Full Length Article

Cost and benefit analysis of Climate-Smart Agriculture interventions in the dryland farming systems of northern Ghana

  • Felix KPENEKUU , a, * ,
  • Philip ANTWI-AGYEI a ,
  • Fred NIMOH b ,
  • Andrew DOUGILL c ,
  • Albert BANUNLE a ,
  • Jonathan ATTA-AIDOO b ,
  • Frank BAFFOUR-ATA a ,
  • Thomas Peprah AGYEKUM d ,
  • Godfred ADDAI e ,
  • Lawrence GUODAAR f
Expand
  • aDepartment of Environmental Science, College of Science, Kwame Nkrumah University of Science and Technology, Kumasi, AK-385-1973, Ghana
  • bDepartment of Agricultural Economics, Agribusiness and Extension, College of Agriculture and Natural Resources, Kwame Nkrumah University of Science and Technology, Kumasi, AK-385-1973, Ghana
  • cDepartment of Environment and Geography, University of York, Heslington, YO105DD, the United Kingdom
  • dDepartment of Occupational and Environmental Health and Safety, School of Public Health, College of Health Sciences Kwame Nkrumah University of Science and Technology, Kumasi, AK-385-1973, Ghana
  • eIndustry Skills Advisory Council, Parap, 0820, Australia
  • fDepartment of Geography and Rural Development, College of Humanities and Social Sciences, Kwame Nkrumah University of Science and Technology, Kumasi, AK-385-1973, Ghana
* E-mail address: (Felix KPENEKUU).

Received date: 2023-09-07

  Accepted date: 2024-12-31

  Online published: 2025-08-13

Copyright

This is an open access article under the CC BY-NC-ND license (http://creativecommons.org/licenses/by-nc-nd/4.0/).

Abstract

There is a need for more focus in understanding the economic benefits of Climate-Smart Agriculture (CSA) interventions, particularly in sub-Saharan Africa, where extreme climate events are significantly affecting agriculture and rural livelihoods. This study used the Net Present Value (NPV), Internal Rate of Return (IRR), Benefit-Cost Ratio (BCR), and payback period to evaluate the economic viability of the adopted CSA interventions in the three villages (Doggoh, Jeffiri, and Wulling) of the dryland farming systems of northern Ghana, where CSA interventions were mostly practiced. Data were collected from 161 farm households by the questionnaire survey. The results showed that CSA interventions including livestock-crop integration, mixed cropping, crop rotation, nutrient integration, and tie ridging enhanced crop yield and the household income of smallholder farmers. The five CSA interventions selected by smallholders were in the following order of priority: livestock-crop integration (BCR=2.87), mixed cropping (BCR=2.54), crop rotation (BCR=2.24), nutrient integration (BCR=1.98), and tie ridging (BCR=1.42). Results further showed that livestock-crop integration was the most profitable CSA intervention even under a pessimistic assumption with a long payback period of 5.00 a. Moreover, this study indicated that the implementation of CSA interventions, on average, was relatively profitable and had a nominal financial risk for smallholder farmers. Understanding the economic viability of CSA interventions will help in decision-making process toward selecting the right CSA interventions for resilience development.

Cite this article

Felix KPENEKUU , Philip ANTWI-AGYEI , Fred NIMOH , Andrew DOUGILL , Albert BANUNLE , Jonathan ATTA-AIDOO , Frank BAFFOUR-ATA , Thomas Peprah AGYEKUM , Godfred ADDAI , Lawrence GUODAAR . Cost and benefit analysis of Climate-Smart Agriculture interventions in the dryland farming systems of northern Ghana[J]. Regional Sustainability, 2025 , 6(1) : 100196 . DOI: 10.1016/j.regsus.2025.100196

1. Introduction

Climate change and its impact on agriculture have become a major concern globally, particularly in developing countries where smallholder farmers have low adaptive capacity, differences in the ownership of economic resources, and social and political discrimination as reported by the Intergovernmental Panel on Climate Change (IPCC, 2022). Ending poverty and hunger in Africa is the greatest challenge in recent generations. Efforts to improve farm-related profitability levels are indispensable for smallholder farmers. Smallholder farmers in developing countries are experiencing increasing livelihood challenges due to climate change, deteriorating soil fertility, declining crop yields, and rising food prices (Mumo et al., 2018; Dougill et al., 2021). Climate change has a profound impact on food security and nutrition among smallholder farmers whose livelihoods are dependent on rainy, such as dryland farming systems (Haile et al., 2019; Guodaar, 2021).
With warmer temperature and unpredictable rainfall pattern, smallholder farmers face various problems, such as heat stress and potential health risks (Ayumah, 2017; Mumo et al., 2018; Mulinde et al., 2019; Klutse et al., 2020). Ghana is ecologically fragile and is particularly vulnerable to the impact of climate change, resulting in unpredictable rainfall patterns, degraded soil fertility, and low adaptive capacity of agriculture (Martey et al., 2021; Guodaar et al., 2023). Healthy soils are the bedrock of Africa’s food systems. Similarly, smallholder farmers in the rural areas of Ghana are vulnerable to climate risks like droughts, floods, strong winds, extreme rainfall events, and tropical cyclones (Klutse et al., 2020). All stakeholders should work to address the challenges of climate change. Governments of most developing countries are formulating policies and strategies to promote sustainable agricultural production. It is crucial to promote sustainable agriculture and strengthen the adaptive capacities of smallholder farmers. Additionally, there is growing interest in investing in innovative farm operations, conservation agroforestry, and improved water management practices (Akpan and Zikos, 2023), and interventions aimed at pest management include the use of pesticides, new crop varieties that are resistant to pest and disease, adoption of intercropping technology, and crop diversification through intercropping or crop rotation (Agula et al., 2019). Other technological interventions include agroforestry and cover cropping, changing planting dates, and the use of organic manure. All these interventions are designed for improving income diversification, risk management, soil fertility and infiltration capacities, and farm-related profitability, which are vital for livelihood resilience (Dillon et al., 2016; Laterra et al., 2018).
Local councils and governments, agricultural agencies, and development partners play an essential role in promoting agricultural productivity, particularly in developing countries. Climate-Smart Agriculture (CSA) interventions offer an integrated framework for sustainable agricultural interventions or practices. CSA interventions, as defined by the World Bank (2022), are strategies instituted to increase agricultural productivity and address food security concerns under the impact of climate change. These interventions aimed at improving crop production, livestock rearing, forests, and fisheries, as well as simultaneously addressing food security concerns, climate change, and environmental challenges. Various innovative CSA interventions have been developed and used by smallholder farmers, including conservation agriculture, irrigation, agroforestry, soil and water management, and improved crop variety (Akpan and Zikos, 2023). Governments, international organizations, and development agencies have taken steps to prioritize CSA interventions in developing policies and strategies to improve household farming activities (Aggarwal et al., 2018; Ng’ang’a et al., 2021).
Policies and strategies provide financial and technical support for smallholder farmers to adopt CSA interventions. These energies aimed at creating awareness and mainstreaming knowledge among smallholder farmers in the rural areas of Ghana, who are among the poorest and most vulnerable groups (Atanga and Tankpa, 2021). Despite there are wide knowledge of these agro-ecological innovations and government efforts to promote them, the adoption of CSA interventions by smallholder farmers remains low (Damba et al., 2020; Kpenekuu et al., 2024).
The continuous reliance on previous practices can lead to poor yields, which affect food availability and accessibility, and exacerbates food security and vulnerability (Boatemaa et al., 2020). Abdul-Rahaman and Owusu-Sekyere (2017) and Martey et al. (2021) found that about 60.0% of Ghana’s rural population is dependent on agriculture for their livelihoods and is insecure. These smallholder farmers constitute the majority of food insecure and have limited access to resources and low adaptive capacity of climate change (EPA, 2021). This phenomenon continues to hinder the achievement of the United Nations’ Sustainable Development Goals of eliminating hunger and poverty by 2030 (Farnworth et al., 2016; IPCC, 2021).
Well-designed CSA interventions, thus, contribute to guaranteeing livelihood sustainability and future food security globally (Zhao et al., 2018; Williams et al., 2020; Jambo et al., 2021; Akter et al., 2022). Regardless of evidence on the impacts of the implementation of CSA interventions on crop yield, the scale of CSA interventions in dryland farming systems is still very low, especially in the rural areas of northern Ghana (Martey et al., 2021). Obstacles to the uptake of CSA interventions among smallholder farmers in northern Ghana are lack of access to economic resources. Therefore, high initial investment, operational costs, and minimal gains in short periods threaten coordination along agricultural value chains and contribute to intensifying the limitation of the adoption of CSA interventions by smallholder farmers.
Sam et al. (2020) indicated the effectiveness of promoting CSA interventions among smallholder farmers and assessed the costs and benefits associated with the prioritized CSA interventions among smallholder farmers in the selected villages of Ghana. Up scaling CSA interventions is an indispensable component in the decision-making process of smallholder farmers as it allows for the consideration of local context-specific and farming system characteristics. Therefore, the successful implementation of CSA interventions would need to consider the associated economic benefits as these factors are critical in informing prioritization decisions (Dunnett et al., 2018). Prioritization helps to identify the importance that smallholder farmers place on a particular CSA intervention.
It is the central of policy framing to highlight the cost of implementing CSA interventions against the benefit expected. Investing in CSA interventions is also a key pathway to improving farm yield. Most studies on the impact of climate change and adaptation strategies often lack an economic viability test in northern Ghana. We sought to fill this knowledge gap by including a cost and benefit analysis (CBA) in the identification of appropriate CSA interventions to improve smallholder farmers’ livelihoods in the dryland farming systems of northern Ghana. This study can resolve the following questions: (i) what is the economic viability of the selected CSA interventions for smallholder farmers in the dryland farming systems of northern Ghana? and (ii) what are the socio-economic impacts on the implementation of CSA interventions?

2. Materials and methods

2.1. Study area

This study was conducted in Jirapa municipality (09°30′-11°00′N, 01°25′-02°45′W) of the Upper West Region, lying in the Guinea Savannah agro-ecological zone of northern Ghana. The municipality has a single rainy season and experiences climate change induced risks such as prolonged droughts and water shortages. The average annual precipitation of Jirapa municipality is 1000-1100 mm and the municipality is relatively warmer throughout most of the year with the annual average temperature ranging from 27°C to 36°C (GSS, 2018). Moreover, the regular bush burning disturbs the vegetation cover and transpiration, affecting the average annual precipitation and agricultural yields in Jirapa municipality, which leads to a significant impact on the local ecosystem and agricultural productivity (IPCC, 2021). Agriculture is the mainstay of the municipality’s economy with most local smallholder farmers engaged in the production of food crops such as maize (Zea mays), groundnut (Arachis hypogaea), sorghum (Sorghum bicolor), and millet (Pennisetum glaucum), in addition to the rearing of livestock to support their livelihood. This study selected three villages including Doggoh, Jeffiri, and Wulling in Jirapa municipality as the study sites (Fig. 1).
Fig. 1. Overview of the study area.

2.2. Selection of Climate-Smart Agriculture (CSA) interventions

Adaptive capacity is central to reducing the impact of climate change and other climate-related risks (Zougmoré et al., 2018). CSA interventions can not only improve resilience and agricultural productivity, but also help to ensure food security that can meet the demands of the ever-growing population (Setsoafia et al., 2022). These CSA interventions reflect the self-sufficient interventions that were used by smallholder farmers. CSA interventions are linked to each other and can increase the resilience of agricultural systems to climate change (Fadina and Barjolle, 2018; Jelagat, 2019; Redda et al., 2022). Out of 30 potential CSA interventions (Sam et al., 2020), we evaluated and considered 5 most prevalent interventions emerging from the smallholder farmers and reaffirmed by the district agricultural extension officers, as shown in Table 1. Furthermore, the selection of CSA interventions was based on the regularity of adoption and their acceptance by smallholder farmers. Jirapa municipality’ government is partnering with other agencies to develop and implement CSA interventions in the selected three villages due to the potential of agriculture in the study area (Table 2).
Table 1 Climate-Smart Agriculture (CSA) interventions used in the three villages.
CSA intervention Frequency Description
Livestock-crop integration 65 Cultivation of crops and rearing of animals for meat, eggs, or milk. For instance, smallholder farmers grow cereal crops such as maize and groundnut, and also keep cattle, sheep, pigs, or poultry in livestock-crop farm to complement their food needs. Also, the dung from the cattle serves as soil nutrient for crop growing.
Nutrient integration 24 Integration of organic manure and inorganic fertilizers can improve nutrient availability of crops and retain soil moisture to increase the resilience of precipitation variability during a production season.
Mixed cropping 28 Cultivating more crops on the same land during a production season. This method promotes the efficient use of inputs such as soil, water, and fertilizer.
Crop rotation 45 Growing crops in seasonal order on the same land and alternating deep and shallow-rooted crops can reduce the reliance on one set of nutrients, pest and weed pressure, and the probability that pests and weeds will develop resistance.
Tie ridging 4 Ridge furrows are blocked with earth ties spaced at a fixed distance apart to form a series of basins in the field.
Table 2 Affected crops and farm areas of CSA interventions in the three villages.
CSA intervention Doggoh Jeffiri Wulling
Affected crop Affected farm area (hm2) Affected crop Affected farm area (hm2) Affected crop Affected farm area (hm2)
Livestock-crop integration Groundnut 2.4±0.5 Groundnut 1.4±0.2 Groundnut 2.2±0.1
Maize Maize Maize
Sorghum Sorghum Sorghum
Millet Millet Millet
Nutrient integration Groundnut 1.8±0.2 Groundnut 1.0±0.2 Maize 1.6±0.4
Maize Maize Sorghum
Sorghum Sorghum Millet
Millet Millet Groundnut
Mixed cropping Groundnut 2.6±0.4 Groundnut 1.2±0.4 Groundnut 0.9±0.6
Maize Maize Maize
Sorghum Sorghum Sorghum
Millet Millet Millet
Crop rotation Groundnut 1.6±0.3 Groundnut 0.6±0.3 Groundnut 1.2±0.4
Maize Maize Maize
Sorghum Sorghum Sorghum
Millet Millet Millet
Tie ridging Maize 1.1±0.2 Maize 0.7±0.3 Maize 0.8±0.3
Sorghum Sorghum Sorghum
Millet Millet Millet

Note: Mean±SD.

2.3. Data collection

The data were collected in two stages: (i) selecting the study area; and (ii) gathering vital farm household data with structured questionnaires. The pre-questionnaire survey included identifying farm households that implemented CSA interventions in the three villages (Doggoh, Jeffiri, and Wulling) between July and October in 2022. This study collected information on farming in the dryland farming systems, and changes in crop yield with the implement of the selected CSA interventions in 2023. Costs of implementation, maintenance, and operation of the selected CSA interventions were to be further authenticated in the selected three villages. The Consultative Group on International Agricultural Research (CGIAR) and Climate Change, Agriculture and Food Security (CCAFS) provided elaborate information in the three villages and helped to identify the optimal CSA interventions for the stakeholders, including smallholder farmers.
Before questionnaire, a purposive random sampling approach was used to select farm households in the study area. Smallholder farmers living in Doggoh, Jeffiri, and Wulling were purposively selected because they were active users of CSA interventions. A total of 161 farm households were interviewed. The participants for the field survey were selected with the help from the district extension officers and agents who worked in the study area for over five years. Therefore, we found that each farm household adopted two or more CSA interventions during 2022-2023 across all the sampled farm households. It is important to indicate that because much of CSA interventions have short implementation periods, secondary data on crops were also sourced from existing literature, both locally and internationally (Adego et al., 2019; Gbangou et al., 2020).
Finally, the quantitative data were entered into a CBA tool, which is a decision-making tool that helps evaluate the feasibility of interventions by comparing estimated costs against anticipated benefits and imported into the Stata @Risk software (Parker Brothers, Newfield, the United States) for descriptive analysis.

2.4. Research methods

2.4.1. Cost and benefit analysis (CBA) tool

The CBA tool was used to evaluate the economic viability of the selected CSA interventions. This assessment helps in making informed decisions about implementing CSA interventions. The CBA tool serves as a sustainable decision-making tool, aiding in selecting CSA interventions with better financial effectiveness and fairness, as outlined by the United States Agency for International Development (USAID, 2017). The CBA tool can generally assess the profitability of various investment alternatives, compare different options, and choose the most economically feasible one. These CSA interventions considered are expected to yield economic benefits presently and contribute to future resilience regardless of climate change. This study used the CBA tool, unlike the conventional deterministic approach, meaning that the analysis incorporates measurement of variability and uncertainty in economic assessment indicators to prevent underestimating risks during analysis procession. This study considered the temporal effects of CSA interventions and their payback periods. The impact of climate change was excluded from the assessment due to the relatively short time frame of the interventions’ payback periods. These interventions were selected with the consideration of livelihood vulnerability, ensuring what they are aligned with addressing or mitigating the potential impact of climate change (Williams et al., 2020).
The Net Present Value (NPV), Internal Rate of Return (IRR), Benefit-Cost Ratio (BCR), and payback period are profitability indicators, which can evaluate the economic viability of the selected CSA interventions in the three villages. The NPV represents the discounted future net benefits and how much wealth has been accumulated by implementing interventions during their entire payback periods. The IRR is a financial metric used to evaluate the profitability of an investment. This study used a discount rate of 28.0%, equivalent to the interest rate applicable to formal loans taken from the bank (BOG, 2022). If the calculated IRR is higher than the discount rate, intervention is considered economically feasible. The higher the IRR, the more economically viable the intervention. Various values such as benefits, costs of machinery, inputs, services, and labor obtained from a household survey were used to calculate the NPV and IRR values. The CBA tool was used to generate the cumulative distribution function of the IRR. It considered the probability that CSA interventions adopted by smallholder farmers would be profitable. This probability was derived from the probability distribution of random variables. A Stata @Risk software was used to evaluate the economic viability of five CSA interventions using a Monte Carlo Simulation.
This study was conducted from the perspectives of smallholder farmers who implement CSA interventions in the farm to make a profit. Nevertheless, the evaluation of the impact of external benefits resulting from the implementation of CSA interventions such as variations in soil erosion control, biodiversity, increased water availability, and social impacts, is critical but often not entirely be captured in the traditional profitability indicators like the NPV and IRR.
The economic viability estimation was conducted in two set of farm households. That is, one farm household practiced two or more CSA interventions in their farm and another farm household did not implement CSA interventions. The NPV was used to evaluate the profitability between implementers and non-implementers:
$\operatorname{NPV}(B, C)=\sum_{t=0}^{T} \frac{B_{t}}{(1+r)^{t}}-\sum_{t=0}^{T} \frac{C_{t}}{(1+r)^{t}},$
where NPV is the Net Present Value (USD); B indicates the benefit (USD); C stands for the cost (USD); t is the time of the implementation of CSA interventions (a); T is the total payback period of the implementation of CSA interventions (a); and r is the relevant discount rate (%). This study compared the changes in cost and benefits of the selected CSA interventions. The accumulated profits were evaluated in terms of the positive change in yield multiplied by the price of the commodity. The incremental costs were also evaluated to indicate the changes in inputs, machinery, labor, and services relating to the implementation of CSA interventions, as follows:
NPV j t INT TP = t = 1 T 1 1 r t j = 1 j P j t × Δ Y I N T T P C n × Δ Q j t INT TP
where INT means the intervention; TP indicates the traditional practice; Pjt is the per-unit price of the crop j in time t (USD) and was assumed to be constant; ΔY is the annual price change of crop j between two interventions (USD); Cn represents the unit cost for inputs or machinery or services or labor assumed to be constant (USD); and $\Delta Q_{j t}^{\mathrm{INT}-\mathrm{TP}}$ is the annual price change in the units of inputs or machinery or labor or services used or the intervention against the traditional practice (USD). We calculated the discount rate using the IRR and took the NPV of CSA intervention as zero, and then compared it with the pre-determined discount rate:
$B_{0}-C_{0}+\frac{B_{1}-C_{1}}{(1+r)^{1}}+\frac{B_{2}-C_{2}}{(1+r)^{2}}+\ldots+\frac{B_{T}-C_{T}}{(1+r)^{T}}=0.$
The decision to consider adopting or not adopting an intervention is influenced by the IRR, and an intervention is recommended if the calculated IRR is higher than the predetermined discount rate.
The BCR was calculated as follows:
$\mathrm{BCR}=\sum_{t=0}^{T} \frac{\frac{B_{t}}{(1+r)^{t}}}{\sum_{t=0}^{T} \frac{C_{t}}{(1+r)^{t}}}.$
The NPV is valuable for decision-making process, which suggests that the benefits of adopting CAS interventions can completely counterbalance the costs acquired with outstanding benefits. Calculation of the payback period appraises the risk associated with investing in CAS interventions. It typifies the time desired to set off the total amount of money invested and is calculated from the net cash flow (Mutenje et al., 2019). The payback period (PP) was then calculated as follows:
$\mathrm{PP}=\frac{\text { Initial investment }}{\text { Net cash flow yearly }}.$

2.4.2. Variable distribution functions

A hypothesis made in the CBA tool was that five CSA interventions were hypothetically assumed to positively improve soil fertility, water availability, and crop yields, and prevent loss of water and soil erosion. Figure 2 shows a physical response pattern of crop yield and payback period of the implementation of CSA interventions.
Fig. 2. Response pattern of crop yield and payback period of the implementation of Climate-Smart Agriculture (CSA) interventions. Y0 is the crop yield before the implementation of CSA interventions; Yf is the most likely crop yield after the implementation of CSA interventions; YMin is the minimum crop yield; YMax is the maximum crop yield; t0 is the time before the implementation of CSA interventions; t1 is initial time of the implementation of CSA interventions; t2 is the time achieving the maximum, most likely, and minimum crop yield of the implementation of the CSA interventions; and T is the total time of the implementation of CSA interventions.
This model of Figure 2 was often applied to simulate biological and environmental data (Sain et al., 2017; Williams et al., 2020). Crop yield data gathered showed the benefits after adopting CSA interventions. Market prices for crops in the study area were also collected from the field survey in 2023. Along with crop yield responses for both pre- and post-intervention, an evaluation of isolated benefits was conducted and incorporated into the CBA tool.
For this study, the physical response curve was deployed to estimate yield response from the annual crops studied with respect to the selected interventions during 1.00-5.00 a. Table 3 shows crop yeild after the implementation of CSA interventions in the three villages. Together with the yield responses for both implementers and non-implementers, assessing benefits from implementing interventions was conducted and unified in the CBA tool.
Table 3 Different crop yields after the implementation of CSA interventions in the three villages.

2.4.3. Installation cost and maintenance cost of CSA interventions

The costs of CSA interventions including installation cost and maintenance cost were considered in the CBA tool (Table 4). The costs revealed the variability of CSA interventions employed across farms in the three villages. Installation cost is one-time expenses incurred by smallholder farmers at the beginning of implementing a new CSA intervention. These costs cover the initial setup, such as purchasing equipment, setting up infrastructure, or any other expenditures necessary to start a CSA intervention. Secondly, maintenance cost is spent yearly by smallholder farmers to sustain the adopted CSA intervention throughout its payback period when necessary. These maintenance costs are related to upkeep, repairs, or ongoing investments needed to maintain the efficiency and effectiveness of CSA interventions. A lognormal and uniform distributions were used to scrutinize the installation cost and maintenance cost of CSA interventions. The uniform distribution is a probability distribution where all outcomes have an equal likelihood of occurring. The CBA tool was normally used to estimate the compound interest or return expected during a period.
Table 4 Installation cost and maintenance cost of CSA interventions.
CSA intervention Installation cost (USD/hm2) Maintenance cost (USD/hm2)
Doggoh Jeffiri Wulling Doggoh Jeffiri Wulling
Livestock-crop integration Lognormal
(494.00, 584.00)
Lognormal
(305.00, 364.00)
Lognormal
(133.00, 180.00)
Uniform
(205.00, 287.00)
Uniform
(267.00, 352.00)
Uniform
(267.00, 352.00)
Nutrient integration Lognormal
(56.00, 122.00)
Lognormal
(140.00, 206.00)
Lognormal
(133.00, 180.00)
Uniform
(147.00, 210.00)
Uniform
(55.00, 136.00)
Uniform
(267.00, 352.00)
Mixed cropping Lognormal
(133.00, 180.00)
Lognormal
(106.00, 140.00)
Lognormal
(133.00, 180.00)
Uniform
(63.00, 189.00)
Uniform
(78.00, 133.00)
Uniform
(267.00, 352.00)
Crop rotation Lognormal
(2146.00, 2738.00)
Lognormal
(4860.00, 6200.00)
Lognormal
(133.00, 180.00)
Uniform
(384.00, 819.00)
Uniform
(141.00, 438.00)
Uniform
(267.00, 352.00)
Tie ridging Lognormal
(513.00, 615.00)
Lognormal
(639.00, 786.00)
Lognormal
(133.00, 180.00)
Uniform
(42.00, 109.00)
Uniform
(308.00, 550.00)
Uniform
(267.00, 352.00)

Note: Lognormal and uniform express the data distribution types. The two values in parentheses indicate the minimum and maximum cost values, respectively.

2.4.4. Classification of the cost and benefit variables

We utilized a CBA tool to classify variables as either non-random or random based on the nature of their values and variations across different scenarios. Non-random variables were categorized by stable, known, or predetermined values that vary insignificantly across different farm households typically evaluated at average, mean, or mode values. We identified non-random variables based on the discount rate, payback period of CSA intervention, and market prices for crops. The payback period of a CSA intervention and the market price change for crops were based on the nature of the selected interventions in the study area. Table 5 shows that the market prices of four crops were uniformly distributed in the three villages. The two set values reflected probability distribution in which all outcomes were equally likely. Random variables for this study included the cost structure such as installation cost and maintenance cost, as well as crop yields. Differences in farming systems and innovations applied across different farms can lead to uncertainties in installation cost and maintenance cost as well as crop yields, so it is not credible to treat these variables as random distribution. Moreover, these variables helped to determine the impact of CSA interventions on farming systems. Random variable values were uncertain and varied within a range or distribution. In this case, due to the uncertainty associated with cost structures and crop yields across farms, using specific distributions can help capture this variation (Fig. 2).
Table 5 Market prices of the four crops in the three villages.
Crop Market price (USD/kg)
Doggoh Jeffiri Wulling
Maize Uniform (8.32, 3.64) Uniform (2.05, 2.43) Uniform (2.49, 1.78)
Sorghum Uniform (8.49, 11.34) Uniform (9.61, 9.42) Uniform (7.49, 10.34)
Millet Uniform (4.36, 1.75) Uniform (3.51, 4.22) Uniform (3.41, 5.27)
Groundnut Uniform (3.32, 3.97) Uniform (3.74, 3.49) Uniform (1.58, 2.71)

Note: Uniform expresses the data distribution type. The two values in parentheses indicate the minimum and maximum values of the market prices, respectively.

3. Results

This study evaluated the profitability of CSA interventions through a survey in the three villages (Doggoh, Jeffiri, and Wulling). The results showed that five CSA interventions were frequently applied (Table 1). All the evaluated CSA interventions were found to be profitable, as their IRR values were greater than the discount rate (28.0%) (Table 6). The NPV took into account the value of enhanced yield and reduced labor costs, and subtracted the costs associated with the implementation of CSA interventions. The NPV for all interventions in Jirapa ranged from 233 to 1730 USD, while the IRR ranged from 29.0% to 193.0%. CSA interventions had the potential to increase crop yield, productivity, and income of smallholder farmers in Jirapa. Many of these interventions required capital to support. Shorter response time (payback period) presented a positive influence on increased yield, productivity, and income. All CSA interventions are largely required for economic returns. These results suggested that the selected CSA interventions can be economically viable for smallholder farmers, as they have the positive NPV and higher IRR.
Table 6 Average values of profitability indicators of the implementation of CSA interventions.
CSA intervention NPV (USD) BCR IRR (%) Payback period (a)
Livestock-crop integration 1730 2.87 193.0 5.00
Nutrient integration 1490 1.98 123.0 1.00
Mixed cropping 1103 2.54 96.0 1.00
Crop rotation 1531 2.24 136.0 2.00
Tie ridging 233 1.42 29.0 3.00

Note: NPV, Net Present Value; BCR, Benefit-Cost Ratio; IRR, Internal Rate of Return.

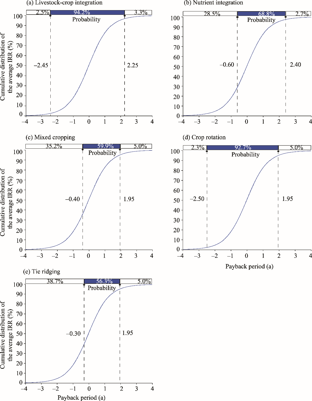
The probability of the IRR for the implementation of CSA interventions is shown in Figure 3. The results suggested that the implementation of CSA interventions, on average, was relatively profitable and had a nominal financial risk for smallholder farmers in the three villages. In a given year, smallholder farmers can benefit from CSA interventions, indicating a positive profit level. Figure 3 further presents the probability risk associated with the implementation of CSA interventions.
Fig. 3. Cumulative distribution of the average Internal Rate of Return (IRR) for the implementation of five CSA interventions. (a), livestock-crop integration; (b), nutrient integration; (c), mixed cropping; (d), crop rotation; (e), tie ridging. Negative values of payback period indicate that investment has been made but return has not yet been realized.
CSA interventions were economically viable and presented a relatively low financial risk for smallholder farmers in the three villages. Livestock-crop integration was a profitable intervention for smallholder farmers using Monte Carlo Simulation. From Figure 3a we can see that there was a high probability (95.0%) of getting an IRR value greater than 28.0% after the implementation of livestock-crop integration. Moreover, there was a 5.0% probability of getting an IRR value above 100.0%. However, there was no significant probability of getting an IRR value below the discount rate (28.0%) applied. This meant that there was a low risk for the smallholder farmers losing money. Livestock-crop integration had low risk and high reward for smallholder farmers. Moreover, there was a relatively high probability (68.8%) of obtaining an IRR value between 27.5% and 44.0% with the implementation of nutrient integration (Fig. 3b). However, the probability of obtaining an IRR value slightly above 28.0% was 27.0%, which suggested that there were risks in the implementation of nutrient integration.
There was a high possibility of getting the IRR value between 27.5% and 47.0% for the implementation of mixed cropping, with only 5.0% probability exceeding this range (Fig. 3c). However, there was a significant probability (close to 16.0%) of the IRR value below the discount rate. Figure 3d shows that crop rotation was profitable for smallholder farmers. Precisely, there was a 92.7% probability obtaining an IRR between 28.0% and 74.0% for the implementation of crop rotation, with a 5.0% probability of achieving an IRR above 74.0%. However, there was a low probability (2.0%) of obtaining an IRR value below the discount rate (28.0%) for investing in crop rotation.
Figure 3e shows that there was a high degree of uncertainty associated with the potential returns on investment in tie ridging adopted by smallholder farmers. The implementation of tie ridging will produce higher risk compared to crop rotation and mixed cropping. Potential risks and returns associated with investment were interrelated. Thus, higher returns were often associated with higher risks. As such, smallholder farmers considering investing in this intervention will need to carefully evaluate the potential risks and returns.

4. Discussion

Climate change disrupts food markets, posing risks to food supply. Livestock-crop integration, nutrient integration, mixed cropping, crop rotation, and tie ridging were considered as worthy and profitable CSA interventions by smallholder farmers in the three villages (Doggoh, Jeffiri, and Wulling) in the dryland farming systems of northern Ghana. For CSA interventions, it was vital to take the time lag contrary to the positive impacts on maintaining productivity and building resilient farming systems. Mixed cropping and nutrient integration had a payback period of 1.00 a and this will make these interventions more appealing to smallholder farmers with the aim of recouping their investments in the nearest possible future. However, livestock-crop integration and tie ridging had the payback periods of 5.00 and 3.00 a, respectively, which could be greatly long for smallholder farmers. Despite the profitability of five CSA interventions under consideration, this study argued that their implementation and ultimate success may depend on specific factors such as installation cost, maintenance cost, and IRR.
All CSA interventions had high IRR above the discounted rate and low implementation costs, which make such interventions economically viable for adoption. Livestock-crop integration had the highest IRR and the longest payback period of 5.00 a. CSA interventions with a long payback period could be suited for farming systems with enabling environment conditions such as owning and securing land tenure, supporting long-term land use, and expanding short-term livelihood options. Livestock-crop integration was a long-term investment project that particularly entails large ruminants like cow (Bos taurus) and sheep (Ovis aries). Pontes et al. (2021) found that animal production has a higher initial investment cost, but it is more profitable and improves the income of farm households.
Crop rotation (groundnut or beans) appeared as an important intervention in the three villages. Our results resonated with the studies of Obayelu et al. (2013) and Li et al. (2023) that mixed cropping was profitable after computing the profit margin against monocropping system. Volsi et al. (2020) indicated that adopting crop rotation leaded to greater economic returns due to its beneficial agronomic properties. Although all forms of crop rotation were profitable, diversified rotations involving crops from different crop categories provided the greatest benefits in terms of both productivity and soil health benefit (Smith et al., 2017). The selected interventions varied across spatiotemporal regions, depending on the specific context and constraints faced by smallholder farmers. CSA interventions with a payback period of 1.00 a are more appropriate for smallholder farmers with relatively smaller landholdings and are likely to be engaged in subsistence farming. Furthermore, CSA interventions with a shorter payback period and lower investment costs are more appealing to smallholder farmers who rely on their crops for subsistence and livelihood.
While these interventions promote resilience to climate change, inadequate technical support, investment funds, and a long payback period can culminate into a significant risk for profitability (Kassa and Abdi, 2022). As a result, smallholder farmers are incapacitated to adopt these interventions, which may impact their ability to support organizations and policies that are necessary for the implementation of CSA interventions. The public sector and government agencies, such as extension officers and district crop officers, can facilitate the implementation of CSA interventions. These measures include dropping the interest rate on credit, improving access to credit, subsidizing for implementation of farm inputs, providing short-term livelihood diversification options, supporting irrigational facilities for dry-season farming, and improving land ownership system. By mobilizing local capacity for maintaining productivity, CSA interventions contribute to promote resilience development, lessen sensitivity to climate change, and ensure food security.
As a policy, two vital questions will usually come up: decisions around investing in CSA interventions and promoting the implementation of CSA interventions. It needs to figure out whether these interventions benefit smallholder farmers, enhance continuous adoption, or serve the public interest. The CBA tool was applied to enhance decision-making process, particularly concerning government’s policies (Sam et al., 2020). The adoption of the CBA tool was vital to addressing significant planning and investment decisions (Ng’ang’a et al., 2021). This study was in line with the previous studies concerning the utilization of the CBA tool to assess the economic viability of the implementation of CSA interventions in developing countries that depend on agriculture for socioeconomic growth and development (Chaudhury et al., 2016; Andrieu et al., 2017; Akinyi et al., 2022).
The innovation of this study emerges from the type of interventions considered for demand driven by users and policymakers. The prioritized CSA interventions should be made readily available for adoption to enhance livelihood resilience in the study area. Robust CSA interventions can enhance crop yields and improve household livelihoods irrespective of climate events (Debaeke et al., 2017). Furthermore, unveiling economic viability of CSA interventions will help to inform the understanding of improving productivity and livelihood resilience in the dryland farming systems of northern Ghana.
For an effective economic viability of CSA interventions that will enhance decision making, there is a need for consideration of the time lag before obtaining a positive impact of CSA interventions on productivity and other benefits. When all costs and benefits are considered, five CSA interventions all seem to be profitable. However, results also showed that livestock-crop integration and tie ridging had the payback periods of 3.00 and 5.00 a, respectively. Smallholder farmers thought that the time lag is noticeably long. Mixed cropping and nutrient integration had relatively high IRR, with the payback period of 1.00 a. Moreover, crop rotation had a payback period of 2.00 a. These three interventions have emerged as strong choices with low risk for smallholder farmers in the study area, which bring a lot of returns to the farmers. Tie ridging had the least IRR but exhibited a payback period of 3.00 a. CSA interventions with longer payback period may be best suited for farming systems with better underlying conditions.

5. Conclusions and recommendations

This study assessed the economic viability of the implementation of five CSA interventions in the three villages (Doggoh, Jeffiri, and Wulling) in the dryland farming systems of northern Ghana. The results indicated that livestock-crop integration, nutrient integration, mixed cropping, crop rotation, and tie ridging were economically viable and had the ability to improve crop yield and enhance the income of smallholder farmers. The desirable one among the selected five CSA interventions prioritized by smallholder farmers was livestock-crop integration (BCR=2.87). The implementation of CSA interventions offers prospect to maintain productivity and build resilient farming systems in the face of increasing climate risks and disasters. These findings highlight the potentials of CSA interventions in fostering sustainable agriculture and livelihood resilient in the region where agriculture is the mainstay. However, the implementation of these interventions was influenced by factors such as higher investment cost and longer payback period of its adoption. It is important to point out that despite the economic viability of the five CSA interventions, their promotion should be targeted at a specific group of smallholder farmers. CSA interventions with shorter payback period should be targeted by smallholder farmers with small land holdings and relatively low agricultural resources, while the interventions with relatively longer payback period should be targeted at smallholder farmers with relatively more agricultural resources and easy access to commercial farming.
This study provides a more complete understanding of analyzing economic viability of CSA interventions, enabling decision-makers to make informed decisions on enhancing food security and climate resilience development. It is important to employ interventions that can help to increase agricultural productivity and improve livelihood resilience in the phase of climatic risks. Increased investment in different CSA interventions by smallholder farmers suggests that more attention needs to be paid to understanding farm households’ decision-making dynamics when developing CSA interventions.
The Ministry of Food and Agriculture and stakeholders interested in promoting CSA interventions aim to scale out investment in CSA interventions that can address food security, improve agricultural resilience, and achieve low emissions. Additionally, the Agricultural and Rural Development Association (ARA) belonging to a Multi-Dimensional Non-Government Organization working in the field of the Community Based Natural Resource Management and Women Empowerment should make available economically viable CSA interventions as these practices could lead to improvements in productivity and agricultural resilience. The private sector can support CSA interventions through the improved and conducted capacity building. Encouraging Non-Government Organization to implement CSA interventions is also important for effective adaptation to climate change. In addition, it is suggested that these institutions and stakeholders can strengthen the education of smallholder farmers to expand the knowledge base for the use of new CSA interventions.

Authorship contribution statement

Felix KPENEKUU: conceptualization, methodology, writing - original draft, writing - review & editing, visualization, and supervision; Philip ANTWI-AGYEI: conceptualization, resources, and editing; Fred NIMOH: data analysis and editing; Andrew DOUGILL: editing; Albert BANUNLE: data curation and editing; Jonathan ATTA-AIDOO: data curation; Frank BAFFOUR-ATA: data curation; Thomas Peprah AGYEKUM: writing and review; Godfred ADDAI: editing; and Lawrence GUODAAR: writing and editing. All authors approved the manuscript.

Ethics statement

This study received approval from the Ethics Committee of Kwame Nkrumah University of Science and Technology, Ghana. Furthermore, the participants provided their informed consent to either provide data or participate or opt out in this study.

Declaration of conflict of interest

The authors declare that they have no competing financial interest or personal relationships that could have appeared to influence the work reported in this paper.
[1]
Abdul-Rahaman I., Owusu-Sekyere E., 2017. Climate variability and sustainable food production: Insights from North-Eastern Ghana. Ghana Journal of Geography. 9(2), 67-89.

[2]
Adego T., Simane B., Woldie G.A., 2019. The impact of adaptation practices on crop productivity in northwest Ethiopia : An endogenous switching estimation. Development Studies Research. 6(1), 129-141.

[3]
Aggarwal P.K., Jarvis A., Campbell B.M., et al., 2018. The climate-smart village approach: Framework of an integrative strategy. Ecol. Soc. 23(1), 14, doi: 10.5751/ES-09844-230114.

[4]
Agula C., Mabe F.N., Akudugu M.A., et al., 2019. Enhancing healthy ecosystems in northern Ghana through eco-friendly farm-based practices: Insights from irrigation scheme-types. BMC Ecol. 19(1), 1-11.

[5]
Akinyi D.P., Ng’ang’a S.K., Ngigi M., et al., 2022. Cost-benefit analysis of prioritized climate-smart agricultural practices among smallholder farmers: Evidence from selected value chains across sub-Saharan Africa. Heliyon. 8(4), e09228, doi: 10.1016/j.heliyon.2022.e09228.

[6]
Akpan A.I., Zikos D., 2023. Rural agriculture and poverty trap: Can climate-smart innovations provide breakeven solutions to smallholder farmers? Environments. 10(4), 57, doi: 10.3390/environments10040057.

[7]
Akter A., Geng X.H., Mwalupasa G.E., 2022. Income and yield effects of Climate-Smart Agriculture (CSA) adoption in flood prone areas of Bangladesh: Farm level evidence. CLIM. RISK MANAG. 37, 100455, doi: 10.1016/j.crm.2022.100455.

[8]
Andrieu N., Sogoba B., Zougmore R., et al., 2017. Prioritizing investments for Climate-Smart Agriculture: Lessons learned from Mali. Agric. Syst. 154, 13-24.

[9]
Atanga R.A., Tankpa V., 2021. Climate change, flood disaster risk and food security nexus in Northern Ghana. Front. Sustain. Food Syst. 5, 706721, doi: 10.3389/fsufs.2021.706721.

[10]
Ayumah R., 2017. Climate variability and food crop production in the Bawku. MSc Thesis. Kumasi: Kwame Nkrumah University of Science and Technology.

[11]
Boatemaa A., Incoom M., Amaning K., et al., 2020. Rainfall variabilities and droughts in the Savannah zone of Ghana from 1960-2015. Sci. Afr. 10, e00571, doi: 10.1016/j.sciaf.2020.e00571.

[12]
BOG (Bank of Ghana), 2022. Monetary Policy Report. [2023-07-21]. https://www.bankofcanada.ca/publications/mpr/.

[13]
Chaudhury A.S., Helfgott A., Thornton T.F., et al., 2016. Participatory adaptation planning and costing. Applications in agricultural adaptation in western Kenya. Mitig. Adapt. Strateg. Glob. Chang. 21(3), 301-322.

[14]
Damba O.T., Ansah I.G.K., Donkoh S.A., et al., 2020. Effects of technology dissemination approaches on agricultural technology uptake and utilization in Northern Ghana. Technol. Soc. 62, 101294, doi: 10.1016/j.techsoc.2020.101294.

[15]
Debaeke P., Pellerin S., Scopel E., 2017. Climate-smart cropping systems for temperate and tropical agriculture: Mitigation, adaptation and trade-offs. Cah. Agric. 26(3), 12, doi: 10.1051/cagri/2017028.

[16]
Dillon E.J., Hennessy T., Buckley C., et al., 2016. Measuring progress in agricultural sustainability to support policy-making. Intern. Int. J. Agric. Sustain. 14(1), 31-44.

[17]
Dougill A.J., Hermans T.D.G., Eze S., et al., 2021. Evaluating Climate-Smart Agriculture as route to building climate resilience in African food systems. Sustainability. 13(17), 9909, doi: 10.3390/su13179909.

[18]
Dunnett A., Shirsath P.B., Aggarwal P.K., et al., 2018. Multi-objective land use allocation modelling for prioritizing climate-smart agricultural interventions. Ecol. Model. 381, 23-35.

[19]
EPA (Environmental Protection Agency), 2021. Ghana’s Fourth National Communication to the United Nations Framework Convention on Climate Change. [2023-08-01]. http://ww.epa.gov.gh.

[20]
Fadina A.M.R., Barjolle D., 2018. Farmers’ adaptation strategies to climate change and their implications in the Zou department of South Benin. Environments. 5(1), 1-17.

[21]
Farnworth C.R., Baudron F., Andersson J.A., et al., 2016. Gender and conservation agriculture in East and Southern Africa: Towards a research agenda. Int. J. Agric. Sustain. 14(2), 142-165.

[22]
Gbangou T., Ludwig F., van Slobbe E., et al., 2020. Rainfall and dry spell occurrence in Ghana: Trends and seasonal predictions with a dynamical and a statistical model. Theor. Appl. Climatol. 141(1-2), 371-387.

[23]
GSS (Ghana Statistical Service), 2018. Ghana-Ghana Living Standard Survey (GLSS 7) 2017. [2023-07-11]. https://www2.statsghana.gov.gh.

[24]
Guodaar L., 2021. Climate change, indigenous knowledge and food security in northern Ghana. PhD Dissertation. Adelaide: The University of Adelaide.

[25]
Guodaar L., Kabila A., Afriyie K., et al., 2023. Farmers’ perceptions of severe climate risks and adaptation interventions in indigenous communities in northern Ghana. Int. J. Disaster Risk Reduct. 95, 103891, doi: 10.1016/j.ijdrr.2023.103891.

[26]
Haile G.G., Tang Q.H., Sun S., et al., 2019. Droughts in East Africa: Causes, impacts and resilience. Earth-Sci. Rev. 193, 146-161.

[27]
IPCC (Intergovernmental Panel on Climate Change), 2021. Climate Change 2021: The Physical Science Basis. Cambridge: Cambridge University Press.

[28]
IPCC, 2022. Climate Change 2022: Impacts, Adaptation and Vulnerability. Cambridge: Cambridge University Press.

[29]
Jambo Y., Alemu A., Tasew W., 2021. Impact of small-scale irrigation on household food security: Evidence from Ethiopia. Agriculture & Food Security. 10(1), 1-16.

[30]
Jelagat J., 2019. Effects of climate-smart agricultural awareness on food security among smallholder farmers: The case of Kaptumo-Kaboi ward, Nandi County. MSc Thesis. Nairobi: University of Nairobi.

[31]
Kassa B.A., Abdi A.T., 2022. Factors influencing the adoption of climate-smart agricultural practice by small-scale farming households in wondo genet, southern Ethiopia. SAGE Open. 12(3), 1121604, doi: 10.1177/21582440221121604.

[32]
Klutse N.A.B., Owusu K., Boafo Y.A., 2020. Projected temperature increases over northern Ghana. SN Appl. Sci. 2(8), 1339, doi: 10.1007/s42452-020-3095-3.

[33]
Kpenekuu F., Antwi-Agyei P., Nimoh F., et al., 2024. Understanding drought risk management in vulnerable communities in dryland farming systems: Evidence from northwest Ghana. Int. J. Disaster Risk Reduct. 100, 104186, doi: 10.1016/j.ijdrr.2023.104186.

[34]
Laterra P., Nahuelhual L., Vallejos M., et al., 2018. Ecosystem services linking inequalities and ecosystem services in Latin America. Ecosyst. Serv. 36, 100875, doi: 10.1016/j.ecoser.2018.12.001.

[35]
Li M.J., Li R.H., Zhang J.E., et al., 2023. Mixed cropping with duck co-culture: An agroecological system to improve grain quality and farm profitability. J. Sci. Food Agric. 103(6), 3028-3040.

[36]
Martey E., Etwire P.M., Mockshell J., 2021. Climate-smart cowpea adoption and welfare effects of comprehensive agricultural training programs. Technol. Soc. 64, 101468, doi: 10.1016/j.techsoc.2020.101468.

[37]
Mulinde C., Majaliwa J.G.M., Twinomuhangi R., et al., 2019. Perceived climate risks and adaptation drivers in diverse coffee landscapes of Uganda. NJAS-Wagen. J. Life Sci. 88, 31-44.

[38]
Mumo L., Yu J.H., Fang K., 2018. Assessing impacts of seasonal climate variability on maize yield in Kenya. Int. J. Plant Prod. 12(4), 297-307.

[39]
Mutenje M.J., Farnworth C.R., Stirling C., et al., 2019. A cost-benefit analysis of Climate-Smart Agriculture options in Southern Africa: Balancing gender and technology. Ecol. Econ. 163, 126-137.

[40]
Ng’ang’a S.K., Miller V., Girvetz E., 2021. Is investment in Climate-Smart-agricultural practices the option for the future? Cost and benefit analysis evidence from Ghana. Heliyon. 7(4), e06653, doi: 10.1016/j.heliyon.2021.e06653.

[41]
Obayelu A.E., Afolami C.A., Agbonlahor M.U., 2013. Relative profitability of cassava-based mixed cropping systems among various production scale operators in Ogun and Oyo states Southwest Nigeria. Afr. Dev. Rev. 25, 513-525.

[42]
Pontes L.S., Porfírio-da-Silva V., Moletta J.L., et al., 2021. Long-term profitability of crop-livestock systems, with and without trees. Agric. Syst. 192, 103204, doi: 10.1016/j.agsy.2021.103204.

[43]
Redda A., Tana T., Elias B., 2022. Perceptions of Climate Change and Determinants of Adaptation Decisions of Smallholder Maize (Zea. mays L.) Farmers in Tigray, Northern Ethiopia. [2023-07-11]. https://doi.org/10.21203/rs.3.rs-1312735/v1.

[44]
Sain G., Loboguerrero A.M., Corner-Dolloff C., et al., 2017. Costs and benefits of Climate-Smart Agriculture: The case of the Dry Corridor in Guatemala. Agric. Syst. 151, 163-173.

[45]
Sam K.O., Botchway V.A., Karbo N., et al., 2020. Evaluating the utilisation of Climate-Smart Agriculture (CSA) technologies and practices among smallholder farmers in the Lawra, Jirapa and Nandom districts of Ghana. Ghana Journal of Agricultural Science. 55(2), 122-144.

[46]
Setsoafia E.D., Ma W.L., Renwick A., 2022. Effects of sustainable agricultural practices on farm income and food security in northern Ghana. Agric. Food Econ. 10(9), 1-15.

[47]
Smith E., Zentner R.P., Campbell C.A., et al., 2017. Long-term crop rotation effects on production, grain quality, profitability, and risk in the northern Great Plains. Agron. J. 19, 0420, doi: 10.2134/agronj2016.07.0420.

[48]
USAID (United States Agency for International Development), 2017. Climate-smart Agricultural Practices in the Coastal Savannah Agro-ecological Zone of Ghana. [2023-08-01]. https://www.usa.gov/outreach.

[49]
Volsi B., Bordin I., Higashi G.E., et al., 2020. Economic profitability of crop rotation systems in the Caiuá sandstone area. Cienc. Rural. 50(2), 1-11.

[50]
World Bank, 2022. Global Market Outlook. Trends in Global Agricultural Commodity Prices Food Price Inflation Dashboard. [2023-07-21]. http://www.worldbank.org.

[51]
Williams P.A., Ng’ang’a S.K., Crespo O., et al., 2020. Cost and benefit analysis of adopting climate adaptation practices among smallholders: The case of five selected practices in Ghana. Clim. Serv. 20, 100198, doi: 10.1016/j.cliser.2020.100198.

[52]
Zhao C.L., Yan Y., Wang C.X., et al., 2018. Adaptation and mitigation for combating climate change—from single to joint. Ecosyst. Health Sustain. 4(4), 85-94.

[53]
Zougmoré R.B., Partey S.T., Ouédraogo M., et al., 2018. Facing climate variability in Sub-Saharan Africa: Analysis of Climate-Smart Agriculture opportunities to manage climate-related risks. Cah. Agric. 27(3), 34001, doi: 10.1051/cagri/2018019.

Outlines

/