植物生态

琵琶柴的防风固沙作用数值模拟

  • 刘洋 ,
  • 尹忠东 ,
  • 闫晴 ,
  • 张彩荣
展开
  • 北京林业大学水土保持学院,北京 100083
尹忠东. E-mail:

刘洋(1997-),男,硕士研究生,主要研究方向为防护林工程以及荒漠化防护与治理. E-mail:

收稿日期: 2024-06-24

  修回日期: 2024-08-08

  网络出版日期: 2025-08-13

基金资助

新疆水土保持监督管理项目(213031003)

Numerical simulation on the windbreak and sand-fixing effect of Reaumuria soongorica

  • LIU Yang ,
  • YIN Zhongdong ,
  • YAN Qing ,
  • ZHANG Cairong
Expand
  • School of Soil and Water Conservation, Beijing Forestry University, Beijing 100083, China

Received date: 2024-06-24

  Revised date: 2024-08-08

  Online published: 2025-08-13

摘要

植物固沙是北方干旱、半干旱区防治风沙灾害的重要措施之一,其中琵琶柴(Reaumuria soongorica)为荒漠区分布最广泛的半灌木,具有重要的应用价值。本文利用计算平台Fluent对琵琶柴植株附近的流场进行数值模拟,分析风速特征和积沙特征。结果表明:(1) 在10 m·s-1初始风速下,植株前后皆会形成涡流,其高度和强度与距植株远近有关,整体低于0.25 m。(2) 数值模拟结果表明,气流水平方向速度的变化多呈“N”和“W”型曲线,而垂直方向的气流速度变化则为“V”型曲线。(3) 在较低风速下,非生长季琵琶柴的阻风效能要优于生长季,株后防护距离4 m;当风速大于6 m·s-1时,双排生长季琵琶柴株后风速降低幅度可大于94.45%。(4) 琵琶柴具有良好的阻沙效果,在初始风速为6 m·s-1时,大部分沙粒堆积在植株前后底部;当风速增至10 m·s-1时,生长季琵琶柴阻沙良好,沙粒主要沉积在株后1.5~3 H,沙粒堆积高度小于0.1 m;当初始风速为15 m·s-1时,生长季琵琶柴株后积沙主要分布在株后2~3.5 H,而非生长季琵琶柴沙粒堆积范围则在株后1~10 H。无论何种生长季琵琶柴均能有效降低风场内气流速度,并对气流所携带的沙粒具有良好的沉降作用,在植物治沙工程中起重要作用。

本文引用格式

刘洋 , 尹忠东 , 闫晴 , 张彩荣 . 琵琶柴的防风固沙作用数值模拟[J]. 干旱区研究, 2024 , 41(11) : 1887 -1897 . DOI: 10.13866/j.azr.2024.11.09

Abstract

Vegetation-based sand fixation is a key measure to control wind and sand disasters in the arid and semi-arid regions of northern China. Reaumuria soongorica, a semi-shrub widely distributed in desert areas, holds a significant application value in this context. This study used Fluent software to perform numerical simulations of the airflow fields around R. soongorica during various growth seasons, analyzing wind speed characteristics and sand deposition patterns. The research yielded the following conclusions: (1) At an initial wind speed of 10 m·s-1, vortices form in front of and behind the plant, with their height and intensity varying with the distance from the plant, generally below 0.25 m. (2) The numerical simulation results indicate that changes in horizontal airflow speed often exhibit N- and W-shaped curves, while vertical airflow speed changes follow a V-shaped curve. (3) At lower wind speeds, the wind-blocking effect of R. Soongorica in the non-growing season is better than that in the growing season, with a protection distance of 4 m behind the plant; when the wind speed is greater than 6 m·s-1, the wind speed reduction behind double rows of R. Soongorica growing season can be greater than 94.45%. (4) R. soongorica has excellent sand-blocking effects. At an initial wind speed of 6 m·s-1, most sand particles accumulate at the plant base, in front and behind it. When the wind speed increases to 10 m·s-1, R. soongorica during the vigorous season effectively blocks sand, with sand particles primarily depositing between 1.5-3 H behind the plant, with a height lower than 0.1 m. At an initial wind speed of 15 m·s-1, sand deposition behind the vigorous season R. soongorica is mainly distributed between height 2-3.5 H. In contrast, for the withering season, sand accumulation ranges from height 1-10 H behind the plant. Regardless of the growth season, R. soongorica effectively reduces airflow speed within the wind field and promotes the settling of sand particles carried by the airflow, playing a crucial role in vegetation-based sand control projects.

沙质荒漠化是当前国际社会最为关注的生态危机之一。由于中国国土辽阔,地形地貌多样,荒漠化问题尤为严重。尤其在西北地区,自然环境恶劣,沙漠和戈壁广泛分布。因此国内学者针对风沙运动规律以及风沙带来的危害进行研究,并提出了相应的改善措施[1]。“一带一路”倡议的提出和实施,使西北干旱区、半干旱地区的荒漠化防护和治理成为当今亟需解决的环境问题之一。
植被对地表起到保护作用,植物治沙作为长效改善荒漠化的主要手段之一[2]。其原理是通过低矮灌木的阻风阻沙作用,大幅降低地表风速,使沙粒沉降,从而减少土壤风蚀。目前,国内外科研学者通过野外观测、风洞试验和数值模拟等方法,对植物的防风固沙效益进行研究[3]。例如,牛丹妮等[4]通过风洞试验模拟了不同种植配置下的梭梭(Haloxylon ammodendron),分析得出“小株距,大行距”的品字形配置模式具有较好的防风效益;程锋梅等[5]在5种植被盖度下,选取3种株型的草本植物,通过风洞试验测定出了各株型的风蚀抑制率,得出高盖度下匍匐状植物的风蚀率最低。由于数值模拟技术具有便利性和可靠性,已被广泛应用于传热学、机械设计、流体力学等多个领域。来风兵[6]通过数值模拟分析单株胡杨周围的流场结构特征;薄天利等[7]对防沙栅栏的风洞试验进行了数值模拟,得出了防风栅栏的有效防护距离并分析了栅栏的各个变量对其影响;陈柏羽等[8]通过对高立式芦苇沙障数值模拟,分析多排沙障的最优铺设间距。
琵琶柴为盐柴类半灌木,主要生长在荒漠地区的山前冲积、洪积平原上和戈壁侵蚀面上,是我国荒漠地区广泛分布的建群种和优势种,也是我国常见的成群荒漠小灌木植被[9]。由于琵琶柴长期在恶劣的环境中生长进化,形成了独特的植物构型,其枝系能够有效的阻挡风沙并使沙粒沉积[10-11]。在三北防护林工程中,琵琶柴也应用于防护固沙林的建设[12]。本文基于数值模拟,以琵琶柴为研究对象,通过分析植被前后风速变化,积沙分布和流场特征,探讨琵琶柴在荒漠草地中的防风阻沙效益,并利用现有的风洞试验进行验证,为防风固沙工程及生态恢复工程中琵琶柴及其他植物措施的应用提供参考。

1 数据与方法

1.1 研究对象

研究区位于新疆和田地区策勒县,该地区生态系统脆弱,自然植被以多年生荒漠植物为主,有骆驼刺(Alhagi camelorum)、琵琶柴、多根葱(Allium polyrhizum)等[13]。已有的植物数值模拟研究多将植被模型简化为二维平面模型。尽管这些模型的简化方式相似,但根据植株类型的不同,模型的参数设置会有所差异[14]。本文选取琵琶柴作为研究对象,琵琶柴在野外呈群落分布,但大面积成片生长的现象较少[15]。对两株琵琶柴进行数值模拟,可更有效地为设计稀疏灌木林带提供依据。根据已有野外调查试验,分别对生长季与非生长季进行调查,在琵琶柴群落内设置3个25 m×25 m的样方,选取同龄琵琶柴定期观测,记录冠幅、枝长和琵琶柴每米分布数量等植物参数,计算平均值作为建模参考依据(表1)。
表1 琵琶柴调查统计

Tab. 1 R. soongorica survey statistics table

最大值 最小值 平均值
迎风面冠幅/m 1.60 0.32 0.78
株高/m 0.43 0.14 0.24
小枝长/m 0.28 0.05 0.08
植株沿程分布数量/(株·m-1 0.73 0.60 0.65

1.2 数值模拟方法

1.2.1 几何建模与边界条件设置

本文模拟的主要对象为风和沙粒,由于在风沙运动中,沙粒主要受到竖直向下的重力和水平方向的曳力作用,这两种力的作用方向垂直且在同一平面,因此将流域模型简化为二维平面计算。使用绘图软件创建二维模型,并通过多次试算与模拟,确定计算模型区域长为15 m,宽度为3 m;植株放置位置分别为距入口6 m、8 m处,植株建模如图1所示。几何模型如图2所示。网格划分使用建模软件Anysy Icem CFD的Meshing模块,对计算域进行网络划分,划分类型采用混合划分,方法选择结构化网格,网格数量约1.1×105个,网格质量为1,网格质量优良,满足计算要求。
图1 生长季与非生长季琵琶柴植株模型

Fig. 1 Plant model of R. soongorica in growing season and non-growing season

图2 流域模型简化图

Fig. 2 Simplified diagram of watershed model

1.2.2 参数设置

根据已有研究结果可知[15-18],风沙流为不可压缩流。粗糙度高度取0.001 m,粗糙度长度取默认值0.5;沙粒粒径设置为ds=0.1 mm,沙粒密度ρs=2650 kg·m-3,初始沙粒体积分数为0.02,沙床初始沙床堆积率α=0.625,黏度μs=0.047 Pas。速度入口载入风速廓线方程。
v y = v 0 k l n y y 0
式中:vy为风速值(m·s-1);v0为摩阻速度(m·s-1);k取0.4;y0为粗糙长度(m);y为高度(m)。
边界条件设置如下:
(1) 入口边界(inlet):入口边界选取速度入口,空气相入口速度由风速廓线方程定义(公式1)。本文以UDF编译的方式在入口加载风速廓线方程。采用UDF编译可以使模型更具适用性,更好地还原真实风速变化,提高模拟结果的可靠性。此外,UDF在编译到Fluent模型后会被加载成机器码,大幅度提升计算效率,降低计算成本。速度入口水力半径为3 m。
(2) 出口边界(outlet):采用自由出口,允许风沙自由流出,以更贴近实际情况。
(3) 上、下壁面边界:下壁面设置为固定无滑移边界,上壁面设置为对称边界。
本试验数值模拟采用欧拉双流体模型,算法采用Phase Coupled Simplec,该算法适用于不可压缩流动,并能加快迭代过程的收敛速度。

1.2.3 控制方程

计算过程中主要运用连续性方程、动量方程和k-ε湍流模型方程。湍动能k和耗散能ε方程如下:
ρ d k d t = x i μ + μ t σ k k x i + G k + G b - ρ ε
ρ d ε d t = x i μ + μ t σ ε ε x i + C 1 ε ε k G k + C 3 ε G b - C 2 ε ρ ε 2 k
式中: μ t为湍流粘度系数;GkGb为湍动能(m·s-3);xi为微元体分量(m·s-1);CCC为模型常数;k为湍动能;ε为湍流耗散率; σ ε=1.3。

2 结果与分析

2.1 流场模型合理性验证

2.1.1 净风场风速模拟验证

数值模拟仿真技术因其便利性、可靠性以及低成本的特性,已被广泛应用于各个领域。由于实验条件的限制,为验证本次模拟的可行性,本文基于已有的风洞试验数据进行数值模拟,模拟风速为15 m·s-1、无植被条件下的流场[19]。如图3所示,数值模拟的风速与风洞试验测得的风速均随着距地面高度的增加而增大,且风洞试验的风速略高于本文的模拟风速,但二者风速接近。因此,本次模拟具有一定的可行性和可靠性。
图3 净风场风速对比曲线

Fig. 3 Comparison curve of wind speed in net wind field

2.1.2 风沙两相流验证

本文选用王露[20]的风洞试验进行数值模拟,实验所需植株采自乌兰布和沙漠(图4)。风洞试验设置在内蒙古磴口县林业科学研究院沙漠林业实验中心风洞中,计算域为25 m×2 m,在风洞中部铺设沙床,铺设高度为0.05 m,风速设置为10 m·s-1;选取六种不同形态植株分别放置在试验区中部,利用毕托管测量植株周围风速大小,株后积沙量使用集沙仪测量。选取蒙古沙拐枣(Calligonum mongolicum)与琵琶柴株后的沙粒体积分数变化与模拟结果作对比(图5),本文与王露[20]的风洞试验结果大致相同,距地面0.02 m高度以上沙粒体积分数变化幅度较小,0.02 m高度以下沙粒体积分数变化剧烈,模拟与风洞试验结果基本吻合。
图4 琵琶柴灌丛沙堆

Fig. 4 R. soongorica shrub sand dune

图5 沙粒体积分数随高度分布

Fig. 5 Distribution of sand volume fraction with height

2.2 琵琶柴周围的流场特征

在双排琵琶柴影响下,模拟区域内形成了4个风速区(图6),由入口至第二排植株背风侧5 m依次为减速区、加速区、回流区以及恢复区(图中颜色深浅对应风速大小,蓝色风速最小)。生长季琵琶柴在入口处的气流水平速度分层明显。对比非生长季和生长季琵琶柴的水平风速等高线可以看出,气流从入口进入至第一排植株前,非生长季琵琶柴的水平气流速度等高线分布较为稀疏,风速随高度增加变化较为平稳;而生长季的水平风速等高线在植株高度以下时分布较密集,植株高度0.34 m以上的等高线分布变的较为平缓,风速在植株高度以下变化剧烈。随着高度升高,气流速度变化逐渐平稳。
图6 植株周围水平风速分布云图

注:入口处绿色为风速减速区;橙、红色为风速加速区;蓝色区域为回流区;株后到出口处绿色区域为风速恢复区。下同。

Fig. 6 Cloud map of horizontal velocity distribution around plants

随着流场的发展,近地表气流遭遇第一排植株,由于琵琶柴的阻碍作用,气流被挤压抬升,在琵琶柴迎风侧气流速度略有增加。从图6a可以看出,气流速度在第一排琵琶柴上方变化幅度较大,速度增长较快;而在图6b中,尽管生长季琵琶柴上方气流变化剧烈,但增长幅度较小,植株对风速的削弱较为明显。由于第一排植株的阻挡,株后气流速度恢复缓慢,遇到第二排植株后,气流速度再次下降,因此形成回流区,在此区域气流速度较低,沙粒易沉积。气流经第二排琵琶柴抬升,在植株上方气流速度缓慢增长,随后减速,并在第二排植株背风侧形成另一段回流区;在第二排植株背风侧0.5~1 m处,由于远离植株,气流速度开始恢复。风沙经植株的两次阻挡作用,气流的动能大幅降低,沙粒分别在第一排琵琶柴,两排琵琶柴之间以及第二排琵琶柴背风侧大量沉积。
双排植株的布设改变了风沙流场的分布规律,携带沙粒的气流在遇到植株时动能大幅降低。当气流遇到第一排植株时,风速在植株的作用下显著降低,沙粒在第一排琵琶柴迎风侧大量沉积;当气流越过第一排植株后,由于第二排植株的阻碍,速度方向发生变化,与初始风速方向相反,并在两排植株之间及第二排植株的背风侧产生回流区,气流经过双排植株的削弱后,动能进一步降低,因此沙粒在此区域沉积。

2.3 琵琶柴植株周围气流速度分布特征

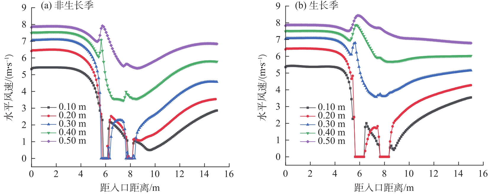
由于气流在经过植株后速度明显降低,沙粒易沉降,因此植物治沙已成为当前最主流的治沙方式之一。本文模拟中,规定入口沿程方向为正方向,并从模拟结果中依次选取高度为0.1 m、0.2 m、0.3 m、0.4 m、0.5 m处的风速绘制水平速度沿程分布图(图7)。植株所在位置的风速为0。如图7a所示,5个不同高度的气流均受到不同程度的扰动,整体水平气流速度变化曲线均呈“W”型。当气流进入流场,速度逐渐增大。遭遇第一排琵琶柴后,风速明显减弱,其中高度0.1 m、0.2 m和0.3 m处风速由5 m·s-1、6.5 m·s-1和7 m·s-1降至2.69 m·s-1、2.91 m·s-1、3.93 m·s-1,随后在两排植株之间小幅度回升,风速分别涨至2.16 m·s-1、2.52 m·s-1和2.17 m·s-1。遇到第二排植株后,风速再次下降,之后0.2 m和0.3 m处气流速度迅速增长并趋于稳定,而0.1 m处风速先增大后减小,随后再增大,且均低于入口初始风速。0.4 m和0.5 m高度处的气流速度保持一致,并呈缓慢下降趋势。在经过第一排植株前,0.4 m和0.5 m处的气流速度略有下降,经过植株抬升气流后速度增大,越过植株后速度保持稳定并小幅减小。随后在第二排植株上方气流速度再次增大后减小,风速变化恢复为对数分布。图7b所示,在生长季琵琶柴流场内,植株高度0.34 m以下气流速度变化规律与非生长季琵琶柴基本一致。距地面高度0.4 m与0.5 m处的气流速度变化曲线呈“N”型,说明风沙流在经过第二排植株后保持下降趋势。在不同高度下的风速变化曲线经时间发展最后趋近于同一个值。
图7 琵琶柴水平气流速度沿程变化曲线

Fig. 7 R. soongorica horizontal airflow velocity variation curve along the path

通过对比图7a图7b可以看出,非生长季琵琶柴在气流经过植株的阻碍作用后,气流在流场内得到充分发展,最后风速变化恢复为对数分布;而在生长季琵琶柴流场内气流充分发展后,风速趋于一个相近的值。综上所述,生长季琵琶柴株后气流恢复较慢,风速降低幅度更大,因此具有更好的防风效果。
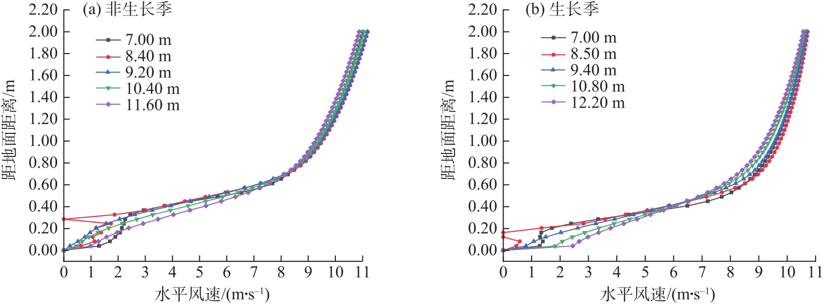
本文选取了5个竖向截面,分别在两植株中间、株后1 H、4 H、8 H、12 H处提取竖直方向的气流速度,绘制两种生长季琵琶柴的水平速度沿高度的分布图(图8),在两种生长季琵琶柴的株后1 H处,均出现了速度为0的点,这对应植株模型所在的位置,因此不考虑该处速度的突变。两种生长季琵琶柴的流场内风速整体变化随高度增加而增大。7 m处竖直截面位于两植株间,气流速度在0.3 m高度以下迅速增加,其中非生长季琵琶柴在0.1~0.3 m高度处,气流速度从1.32 m·s-1缓慢增加到2.32 m·s-1;相比之下,生长季琵琶柴在7 m截面处的气流速度在距地面高度0.05~0.2 m处速度基本保持不变。随后在0.2 m以上缓慢增加,恢复为对数分布变化。两种生长季琵琶柴在0.3 m高度以上,气流速度最大可达7.1 m·s-1,变化幅度较大,但在0.6 m高度以上逐渐减小。综上所述,气流速度随着高度的增加先增大后减小,分界点为0.3 m和0.6 m处。0.3 m以下速度变化快、幅度大,0.3~0.6 m变化较为平稳,0.6 m以上气流速度基本不受植株影响并恢复为对数分布。因此,植株的防护高度为0.6 m,但0.3~0.6 m气流速度大幅增加的问题需要引起注意。
图8 琵琶柴水平气流速度沿高度变化曲线

Fig. 8 R. soongorica horizontal airflow velocity variation curve along the height

表2可知,在初始风速为6 m·s-1的情况下,琵琶柴流场内植株高度0.35 m以下的风速均小于初始风速的30%,而在植株高度0.35~0.8 m,风沙流受到植株的影响有所减弱,大风残余系数也并未恢复为1。由此可见,在6 m·s-1风速下,生长季琵琶柴在对植株高度0.34 m以下具有较好的防风效能。当高度升高到一定值时,琵琶柴植株的防风效能有所下降,但仍能降低风速。当初始风速为15 m·s-1时,植株高度0.34 m以下对风速削弱程度均大于90%,显示出优良的防风效能;在距地面高度0.35~0.6 m,琵琶柴对风速降低程度仍大于70%,直至高度达到0.8 m时,双排生长季琵琶柴对风速的削弱才明显下降,但仍具备一定的削弱效果。
表2 两种风速下大风残余系数

Tab. 2 High wind residual coefficient under two wind speeds /%

风速/(m·s-1 高度(H)/m
0.05 0.15 0.25 0.30 0.35 0.45 0.60 0.80
6 5.62 12.46 25.65 29.75 39.02 53.21 71.89 88.34
10 2.45 0.56 4.13 7.54 12.44 27.18 55.29 83.03
综上所述,在强风天气下,生长季琵琶柴对距地面高度0.5 m以下区域具有良好的降低风速效果;在两倍植株高度以下,琵琶柴仍能提供较好的防护效果。

2.4 琵琶柴植株周围积沙特征

风为沙粒的运动提供能量,风速是影响沙粒运动的关键因素。气流在经过植株时速度降低,风沙流携带的动能随之减小,因此沙粒会发生沉积。此外,沙粒在遭到植株阻碍时也容易产生堆积。为了探究沙粒沉积与风速随时间发展的变化关系,本文模拟了两种生长季琵琶柴植株后的积沙情况,并对比了时间T=1 s以及T=20 s的积沙云图。从图9中可以看出,随着时间的推移,气流速度逐渐降低,沙粒随之沉积,沉积量逐渐增大并趋于稳定。在两种生长季的流场中,早期的积沙变化规律基本一致。在T=1 s时,沙粒进入流场,在入口至距入口5 m处之间形成少量积沙,并在第一排植株前形成积沙。由于第一排植株大幅削弱了气流速度,风沙流的能量重新分配,沙粒的动能转化为重力势能,因此第二排植株前的积沙量远远小于第一排植株前的积沙量,这与前文的结果一致。当T=20 s时,无论是在生长季还是非生长季,第二排植株后都出现了大量沙粒沉积。非生长季的沙粒主要沉积在1~3.5 m处,而生长季的沙粒则主要积聚在第二排植株附近。
图9 非生长季琵琶柴积沙云图

Fig. 9 Dune accumulation cloud map of R. soongorica during the non-growing season

综上,当风沙流遇到植株时,风速发生显著变化。当运动时间较短、气流速度未充分发展的情况下,风沙流在第一排植株处受到阻碍,气流速度大幅下降,降至起沙风速以下,沙粒沉积。但随着时间的增加,风速加大,即使植株对风沙流有削弱作用,但由于风速大于起沙风速,风沙流处于非饱和状态,少部分沙粒遇阻沉降,大部分沙粒仍随风继续运动。此时,在第二排植株处风速再次被削减,大量沙粒沉积。同时,由于第二排植株背风侧受到回流气流的影响,有小部分沙粒沉积。对比图9图10可知,非生长季琵琶柴株后积沙分布范围较广,主要分部在株后1~3.5 m,积沙高度为0.05~0.12 m;而生长季琵琶柴的沙粒主要堆积在两植株间以及第二排植株前后,堆积高度在0.05~0.1 m。
图10 生长季琵琶柴积沙云图

Fig. 10 Dune accumulation cloud map of R. soongorica during the growing season

3 讨论

关于风沙灾害的成因以及影响土壤可蚀性因子的研究和试验已有大量积累,学者们主要关注风场、地表条件以及植被覆盖情况的影响[21]。由于研究区内影响风蚀的各项因子在不受外力条件下保持稳定状态,增加流场内的植被覆盖率可增强土壤抗风蚀能力,植株特殊的构型也可有效遏制风沙灾害的发生,因此植物治沙已成为当前最有效的防风固沙最为有效的手段之一[22-24]
本文通过Fluent对琵琶柴进行数值模拟,双排琵琶柴的设置显著改变了风沙流场的分布,形成了减速区、加速区、回流区和恢复区。受琵琶柴特殊的植株构型影响,在植株迎风侧与背风侧形成回流区,回流区的涡流强度影响着积沙分布。这一发现与李正农等[25]在研究树木在强风作用下的防风效果时得出的结论相一致。进一步分析发现,由于不同生长季琵琶柴的形态差异,其防风阻沙的效果也不相同[26-27]。生长季琵琶柴因枝叶和枝条的密度更大,在植株高度1 H以下,风速变化剧烈,沙粒沉积量显著增大;在1~2 H之间,风速逐渐恢复,沙粒沉积量减小。相比之下,非生长季琵琶柴仅对植株高度1 H以下的风速产生影响。郑义津等[28]以豆瓣黄杨苗(Buxus sinica)为试验对象,通过风洞试验模拟了沙尘暴条件下的风沙流特性,结果表明在树冠层高度范围(0.2~1 H),沙粒浓度会显著降低。与本文研究结果相同。分析两种生长季琵琶柴风速特征曲线,非生长季琵琶柴的沿程风速曲线均呈“W”型,而生长季琵琶柴在植株高度1 H以下,风速曲线为“W”型,1~1.5 H高度风速曲线为“N”型,这种差异主要是由于生长季琵琶柴具有更高的防护高度,相较于非生长季,其在2 H高度以下的风速恢复更慢,且风速变化更为平稳,这与上文讨论结果相一致。综上所述,生长季琵琶柴的防风效果更为显著,其植株结构对风速的调节作用更为有效,有助于在更大高度范围内降低风速。
不同物候期的植物冠幅大小、冠层结构、枝叶密度以及地上生物量的差异使得其阻沙能力也不相同[29]。基于不同生长季琵琶柴的植株构型不同,本文对生长季和非生长季琵琶柴的模型高度、冠幅以及疏透度等基本参数进行差异化设置。生长季琵琶柴具有较高的高度、冠幅以及较小的疏透度,非生长季琵琶柴的设置则与之相反。研究显示,非生长季琵琶柴沙粒主要沉积在第二排植株后1~3.5 m处,积沙高度为0.05~0.12 m;而生长季的沙粒主要积聚在第二排植株附近,堆积高度在0.05~0.1 m。这表明生长季琵琶柴的阻沙能力要大于非生长季,这与张奕[30]在研究不同株型植株的阻沙效能时所得到的结果相吻合。
本文模拟结果表明,各项数据与现有的风洞试验结果基本一致[31],验证了数值模拟方法的可靠性。当前对于风沙运动的数值模拟研究多为高大树木、沙障、草方格以及挡墙[32-33],铺设费时费力且维修成本高,生态经济效益较低,本文选取经济种植作物琵琶柴作为研究对象(图11),具有良好的饲用价值与药用价值[34-35],能够更好的结合当地情况进行种植。
图11 琵琶柴积沙灌丛

Fig. 11 R. soongorica sand-dune shrubland

4 结论

本文以琵琶柴为研究对象,利用Fluent进行数值模拟,计算气流经过琵琶柴后的流场特征和积沙分布,得到如下结论:
(1) 琵琶柴周围的流场分为减速区、加速区、回流区和恢复区,在两植株间及株后存在两个涡流。生长季琵琶柴的风速沿程分布曲线在0.3 m高度以下呈“W”型,而0.4 m和0.5 m处为“N”型,风速恢复较慢,变化较为平稳;而非生长季琵琶柴风速曲线则均为“W”型,株后风速恢复快且变化剧烈。
(2) 琵琶柴具有较好的疏密度,因此具有良好的防风效果,其防风效率随高度增加呈降低趋势。生长季琵琶柴在植株0.3 m高度以下,风速迅速降低,而非生长季琵琶柴的风速变化较平稳。生长季琵琶柴的防护高度为两倍植株高度,0.3 m高度以下风速降幅达94.5%;0.6 m以上风速恢复为对数分布,相比之下,非生长季琵琶柴防护高度仅为0.3 m。
(3) 生长季琵琶柴的生物量大,植株间相互作用强,从而在植株附近形成较高的沙堆;而非生长季琵琶柴生物量减少,积沙分布更分散。靠近植株的涡流为低速涡流,集中在植株高度以下。生长季琵琶柴的沙粒主要在植株间及第二排前后堆积,堆积高度在0.05~0.1 m;而非生长季株后积沙范围较广,分布在株后1~3.5 m。
(4) 双排琵琶柴具有良好的阻沙效果。非生长季琵琶柴和生长季琵琶柴的流场内气流经充分发展,植株前后沉积的沙粒会不断增加,并在当前风速值下达到稳定状态。
[1]
吴正. 风沙地貌学[M]. 北京: 科学出版社, 1987: 156.

[Wu Zheng. Windblown Sand Geomorphology[M]. Beijing: Science Press, 1987: 156. ]

[2]
王涛, 朱震达, 赵哈林. 我国沙漠化研究的若干问题——4. 沙漠化的防治战略与途径[J]. 中国沙漠, 2004, 24(2): 115-123.

[Wang Tao, Zhu Zhenda, Zhao Halin. Study on sandy desertification in China 4. strategy and approach for combating sandy desertification[J]. Journal of Desert Research, 2004, 24(2): 115-123. ]

[3]
Bagnold R A. Journeys in the Libyan Desert, 1929 and 1930[J]. Geographical Journal, 1931, 78: 13-39, 524.

[4]
牛丹妮, 马瑞, 刘虎俊, 等. 不同种植点配置的梭梭林防风效应的风洞试验[J]. 北京林业大学学报, 2023, 45(7): 76-87.

[Niu Danni, Ma Rui, Liu Hujun, et al. Wind tunnel test on the windproof effect of Haloxylon ammodendron forests with different planting site configurations[J]. Journal of Beijing Forestry University, 2023, 45(7): 76-87. ]

[5]
程锋梅, 李生宇, 郑伟, 等. 3类典型株型草本植物对沙面风蚀抑制作用的研究[J]. 干旱区研究, 2022, 39(5): 1526-1533.

DOI

[Cheng Fengmei, Li Shengyu, Zheng Wei, et al. Study on wind erosion inhibition of three typical herbaceous plants on sand surface[J]. Arid Zone Research, 2022, 39(5): 1526-1533. ]

DOI

[6]
来风兵. 塔克拉玛干西部别里库姆沙漠胡杨沙堆的空间格局及Fluent流场模拟[D]. 西安: 陕西师范大学, 2017.

[Lai Fengbing. Spatial Pattern and Fluent Flow Field Simulation of Populus euphratica Sand Pile in the Berikum Desert of Western Taklamakan[D]. Xi’an: Shaanxi Normal University, 2017. ]

[7]
薄天利, 郑晓静. 防沙栅栏风洞实验的数值模拟[J]. 兰州大学学报(自然科学版), 2005, 41(5): 97-101.

[Bo Tianli, Zheng Xiaojing. Numerical simulation on sand fence in wind tunnel experiment[J]. Journal of Lanzhou University (Natural Sciences), 2005, 41(5): 97-101. ]

[8]
陈柏羽, 程建军, 李生宇. 新疆S214省道高立式芦苇沙障合理间距分析[J]. 干旱区研究, 2020, 37(3): 782-789.

[Chen Baiyu, Cheng Jianjun, Li Shengyu. Reasonable spacing of high-parallel reed sand barriers along the Xinjiang S214 provincial highway[J]. Arid Zone Research, 2020, 37(3): 782-789. ]

[9]
马茂华, 孔令韶. 新疆呼图壁绿洲外缘的琵琶柴生物生态学特性研究[J]. 植物生态学报, 1998, 22(3): 46-53.

[Ma Maohua, Kong Lingshao. The bioecological charcteristics of Reaumuria soongorica on the border of oasis at Hutubi, Xinjiang[J]. Chinese Journal of Plant Ecology, 1998, 22(3): 46-53. ]

[10]
闫宇, 郭强, 党晓宏, 等. 西鄂尔多斯地区四合木与红砂灌丛的阻沙能力对比研究[J]. 水土保持通报, 2024, 44(2): 137-145, 154.

[Yan Yu, Guo Qiang, Dang Xiaohong, et al. Comparative study on sand-blocking ability of Tetraena mongolica and Reaumuria soongorica shrubs in west ordos area[J]. Bulletin of Soil and Water Conservation, 2024, 44(2): 137-145, 154. ]

[11]
杨洁, 单立山, 苏铭, 等. 降水量和生长方式对红砂和珍珠根系形态特征的影响研究[J]. 草地学报, 2021, 29(5): 936-945.

DOI

[Yang Jie, Shan Lishan, Su Ming, et al. Effects of precipitation and growth pattern on root morphological characteristics of two arid land plant species[J]. Acta Agrestia Sinica, 2021, 29(5): 936-945. ]

DOI

[12]
王振伟. 三北防护林工程中灌木林作用及发展对策[J]. 林业勘查设计, 2023, 52(2): 32-35.

[Wang Zhenwei. Role and development strategies of shrubbery in the Three-North Shelterbelt Project[J]. Forest Investigation Design, 2023, 52(2): 32-35. ]

[13]
阿力木·依明, 木合塔尔·艾买提, 朱敏. 近二十年喀什地区植被覆盖的时空变化与影响因素分析[J]. 北方园艺, 2023(4): 60-70.

[Alimu Yiming, Muhetar Aimaiti, Zhu Min. Spatio-temporal variations of vegetation cover and influencing factors in Kashi region from recent 20 years[J]. Northern Horticulture, 2023(4): 60-70. ]

[14]
刘金苗, 李菊艳, 尹忠东, 等. 干枯骆驼刺对风沙流场影响的数值模拟研究[J]. 干旱区研究, 2022, 39(5): 1514-1525.

DOI

[Liu Jinmiao, Li Juyan, Yin Zhongdong, et al. Numerical simulation study on the influence of dry Alhagi camelorum on the wind-sand flow field[J]. Arid Zone Research, 2022, 39(5): 1514-1525. ]

DOI

[15]
黄培祐, 聂湘萍, 周建民, 等. 准噶尔盆地中部琵琶柴(Reaumuria soongorica)群落的生境研究[J]. 新疆大学学报(自然科学版), 1988, 14(3): 66-71.

[Huang Peiyou, Nie Xiangping, Zhou Jianmin, et al. Study on the habitat of Reaumuria soongorica community in Junggar Basin[J]. Journal of Xinjiang University (Natural Science Edition), 1988, 14(3): 66-71. ]

[16]
贾光普, 左合君, 王海兵, 等. 高立式尼龙网沙障周围风沙运动特性的数值模拟与试验[J]. 农业工程学报, 2020, 36(18): 109-117.

[Jia Guangpu, Zuo Hejun, Wang Haibing, et al. Numerical simulation and experiment of wind-sand movement characteristics around high vertical nylon mesh sand barriers[J]. Transactions of the Chinese Society of Agricultural Engineering, 2020, 36(18): 109-117. ]

[17]
江丽娟, 马高生. 新月形沙丘表面流场的数值模拟[J]. 兰州大学学报(自然科学版), 2010, 46(1): 48-52, 58.

[Jiang Lijuan, Ma Gaosheng. Numerical modeling of flow over on isolated barchan dune[J]. Journal of Lanzhou University (Natural Science Edition), 2010, 46(1): 48-52, 58. ]

[18]
郝晓杰, 熊治文, 蒋富强, 等. 青藏铁路不同防沙栅栏的布设位置研究[J]. 铁道标准设计, 2012, 56(4): 16-20.

[Hao Xiaojie, Xiong Zhiwen, Jiang Fuqiang, et al. Research on the positions of various kinds of sand barriers in Qinghai-Tibet Railway[J]. Railway Standard Design, 2012, 56(4): 16-20. ]

[19]
武生智, 刘楠, 薄天利. 沙漠公路近壁流场的风洞实验和数值模拟[J]. 兰州大学学报(自然科学版), 2008, 44(4): 27-34.

[Wu Shengzhi, Liu Nan, Bo Tianli. Numerical simulation and wind tunnel experiment of flow fields near the highways[J]. Journal of Lanzhou University (Natural Sciences), 2008, 44(4): 27-34. ]

[20]
王露. 乌兰布和沙漠典型单株灌木防风阻沙效益研究[D]. 北京: 北京林业大学, 2019.

[Wang Lu. Study on the Benefits of Sand and Sand Resistance of Single Shrub in Ulan Buh Desert[D]. Beijing: Beijing Forestry University, 2019. ]

[21]
屈建军, 凌裕泉, 刘宝军, 等. 我国风沙防治工程研究现状及发展趋势[J]. 地球科学进展, 2019, 34(3): 225-231.

DOI

[Qu Jianjun, Ling Yuquan, Liu Baojun, et al. The research status and development trends of wind-sandengineering in China[J]. Advances in Earth Science, 2019, 34(3): 225-231. ]

DOI

[22]
张正偲, 董治宝. 风沙地貌形态动力学研究进展[J]. 地球科学进展, 2014, 29(6): 734-747.

DOI

[Zhang Zhengcai, Dong Zhibao. Research progress on aeolian geomorphology and morphodynamics[J]. Advances in Earth Science, 2014, 29(6): 734-747. ]

DOI

[23]
倪晋仁, 李振山. 风沙两相流理论及其应用[M]. 北京: 科学出版社, 2006: 89.

[Ni Jinren, Li Zhenshan. Theory and Application of Wind Sand Two-phase Flow[M]. Beijing: Science Press, 2006: 89. ]

[24]
Dong Z B, Wang H T, Liu X P, et al. The blown sand flux over a sandy surface: A wind tunnel investigation on the fetch effect[J]. Geomorphology, 2004, 57: 117.

[25]
李正农, 余世斌, 吴红华, 等. 强风作用下树木周围流场的数值模拟研究[J]. 中南大学学报(自然科学版), 2021, 52(11): 3970-3980.

[Li Zhengnong, Yu Shibin, Wu Honghua, et al. Numerical simulation of flow field around the tree in strong wind[J]. Journal of Central South University (Science and Technology), 2021, 52(11): 3970-3980. ]

[26]
闫晴, 李菊艳, 尹忠东, 等. 典型株型沙生灌丛对风沙流场影响的数值模拟[J]. 干旱区研究, 2023, 40(5): 785-797.

DOI

[Yan Qing, Li Juyan, Yin Zhongdong, et al. Numerical simulation of the influence of typical shrub types onwind-sand flow field[J]. Arid Zone Research, 2023, 40(5): 785-797. ]

DOI

[27]
Cheng Jianjun, Lei Jiaqiang, Li Shengyu, et al. Disturbance of the inclined inserting-type sand fence to wind-sand flow fields and its sand control characteristics[J]. Aeolian Research, 2016, 21: 139.

[28]
郑义津, 李正农, 涂文戈, 等. 树木对风沙流场影响的风洞试验研究[J]. 自然灾害学报, 2020, 29(6): 107-116.

[Zheng Yijin, Li Zhengnong, Tu Wenge, et al. Wind tunnel experiments on the influence of trees on wind-sand flow field[J]. Journal of Natural Disasters, 2020, 29(6): 107-116. ]

[29]
唐艳, 刘连友, 屈志强, 等. 植物阻沙能力研究进展[J]. 中国沙漠, 2011, 31(1): 43-48.

[Tang Yan, Liu Lianyou, Qu Zhiqiang, et al. Research review of capacity of plant for trapping blown sand[J]. Journal of Desert Research, 2011, 31(1): 43-48. ]

[30]
张奕. 乌兰布和沙区典型灌木的防风阻沙效益[D]. 北京: 北京林业大学, 2021.

[Zhang Yi. Wind Prevention and Sand Resistance of Typical Shrubs in Ulan Buh Desert[D]. Beijing: Beijing Forestry University, 2021. ]

[31]
肖锋军, 董治宝, 郭烈锦, 等. 风沙流中跃移沙粒冲击速度和角度联合概率分布风洞实验[J]. 中国沙漠, 2020, 40(3): 127-134.

DOI

[Xiao Fengjun, Dong Zhibao, Guo Liejin, et al. Experimental study on the joint probability distribution of impacting speed and angle of saltating sand grains in a wind tunnel[J]. Journal of Desert Research, 2020, 40(3): 127-134. ]

DOI

[32]
董光荣, 邹桂香, 李长治, 等. 巴盟河套西部防沙林带防风阻沙效益的初步观测——以磴口县坝楞公社为例[J]. 中国沙漠, 1983, 3(1): 13-23.

[Dong Guangrong, Zou Guixiang, Li Changzhi, et al. Preliminary observation on the effiency of the wind-preventing and sand-resisting forest belt in the western part of the Great of Huanghe River——Taking Baleng Commune Dengkou County as an example[J]. Journal of Desert Research, 1983, 3(1): 13-23. ]

[33]
邹本功, 丛自立, 刘世建. 沙坡头地区风沙流的基本特征及其防治效应的初步观测[J]. 中国沙漠, 1981, 1(1): 37-43.

[Zou Bengong, Cong Zili, Liu Shijian. A preliminary observation of the basic characteristics of sand-carrying and the effects of the measure in its prevention and control[J]. Journal of Desert Research, 1981, 1(1): 37-43. ]

[34]
李正春, 刘守仁, 缪礼维, 等. 新疆石河子饲用植物志[M]. 新疆: 新疆人民出版社, 1990: 272.

[Li Zhengchun, Liu Shouren, Miao Liwei, et al. Xinjiang Shihezi Forage Plants Record[M]. Xinjiang: Xinjiang People’s Publishing House, 1990: 272. ]

[35]
赵多明, 赵倩云, 胡生新, 等. 甘肃民勤连古城国家级自然保护区柽柳科、十字花科药用植物源资源研究[J]. 甘肃科技, 2017, 33(21): 131-133.

[Zhao Duoming, Zhao Qianyun, Hu Shengxin, et al. Study on the medicinal plant resources of Tamaricaceae and Cruciferae in the Liancheng Ancient City National Nature Reserve in Minqin, Gansu[J]. Gansu Science and Technology, 2017, 33(21): 131-133. ]

文章导航

/