水土资源

黄土高原高速公路边坡草本群落植被特征及其与土壤的关系

  • 毛光锐 , 1 ,
  • 赵锦梅 , 1 ,
  • 朱恭 2 ,
  • 崔海明 1 ,
  • 刘万智 1
展开
  • 1.甘肃农业大学林学院,甘肃 兰州 730070
  • 2.兰州市南北两山环境绿化工程指挥部,甘肃 兰州 730070
赵锦梅. E-mail:

毛光锐(1997-),男,硕士研究生,主要从事水土保持与荒漠化防治. E-mail:

收稿日期: 2023-12-06

  修回日期: 2024-03-17

  网络出版日期: 2024-06-20

基金资助

甘肃省教育厅产业支撑计划项目(2023CYZC-45)

Vegetation characteristics of herb communities on highway slopes of the Loess Plateau and their relationship with soil

  • MAO Guangrui , 1 ,
  • ZHAO Jinmei , 1 ,
  • ZHU Gong 2 ,
  • CUI Haiming 1 ,
  • LIU Wanzhi 1
Expand
  • 1. College of Forestry, Gansu Agricultural University, Lanzhou 730070, Gansu, China
  • 2. Lanzhou City North and South Two Mountains Environmental Greening Project Headquarters, Lanzhou 730070, Gansu, China

Received date: 2023-12-06

  Revised date: 2024-03-17

  Online published: 2024-06-20

摘要

研究黄土高原高速公路边坡不同年限喷播混合草种草本群落植被特征和物种多样性,探讨草本群落特征、物种多样性与土壤物理化学性质之间的关系。以空间代替时间方法,研究黄土高原高速公路边坡草本群落分别恢复15 a、12 a、8 a、4 a和2 a草本群落特征、α物种多样性及其与土壤物理化学性质Mantel检验相关性。边坡恢复15 a共调查到8科13属13种,恢复12 a共调查到7科10属10种,恢复8 a共调查到3科5属5种,恢复4 a共调查到3科5属5种,恢复2 a共调查到4科6属6种;Patric物种丰富度恢复15 a>12 a>8 a>2 a>4 a,Shannon-Wiener指数、Simpson指数恢复15 a>12 a>2 a>8 a>4 a,Pielou均匀度指数恢复15 a>2 a>8 a>12 a>4 a;Patric物种丰富度与总孔隙度和毛管孔隙度、有机质、全氮、全磷呈显著正相关关系(P<0.05),Shannon-Wiener指数与有机质、全磷呈显著正相关关系(P<0.05)。边坡不同年限喷洒混合草种后,草本群落多为多年生草本植物组成,但群落物种组成、数量上存在差异;Patric物种丰富度、Shannon-Wiener、Simpson指数随着恢复年限的增长呈上升趋势;土壤总孔隙度、毛管孔隙度、有机质、全氮、全磷等是Patric物种丰富度与Shannon-Wiener指数的关键环境因子。

本文引用格式

毛光锐 , 赵锦梅 , 朱恭 , 崔海明 , 刘万智 . 黄土高原高速公路边坡草本群落植被特征及其与土壤的关系[J]. 干旱区研究, 2024 , 41(5) : 788 -796 . DOI: 10.13866/j.azr.2024.05.07

Abstract

This study examined the vegetation characteristics and species diversity of mixed herb communities in different years on the slope of expressway in the Loess Plateau, and explored the relationship between herb community characteristics, species diversity, and soil physical and chemical properties. The characteristics of herb communities, α species diversity, and their correlation with soil physical and chemical properties were studied using the Mantel test after 15 a, 12 a, 8 a, 4 a, and 2 a of restoration of herb communities on the highway slope of the Loess Plateau by space instead of time. In total, 13 species of 13 genera in 8 families were investigated in 15 a of slope restoration, 10 species of 10 genera in 7 families were investigated in 12 a of restoration, 5 species of 5 genera in 3 families were investigated in 8 years of restoration, 5 species of 5 genera in 3 families were investigated in 4 a of restoration, and 6 species of 6 genera in 4 families were investigated in 2 a of restoration. Patric species richness recovered in the order 15 a>12 a>8 a>2 a>4 a, the Shannon-Wiener and Simpson indices recovered in the order 15 a>12 a>2 a>8 a>4 a, and the Pielou evenness index recovered in the order 15 a>2 a>8 a>12 a>4 a. Patric species richness was significantly positively correlated with total porosity and capillary porosity, organic matter, total nitrogen, and total phosphorus (P<0.05), and the Shannon-Wiener index was significantly positively correlated with organic matter and total phosphorus (P<0.05). After spraying mixed grass species in different years on the slope, the herb communities mostly contained perennials, but there were differences in species composition and quantity of the community. The species richness, Shannon-Wiener index, and Simpson index of patric species showed an upward trend as the number of restoration years increased. Soil total porosity, capillary porosity, organic matter, total nitrogen, and total phosphorus were the key environmental factors affecting patric species richness and the Shannon-Wiener index.

黄土高原区域气候常年干旱、水热矛盾突出,加上人类活动的长期干扰,造成土壤侵蚀与水土流失严重,植被生态功能下降,使其成为我国生态最为脆弱地区之一[1-2]。近年来,由于受地质灾害、工程建设、开采地矿资源、修建公路和铁路等自然和人为活动影响,造成黄土高原岩土体滑坡、崩塌或被切削挖除形成不稳定的陡峭坡面,导致植被遭到破坏,土壤流失严重,土壤有机质减少,植被发生逆向演替,造成生态功能严重下降[3-4]。植被和土壤作为陆地生态系统最重要的两个子系统,在脆弱生态系统的恢复与重建过程中起着关键性的作用[5]。植物及其与土壤之间的关系一直是生态学领域研究的重点,植物与土壤相互作用是形成植物群落格局的主要原因之一,其相互作用往往伴随着群落类型、物种多样性以及土壤养分循环等方面的变化[6-7]。草本植物作为陆地生态系中的重要组成部分,在脆弱生态区具有极其重要的地位[8-9]。在干旱半干旱荒漠生态系统中,大部分草本植物根系发达、盘根错节,具有耐干旱、耐盐碱、抗风固沙、适应逆境等特性,对于维护生态平衡、防止土地沙漠化、减小地表径流、促进退化草地起着至关重要的作用[10];左小安等[8]认为,退化沙质草地一、二年生草本植物在维持群落及生态系统的稳定和生态功能的发挥中起着主导作用;许文文等[11]认为,草本植物在荒漠植被中占比大的主要原因是其适应性强、生长快且需求低,特别是一年生草本植物,能利用荒漠地区有限的降水完成其短暂的生活史;乔静娟等[12]认为,荒漠草原草本植物群落通过优势物种和关键功能性状的改变来响应和适应养分添加与干扰;方昭等[13]认为,草本群落地下生物量与年均降水、年均温、土壤有机碳、全氮、全磷含量之间均呈显著相关。显然,干旱半干旱脆弱生态系统中草本植物与土壤存在互馈机制,两者相互作用促进群落演替,改善区域局部生态效益。然而,目前对于黄土高原高速公路边坡草本群落植被特征及其与土壤的关系鲜有报道。
本研究以兰州市南北两山高速公路裸露边坡不同年限喷播混合草种草本群落为研究对象,分析不同年限喷播混合草种草本群落植被特征和物种多样性,探讨草本群落特征、物种多样性与土壤之间的关系,揭示植被与土壤的互馈机制,对于提升南北两山陡坡生态恢复能力,增强生态系统稳定性,减少水土流失等方面具有重要意义。

1 材料与方法

1.1 研究区概况

研究区位于甘肃省兰州市南北两山高速公路两旁(103°21′04″~104°0′38″E,35°53′18″~36°33′56″N),该区域常年气候干旱,在气候分区上属于中温带半干旱区温带草原气候,处于暖温气候带上,年平均气温在9.1 ℃,无霜期180 d,年平均降水量327.7 mm,平均海拔1520~1580 m,地形相对高差约600 m,平均坡度均大于30°,土壤总体属灰钙土[14]。南北两山高速公路修建后,形成的边坡天然植被较少,当地生态环境部门分别于2007年、2010年、2014年、2018年和2020年借助生态护坡技术喷播混合草种。目前,边坡草本植物群落主要以紫花苜蓿、冰草、甘肃臭草等植物为建群种。

1.2 样地设置与植被调查

2022年6—7月,经过现地充分踏查,对兰州市南北两山高速公路两旁陡坡分别在不同年限喷播混合草种后植被分别恢复15 a、12 a、8 a、4 a和2 a草本群落植被进行调查,每个年限布设3个10 m×10 m样地,并在每个样地中布设5个1 m×1 m草本样方,在草本样方中分别测定植物种类、株数、平均高度、盖度。样地基本概况如表1所示。
表1 样地基本概况

Tab. 1 Basic situation table of sample plot

恢复年限 平均海拔/m 平均坡度/(°) 坡向 草本群落
平均高度/cm 平均盖度/%
15 a 1663.74 45 WS 73.56 95.84
12 a 1563.79 47 WS 59.77 88.33
8 a 1708.19 50 WS 74.08 89.33
4 a 1735.09 55 WS 49.32 81.45
2 a 1596.04 49 WS 48.89 87.23

1.3 土壤调查与测定

在每个样地中沿着“S”型分别挖3个土壤剖面,用100 cm3环刀取0~20 cm土层原状土,测定土壤的水分物理性质。用土钻在样地内按“S”形取样法选取3点采集0~20 cm土层土样,重复采样3次,剔除土壤样品石砾和枯落物后,取相同质量同一土层深度土壤样品均匀混合,实验室风干后0.1 mm筛子过筛,测定土壤相关指标。
用烘干法测定土壤质量含水量(105 ℃,24 h)、环刀法测定土壤容重和土壤孔隙度、土壤紧实度仪测定土壤紧实度。用重铬酸钾容量法测定土壤有机质、碱解扩散法测定土壤碱解氮、0.5 mol·L-1的碳酸氢钠浸提-钼锑钪比色法测定土壤速效磷、醋酸铵浸提-原子吸收火焰光度计法测定土壤速效钾、半微量开氏法测定土壤全氮、钼锑钪比色法测定土壤全磷、原子吸收火焰光度计法测定土壤全钾,具体操作参考文献[15]。土壤物理化学性质特征如表2所示。
表2 土壤物理化学性质特征

Tab. 2 Characteristics of soil physical and chemical properties

指标 恢复年限
15 a 12 a 8 a 4 a 2 a
含水率/% 6.89±0.18ab 7.22±0.29a 7.14±0.05a 7.07±1.321ab 5.90±0.30b
容重/(g·cm-3 1.27±0.09b 1.30±0.05ab 1.27±0.06b 1.29±0.021b 1.39±0.02a
总孔隙度/% 53.10±1.60a 51.44±3.75a 50.44±0.84a 50.06±2.18a 49.12±0.57a
毛管孔隙度/% 43.75±0.59a 42.71±0.54ab 42.30±0.42b 41.75±0.71b 41.62±0.59b
非毛管孔隙度/% 9.35±2.09a 8.73±3.57a 8.14±0.43a 8.31±2.86a 7.50±0.72a
紧实度/(kg·cm-2 18.71±3.12b 19.28±0.99b 23.22±4.04b 24.83±0.54b 35.17±9.80a
有机质/% 7.45±0.42a 7.26±0.86ab 7.06±0.29ab 6.54±1.17ab 5.85±0.57b
全氮/% 0.10±0.02a 0.09±0.01ab 0.09±0.01ab 0.07±0.02b 0.07±0.01b
全磷/% 0.09±0.02a 0.09±0.03a 0.08±0.02a 0.07±0.01a 0.07±0.01a
全钾/% 0.67±0.15a 0.64±0.07a 0.60±0.08a 0.59±0.05a 0.53±0.08a
速效磷/(mg·kg-1 25.42±3.47a 20.89±1.81b 18.52±0.95bc 15.34±0.91c 15.30±1.00c
速效钾/(mg·kg-1 148.33±10.50a 142.99±14.74ab 140.67±7.64ab 129.88±3.01b 126.00±3.00b
硝态氮/(mg·kg-1 18.16±2.04a 17.34±2.15ab 16.60±1.55ab 15.00±1.86ab 14.47±0.45b
铵态氮/(mg·kg-1 14.29±1.43a 13.67±1.72a 13.52±0.96a 12.31±2.11ab 10.48±1.14b

注:表中数据为不同绿化年限方式下的平均值±标准差。不同的小写字母代表土壤物理、化学性质的含量存在显著差异(P<0.05)。

1.4 数据统计处理

基于Excel 2019进行基础数据整理,物种多样性、相关性等计算和作图均在R 4.3.1中实现。

1.4.1 草本群落基本特征

基于Excel 2019统计边坡各年限科属种特征,绘制不同年限草本群落每科物种数量图。

1.4.2 α物种多样性测度分析

本文选定Patric物种丰富度(N0)、Shannon-Wiener指数(N1)、Simpson指数(N2)、Pielou均匀度指数(J)来衡量物种丰富性、分布状况、优势度和多样性[16]。采用单因素分析(One-way ANOVA)对物种多样性进行差异显著性分析,并用Duncan检验对物种多样性平均值进行多重比较。计算在R语言vegan程序包完成:
(1) Patric物种丰富度(N0):
N 0 = S
(2) Shannon-Wiener指数(N1):
N 1 = - i = 1 s P i l n P i
(3) Simpson指数(N2):
N 2 = 1 - i = 1 s P i 2
(4) Pielou均匀度指数(J):
J = N 1 / H m a x
H m a x = l n S
式中:S为物种数;Pi为每个物种的相对频度,Pi=Ni/N为物种i的个体数(Ni)占所有物种个体总数的(N)比例;Hmax为最大物种多样性指数;i=1,2,3,……。

1.4.3 草本群落α物种多样性与土壤物理化学性质之间的关系

Mantel检验是检验来自相同样本的两个距离矩阵之间的相关性,Mantel检验假设矩阵是独立的,相关性是线性的。本文基于α物种多样性指数和土壤物理化学数据,采用Mantel检验的相关性分析来研究边坡草本群落恢复演替过程中与土壤物理化学性质之间的关系[17]。计算在R语言linkET程序包完成。

2 结果与分析

2.1 草本群落基本特征

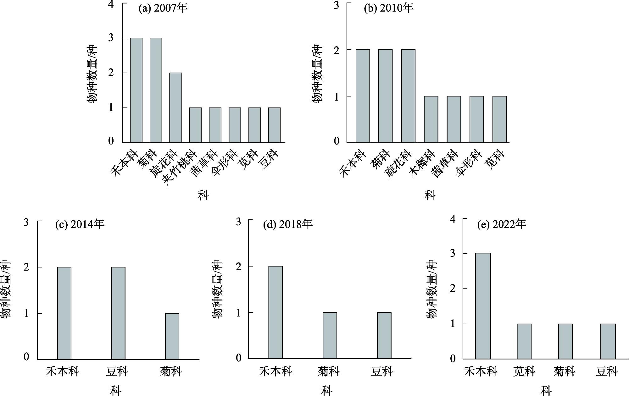
调查发现,边坡不同年限喷洒混合草种后,草本群落多为多年生草本植物组成,但群落物种组成、数量上存在差异(表3图1)。恢复15 a草本群落有草本植物8科13属13种植物,禾本科、菊科种类数最多(均3种),其次,是旋花科2种,其余6科植物种数均只有1种。恢复12 a草本群落有草本植物7科10属10种植物,禾本科、菊科、旋花科均有2种,其余4科物种数均只有1种;恢复8 a草本群落有草本植物3科5属5种植物,豆科、禾本科物种数最多(均2种),菊科种类数最少(1种);恢复4 a草本群落有草本植物3科5属5种植物,禾本科、菊科种类数最多(均2种),豆科种类数最少(1种);恢复2 a草本群落有草本植物4科6属6种植物,禾本科种类数最多(2种),菊科、豆科、苋科种类数最少(1种)。
表3 不同年限草本群落物种及生活型

Tab. 3 Species and life forms of herbaceous communities of different ages

恢复年限 生活型
15 a 豆科(Fabaceae)
苜蓿属(Medicago 紫花苜蓿(Medicago sativa 多年生草本
禾本科(Gramineae) 冰草属(Agropyron 冰草(Agropyron cristatum 多年生草本
黑麦草属(Lolium 黑麦草(Lolium perenne 多年生草本
臭草属(Melica 甘肃臭草(Melica przewalskyi 多年生草本
夹竹桃科(Apocynaceae) 鹅绒藤属(Cynanchum 鹅绒藤(Cynanchum chinense 多年生草本
菊科(Asteraceae)

莴苣属(Lactuca 山莴苣(Lactuca sibirica 多年生草本
鬼针草属(Bidens 鬼针草(Bidens pilosa 一年生草本
蒿属(Artemisia 白莲蒿(Artemisia gmelinii 多年生草本
茜草科(Rubiaceae) 拉拉藤属(Galium 拉拉藤(Galium spurium 多年生草本
伞形科(Apiaceae) 防风属(Saposhnikovia 防风(Saposhnikovia divaricata 多年生草本
苋科(Amaranthaceae) 红叶藜属(Oxybasis 灰绿藜(Oxybasis glauca 一年生草本
旋花科(Convolvulaceae)
菟丝子属(Cuscuta 菟丝子(Cuscuta chinensis 一年生草本
虎掌藤属(Ipomoea pes-tigridis 牵牛(Ipomoea nil 一年生草本
12 a 禾本科(Gramineae)
黑麦草属(Lolium 黑麦草(Lolium perenne 多年生草本
臭草属(Melica 甘肃臭草(Melica przewalskyi 多年生草本
菊科(Asteraceae)
紫菀属(Aster 狗娃花(Aster hispidus 一或二年生草本
泥胡菜属(Hemisteptia 泥胡菜(Hemisteptia lyrata 一年生草本
木樨科(Oleaceae) 探春花属(Chrysojasminum 探春花(Chrysojasminum floridum 二年生草本
茜草科(Rubiaceae) 拉拉藤属(Galium 拉拉藤(Galium spurium 多年生草本
伞形科(Apiaceae) 防风属(Saposhnikovia 防风(Saposhnikovia divaricata 多年生草本
苋科(Amaranthaceae) 猪毛菜属(Salsola 猪毛菜(Salsola collina 一年生草本
旋花科(Convolvulaceae)
菟丝子属(Cuscuta 菟丝子(Cuscuta chinensis 一年生草本
虎掌藤属(Ipomoea pes-tigridis 牵牛(Ipomoea nil 一年生草本
8 a 豆科(Fabaceae)
苜蓿属(Medicago 紫花苜蓿(Medicago sativa 多年生草本
草木樨属(Melilotus 草木樨(Melilotus suaveolens 二年生草本
禾本科(Gramineae)
冰草属(Agropyron 冰草(Agropyron cristatum 多年生草本
臭草属(Melica 甘肃臭草(Melica przewalskyi 多年生草本
菊科(Asteraceae) 莴苣属(Lactuca 山莴苣(Lactuca sibirica 多年生草本
4 a 豆科(Fabaceae) 苜蓿属(Medicago 紫花苜蓿(Medicago sativa 多年生草本
禾本科(Gramineae)
冰草属(Agropyron 冰草(Agropyron cristatum 多年生草本
黑麦草属(Lolium 黑麦草(Lolium perenne 多年生草本
菊科(Asteraceae)
紫菀属(Aster 狗娃花(Aster hispidus 一或二年生草本
泥胡菜属(Hemisteptia 泥胡菜(Hemisteptia lyrata 一年生草本
2 a 豆科(Fabaceae) 苜蓿属(Medicago 紫花苜蓿(Medicago sativa 多年生草本
禾本科(Gramineae)

冰草属(Agropyron 冰草(Agropyron cristatum 多年生草本
黑麦草属(Lolium 黑麦草(Lolium perenne 多年生草本
臭草属(Melica 甘肃臭草(Melica przewalskyi 多年生草本
菊科(Asteraceae) 秋英属(Cosmos 秋英(Cosmos bipinnatus 一年生或多年生草本
苋科(Amaranthaceae) 猪毛菜属(Salsola 猪毛菜(Salsola collina 一年生草本
图1 边坡不同年限草本群落每科物种数量

Fig. 1 Number of species in each family of herbaceous communities at different ages on the slope

2.2 α物种多样性差异分析

图2所示,边坡各年限草本群落α物种多样性指数单因素方差分析结果表明,Patric物种丰富度、Shannon-Wiener、Simpson指数恢复15 a和12 a草本群落具有显著差异(P<0.001)。Patric物种丰富度恢复15 a、12 a草本群落与恢复8 a、4 a、2 a草本群落具有显著差异(P<0.001),恢复8 a、4 a、2 a草本群落差异不显著(P>0.1),指数值大小分别为恢复15 a>12 a>8 a>2 a>4 a。Shannon-Wiener指数恢复15 a、12 a与恢复8 a、4 a、2 a草本群落差异显著(P<0.001),恢复8 a与2 a差异不显著(P>0.1),恢复4 a与恢复8 a、2 a差异显著(P<0.001),指数值大小分别为恢复15 a>12 a>2 a>8 a>4 a。Simpson指数恢复15 a、12 a与恢复8 a、4 a、2 a草本群落差异显著(P<0.001),恢复8 a与4 a、2 a差异不显著(P>0.1),恢复4 a、2 a差异显著(P<0.001),指数值大小分别为恢复15 a>12 a>2 a>8 a>4 a。Pielou均匀度指数恢复15 a、12 a、8 a、2 a差异不显著(P>0.1),与恢复4 a差异显著(P<0.001),指数值大小分别为恢复15 a>2 a>8 a>12 a>4 a。
图2 边坡各年限草本群落物种多样性特征

注:不同小写字母代表组间对比差异显著(P<0.001)。

Fig. 2 Species diversity characteristics of herbaceous communities in different years on the slope

2.3 草本群落α物种多样性与土壤物理化学性质间的关系

利用Mantel检验探究边坡草本植被恢复演替过程中α物种多样性与土壤物理化学性质间的相关性结果如图3所示。从物理性质来看,Patric物种丰富度与总孔隙度和毛管孔隙度呈显著正相关关系(P<0.05),与含水量、容重、非毛管孔隙度、紧实度关系不显著(P≥0.05);Shannon-Wiener、Simpson、Pielou均匀度指数与土壤物理性质间关系不显著(P≥0.05)。从化学性质来看,Patric物种丰富度与有机质、全氮、全磷呈显著正相关关系(P<0.05),与全钾、速效磷、速效钾、硝态氮、铵态氮关系不显著(P≥0.05);Shannon-Wiener指数与有机质、全磷呈显著正相关关系(P<0.05),与全氮、全钾、速效磷、速效钾、硝态氮、铵态氮关系不显著(P≥0.05);Simpson、Pielou均匀度指数与土壤化学性质间关系不显著(P≥0.05)。
图3 边坡α物种多样性与土壤理化性质之间的关系

注:图a、图b分别为α物种多样性与土壤物理性质、化学性质的关系;SMC为含水率;BD为容重;GRI为总孔隙度;CP为毛管孔隙度;NCP为非毛管孔隙度;SF为紧实度;SOM为有机质;TN为全氮;TP为全磷;TK为全钾;AP为速效磷;AK为速效钾;NN为硝态氮;AN为铵态氮;N0为Patric物种丰富度;N1为Shannon-Wiener指数;N2为Simpson指数;J为Pielou均匀度指数。

Fig. 3 The relationship between slope α species diversity and soil physical and chemical properties

3 讨论

当某一区域植被被完全破坏后,在自然更新情况下,一般植被演替方向由草本群落向灌木或乔木方向演替[18-19]。但受气候、土壤、水分、坡度等条件比较恶劣影响,往往形成以多年生草本为主的顶极群落[20]。高速公路边坡陡峭,土壤贫瘠,水分较少的边坡喷播混合草种后经过不同年限的恢复(15 a、12 a、8 a、4 a、2 a),群落仍以草本植物为建群种,植物科属种数量随着年限增加呈先下降后上升趋势(图1),主要原因可能是喷播混合草本植物,前期喷洒水后,大部分草本植物能够生存,但随着演替的进行,人工干预减少,土壤水分、营养物质含量较低,植物之间对水分、营养物质、光照等产生竞争作用,部分植物释放出分泌物抑制个别植物生长,适应能力相对较弱的植物被淘汰,植物科属种数减少,但随着植被演替的进行,部分土壤物理化学性质改善后,草本植物逐渐增加,物种数量增加[21-22]
α物种多样性是植物群落在物种水平上的多样化,能够用来反映群落动态演替、物种组成与结构以及群落功能的复杂性和稳定性的重要指标[23-24]。本研究中,随着边坡草本群落演替的进行,边坡Patric物种丰富度、Shannon-Wiener、Simpson指数的差异性逐渐增大,均表现出随着边坡恢复年限的增长指数值呈上升趋势,说明随着边坡恢复年限的增长草本群落物种组成与结构变得更加复杂,群落的优势度逐渐增大,抗逆能力越强,这与陆兆华等[25]通过边坡植被恢复群落稳定性研究结论一致,主要原因是高速公路边坡的形成主要是人为因素形成,形成初期土壤较贫瘠,一定程度上不适宜植物生存,但经过喷播紫花苜蓿等豆科植物,对土壤氮固定和冰草等禾本科植物根系改善土壤物理化学性质改善后,为其他物种侵入提供了条件,群落稳定性逐渐由结构稳定性主导向功能稳定性主导演变[26]。Pielou均匀度指数除了恢复4 a草本群落外,恢复15 a、12 a、8 a、2 a间差异均不显著,说明随着演替的进行,群落物种数量、种类多样性、优势度发生逐渐增加,其物种分布均匀程度影响不是很大,主要原因可能是草本植物种子成熟后,种子容易受风媒、昆虫等传播介质的影响,种子在研究区域内的分布比较均匀[27-28]
土壤物理化学性质对植物物种多样性的影响很大,贺金生等[29]认为,植被群落土肥条件越好,其物种多样性越高;李新荣等[30]、胡婵娟等[31]认为被破坏植被迹地随着年限增长,土壤肥力变高,物种多样性增大。本研究中,土壤的物理化学性质对草本群落Patric物种丰富度与Shannon-Wiener指数影响较大,这与物种多样性随着恢复年限的增长,物种的丰富度和群落种类多样性增高相对应,说明植被演替过程中伴随着土壤物理和化学性质的变化,相反,土壤物理化学性质变化也会促进提高植物群落物种多样性[31-32]。温继文等[33]认为在植被演替过程中,往往会受一个或多个关键环境因子的影响,而表现出与其他环境因子相关性相对较弱,本研究结果与其相似,物理性质总孔隙度和毛管孔隙度对Patric物种丰富度指数影响最大,化学性质有机质、全氮、全磷对Patric物种丰富度和Shannon-Wiener指数影响最大,Patric物种丰富度指数与全钾、Shannon-Wiener指数与速效磷、Simpson指数与全磷、速效磷Mantel检验虽然存在部分不显著,但是Mantel相关系数相对较大。

4 结论

黄土高原高速公路边坡不同年限喷洒混合草种后,草本群落多为多年生草本植物组成,随着恢复年限的增长,群落在物种组成、数量等存在差异;Patric物种丰富度指数、Shannon-Wiener指数、Simpson指数呈上升趋势,但Pielou均匀度指数变化差异不大;土壤总孔隙度、毛管孔隙度、有机质、全氮、全磷等是Patric物种丰富度与Shannon-Wiener指数的关键环境因子,其他物理化学性质对α物种多样性影响不显著。
[1]
信忠保, 许炯心, 郑伟, 等. 气候变化和人类活动对黄土高原植被覆盖变化的影响[J]. 中国科学(D辑: 地球科学), 2007, 37(11): 1504-1514.

[Xin Zhongbao, Xu Jiongxin, Zheng Wei, et al. Effects of climate change and human activities on vegetation cover change in the Loess Plateau[J]. Scientia Sinica (Terrae), 2007, 37(11): 1504-1514.]

[2]
武永利, 李智才, 王云峰, 等. 山西典型生态区植被指数(NDVI)对气候变化的响应[J]. 生态学杂志, 2009, 28(5): 925-932.

[Wu Yongli, Li Zhicai, Wang Yunfeng, et al. Responses of vegetation index (NDVI) in typical ecological areas of Shanxi Province to climate change[J]. Chinese Journal of Ecology, 2009, 28(5): 925-932.]

[3]
段语凤, 张玉秀, 余创, 等. 煤炭井工开采对干旱荒漠区植被动态变化的影响[J]. 生态学报, 2020, 40(23): 8717-8728.

[Duan Yufeng, Zhang Yuxiu, Yu Chuang, et al. Effects of the underground coal mining on the dynamic changes of vegetation in arid desert area[J]. Acta Ecologica Sinica, 2020, 40(23): 8717-8728.]

[4]
肖蓉, 高照良, 宋晓强, 等. 高速公路边坡植被特征分析及护坡模式优化研究[J]. 水土保持学报, 2009, 23(2): 90-94.

[Xiao Rong, Gao Zhaoliang, Song Xiaoqiang, et al. Analysis of vegetation features on slopes of expressway and study of slope protection model optimization[J]. Journal of Soil and Water Conservation, 2009, 23(2): 90-94.]

[5]
余杭, 高若允, 杨柳生, 等. 震后生态恢复初期植被-土壤的耦合关系研究——以汶川县威州镇、绵竹市汉旺镇为例[J]. 北京林业大学学报, 2021, 43(5): 53-63.

[Yu Hang, Gao Ruoyun, Yang Liusheng, et al. Coupling relationship between vegetation and soil in the early stage of ecological restoration after earthquake: A case study of Weizhou Town in Wenchuan County and Hanwang Town in Mianzhu City of Sichuan Province, southwestern China[J]. Journal of Beijing Forestry University, 2021, 43(5): 53-63.]

[6]
苟小林, 涂卫国, 李玲, 等. 川西北地区沙化草地特征研究[J]. 草地学报, 2016, 24(4): 768-775.

DOI

[Gou Xiaolin, Tu Weiguo, Li Ling, et al. Research on characteristics of the desertified grassland in the North-west of Sichuan Province[J]. Acta Agrestia Sinica, 2016, 24(4): 768-775.]

DOI

[7]
李宇章, 王亚妮, 胡宜刚, 等. 不同植被恢复措施下高寒沙化草地植被与土壤变化特征[J]. 水土保持学报, 2022, 36(4): 211-218.

[Li Yuzhang, Wang Yani, Hu Yigang, et al, Characteristics of vegetation and soil under different restoration measures in alpine desertification grassland[J]. Journal of Soil and Water Conservation, 2022, 36(4): 211-218.]

[8]
左小安, 赵学勇, 赵哈林, 等. 退化沙质草场群落特征及功能群多样性的空间变异性[J]. 干旱区研究, 2006, 6(1): 39-45.

[Zuo Xiao'an, Zhao Xueyong, Zhao Halin, et al. Spatial variability of community characters and functional group diversity in a degenerated sandy steppe in Horqin sandland[J]. Arid Zone Research, 2006, 6(1): 39-45.]

[9]
任亦君, 席璐璐, 缑倩倩, 等. 单次小降雨(≤5 mm)事件对4种典型荒漠一年生草本植物生长和繁殖的影响[J]. 中国沙漠, 2021, 41(4): 87-99.

DOI

[Ren Yijun, Xi Lulu, Gou Qianqian, et al. Effects of single small rainfall events (≤5 mm) on the growth and reproduction of four typical desert annual herbaceous plants[J]. Journal of Desert Research, 2021, 41(4): 87-99.]

DOI

[10]
姚文秀. 陇中黄土高原主要人工防护林植物-土壤互馈作用研究[D]. 兰州: 兰州大学, 2023.

[Yao Wenxiu. Plant-soil Interaction of Main Artificial Protective Forest in the Longzhong Loess Plateau[D]. Lanzhou: Lanzhou University, 2023.]

[11]
许文文, 赵燕翘, 王楠, 等. 人工生物土壤结皮对草本植物群落组成与多样性的影响[J]. 中国沙漠, 2022, 42(5): 204-211.

DOI

[Xu Wenwen, Zhao Yanqiao, Wang Nan, et al. Effects of artificial biological soil crusts on the composition and diversity of herbaceous plant communities[J]. Journal of Desert Research, 2022, 42(5): 204-211.]

DOI

[12]
乔静娟, 左小安, 岳平, 等. 养分添加与干扰对荒漠草原群落组成及构建的影响[J]. 干旱区研究, 2023, 40(6): 958-970.

[Qiao Jingjuan, Zuo Xiao'an, Yue Ping, et al. Nutrient addition and disturbance effects on the community composition and assembly in a desert steppe[J]. Arid Zone Research, 2023, 40(6): 958-970.]

[13]
方昭, 张少康, 刘海威, 等. 黄土丘陵区草本群落生物量空间分布格局及其影响因素[J]. 草业学报, 2018, 27(2): 26-35.

DOI

[Fang Zhao, Zhang Shaokang, Liu Haiwei, et al. Distribution of herbaceous community biomass and its relationship with influencing factors in the Loess Hilly Region[J]. Acta Prataculturae Sinica, 2018, 27(2): 26-35.]

DOI

[14]
刘小娥, 苏世平, 李毅, 等. 兰州市南北两山5种典型人工林土壤的渗透特性[J]. 水土保持通报, 2021, 41(3): 69-75.

[Liu Xiao’e, Su Shiping, Li Yi, et al. Soil infiltration characteristics under five forest types in southern and northern mountains of Lanzhou City[J]. Bulletin of Soil and Water Conservation, 2021, 41(3): 69-75.]

[15]
鲍士旦. 土壤农化分析[M]. 第三版. 北京: 中国农业出版社, 2000.

[Bao Shidan. Soil Agrochemical Analysis[M]. 3rd Ed. Beijing: China Agricultural Publishing House, 2000.]

[16]
赵安. 青藏高原东北边缘云杉属-冷杉属林火烧迹地灌木群落特征、种间关联性和生态位研究[D]. 兰州: 甘肃农业大学, 2022.

[Zhao An. Study on Shrub Community Characteristics, Interspecific Correlation and Niche in Burned Areas of Picea-Abies forest on the Northeastern Edge of Qinghai-Tibetan Plateau[D]. Lanzhou: Gansu Agricultural University, 2022.]

[17]
覃光莲, 谭劲英. Mantel方法在生态学中的应用[J]. 生物数学学报, 2014, 29(3): 507-512.

[Qin Guanglian, Tan Jingying. Mantel test and its applications in Ecology[J]. Journal of Biomathematics, 2014, 29(3): 507-512.]

[18]
常丽, 何元庆, 杨太保, 等. 玉龙雪山白水1号冰川退缩迹地的植被演替[J]. 生态学报, 2013, 33(8): 2463-2473.

[Chang Li, He Yuanqing, Yang Taibao, et al. Vegetation succession on Baishui No.1 glacier foreland, Mt. Yulong[J]. Acta Ecologica Sinica, 2013, 33(8): 2463-2473.]

[19]
王凯博, 陈美玲, 秦娟, 等. 子午岭植被自然演替中植物多样性变化及其与土壤理化性质的关系[J]. 西北植物学报, 2007, 27(10): 2089-2096.

[Wang Kaibo, Chen Meiling, Qin Juan, et al. Plant species diversity and the relation with soil properties in natural succession process in Ziwuling Area[J]. Acta Botanica Boreali-Occidentalia Sinica, 2007, 27(10): 2089-2096.]

[20]
马祥华, 焦菊英. 黄土丘陵沟壑区退耕地自然恢复植被特征及其与土壤环境的关系[J]. 中国水土保持科学, 2005, 3(2): 15-22, 31.

[Ma Xianghua, Jiao Juying. Characteristics of vegetation with natural restoration in removal lands in Loess hilly-guilly region and the relationship between the characteristics and soil environment[J]. Science of Soil and Water Conservation, 2005, 3(2): 15-22, 31.]

[21]
张德魁, 马全林, 刘有军, 等. 河西走廊荒漠区一年生植物组成及其分布特征[J]. 草业科学, 2009, 26(12): 37-41.

[Zhang Dekui, Ma Quanlin, Liu Youjun, et al. Composition and distribution characteristics of annual plant in desert area in Hexi Corridor[J]. Pratacultural Science, 2009, 26(12): 37-41.]

[22]
张文辉, 卢涛, 马克明, 等. 岷江上游干旱河谷植物群落分布的环境与空间因素分析[J]. 生态学报, 2004, 24(3): 552-559.

[Zhang Wenhui, Lu Tao, Ma Keming, et al. Analysis on the environmental and spatial factors for plant community distribution in the arid valley in the upper reach of Minjiang River[J]. Acta Ecologica Sinica, 2004, 24(3): 552-559.]

[23]
Harrison S. Local and regional diversity in a patchy landscape: Native, alien, and endemic herbs on serpentine[J]. Ecology, 1999, 80(1): 70-80.

[24]
杨振奇, 秦富仓, 张晓娜, 等. 砒砂岩区不同立地类型人工沙棘林下草本物种多样性环境解释[J]. 生态学报, 2018, 38(14): 5132-5140.

[Yang Zhenqi, Qin Fucang, Zhang Xiaona, et al. Environmental interpretation of herb species diversity under different site types of Hippophae rhamnoides forest in feldspathic sandstone region[J]. Acta Ecologica Sinica, 2018, 38(14): 5132-5140.]

[25]
陆兆华, 张琳. 露天煤矿排土场边坡植被恢复群落稳定性研究[J]. 煤炭科学技术, 2024, 52(1): 334-344.

[Lu Zhaohua, Zhang Lin. Ecological stability evaluation of revegetation community on open-pitcoal mine dump slopes[J]. Coal Science and Technology, 2024, 52(1): 334-344.]

[26]
于航, 冯天骄, 卫伟, 等. 晋西黄土区土壤理化特征对长期植被恢复的响应[J]. 生态学报, 2024, 44(7): 1-13.

[Yu Hang, Feng Tianjiao, Wei Wei, et al. Response of soil physicochemical characteristics to long-term vegetation restoration in loess region of western Shanxi Province[J]. Acta Ecologica Sinica, 2024, 44(7): 1-13.]

[27]
张敏, 朱教君, 闫巧玲, 等. 光对种子萌发的影响机理研究进展[J]. 植物生态学报, 2012, 36(8): 899-908.

DOI

[Zhang Min, Zhu Jiaojun, Yan Qiaoling, et al. Review on influence mechanisms of light in seed germination[J]. Chinese Journal of Plant Ecology, 2012, 36(8): 899-908.]

DOI

[28]
唐海萍, 蒋高明. 植物功能型及其生态学意义[J]. 应用生态学报, 2000, 11(3): 461-464.

[Tang Haiping, Jiang Gaoming. Plant functional type and its significance in ecological research[J]. Chinese Journal of Applied Ecology, 2000, 11(3): 461-464.]

PMID

[29]
贺金生, 陈伟烈. 陆地植物群落物种多样性的梯度变化特征[J]. 生态学报, 1997, 17(1): 93-101.

[He Jinsheng, Chen Weilie. A review of gradient changes in species diversity of land plant communities[J]. Acta Ecologica Sinica, 1997, 17(1): 93-101.]

[30]
李新荣, 张景光, 刘立超, 等. 我国干旱沙漠地区人工植被与环境演变过程中植物多样性的研究[J]. 植物生态学报, 2000, 24(3): 257-261.

[Li Xinrong, Zhang Jinguang, Liu Lichao, et al. Plant diversity in the process of succession of artificial vegetation types and environment in arid desert region of China[J]. Chinese Journal of Plant Ecology, 2000, 24(3): 257-261.]

[31]
胡婵娟, 郭雷. 植被恢复的生态效应研究进展[J]. 生态环境学报, 2012, 21(9): 1640-1646.

DOI

[Hu Chanjuan, Guo Lei. Advances in the research of ecological effects of vegetation restoration[J]. Ecology and Environmental Sciences, 2012, 21(9): 1640-1646.]

[32]
王尚义, 石瑛, 牛俊杰, 等. 煤矸石山不同植被恢复模式对土壤养分的影响——以山西省河东矿区1号煤矸石山为例[J]. 地理学报, 2013, 68(3): 372-379.

[Wang Shangyi, Shi Ying, Niu Junjie, et al. Influence of vegetation restoration models on soil nutrient of coal Gangue pile: A case study of No.1 Coal Gangue Pile in Hedong, Shanxi[J]. Acta Geographica Sinica, 2013, 68(3): 372-379.]

DOI

[33]
温继文, 李道亮, 白金, 等. 植被恢复与重建理论体系的构建[J]. 中国水土保持, 2007, 9(3): 22-25, 60.

[Wen Jiwen, Li Daoliang, Bai Jin, et al. Construction of theoretical system of vegetation restoration and reconstruction[J]. Soil and Water Conservation in China, 2007, 9(3): 22-25, 60.]

文章导航

/