天气与气候

青海省不同等级寒冷日数时空演变特征

  • 蔡玉琴 , 1, 2 ,
  • 祁栋林 , 2, 3 ,
  • 王烈福 4 ,
  • 李海凤 1 ,
  • 张德琴 1
展开
  • 1.青海省格尔木市气象局,青海 格尔木 816099
  • 2.青海省防灾减灾重点实验室,青海 西宁 810001
  • 3.青海省气象科学研究所,青海 西宁 810001
  • 4.青海省都兰县气象局,青海 都兰 816100
祁栋林. E-mail:

蔡玉琴(1988-),女,工程师,主要从事气候与气候变化研究. E-mail:

收稿日期: 2023-09-05

  修回日期: 2023-11-27

  网络出版日期: 2024-06-20

基金资助

中国科学院青海省人民政府三江源国家公园联合专项(LHZX-2020-07)

青海省科技厅重点研发与转化计划(2021-SF-141)

中国气象局创新发展专项(CXFZ2023P055)

青海省创新平台建设专项(2022-ZJ-Y11)

Spatial and temporal evolution characteristics of different grades of cold days in Qinghai Province

  • CAI Yuqin , 1, 2 ,
  • QI Donglin , 2, 3 ,
  • WANG Liefu 4 ,
  • LI Haifeng 1 ,
  • ZHANG Deqin 1
Expand
  • 1. Golmud Meteorological Bureau, Golmud 816099, Qinghai, China
  • 2. Qinghai Key Laboratory of Disaster Preventing and Reducing, Xining 810001, Qinghai, China
  • 3. Qinghai Institute of Meteorological Science, Xining 810001, Qinghai, China
  • 4. Qinghai Dulan County Meteorological Bureau, Dulan 816100, Qinghai, China

Received date: 2023-09-05

  Revised date: 2023-11-27

  Online published: 2024-06-20

摘要

利用1961—2019年青海省42个气象站逐日最低气温,分析不同等级寒冷日数时空演变特征。结果表明:(1) 1961—2019年青海省寒冷日数随着等级降低而逐渐增加,主要以微寒日数为主;总寒冷日数整体呈减少趋势,显著快速减少的突变发生在1995年;总寒冷日数减少主要是由酷寒日数的减少引起;1997年气候突变后严寒、大寒、小寒、轻寒、微寒和总寒冷日数变化趋势减少,酷寒日数变化趋势增多,极寒和凉日数变化趋势减少与增加分布相当。(2) 青海省寒冷日数表现出明显的空间差异,总寒冷日数随着海拔升高逐渐增加,等级较高的寒冷日数增减趋势较明显,随着寒冷等级的降低,增减趋势向低纬度和海拔相对较低的地区发展。(3) 极寒、酷寒、严寒、轻寒、微寒和总寒冷日数随年平均气温升高而逐渐减少,大寒、小寒和凉日数随年平均气温升高而逐渐增加。(4) 青海省除了严寒日数其余等级寒冷日数存在持续性,未来下降趋势将持续,但持续性强度不尽相同。

本文引用格式

蔡玉琴 , 祁栋林 , 王烈福 , 李海凤 , 张德琴 . 青海省不同等级寒冷日数时空演变特征[J]. 干旱区研究, 2024 , 41(5) : 742 -752 . DOI: 10.13866/j.azr.2024.05.03

Abstract

Based on the daily minimum temperature measured at 42 meteorological stations in Qinghai Province from 1961 to 2019, the spatial and temporal evolution of different grades of cold days (extreme cold, extremely cold, severe cold, major cold, minor cold, light cold, slightly cold, cool) were analyzed. The results showed that: (1) From 1961 to 2019, the number of cold days in Qinghai Province gradually increased with decreasing levels, mainly dominated by slightly cold days. The total number of cold days showed an overall decreasing trend, with a significant rapid decrease occurring in 1995. The decrease in total cold days was mainly caused by the reduction in extremely cold days. After the climate abrupt change in 1997, the trends of severe cold, major cold, minor cold, light cold, slightly cold, and total cold days decreased, while the trend of extremely cold days increased. The trends of extreme cold and cool days decreased and increased respectively, with a distribution roughly equal. (2) Qinghai Province exhibits significant spatial differences in cold days, with the total number of cold days gradually increasing with altitude, and the trends of higher-level cold days are more pronounced. As the level of coldness decreases, the trends of increase and decrease develop towards lower latitudes and areas with relatively lower altitudes. (3) The numbers of extreme cold, extremely cold, severe cold, light cold, slightly cold, and total cold days gradually decrease with increasing annual mean temperature, while the numbers of major cold, minor cold, and cool days gradually increase with increasing annual mean temperature. (4) Except for severe cold days, the numbers of other levels of cold days in Qinghai Province show persistence, and the downward trend will continue in the future, but the strength of persistence varies.

IPCC评估报告指出,随着全球气候变暖进一步加剧,极端高温事件将可能增加,极端低温事件将可能减少[1],但同时有研究指出,气候变暖会导致异常天气和气候发生频率及强度增加,且极端低温强度和影响不容小觑[2]。然而,青海省低温冻害频繁且响应程度强[3],给农牧业、生态环境等造成影响[4-5]。因此,研究极端低温寒冷天气时空变化,对更好的应对寒冷天气和防灾减灾具有重要的意义。
变暖背景下中国极端最高气温和平均气温均出现了增加趋势,尤其是北方地区的冬季,而寒潮(极端最低气温事件)频率趋于减少(减小)。极端低温作为一种极端气候事件,国内外学者从不同角度、不同区域和时间尺度上做了大量的研究,孔锋等[6]指出1961—2017年中国寒冷日数随着寒冷等级降低而逐渐增加,高等级寒冷日数以减少趋势为主。随着寒冷等级降低,寒冷日数增加和减少趋势的范围不断扩张。安彬等[7]指出1960—2017年黄土高原多数地区以大寒日数为主。总寒日数多呈减少趋势,且减少主要是由大寒日数减少导致。早期马柱国等[8]、翟盘茂等[9]、杨金虎等[3]和陈少勇等[10]分别对中国北方最低温度和极端低温事件发生频次等进行研究,指出中国北方最低温度发生频率、夜间温度极端偏低日数和极端低温事件发生频次显著减少,且年极端低温频率在1985年发生突变。近年来部分学者分别对青藏高原周边省份新疆[11]、陕西[12]、宁夏[13]、甘肃[14]、四川[15]和西藏[16]及中国北方沙漠沙地及周边[17]和青藏高原高寒内流区[18]、中国区域[19]极端气温进行分析,均得出极端气温指数普遍呈现显著的变化趋势,极端冷(暖)指数频率减少(增加),且年极端低温的上升幅度最大的结论。对青海省极端气温事件[20-21]部分学者已展开了研究,得出青海省极端气温冷指数呈显著减少趋势,极端气温冷指数减少速率在柴达木盆地和东部农业区最快。
在全球气候变暖背景下,学界多关注平均气温和极端高温事件,而对于极端低温事件研究相对较少,尤其对不同等级寒冷日数。鉴于此,本文利用1961—2019年青海省逐日最低气温,分析不同等级寒冷日数时空演变特征,以期对增暖背景下的寒冷日数有一个全面科学的认识,为青海防灾减灾、应对气候变化与构建青海省综合风险防范体系提供科学依据。

1 数据与方法

1.1 研究区概况

青海省位于青藏高原东北部边缘地区,地理位置为31°36′~39°12′N,89°25′~103°04′E,平均海拔在3000 m以上。受特殊的地理环境、大气环流等影响,气候寒冷干燥,太阳辐射强,属于典型的高原大陆性半干旱气候,对全球气候变化的响应十分敏感。青海省气候变化空间差异大,为使得研究更为客观合理,根据青海省气象地理区划规范的划分方法,将青海省分为4个生态功能区:柴达木盆地、三江源地区、东部农业区和环青海湖地区(图1)。
图1 研究区及气象站点分布

Fig. 1 Distribution of study area and meteorological stations

1.2 数据与方法

选用1961—2019年青海省42个气象站逐日最低气温。数据来源于青海省气象信息中心,该数据集经过严格检查和质量控制。根据气象行业的“寒冷程度等级”和参阅相关文献[6],结合青海省实际情况,将最低气温由低到高划分为8个等级,即极寒(Tmin≤-30 ℃)、酷寒(-30 ℃<Tmin≤-20 ℃)、严寒(-20 ℃<Tmin≤-15 ℃)、大寒(-15 ℃<Tmin≤-10 ℃)、小寒(-10 ℃<Tmin≤-5 ℃)、轻寒(-5 ℃<Tmin≤0 ℃)、微寒(0 ℃<Tmin≤5 ℃)、凉(5 ℃<Tmin≤10 ℃)。气温越低,等级越高,反之则相反。将不同等级寒冷日数的和记为总寒冷日数。采用线性趋势法和9 a滑动分析寒冷日数变化;Mann-Kendall和滑动t检验法对比分析确认突变;R/S法[22]分析寒冷日数未来趋势;反距离权重插值法分析寒冷日数分布和趋势空间特征。最后,对比分析1997年气候突变前后寒冷日数变化差异。

2 结果与分析

2.1 不同等级寒冷日数时间变化

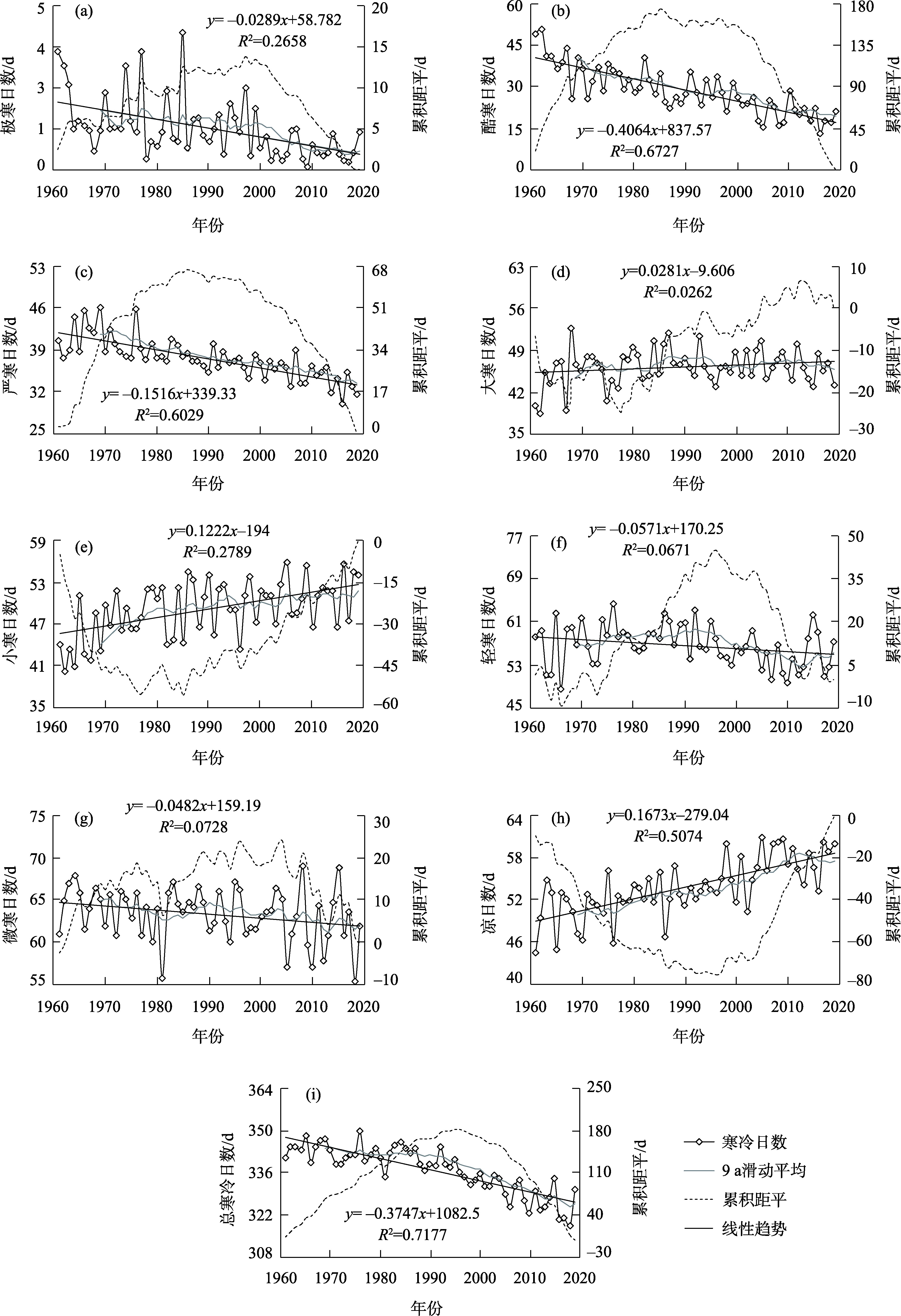
从寒冷日数变化曲线来看(图2a~图2i),青海省总寒冷日数为336.9 d,占全年总日数的92.3%,1976年以349.6 d最多,2018年以318.6 d最少,极值相差31 d,年际间波动较小。总寒冷日数主要以微寒日数(18.8%)为主,其次是轻寒(16.8%)和凉日数(16.0%),极寒日数(0.4%)最少,可见不同等级寒冷日数随着等级的降低而逐渐增加。从变化趋势看,总寒冷、极寒、酷寒、严寒、轻寒和微寒日数呈减少趋势,大寒、小寒和凉日数呈增加趋势,酷寒日数以4.1 d·(10a)-1的速度减少明显。可见总寒冷日数的减少主要由酷寒日数的减少引起,其次是极寒、严寒、轻寒和微寒日数,而大寒、小寒和凉日数引起了总寒冷日数的增加。
图2 青海省不同等级寒冷日数变化趋势

Fig. 2 The variation trend of different grades of cold days in Qinghai Province

从累积距平曲线来看(图2a~图2i),总寒冷日数在1961—1995年为偏多期,1996年之后为偏少期,且偏少幅度较大,可见近59 a来总寒冷日数减少明显。极寒和轻寒日数在1961—1997年为偏多期,1997年之后为偏少期。酷寒和严寒日数在1961—1985年为偏多期,且偏多幅度较大,1985年之后为偏少期;酷寒和严寒日数偏少年份相对于总寒冷、极寒和轻寒日数稍早一点。大寒日数在1960—1985年波动幅度较大,1985年之后为偏多期。微寒日数在1961—1976年、1982—1996年为偏多期,1977—1981年、2004—2019年为偏少期,总体呈“多—少—多—少”趋势。小寒和凉日数分别在1961—1985年、1961—1997年为偏少期,在1985年、1997年之后为偏多期,凉日数偏多幅度较小寒日数明显。
从滑动平均曲线来看(图2a~图2i),总寒冷日数从20世纪60年代至今呈减少趋势,60—80年代末缓慢减少,90年代开始呈迅速减少。可见总寒冷日数减少是毋庸置疑的事实。极寒、酷寒和严寒日数呈减少趋势,酷寒和严寒日数迅速减少,极寒日数减少相对缓慢。大寒日数在60—90年代中期波动较大,之后变化不明显。小寒和凉日数整体呈增加趋势;小寒日数在60—70年代迅速增加,之后缓慢增加;凉日数在21世纪10年代后减少。轻寒和微寒日数整体呈缓慢减少趋势;轻寒日数在60—90年代中前期增加,90年代中前期达到高点后减少,至2013年后逐渐增加;微寒日数在60—70年代末减少,之后缓慢增加,至1991年之后波动减少。
从年代距平变化来看(表1),总寒冷日数在1961—2019年随着年代的推移,从正距平演变为负距平,进一步表明总寒冷日数呈减少趋势。极寒、酷寒、严寒、轻寒和微寒日数呈减少趋势;极寒日数从21世纪演变为负距平,酷寒、严寒、轻寒和微寒日数从90年代演变为负距平。大寒、小寒和凉日数随着年代推移从负距平演变为正距平,大寒日数在21世纪10年代演变为负距平。可见小寒和凉日数呈现增加趋势,其余等级寒冷日数呈减少趋势。
表1 青海省不同等级寒冷日数年代距平

Tab. 1 The decadal anomaly of different grades of cold days in Qinghai Province /d

年代 总寒冷 极寒 酷寒 严寒 大寒 小寒 轻寒 微寒
1961s—1970s 7.3 0.7 11.7 3.9 -1.4 -4.5 0.1 1.3 -4.2
1971s—1980s 5.0 0.3 3.6 2.0 -0.1 -0.2 1.2 0.2 -2.0
1981s—1990s 4.4 0.3 0.2 0.1 1.3 0.6 2.2 0.6 -1.0
1991s—2000s 0.3 0.1 -0.1 -0.5 0.0 0.4 -0.1 -0.1 0.3
2001s—2010s -9.0 -0.7 -8.3 -3.1 0.1 2.1 -1.9 -0.7 3.7
2011s—2019s -11.2 -0.7 -9.5 -4.1 -0.6 2.6 -1.4 -1.2 3.7

2.2 不同等级寒冷日数空间分布

从空间变化来看,总寒冷日数呈鞍型场分布特征,主要分布在三江源地区和环青海湖地区,超过了355 d,其次是柴达木盆地(328.5 d),东部农业区最少(304.1 d),其中三江源地区五道梁、沱沱河和曲麻莱以365.2 d最多,东部农业区民和以252.5 d最少(图3i)。
图3 青海省不同等级寒冷日数空间分布

Fig. 3 Spatial distribution of different grades of cold days in Qinghai Province

极寒日数在三江源地区清水河超过了18 d,环青海湖以北的托勒、野牛沟和三江源地区沱沱河和玛多超过了5 d,其余地区少于2 d;此外,15个气象站未出现极寒天气(图3a)。对于极寒日数而言,酷寒日数整体大大增加(图3b),主要分布在三江源地区和环青海湖地区,其中环青海湖以北的托勒、野牛沟和三江源地区沱沱河和五道梁超过了80 d;东部农业区尖扎未出现酷寒天气。严寒日数在环青海湖地区、三江源地区和柴达木盆地分布较多,超过了41 d,其中三江源地区五道梁以60.9 d最多,东部农业区循化以3.9 d最少(图3c)。大寒日数在柴达木盆地分布较多,超过了50 d,其中柴达木盆地都兰以56.2 d最多,东部农业区民和以34.6 d最少(图3d)。小寒、轻寒日数主要分布在三江源地区;小寒日数在环青海湖地区分布较少(图3e),轻寒日数在柴达木盆地分布较少(图3f)。微寒日数主要分布在环青海湖地区和三江源中东部,其中环青海湖地区门源以80.1 d最多,三江源西部五道梁以43.7 d最少(图3g)。凉日数主要分布在东部农业区,超过了71 d;其中东部农业区同仁和湟中超过80 d,三江源地区五道梁和清水河小于10 d(图3h)。可见,等级较高的寒冷日数在三江源地区和环青海湖以北祁连山区分布较多,随着寒冷等级降低则在柴达木盆地和东部农业区分布较多。

2.3 不同等级寒冷日数的变化趋势空间分布

青海省总寒冷日数总体呈减少趋势,减少地区主要分布在柴达木盆地[6.3 d·(10a)-1]和东部农业区[5.8 d·(10a)-1],其次是环青海湖地区[2.4 d·(10a)-1],三江源地区减少[0.9 d·(10a)-1]最小(图4)。其中柴达木盆地格尔木、茫崖和东部农业区同仁减少最明显,减少速率在9.1 d·(10a)-1以上。
图4 青海省总寒冷日数变化趋势空间分布

Fig. 4 Spatial distribution of variation trend of total cold days in Qinghai Province

极寒、酷寒和严寒日数呈减少趋势。极寒和酷寒日数减少地区主要分布在三江源地区、环青海湖地区和柴达木盆地;严寒日数减少地区主要分布在柴达木盆地和东部农业区,其中东部农业区湟中和柴达木盆地格尔木分别以7.7 d·(10a)-1和6.9 d·(10a)-1的速度减少明显。大寒和凉日数除东部农业区呈减少趋势,其他生态功能区呈增加趋势;大寒日数在东部农业区循化和尖扎分别以5.7 d·(10a)-1和5.3 d·(10a)-1的速度减少明显,凉日数在东部农业区同仁和乐都以3.3 d·(10a)-1的速度减少明显。小寒日数自西向东呈增加趋势,其中东部农业区同仁、湟中和乐都增加速率均超过了3.0 d·(10a)-1。轻寒日数在环青海湖地区和三江源地区呈减少趋势,在柴达木盆地和东部农业区呈增加趋势,其中柴达木盆地格尔木以3.0 d·(10a)-1的速度增加明显,三江源地区曲麻莱以4.4 d·(10a)-1的速度减少明显。微寒日数除了三江源地区呈增加趋势,其他生态功能区呈减少趋势,其中东部农业区互助以4.1 d·(10a)-1的速度减少明显,三江源地区五道梁以5.5 d·(10a)-1的速度增加明显。

2.4 1997年气候突变前后不同等级寒冷日数的变化特征

郑然等[23]对青藏高原1971—2011年平均气温变化进行突变分析发现,Mann-Kendall交点位于1997—1998年,通过显著性检验。滑动t检验结果发现,当n=5,n=7,n=10时均检测出1997年为明显突变年。丁一汇等[24]对青藏高原地区气温及中国其他地区气温突变情况对比分析,认为相比20世纪80年代的突变,青藏高原在90年代中期存在更为显著的暖突变。
从寒冷日数变化来看,总寒冷日数减少了13.0 d(表2);其中柴达木盆地和东部农业区减少最明显,环青海湖地区次之,三江源地区减少最小。极寒、酷寒、严寒、轻寒和微寒日数在减少,而大寒、小寒和凉日数在增加,其中,酷寒日数以11.9 d的速度减少最明显,对总寒冷日数贡献率最大。
表2 1997年气候突变前后青海省不同等级寒冷日数及变化趋势对比

Tab. 2 Comparison of the number and trend of cold days of different grades in Qinghai Province before and after the abrupt climate change in 1997

寒冷等级 寒冷日数/d 寒冷日数变化趋势/[d·(10a)-1]
1961—2019年 1961—1997年 1998—2019年 差异 1961—2019年 1961—1997年 1998—2019年 差异
极寒 1.3 1.7 0.7 -1.0 -0.3 -0.1 -0.1 0.0
酷寒 28.9 33.3 21.4 -11.9 -4.1 -4.3 -3.4 0.9
严寒 37.6 39.2 34.8 -4.4 -1.5 -1.5 -1.9 -0.4
大寒 46.2 46.1 46.5 0.4 0.3 0.9 -0.9 -1.8
小寒 49.1 48.0 51.1 3.2 1.2 1.8 0.6 -1.2
轻寒 56.7 57.8 54.7 -3.1 -0.6 0.7 0.2 -0.5
微寒 63.3 63.9 62.3 -1.6 -0.5 -0.3 -0.8 -0.6
53.8 51.8 57.2 5.4 1.7 1.3 1.3 0.0
总寒冷 336.9 341.7 328.8 -13.0 -3.7 -1.6 -5.0 -3.4
从变化趋势来看(表2),总寒冷日数变化趋势自东向西呈“减少—增多”空间格局;整体以减少[3.4 d·(10a)-1]为主,除了柴达木盆地德令哈、茫崖、格尔木、都兰和三江源地区玉树以及东部农业区西宁增多外,其他生态功能区减少,其中东部农业区[7.5 d·(10a)-1]减少明显。极寒和凉日数变化趋势减少与增加分布相当。酷寒日数变化趋势增多,其中柴达木盆地[5.3 d·(10a)-1]增多明显。严寒、大寒、小寒、轻寒和微寒日数变化趋势减少,减少分布为:大寒>小寒>微寒>轻寒>严寒。严寒日数变化趋势在东部农业区增多,其他生态功能区减少,其中三江源东部和环青海湖地区[2.5 d·(10a)-1]减少明显;大寒日数变化趋势除三江源西部增多,其他生态功能区减少,其中柴达木盆地西部出现了减少[4.9 d·(10a)-1]幅度中心;小寒和轻寒日数变化趋势在环青海湖地区增多,其他生态功能区减少或持平;微寒日数变化趋势在柴达木盆地增多,其他生态功能区以减少为主,其中环青海湖以北的祁连山区以5.2 d·(10a)-1的速度减少明显。

2.5 不同等级寒冷日数与平均气温的关系

从年平均气温和总寒冷日数变化趋势来看(图5),总寒冷日数与年平均气温呈负相关,相关系数为-0.883,通过0.01的显著性检验,总寒冷日数随着年平均气温的升高而减少,年平均气温每升高1 ℃,总寒冷日数减少8.9 d。不同生态功能区总寒冷日数与年平均气温的相关系数为-0.728~-0.889,均通过了0.01的显著性检验。年平均气温与极寒、酷寒、严寒、轻寒和微寒日数呈负相关,相关系数分别为-0.531、-0.734、-0.685、-0.447、-0.338,与大寒、小寒和凉日数呈正相关,相关系数分别为0.191、0.443、0.682,年平均气温除了与大寒日数无明显的相关性外,与其余等级寒冷日数显著相关。
图5 青海省年平均气温和总寒冷日数变化趋势

Fig. 5 The variation trend of annual average temperature and total cold days in Qinghai Province

2.6 不同等级寒冷日数与地形因子的关系

为了进一步显示寒冷日数空间差异,更直观地反映地形因子对寒冷日数的影响,利用多元回归统计寒冷日数与经度、纬度和海拔的关系(表3)。结果显示,地形因子与寒冷日数的复相关系数在0.353~0.890之间,除大寒日数,其余等级寒冷日数回归方程均达到0.01的信度水平。从偏相关系数来看,经度与极寒、酷寒、严寒、大寒、小寒和凉日数,纬度与极寒、大寒、轻寒和微寒日数,海拔与大寒日数无明显的相关性外,与其余等级寒冷日数显著相关。
表3 青海省不同等级寒冷日数及变化趋势与经度、纬度和海拔的关系

Tab. 3 The relationship between the number and variation trend of different grades of cold days and longitude, latitude and altitude in Qinghai Province

寒冷
等级
寒冷日数 寒冷日数变化趋势
复相关系数 F Sig 复相关系数 F Sig
极寒 0.535 5.071 0.005 0.602 7.201 0.001
酷寒 0.881 44.043 0.000 0.625 8.109 0.000
严寒 0.824 26.810 0.000 0.697 11.962 0.000
大寒 0.353 1.804 0.163 0.676 10.654 0.000
小寒 0.764 17.729 0.000 0.621 7.967 0.000
轻寒 0.872 40.349 0.000 0.713 13.106 0.000
微寒 0.526 4.838 0.006 0.518 4.655 0.007
0.842 30.737 0.000 0.712 13.050 0.000
总寒冷 0.890 48.150 0.000 0.804 23.171 0.000

注:F为方差检验;Sig为显著性水平。

从寒冷日数变化趋势与地形因子的多元回归结果来看(表3),寒冷日数变化趋势与地形因子的复相关系数在0.518~0.804之间,呈显著相关。从偏相关系数来看,地形因子与极寒、酷寒、小寒和轻寒日数变化趋势呈负相关,与严寒、大寒、微寒和凉日数变化趋势呈正相关,且对轻寒日数变化趋势影响最为明显。综上所述,海拔对不同等级寒冷日数及变化趋势的影响最大,其次是经度和纬度。

2.7 不同等级寒冷日数的突变特征

采用Mann-Kendall非参数检验法对寒冷日数进行突变点检验,可以看出,总寒冷日数的UBUF相较于1998年,交点在0.05的信度线外(图6a),结合滑动t检验(图6b)和累积距平(图2i)发现总寒冷日数在1995年发生突变。极寒、酷寒、轻寒和凉日数在1999年前后发生突变,其中轻寒日数的突变点出现年份略早于极寒和酷寒日数,而凉日数突变点出现年份最晚;极寒和凉日数由一个相对偏冷期突变为一个相对偏暖期,而酷寒和轻寒日数则从一个相对偏暖期突变为一个相对偏冷期。严寒、大寒、小寒、微寒日数没有发生突变。
图6 青海省总寒冷日数突变检验

Fig. 6 Mutation test of total cold days in Qinghai Province

2.8 不同等级寒冷日数未来趋势

有研究发现趋势项的存在对Hurst指数的估计影响很大,因此,在进行R/S分析前,对时间序列数据进行预处理,以消除趋势项的影响。选取1961—2019年寒冷日数进行线性差分,消除其线性趋势,再根据R/S分析原理对寒冷日数差分后序列的持续性进行分析。Hurst指数显示(表4),严寒日数的Hurst指数小于0.5,其余等级寒冷日数Hurst指数均大于0.5,说明严寒日数存在反向持续性,其余等级寒冷日数存在持续性,即严寒日数未来变化与过去59 a的变化趋势不一致,其余等级寒冷日数未来变化与过去59 a的变化趋势一致。过去总体增加的趋势预示未来大寒、小寒和凉日数总体将继续增加,过去总体减少的趋势预示未来总寒冷、极寒、酷寒、严寒、轻寒和微寒日数整体将继续减少,尤其总寒冷和轻寒日数持续性强度很强。
表4 青海省不同等级寒冷日数的Hurst指数

Tab. 4 Hurst index of different grades of cold days in Qinghai Province

总寒冷 极寒 酷寒 严寒 大寒 小寒 轻寒 微寒
Hurst指数 0.87 0.54 0.61 0.49 0.60 0.62 0.80 0.57 0.55
Hurst指数等级 5 1 2 -1 2 2 4 2 1
持续性强度 很强 很弱 较弱 很弱 较弱 较弱 较弱 很弱

3 讨论

青海省1961—2019年寒冷日数随着等级降低而逐渐增加,高等级寒冷日数较少,中低等级寒冷日数较多;不同等级寒冷日数分布不仅与纬度密切相关,而且还受地形地势的影响,这与孔锋[6]和安彬等[7]研究结果一致。青海省总寒冷日数呈减少趋势,在年代周期内随着年代推移,从正距平演变为负距平;减少主要表现在柴达木盆地和东部农业区;寒冷日数随着平均气温升高而逐渐减少,寒冷日数在90年代中后期发生突变,这与蒋帅等[19]、杨金虎等[3]、郑然等[23]和冯晓莉等[20]研究的极端气温冷事件结果一致。但不同等级寒冷日数对总寒冷日数减少的作用略有不同,青海省寒冷日数主要以微寒日数为主,总寒冷日数减少是由酷寒日数减少引起。而黄土高原多数地区以大寒日数为主,总寒冷日数减少主要是由大寒日数减少引起。
Hurst指数显示青海省总寒冷日数在未来将继续减少,与汪宝龙等[25]研究的极端冷指标在未来将继续下降结果一致。近年来随着全球气候变暖,青海省21世纪极端低温事件明显减少,极端暖指标均呈明显的上升趋势[26]。这种趋势对青海省农牧业和生态环境的影响有利有弊。一方面,低温事件减少利于春播作物播种期提前,喜温作物生育期延长,越冬作物播种期推后,低温冷害的不良影响有所缓解,且有利于温棚蔬菜经济作物等安全越冬;另一方面,低温事件减少也可能导致病虫害数量增多,发病范围扩大,会加剧病虫害对农业生产的威胁[27-28]。高温事件增加使三江源地区格拉丹东和阿尼玛卿冰川面积、冰储量减少、冻结期不断缩短[29]、多年冻土面积减少、冻土下界升高,特别是在多年冻土边缘不衔接或岛状冻土区发生比较明显的退化等[30]。因此深入了解极端寒冷日数的时空分布规律对青海省生态环境保护持续健康发展提供参考。

4 结论

选用青海省1961—2019年的逐日最低气温数据,采用气候统计方法,分析青海省不同等级寒冷日数时空演变特征,主要得到以下结论:
(1) 1961—2019年青海省寒冷日数随着寒冷等级的降低而逐渐增加,表现出明显的空间差异。等级较高的极寒、酷寒、严寒和大寒日数主要分布在三江源地区和环青海湖地区,等级较低的小寒、轻寒、微寒和凉日数主要分布在柴达木盆地和东部农业区,其中高海拔和高纬度地区分布较多。研究期内寒冷日数主要以微寒日数(18.8%)为主,其次是轻寒(16.8%)和凉日数(16.0%),极寒日数(0.4%)最少。
(2) 青海省总寒冷日数呈减少趋势,显著快速减少的突变发生在1995年;减少地区主要分布在柴达木盆地和东部农业区,其次是环青海湖地区,三江源地区减少最小;总寒冷日数减少主要是由酷寒日数的减少引起;1997年气候突变前后严寒、大寒、小寒、轻寒、微寒和总寒冷日数变化趋势减少,酷寒日数变化趋势增多,极寒和凉日数变化趋势减少与增加分布相当。
(3) 极寒、酷寒、严寒、轻寒、微寒和总寒冷日数随年平均气温升高而逐渐减少,而大寒、小寒和凉日数随年平均气温升高而逐渐增加;年平均气温每升高1 ℃,总寒冷日数减少8.9 d。
(4) 青海省严寒日数的Hurst指数小于0.5,其余等级寒冷日数Hurst指数均大于0.5,说明严寒日数未来变化与过去59 a的变化趋势不一致,其余等级寒冷日数未来变化与过去59 a的变化趋势一致,但持续性强度不尽相同。
[1]
IPCC AR5. Intergovernmental Panelon Climate Change 2013 Fifth Assessment Report (AR5)[R]. London: Cambridge University Press, Cambridge, UK, 2013.

[2]
陈晓晨, 徐影, 姚遥. 不同升温阈值下中国地区极端气候事件变化预估[J]. 大气科学, 2015, 39(6): 1123-1135.

[Chen Xiaochen, Xu Ying, Yao Yao. Changes in climate extremes over China in a 2 ℃, 3 ℃, and 4 ℃ warmer World[J]. Chinese Journal of Atmospheric Sciences, 2015, 39(6): 1123-1135.]

[3]
杨金虎, 沈永平, 王鹏祥, 等. 中国西北近45 a来极端低温事件及其对区域增暖的响应[J]. 冰川冻土, 2007, 29(4): 536-542.

[Yang Jinhu, Shen Yongping, Wang Pengxiang, et al. Extreme low temperature events in Northwest China and their response to regional warming in the recent 45 years[J]. Journal of Glaciology and Geocryology, 2007, 29(4): 536-542.]

[4]
祁如英, 王启兰, 申红艳. 青海草本植物物候期变化与气象条件影响分析[J]. 气象科技, 2006, 34(3): 306-310.

[Qi Ruying, Wang Qilan, Sheng Hongyan. Analysis of phenological-phase variation of herbage plants over Qinghai and impact of meteorological conditions[J]. Meteorological Science and Technology, 2006, 34(3): 306-310.]

[5]
张调风, 李林, 刘宝康, 等. 基于SPEI指数的近52年青海省农(牧)作物生长季干旱动态格局分析[J]. 生态学杂志, 2014, 33(8): 2221-2227.

[Zhang Tiaofeng, Li Lin, Liu Baokang, et al. Dynamic pattern of drought in crop (grass) growth season over Qinghai Province during last 52 years, based on standardized precipitation evapotranspiration index[J]. Chinese Journal of Ecology, 2014, 33(8): 2221-2227.]

[6]
孔锋. 1961—2017年中国不同等级寒冷天气日数时空演变特征[J]. 长江流域资源与环境, 2020, 29(1): 150-163.

[Kong Feng. Spatial and temporal variation characteristics of cold weather days with different grades in China from 1961 to 2017[J]. Resources and Environment in the Yangtze Basin, 2020, 29(1): 150-163.]

[7]
安彬, 肖薇薇, 朱妮, 等. 1960—2017年黄土高原不同等级寒冷日数时空演变特征[J]. 水土保持研究, 2023, 30(1): 327-335.

[An Bin, Xiao Weiwei, Zhu Ni, et al. Spatiotemporal evolution characteristics of cold days with different grades in the Loess Plateau during 1960-2017[J]. Research of Soil and Water Conservation, 2023, 30(1): 327-335.]

[8]
马柱国, 符淙斌, 任小波, 等. 中国北方年极端温度的变化趋势与区域增暖的联系[J]. 地理学报, 2003, 58(增刊): 11-20.

[Ma Zhuguo, Fu Congbin, Ren Xiaobo, et al. Trend of annual extreme temperature and its relationship to regional warming in northern China[J]. Acta Geographica Sinica, 2003, 58(Suppl. ): 11-20.]

[9]
翟盘茂, 潘晓华. 中国北方近50年温度和降水极端事件变化[J]. 地理学报, 2003, 58(增刊): 1-10.

[Zhai Panmao, Pan Xiaohua. Change in extreme temperature and precipitation over northern China during the second half of the 20th century[J]. Acta Geographica Sinica, 2003, 58(Suppl. ): 1-10.]

[10]
陈少勇, 王劲松, 任燕, 等. 近49年中国西北地区极端低温事件的演变特征[J]. 高原气象, 2011, 30(5): 1266-1273.

[Chen Shaoyong, Wang Jinsong, Reng Yan, et al. The evaluative characteristics of the extreme lowest temperature of Northwest China in recent 49 years[J]. Plateau Meteorology, 2011, 30(5): 1266-1273.]

[11]
邬晓丹, 罗敏, 孟凡浩, 等. 气候暖湿化背景下新疆极端气候事件时空演变特征分析[J]. 干旱区研究, 2022, 39(6): 1695-1705.

[Wu Xiaodan, Luo Min, Meng Fanhao, et al. New characteristics of spatio-temporal evolution of extreme climate events in Xinjiang under the background of warm and humid climate[J]. Arid Zone Research, 2022, 39(6): 1695-1705.]

[12]
姜雨彤, 郭宁, 马勇星, 等. 1960—2016年陕西省极端气温的时空变化研究[J]. 水资源与水工程学报, 2021, 32(4): 124-131.

[Jiang Yutong, Guo Ning, Ma Yongxing, et al. Spatio-temporal variation of extreme temperature in Shanxi Province during 1960-2016[J]. Journal of Water Resources & Water Engineering, 2021, 32(4): 124-131.]

[13]
徐洁, 毕宇珠, 雷秋良, 等. 1961—2020年宁夏地区极端气候变化趋势及影响因素分析[J]. 中国农业资源与区划, 2022, 43(12): 159-171.

[Xu Jie, Bi Yuzhu, Lei Qiuliang, et al. Analysis of extreme climate change trends and influencing factors from 1961 to 2020 in Ningxia Hui Autonomous Region, China[J]. Chinese Journal of Agricultural Resources and Regional Planning, 2022, 43(12): 159-171.]

[14]
黄浩, 张勃, 马尚谦, 等. 甘肃河东地区近30年季节极端气温指数变化与环流影响[J]. 高原气象, 2021, 40(1): 133-144.

DOI

[Huang Hao, Zhang Bo, Ma Shangqian, et al. Seasonal variation characteristics of extreme temperature index and its influence on circulation in Hedong area of Gansu Province in the past 30 years[J]. Plateau Meteorology, 2012, 40(1): 133-144.]

[15]
李谢辉, 刘子堂. 四川盆地极端气温事件时空变化特征及未来趋势[J]. 水土保持研究, 2023, 30(1): 264-273.

[Li Xiehui, Liu Zitang. Spatiotemporal change characteristics and future trends of extreme temperature events in Sichuan Basin[J]. Research of Soil and Water Conservation, 2023, 30(1): 264-273.]

[16]
鲁同所, 王红宾, 雷阳, 等. 拉萨市近50年极端气温的时间特征分析[J]. 昆明理工大学学报(自然科学版), 2021, 46(1): 115-125.

[Lu Tongsuo, Wang Hongbin, Lei Yang, et al. Temporal characteristics of extreme temperature events during the recent 50 years in Lhasa[J]. Journal of Kunming University of Science and Technology (Natural Sciences), 2021, 46(1): 115-125.]

[17]
侯承志, 黄丹青, 桂东伟, 等. 1961—2019年中国北方沙漠沙地极端气候变化特征及其影响因素[J]. 地理科学, 2023, 43(8): 1495-1505.

DOI

[Hou Chengzhi, Huang Danqing, Gui Dongwei, et al. Spatiotemporal variations of climate extremes and influential factors in deserts and sandy fields of northern China from 1961 to 2019[J]. Scientia Geographica Sinica, 2023, 43(8): 1495-1505.]

DOI

[18]
高文德, 王昱, 李宗省, 等. 基于极端气温指数的高寒内流区升温特征分析[J]. 高原气象, 2022, 41(3): 749-761.

DOI

[Gao Wende, Wang Yu, Li Zongxing, et al. An analysis of the heating up regulation in the endorheic area in alpine region based on the extreme temperature index[J]. Plateau Meteorology, 2022, 41(3): 749-761.]

DOI

[19]
蒋帅, 张黎, 景元书, 等. 1981—2015年中国区域极端气候事件的时空分布特征[J]. 水土保持研究, 2023, 30(6): 295-306.

[Jiang Shuai, Zhang Li, Jing Yuanshu, et al. Spatial and temporal distribution characteristics of regional extreme climate events in China from 1981 to 2015[J]. Research of Soil and Water Conservation, 2023, 30(6): 295-306.]

[20]
冯晓莉, 多杰卓么, 李万志, 等. 1961—2018年青海高原极端气温指数时空变化特征[J]. 干旱气象, 2021, 39(1): 28-37.

[Feng Xiaoli, Duo Jiezhuome, Li Wanzhi, et al. Spatiotemporal variations of extreme temperature indices over Qinghai Plateau during 1961-2018[J]. Journal of Arid Meteorology, 2021, 39(1): 28-37.]

[21]
罗静, 郑国强, 刘峰贵, 等. 青海高原1961—2019年暖冷昼(夜)日数比变化特征研究[J]. 自然灾害学报, 2021, 30(5): 100-111.

[Luo Jing, Zheng Guoqiang, Liu Fenggui, et al. Study on the variation characteristics of the warm-cold day (night) days ratio in Qinghai Plateau from 1961 to 2019[J]. Journal of Natural Disasters, 2021, 30(5): 100-111.]

[22]
江田汉, 邓莲堂. Hurst指数估计中存在的若干问题——以在气候变化研究中的应用为例[J]. 地理科学, 2004, 24(2): 177-182.

[Jiang Tianhan, Deng Liantang. Some problems in estimating a Hurst exponent: A case study of applications to climatic change[J]. Scientia Geographica Sinica, 2004, 24(2): 177-182.]

[23]
郑然, 李栋梁, 蒋元春, 等. 全球变暖背景下青藏高原气温变化的新特征[J]. 高原气象, 2015, 34(6): 1531-1539.

DOI

[Zheng Ran, Li Dongliang, Jiang Yuanchun, et al. New characteristics of temperature change over Qinghai-Xizang Plateau on the background of global warming[J]. Plateau Meteorology, 2015, 34(6): 1531-1539.]

DOI

[24]
丁一汇, 张莉. 青藏高原与中国其他地区气候突变时间的比较[J]. 大气科学, 2008, 32(4): 794-805.

[Ding Yihui, Zhang Li. Intercomparison of the time for climate abrupt change bet ween the Tibetan Plateau and other regions in China[J]. Chinese Journal of Atmospheric Sciences, 2008, 32(4): 794-805.]

[25]
汪宝龙, 张明军, 魏军林, 等. 西北地区近50年气温和降水极端事件的变化特征[J]. 自然资源学报, 2012, 27(10): 1720-1733.

DOI

[Wang Baolong, Zhang Mingjun, Wei Junlin, et al. The change in extreme events of temperature and precipitation over Northwest China in recent 50 years[J]. Journal of Natural Resources, 2012, 27(10): 1720-1733.]

DOI

[26]
刘彩红, 余锦华, 李红梅. RCPs情景下未来青海高原气候变化趋势预估[J]. 中国沙漠, 2015, 35(5): 1353-1361.

DOI

[Liu Caihong, Yu Jinhua, Li Hongmei. Projected climate change under the RCPs scenario in the Qinghai Plateau[J]. Journal of Desert Research, 2015, 35(5): 1353-1361.]

DOI

[27]
张春秀, 韦淑侠. 气候变化对青海海东农业的影响[J]. 北京农业, 2013, 33(3): 152-153.

[Zhang Chunxiu, Wei Shuxia. The impact of climate change on agriculture in Haidong, Qinghai[J]. Beijing Agriculture, 2013, 33(3): 152-153.]

[28]
刘彩红, 祁贵明, 戴升. 气候变化对青海海东农业区的影响评估与适应对策[J]. 安徽农业科学, 2011, 39(11): 6608-6610, 6613.

[Liu Caihong, Qi Guiming, Dai Sheng. Impact assessment of climate change on Haidong agricultural region in Qinghai and its adaptive countermeasures[J]. Journal of Anhui Agricultural Sciences, 2011, 39(11): 6608-6610, 6613.]

[29]
李红梅, 颜亮东, 温婷婷, 等. 三江源地区气候变化特征及其影响评估[J]. 高原气象, 2022, 41(2): 306-316.

DOI

[Li Hongmei, Yan Liangdong, Wen Tingting, et al. Characteristics of climate change and its impact assessment in the Three-River Regions[J]. Plateau Meteorology, 2022, 41(2): 306-316.]

DOI

[30]
汪青春, 李林, 李栋梁, 等. 青海高原多年冻土对气候增暖的响应[J]. 高原气象, 2005, 24(5): 708-713.

[Wang Qingchun, Li Lin, Li Dongliang, et al. Response of permafrost over Qinghai Plateau to climate warming[J]. Plateau Meteorology, 2005, 24(5): 708-713.]

文章导航

/