表逐渐增至地面以下20 cm处(从10:00—16:00,每小时土壤蒸发潜在深度递增率为3.33 cm·h-1),计算得到同位素富集系数随土壤深度变化(图12),图中富集系数与土壤深度呈线性正相关关系,说明土壤水蒸发深度越大,同位素分馏越明显。
图12 氢氧同位素富集系数随深度变化

Fig. 12 Variations of hydrogen and oxygen isotope enrichment coefficient with depth

相同深度下,植被散发富集系数大于土壤蒸发富集系数,表明植被散发同位素分馏效应更强。植被散发过程中,2H富集系数由0.083增加至0.135,18O富集系数由0.0098增加至0.0158,拟合氢氧同位素富集系数与深度的函数关系,则有εD=(31.98±1.81)-(381.81±16.23)Hn=7,R2=0.991,P=0.05),εO=(33.66±2.31)-(3352.30±175.26)Hn=7,R2=0.987,P=0.05)。土壤蒸发过程中,2H富集系数由0.082增加至0.125,18O为富集系数由0.0098增加至0.0148,拟合氢氧同位素富集系数与深度的函数关系,则有εD=(7.06±2.66)-(446.65±24.99)Hn=7,R2=0.985,P=0.05),则有εO=(37.93±2.69)-(3823.55±212.39)Hn=7,R2=0.985,P=0.05)。土壤蒸发2H富集系数均值为0.105,18O为0.0125,植物散发2H富集系数为0.110,18O为0.0130,表明植物散发相对于与土壤蒸发,会产生更加明显的同位素分馏[21,27]
植被散发消耗表层土壤水时,由根系吸收土壤水再通过气孔逸散至大气中,相对于土壤直接蒸发过程,将产生较强的分馏过程。当表层土壤水因蒸发减少,土壤对表层水吸附能力增强,蒸散发将进一步消耗较深层的土壤水,当深层土壤水通过“重重阻力”进入大气中,导致富集系数进一步增大。该结论对于认识土壤水迁移及其动力学过程具有重要意义。

3.3 蒸散发水汽与外部迁移水汽占比解析

土壤和植被蒸散发水汽量占总水汽的75%,不同同位素计算结果具有较好的一致性。选取8月9日(由于观测通道限制,8月8日未观测迁移水汽)观测迁移水汽同位素值(δ18O、δD和δ17O分别为-26.91‰,-206.65‰和-11.74‰)作为一个端元,则可以计算土壤、植被蒸散发量比重。采用草地散发水汽δ18O计算的蒸散发水汽占比为55%~93%,采用δD计算的蒸散发水汽占比介于56%~92%,采用δ17O计算的蒸散发水汽占比在61%~96%。采用裸土蒸发水汽δ18O计算的蒸散发水汽占比为66%~94%,采用δD计算的蒸散发水汽占比在63%~89%,采用δ17O计算的蒸散发水汽占比在70%~100%,较其他同位素计算偏高。同理认为混合水汽是由蒸发水体和外部迁移水汽形成,则依据端元混合模型,采用δ18O计算的水体蒸发水汽占比为52%~92%,采用δD计算的水体蒸发水汽占比在53%~93%,采用δ17O计算的蒸散发水汽占比在58%~96%,计算偏高。综合土壤、植被、水体计算结果,则蒸散水汽占比均值为75%,与现有研究结论基本一致[9,11]
观测站点水汽以植被散发为主,土壤蒸发和迁移水汽相当。进一步揭示观测牧区草场的蒸散发比(E:ET),根据裸土和生物量为3.87~4.18 g植被蒸散发量数据(纯土壤蒸发和植被散发),结合端元混合模型,则可计算生物量为3.44 g的草地中,土壤蒸散发比(E:ET)在0.19~0.75(均值0.42)。结合计算的蒸散发水汽占比,则观测区水汽中,有22%来自于土壤蒸发,有53%来自于植物散发,有25%来自于外部水汽输送。土壤蒸散发水汽量占观测区总水汽量75%,未来在水资源量调配和管理时,应当充分考虑这一部分水资源量,以及气候变化对内循环率和水资源量的潜在影响。

4 结论

基于蒸发量及水汽同位素原位观测,研究日尺度土壤-水体-植被蒸散发特性,总结不同对象蒸散发水汽同位素变化规律,计算水体及水汽同位素值,量化土壤蒸散发和迁移水汽占比,得出以下结论:
(1) 土壤-植被-水体蒸散发过程中,土壤蒸散发相对于水体蒸发存在延迟效应,蒸散发影响土壤水深度为20 cm;不同观测对象蒸散发水汽同位素值均表现出先增大后稳定的变化趋势,并且水汽同位素值差异明显,表明存在同位素平衡过程,且同位素分馏机制不同。
(2) 理论计算进一步表明,瑞利分馏模型在描述蒸发水体及水汽同位素值时均存在较大偏差,采用逐小时瑞利分馏模型,计算蒸发水体δ18O最大偏差减幅绝对值达到44%,结合气象参数计算的富集系数,逐小时瑞利分馏模型计算的水汽δ18O、δD平均偏差减小59%和65%。
(3) 土壤蒸发和植物散发过程,氢氧同位素富集系数随着土壤深度的增大而逐渐增大,并且植物散发过程相对土壤蒸发过程,有更加强烈的同位素分馏效应。
(4) 基于端元混合模型,结合水汽同位素和实测蒸散发量,发现近地表土壤和植被蒸散发量占大气总水汽量的75%。未来在水资源量调配和管理时,应当充分考虑这一部分水资源量,以及气候变化对内循环率和水资源量的潜在影响。
[1]
蓝永超, 文军, 赵国辉, 等. 黄河河源区径流对气候变化的敏感性分析[J]. 冰川冻土, 2010, 32(1): 175-182.

[Lan Yongchao, Wen Jun, Zhao Guohui, et al. Sensibility analysis of the runoff in the headwater regions of the Yellow River to climate change[J]. Journal of Glaciology and Geocryology, 2010, 32(1): 175-182. ]

[2]
吕壮壮, 乔庆庆, 董孙艺, 等. 中新世气候适宜期全球变暖背景下亚洲内陆干旱区古气候演化特征及驱动机制[J]. 干旱区研究, 2024, 41(8): 1309-1322.

[Lyu Zhuangzhuang, Qiao Qingqing, Dong Sunyi, et al. Paleoclimatic evolution and driving mechanisms in arid areas of inland Asiaduring the Middle Miocene Climatic Optimum in the context of global climate warming[J]. Arid Zone Research, 2024, 41(8): 1309-1322. ]

[3]
周杰, 王旭虎, 杜维波, 等. 气候变化背景下的天山云杉潜在分布区预测[J]. 干旱区研究, 2024, 41(7): 1167-1176.

[Zhou Jie, Wang Xuhu, Du Weibo, et al. Prediction of potential distribution area of Picea schrenkiana under the background of climate change[J]. Arid Zone Research, 2024, 41(7): 1167-1176. ]

[4]
刘一丹, 姚晓军, 李宗省, 等. 气候变化和土地利用覆盖变化对河西地区植被净初级生产力的影响[J]. 干旱区研究, 2024, 41(1): 169-180.

[Liu Yidan, Yao Xiaojun, Li Zongxing, et al. Impacts of climate change and land use/cover change on the net primary productivity of vegetation in Hexi Region, Northwest China[J]. Arid Zone Research, 2024, 41(1): 169-180. ]

[5]
张一然, 周德刚, 郭晓峰. 变暖背景下黄河源区气候响应特征及对径流的影响[J]. 中国科学: 地球科学, 2024, 54(3): 862-873.

[Zhang Yiran, Zhou Degang, Guo Xiaofeng. Regional climate response to global warming in the source region of the Yellow River and its impact on runoff[J]. Scientia Sinica (Terrae), 2024, 54(3): 862-873. ]

[6]
贾仰文, 高辉, 牛存稳, 等. 气候变化对黄河源区径流过程的影响[J]. 水利学报, 2008, 39(1): 52-58.

[Jia Yangwen, Gao Hui, Niu Cunwen, et al. Impact of climate change on runoff process in headwater area of the Yellow River[J]. Journal of Hydraulic Engineering, 2008, 39(1): 52-58. ]

[7]
保广裕, 乜虹, 戴升, 等. 黄河上游河源区不同量级降水对径流变化的影响[J]. 干旱区研究, 2021, 38(3): 704-713.

[Bao Guangyu, Nie Hong, Dai Sheng, et al. Research on effects of different precipitation magnitudes on runoff changes in the headwater region of the upper Yellow River[J]. Arid Zone Research, 2021, 38(3): 704-713. ]

[8]
强安丰, 魏加华, 解宏伟, 等. 三江源区大气水汽含量时空特征及其转化变化[J]. 水科学进展, 2019, 30(1): 14-23.

[Qiang Anfeng, Wei Jiahua, Xie Hongwei, et al. Spatial-temporal characteristics and changes of atmospheric water vapor in the Three River Headwaters Region[J]. Advances in Water Science, 2019, 30(1): 14-23. ]

[9]
阳坤, 汤秋鸿, 卢麾. 青藏高原降水再循环率与水汽来源辨析[J]. 中国科学: 地球科学, 2022, 52(3): 574-578.

[Yang Kun, Tang Qiuhong, Lu Hui. Precipitation recycling ratio and water vapor sources on the Tibetan Plateau[J]. Scientia Sinica (Terrae), 2022, 52(3): 574-578. ]

[10]
Yao T, Masson-delmotte V, Gao J, et al. A review of climatic controls on δ18O in precipitation over the Tibetan Plateau: Observations and simulations[J]. Reviews of Geophysics, 2013, 51(4): 525-548.

[11]
李颖, 苏凤阁, 汤秋鸿, 等. 青藏高原主要流域的降水水汽来源[J]. 中国科学: 地球科学, 2022, 52(7): 1328-1344.

[Li Ying, Su Fengge, Tang Qiuhong, et al. Contributions of moisture sources to precipitation in the major drainage basins in the Tibetan Plateau[J]. Scientia Sinica (Terrae), 2022, 52(7): 1328-1344. ]

[12]
白路遥, 荣艳淑. 气候变化对长江、黄河源区水资源的影响[J]. 水资源保护, 2012, 28(1): 46-50, 70.

[Bai Luyao, Rong Yanshu. Impacts of climate change on water resources in source regions of Yangtze River and Yellow River[J]. Water Resources Protection, 2012, 28(1): 46-50, 70. ]

[13]
韩璐, 魏加华, 侯铭垒, 等. 黄河源区下垫面变化对水文过程的影响研究[J]. 水力发电学报, 2024, 43(6): 63-74.

[Han Lu, Wei Jiahua, Hou Minglei, et al. Research on the impact of underlying surface changes on hydrological processes in the source area of the Yellow River[J]. Journal of Hydroelectric Engineering, 2024, 43(6): 63-74. ]

[14]
Galewsky J, Steen-larsen H C, Field R D, et al. Stable isotopes in atmospheric water vapor and applications to the hydrologic cycle[J]. Reviews of Geophysics, 2016, 54(4): 809-865.

[15]
Tian L, Yu W, Schuster P F, et al. Control of seasonal water vapor isotope variations at Lhasa, southern Tibetan Plateau[J]. Journal of Hydrology, 2020, 580: 124237.

[16]
Zhang T, Zhang Y, Guo Y, et al. Controls of stable isotopes in precipitation on the central Tibetan Plateau: A seasonal perspective[J]. Quaternary International, 2019, 513: 66-79.

[17]
梁杰. 红树林叶和冠层的水同位素分馏机制及其应用研究[D]. 北京: 清华大学, 2019.

[Lang Jie. Studies on Water Isotopic Fractionations in Leaf-Canopy of Mangrove Forests and their Applications[D]. Beijing: Tsinghua University, 2019. ]

[18]
蔡越, 邢万秋, 王卫光, 等. 基于同位素技术的蒸散组分区分采样方案优化研究[J]. 生态学报, 2023, 43(19): 8076-8086.

[Cai Yue, Xing Wanqiu, Wang Weiguang, et al. Optimization of sampling scheme for evapotranspiration partition based on isotope technology[J]. Acta Ecologica Sinica, 2023, 43(19): 8076-8086. ]

[19]
王雪. 基于稳定同位素方法的祁连山东段青海云杉林土壤-植物-大气连续体研究[D]. 兰州: 西北师范大学, 2023.

[Wang Xue. Study on soil-plant-atmosphere continuum of Qinghai Picea crassifolias in Eastern Qilian Mountains based on stable isotope method[D]. Lanzhou: Northwest Normal University, 2023. ]

[20]
吴友杰, 杜太生. 基于氧同位素的玉米农田蒸散发估算和区分[J]. 农业工程学报, 2020, 36(4): 127-134.

[Wu Youjie, Du Taisheng. Estimating and partitioning evapotranspiration of maize farmland based on stable oxygen isotope[J]. Transactions of the Chinese Society of Agricultural Engineering, 2020, 36(4): 127-134. ]

[21]
张宇, 张明军, 王家鑫, 等. 基于稳定同位素的干旱半干旱区 SPAC 水分运移过程研究进展[J]. 生态学报, 2024, 44(4): 1360-1373.

[Zhang Yu, Zhang Mingjun, Wang Jiaxin, et al. A review of water movement process in SPAC in the semi-arid and arid regions based on stable isotopes[J]. Acta Ecologica Sinica, 2024, 44(4): 1360-1373. ]

[22]
屈柳燕, 贾绍凤, 李润杰, 等. 三江源区典型植被蒸散发及水量平衡分析[J]. 华北水利水电大学学报(自然科学版), 2024, 45(3): 42-50.

[Qu Liuyan, Jia Shaofeng, Li Runjie, et al. Analysis of evapotranspiration and water balance of typical vegetation in the Sanjiangyuan Region[J]. Journal of North China University of Water Resources and Electric Power (Natural Science Edition), 2024, 45(3): 42-50. ]

[23]
柳景峰, 丁明虎, 效存德. 大气水汽氢氧同位素观测研究进展——理论基础、观测方法和模拟[J]. 地理科学进展, 2015, 34(3): 340-353.

[Liu Jingfen, Ding Minghu, Xiao Cunde. Review on atmospheric water vapor isotopic observation and research: Theory, method and modeling[J]. Progress in Geography, 2015, 34(3): 340-353. ]

[24]
高晶, 姚檀栋, 蔡榕, 等. 青藏高原大气水汽稳定同位素三维观测体系[J]. 科学通报, 2019, 64(27): 2822-2829.

[Gao Jing, Yao Tandong, Cai Rong, et al. Observation of the atmospheric water vapor stable isotopes in three dimensions over the Tibetan Plateau[J]. Chinese Science Bulletin, 2019, 64(27): 2822-2829. ]

[25]
王根绪, 夏军, 李小雁, 等. 陆地植被生态水文过程前沿进展: 从植物叶片到流域[J]. 科学通报, 2020, 66(增刊): 3667-3683.

[Wang Genxu, Xia Jun, Li Xiaoyan, et al. Critical advances in understanding ecohydrological processes of terrestrial vegetation: From leaf to watershed scale[J]. Chinese Science Bulletin, 2020, 66(Suppl. ): 3667-3683. ]

[26]
顾慰祖, 庞忠和, 王九全, 等. 同位素水文学[M]. 北京: 北京出版社, 2011.

[Gu Weizu, Pang Zhonghe, Wang Jiuquan, et al. Isotope Hydrology[M]. Beijing: Beijing Science Press, 2011. ]

[27]
Xiao W, Wei Z W, Wen X F. Evapotranspiration partitioning at the ecosystem scale using the stable isotope method—A review[J]. Agricultural and Forest Meteorology, 2018, 263: 346-361.

文章导航

/