植物生态

西北干旱区藓类结皮覆盖下土壤多功能性特征及影响因子

  • 雷菲亚 , 1, 2 ,
  • 李小双 1 ,
  • 陶冶 3 ,
  • 尹本丰 3 ,
  • 荣晓莹 3 ,
  • 张静 3 ,
  • 陆永兴 3 ,
  • 郭星 3 ,
  • 周晓兵 , 3 ,
  • 张元明 3
展开
  • 1.中国科学院新疆生态与地理研究所,新疆抗逆植物基因资源保育与利用重点实验室,新疆 乌鲁木齐 830011
  • 2.中国科学院大学,北京 100049
  • 3.中国科学院新疆生态与地理研究所,荒漠与绿洲生态国家重点实验室,新疆 乌鲁木齐 830011
周晓兵. E-mail:

雷菲亚(1997-),女,硕士研究生,主要从事干旱区极端环境对藓类结皮的影响. E-mail:

收稿日期: 2024-02-06

  修回日期: 2024-03-17

  网络出版日期: 2024-06-20

基金资助

新疆天山英才项目(2022TSYCCX0001)

新疆天山英才项目(2022TSYCLJ0058)

国家自然科学基金(U2003214)

国家自然科学基金(42377358)

Characterization of soil multifunctionality and its determining factors under moss crust cover in the arid regions of Northwest China

  • LEI Feiya , 1, 2 ,
  • LI Xiaoshuang 1 ,
  • TAO Ye 3 ,
  • YIN Benfeng 3 ,
  • RONG Xiaoying 3 ,
  • ZHANG Jing 3 ,
  • LU Yongxing 3 ,
  • GUO Xing 3 ,
  • ZHOU Xiaobing , 3 ,
  • ZHANG Yuanming 3
Expand
  • 1. Xinjiang Key Laboratory of Stress Tolerance Plant Resources Conservation and Resistance Giene Utilization, Xinjiang Institute of Ecology and Geography, Chinese Academy of Sciences, Urumqi 830011, Xinjiang, China
  • 2. University of Chinese Academy of Sciences, Beijing 100049, China
  • 3. State Key Laboratory of Desert and Oasis Ecology, Xinjiang Institute of Ecology and Geography, Chinese Academy of Sciences, Urumqi 830011, Xinjiang, China

Received date: 2024-02-06

  Revised date: 2024-03-17

  Online published: 2024-06-20

摘要

生物土壤结皮是由干旱区重要的活性地被物组成,可显著影响地表土壤的物质循环与能量交换,改善表层土壤的物理、化学和生物学性质,从而影响土壤多功能性(Soil Multifunctionality,SMF)。藓类结皮是生物土壤结皮的重要类型之一,本研究旨在探究西北干旱区荒漠藓类结皮覆盖下土壤与裸沙的SMF差异性,探究两者SMF变化的主要驱动因素。通过分析土壤的8个干旱区关键生态系统功能指标,运用平均值法和因子分析法计算SMF,运用最小二乘回归分析和结构方程模型(SEM)等探究SMF变化的主要驱动因素。研究发现:(1) 藓类结皮覆盖下土壤的单一和多功能性显著高于裸沙。(2) 裸沙和藓类结皮覆盖下SMF变化的驱动要素具有差异性,裸沙SMF的主要驱动因素为干旱(Aridity)和土壤含水量(SWC),而藓类结皮覆盖下SMF驱动要素为土壤砂粒含量。(3) 年均温(MAT)对裸沙和藓结皮覆盖土壤SMF的变化均呈现最大的间接效应。因此,藓类结皮发育显著增加了荒漠土壤SMF,同时也调节SMF的相关驱动因素。以上研究结果对深入理解荒漠裸沙和结皮覆盖下SMF的差异性及驱动因素具有重要意义。

本文引用格式

雷菲亚 , 李小双 , 陶冶 , 尹本丰 , 荣晓莹 , 张静 , 陆永兴 , 郭星 , 周晓兵 , 张元明 . 西北干旱区藓类结皮覆盖下土壤多功能性特征及影响因子[J]. 干旱区研究, 2024 , 41(5) : 812 -820 . DOI: 10.13866/j.azr.2024.05.09

Abstract

Biological soil crusts (BSCs) are the main active groundcover community in arid regions. BSCs can significantly affect the material cycle and energy exchange, improve the physical, chemical, and biological properties of surface soil, and influence the soil multifunctionality (SMF). Moss crust is an important type of BSCs. This study investigates the SMF variability of moss crust-covered and bare sand in the deserts of northwestern arid regions, and explored the main drivers of the variability. We analyzed eight crucial ecosystem function indicators. SMF was calculated by applying the mean method and factor analysis approach. We used the ordinary least square and structural equation modeling to explore the drivers of SMF changes. The results show that: (1) soil monofunctionality and SMF under moss crust cover were higher than those in bare sand (P<0.05). (2) The drivers of the SMF change in bare sand and under moss crust cover were very different. The main drivers of SMF in bare sand were aridity and soil water content, whereas the driver of SMF under moss crust cover was soil sand content (Sand). (3) The mean annual temperature had the largest indirect effect on changes in SMF for both soil in bare sand and under moss crust cover. Therefore, the development of moss crust significantly increased SMF and, in addition, modulated the relevant drivers of SMF. Our results are important for a deep understanding of the differences and drivers of SMF in desert soil with bare sand and under moss crust cover.

生物土壤结皮广泛分布于全球干旱区。最近研究表明,生物土壤结皮目前覆盖了约12%的地球陆地表面,约占30%的全球干旱区土壤[1]。生物土壤结皮具有极强的抗逆性,能适应极端干旱和贫瘠的环境,因此成为驱动土壤形成和原生演替的先锋类群[2]。生物土壤结皮的广泛发育可显著影响表层土壤的物质循环与能量交换过程,改善表层土壤的物理、化学和生物学性质[3],并且具有防风固沙、调节水热、固存碳(C)和氮(N)、提高土壤酶活性和增加生物多样性等多重生态功能[4-8]。因此,生物土壤结皮在脆弱生态区的土壤和植被恢复等方面发挥着重要作用[9]。土壤多功能性(Soil Multifunctionality,SMF)是指土壤能同时发挥多种功能(生物量生产、生物栖息地和C库等),为支撑生态系统服务提供的一系列土壤过程[10-11]。SMF可为深入理解土壤的综合服务能力提供重要参考[12]。前人研究表明,生物土壤结皮作为干旱区地表的重要组成部分,其发育改变了土壤微生物和植物群落的组成,从而影响SMF的变化[13-14]。藓类结皮是以藓类植物为优势物种,是生物土壤结皮发育的高级阶段[15]。研究藓类结皮覆盖下SMF的变化对于精准评估干旱区生态系统的功能具有重要作用。
有研究表明,SMF的变化受到各种环境因子的影响,例如气候因子(温度,降水和干旱等),土壤因子(pH,土壤砂粒含量和土壤水分含量)和微生物多样性[16-18]。Yan等[19]研究表明,干旱对SMF有直接影响。Durán等[20]对全球干旱区SMF的研究亦表明,温度和干旱是调节着全球干旱区SMF的空间变异性的主要驱动因子。对中国干旱区的SMF变化研究则表明,pH值也是影响SMF的一个重要因素[21]。生物土壤结皮与干旱程度可协同作用,干旱程度越高,生物土壤结皮对SMF的影响越大[14]。与裸沙相比,生物土壤结皮的微生物相对丰富,其关键微生物群的多样性促进了SMF[22]。然而,目前关于结皮覆盖下SMF变化研究还较少,和裸沙相比,结皮覆盖下SMF驱动因素具有怎样的差异性还鲜见报道。本研究采集了西北干旱区不同荒漠藓类结皮覆盖下的表层(0~5 cm)土壤,以裸沙为对照,探究藓类结皮覆盖下土壤的功能特征,分析其驱动因素。研究结果将有助于对干旱区荒漠生态系统多功能的评估。

1 数据与方法

1.1 研究区概况

中国西北干旱区位于欧亚大陆的中纬度地区,是亚洲中部干旱区的重要组成部分,是世界上对全球气候变化反应最敏感的地区之一[23],包括新疆全境、甘肃河西走廊、青海祁连山地区、内蒙古阿拉善高原及黄河宁夏段以西的宁夏部分。西北干旱区地理位置东以贺兰山为界,南至昆仑山—阿尔金山—祁连山脉,北侧和西侧直抵国界(图1)。西北旱区分布着广泛的沙漠戈壁(准噶尔荒漠,塔克拉玛干沙漠和库姆塔格沙漠等)、山地(天山山脉,阿尔金山山脉和阿尔泰山山脉等)和草地。西北旱区总面积约为2.88×106 km2,约占全国国土面积的30%,总人口约1.04×107人,占全国总人口7.54%。该区域主要属于温带大陆性气候,按照干旱程度不同,可划分为半干旱半湿润区、半干旱区、干旱区和极干旱区,干旱梯度明显。该区年平均温度约为4 ℃,降水稀少,大部分地区年降雨在400 mm以下,呈现由东南向西北递减的趋势;蒸发剧烈,年平均蒸发量800~3200 mm,水分极度亏缺,而蒸散量较大,不利于植被的生长发育[24]。因此,该区植被较为稀疏。
图1 中国西北干旱区采样点分布

注:底图采用自然资源部标准地图制作,审图号为GS(2021)5453号,对底图边界无修改。

Fig. 1 Distribution of sampling sites in the arid regions of Northwest China

1.2 土壤多功能性量化指标的取样及测定

本研究于2022年6—7月在西北干旱区主要荒漠设置8个采样点(表1),采集土壤样品,分析了与干旱区生态系统功能发挥密切联系的8项功能指标,即有机碳(SOC)、全氮(TN)、全磷(TP)、速效氮(AN)、速效磷(AP)、碳氮比(C:N)、碳磷比(C:P)、氮磷比(N:P),这些指标与干旱区生态系统的养分循环极为相关[19,25-26],可较大程度地反映生态系统的养分供应、水分涵养和对各种生命活动的承载力等多种功能[27-28]
表1 8个采样点的地理、植被、土壤和气候信息

Tab. 1 Geographic, vegetation, soil and climatic information of the eight sampling sites

样点 经度/(°) 纬度/(°) 海拔/m 植被盖度 土壤类型 结皮盖度 结皮类型 土壤粒级分布/% 年均
降水/mm
年均
气温/℃
粉粒 砂粒 石砾
S1 87.15417 45.3023 461.79 0.05 简育砂性土 0.74 藻-地-藓 4.94 67.09 27.98 91.50 8.82
S2 87.67692 45.2478 575.22 0.01 简育砂性土 0.84 藻-地-藓 4.61 83.08 12.31 101.03 8.48
S3 88.30511 45.2636 729.83 0.04 简育砂性土 0.85 藻-地-藓 1.94 95.25 2.81 125.50 7.65
S4 108.5659 38.8198 1391.35 0.18 钙积潜育土 0.43 藻-地-藓 2.03 91.14 6.83 209.00 8.67
S5 110.2118 39.0136 1250.04 0.01 简育砂性土 0.45 藻-地-藓 0.93 81.03 18.04 255.00 9.18
S6 103.8205 40.8864 1332.37 0.02 简育石膏土 <0.10 藻-地-藓 1.78 82.66 15.56 64.50 8.77
S7 108.9267 37.9791 1158.39 0.01 过渡性红砂土 <0.10 藻-地-藓 3.42 75.13 21.45 257.00 10.07
S8 104.8801 37.5025 1508.13 0.04 简育砂性土 0.23 藻-地-藓 0.97 88.95 10.07 146.15 9.50

注:藻为藻类结皮;地为地衣结皮;藓为藓类结皮。

采用平均值法和因子分析法量化SMF指数。平均值法通过计算不同生态系统功能的平均标准化得分(Z-scores)来代表生态系统的多功能性[12]。因子分析法需要对功能指数的参数进行聚类、降维、因子分析,再用各因子得分来表示多功能性[22]。本研究中两种方法得出的SMF指数结果非常接近(R2=0.95,P<0.001;图2),且SMF与8项功能指标之间存在显著的正相关关系(表2)。因此,本研究选择因子分析法计算的SMF进行后续分析。
图2 基于因子分析法(SMF1)和平均值法(SMF2)的土壤多功能指数之间的线性关系

Fig. 2 Linear relationship of the soil multifunctional index obtained by factor analysis approach(SMF1) and mean method (SMF2)

表2 土壤单一和多功能的相关性

Tab. 2 Correlation between soil mono- and multifunctionality

SOC TN TP C:N C:P N:P AN AP SMF1 SMF2
SMF1 0.832** 0.701** 0.614** 0.240* 0.293** 0.218* 0.784** 0.752** 1 0.994**
SMF2 0.860** 0.688** 0.660** 0.262** 0.256* -0.254* 0.796** 0.762** 0.994** 1

注:SOC表示有机碳,TN表示全氮,TP表示全磷,AN表示速效氮,AP表示速效磷,C:N表示碳氮比,C:P表示碳磷比,N:P表示氮磷比;SMF1表示因子分析法,SMF2表示平均值法;*表示P<0.05;**表示P<0.01;***表示P<0.001。

1.3 实验设计

取样的每一个样点设置裸沙和藓类结皮覆盖的两个6 m×6 m的大样方。然后在大样方中设置6个1 m×1 m的小样方,以消除小空间尺度异质性对土壤养分的影响[29]。在每个小样方内采集1份0~5 cm层土壤样品,样品带回实验室风干,过60目筛后测土壤样品理化性质。采用multi N/C 3000分析仪(Anailtik Jena AG,Jena,Germany)的固体模块通过燃烧法测定土壤SOC含量,利用连续流动分析仪(BRAN+LUEBBE-AA3,Hamburg,Germany)测量土壤TN、TP、AN和AP含量。利用pH计(水土比2.5∶1)测定土壤pH。利用烘干法测定土壤水分含量(SWC)。使用团粒法测量土壤砂粒含量(Soil Sand Content,SSC)[30]。根据土壤科学数据库(https://www.casdc.cn/)对土壤类型进行划分。采样时,用GPS对每个样点进行定位,同时记录每个点位的准确地理位置信息。

1.4 环境因子获取

年均降水(MAP)数据来自爱荷华大学发布的TerraClimat数据集(https://doi:10.1038/sdata.2017.191)。干旱指数(Aridity)数据提取于CGIAR: Consortium for Spatial Information栅格数据[18]。年均温(MAT)数据来自Modis的全球气温格网数据(https://doi.org/10.5067/MODIS/MOD11A1.006[31]

1.5 统计方法

在统计分析之前,使用Shapiro-Wilk检验对数据的正态性进行评估。如果数据不符合正态分布,则通过对数化转化使数据符合正态分布。利用普通最小二乘回归探究环境因素和SMF的线性关系。利用R软件中“ggplot2”和“ggpubr”包绘制箱线图,“car”包绘制裸沙和藓类结皮覆盖下SMF与环境因子的线性拟合关系,“Lavaan”包进行结构方程模型(SEM)分析,解析不同变量对裸沙和藓类结皮覆盖下SMF的直接或间接影响,探究SMF的空间变异的驱动因子。上述所有分析均在R 4.0.5软件(www.r-project.org)中完成。

2 结果与分析

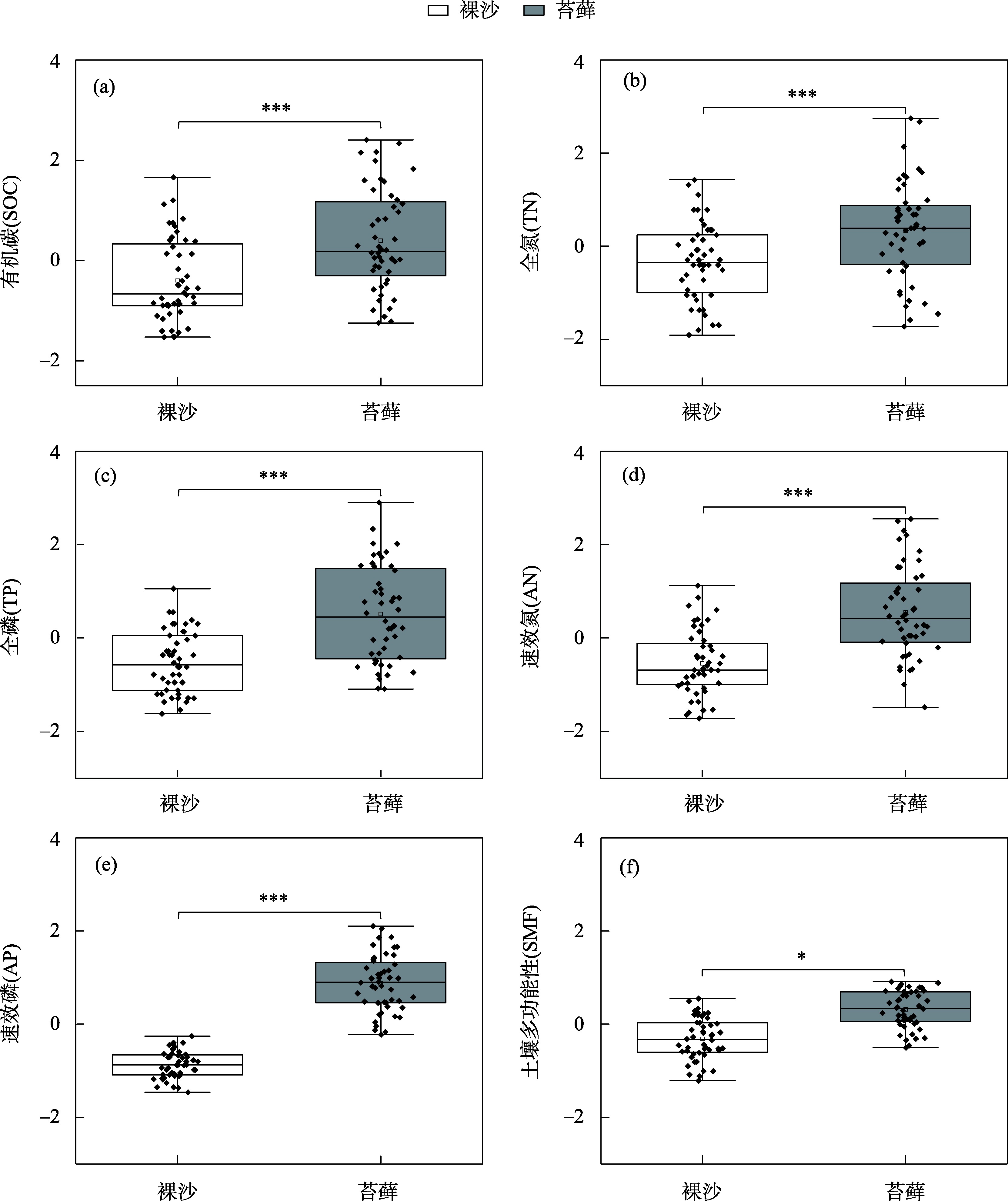
2.1 藓类结皮对土壤的单一和多功能性影响

图3显示,藓类结皮覆盖下土壤的单一和多功能性均高于裸沙(P<0.05)。藓类结皮覆盖下土壤单一功能,例如SOC、TN、TP、AN、AP和SMF指数平均值分别为5.79 g·kg-1,0.24 g·kg-1、0.30 g·kg-1、26.24 mg·kg-1、6.27 mg·kg-1和-0.017,较无结皮覆盖的裸沙分别增加35.68%、30.37%、29.33%、23.66%、75.95%和152.26%。
图3 藓类结皮覆盖下和裸沙的单一和多功能差异

注:*表示P<0.05,**表示P<0.01,***表示P<0.001。

Fig. 3 Differences in soil mono- and multifunctionality between bare sand and under crust cover

2.2 藓类结皮覆盖下土壤和裸沙的SMF与环境因子关系

线性拟合分析表明(图4),裸沙SMF与年均降水,年均温和土壤水分含量表现为显著的正相关关系,与干旱,pH和土壤砂粒含量表现为显著的负相关关系。藓类结皮覆盖下的SMF与年均降水和土壤水分含量表现为显著的正相关关系,与干旱和土壤砂粒含量表现为显著的负相关关系;而与MAT和pH两者均无显著相关关系。
图4 藓类结皮覆盖下土壤和裸沙的SMF与环境因子的线性回归

注:实线为环境因子与裸沙SMF的拟合线,虚线为环境因子与藓结皮SMF的拟合线。

Fig. 4 Linear regression of SMF under moss crust cover and bare sand with environmental factors

SEM模型分析表明,模型对藓类结皮覆盖下土壤和裸沙的SMF的解释量分别达到了51%和43%(图5)。裸沙SMF的变化受干旱的影响最大(载重系数为0.44),其次是土壤水分含量(0.41,图5a)。藓类结皮覆盖下土壤SMF的变化受土壤砂粒含量的影响最大(载重系数为-0.59),其次是土壤水分含量(0.25,图5b)。来自SEM的总效应分析表明,年均温对裸沙和结皮覆盖土壤SMF的变化均呈现最大的间接效应。
图5 环境因素对裸沙(a~b)和藓类结皮覆盖下(c~d)SMF直接和间接影响的结构方程模型

注:实线箭头表示正效应,虚线箭头表示负效应。箭头的粗细与标准化路径系数的大小成正比。*表示P<0.05;**表示P<0.01;***表示P<0.001。χ2为卡方值;df为自由度;RMSEA为均方根近似误差。

Fig. 5 Structural equation modeling for assessment of the direct and indirect effects of environmental factors on SMF in bare sand (a-b) and under moss crusts cover (b-d)

3 讨论

3.1 藓类结皮对土壤多功能性促进作用及其原因

本研究表明,藓类结皮显著增加了西北干旱区土壤SMF,本研究与其他研究结果一致[14,22]。藓类结皮可促进SMF增加,可能主要由于以下几个原因:(1) 藓类结皮增加了土壤养分含量。藓类结皮具有光合作用,可提高SOC含量,在荒漠生态系统C库中发挥重要作用[32]。前人研究表明,生物土壤结皮的光合作用较大程度阻碍了土壤二氧化碳向大气的释放,从而有效减少大部分土壤C排放[33]。同时藓类结皮土壤中还具有固N微生物,可为干旱区土壤固定N素[34]。有研究表明,生物土壤结皮等孢子植物类群可贡献全球陆地生物总固定N总量的约46%[33]。前人研究也表明,生物土壤结皮显著增加了生物结皮层C、N和P含量,显著高于其下0~10 cm土壤[35]。因此生物土壤结皮可通过增加土壤养分增加SMF。(2) 藓类结皮可显著提升C、N和P相关的土壤酶活性[36-37],增加土壤养分代谢循环,从而增加SMF。(3) 藓类结皮可以增加土壤的稳定性,从而增加SMF。研究表明,藓类结皮在增加土壤结构的稳定性、有效地减少或避免土壤侵蚀的发生与发展中均起着关键作用[38]。同时随着结皮盖度增加,土壤抗侵蚀性也随之增加[39]。(4) 藓类结皮可以减少水分蒸散和吸收水分,增加土壤微生物活性,从而增加SMF。与裸沙相比,生物土壤结皮覆盖地表可有效降低水分蒸发,结皮的毛尖能增加对大气中各种形态的水分的收集,从而提供了更多的有效水分,给微生物创造了更为适宜的生存环境[40-41]。(5) 藓类植物的残体和根系大部分分布于表层土壤中,分解后形成的腐殖质在表层土壤中积累,从而使土壤养分增加,也能增加SMF。

3.2 藓类结皮和裸沙SMF的驱动因素及其差异性

裸沙与藓结皮覆盖下土壤SMF变化的驱动因素存在较大差异。干旱(负)和土壤水分含量(正)是裸沙的SMF变化的主要驱动要素,两者对SMF的变化作用相反。在干旱区中,土壤水分是各种生物生命活动的限制因子和主要驱动力。土壤水分可以通过调节植物的光合作用、根系呼吸作用、土壤微生物的矿化、硝化和反硝化等过程[42-43],从而影响土壤C和N等养分的循环[44],最终影响SMF。总之,土壤水分调控着陆表-大气相互作用过程,是土壤-植物-大气连续体水分和能量交换的重要影响因子,也是影响各种生命过程的关键因素[45-46]。因此,土壤水分是裸沙的SMF变化的重要驱动因素。
Hu等[18]研究表明,随着干旱的增加,一旦干旱超过了环境的承受阈值,各种生物活性将会大幅度降低,从而影响了SMF。干旱影响了陆地生态系统的关键过程,如严重限制植物的正常生长发育,破坏微生物网络结构,限制了水分和养分的循环[18]。干旱还可以影响生物酶活性,例如,干旱可以降低胞外酶(β-1, 4-葡萄糖苷酶;β-D-纤维二糖苷酶;β-1, 4-N-乙酰氨基葡萄糖苷酶)的活性,从而对土壤微生物生长代谢具有负效应[47-48]。因此,在较高干旱水平下,土壤养分可用性会大幅度降低[49],从而降低了SMF。前人研究表明,干旱还可以通过影响土壤环境(SWC和pH等)间接影响SMF[19,22],这与本研究结果一致。本研究中,干旱不仅可以直接影响SMF,还可以通过影响土壤砂粒含量和pH等因素从而间接影响SMF。
生物土壤结皮发育改变了SMF变化的驱动要素。本研究发现土壤砂粒含量是藓类结皮覆盖下SMF最主要驱动要素,同时土壤水分含量也是SMF变化的重要驱动要素。藓类结皮和裸沙SMF的驱动因素发生改变,可能由以下原因引起:(1) 相较于裸沙,藓类结皮能够通过毛尖吸收空气中的水分,增加了水分供给,因此土壤SWC不是结皮覆盖下SMF的最重要驱动因素。同时较多的水源可使土壤中微生物活性增强。(2) 土壤砂粒含量越高,渗水速度越快,保水性能差,造成了严重的水土和养分等流失,从而降低了SMF。(3) 土壤砂粒含量越高,地表稳定性越低,不利于生物土壤结皮繁殖和SMF增加。因此,随着SSC增加,SMF降低。

4 结论

本文利用野外采样室内测验数据结合环境数据,分析了荒漠裸沙和藓类结皮覆盖下土壤单一和多功能的差异性,探讨了两者SMF变化的主要驱动要素。主要结论如下:
(1) 藓类结皮覆盖下的土壤单一和多功能性显著高于裸沙。
(2) 藓类结皮调节了SMF的相关驱动因素。裸沙SMF的变化受Aridity的影响最大,而藓类结皮覆盖下土壤SMF的变化受SSC的影响最大。
因此,生物土壤结皮对于维持干旱区SMF的稳定具有重要意义,本研究可为干旱区荒漠生态系统多功能的评估提供数据支持。

感谢荒漠与绿洲生态国家重点实验室/干旱区生态安全与可持续发展重点实验室团队人员。

[1]
Rodriguez-Caballero E, Belnap J, Budel B, et al. Dryland photoautotrophic soil surface communities endangered by global change[J]. Nature Geoscience, 2018, 11(3): 185-189.

[2]
蒙文萍, 戴全厚, 冉景丞. 藓植物岩溶作用研究进展[J]. 植物生态学报, 2019, 43(5): 396-407.

[Meng Wenping, Dai Quanhou, Ran Jingcheng. A review on the process of bryophyte karstification[J]. Chinese Journal of Plant Ecology, 2019, 43(5): 396-407.]

[3]
Bowker M A, Reed S C, Maestre F T, et al. Biocrusts: The living skin of the earth[J]. Plant and Soil, 2018, 429(1-2): 1-7.

[4]
Gao L Q, Bowker M A, Sun H, et al. Linkages between biocrust development and water erosion and implications for erosion model implementation[J]. Geoderma, 2020, 357: 113973.

[5]
Li S L, Bowker M A, Xiao B. Biocrusts enhance non-rainfall water deposition and alter its distribution in dryland soils[J]. Journal of Hydrology, 2021, 595: 126050.

[6]
Zhou X B, Tao Y, Yin B F, et al. Nitrogen pools in soil covered by biological soil crusts of different successional stages in a temperate desert in Central Asia[J]. Geoderma, 2020, 366: 114166.

[7]
Hu R, Wang X P, Xu J S, et al. The mechanism of soil nitrogen transformation under different biocrusts to warming and reduced precipitation: From microbial functional genes to enzyme activity[J]. Science of the Total Environment, 2020, 722: 137849.

[8]
张雨虹, 张韶阳, 张树煇, 等. 毛乌素沙地藓类结皮对沙化土壤性质和细菌群落的影响[J]. 土壤学报, 2021, 58(6): 1585-1597.

[Zhang Yuhong, Zhang Shaoyang, Zhang Shuhui, et al. Effect of moss crust on sandy soil properties and bacterial community in Mu Us Sandy Land[J]. Acta Pedologica Sinica, 2021, 58(6): 1585-1597.]

[9]
Lan S B, Zhang Q Y, Wu L, et al. Artificially accelerating the reversal of desertification: Cyanobacterial inoculation facilitates the succession of vegetation communities[J]. Environment Science & Technology, 2014, 48(1): 307-315.

[10]
Bünemann E K, Bongiorno G, Bai Z G, et al. Soil quality-A critical review[J]. Soil Biology & Biochemistry, 2018, 120: 105-125.

[11]
Glenk K, Mcvittie A, Moran D. Soil and Soil Organic Carbon Within An Ecosystem Service Approach Linking Biophysical and Economic Data[M]. Cupar: Scottish Agricultural College, 2012.

[12]
张世航, 陶冶, 陈玉森, 等. 准噶尔荒漠土壤多功能性的空间变异特征及其驱动因素[J]. 生物多样性, 2022, 30(8): 140-150.

[Zhang Shihang, Tao Ye, Chen Yusen, et al. Spatial pattern of soil multifunctionality and its correlation with environmental and vegetation factors in the Junggar Desert, China[J]. Biodiversity Science, 2022, 30(8): 140-150.]

[13]
Su Y G, Liu J, Zhang Y M, et al. More drought leads to a greater significance of biocrusts to soil multifunctionality[J]. Functional Ecology, 2021, 35(4): 989-1000.

[14]
Zhang Q, Yin B F, Zhang S J, et al. Moss crusts mitigate the negative impacts of shrub mortality on the nutrient multifunctionality of desert soils[J]. Soil Science Society of America Journal, 2023, 88(1): 166-179.

[15]
Zhou H, Gao Y, Jia X H, et al. Network analysis reveals the strengthening of microbial interaction in biological soil crust development in the Mu Us Sandy Land, northwestern China[J]. Soil Biology & Biochemistry, 2020, 144: 107782.

[16]
Eldridge D J, Delgado-Baquerizo M, Quero J L, et al. Surface indicators are correlated with soil multifunctionality in global drylands[J]. Journal of Applied Ecology, 2020, 57(2): 424-435.

[17]
Zhang S H, Chen Y S, Zhou X B, et al. Spatial patterns and drivers of ecosystem multifunctionality in China: Arid vs. humid regions[J]. Science of The Total Environment, 2024, 920: 170868.

[18]
Hu W G, Ran J Z, Dong L W, et al. Aridity-driven shift in biodiversity-soil multifunctionality relationships[J]. Nature Communications, 2021, 12(1): 5350.

[19]
Yan Y Z, Zhang Q, Buyantuev A, et al. Plant functional β diversity is an important mediator of effects of aridity on soil multifunctionality[J]. Science of the Total Environment, 2020, 726: 138529.

[20]
Durán J, Delgado-Baquerizo M, Dougill A J, et al. Temperature and aridity regulate spatial variability of soil multifunctionality in drylands across the globe[J]. Ecology, 2018, 99(5): 1184-1193.

[21]
Kakeh J, Sanaei A, Sayer E J, et al. Biocrust diversity enhances dryland saline soil multifunctionality[J]. Land Degradation & Development, 2022, 34(2): 521-533.

[22]
Zhang S H, Chen Y S, Lu Y X, et al. Spatial variability and driving factors of soil multifunctionality in drylands of China[J]. Regional Sustainability, 2022, 3: 223-232.

[23]
陈亚宁, 杨青, 罗毅, 等. 西北干旱区水资源问题研究思考[J]. 干旱区地理, 2012, 35(1): 1-9.

[Chen Yaning, Yang Qing, Luo Yi, et al. Ponder on the issues of water resources in the arid region of Northwest China[J]. Arid Land Geography, 2012, 35(1): 1-9.]

[24]
郭泽呈, 魏伟, 石培基, 等. 中国西北干旱区土地沙漠化敏感性时空格局[J]. 地理学报, 2020, 75(9): 1949-1965.

[Guo Zecheng, Wei Wei, Shi Peiji, et al. Spatiotemporal changes of land desertification sensitivity in the arid region of Northwest China[J]. Acta Geographica Sinica, 2020, 75(9): 1949-1965.]

[25]
Sanderson M A, Skinner R H, Barker D J, et al. Plant species diversity and management of temperate forage and grazing land ecosystems[J]. Crop Science, 2004, 44(4): 1132-1144.

[26]
Maestre F T, Quero J L, Gotelli N J, et al. Plant species richness and ecosystem multifunctionality in global drylands[J]. Science, 2012, 335(6065): 214-218.

[27]
Soliveres S, Maestre F T, Eldridge D J, et al. Plant diversity and ecosystem multifunctionality peak at intermediate levels of woody cover in global drylands[J]. Global Ecology Biogeography, 2014, 23(12): 1408-1416.

[28]
Valencia E, Maestre v, le Bagousse-Pinguet Y, et al. Functional diversity enhances the resistance of ecosystem multifunctionality to aridity in Mediterranean drylands[J]. New Phytolgist, 2015, 206(2): 660-671.

[29]
陶冶, 刘耀斌, 吴甘霖, 等. 准噶尔荒漠区域尺度浅层土壤化学计量特征及其空间分布格局[J]. 草业学报, 2016, 25(7): 13-23.

[Tao Ye, Liu Yaobin, Wu Ganlin, et al. Regional-scale ecological stoichiometric characteristics and spatial distribution patterns of key elements in surface soils in the Junggar Desert, China[J]. Acta Prataculturae Sinica, 2016, 25(7): 13-23.]

[30]
Ding J Y, Eldridge D J. Climate and plants regulate the spatial variation in soil multifunctionality across a climatic gradient[J]. Catena, 2021, 201: 105233.

[31]
Rodell M, Houser P R, Jambor U, et al. The global land data assimilation system[J]. Bulletion of the American Meteorological Society, 2004, 85(3): 381-394.

[32]
Housman D C, Powers H H, Collins A D, et al. Carbon and nitrogen fixation differ between successional stages of biological soil crusts in the Colorado Plateau and Chihuahuan Desert[J]. Journal Arid Environment, 2006, 66(4): 620-634.

[33]
Elbert W, Weber B, Burrows S, et al. Contribution of cryptogamic covers to the global cycles of carbon and nitrogen[J]. Nature Geoscience, 2012, 5(7): 459-462.

[34]
Zhao Y, Xu M, Belnap J. Potential nitrogen fixation activity of different aged biological soil crusts from rehabilitated grasslands of the hilly Loess Plateau, China[J]. Journal of Arid Environments, 2010, 74(10): 1186-1191

[35]
高丽倩, 赵允格, 许明祥, 等. 生物土壤结皮演替对土壤生态化学计量特征的影响[J]. 生态学报, 2018, 38(2): 678-688.

[Gao Liqian, Zhao Yunge, Xu Mingxiang, et al. The effects of biological soil crust succession on soil ecological stoichiometry characteristics[J]. Acta Ecologica Sinica, 2018, 38(2): 678-688.]

[36]
Zhang B C, Zhou X B, Zhang Y M. Responses of microbial activities and soil physical-chemical properties to the successional process of biological soil crusts in the Gurbantunggut Desert, Xinjiang[J]. Journal Arid Land, 2015, 7(1): 101-109.

[37]
Ghiloufi W, Seo J, Kim J, et al. Effects of biological soil crusts on enzyme activities and microbial community in soils of an arid ecosystem[J]. Microbial Ecology, 2019, 77(1): 201-216.

[38]
Gao L Q, Bowker M A, Xu M X, et al. Biological soil crusts decrease erodibility by modifying inherent soil properties on the Loess Plateau, China[J]. Soil Biology & Biochemistry, 2017, 105: 49-58.

[39]
李宁宁, 张光辉, 王浩, 等. 黄土丘陵沟壑区生物结皮对土壤抗蚀性能的影响[J]. 中国水土保持科学, 2020, 18(1): 42-48.

[Li Ningning, Zhang Guanghui, Wang Hao, et al. Soil anti-erodibility influenced by biological crusts in Loess Hilly and Gully Region[J]. Science of Soil and Water Conservation, 2020, 18(1): 42-48.]

[40]
Liu L C, Li S Z, Duan Z H, et al. Effects of microbiotic crusts on dew deposition in the restored vegetation area at Shapotou, Northwest China[J]. Journal of Hydrology, 2006, 328(1-2): 331-337.

[41]
Zhang J, Zhang Y M, Downing A, et al. The influence of biological soil crusts on dew deposition in Gurbantunggut Desert, Northwestern China[J]. Journal of Hydrology, 2009, 379(3-4): 220-228.

[42]
Moyano F E, Manzoni S, Chenu C. Responses of soil heterotrophic respiration to moisture availability: An exploration of processes and models[J]. Soil Biology Biochemistry, 2013, 59: 72-85.

[43]
Chen Y L, Xu Z W, Hu H W, et al. Responses of ammonia-oxidizing bacteria and archaea to nitrogen fertilization and precipitation increment in a typical temperate steppe in Inner Mongolia[J]. Applied Soil Ecology, 2013, 68: 36-45.

[44]
Mcdaniel M D, Kaye J P, Kaye M W. Increased temperature and precipitation had limited effects on soil extracellular enzyme activities in a post-harvest forest[J]. Soil Biology & Biochemistry, 2013, 56: 90-98.

[45]
Zhang W, Gao D X, Chen Z X, et al. Substrate quality and soil environmental conditions predict litter decomposition and drive soil nutrient dynamics following afforestation on the Loess Plateau of China[J]. Geoderma, 2018, 325: 152-161.

[46]
Wang Y N, Li F Y, Song X, et al. Changes in litter decomposition rate of dominant plants in a semi-arid steppe across different land use types: Soil moisture, not home-field advantage, plays a dominant role[J]. Agriculture, Ecosystems & Environment, 2020, 303: 104989.

[47]
Zhou X H, Zhou, L Y, Nie Y Y, et al. Similar responses of soil carbon storage to drought and irrigation in terrestrial ecosystems but with contrasting mechanisms: A meta-analysis[J]. Agriculture, Ecosystems & Environment, 2016, 228: 70-81.

[48]
Ren C J, Zhao F Z, Shi Z, et al. Differential responses of soil microbial biomass and carbon-degrading enzyme activities to altered precipitation[J]. Soil Biology & Biochemistry, 2017, 115: 1-10.

[49]
Delgado-Baquerizo M, Maestre F T, Gallardo A, et al. Decoupling of soil nutrient cycles as a function of aridity in global drylands[J]. Nature, 2013, 502(7473): 672-676.

文章导航

/