The Third Xinjiang Scientific Expedition

Chemical characteristics of surface water and groundwater in plain area of the Qargan River Basin on the north slope of Kunlun Mountains

  • Wengai LYU , 1, 2, 3, 4 ,
  • Yuwei JIANG 5 ,
  • Xingyu MA 1, 2, 3 ,
  • Lei LIU 6 ,
  • Jie XUE 1, 2, 3 ,
  • Bo ZHANG 1, 2, 3 ,
  • Caibian HUANG , 1, 2, 3
Expand
  • 1. State Key Laboratory of Desert and Oasis Ecology, Key Laboratory of Ecological Safety and Sustainable Development in Arid Lands, Xinjiang Institute of Ecology and Geography, Chinese Academy of Sciences, Urumqi 830011, Xinjiang, China
  • 2. Xinjiang Key Laboratory of Desert Plant Roots Ecology and Vegetation Restoration, Xinjiang Institute of Ecology and Geography, Chinese Academy of Sciences, Urumqi 830011, Xinjiang, China
  • 3. Cele National Station of Observation and Research for Desert Grassland Ecosystem in Xinjiang, Qira 848300, Xinjiang, China
  • 4. Xinjiang Geological Exploration Management Center, Urumqi 830002, Xinjiang, China
  • 5. College of Water Conservancy and Civil Engineering, Xinjiang Agricultural University, Urumqi 830052, Xinjiang, China
  • 6. School of Geography and Tourism, Xinjiang Normal University, Urumqi 830054, Xinjiang, China

Received date: 2024-03-12

  Revised date: 2024-05-20

  Online published: 2026-03-11

Abstract

Agricultural water constitutes a significant proportion of total water consumption in the Qargan River Basin. The imbalance between water supply and demand in this region has become increasingly prominent. Understanding the hydrochemical characteristics of irrigation water and groundwater in the Qargan River Basin is crucial for effective water resource allocation and ecological security within the oasis. This study examines the hydrochemical parameters, as well as the stable isotopic compositions of hydrogen and oxygen, in river water, channel water, and groundwater from the plain areas of the basin. Data were collected through field investigations, mathematical statistical analyses, and hydrochemical methods to explore the interaction between irrigation water and groundwater. The key findings are as follows: (1) River water, channel water, and groundwater are all weakly alkaline, with elevated fluoride content in each. The predominant hydrochemical type for all water bodies is SO4·Cl-Na, with SO42- and Na+ as the dominant anion and cation, respectively. Groundwater and channel water show trends of salinization, whereas the river water quality is comparatively better. (2) The three water bodies exhibit similar hydrochemical characteristics. Ion sources in river water and channel water are primarily controlled by rock weathering, while groundwater is influenced by both rock weathering and evaporative concentration. (3) The slopes of the river water, channel water, and groundwater lines are 3.70, 0.61, and 1.42, respectively, which are lower than the slope (5.62) of the local meteoric water line (LMWL). Additionally, nearly all sampling sites for the three water bodies are distributed below the LMWL in a relatively compact manner. This suggests that river and channel waters are closely hydrologically connected to groundwater and act as the primary recharge sources, contributing 56.48% and 43.52%, respectively, to groundwater replenishment.

Cite this article

Wengai LYU , Yuwei JIANG , Xingyu MA , Lei LIU , Jie XUE , Bo ZHANG , Caibian HUANG . Chemical characteristics of surface water and groundwater in plain area of the Qargan River Basin on the north slope of Kunlun Mountains[J]. Arid Land Geography, 2024 , 47(10) : 1617 -1627 . DOI: 10.12118/j.issn.1000-6060.2024.162

车尔臣河是昆仑山北坡较大的内陆河流域,流域内绿洲以利用地表水资源为主,适度开发利用地下水资源为辅。农业用水是车尔臣河流域最主要的行业用水,可占流域用水总量的76.23%~98.20%,平均89.17%[1]。整个昆仑山北坡区域土壤发育程度相对较低,土壤持水性极差,但绿洲农田灌溉主要以粗放的漫灌为主,高效节水面积不足30%[2],农业灌溉用水效率亟待提高。此外,昆仑山北坡区域的水利基础设施建设也相对薄弱,农田水利设施比较陈旧,灌区渠道的防渗率仅为47.8%[2],所以许多研究发现农田灌溉水是干旱区内陆河流域除河流外对地下水的另一重要补给源[3-5]。绿洲农田在灌溉过程中常伴随着大量化肥和农药的施用,由此是否会引起的车尔臣河流域地下水污染也是值得关注的重要生态环境问题。因此,考虑到粮食安全及生态环境的重要性,研究农田灌溉水与地下水的联通关系及水质变化特征,对车尔臣河流域绿色高质量发展及水资源可持续利用具有重要现实意义。
地表水与地下水的转化是水文循环过程中的重要环节,可直接影响到流域水资源量和水化学组分的时空分布与演化。在一定程度上,天然水化学组成记录着水体的形成和运移,而氢氧稳定同位素则直接参与了水循环过程,因此氢氧稳定同位素与水化学相结合的方法是目前公认能够较为准确解析地表水与地下水间相互作用及其转化关系的有效手段[5]。一些学者采用该方法,有效解析了人类活动[6]、时空变化[7]、环境和地质条件[8]、农业活动[9]、大气降水[10]等对地表水和地下水的水化学特征及相互转化关系的影响及作用机制。采用上述方法,在昆仑山北坡的皮山河绿洲区也发现地表水和浅层地下水联系紧密,但因人类活动影响使二者间转化关系变得非常复杂[11],那么目前车尔臣河流域是否也存在类似的变化趋势,相关研究还较少。
昆仑山北坡绿洲平原区属于暖温带极端干旱的荒漠气候,是人类主要经济活动区。该区域绿洲面积较小,如车尔臣河流域的且末县平原区绿洲面积尚不足国土面积的3.0%,耕地仅占县域面积的0.26%[2],因此绿洲平原区水资源的安全保障问题直接关系到流域经济社会的高质量发展。前期已有研究发现车尔臣河流域的地下水盐分不断积累,冲积平原区地下水的盐碱化现象尤其突出[12]。车尔臣河作为流域农业灌溉的重要河流,水质呈现出不断下降的现象[13],但是对车尔臣河流域平原区农田灌溉水的质量及其与地下水的相互关系,目前还关注较少。因此,通过分析车尔臣河流域平原绿洲区地表水与地下水的水化学和氢氧同位素组成特征,探究不同水源之间的转化关系,可为流域水资源的优化配置和水质的提升提供科学依据。

1 数据与方法

1.1 研究区概况

本文以车尔臣河流域平原灌溉区为研究区域,该流域位于新疆南疆若羌县和且末县内(83.75°~89.67°E,36.19°~39.81°N)。该区域属于典型的中纬度极端干旱区,年均温约为10 ℃,多年平均降水量约为19.0 mm,多年平均潜在蒸发量为2507 mm。流域内径流量较大的且有开发利用的主要河流有车尔臣河、塔什萨依河、瓦石峡河和若羌河,多年平均径流总量为9.07×108 m3,其中车尔臣河近10 a的年均径流量约为9.0×108 m3,山区的冰雪融水和降水是河流的主要补给源。径流量随月份变化较大,年径流量的70.0%以上集中在夏季。河流进入绿洲区域后通过水利工程被引入到渠系进入灌区,对农业生产十分有利。据实地调研,近几年位于该流域的且末县农业灌溉用水量已占到年度总用水量的90.0%左右,而约有85.0%的灌溉用水来源于地表水。农田灌溉水主要来源为河流引水,还有少部分的水库蓄水和地下水,主要通过干、支、斗三级渠道进入灌区,主要以漫灌的方式进入农田灌溉。灌溉绿洲区主要为灌淤土和冲积平原为盐化草甸土[13-15]

1.2 数据来源

2023年6—7月在车尔臣河流域平原区采集河水水样18组、渠水水样15组、地下水水样28组(图1)。河水采样点位于已开发利用的车尔臣河、塔什萨依河和瓦石峡河的中下游,以及若羌河的上游。因在若羌河上游山区建有大型拦蓄水库,中下游河道在大部分时间处于干枯状态,因此在平原区若羌河的河水采样点接近山区。渠水和地下水的采样点位于上述4条河流的绿洲平原灌区,其中农业灌溉渠水主要来源为河水、水库蓄水和农业用水井的地下水。地下水采样点设置在绿洲农田附近的灌溉井,采集水样属于浅层地下水。取样前用待取水清洗取样瓶至少3次,然后灌满并封盖,所有样品均用封口膜封装瓶口防止蒸发,并使用冰盒进行保存。
图1 车尔臣河流域地下水、河水和渠水采样点分布

Fig. 1 Distribution of groundwater, river water and channel water sampling points in the Qarqan River Basin

所有样品均在中国科学院新疆生态与地理研究所中心实验室进行溶解性总固体(Total dissolved solids,TDS)、pH值、K+、Na+、Ca2+、Mg2+、NO3-、Cl-、F-、SO42-、CO32-和HCO3-及氢氧稳定同位素的指标测定。采用重量法测定TDS,使用梅特勒-托莱德pH计测定pH值,火焰发射光谱法测定K+和Na+,火焰原子吸收分光光度法测定Ca2+和Mg2+,离子色谱法测定NO3-、Cl-、F-和SO42-,滴定法测定CO32-和HCO3-。所有水样的氢氧稳定同位素(δD和δ18O)使用ABB-Los Gatos Research公司生产的TLWIA-912型液态水同位素分析仪测量,测试结果以相对维也纳标准平均海水(V-SMOW)千分偏差表示(δ,‰),测试精度:δD<±1‰,δ18O<±0.1‰。

1.3 研究方法

使用Piper三线图对不同来源水的化学特征进行对比分析[16]。采用Gibbs图解判断不同来源水的化学组成形成机制和演化特征[17]。运用离子比例系数法判断不同来源水的成因和化学组分的可能矿物来源[18]。采用ArcGIS 10.8和Origin 2021软件进行作图和数据分析。在绿洲平原区降雨极少,且在样品采集月份并无出现降雨天气,因此主要使用二元混合模型计算河水和灌溉渠水作为补给源的比例[7],计算公式如下:
δT=fAδA+(1-fA)δB
式中:δT为混合水体的总δ值;δAδB分别为水体A和水体B的同位素值;ƒA为来自水体A的比例。ƒA可由下式计算:
fA=(δT-δB)/(δA-δB)

2 结果与分析

2.1 基本理化性质

研究区域河水、渠水和地下水水化学统计特征见表1。河水和渠水的pH平均值较接近(8.10和8.11),略高于地下水(7.98),且变异系数较小,说明该区域地表水和地下水整体呈弱碱性[19]。河水和地下水的TDS平均分别为929.28 mg·L-1和1649.49 mg·L-1,变异系数较大(均为0.51);渠水的TDS平均值为1004.33 mg·L-1,变异系数为0.36。天然水体的TDS<1000 mg·L-1时为淡水,1000 mg·L-1≤TDS<3000 mg·L-1时为微咸水,3000 mg·L-1≤TDS<10000 mg·L-1为咸水[19]。据此,车尔臣河流域平原区的灌溉渠水和地下水总体属于微咸水,河水的TDS值已接近微咸水的标准,有研究表明这与干旱区强烈的蒸发作用有关[15]。地表灌溉水咸化不但会影响到土壤盐渍化,也会引起地下水化学的剧烈变化,进而会间接减少地下可利用水资源量,造成水质型缺水[13]。李红阳等[20]最新研究还发现,车尔臣河流域在近40 a是昆仑山北坡年均潜在蒸散最高(810.8 mm)和上升趋势最大的流域。因此,该流域的灌溉渠水和地下水的咸化趋势是否会加重,已亟需引起当地的重视。
表1 河水、渠水和地下水水化学特征参数

Tab. 1 Chemical characteristic parameters of river water, channel water and groundwater

类型 统计值 K+/mg·L-1 Na+/mg·L-1 Ca2+/mg·L-1 Mg2+/mg·L-1 Cl-/mg·L-1 SO42-/mg·L-1 HCO3-/mg·L-1
河水 最小值 6.07 60.92 45.19 22.93 76.50 95.86 97.57
最大值 25.21 452.85 124.38 88.67 498.72 377.50 375.39
平均值 10.54 159.36 77.19 42.22 181.55 231.49 169.90
标准差 6.71 132.66 26.23 22.54 144.18 87.76 93.45
变异系数 0.64 0.83 0.34 0.53 0.79 0.38 0.55
渠水 最小值 4.60 48.72 48.84 15.93 58.39 112.87 91.03
最大值 25.59 295.65 98.94 112.80 305.97 312.62 459.47
平均值 11.00 156.20 78.28 52.07 177.97 250.03 199.32
标准差 7.25 84.14 19.29 32.40 84.98 55.67 137.19
变异系数 0.66 0.54 0.25 0.62 0.48 0.22 0.69
地下水 最小值 6.85 82.00 46.31 25.23 55.76 51.64 34.73
最大值 35.70 590.66 293.12 182.51 845.24 1013.45 319.42
平均值 17.02 266.24 143.72 82.03 325.34 444.36 162.33
标准差 8.89 155.92 77.53 46.21 235.20 309.96 82.74
变异系数 0.52 0.59 0.54 0.56 0.72 0.70 0.51
类型 统计值 NO3-/mg·L-1 F-/mg·L-1 TDS/mg·L-1 pH δD/‰ δ18O/‰
河水 最小值 1.45 0.70 492.33 7.87 -72.70 -11.36
最大值 5.31 12.12 1987.02 8.26 -47.40 -6.05
平均值 4.02 2.72 929.28 8.10 -60.96 -9.20
标准差 1.27 2.68 471.47 0.12 8.49 1.58
变异系数 1.40 0.99 0.51 0.01 0.14 0.17
渠水 最小值 4.41 1.14 548.33 7.95 -70.70 -14.26
最大值 5.28 10.02 1589.74 8.31 -54.00 -8.38
平均值 4.67 3.16 1004.33 8.11 -62.13 -10.38
标准差 0.29 2.36 361.13 0.10 5.59 1.53
变异系数 0.28 0.75 0.36 0.01 0.09 0.15
地下水 最小值 1.24 0.49 490.06 7.69 -60.50 -11.58
最大值 66.41 6.98 3303.16 8.33 -38.10 -8.53
平均值 17.45 2.65 1649.49 7.98 -55.39 -9.87
标准差 18.18 1.95 848.16 0.17 6.26 0.75
变异系数 4.62 0.74 0.51 0.02 0.11 0.08

注:TDS为溶解性总固体。

进一步分析还发现,车尔臣河流域河水水样的83.3%、渠水的46.7%、地下水的21.4%为低矿化度淡水。河水的16.7%为微咸水,主要位于车尔臣河的下游;渠水样品的53.3%为微咸水,主要位于车尔臣河中下游和若羌河灌区;地下水样品的67.9%为微咸水,主要位于若羌河、瓦石峡河、塔什萨依河及车尔臣河的中、下游;地下水样品的10.7%为咸水,主要位于若羌县的塔什萨依开发区。总体来看车尔臣河流域的地下水中微咸水及以上级别的水样占78.6%,这也进一步证明了车尔臣流域平原区地下水存在一定的咸化趋势[13]。有研究发现强烈的蒸发浓缩作用、可溶性盐溶解作用及人类农业活动会使内陆河中、下游地表水中的TDS 含量增高[21],这也可能是车尔臣河下游河水及其中、下游渠水及若羌河灌区渠水出现微咸化的主要原因。此外,在绿洲区用趋于咸化的地表和地下水灌溉也有可能是其浅层地下水咸化的主要贡献者[22],这也间接表明了在绿洲灌区地表灌溉水与浅层地下水可能存在密切联系。
河水、渠水和地下水的Na+浓度最高,平均浓度分别为159.36 mg·L-1、156.20 mg·L-1和266.24 mg·L-1,且地下水的各阳离子浓度高于河水和渠水。河水、地下水和渠水中SO42-为主要阴离子,平均浓度分别为231.49 mg·L-1、444.36 mg·L-1和250.03 mg·L-1。车尔臣河流域的河水、渠水和地下水均以SO42-和Na+为优势阴、阳离子,说明三者来源相近,可能存在着一定程度的水力联系。根据前人研究,水体中Na+主要来源于钠长石等硅酸盐类矿物的风化溶解[20],SO42-主要来源于蒸发岩的溶解作用[21],二者均为不同水体的优势离子,表明车尔臣河流域平原区离子含量可能受到蒸发岩溶解和风化作用的共同影响。
车尔臣河流域内地下水中NO3-浓度较高,但除若羌河农业灌溉区外其他均未超我国饮用水标准(GB 5749-2022)(<10 mg·L-1),河水和渠水NO3-浓度也均未超标。前期研究表明,农业化肥特别是氮肥用量过高,是造成该区域地下水NO3-污染的主要原因[13]。研究区域的河水、渠水和地下水的F-含量平均分别为2.72 mg·L-1、3.16 mg·L-1和2.65 mg·L-1。河水和地下水水样中分别有83.33%和78.57%超过F-含量的水质量标准(≤1.0 mg·L-1),渠水全部超标。孙英等[19]也发现车尔臣河流域河水和地下水有F-富集现象,主要与第四纪成因类型中风积物、地下水浅埋、偏碱性的水环境和矿物溶解有关。这与本研究中的采样点地下水埋深较浅,地下水弱碱性等条件一致,也进一步说明车尔臣河流域的河水与地下水均存在F-富集现象。长期高氟环境不利于植物的正常生长发育,高氟摄入还会引起人体器官病变[23],因此针对车尔臣河流域农田灌溉水和地下水的F-富集问题应当给予重视。

2.2 水化学类型及控制因素分析

用Piper三线图来分析水样中主要离子组成,可明确主要水化学特征[24]图2中,各样点均主要集中分布在7区,水化学类型为SO4·Cl-Na型;少数样点落在9区,水化学表现为混合型,这说明地表水与地下水之间水化学形成过程相似,且相互转化较为频繁。从各样点水化学阴阳离子对比上看,阳离子区域的样点集中于D区,表明Na+是所有水体的主要优势离子;河水和渠水的阴离子样点多集中于无主导型的B区,而地下水在B区和F区均有分布,表明河水和渠水中的阴离子以无主导型为主,地下水则以无主导型和SO42-为主。因此,车尔臣河流域各水体的主要水化学类型均为SO4·Cl-Na型,这也再次表明河水、渠水与地下水水力联系密切,相互转化频繁,经历了相似的水岩作用。在其他相似区域如和田河中、下游流域也发现其地下水的水化学类型均为SO4·Cl-Na型[25],这可能与以卵砾石地层为主的含水层,受冲洪积作用沉积规律的控制,沉积颗粒变细有关。
图2 河水、渠水和地下水Piper三线图

Fig. 2 Piper triad of river water, channel water and groundwater

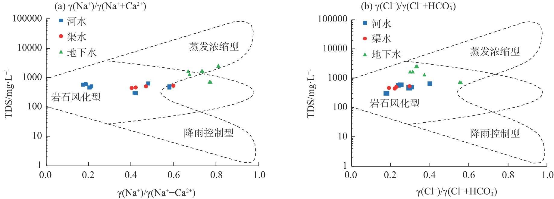
图3中,根据Na+/(Na++Ca2+)或Cl-/(Cl-+HCO3-)值的大小把水体中主要离子的来源划分为蒸发浓缩、岩石风化、大气降雨3种水化学演化特征[17]。根据Na+/(Na++Ca2+)和TDS之间的比值关系可以看出(图3a),河水和渠水的水化学组分主要受到岩石风化作用控制,地下水受到岩石风化和蒸发浓缩共同作用。3种类型的水样均有部分样点位于区域外,由于Na+/(Na++Ca2+)数值过大导致点位向区域外迁移,可能受到阳离子交替吸附作用影响,导致Ca2+和Mg2+置换出Na+和K+。根据Cl-/(Cl-+HCO3-)与TDS之间的比值关系(图3b),发现河水、渠水和地下水的阴离子主要受岩石风化作用控制;部分受地下水蒸发浓缩作用影响,可能因为地下水埋深浅导致。有3个地下水样点位于区域外,是因为Cl-浓度均大于800 mg·L-1,异常值导致Cl-/(Cl-+HCO3-)偏高。
图3 河水、渠水和地下水的水化学Gibbs图

注:TDS为溶解性总固体。

Fig. 3 Gibbs chart of hydrochemistry of river water, channel water and groundwater

2.3 水化学离子来源解析

离子比值图可揭示离子变量之间的关系,用于分析水岩相互作用及水中化学组分的矿物来源。γ(Cl-)/γ(Na+)可以判断Na+是否来源于盐岩和硅酸盐岩溶解[11],当Na+主要来自于岩盐溶解时,将产生1:1的线性关系,若斜率小于1,指示除岩盐溶解外,Na+还存在其他来源。本研究中河水、渠水和地下水样点均落在1:1拟合线附近且偏下方(图4a),说明Na+浓度略高于Cl-浓度,岩盐溶解是水样中Na+的主要来源,结合地层岩性,少部分Na+来源于硅酸盐溶解或阳离子交替吸附作用。
图4 河水、渠水和地下水的主要离子及组合关系图

Fig. 4 Relationship of major ion combinations among river water, channel water and groundwater

γ(Mg2++Ca2+)/γ(HCO3-+SO42-)可用于判断该区水化学是否由碳酸盐岩或是硅酸盐及蒸发岩的溶解控制[18],比值大于1时,水体中Ca2+和Mg2+主要是来自钙镁硅酸盐岩或蒸发盐岩(如硫酸盐、石膏)的风化溶解,反之主要受碳酸盐岩的溶解影响。河水和渠水大部分样点落在y=x线附近,说明其Mg2+和Ca2+的主要来源是碳酸盐和硅酸盐溶解(图4b)。地下水样点大多落在y=x线附近,少部分偏上,说明地下水中Mg2+和Ca2+的主要来源也是碳酸盐岩和硅酸盐岩的溶解。用γ(Ca2++Mg2+)/γ(HCO3-)可以进一步判断Mg2+和Ca2+的来源。河水、渠水和地下水样点均主要位于y=x线偏下,再次表明Mg2+和Ca2+的主要来源于碳酸盐岩的风化溶解(图4c)。γ(Ca2+)与γ(Mg2+)比值大于1,表示Ca2+主要来源于方解石和石膏溶解,反之表明Mg2+的溶解主要来源于白云石。本研究中河水、渠水和地下水样点在y=x线上下均有分布,大部分均位于y=0.5x以上,表明Mg2+和Ca2+主要来自白云石和方解石的溶解(图4d)。河水和渠水的个别样点位于y=0.5x下方,说明可能受到石膏溶解影响。用γ(SO42-+Cl-)/γ(HCO3-)的值大于1时,表明水中化学成分主要是来自蒸发岩的溶解,反之主要是来自碳酸岩的溶解[26]。河水、渠水和地下水样点主要落在y=x线上方,表明蒸发岩的溶解是各水体SO42-和Cl-的主要来源(图4e)。

2.4 氢氧稳定同位素组成特征

表1可以看出,研究区域河水δD值的范围为-72.70‰~-47.40‰,均值为-60.96‰,δ18O值的范围为-11.36‰~-6.05‰,均值为-9.20‰。渠水δD值的范围为-70.70‰~-54.00‰,δ18O值的范围为-14.26‰~-8.38‰,均值分别为-62.13‰和-10.38‰。地下水δ18O和δD值的范围分别为-11.58‰~-8.53‰和-60.50‰~-38.10‰,均值分别为-9.87‰和-55.39‰。地下水δD值比河水和渠水均有增加,其δ18O值与渠水比较接近,且在渠水δ18O值变化范围之间,与河水变化范围也有交叉,说明流域内绿洲地下水主要来源于灌溉渠水补给,河水对其也有补给。这与王旭东等[4]在几年前于7、8月对相同水体的研究结果相比,河水和渠水均有δ18O贫化趋势,而地下水δ18O值也略有下降。车尔臣河发源于昆仑山北坡的木孜塔格峰,有研究表明该区域大部分冰川表现为退缩,山区降雨增加[25]。冰川融水对车尔臣河径流的平均贡献率达46.86%,而降水对径流的补给作用可能也很明显,因为2022—2023 年在木孜塔格峰冰川前缘监测到了415.80 mm 的年降水量[27]。调查还发现,气温上升加速冰雪消融和山区降水增加很有可能是昆仑山北坡主要河流径流量出现增加的主要原因,因此车尔臣河流域河水δ18O贫化可能与其接受的氢氧同位素较贫化的冰雪融水和高山区降水补给量增加有关。此外,渠水与河水的δD和δ18O值相比略有贫化,这可能是由于在车尔臣河、若羌河等中、上游均建有水库,水库拦蓄使得河水滞留于河道的时间延长,因此渠水在灌溉过程中可能出现了一定的分馏作用。
由于本研究区缺少大气降水同位素数据,所以选取气候相似且距离较近的策勒河流域的当地大气降水线(Local meteoric water line,LMWL)方程:δD=5.62δ18O+19.53(R2=0.72)[26],方程中斜率小于全球大气降水线(Global meteoric water line,GMWL)(δD=8δ18O+10),表明当地降水的同位素动态分馏存在明显的不平衡,这主要是由于二次蒸发的增加和受局部再循环水汽的影响,符合干旱区降水的同位素特征。利用昆仑山地表水计算的LMWL斜率为5.98[28],用塔里木盆地地表水计算的LMWL斜率则为5.88[29],二者均与本研究所选用的LMWL斜率比较接近。有研究还发现昆仑山的LMWL斜率存在明显时空差异,尤其是在昆仑山东部夏季斜率为10.85,非夏季为4.13[28]。本研究的水样在昆仑山东部均采集于夏季,河水、渠水和地下水点位大部分处于降水线下方,其同位素拟合曲线斜率分别为3.70、0.61和1.42(图5),不但小于当地降水线斜率(5.62),还明显小于昆仑山东部夏季地表水斜率。说明大气降水对平原区河水、渠水和地下水的补给作用较小,且受到一定程度的蒸发作用影响。根据车尔臣河流域不同水体的δ18O-δD关系图,河水、地下水和渠水的样点均分布较为集中,表明这些水体水力联系密切。另外,与河水线斜率相比,渠水线斜率与地下水线斜率较相近,说明二者的水力联系更强,但是关于不同水体间水力联系机制还有待通过沿河岸流程多点采样进一步深入研究。
图5 河水、渠水和地下水的δ18O-δD的关系

Fig. 5 Relationship of δ18O-δD among river water, channel water and groundwater

在西北内陆盆地,大量的河水通过渠道引至灌区,在流域地下水形成中扮演了重要角色[28]。近些年来在车尔臣河流域绿洲土地利用类型发生明显变化,耕地面积显著增加,引起农业灌溉用水量剧增。流域的农田灌溉系统普遍老化,防渗率较低,且集中分布在河谷平原区的绿洲带内,所以之前有研究推测该流域地下水可能受到农业灌溉水源的入渗补给[3]。稳定同位素δ18O可以作为水体补给源研究的示踪剂[27],因此本研究尝试以δ18O作为性质稳定的水化学参数,利用二元混合模型来进一步解析车尔臣河流域平原灌区河水、渠水对地下水的贡献及相互关系。结果表明,车尔臣河流域平原区河水对浅层地下水补给的贡献比例为43.52%,渠水的贡献比例为56.48%。这也进一步说明灌溉渠水、河水与地下水不但存在着密切的水力联系,对地下水资源构成也有重要影响,因此灌区地表水(河水、渠水等)的转化补给量在流域地下水形成中扮演了重要角色。此外,河水与渠水的水化学特征基本一致,说明二者基本同源。目前很难将灌溉渠水对绿洲地下水的补给作用量化出来,但其灌溉水源主要来自河水引流,比较容易从农田渠系获得,而河水也很容易直接从平原区河道获得,所以本研究将二者作为2个不同来源的水体[30]。利用二元混合模型计算的渠水对地下水的贡献比例要高于河水,虽然严格来讲这种区分法不是十分精确,但其可反应出有混合水源的灌溉渠水在补给地下水形成中的作用是高于单一河水的[31]。本研究的水体Piper图中也显示河水、渠水和地下水有着相同的水化学类型,再次说明了三者间存在着密切的水力交换。结合各水体的水化学组成,可以看出绿洲农田灌溉水不但会引起车尔臣河流域地下水形成和水化学作用的改变,也会影响到地下水的水质变化。有研究发现在一些地区因人类活动引起水质的极大改变,有可能会诱发生态环境负效应[32]。因此,鉴于车尔臣河流域渠水和地下水的密切联系,以及咸化趋势和F-富集现象等是否会引起严重或是不可逆的生态环境问题,还亟待有针对性地开展深入研究。

3 结论

(1)车尔臣河流域平原区的河水、渠水和浅层地下水均呈弱碱性;渠水和地下水均有咸化趋势,其中地下水更严重;河水除车尔臣河下游有咸化趋势外,其他灌区均为低矿化度淡水。各水体出现咸化主要是由Na+、SO42-和Cl-累积引起。河水和渠水NO3-浓度均未超标,地下水除若羌河灌溉区外其他灌区均未超标。约有80%左右的河水和地下水样出现F-含量超标,而渠水样全部超标。总体来看,河水的水质要优于灌溉渠水和地下水。
(2)河水、渠水和浅层地下水的水化学特征相近,主要水化学类型均为SO4·Cl-Na,优势阴阳离子分别为SO42-和Na+。河水和渠水水化学组分主要受岩石风化作用控制,而地下水受到岩石风化和蒸发浓缩共同作用。
(3)河水、渠水和地下水的水线斜率均低于LMWL斜率,且三者样点分布比较集中,均在降水线下,说明各水体间水力联系密切,受降水的补给作用较弱。地下水的δ18O变化范围在渠水δ18O范围之内,与河水的变化范围也有交叉,表明渠水比河水对地下水的补给作用可能更强。这与二元混合模型的结果一致,渠水与河水对地下水是的补给比例分别为56.48%和43.52%。
[1]
周洪华, 杨玉海, 朱成刚, 等. 供需平衡视角下昆仑山北坡县域单元地表水资源开发利用潜力初探[J]. 干旱区地理, 2024, 47(7): 1106-1115.

DOI

[Zhou Honghua, Yang Yuhai, Zhu Chenggang, et al. Development and utilization potential of surface water resources of the counties on the northern slope of Kunlun Mountains from the perspective of supply and demand balance[J]. Arid Land Geography, 2024, 47(7): 1106-1115.]

DOI

[2]
陈亚宁, 朱成刚, 李稚, 等. 昆仑山北坡区域高质量发展面临的问题、机遇与挑战[J]. 干旱区地理, 2024, 47(5): 733-740.

DOI

[Chen Yaning, Zhu Chenggang, Li Zhi, et al. High-quality development in the northern slope of the Kunlun Mountains: Issues, opportunities and challenges[J]. Arid Land Geography, 2024, 47(5): 733-740.]

DOI

[3]
May C, Lucke A, Stichler W, et al. Precipitation origin and evaporation of lakes in semi-arid Patagonia (Argentina) inferred from stable isotopes(δ18O、δ2H)[J]. Journal of Hydrology, 2007, 334(1-2): 53-63.

[4]
王旭东, 李升, 郭新, 等. 基于同位素技术的且末车尔臣河流域地下水补给来源分析[J]. 中国农村水利水电, 2020(2): 23-28, 33.

[Wang Xudong, Li Sheng, Guo Xin, et al. An analysis of the groundwater recharge source of Cherchen River Basin in Qianma County[J]. China Rural Water and Hydropower, 2020(2): 23-28, 33.]

[5]
Wang W R, Chen Y N, Chen Y P, et al. Groundwater dynamic influenced by intense anthropogenic activities in a dried-up river oasis of Central Asia[J]. Hydrology Research, 2022, 53(4): 532-546.

[6]
Zheng L L, Jiang C L, Chen X, et al. Combining hydrochemistry and hydrogen and oxygen stable isotopes to reveal the influence of human activities on surface water quality in Chaohu Lake Basin[J]. Journal of Environmental Management, 2022, 312: 114933, doi: 10.1016/j.jenvman.2022.114933.

[7]
吉卫波, 赵银鑫, 虎博文, 等. 宁夏苦水河流域地表水与地下水转化关系研究[J]. 干旱区地理, 2023, 46(10): 1612-1621.

DOI

[Ji Weibo, Zhao Yinxin, Hu Bowen, et al. Transformation relationship between surface water and groundwater in Kushui River Basin of Ningxia[J]. Arid Land Geography, 2023, 46(10): 1612-1621.]

DOI

[8]
雷米, 周金龙, 张杰, 等. 新疆博尔塔拉河流域平原区地表水与地下水水化学特征及转化关系[J]. 环境科学, 2022, 43(4): 1873-1884.

[Lei Mi, Zhou Jinlong, Zhang Jie, et al. Hydrochemical characteristics and transformation relationship of surface water and groundwater in the plain area of Bortala River Basin, Xinjiang[J]. Environmental Science, 2022, 43(4): 1873-1884.]

[9]
Wang W H, Wang W R, Chen, Y N, et al. Water quality and interaction between groundwater and surface water impacted by agricultural activities in an oasis-desert region[J]. Journal of Hydrology, 2023, 617: 128937, doi: 10.1016/j.jhydrol.2022.128937.

[10]
李升, 余斌, 陈锋, 等. 皮山河绿洲带地下水水化学及同位素特征分析[J]. 干旱区资源与环境, 2021, 35(5): 116-122.

[Li Sheng, Yu Bin, Chen Feng, et al. Analysis of hydrochemical and isotopic characteristics in Pishan River oasis zone[J]. Journal of Arid Land Resources and Environment, 2021, 35(5): 116-122.]

[11]
宋晨, 马斌, 梁杏, 等. 玛纳斯河流域山前平原地下水水化学特征与补给来源[J]. 干旱区资源与环境, 2021, 35(1): 160-168.

[Song Chen, Ma Bin, Liang Xing, et al. Hydrochemical characteristics and recharge of groundwater in piedmont plain in the Manas River Basin[J]. Journal of Arid Land Resources and Environment, 2021, 35(1): 160-168.]

[12]
王志丹. 车尔臣河地表水径流变化与水化学变化分析[J]. 地下水, 2016, 38(5): 122-136.

[Wang Zhidan. Analysis of surface water runoff change and hydrochemistry change in Cherchen River[J]. Ground Water, 2016, 38(5): 122-136.]

[13]
李军, 欧阳宏涛, 周金龙. 新疆车尔臣河流域绿洲带地下水咸化与污染主控因素[J]. 环境科学, 2024, 45(1): 207-217.

[Li Jun, Ouyang Hongtao, Zhou Jinlong. Controlling factors of groundwater salinization and pollution in the oasis zone of the Cherchen River Basin of Xinjiang[J]. Environmental Science, 2024, 45(1): 207-217.]

[14]
王凯. 新疆库尔勒地区地下水形成及赋存条件分析[J]. 地下水, 2016, 38(6): 253-254.

[Wang Kai. Analysis of groundwater formation and occurrence conditions in Korla area, Xinjiang[J]. Ground Water, 2016, 38(6): 253-254.]

[15]
樊自立, 徐海量, 张鹏, 等. 新疆车尔臣河及其水资源利用研究[J]. 干旱区研究, 2014, 31(1): 20-26.

[Fan Zili, Xu Hailiang, Zhang Peng, et al. The Qarqan River in Xinjiang and its water resources utilization[J]. Arid Zone Research, 2014, 31(1): 20-26.]

[16]
Piper A M. A graphic procedure in the geochemical interpretationof water-analyses[J]. Eos, Transactions American Geophysical Union, 1944, 25(6): 914-928.

[17]
Gibbs R J. Mechanisms controlling world water chemistry[J]. Science, 1970, 170(3962): 1088-1090.

DOI PMID

[18]
丁启振, 雷米, 周金龙, 等. 博尔塔拉河上游河谷地区水化学特征及水质评价[J]. 干旱区研究, 2022, 39(3): 829-840.

DOI

[Ding Qizhen, Lei Mi, Zhou Jinlong, et al. An assessment of groundwater, surface water, and hydrochemical characteristics in the upper valley of the Bortala River[J]. Arid Zone Research, 2022, 39(3): 829-840.]

DOI

[19]
孙英, 周金龙, 杨方源, 等. 塔里木盆地南缘绿洲带地下水砷氟碘分布及共富集成因[J]. 地学前缘, 2022, 29(3): 99-114.

DOI

[Sun Ying, Zhou Jinlong, Yang Fangyuan, et al. Distribution and co-enrichment genesis of arsenic, fluorine and iodine in groundwater of the oasis belt in the southern margin of Tarim Basin[J]. Earth Science Frontiers, 2022, 29(3): 99-114.]

DOI

[20]
李红阳, 陈天宇, 王圣杰, 等. 1979—2021年新疆昆仑山北坡潜在蒸散时空变化研究[J]. 干旱区地理, 2024, 47(9): 1443-1450.

DOI

[Li Hongyang, Chen Tianyu, Wang Shengjie, et al. Spatial and temporal variations of potential evapotranspiration on the northern slope of the Kunlun Mountains in Xinjiang from 1979 to 2021[J]. Arid Land Geography, 2024, 47(9): 1443-1450.]

DOI

[21]
Wang W R, Chen Y N, Wang W H, et al. Hydrochemical characteristics and evolution of groundwater in the dried-up river oasis of the Tarim Basin, Central Asia[J]. Journal of Arid Land, 2021, 13(10): 977-994.

DOI

[22]
Wang W R, Chen Y N, Wang W H, et al. Evolution characteristics of groundwater and its response to climate and land-cover changes in the oasis of dried-up river in Tarim Basin[J]. Journal of Hydrology, 2021, 594: 125644, doi: 10.1016/j.jhydrol.2020.125644.

[23]
Lacson C F Z, Lu M C, Huang Y H. Fluoride-containing water: A global perspective and a pursuit to sustainable water defluoridation management: An overview[J]. Journal of Cleaner Production, 2021, 280: 124236, doi: 10.1016/j.jclepro.2020.124236.

[24]
张勇军, 杨余辉, 胡义成, 等. 新疆喀什河流域水化学时空变化特征及灌溉适应性评价[J]. 干旱区地理, 2023, 46(4): 583-594.

DOI

[Zhang Yongjun, Yang Yuhui, Hu Yicheng, et al. Temporal and spatial variation characteristics of hydrochemistry and irrigation adaptability evaluation in Kashi River Basin, Xinjiang[J]. Arid Land Geography, 2023, 46(4): 583-594.]

DOI

[25]
李小等, 常亮, 段瑞, 等. 和田河中下游流域地下水水化学特征及其演化规律[J]. 干旱区地理, 2024, 47(5): 753-761.

DOI

[Li Xiaodeng, Chang Liang, Duan Rui, et al. Chemical characteristics and evolution of groundwater in the middle and lower reaches of Hotan River Basin[J]. Arid Land Geography, 2024, 47(5): 753-761.]

DOI

[26]
栾风娇, 周金龙, 贾瑞亮, 等. 新疆巴里坤-伊吾盆地地下水水化学特征及成因[J]. 环境化学, 2017, 36(2): 380-389.

[Luan Fengjiao, Zhou Jinlong, Jia Ruiliang, et al. Hydrochemical characteristicsand formation mechanism of groundwater in plain areas of Barkol-Yiwu Basin, Xinjiang[J]. Environmental Chemistry, 2017, 36(2): 380-389.]

[27]
朱成刚, 陈亚宁, 张明军, 等. 昆仑山北坡水资源科学考察初报[J]. 干旱区地理, 2024, 47(7): 1097-1105.

DOI

[Zhu Chenggang, Chen Yaning, Zhang Mingjun, et al. Preliminary report on scientific investigation of water resources on the northern slope of Kunlun Mountains[J]. Arid Land Geography, 2024, 47(7): 1097-1105.]

DOI

[28]
石玉东, 王圣杰, 张明军, 等. 昆仑山北坡地表水氢氧稳定同位素空间分布特征[J]. 干旱区地理, 2024, 47(7): 1127-1135.

DOI

[Shi Yudong, Wang Shengjie, Zhang Mingjun, et al. Spatial distribution characteristics of stable hydrogen and oxygen isotopes in surface waters on the north slope of the Kunlun Mountains[J]. Arid Land Geography, 2024, 47(7): 1127-1135.]

DOI

[29]
Sun C J, Li X G, Chen Y N, et al. Spatial and temporal characteristics of stable isotopes in the Tarim River Basin[J]. Isotopes in Environmental and Health Studies, 2016, 52(3): 281-297.

DOI PMID

[30]
Cheng L P, Si B C, Wang Y P, et al. Groundwater recharge mechanisms on the Loess Plateau of China: New evidence for the significance of village ponds[J]. Agricultural Water Management, 2021, 257: 107148, doi: 10.1016/j.agwat.2021.107148.

[31]
Zhang J, Zhou J L, Chen Y F, et al. Identifying the factors controlling surface water and groundwater chemical characteristics and irrigation suitability in the Yarkant River Basin, northwest China[J]. Environmental Research, 2023, 223: 115452, doi: 10.1016/j.envres.2023.115452.

[32]
Louw P G B D, Essink G H P O, Stuyfzand P J, et al. Upward groundwater flow in boils as the dominant mechanism of salinization in deep polders, the Netherlands[J]. Journal of Hydrology, 2010, 394(3/4): 494-506.

Outlines

/