农业生态

基于多光谱影像的阿拉尔垦区棉田土壤盐分反演

  • 洪国军 , 1, 2, 3 ,
  • 谢俊博 4 ,
  • 张灵 1 ,
  • 范振岐 2, 3 ,
  • 喻彩丽 5 ,
  • 付仙兵 1 ,
  • 李旭 , 2, 3
展开
  • 1.江西科技学院江西省区域发展研究院,江西 南昌 330200
  • 2.塔里木大学信息工程学院,新疆 阿拉尔 843300
  • 3.塔里木大学塔里木绿洲农业教育部重点实验室,新疆 阿拉尔 843300
  • 4.塔里木大学水利与建筑工程学院,新疆 阿拉尔 843300
  • 5.汕尾职业技术学院海洋学院,广东 汕尾 516600
李旭. E-mail:

洪国军(1995-),男,硕士研究生,主要从事空间大数据管理与智慧农业研究. E-mail:

收稿日期: 2023-10-26

  修回日期: 2023-12-27

  网络出版日期: 2024-06-20

基金资助

国家自然基金地区基金(61662064)

国家自然基金地区基金(42061046)

Monitoring soil salinization of cotton fields in the Aral Reclamation Area using multispectral imaging

  • HONG Guojun , 1, 2, 3 ,
  • XIE Junbo 4 ,
  • ZHANG Ling 1 ,
  • FAN Zhenqi 2, 3 ,
  • YU Caili 5 ,
  • FU Xianbing 1 ,
  • LI Xu , 2, 3
Expand
  • 1. Jiangxi University of Science and Technology Jiangxi Provincial Institute of Regional Development, Nanchang 330200, Jiangxi, China
  • 2. School of Information Engineering, Tarim University, Alar 843300, Xinjiang, China
  • 3. Key Laboratory of Tarim Oasis Agricultural Ministry of Education, Tarim University, Alar 843300, Xinjiang, China
  • 4. College of Water Resources and Architectural Engineering, Tarim University, Alar 843300, Xinjiang, China
  • 5. College of Ocean of Shanwei Institute of Technology, Shanwei 516600, Guangdong, China

Received date: 2023-10-26

  Revised date: 2023-12-27

  Online published: 2024-06-20

摘要

针对新疆土壤盐分信息获取困难,无法快速、准确的大范围评估土壤盐渍化情况,本研究以新疆阿拉尔垦区的棉田为研究对象,利用Sentinel-2 SR和Landsat-9 OLI的多光谱遥感影像数据,采用穷举特征组合和交叉验证方法,从20个光谱指数和组合光谱指数构建的高维数据集中筛选出最优特征子集,并比较四种机器学习模型(即XGBoost、随机森林、深度神经网络和K-近邻)在不同特征组合下的土壤盐渍化反演精度,同时分析Sentinel-2 SR和Landsat-9 OLI遥感影像在土壤盐渍化反演中的精度差异。研究结果表明:(1) 基于XGBoost算法构建的模型能够实现棉田盐渍化高精度预测,不同特征组合的R2均高于0.74,MSE均低于0.04,MAPE低于0.13。(2) 在特征组合1条件下,Sentinel-2 SR(S3+GBNDVI)与Landsat-9 OLI(SI+NDVI)遥感影像使用XGBoost算法均获得了最高预测精度。(3) Sentinel-2 SR影像数据在棉田盐渍化预测中的精度(R2=0.73~0.88)优于Landsat-9 OLI影像数据。本研究实现了新疆阿拉尔垦区棉田土壤盐渍化精准监测,为垦区棉田土壤盐渍化治理和防治提供有效的技术参考。

本文引用格式

洪国军 , 谢俊博 , 张灵 , 范振岐 , 喻彩丽 , 付仙兵 , 李旭 . 基于多光谱影像的阿拉尔垦区棉田土壤盐分反演[J]. 干旱区研究, 2024 , 41(5) : 894 -904 . DOI: 10.13866/j.azr.2024.05.16

Abstract

Given the difficulties in the field measurement of soil salinization in Xinjiang and the difficulty in quickly and broadly evaluating the potential hazards of soil salinization, this study considers cotton fields in the Aral Reclamation Area of Xinjiang as the research object, and uses multispectral remote sensing image data from Sentinel-2 SR and Landsat-9 OLI to construct a high-dimensional data set by comprehensively integrating 20 spectral indices and combining spectral indices. The optimal feature subset is screened using the method of exhaustive feature combination and cross-validation, and the inversion accuracy of soil salinization is compared for four machine learning algorithms (i.e., XGBoost, random forest, deep neural network, and K-nearest neighbor) under different feature combinations. Simultaneously, the difference in accuracy between Sentinel-2 SR and Landsat-9 OLI remote sensing images in soil salinization inversion is analyzed. The results show that: (1) The model constructed based on XGBoost algorithm can achieve high-precision prediction of cotton field salinization, with R2 higher than 0.74, MSE lower than 0.04, and MAPE lower than 0.13. (2) Under the condition of feature combination 1, Sentinel-2 SR (S3+GBNDVI) and Landsat-9 OLI (SI+NDVI) remote sensing images achieved the highest prediction accuracy using XGBoost algorithm. (3) Sentinel-2 SR image data in cotton field salinization prediction (R2=0.73-0.88) is better than that of Landsat-9 OLI image data. This study realizes the precise monitoring of soil salinization in cotton fields in the Aral Reclamation Area of Xinjiang, which should provide an effective and timely technical reference for soil salinization control and prevention in cotton fields in reclamation areas.

土壤盐渍化是由自然环境和人类活动共同引发的全球性土地退化问题,对农业发展和生态稳定构成严重威胁[1-2]。在新疆南部阿拉尔垦区,这一问题尤为突出。尽管节水灌溉技术减少了农用水消耗,但次生盐渍化问题却日趋严重。因此,快速、准确地获取土壤盐碱化空间分布信息对于阿拉尔垦区的土地持续利用和农业有效管理至关重要[3-5]。然而,传统的实验室测试方法在区域尺度上监测难度大、成本高、效率低,难以实现大规模土壤盐分监测[6]。在过去二十年里,遥感影像已被证明能够有效地从表面特征实时监测土壤盐分变化[7]。杜瑞麒等[8]利用Sentinel-2卫星同步获取光谱数据,构建以NDVI和表层土壤含水率为分支标准的类别决策树,将土壤样本划分为不同类别,以此分别构建土壤盐分反演模型,并评估反演效果。Abuelgasim等[9]利用Landsat 8 OLI卫星影像数据的近红外和短波红外光谱信息,开发了一个土壤盐碱指数,发现新开发的指数在绘制和识别高盐土壤和过度高盐土壤方面优于其他指数。
作为人工智能的一个分支,机器学习通过自我学习获取新知识并不断提高自身性能。Wu等[10]比较了支持向量回归(SVR)和随机森林回归(RFR)算法的土壤盐分预测精度,得出RFR相较于SVR在具有更高的准确性和较小的标准化均方根误差,因此,建议在土壤盐碱化映射中使用RFR算法。Wang等[11]利用Sentinel-2多光谱成像仪(MSI)数据和MSI派生的协变量与测得的土壤盐度数据结合,应用三种机器学习算法进行建模,以估算和绘制研究样本区域的土壤盐度。Wang等[12]在干旱的埃比努尔湖湿地国家自然保护区收集了64个表层土壤样本,比较Landsat-8 OLI和Sentinel-2 MSI之间的监测准确性,研究结果表明,测得的土壤盐度与表层土壤湿度呈显著相关,与OLI数据集相比,MSI数据集与Cubist模型的结合产生了更好的整体模型性能和准确性指标,Landsat-8 OLI和Sentinel-2 MSI之间的差异是可辨识的,MSI数据高的时间重访频率和细致的光谱分辨率对获取沙漠土壤高质量土壤盐度信息产生积极的增强效果。
然而,关于Landsat-8 OLI和Sentinel-2 MSI之间土壤盐碱度跟踪的详细比较研究仍然有限,为此,本文利用Sentinel-2 SR和Landsat-9 OLI遥感影像对新疆阿拉尔垦区棉田土壤盐渍化进行遥感监测,利用Google Earth Engine (GEE)云平台中的Sentinel-2 SR和Landsat-9 OLI多光谱数据,与野外实测的棉田土壤电导率值进行组合筛选,采用不同的最优组合方式和不同的建模方法构建不同的棉田土壤盐渍化估算模型,通过对比分析不同特征组合的R2、MSE和MAPE,寻找最优的阿拉尔垦区棉田土壤盐渍化估算模型,以期应用遥感反演技术,实现快速、准确和非破坏性的对阿拉尔垦区棉田土壤盐渍化的监测。研究成果不仅可以为新疆阿拉尔垦区棉田的精准灌溉提供理论基础,同时也为该区域的盐渍化防治提供重要的技术支撑。

1 数据与方法

1.1 研究区概况

阿拉尔垦区(80°30′~81°58′E,40°22′~40°57′N)位于塔克拉玛干沙漠和天山山脉的交汇过渡地带,傍依塔里木河,内有9个团场和胜利水库等三大水库,总面积为4197.58 km2图1)。垦区内野生木本植物以胡杨、红柳为主,主要经济农作物包括棉花、小麦、辣椒、水稻、香梨等,其中棉花种植区域最大,分布区域最广。垦区属暖温带大陆性干旱荒漠气候,年均降水量约为40.1~82.5 mm,降水稀少,年均蒸发量为1876.6~2558.9 mm,蒸发强烈,年均气温为10.7 ℃,潜在蒸发量超过年平均降水量,进一步加剧了盐渍化过程,在自然因素和人类活动的双重影响下,阿拉尔垦区的盐渍化严重危害了当地的生态环境、农业生产和人类生活。
图1 研究区域概况

注:底图采用自然资源部标准地图制作,审图号为GS(2019)3333号,对底图边界无修改。下同

Fig. 1 Overview of the study area

1.2 数据获取及处理

1.2.1 多光谱影像的获取与预处理

本研究使用的Sentinel-2 SR与Landsat-9 OLI遥感影像数据来自谷歌地球引擎(GEE)云计算平台,Sentinel-2 SR和Landsat-9 OLI图像的空间分辨率分别为10 m与30 m,选取2022年7月17日至7月22日并且云覆盖率低于15%遥感影像,对影像进行裁剪和预处理。为避免建筑物、水稻、小麦、沙漠、树木等非研究区的干扰,本文采用GEE中的支持向量机(SVM)监督分类方法,利用训练样本训练出一个分类器,用该分类器对遥感影像进行分类,得到土壤盐渍化的分类图。使用验证样本对分类结果进行评估,计算出总体精度、生产者精度、用户精度和Kappa系数等指标,以反映分类的准确性和可靠性。导出分类结果,将分类图以矢量或栅格的格式导出,最终准确的提取棉田种植区域,排除研究区内其他类型地物的影响。

1.2.2 棉田土壤电导率的地面实测数据

样本采集时间为2022年7月17日至7月22日,使用五点采样法采集106个0~15 cm表层土壤样本点(图2a),使用华测S8手持GPS仪记录所有样本点的GPS坐标。土壤样本在实验室条件下自然晾干一个月,通过0.15 mm筛孔除去植物根系和石子,使用100 mL蒸馏水和土壤样品构建5:1的水土比溶液,充分搅拌后静置12 h过滤,采用上海科佑DDS-11A电导仪完成土壤电导率的测定。参考王遵亲等[13]干旱区土壤盐渍化分级指标按土壤盐渍化等级标准对应的土壤电导率值进行盐渍化等级划分[14]:非盐渍土<2 mS·cm-1;轻度盐渍土含盐量2~4 mS·cm-1;中度盐渍土含盐量4~8 mS·cm-1;重度盐渍土含盐量8~16 mS·cm-1;盐土含盐量>16 mS·cm-1。通过对实测值的分析,发现当土层深度为0~15 cm时,土壤盐分的平均值和中值分别为1.28和1.24 mS·cm-1,说明研究区多为非、轻度盐渍土区域。结果体现出一定的本地特征,土壤盐分空间分布特征见图2b
图2 采样点和阿拉尔垦区实测土壤盐分空间分布

Fig. 2 Sampling points and spatial distribution of soil salinity in Alar Reclamation Area

1.3 筛选最优子集

1.3.1 计算光谱指数

在本研究中,基于Sentinel-2 SR和Landsat-9 OLI影像分别计算了20个光谱指数:盐分指数(SI、SI1、SI2、SI3)、盐渍化指数(S1、S2、S3、S5)、冠层响应盐指数(CRSI)、修改型土壤调整植被指数(MSAVI)、归一化植被指数(NDVI)、比值植被指数(RVI)、差值植被指数(DVI)、绿光归一化差值植被指数(GNDVI)、增强植被指数(EVI)、优化土壤调节植被指数(OSAVI)、土壤调节型植被指数(SAVI)、归一化差异水分指数(NDWI)、绿-蓝波段归一化差值植被指数(GBNDVI)、绿-红波段归一化差值植被指数(GRNDVI)。如表1所示。
表1 光谱指数的表达式

Tab. 1 Expression of the spectral index

光谱指数 表达式 参考文献
SI b 2 × b 4 [15]
SI1 b 3 × b 4 [16]
SI2 [ ( b 2 ) 2 + ( b 3 ) 2 + ( b 8 ) 2 ] 2 [17]
SI3 ( b 2 ) 2 + ( b 3 ) 2 [18]
S1 b 2 / b 4 [19]
S2 ( b 2 - b 4 ) / ( b 2 + b 4 ) [20]
S3 ( b 3 × b 4 ) / b 2 [19-20]
S5 ( b 2 × b 4 ) / b 3 [19-20]
CRSI [ ( b 8 × b 4 ) - ( b 4 × b 3 ) ] / [ ( b 8 × b 4 ) + ( b 4 × b 3 ) ] [19-20]
MSAVI ( 2 × b 8 - 1 ) - [ ( 2 × b 8 + 1 ) 2 - 8 × ( b 8 - b 4 ) ] / 2 [21-22]
NDVI ( b 8 - b 4 ) / ( b 8 + b 4 ) [23-30]
RVI b 8 / b 4 [26]
DVI b 8 - b 4 [27]
GNDVI ( b 8 - b 3 ) / ( b 8 + b 3 ) [27-29]
EVI ( 1.5 × b 8 - 1.5 × b 4 ) / ( b 8 + 6 × b 4 - 7.5 × b 2 + 1 ) [30]
OSAVI ( b 8 - b 4 ) / ( b 8 + b 4 + 0.16 ) [31]
SAVI ( b 8 - b 4 ) × 1.5 / ( b 8 + b 4 + 0.5 ) [31-32]
NDWI ( b 8 - b 11 ) / ( b 8 + b 11 ) [33]
GBNDVI ( b 8 - b 3 - b 2 ) / ( b 8 + b 3 + b 2 ) [34]
GRNDVI ( b 8 - b 3 - b 4 ) / ( b 8 + b 3 + b 4 ) [27]

注:b2、b3、b4、b8、b11分别为蓝、绿、红、近红外、短波红外波段。

1.3.2 获取最优组合

本研究针对初始数据特征多、高度线性相关以及数据冗余等问题,使用树模型对所有特征进行评估,通过特征重要性评分机制来淘汰得分最低的非关键特征,采用穷举法对剩余特征进行组合穷举,结合五折交叉验证评估每一组特征的性能,交叉验证阶段采用树模型,因为特征间不仅存在线性关系,还存在非线性关联。每一组特征的验证集评分均值用于排序。最终,选择了Sentinel-2 SR与Landsat-9 OLI遥感影像中评分均值最高的前三个特征组合作为最优特征子集。具体结果如下表2所示。
表2 模型的组合

Tab. 2 Modeling combination

遥感影像 特征选择 相关性(R2 组合
Sentinel-2 SR S3, GBNDVI 0.93 组合1
S3, GBNDVI, MSAVI, SI1 0.91 组合2
S3, EVI, GBNDVI, MSAVI 0.90 组合3
Landsat-9 OLI SI, NDVI 0.87 组合1
SI, SI3, NDVI 0.85 组合2
SI, NDVI, GRNDVI 0.84 组合3

1.4 模型构建

将采集的106个样本数据分为两部分,其中70%作为训练集,剩余30%为验证集,在PyCharm中应用KNN、DNN、RF、XGBoost模型预测不同组合及不同算法下的棉田土壤电导率值。土壤电导率预测值为因变量,Sentinel-2 SR和Landsat-9 OLI的最优子集组合(表2)为自变量。

1.4.1 KNN算法

K近邻(KNN)算法,作为一种用于分类和回归问题的非参数算法,其核心在于利用距离度量来预测未知数据点的属性[35]。在此算法中,n_neighbors参数决定了预测时考虑的邻近样本数量,对模型性能影响显著。较小的n_neighbors值可能导致对噪声敏感和过拟合风险增加,而较大的值则可能增加计算成本并简化模型,降低预测能力。本研究通过5折交叉验证确定n_neighbors的最优值为5,实现模型预测精度与计算效率的平衡,并优化泛化能力。

1.4.2 DNN算法

本研究构建的深度神经网络(DNN)算法旨在处理低维特征数据[36]。该算法由三个全连接层组成,分别包含8个、16个、8个神经元,并使用ReLU激活函数。此外,算法集成了一个单层网络,包含8个神经元。两网络输出在末端合并后,通过一个8神经元的单层网络进行回归预测。为提升性能并预防过拟合,模型训练采用批次大小为32,学习率为0.001,使用Adam优化器,损失函数为均方误差(MSE),并设定100轮训练迭代,并引入了早停策略。

1.4.3 RF算法

随机森林作为一种集成学习方法,通过结合多个决策树增强模型性能[20]。利用自助采样和随机特征选择生成决策树,旨在通过提升树的多样性来减少模型方差和过拟合风险。本研究中,随机森林配置80棵树,每次分裂考虑7个随机特征,节点最小样本数设为10,以提升模型的鲁棒性和适应性。

1.4.4 XGBoost算法

XGBoost(XGB)为极端梯度提升算法,通过逐步加入基于树的弱学习器减少预测误差[26]。算法在树构建过程中选择最优特征分割点,并结合梯度下降及正则化优化模型参数,有效防止过拟合。预测时,算法基于叶节点的加权和输出最终预测。本研究中XGB配置为:nrounds=50,max_depth=2,eta=0.11,以确保高准确度和泛化能力。

1.5 模型验证

本研究基于不同模型(XGB、RF、DNN和KNN)对土壤盐渍化的训练精度和验证精度进行评价,并使用确定系数(R2)、均方根误差(MSE)和平均绝对百分误差(MAPE)三个指标来评估模型的准确性。

2 结果与分析

2.1 不同组合差异性分析

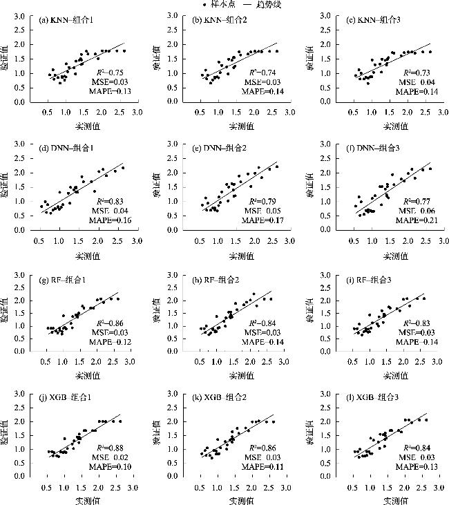
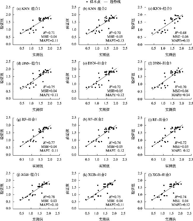
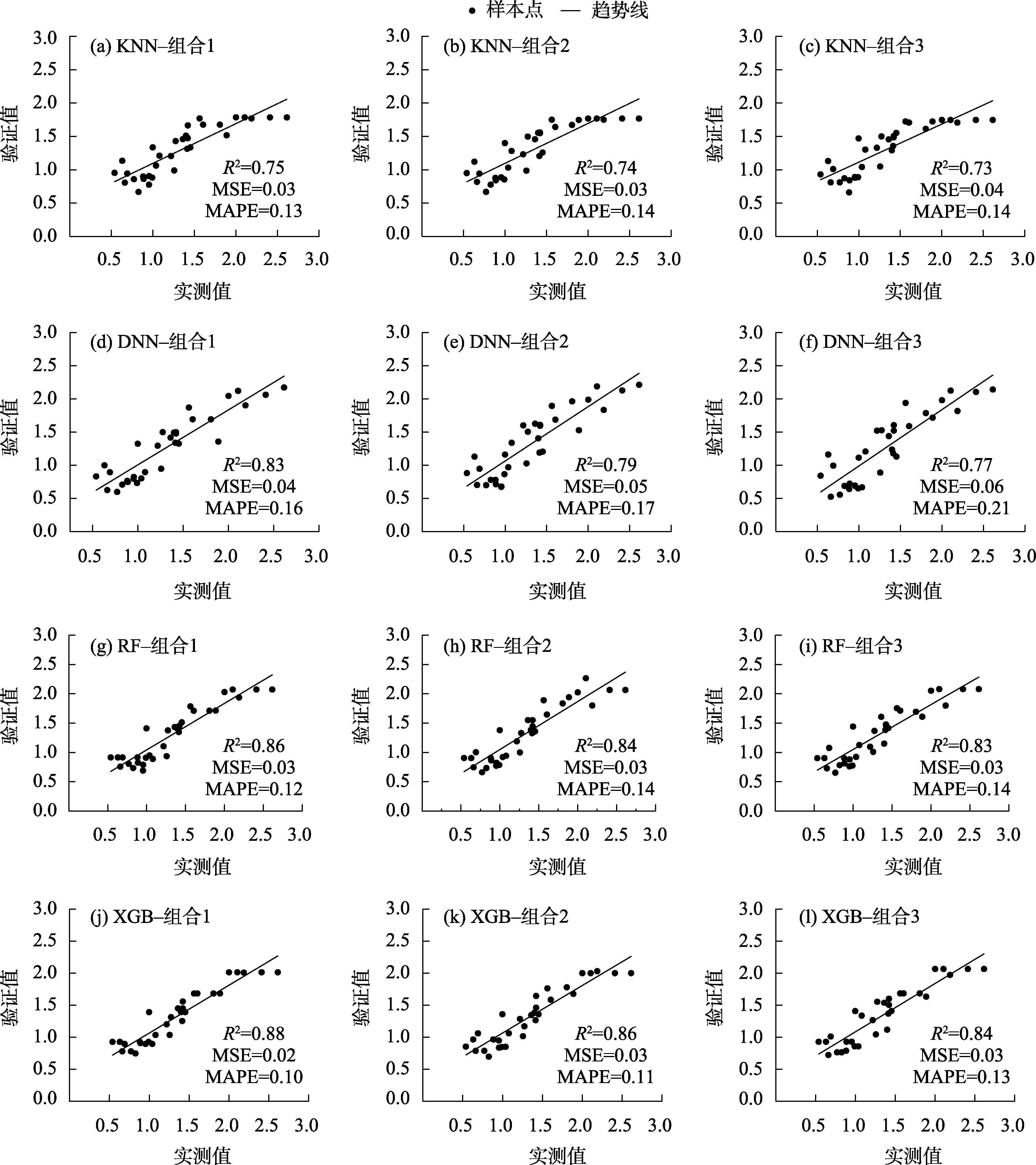
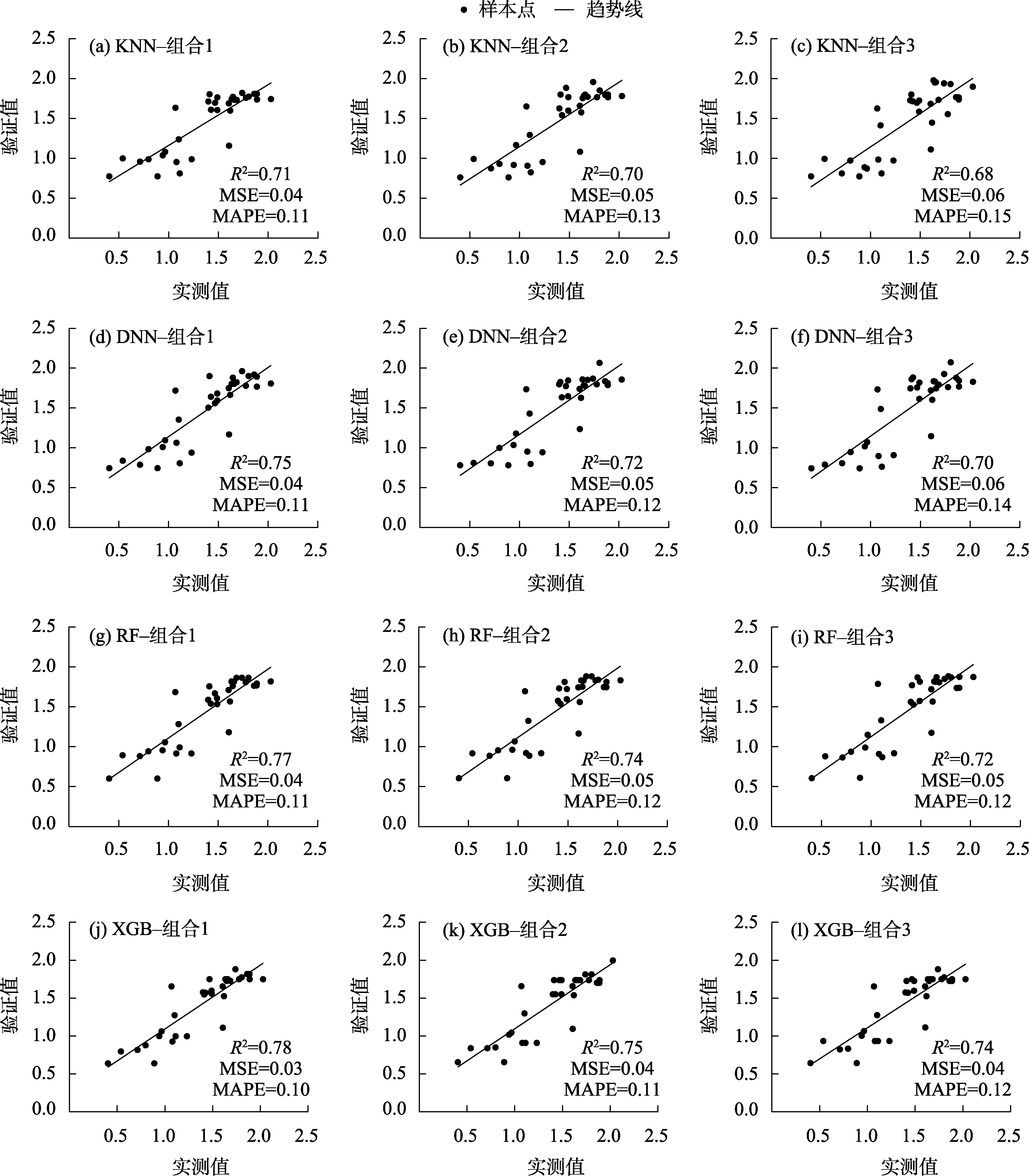
根据上述分析结果,选择光谱指数与土壤电导率评分前三的最优组合,分别与KNN、DNN、RF和XGB建立土壤电导率估算模型,模型训练结果如表3表4所示。在特征组合1条件下(S3+GBNDVI),Sentinel-2 SR遥感影像使用XGB模型获得了最高预测精度,其训练集的R2为0.92,MSE为0.02,MAPE为0.09。而当数据源为Landsat-9 OLI遥感影像时,组合1、组合2、和组合3均在使用XGB模型的情况下获得了最好的预测结果,XGB模型在3种组合下训练集的R2为0.85、0.84和0.82,MSE值则对应0.03、0.03和0.04,MAPE值相应为0.10、0.11、0.11。通过综合对比分析R2值、MSE和MAPE值,发现两种数据源在不同模型和不同特征组合的情况下,均能获得良好的预测精度,但当数据源为Sentinel-2 SR遥感影像,组合光谱指数为S3和GBNDVI时,采用XGB模型构建的土壤电导率获得最好的训练结果,实测值和预测值之间存在较强的相关性。由图3图4可知,四种反演模型精度验证集决定系数R2由大到小依次为XGB、RF、DNN、KNN,XGB模型的R2最大,且MSE和MAPE最小,说明在所有选取的模型中,XGB模型学习能力最强,土壤盐渍反演精度得到有效提高,与其他机器学习模型相比,该模型在土壤含盐量反演上具有更高的拟合度和更小的误差。为了更好的反演阿拉尔垦区棉田土壤盐渍化情况,本研究选择最优特征组合1,利用两种不同数据源,四种不同的模型,结合空间插值,寻找最佳的阿拉尔垦区棉田土壤含盐量反演模型。
表3 基于Sentinel-2 SR影像不同模型的电导率训练分析

Tab. 3 Analysis of conductivity training based on different models of Sentinel-2 SR images

数据源 模型 机器学习模
型评价指标
组合1 组合2 组合3
Sentinel-2 SR KNN R2 0.80 0.78 0.78
MSE 0.04 0.04 0.04
MAPE 0.15 0.16 0.16
RF R2 0.90 0.87 0.87
MSE 0.02 0.02 0.03
MAPE 0.10 0.10 0.11
DNN R2 0.85 0.84 0.82
MSE 0.03 0.03 0.03
MAPE 0.12 0.14 0.16
XGB R2 0.92 0.90 0.88
MSE 0.02 0.02 0.02
MAPE 0.09 0.09 0.010
表4 基于Landsat-9 OLI影像不同模型的电导率训练分析

Tab. 4 Analysis of conductivity training based on different models of Landsat-9 OLI images

数据源 模型 机器学习模
型评价指标
组合1 组合2 组合3
Landsat-9 OLI KNN R2 0.77 0.76 0.72
MSE 0.04 0.04 0.05
MAPE 0.15 0.15 0.16
RF R2 0.82 0.81 0.78
MSE 0.03 0.04 0.04
MAPE 0.11 0.12 0.11
DNN R2 0.81 0.80 0.76
MSE 0.04 0.04 0.05
MAPE 0.14 0.15 0.16
XGB R2 0.85 0.84 0.82
MSE 0.03 0.03 0.04
MAPE 0.10 0.11 0.11
图3 基于Sentinel-2 SR影像不同模型的电导率验证集模型分析

Fig. 3 Analysis of conductivity validation set models based on different models of Sentinel-2 SR images

图4 基于Landsat-9 OLI影像不同模型的电导率验证集模型分析

Fig. 4 Analysis of conductivity validation set models based on different models of Landsat-9 OLI images

2.2 反演结果差异性分析

图2图5图6分析可知,空间插值与遥感反演的土壤类型均以非盐渍土为主,零星分布着轻度盐渍土,空间插值的轻度盐渍土主要集中分布在垦区东北方向,这与垦区东北方向远离水库,紧邻荒地密切相关,而在KNN-S2-1反演图中,垦区呈现大面积非盐渍区域,与实际情况不符,而在DNN-S2-1、RF-S2-1、XGB-S2-1三种反演图中,垦区内主要分布着非盐渍土类型,轻度盐渍土类型零散分布,这与空间插值结果相符。XGB-S2-1模型相比DNN-S2-1和RF-S2-1模型,其优异性体现在对垦区北部的精确反演,其反演结果也更贴近空间插值。相比于Sentinel-2 SR,采用Landsat-9 OLI遥感影像和四种模型并没有取得良好的反演结果,其不能很好的将轻度盐渍土的结果反演出来,这与其较大的分辨率有关,由三者时空分布特征对比可知,尽管空间插值与遥感反演模型的土壤含盐量空间分布规律大致相同,但空间插值的数据表现太过绝对,而遥感反演模型的各级土壤盐渍化面积分布更加符合实际情况。
图5 基于Sentinel-2 SR影像不同模型下阿拉尔垦区棉田盐渍化土壤空间反演

Fig. 5 Spatial inversion of saline soil in cotton fields of Alar Reclamation Area based on different models of Sentinel-2 SR images

图6 基于Landsat-9 OLI影像不同模型阿拉尔垦区棉田盐渍化土壤空间反演

Fig. 6 Spatial inversion map of saline soil in cotton fields of Alar Reclamation Area based on different models of Landsat-9 OLI images

3 讨论

3.1 不同机器学习模型和数据源差异性

利用Sentinel-2 SR和Landsat-9 OLI两种不同的数据源,以及四种机器学习模型KNN、DNN、RF和XGB,对建模集中70%的样本构建了训练集,并利用剩余的30%样本对模型进行了验证。评价指标分析,利用最优光谱组合和机器学习模型来估算棉田土壤电导率对阿拉尔垦区棉田盐渍化的监测是可行的,这充分说明机器学习能够在多个光谱指数中筛选出与土壤电导率具有高度相关的光谱组合,由此构建的多个机器学习模型能够很好的反演垦区土壤盐渍化情况,但不同的数据源,不同的组合方式,以及不同的机器模型得出的结果存在较大差异,尤其当数据源为Landsat-9 OLI时,四种机器学习模型均不能很好的反演出垦区轻度盐渍土区域,当数据源为Sentinel-2 SR时,尽管四种模型可以很好区分垦区非盐渍土和轻度盐渍土,但与空间插值结果存在一定差异。综合比较后,与马世龙等人的研究结论一致,XGB模型在土壤盐渍化的研究中表现最佳[26]。这与XGB模型能通过限制最大深度和添加正则项来控制决策树的复杂性,从而避免过拟合密切相关,此外,本研究使用的三种不同评价指标R2、MSE和MAP,它们之间存在一定的不一致性,因此,后续研究会引入其他评估指标,如MAE或RMSLE,以便进行更全面的评价。

3.2 多模型与多源遥感数据分析阿拉尔垦区棉田土壤盐渍化

本研究基于Sentinel-2 SR和Landsat-9 OLI遥感影像,采用了KNN、DNN、RF和XGB 四种机器学习模型,对阿拉尔垦区棉田土壤盐渍化程度进行了深入反演分析。研究发现,与冯娟等[19]的研究结果相一致,高分辨率的遥感影像在土壤盐渍化评估中的应用,相较于中等分辨率影像,能更真实、准确地反映地表情况,展现出更高的评估优势。研究结果揭示,阿拉尔垦区棉田的主要土壤类型为非盐渍区,这一现象与该区灌溉方法密切相关。研究结果表明,阿拉尔垦区的棉田土壤类型主要为非盐渍区域,这与当地灌溉方式密切相连,漫灌方式下,灌水量及灌水强度比较大,0~40 cm土层土壤脱盐效果比较明显,滴灌则会使得地下水位下降,从而使得土壤盐渍化程度得以减轻。然而,对于轻微盐渍化区域,不同的机器学习模型得出了不同的结果。这种差异可能是因为各模型的算法特性和假设基础有所不同而导致,同一机器学习模型在不同的遥感数据(Sentinel-2 SR和Landsat-9 OLI)下也得出了不同的结论,这是因为不同的遥感数据具有不同的分辨率、光谱特性、时间点和覆盖范围,这些因素会影响模型的输出结果。值得注意的是,土壤盐渍化是一个复杂的现象,可能受到多种因素(如土壤类型、气候、灌溉方式等)的影响,这增加了模型预测的复杂性和不确定性,为了进一步提升模型的精度和准确率,未来的研究可以考虑增加更多的机器学习或深度学习模型,或者探索模型融合的方法。同时,进行实地验证和样品分析将提供更有力的证据来支持当前的遥感分析结果。

3.3 阿拉尔垦区棉田土壤盐渍化时空反演精度的趋势分析

采用XGB算法对阿拉尔垦区2019年和2022年棉田种植区域的土壤盐渍化分布情况进行统计分析,由图7可知,在棉田种植区域增加了167.99 km2的情况下,非盐渍化和轻度盐渍化面积也分别增加了94.94 km2和73.05 km2,其中增加的非盐渍化区域零散分布在阿拉尔垦区内,增加的轻度盐渍化区域主要集中在9团与10团的交汇处,以及12团靠近塔里木河流域东部区域。通过走访调查发现,观察到阿拉尔垦区在2019—2022年期间棉田种植面积确实有所增加。这一增长主要受到棉花经济价值从2019—2021年末持续上升的影响,促使当地农户于2022年将新增开垦的荒地及转作自其他经济作物的土地改为棉花种植区。这一现象明显表明,棉花的经济价值与其种植面积的扩张之间存在直接的正相关关系。
图7 2019—2022年阿拉尔垦区土壤盐渍化动态变化

Fig. 7 Dynamic changes of soil salinization in Aral Reclamation Area from 2019 to 2022

4 结论

本研究以中国阿拉尔垦区的棉田为研究区,通过野外采集的土壤盐分数据以及Sentinel-2 SR和Landsat-9 OLI两种遥感影像数据,细致比较了不同特征组合方式和建模策略在棉田土壤盐渍化估算模型上的效能差异,通过分析不同特征组合的R2、MSE和MAPE值发现:
(1) 在使用Sentinel-2 SR影像数据对土壤盐渍化预测的研究中,结合XGB、KNN、DNN和RF这四种机器学习模型。发现在特征组合一(S3+GBNDVI)应用下,XGB模型相比于KNN、DNN和RF模型,展现了更为显著的预测精度。其训练集的决定系数(R2)达到0.92,均方误差(MSE)降低至0.02,平均绝对百分比误差(MAPE)减少至0.09,这些指标不仅表明XGB模型在相同条件下展现了极高的预测精度,也证实了其在精确捕捉和反映土壤盐渍化细微变化方面的敏锐性。
(2) 在本研究中,当基于Sentinel-2 SR的遥感影像数据,采用XGB模型对土壤盐渍化程度进行预测时,不同特征组合均展现了较好的预测效果。具体表现在R2值范围为0.82~0.85,MSE值分别稳定在0.03~0.04,MAPE值则保持在0.10~0.11之间。这一结果相较于使用Landsat-9 OLI数据源时的预测性能表现更加优异,从而证明了在使用XGB模型进行土壤盐渍化研究预测时,Sentinel-2 SR影像数据在特定特征组合下具有更高的准确度和可靠性。
[1]
黄晶, 孔亚丽, 徐青山, 等. 盐渍土壤特征及改良措施研究进展[J]. 土壤, 2022, 54(1): 18-23.

[Huang Jing, Kong Yali, Xu Qingshan, et al. Progress for characteristics and amelioration measures of saline soil[J]. Soils, 2022, 54(1): 18-23.]

[2]
杨劲松, 姚荣江, 王相平, 等. 中国盐渍土研究: 历程、现状与展望[J]. 土壤学报, 2022, 59(1): 10-27.

[Yang Jingsong, Yao Rongjiang, Wang Xiangping, et al. Research on salt-affected soils in China: History, Status Quo and Prospect[J]. Acta Pedologica Sinica, 2022, 59(1): 10-27.]

[3]
Xiao Y, Zhao G, Li T, et al. Soil salinization of cultivated land in Shandong Province, China-Dynamics during the past 40 years[J]. Land Degradation & Development, 2019, 30(4): 426-436.

[4]
Li J, Pu L, Han M, et al. Soil salinization research in China: Advances and prospects[J]. Journal of Geographical Sciences, 2014, 24(5): 943-960.

[5]
Li P, Wu J, Qian H. Regulation of secondary soil salinization in semi-arid regions: A simulation research in the Nanshantaizi area along the Silk Road, Northwest China[J]. Environmental Earth Sciences, 2016, 75: 1-12.

[6]
Stavi I, Thevs N, Priori S. Soil salinity and sodicity in drylands: A review of causes, effects, monitoring, and restoration measures[J]. Frontiers in Environmental Science, 2021, 330: 712831.

[7]
Fan J, Xu Y, Ge H, et al. Vegetation growth variation in relation to topography in Horqin Sandy Land[J]. Ecological Indicators, 2020, 113: 106215.

[8]
杜瑞麒, 陈俊英, 张智韬, 等. Sentinel-2 多光谱卫星遥感反演植被覆盖下的土壤盐分变化[J]. 农业工程学报, 2021, 37(17): 107-115.

[Du Ruiqi, Chen Junying, Zhang Zhitao, et al. Inversing soil salinity under vegetation cover using Sentinel-2 multispectral satellite remote sensing[J]. Transactions of the Chinese Society of Agricultural Engineering, 2021, 37(17): 107-115.]

[9]
Abuelgasim A, Ammad R. Mapping soil salinity in arid and semi-arid regions using Landsat 8 OLI satellite data[J]. Remote Sensing Applications: Society and Environment, 2018, 13: 415-425.

[10]
Wu W, Zucca C, Muhaimeed A S, et al. Soil salinity prediction and mapping by machine learning regression in Central Mesopotamia, Iraq[J]. Land Degradation & Development, 2018, 29(11): 4005-4014.

[11]
Wang J, Peng J, Li H, et al. soil salinity mapping using machine learning algorithms with the Sentinel-2 MSI in Arid Areas, China[J]. Remote Sensing, 2021, 13: 305.

[12]
Wang S, Chen Y, Wang M, et al. Performance comparison of machine learning algorithms for estimating the soil salinity of salt-affected soil using field spectral data[J]. Remote Sensing, 2018, 11(22): 2605.

[13]
王遵亲, 祝寿泉, 尤文瑞, 等. 中国盐渍土[M]. 北京: 科学出版社, 1993.

[Wang Zunqin, Zhu Shouquan, You Wenrui, et al. Saline Soil in China[M]. Beijing: Science Press, 1993.]

[14]
Staff U S S, Diagnosis and improvement of saline and alkali soils[J]. Agriculture Handbook, 1954, 60: 83-100.

[15]
Tamiminia H, Salehi B, Mahdianpari M, et al. Google Earth Engine for geo-big data applications: A meta-analysis and systematic review[J]. ISPRS Journal of Photogrammetry Remote Sensing, 2020, 164: 152-170.

[16]
陈俊英, 王新涛, 张智韬, 等. 基于无人机-卫星遥感升尺度的土壤盐渍化监测方法[J]. 农业机械学报, 2019, 50(12):161-169.

[Chen Junying, Wang Xintao, Zhang Zhitao, et al. Soil salinization monitoring method based on UAV-Satellite remote sensing scale-up[J]. Transactions of the Chinese Society for Agricultural Machinery, 2019, 50(12): 161-169.]

[17]
刘旭辉, 白云岗, 柴仲平, 等. 基于多光谱遥感的典型绿洲棉田春季土壤盐分反演及验证[J]. 干旱区地理, 2022, 45(4): 1165-1175.

[Liu Xuhui, Bai Yungang, Chai Zhongping, et al. Inversion and validation of soil salinity based on multispectral remote sensing in typical oasis cotton field in spring[J]. Arid Land Geography, 2022, 45(4): 1165-1175.]

[18]
张术伟, 常春艳, 王卓然, 等. 基于卫星遥感的黄三角濒海区土壤水盐及其耦合关系时空分析[J]. 农业资源与环境学报, 2023, 40(4): 792-804.

[Zhang Shuwei, Chang Chunyan, Wang Zhuoran, et al. Spatio-temporal analysis of soil water and salt and their coupling relationship in the Yellow River Delta coastal area based on satellite remote sensing[J]. Journal of Agricultural Resources and Environment, 2023, 40(4): 792-804.]

[19]
冯娟, 丁建丽, 杨爱霞, 等. 干旱区土壤盐渍化信息遥感建模[J]. 干旱地区农业研究, 2018, 36(1): 266-273.

[Feng Juan, Ding Jianli, Yang Aixia, et al. Remote sensing modeling of soil salinization information in arid areas[J]. Agricultural Research in the Arid Areas, 2018, 36(1): 266-273.]

[20]
黄晓宇, 王雪梅, 卡吾恰提·白山. 基于Landsat8 OLI影像干旱区绿洲土壤含盐量反演[J]. 自然资源遥感, 2023, 35(1): 189-197.

[Huang Xiaoyu, Wang Xuemei, Kawuqiati Baishan, et al, Inversion of soil salinity of an oasis in an arid area based on Landsat8 OLI images[J]. Remote Sensing for Natural Resources, 2023, 35(1): 189-197.]

[21]
姚金玺, 肖成志, 张志, 等. 基于GEE多源遥感数据的干旱区植被地物类型提取[J]. 干旱区研究, 2024, 41(1): 157-168.

[Yao Jinxi, Xiao Chengzhi, Zhang Zhi, et al. Vegetation feature type extraction in arid regions based on GEE multi-source remote sensing data[J]. Arid Zone Research, 2024, 41(1): 157-168.]

[22]
Guo B, Lu M, Fan Y, et al. A novel remote sensing monitoring index of salinization based on three-dimensional feature space model and its application in the Yellow River Delta of China[J]. Geomatics, Natural Hazards and Risk, 2023, 14(1): 95-116.

[23]
代云豪, 管瑶, 张钦凯, 等. 阿拉尔垦区土壤盐渍化遥感监测及时空特征分析[J]. 干旱区地理, 2022, 45(4): 1176-1185.

[Dai Yunhao, Guan Yao, Zhang Qinkai, et al, Remote sensing monitoring and temporal and spatial characteristics of soil salinization in Aral Reclamation Area[J]. Arid Land Geography, 2022, 45(4): 1176-1185.]

[24]
马浩文, 王永芳, 郭恩亮. 基于GEE的翁牛特旗土地沙漠化遥感监测[J]. 干旱区研究, 2023, 40(3): 504-516.

[Ma Haowen, Wang Yongfang, Guo Enliang. Remote sensing monitoring of aeolian desertification in Ongniud Banner based on GEE[J]. Arid Land Geography, 2023, 40(3): 504-516.]

[25]
谢俊博, 王兴鹏, 何帅, 等. 基于光谱指数建模的沙井子灌区土壤盐分反演[J]. 干旱区地理, [2024-02-05]. http://kns.cnki.net/kcms/detail/65.1103.X.20240202.1806.002.html.

[Xie Junbo, Wang Xingpeng, He Shuai, et al. Soil salinity inversion in the Shajingzi irrigation scheme based on spectral index modeling[J]. Arid Land Geography, [2024-02-05]. http://kns.cnki.net/kcms/detail/65.1103.X.20240202.1806.002.html.]

[26]
LMa S, He B, Xie B, et al. Investigation of the spatial and temporal variation of soil salinity using Google Earth Engine: A case study at Werigan-Kuqa Oasis, West China[J]. Scientific Reports, 2023, 13(1): 2754.

[27]
Hong G, Bai T, Wang X, et al. Extraction and analysis of soil salinization information in an Alar Reclamation Area based on spectral index modeling[J]. Applied Sciences, 2023, 13(6): 3440.

[28]
Moltó E. Fusion of different image sources for improved monitoring of agricultural plots[J]. Sensors, 2022, 22(17): 6642.

[29]
朱大运, 熊康宁, 肖华, 等. 基于植被指数的GF-1与Landsat-OLI石漠化识别能力对比评价[J]. 自然资源学报, 2016, 31(11): 1949-1957.

[Zhu Dayun, Xiong Kangning, Xiao Hua, et al, Comparison of rocky desertification detection ability of GF-1 and Landsat-OLI based on vegetation index[J]. Journal of Natural Resources, 2016, 31(11): 1949-1957.]

[30]
Lobell D B, Lesch S M, Corwin D L, et al. Regional-scale assessment of soil salinity in the Red River Valley using multi-year MODIS EVI and NDVI[J]. Journal of Environmental Quality, 2010, 39(1): 35-41.

[31]
李小雨, 贾科利, 魏慧敏, 等. 基于随机森林算法的土壤含盐量预测[J]. 干旱区研究, 2023, 40(8): 1258-1267.

[Li Xiaoyu, Jia Keli, Wei Huimin, et al, Prediction of soil salt content based on the random forest algorithm[J]. Arid Land Geography, 2023, 40(8): 1258-1267.]

[32]
李霞, 刘廷玺, 段利民, 等. 半干旱区沙丘、草甸作物系数模拟及蒸散发估算[J]. 干旱区研究, 2020, 37(5):1246-1255.

[Li Xia, Liu Tingxi, Duan Limin, et al, Crop coefficient simulation and evapotranspiration estimation of dune and meadow in a semiarid area[J]. 2020, 37(5): 1246-1255.]

[33]
Gao B C. NDWI—A normalized difference water index for remote sensing of vegetation liquid water from space[J]. Remote Sensing of Environment, 1996, 58(3): 257-266.

[34]
Zhao X, Zhao Z, Zhao F, et al. An estimation of the leaf nitrogen content of apple tree canopies based on multispectral unmanned aerial vehicle imagery and machine learning methods[J]. Agronomy, 2024, 14(3): 552.

[35]
Naimi S, Ayoubi S, Zeraatpisheh M, et al. Ground observations and environmental covariates integration for mapping of soil salinity: a machine learning-based approach[J]. Remote Sensing, 2021, 13(23): 4825.

[36]
Taşan M, Taşan S, Demir Y. Estimation and uncertainty analysis of groundwater quality parameters in a coastal aquifer under seawater intrusion: a comparative study of deep learning and classic machine learning methods[J]. Environmental Science and Pollution Research, 2023, 30(2): 2866-2890.

文章导航

/