Plant Ecology

Analysis of the expression patterns of the heat-resistant gene of Syntrichia caninervis under different abiotic stresses based on RT-qPCR technology

  • HUO Wenting , 1 ,
  • GU Tianqi 1 ,
  • GAO Mengyu 1 ,
  • SONG Yanfang 2 ,
  • LI Hongbin 1 ,
  • ZHUO Lu , 1
Expand
  • 1. College of Life Science, Shihezi University, Ministry of Education Key Laboratory of Xinjiang Phytomedicine Resource Utilization, Xinjiang Production and Construction Corps Key Laboratory of Oasis Town and Mountain-basin System Ecology, Shihezi 832000, Xinjiang, China
  • 2. Shihezi Health School, Shihezi 832000, Xinjiang, China

Received date: 2025-01-10

  Revised date: 2025-03-26

  Online published: 2026-03-12

Abstract

Based on transcriptomic data of the desiccation-tolerant moss Syntrichia caninervis under prior 55 ℃ heat stress, this study employed real-time fluorescent quantitative PCR (RT-qPCR) to investigate the expression patterns of nine heat-responsive differentially expressed genes (ScLEA14, ScGSTF11, ScHSP70-17, ScHsfB4b, ScMYB117, ScGLK1, ScERF039, ScERF016, and ScbHLH104) under high temperature, drought-rehydration, and NaCl stress conditions. The aim was to validate the reliability of RNA-Seq data and provide theoretical support for subsequent functional studies on stress-resistant genes in S. caninervis. Results demonstrated that: (1) The expression profiles of all nine genes under high-temperature stress exhibited substantial concordance with RNA-Seq data, confirming the stability of transcriptomic sequencing. (2) Under extreme heat and drought-rehydration stresses, all genes were differentially induced, with three genes attaining peak expression levels following 24-hour drought treatment, while eight genes displayed more prominent transcriptional activation during the rehydration phase. (3) NaCl stress triggered significant upregulation of all nine thermotolerance-associated genes, with six genes demonstrating statistically robust induction. Thus, the results demonstrate that the three genes ScLEA14, ScMYB117, and ScERF016 are strongly induced under extreme high temperature, drought-rehydration, and NaCl-induced high salinity stress, highlighting their potential as key candidate genes for further investigation into stress resistance mechanisms.

Cite this article

HUO Wenting , GU Tianqi , GAO Mengyu , SONG Yanfang , LI Hongbin , ZHUO Lu . Analysis of the expression patterns of the heat-resistant gene of Syntrichia caninervis under different abiotic stresses based on RT-qPCR technology[J]. Arid Zone Research, 2025 , 42(5) : 885 -894 . DOI: 10.13866/j.azr.2025.05.11

在全球气候变化的大背景下,温室效应致使大气环流模式发生显著改变,进而引发极端气候事件频发,高温胁迫作为一种典型的非生物胁迫,已成为全球范围内制约植物生存的关键环境因子之一[1-2]。植物生态幅相对固定,地理分布格局、生长发育进程皆与周围环境密切相关。当环境因子急速变化时,只能依靠自身机制抵御各种外界胁迫。苔藓是最早出现在陆地上的植物,相比水生环境而言,陆地环境具有高氧分压、强太阳辐射以及显著的温度波动等特点,催生该类植物进化出精细的组织结构以及复杂的代谢调控[3]。近年来,耐干苔藓植物在耐干以及复水时所具备的强大细胞保护与修复机制已成为抗逆分子生物学研究的热点[4-5]
齿肋赤藓(Syntrichia caninervis Mitt.)隶属丛藓科赤藓属,是具有代表性的耐干苔藓植物,其分布范围涵盖诸多极端干旱地区,如中国的古尔班通古特沙漠、腾格里沙漠,以及美国的莫哈维沙漠等地[6-7],具备强大的综合抗逆性能,对干旱、高低温、辐射以及高盐等非生物胁迫均表现出显著的耐受性[8-10]。2024年,Li等[10]发现齿肋赤藓能耐受自身98%以上的细胞脱水实现“干而不死”,耐受零下196 ℃超低温速冻实现“冻而不死”,耐受超过5000 Gy伽马辐射实现“照而不死”,且条件适宜,即可迅速启动复苏机制,恢复生长,具有极强的抗逆特性。这种卓越的抗逆特性使其在沙漠生态系统中发挥着关键的生态功能,同时也为其在太空生态工程,特别是火星移民计划中的潜在应用提供了理论依据,有望成为火星生态环境改造的先锋植物[10]。目前,关于齿肋赤藓的研究涉及多个维度,在生态学功能方面,齿肋赤藓通过其特殊的生物学特性,对沙漠生态系统的稳定性维持和土壤理化性质改良具有重要作用[11-12];在形态结构与生理生化响应层面,研究者聚焦于其在逆境下的水分平衡调节、渗透调节物质积累以及抗氧化防御系统的激活等生理过程[13-14];在分子机制及抗逆优质基因挖掘领域,已取得了一系列重要进展[4,15-18]
近10 a来,本课题组已系统地开展了齿肋赤藓耐干机制研究,包括多组学联合系统解析耐干分子机制,建立了耐干过程中转录组、蛋白质组和代谢组等多组学数据平台[10,16,19],并于2014年在法国pornichet召开的国际耐干大会上,提出将齿肋赤藓作为耐干胁迫的模式种的概念,得到了国际同行的广泛认可[20]。耐干与耐热是齿肋赤藓适应极端沙漠环境的重要表现,尽管目前对其耐干机制已有较为深入的认识,但关于齿肋赤藓耐热分子机制的研究仍相对薄弱。在全球气候变暖的大背景下,研究齿肋赤藓的耐热机制具有重要的科学意义和实践价值,深入探究其耐热分子机制,不仅有助于揭示植物在极端高温环境下的适应策略,深化对植物逆境生物学的理论认识,还能为抗逆基因资源的开发利用提供新的靶点,为沙漠生态修复、生态农业发展以及太空生态工程等领域提供理论支持和技术支撑。
本研究基于前期RNA-Seq技术检测了耐干苔藓齿肋赤藓在55 ℃高温胁迫下的转录组数据,得到13160个差异表达基因(Differentially Expressed Genes,DEGs)和2438个差异表达的转录因子(Transcription Factors,TFs)[21],并筛选了一批热胁迫过程响应的基因,分别是胚胎发育晚期丰富蛋白(Late Embryogenesis Abundant Protein,LEA)基因ScLEA14;谷胱甘肽S-转移酶(Glutathione S-transferase,GST)基因ScGSTF11;热休克蛋白(Heat Shock Proteins,HSPs)基因ScHSP70-17;调控逆境响应的转录因子类,如热激转录因子(Heat Shock Transcription Factor,HSF)基因ScHsfB4b、禽成髓细胞瘤病毒致癌同源转录因子(v-Myb avian myeloblastosis viral onco-gene homolog transcription factor,MYB)基因ScMYB117、类金色2转录因子(GOLDEN2-LIKE transcription factors,GLK)基因ScGLK1、APETALA2/乙烯响应转录因子(APETALA2/Ethylene Responsive Transcription Factor,AP2/ERF)基因ScERF039ScERF016、碱性螺旋-环-螺旋转录因子(basic Helix-Loop-Helix transcription factor,bHLH)基因ScbHLH104。结合实时荧光定量聚合酶链式反应(Quantitative Real Time Polymerase Chain Reaction,RT-qPCR)技术鉴定,了解可能参与齿肋赤藓适应高温胁迫的候选基因及其表达情况,旨在验证RNA-Seq所揭示的基因表达规律的可靠性,并探究9个耐热相关基因在干旱-复水过程和NaCl高盐胁迫下的响应规律[22],为齿肋赤藓抗逆分子机制的解析提供实验依据,筛选出的关键基因为后续的功能验证奠定重要基础,对植物抗逆基因资源的开发利用具有重要的理论指导意义。

1 材料与方法

1.1 材料的培养与处理及转录组数据的获取

本研究以生长良好且长势一致的单克隆齿肋赤藓S. caninervis为材料。高温处理:将齿肋赤藓组织培养材料置于恒温55 ℃±2 ℃烘箱处理0 min(对照)、10 min、30 min、45 min和60 min后取样;干旱处理:将20 g新鲜植株配子体均匀地放置于实验室工作台上的托盘中(相对湿度为28%,温度为24 ℃±2 ℃),空气干燥处理0 h、2 h、6 h、12 h和24 h后取样;再将10 mL无菌水均匀喷洒在室温空气干燥24 h的齿肋赤藓样品上进行复水处理2 h、6 h、12 h、24 h和48 h后取样;高盐处理:将齿肋赤藓组织培养材料均匀铺于培养皿中,用300 mmol·L-1 NaCl溶液喷洒直至溶液完全覆盖培养皿底部3 mm,分别处理0 h、2 h、6 h、12 h和24 h后取样[22]。每个处理取3份样品做生物学重复,每个样品1 g(约60株),锡箔纸包好快速放入液氮中速冻,置于-80 ℃冰箱保存备用。
转录组测序结果从课题组前期已发表研究结论中获取[21]

1.2 主要试剂及仪器

核糖核酸(Ribonucleic Acid,RNA)的提取使用RNAprep Pure多糖多酚植物总RNA提取试剂盒(TIANGEN),反转录试剂盒使用HiScript III All-in-one RT SuperMix Perfect for qPCR(Vazyme),荧光定量试剂盒使用 SuperReal 荧光定量预混试剂增强版SYBR Green(TIANGEN)。荧光定量仪器为LightCycler® 480实时荧光定量PCR仪(Roche)。

1.3 RNA的提取及cDNA的合成

总RNA提取按照TIANGEN试剂盒说明书的步骤进行,利用凝胶电泳(1%琼脂糖)评估其完整性,使用Vazyme反转录试剂盒合成cDNA。

1.4 相对定量标准曲线的制作

将cDNA模板10倍梯度稀释。循环阈值(Cycle Threshold Value,Ct值)与起始模板浓度的对数密切相关,当相关系数R>0.995,扩增效率处于90%~110%范围时,引物符合实验要求,可用于后续荧光定量分析[22]。扩增体系为20 μL:2×SuperReal PreMix Plus 10 μL、正反向引物各0.6 μL、Rnase free ddH2O 6.8 μL、cDNA模板(10倍稀释)2 μL。扩增程序为: 95 ℃ 15 min→(95 ℃ 10 s,54 ℃ 20 s,72 ℃ 20 s)40个循环→溶解曲线分析。

1.5 实时荧光定量PCR分析

根据实时荧光定量PCR引物设计标准,针对齿肋赤藓耐热相关基因的保守序列,利用Primer Premier 5.0软件设计特异性引物(表1),引物设计满足以下要求:扩增片段长度80~150 bp,Tm值58 ℃±3 ℃,GC含量40%~60%,且通过NCBI Primer-BLAST验证无二聚体及非特异性扩增。引物由上海生工生物工程公司合成。实验以不同处理时间点的齿肋赤藓cDNA为模板,采用α-TUB基因作为内参进行表达量标准化。扩增体系和扩增程序同上。
表1 齿肋赤藓9个耐热相关基因实时荧光定量PCR引物序列信息

Tab. 1 Nine heat tolerance related genes primer sequences information for RT-qPCR analysis of Syntrichia caninervis

基因 引物序列(5′→3′) 产物长度/bp
正向引物 反向引物
ScLEA14 ATGATCACGATCTGCCCAT TTATGCGGCTCCCAACTGA 148
ScGSTF11 GAGTCTCACCAAGTTAAACAGCC ATCTTCTTTTCCACGTACTGCAA 89
ScHSP70-17 GAAGGACTGAGCATGTTTCCTCT AGGCCATCTCTGTACAATCAGC 150
ScHsfB4b CAGTACCAGTTCAAAGGATCACCC TTCGTTTGGACAATGCAGTCACT 84
ScMYB117 CGGTGCTGCTCTGAAACCAA CTTGCCTGAAGCACAAACCAC 82
ScGLK1 CCTCCTCCGACCTGTTAGATGT CGCAACTAATCCCCGATGCC 129
ScERF039 GTTGCATCTGCCGTCATCGAAC CCCGCTACTACTGTCCTTCGTC 118
ScERF016 AGAAGAATGGGAGTCAGAGAGAAGC CCTTCACGCTCTTCTTCGCTAC 81
ScbHLH104 TCACAACTGCGGTATCTGGT AATCGTAGCTTTGTCGGTCT 125
α-TUB CGGTCATTACACCGTGGGAA CCTCTCCAGCAACAGCGAA 243

1.6 定量数据分析

本研究采用实时荧光定量PCR相对定量分析法,通过检测9个目标基因及内参基因α-TUBCt值,参考Livak & Schmittgen(2001)的方法[23],按2-ΔΔCt法计算各基因在不同处理时间点的相对表达量。实验设置3个独立生物学重复和3个平行技术重复,相对表达量以平均值±标准误差表示,数据使用 IBM SPSS Statistics 22软件进行统计检验(单因素方差分析和多重比较)评估组间的差异显著性。以P<0.05为差异有统计学意义,作图软件使用 GraphPad Prism 8。

2 实验结果

2.1 基于RNA-Seq数据筛选的齿肋赤藓耐热相关基因

高温55 ℃在0 min、10 min、30 min、45 min和60 min 5种不同时间处理下的齿肋赤藓开展RNA测序(RNA-seq),得到热相关转录组数据库,共鉴定出了13160个差异表达基因,其中包括6192个差异基因和2438个差异表达的转录因子[21]。基于前期研究,挑选了9个与耐热相关的基因,涵盖了抗逆功能基因(ScLEA14)、谷胱甘肽S-转移酶基因(ScGSTF11)、热休克蛋白基因(ScHSP70-17)及逆境响应转录因子基因(ScHsfB4bScMYB117ScGLK1ScERF039ScERF016ScbHLH104)。所选基因的差异表达倍数详见表2
表2 基于RNA-Seq数据筛选的齿肋赤藓耐热相关响应基因

Tab. 2 Heat tolerance related genes based on RNA-Seq technique of Syntrichia caninervis

基因分类 基因名称 基因差异表达倍数变化(Log2
10 min 30 min 45 min 60 min
功能基因

ScLEA14 +0.73 +0.98 +1.71 +1.37
ScGSTF11 +1.59 +2.39 +2.99 +2.66
ScHSP70-17 +0.67 +0.95 +0.90 +0.77
转录因子




ScHsfB4b +1.54 +2.27 +2.42 +2.25
ScMYB117 +1.28 +1.43 +1.58 +1.37
ScGLK1 +2.45 +2.76 +3.10 +3.31
ScERF039 +0.67 +0.68 +0.68 +0.70
ScERF016 +0.76 +1.39 +1.95 +1.75
ScbHLH104 +1.33 +1.45 +1.51 +1.60

注:+为表达上调。

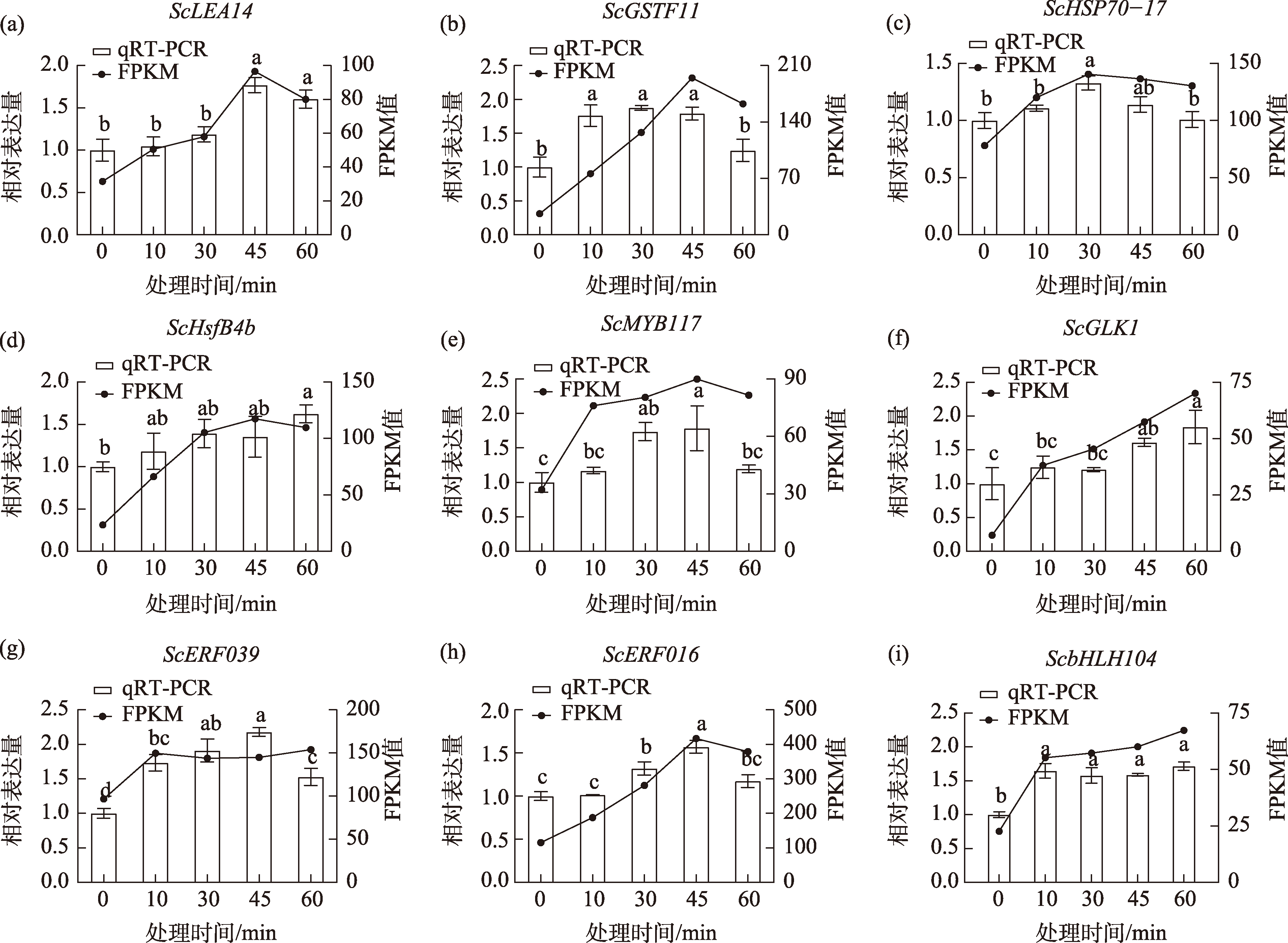
2.2 齿肋赤藓耐热相关基因在高温处理下的表达模式

图1所示,3个功能基因(ScLEA14ScGSTF11ScHSP70-17)对高温胁迫表现出上升响应趋势,随着高温胁迫时间的延长,ScLEA14基因在高温胁迫45 min时表达量迅速增加至1.77±0.12,随后呈下降趋势(图1a);ScGSTF11基因在高温胁迫10 min、30 min、45 min时表达量上调,分别为1.76±0.22、1.88±0.05、1.79±0.13,随后下降(图1b);ScHSP70-17基因的表达量随着高温胁迫时间的增加呈现先上升后下降的趋势,高温胁迫30 min时表达量最高,为1.32±0.09(图1c)。
图1 齿肋赤藓9个耐热相关基因在高温处理下实时荧光定量PCR分析和RNA-Seq基因表达谱

注:FPKM是指每百万个比对上的reads中比对到外显子的每1000个碱基上的片段个数;相同小写字母为差异不显著,不同小写字母为差异显著,小写字母表示显著水平α=0.05。下同。

Fig. 1 Quantitative real-time PCR analysis and RNA-Seq gene expression profiles of nine heat-tolerance-associated genes under high-temperature treatment of Syntrichia caninervis

转录因子(ScHsfB4bScMYB117ScGLK1ScER- F039ScERF016ScbHLH104)基因对高温胁迫响应趋势有所区别。其中,ScHsfB4b基因的表达量随着高温胁迫时间的增加逐步上升,在高温处理60 min时表达量达到最高为1.62±0.15(图1d);ScMYB117基因的表达量在高温胁迫30 min和45 min时最高(图1e),分别为1.74±0.18、1.78±0.46,随后下降;ScGLK1基因的表达量随着高温胁迫时间的增加而增加,在高温胁迫60 min时最高,为1.84±0.35(图1f);AP2/ERF家族的基因表达量呈现先上升后下降的趋势,其中,ScERF039基因的表达量在高温胁迫10 min时迅速增加至1.73±0.17,45 min时达到最高2.18±0.09(图1g),随后下降至1.5±0.173;ScERF016基因的表达量则随着高温胁迫时间的增加而逐步增加,高温胁迫45 min时最高,为1.57±0.11(图1h),随后下降至1.17±0.10;ScbHLH104基因的表达量在高温胁迫10 min时迅速增加,随后表达量稳定在1.57±0.16~1.71±0.09(图1i)。

2.3 齿肋赤藓耐热相关基因在干旱-复水处理下的表达模式

3个功能基因(ScLEA14ScGSTF11ScHSP70-17)对干旱-复水处理表现出的响应趋势呈现明显差异。ScLEA14基因在干旱处理阶段,随着胁迫时间的增加表达量逐渐升高,在干旱24 h时响应最为强烈,是对照的16倍,达到15.32±0.44,(图2a),而复水阶段,随着时间的增加,ScLEA14基因表达呈下降趋势,但其表达量仍比对照高;ScGSTF11基因的表达量在干旱处理下逐渐上调,干旱处理24 h时表达量达到3.22±0.46,且复水12 h时其表达量急剧升至7.55±0.36,随后下降,但相较对照组,仍维持较高水平(图2b);ScHSP70-17基因表达量随着干旱处理时间的增加上调至3±0.32,胁迫12 h时下调为2.25±0.46,并于胁迫24 h时表达量持平,复水初期2 h时,其表达量降为对照水平,但在复水6 h后迅速上调至对照的5.8倍,随后呈现出下降的趋势并于复水48 h时低于对照(图2c)。
图2 齿肋赤藓9个耐热相关响应基因在干旱-复水处理下实时荧光定量PCR分析

Fig. 2 Quantitative real-time PCR analysis of nine heat-tolerance-associated genes under dehydration and rehydration treatment of Syntrichia caninervis

转录因子(ScHsfB4bScMYB117ScGLK1ScER- F039ScERF016ScbHLH104)基因对干旱-复水处理的响应趋势各异。ScHsfB4b基因的表达量在干旱处理下无明显的上调或下调趋势(图2d),然而在复水的初始阶段2 h时,该基因表达量迅速上调至3.77±0.21,并于复水24 h时达最大值5.15±0.07,随后呈现出下降的趋势,但仍比对照表达量高;ScMYB117基因随干旱时间的增加逐渐上调表达,其表达量在干旱24 h达到最高3.74±0.30,而在复水的初始阶段2 h时,其表达量迅速增加至21.26±1.95(图2e),随后呈下降趋势,复水48 h时下降为对照表达量的4倍;ScGLK1基因的表达量在干旱阶段相比对照组上调不显著。在复水初期2 h时,其表达量迅速增加,接近对照的10倍,随后下降,但复水24 h时其表达量又增加至对照的6倍,后继续下降,但仍比对照表达量高(图2f);AP2/ERF家族中ScERF039的表达量在干旱处理下呈现先上升后下降的趋势,在复水初期2 h时,剧烈增加至对照的19倍,随后逐渐下降,但仍比对照表达量高将近10倍(图2g);ScERF016在干旱6 h时显著上调,在干旱24 h时其表达量迅速增加至对照的8倍,在复水初期2 h时略微上调,随后迅速下降,复水48 h时降为0.35±0.10(图2h);ScbHLH104的表达量在干旱处理下呈现先下降后上升再下降的趋势,但其表达上调不显著。在复水初期2 h时,其表达量迅速增加至对照的6倍以上,为6.32±0.48,随后逐渐下降,但比对照表达量略高(图2i)。

2.4 齿肋赤藓耐热相关基因在NaCl处理下的表达模式

3个功能基因(ScLEA14ScGSTF11ScHSP70-17)对300 mmol·L-1 NaCl处理表现出的不同响应趋势。ScLEA14基因的表达量随着处理时间的增加而增加,在处理24 h时表达量迅速增加至对照的30倍(图3a);ScGSTF11基因随着处理时间的增加而增加,至12 h达到峰值,随后下降(图3b);ScHSP70-17基因的表达量随着NaCl处理时间的增加而增加,胁迫12 h时最高1.45±0.03,在NaCl处理24 h时其表达量下降至对照水平(图3c)。转录因子(ScHsfB4bScMYB117ScGLK1ScERF039ScERF016ScbHLH104)基因对NaCl处理响应趋势各不相同。ScHsfB4bScMYB117的表达量在NaCl处理下呈先上升后下降的趋势,在NaCl处理12 h时表达量最高,其中,ScHsfB4b表达量达到对照的5倍以上,为5.61±0.71(图3d),ScMYB117基因在处理12 h时表达量达到对照的10倍左右(图3e);ScGLK1基因的表达量随着NaCl处理时间的增加而增加,在NaCl处理6 h后趋于稳定(图3f);AP2/ERF家族中,ScERF039基因在NaCl处理下表达量呈现先上升后下降的趋势,处理6 h时迅速增加至对照的4倍左右(图3g),随后下降;ScERF016基因的表达量则随着NaCl处理时间的增加而逐步增加,NaCl处理12 h时达到最高11±0.56,后趋于稳定(图3h);ScbHLH104基因的表达量随着NaCl处理时间的增加而逐步增加(图3i)。
图3 齿肋赤藓9个耐热相关响应基因在NaCl处理下实时荧光定量表达分析

Fig. 3 Quantitative real-time PCR analysis of nine heat-tolerance-associated genes under NaCl treatment of Syntrichia caninervis

3 讨论

全球气候变化显著加剧了干旱、高盐和高温等非生物胁迫发生的频率与强度,植物在长期进化过程中,为了适应这种极端的环境逐渐进化出了一套抗逆调控网络,以维持细胞稳态和生存[24]。第二代高通量测序技术所获转录组数据信息,能够全面深入地解析耐干苔藓植物基因表达水平与调控,以及基因的作用关系等,为耐干苔藓抗逆机制研究提供关键依据和全新视角。齿肋赤藓作为一种极具代表性的耐干苔藓植物,在干旱生态系统中占据着独特且不可替代的生态位,其在非生物胁迫下所展现出的高度适应性,不仅是对逆境长期进化响应的结果,更是维持干旱生态系统结构与功能稳定的关键因素之一。为深入挖掘齿肋赤藓在非生物胁迫下潜在的基因信息,全面解析其在恶劣生态环境中的适应策略,运用实验手段验证基于第二代高通量测序技术所得转录组数据结果的真实性与可靠性尤为关键。另外,植物常通过共享信号通路应对多种非生物胁迫,对耐热相关基因在干旱-复水及NaCl胁迫下的表达特征进行分析,推测该基因可能作为胁迫特异性调控节点,可为后续构建胁迫响应调控网络提供重要线索。
本研究结果表明,功能基因(ScLEA14)和2个转录因子基因(ScERF016ScbHLH104)用2种方法得到的基因表达趋势呈现高度的一致性;功能基因(ScHSP70-17)和2个转录因子基因(ScMYB117ScbHLH104)的基因表达趋势基本相符,但在高温胁迫10 min时这3个基因的RNA-Seq的基因上调表达较RT-qPCR更为迅速;功能基因(ScGSTF11)和2个转录因子基因(ScHsfB4bScERF039)得到的基因表达趋势大致相同,但ScGSTF11基因在高温胁迫10 min时RT-qPCR的基因迅速上调并趋于稳定,而RNA-Seq随胁迫时间的增加而上调,且在45 min时达到峰值。2个转录因子基因(ScHsfB4bScERF039)在高温胁迫45 min和60 min时的基因表达趋势略有不同,据推测可能是因为基因表达受多种调控元件影响存在差异,也可能在取材时忽略环境因素导致两种方法所检测到的基因表达趋势不同。总体来看,基因相对表达量的动态变化趋势,与基于RNA-Seq技术采用FPKM指标法得出的基因表达趋势呈现出高度的一致性。
植物应对干旱、盐碱以及极端高温的严峻挑战进化出了预防、改善或修复等多种抗逆适应机制。其中,胚胎发育晚期丰富(LEA)蛋白在植物抗逆响应中起着重要作用,特别是在植物脱水期间LEA蛋白积累水平较高,并与其他蛋白相互作用,维持蛋白的正常结构和功能;并与细胞膜的磷脂分子相互作用,增强细胞膜的稳定性,减少膜的渗漏和破裂[22,25]。本研究结果也证明了在高温、干旱和高盐条件下齿肋赤藓ScLEA14基因被激活,极端高温45 min时,其表达量提高了2倍,干旱和高盐24 h后,其表达量分别上调了16倍和32倍,以适应多种非生物胁迫。从而推测,ScLEA14基因在耐干苔藓齿肋赤藓应对极端环境胁迫中起着至关重要的作用,后续可进一步验证该基因在齿肋赤藓中的相关功能。
相关研究结果发现,在烟草植物中过表达野生大豆的GST基因可增强耐旱和耐盐性[26];利用番茄GST基因的转基因拟南芥植物同样表现出更强的抗盐、抗旱和抗高温胁迫能力[27],齿肋赤藓的ScGSTF11基因受到高温、干旱及高盐等非生物胁迫时表达上调,与前人研究相吻合。同时,本研究也发现超过一定胁迫时间阈值后ScGSTF11表达呈现下降趋势,但仍比对照组植株的基因表达量高,推测ScGSTF11可能参与了植物的抗氧化防御系统,帮助其清除胁迫条件下产生的活性氧,减轻氧化损伤,进而提高齿肋赤藓对逆境的适应能力。
非生物胁迫下,HSP70能够通过其自身的三磷酸腺苷(Adenosine TriPhosphate,ATP)酶活性,利用ATP水解产生的能量促进恢复到天然的构象和功能状态,进而维持膜稳定性和赋予植物抗逆性,其中HSP70-17在棉花等植物对热胁迫的反应中起关键作用[28];AP2/ERF家族的基因表达揭示了小麦响应热胁迫的候选基因[29]MYB基因可调控黄酮类化合物生物合成相关基因的表达,显著增加类黄酮的积累,有效提高植物对干旱、氧化胁迫这类非生物胁迫的耐受水平[30-31]。在极端抗逆植物齿肋赤藓中ScHSP70-17ScERF039ScERF016ScMYB117的表达在高温、干旱-复水及盐胁迫下均有不同程度的上调,进一步补充了AP2/ERF家族和MYB转录因子在植物高温胁迫反应和非生物胁迫耐受中起着至关重要作用的理论,且相关结果在烟叶、拟南芥、木瓜、辣椒等多种植物中得到了验证[31-34]
HSF基因在植物受到高温胁迫时迅速启动,与热激蛋白基因启动子区域的热激元件相结合,引发热激蛋白的合成反应,从而强化植物在高温环境下的耐受性。多项研究表明,HSF基因在小麦、大麦、鹰嘴豆、玉米中分别具有耐高温、干旱以及高盐等非生物胁迫功能[35-36],其中,OsHsfA4b赋予转基因植物如拟南芥和水稻增强耐旱性,且ScHsfB4b在齿肋赤藓高温、盐胁迫以及干旱-复水的胁迫阶段都呈现出不同程度的上调。值得注意的是:本研究中齿肋赤藓的ScGLK1基因和ScbHLH104基因具有一定的耐热性和耐盐性,而ScMYB117ScHsfB4bScbHLH104基因在干旱条件下的耐受能力并未随干旱胁迫时间的延长而提高,反而在复水后其表达量有所上调。据此推测,这3个基因表达可能与其复水机制存在某种关联,在齿肋赤藓干旱-复水胁迫过程中,水分子可能作为该基因的一个开关调控其表达,后续可进一步验证这3个基因在齿肋赤藓中的表达情况及其重要功能。
综上,本研究证实了转录组数据所呈现的基因表达趋势具备高度可靠性,分析了各基因在高温、干旱及高盐胁迫条件下的表达趋势,并初步讨论了各基因在非生物胁迫下的作用机制,为解析植物交叉抗性提供了新线索。本研究结果在抗逆基因资源开发利用与深度剖析齿肋赤藓耐热机制等方面均具有重要意义,为植物耐热机制的进一步研究提供基础数据和潜在的分子靶标,未来可对这些特色基因的相关功能分析并展开进一步验证工作。

4 结论

研究筛选出齿肋赤藓中3个抗逆核心基因(ScLEA14ScMYB117ScERF016),在高温(55 ℃)、干旱-复水和高盐(300 mmol·L-1 NaCl)胁迫下均显著上调表达。
(1) ScLEA14(LEA蛋白)在干旱24 h表达量激增16倍,高温45 min和盐胁迫24 h分别上调2倍和32倍,推测通过保护细胞膜和蛋白结构发挥作用。
(2) ScMYB117(MYB转录因子)在干旱24 h、高温30~45 min和盐胁迫12 h显著激活,可能调控抗氧化物质合成。
(3) ScERF016(AP2/ERF转录因子)在高温45 min、干旱24 h和盐胁迫12 h表达量分别增加1.6倍、8倍和11倍,参与乙烯信号通路。
该研究验证了转录组数据可靠性,揭示了基因在多胁迫下的交叉响应机制,为抗逆基因资源开发和极端环境植物应用(如火星生态改造)提供了重要的理论依据。
[1]
陈颖, 邵伟玲, 曹萌, 等. 新疆夏季高温日数的变化特征及其影响因子[J]. 干旱区研究, 2020, 37(1): 58-66.

[Chen Ying, Shao Weiling, Cao Meng, et al. Variation characteristics of summer high-temperature days in Xinjiang and their influencing factors[J]. Arid Zone Research, 2020, 37(1): 58-66.]

[2]
刘璐, 刘普幸, 张旺雄, 等. 1961—2017年新疆极端暖事件变化特征及其未来情景预估[J]. 干旱区研究, 2021, 38(6): 1590-1600.

DOI

[Liu Lu, Liu Puxing, Zhang Wangxiong, et al. Variation characteristics of extreme warm events in Xinjiang from 1961 to 2017 and their future projections[J]. Arid Zone Research, 2021, 38(6): 1590-1600.]

[3]
林晓华, 卓一林, 柳丽芳, 等. NaCl胁迫对荒漠苔藓齿肋赤藓膜结构稳定性的影响[J]. 生态学报, 2024, 44(8): 3483-3491.

[Lin Xiaohua, Zhuo Yilin, Liu Lifang, et al. Effects of NaCl stress on membrane structural stability in the desert moss Syntrichia caninervis[J]. Acta Ecologica Sinica, 2024, 44(8): 3483-3491.]

[4]
Cao T, Haxim Y, Liu X J, et al. ScATG8 gene cloned from desert moss Syntrichia caninervis exhibits multiple stress tolerance[J]. Plants, 2024, 13(1): 59.

[5]
聂华丽, 吴楠, 梁少民, 等. 不同沙埋深度对刺叶墙藓植株碎片生长的影响[J]. 干旱区研究, 2006, 23(1): 66-70.

[Nie Huali, Wu Nan, Liang Shaomin, et al. Effects of different sand burial sepths on the growth of Bryum argenteum fragments[J]. Arid Zone Research, 2006, 23(1): 66-70.]

[6]
马瑞. 荒漠齿肋赤藓抗旱基因ScALDH21Sc288对干旱胁迫的响应[D]. 长沙: 中南林业科技大学, 2011.

[Ma Rui. Response of Drought Resistance Genes ScALDH21 and Sc288 in Desert Moss Syn-trichia caninervis to Drought Stress[D]. Changsha: Central South University of Forestry and Technology, 2011.]

[7]
杨红兰, 张道远, 刘燕, 等. 齿肋赤藓乙醛脱氢酶基因ALDH21的克隆与表达分析[J]. 基因组学与应用生物学, 2010, 29(1): 24-30.

[Yang Honglan, Zhang Daoyuan, Liu Yan, et al. Cloning and expression analysis of the aldehyde dehydrogenase gene ALDH21 in Syntrichia caninervis[J]. Genomics and Applied Biology, 2010, 29(1): 24-30.]

[8]
Liang Y, Li X, Yang R, et al. BaDBL1, a unique DREB gene from desiccation tolerant moss Bryum argenteum, confers osmotic and salt stress tolerances in transgenic Arabidopsis[J]. Plant Sciences, 2021, 313: 111047.

[9]
韩志立, 尹本丰, 杨孜悦, 等. 积雪变化对温带荒漠齿肋赤藓结皮土壤磷组分的影响[J]. 生态学报, 2024, 44(16): 7119-7129.

[Han Zhili, Yin Benfeng, Yang Ziyue, et al. Effects of snow cover change on phosphorus fractions in syntrichia caninervis crust soil in temperate deserts[J]. Acta Ecologica Sinica, 2024, 44(16): 7119-7129.]

[10]
Li X, Bai W, Yang Q, et al. The extremotolerant desert moss Syntrichia caninervis is a promising pioneer plant for colonizing extraterrestrial environments[J]. The Innovation, 2024, 5(4): 100657.

[11]
Mao Y, Liu W, Yang X, et al. Syntrichia caninervis adapt to mercury stress by altering submicrostructure and physiological properties in the Gurbantünggüt Desert[J]. Scientific Reports, 2022, 12(1): 11717.

[12]
Bai W, Salih H, Yang R, et al. ScDREBA5 enhances cold tolerance by regulating photosynthetic and antioxidant genes in the desert moss Syntrichia caninervis[J]. Plant, Cell & Environment, 2025, 48(5): 3293-3313.

[13]
Salih H, Bai W, Liang Y, et al. ROS scavenging enzyme-encoding genes play important roles in the desert moss Syntrichia caninervis response to extreme cold and desiccation stresses[J]. International Journal of Biological Macromolecules, 2024, 254: 127778.

[14]
Li H, Zhang D, Li X, et al. Novel DREB A-5 subgroup transcription factors from desert moss (Syntrichia caninervis) confers multiple abiotic stress tolerance to yeast[J]. Journal of Plant Physiology, 2016, 194: 45-53.

[15]
Li X, Yang R, Liang Y, et al. The ScAPD1-like gene from the desert moss Syntrichia caninervis enhances resistance to Verticillium dahliae via phenylpropanoid gene regulation[J]. The Plant Journal, 2023, 113(1): 75-91.

[16]
Li X, Zhang D, Gao B, et al. Transcriptome-wide identification, classification, and characterization of AP2/ERF family genes in the desert moss Syntrichia caninervis[J]. Frontiers in Plant Science, 2017, 8:262.

[17]
Liang Y, Li X, Zhang D, et al. ScDREB8, a novel A-5 type of DREB gene in the desert moss Syntrichia caninervis, confers salt tolerance to Arabidopsis[J]. Plant Physiol Biochem, 2017, 120: 242-251.

[18]
Li X, Liang Y, Gao B, et al. ScDREB10, an A-5c type of DREB gene of the desert moss Syntrichia caninervis, confers osmotic and salt tolerances to Arabidopsis[J]. Genes, 2019, 10(2): 146.

[19]
Yang R, Li X, Yang Q, et al. Transcriptional profiling analysis providing insights into desiccation tolerance mechanisms of the desert moss Syntrichia caninervis[J]. Frontiers in Plant Science, 2023, 14: 1127541.

[20]
Silva A T, Gao B, Fisher K M, et al. To dry perchance to live: Insights from the genome of the desiccation-tolerant biocrust moss Syntrichia caninervis[J]. The Plant Journal, 2021, 105(5): 1339-1356.

[21]
薛山. 新疆特色沙漠植物齿肋赤藓热胁迫响应关键基因的筛选与分析[D]. 石河子: 石河子大学, 2024.

[Xue Shan. Screening and Analysis of Key Genes Responding to Heat Stress in the Xinjiang Desert Plant Syntrichia caninervis[D]. Shihezi: Shihezi University, 2024.]

[22]
梁玉青, 李小双, 高贝, 等. 基于RNA-Seq数据筛选的银叶真藓耐干相关基因表达模式研究[J]. 植物生理学报, 2017, 53(3): 388-396.

[Liang Yuqing, Li Xiaoshuang, Gao Bei, et al. Study on the expression patterns of desiccation-tolerance related genes in Bryum argenteum based on RNA-Seq data screening[J]. Journal of Plant Physiology, 2017, 53(3): 388-396.]

[23]
Livak K J, Schmittgen T D. Analysis of relative gene expression data using real-time quantitative PCR and the 2-ΔΔCT Method[J]. Methods, 2001, 25(4): 402-408.

DOI PMID

[24]
宋士伟, 焦德志, 陈旭, 等. 野大麦对干旱胁迫的生理响应与转录组分析[J]. 干旱区研究, 2019, 36(4): 909-915.

DOI

[Song Shiwei, Jiao Dezhi, Chen Xu, et al. Physiological responses and transcriptome analysis of wild barley (Hordeum brevisubulatum) under drought stress[J]. Arid Zone Research, 2019, 36(4): 909-915.]

DOI

[25]
Hayford R K, Serba D D, Xie S, et al. Global analysis of switchgrass (Panicum virgatum L.) transcriptomes in response to interactive effects of drought and heat stresses[J]. BMC Plant Biology, 2022, 22(1): 107.

DOI PMID

[26]
Ji W, Zhu Y, Li Y, et al. Over-expression of a glutathione S-transferase gene, GsGST, from wild soybean (Glycine soja) enhances drought and salt tolerance in transgenic tobacco[J]. Biotechnology Letters, 2010, 32(8): 1173-1179.

[27]
Xu J, Xing X J, Tian Y S, et al. Transgenic Arabidopsis plants expressing tomato glutathione S-Transferase showed enhanced resistance to salt and drought stress[J]. PLoS One, 2015, 10(9): e0136960.

[28]
Khan A H, Wu Y, Luo L, et al. Proteomic analysis reveals that the heat shock proteins 70-17 and BiP5 enhance cotton male fertility under high-temperature stress by reducing the accumulation of ROS in anthers[J]. Industrial Crops and Products, 2022, 188(B): 115693.

[29]
Magar M M, Liu H, Yan G. Genome-wide analysis of AP2/ERF superfamily genes in contrasting wheat genotypes reveals heat stress-related candidate genes[J]. Frontiers in Plant Science, 2022, 13: 853086.

[30]
Pratyusha D S, Sarada D V L. MYB transcription factors-master regulators of phenylpropanoid biosynthesis and diverse developmental and stress responses[J]. Plant Cell Reports, 2022, 41(12): 2245-2260.

DOI PMID

[31]
Wang F, Ren X, Zhang F, et al. A R2R3-type MYB transcription factor gene from soybean, GmMYB12, is involved in flavonoids accumulation and abiotic stress tolerance in transgenic Arabidopsis[J]. Plant Biotechnology Reports, 2019, 13(3): 219-233.

[32]
Shukla R K, Tripathi V, Jain D, et al. CAP2 enhances germination of transgenic tobacco seeds at high temperature and promotes heat stress tolerance in yeast[J]. The FEBS Journal, 2009, 276(18): 5252-5262.

[33]
Li X, Lu J, Zhu X, et al. AtMYBS1 negatively regulates heat tolerance by directly repressing the expression of MAX1 required for strigolactone biosynthesis in Arabidopsis[J]. Plant Communications, 2023, 4(6): 100675.

[34]
黄畋柳, 张锐, 贺迎骁, 等. 辣椒NAC家族成员鉴定及其编码基因在NaCl胁迫下的表达分析[J]. 植物资源与环境学报, 2023, 32(4): 12-24.

[Huang Tianliu, Zhang Rui, He Yingxiao, et al. Identification of NAC family members in pepper and expression analysis of their encoding genes under NaCl stress[J]. Journal of Plant Resources and Environment, 2023, 32(4): 12-24.]

[35]
Reddy P S, Kavi Kishor P B, Seiler C, et al. Unraveling regulation of the small heat shock proteins by the heat shock factor HvHsfB2c in barley: Its implications in drought stress response and seed development[J]. PLoS One, 2014, 9(3): e89125.

[36]
Si W, Liang Q, Chen L, et al. Ectopic overexpression of maize heat stress transcription factor ZmHsf05 confers drought tolerance in transgenic rice[J]. Genes, 2021, 12(10): 1568.

Outlines

/