Agricultural Ecology

Cotton production assessment in the Tarim River Basin based on CMIP6 models

  • YUE Shengru , 1, 2 ,
  • HU Xuefei 1 ,
  • HOU Xiaohua , 1 ,
  • MENG Fujun 1
Expand
  • 1. College of Hydraulic and Architectural Engineering, Tarim University, Alaer 843300, Xinjiang, China
  • 2. School of Geography and Information Engineering, China University of Geosciences, Wuhan 430074, Hubei, China

Received date: 2025-04-07

  Revised date: 2025-08-04

  Online published: 2026-03-12

Abstract

Climate change significantly affects cotton production. This study assessed the effectiveness of the DSSAT-CROPGRO-Cotton model in simulating cotton production in the Tarim River Basin. Using climate change datasets generated by CMIP6 climate models under the SSP2-4.5 and SSP5-8.5 Shared Socioeconomic Pathways, the study analyzed the spatiotemporal variations and centroid shift patterns of climate characteristics, cotton yield, irrigation water volume, and water productivity from 2021 to 2100. The results indicate that during the cotton-growing season, temperature in the Tarim River Basin is projected to rise by up to 4.9 ℃, whereas precipitation is expected to decrease by an average of 3.4-4.4 mm, and solar radiation is likely to decline by 0.6-0.7 MJ∙m-2 from 2021 to 2100. The DSSAT-CROPGRO-Cotton+GIS coupled model reliably simulated cotton yield and irrigation water volume in the Tarim River Basin. Under future scenarios, cotton yield is projected to increase by 12.42%-23.96% relative to historical levels, with irrigation water volume rising by 1.76%-21.82% and water productivity by 0.95%-20.61%. The changes in cotton yield, irrigation water volume, and water productivity under the SSP2-4.5 and SSP5-8.5 scenarios exhibit distinct patterns. In the SSP2-4.5 scenario, cotton yield is expected to follow an “increase-stagnation” pattern, whereas irrigation water volume is anticipated to “continuously increase,” and water productivity is likely to follow an “increase-decrease” pattern. In contrast, under the SSP5-8.5 scenario, cotton yield is projected to follow an “increase-stagnation-decrease” pattern, with irrigation water volume still “continuously increasing,” whereas water productivity is expected to follow an “increase-stagnation-sharp decrease” pattern. Centroid analysis shows that under the SSP2-4.5 scenario, the centroid of cotton yield is expected to shift northeastward, whereas under the SSP5-8.5 scenario, it exhibits a “northeast-southwest” oscillation. The centroid of irrigation water volume is projected to shift northeastward, whereas that of water productivity is likely to shift southwestward in future scenarios.

Cite this article

YUE Shengru , HU Xuefei , HOU Xiaohua , MENG Fujun . Cotton production assessment in the Tarim River Basin based on CMIP6 models[J]. Arid Zone Research, 2025 , 42(10) : 1925 -1938 . DOI: 10.13866/j.azr.2025.10.15

棉花是一种重要的天然纺织纤维原料,对全球经济和社会发展有着深远影响[1]。新疆塔里木河流域是中国最重要的棉花生产基地[1-2],其棉花种植面积占塔里木河流域耕地面积的70%以上[3]。棉花生长主要受到气候条件、CO2浓度、灌溉水平、施肥、作物品种和土壤类型等因素的影响[4-6]
IPCC第六次评估报告系统地评估了全球地表气温、降水、大尺度环流和变率模式以及海洋和对流层的可能变化,并进一步合理估计了2100年以后的气候变化。评估显示,全球平均地表气温将升高1.5 ℃或更高[7]。在低排放情景SSP1-2.6和SSP2-4.5下,中国西北干旱区仍将持续“暖湿化”进程,但随着排放情景升高,西北干旱区逐渐向“暖干”转型[8-9]。塔里木河流域是典型的灌溉农业区,气候变化将大幅增加未来大气蒸发需求,气象干旱对棉花生长的胁迫风险升高,进而影响该流域棉花生产[10-11]。此外,气候变化可能通过改变降雪量的比例和融雪时间,进而打破塔里木河流域水资源现有的平衡状态[3]。有研究认为,在气候变暖4 ℃情景下,塔里木河流域可能有多达40%的灌溉需求必须由新的代替水源来满足,这将对依赖融雪径流的灌溉农业产生深远影响[12]
农业的可持续发展在很大程度上受地理位置因素的影响,依据作物生态适宜性进行合理规划与布局有助于实现可持续发展目标[13-15]。气候适宜性是农作物的生态特征,气候适宜性较低的地区容易面临安全风险[16]。许多学者针对棉花气候适宜区开展研究,Li等[17]探索了MaxEnt模型在新疆棉花种植生态适宜区的有效性,认为温度因素的贡献率为71%,而地形和土壤因素的贡献率仅为22%。Zhu等[18]利用棉花种植空间优化框架,结合GIS和RS技术,准确识别了新疆土地使用纠纷地点,认为新疆南部地区在气候资源方面具有一定优势,棉花气候适宜区主要集中在天山南麓和塔里木河附近,包括阿克苏、和田、喀什、巴州等地区;然而,随着有效积温、降水量、日照时数和最低气温的显著增加,非常适宜区和不适宜区的比例下降,不太适宜区的比例上升,气候适宜区向北疆扩展。Mai等[19]分析了未来情景下中亚棉花生境适宜性的变化,表明4月平均最低气温、降水季节性和与河流的距离是影响棉花适宜分布的主要环境因素;在SSP5-8.5情景下未来棉花适宜分布区向北部和东部扩展,而西南地区的适宜区呈缩小趋势。作物模型对于评估气候变化对棉花生长和产量的影响以及制定高效灌溉策略非常有用。农业技术转移决策支持系统(Decision Support System for Agrotechnology Transfer,DSSAT)下的DSSAT-CROPGRO-Cotton模型可以模拟棉花生长发育和产量对天气条件、土壤特性和管理方法的响应,应用较为广泛[4-5,20]。GCMs模型是检验气候变化的重要工具[21-22]。高分辨率GCMs通常比低分辨率GCMs提供更可靠的区域气候变化信息[23]。最新发布的CMIP6数据提高了未来气候模拟的精度,已被广泛用于未来情景下作物生产模拟[24-26]。以往关于未来情景下棉花生产对气候变化响应的研究主要集中在产量和物候变化预测及归因分析、所需灌溉量的变化及棉花生长对水分受限条件的响应等方面[4,24,26-27]
在棉花生产适宜区评价中,现有研究过于依赖环境变量和已知的物种分布数据,缺乏对棉花生长全过程的模拟。DSSAT-CROPGRO-Cotton+GIS耦合模型可以更精确模拟棉花生产对环境变化的响应及空间变化特征,可提供更全面的适宜性评估。因此,本文利用塔里木河流域开展的棉田实验数据,2001—2020年实测气象数据,CMIP6模式模拟的2021—2100年气象数据,借助DSSAT-CROPGRO-Cotton+GIS耦合模型,模拟了未来四个时段(2021—2040年、2041—2060年、2061—2080年和2081—2100年)气候变化对塔里木河流域棉花生产的影响,从像元和流域尺度探索棉花产量、灌溉量和水分生产率等多指标的空间变化特征和转移规律。研究结果将为制定塔里木河流域棉花生产应对气候变化的适应方案提供科学依据,为未来塔里木河流域棉花产业布局和可持续发展提供数据参考。

1 材料与方法

1.1 研究区概况

塔里木河流域地处中国西北干旱区,被天山、东帕米尔、昆仑山和喀喇昆仑山等高山环绕,地理位置为73°10′~94°05′E,34°55′~43°08′N,面积约1.02×106 km2图1),属于典型的温带干旱和半干旱气候,降水稀少,蒸发强烈,水资源主要依赖于高山区的冰雪融水和山地降水[28-29]。该流域是中国重要的农业区,其中,棉花种植面积约占全国棉花种植总面积的44.8%,产量约占全国棉花总产量的62.3%(2022年中华人民共和国及各地方国民经济和社会发展统计公报)。
图1 研究区位置示意图

注:塔里木河流域底图采用国家青藏高原科学数据中心塔里木河流域边界数据集(2000)绘制。下同。

Fig. 1 Location of the study area

1.2 数据来源及预处理

最新发布的CMIP6数据使得未来气候模拟精度得到了逐步提高,并且已被广泛用于未来作物产量模拟[2,11,30]。然而,全球气候模式(Global Climate Model,GCM)的分辨率较低。因此,本研究选取rlilplf1试验模式下原始分辨率较高的13种气候模式的日最高气温、日最低气温、日降水量、日辐射量作为数据源(表1),并将未来时期分为4个时段,即2030s(2021—2040年)、2050s(2041—2060年)、2070s(2061—2080年)、2090s(2081—2100年)。根据CMIP6的实验设定,选取了2种共享社会经济路径进行分析,其中SSP2-4.5对应一种中水平辐射强迫情形(中等情景);SSP5-8.5对应一种高水平辐射强迫情形(高情景)。通过双线性内插的方式将数据重采样为0.05°×0.05°,进一步空间降尺度为站点数据,选用历史时期观测数据来校准模式系统偏差,采用多模式等权重集合平均处理来减弱单一模式的不确定性影响[11,31]。历史时期(2001—2020年)塔里木河流域37个站点气候数据来自中国气象局,并将日照时数转化为太阳辐射[32],气象站点信息如表2所示。
表1 耦合模式比较计划第六阶段(CMIP6)中13种模式信息

Tab. 1 Thirteen-model information in phase 6 of the Coupled Model Intercomparison Project (CMIP6)

编号 名称 国家 发布年份 空间分辨率(经向×纬向)
1 ACCESS-ESM1-5 澳大利亚 2019年 1.875°×1.241°
2 BCC-CSM2-MR 中国 2017年 1.125°×1.125°
3 CMCC-ESM2 意大利 2017年 1.25°×0.9375°
4 ESM2-0 中国 2022年 1.875°×1.875°
5 INM-CM4-8 俄罗斯 2016年 2.00°×1.50°
6 INM-CM5-0 俄罗斯 2016年 2.00°×1.50°
7 IPSL-CM6A-LR 法国 2017年 2.50°×1.26°
8 MPI-ESM1-2-HR 德国 2017年 0.9375°×0.9375°
9 MPI-ESM1-2-LR 德国 2017年 1.875°×1.875°
10 MRI-ESM2-0 日本 2017年 1.125°×1.125°
11 NESM3 中国 2016年 1.875°×1.875°
12 NorESM2-MM 挪威 2017年 2.50°×2.50°
13 TaiESM1 中国 2018年 1.25°×0.9375°
表2 塔里木河流域气象站点信息

Tab. 2 Meteorological station information of the Tarim River Basin

区站号 站点名称 纬度 经度 海拔/m 区站号 站点名称 纬度 经度 海拔/m
51559 和静 42.32°N 86.40°E 1100.90 51720 柯坪 40.50°N 79.05°E 1161.80
51567 焉耆 42.08°N 86.57°E 1055.30 51722 阿瓦提 40.65°N 80.40°E 1044.30
51568 和硕 42.25°N 86.80°E 1085.40 51730 阿拉尔 40.55°N 81.27°E 1012.20
51627 乌什 41.22°N 79.23°E 1395.80 51765 铁干里克 40.63°N 87.70°E 846.00
51628 阿克苏 41.12°N 80.38°E 1107.10 51777 若羌 39.03°N 88.17°E 887.70
51629 温宿 41.27°N 80.23°E 1133.10 51802 英吉沙 38.93°N 76.17°E 1297.50
51633 拜城 41.78°N 81.90°E 1229.20 51810 麦盖提 38.92°N 77.63°E 1178.20
51636 新和 41.55°N 82.65°E 1009.80 51811 莎车 38.43°N 77.27°E 1231.20
51639 沙雅 41.23°N 82.78°E 980.40 51814 叶城 37.92°N 77.40°E 1360.40
51642 轮台 41.82°N 84.27°E 982.00 51815 泽普 38.20°N 77.27°E 1274.70
51644 库车 41.72°N 82.97°E 1081.90 51818 皮山 37.62°N 78.28°E 1375.40
51655 尉犁 41.35°N 86.27°E 884.90 51826 策勒 37.02°N 80.80°E 1336.50
51656 库尔勒 41.73°N 85.82°E 899.80 51827 墨玉 37.17°N 79.63°E 1348.90
51704 阿图什 39.72°N 76.17°E 1298.70 51828 和田 37.13°N 79.93°E 1375.00
51707 伽师 39.50°N 76.78°E 1204.70 51829 洛浦 37.08°N 80.17°E 1347.90
51708 阿克陶 39.15°N 75.95°E 1325.10 51839 民丰 37.07°N 82.72°E 1409.50
51709 喀什 39.48°N 75.75°E 1385.60 51855 且末 38.15°N 85.55°E 1247.20
51716 巴楚 39.80°N 78.57°E 1116.50 51931 于田 36.85°N 81.65°E 1422.00
51717 岳普湖 39.25°N 76.78°E 1206.30

1.3 作物模型及模拟设定

DSSAT-CROPGRO-Cotton模型可以用于评估气候变化对棉花生产的影响,本文使用的版本为DSSAT 4.6。该模型需要土壤参数、作物管理、栽培品种、气候数据和CO2浓度等相关信息,可以根据光热累积估算出从播种到收获的各个作物生长阶段,也可以模拟土壤中水、碳和氮随时间的变化过程[4,6,33]。利用2017—2018年实验数据对DSSAT-CROPGRO-Cotton模型参数进行校正和验证,结果表明模型对土壤含水率、叶面积和棉花产量有较高的模拟精度,校正和验证过程详见相关研究成果[20]。在本文的模拟中选择塔里木河流域绿洲代表性土壤类型,土壤参数为黏粉砂质量分数、凋萎系数、田间持水率、饱和含水率、容重等信息[20]。管理参数中播种日期设置为4月15日,播种深度、密度及栽培品种等信息参考相关文献,且保持不变[20]。无病虫害及杂草影响,无养分限制,土壤初始含水率为田间持水率,灌溉方式选择为自动滴灌,即当土壤含水率下降至凋萎系数时自动灌溉到田间持水率。气候变量输入日最高气温、日最低气温、日降水量和日辐射量。2001—2020年CO2浓度数据来自国家冰川冻土沙漠科学数据中心(http://www.ncdc.ac.cn/portal/),未来情景下CO2浓度数据来自中国科技资源共享网(https://escience.org.cn/)。
未来情景下的棉花适宜区模拟中,在假定塔里木河流域未来耕地保持2020年空间特征不变的前提下,利用ArcGIS提供的反距离权重法将站点尺度气象要素(最高气温、最低气温、累积降水和平均辐射)以及基于DSSAT-CROPGRO-Cotton作物模型模拟得到棉花产量、灌溉量和水分生产率等结果插值为像元尺度(0.05°×0.05°),进而评估其空间分布和变化特征。

2 结果与分析

2.1 未来气候变化

2.1.1 统计降尺度效果评价

绘制气候要素数据实测值与模拟值的分布图来评估CMIP6数据统计降尺度和偏差校准效果,结果如图2所示。由图2可知,气候要素实测值与模拟值线性回归方程均通过显著性检验(P≤0.01),然而各气候要素的模拟效果存在差异。在生长季尺度上,气温的决定系数在0.846~0.892之间,模拟值与实测值之间存有较好的线性关系,模拟效果较好。两种情景下,降水模拟值与实测值之间存有较好的线性关系,但模拟值相对于实测值略低,SSP5-8.5情景下的模拟效果略优于SSP2-4.5情景。两种情景下,辐射模拟值与实测值之间虽具有统计显著性,但线性关系较弱,对于辐射变化中极值的模拟能力有限。
图2 研究区站点在生长季尺度上观测值与模拟值分布特征

Fig. 2 Distribution characteristics of observed and simulated values at the study area stations on the growing season scale

2.1.2 未来气候变化特征

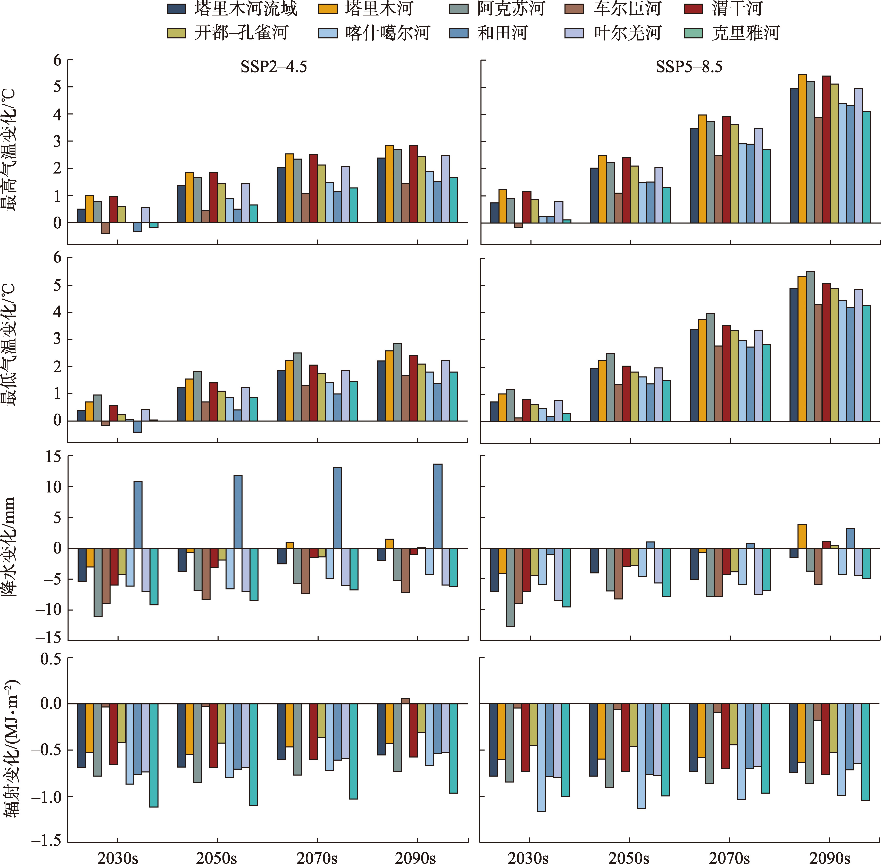
未来情景下塔里木河流域2021—2100年棉花生长季气候较历史时期(2001—2020年)变化特征如图3图4所示。如图3所示,未来情景下塔里木河流域气候变化幅度具有空间异质性。最高气温、最低气温升高幅度在研究区南部的喀什噶尔河、和田河和克里雅河等子流域小于研究区北部的阿克苏河、渭干河等。未来情景下生长季累积降水在研究区西南部的阿克苏河、喀什噶尔河和叶尔羌河等呈下降趋势,而在2081—2100时期的渭干河南部、开都-孔雀河南部等区域则呈增加趋势。塔里木河流域未来辐射水平可能下降,渭干河、开都-孔雀河和塔里木河相邻区域及叶尔羌河辐射降低水平较其他区域相对较低。气候变化在子流域尺度上的特征如图4所示。在SSP2-4.5情景下,除2030s车尔臣河流域、和田河流域和克里雅河流域外,各子流域最高气温、最低气温在棉花生长季均呈上升趋势,至2090s塔里木河流域最高气温、最低气温较历史时期将分别升高2.4 ℃、2.2 ℃;2021—2100年各子流域棉花生长季累积降水较历史时期变化范围为-11.1~13.7 mm,平均降低3.4 mm,和田河流域累积降水变化趋势显著区别于其他子流域;2021—2100年各子流域棉花生长季平均辐射较历史时期变化范围为-1.1~0.1 MJ∙m-2,平均降低0.6 MJ∙m-2,车尔臣河流域平均辐射较历史时期基本保持不变。较SSP2-4.5情景,在SSP5-8.5情景下各子流域最高气温、最低气温变化幅度更大,至2090s塔里木河流域最高气温、最低气温较历史时期将分别升高4.9 ℃、4.9 ℃。SSP5-8.5情景下,2021—2100年各子流域棉花生长季累积降水较历史时期变化范围为-12.7~3.8 mm,平均降低4.4 mm;平均辐射较历史时期变化范围为-1.2~-0.1 MJ∙m-2,平均降低0.7 MJ∙m-2。此外,至2090s,SSP2-4.5和SSP5-8.5情景下CO2浓度将由2001—2020年间的393.0 μmol·mol-1,分别增长至604.8 μmol·mol-1、1018.7 μmol·mol-1
图3 未来情景下气候变化空间特征

Fig. 3 Spatial characteristics of climate change under future scenarios

图4 流域尺度未来情景气候变化

Fig. 4 Climate change under future scenarios at the basin scale

综上所述,塔里木河流域2021—2100年棉花生长季气候变化幅度具有空间异质性,气温升高最高可达4.9 ℃,降水平均减少3.4~4.4 mm,辐射平均降低0.6~0.7 MJ∙m-2。诸多学者对西北干旱区未来气候变化开展了研究,陈发虎等[8]认为SSP5-8.5较SSP2-4.5升温速度更快,在低排放的SSP1-2.6和SSP2-4.5情景时,西北干旱区仍将持续“暖湿化”,而在SSP5-8.5高排放情景下则将逐渐向“暖干”转型。此外,也有学者认为在西北干旱区不存在整体“暖湿化”,即气候变化的空间异质性,而本研究结果中各子流域在气候变化上的差异亦表现出该特征[34-35]

2.2 未来情景下棉花生产特征

2.2.1 历史时期棉花生产模拟

在气候数据的驱动下,基于DSSAT-CROPGRO-Cotton模型,不考虑水肥、病虫害、品种差异和土壤盐渍化等因素限制的情况,对37个站点棉花生产进行模拟,利用空间分析技术得到2001—2020年间塔里木河流域棉花产量、灌溉量和水分生产率3个指标平均值在像元和子流域尺度上的特征,结果如图5所示。2001—2020年间塔里木河流域棉花产量、灌溉量和水分生产率平均值分别为6502.9 kg∙hm-2、492.9 mm和1.003 kg∙m-3,且存在显著的空间差异,这一结果与相关研究结论较为接近。有研究结果表明,在新疆南部,覆膜滴灌条件下的棉花产量为6773.0 kg∙hm-2,最佳灌溉量为604 mm[36]。在库尔勒、阿克苏和阿拉尔站点,棉花平均产量为5957.0 kg∙hm-2,平均灌溉量为578 mm[1]。本文产量模拟结果与上述研究的棉花产量相对误差均小于8.8%;灌溉量模拟方面,本文是基于初始土壤含水量为田间持水量的假设;此外,考虑到不同研究在研究时段、站点选取等因素的差异,可以认为本文的模拟结果是可靠的。
图5 历史时期棉花产量、灌溉量和水分生产率特征

Fig. 5 Characteristics of cotton yield, irrigation amount and water productivity in the historical period

产量高值区主要分布在叶尔羌河流域、喀什噶尔河流域、阿克苏河流域下游、渭干河流域南部及开都-孔雀河流域西南部;而低值区则主要分布在阿克苏河、渭干河和开都孔雀河等流域的上游高海拔区域。在子流域尺度上,喀什噶尔河流域和叶尔羌河流域棉花产量最高,平均值分别为6956.2 kg∙hm-2、6918.3 kg∙hm-2;车尔臣河和开都-孔雀河流域棉花产量最低,平均值分别为6004.3 kg∙hm-2、6039.1 kg∙hm-2。灌溉量高值区主要分布在叶尔羌河流域中部、喀什噶尔河流域东西两侧、阿克苏河流域中下游及塔里木河干流上游、渭干河流域下游中部、开都-孔雀河流域东南部、塔里木河干流下游和车尔臣河流域。低值区则主要分布在和田河流域中东部、叶尔羌河流域下游及阿克苏河流域、渭干河流域和开都-孔雀河流域上游。在子流域尺度上车尔臣河流域所需灌溉量最高,为522.3 mm;和田河流域最低,为472.7 mm。水分生产率高值区主要分布在克里雅河流域、和田河流域、叶尔羌河流域和喀什噶尔河流域大部,阿克苏河流域中游、塔里木河干流中游及与其毗邻的渭干河流域和开都-孔雀河流域。低值区则分布在阿克苏河、渭干河和开都-孔雀河等流域上游及车尔臣河流域。在子流域尺度上,喀什噶尔河流域水分生产率最高,为1.053 kg∙m-3;车尔臣河流域水分生产率最低,为0.942 kg∙m-3

2.2.2 未来棉花生产模拟

以历史时期(2001—2020年)塔里木河流域棉花产量、灌溉量和水分生产率平均值为基准,以变化百分比为指标,从像元尺度(图6)和子流域尺度(图7)全面评价未来情景下塔里木河流域棉花生产状况。为方便描述,将产量变化分为高度不适宜(-35%~-10%]、不适宜(-10%~0%]、低度适宜(0%~10%]、中度适宜(10%~20%]、高度适宜(20%~30%]和最佳适宜(30%~45%);将灌溉量变化分为最佳适宜(-15%~0%]、低度适宜(0%~10%]、低度不适宜(10%~20%]、中度不适宜(20%~30%]、高度不适宜(30%~40%]、最不适宜(40%~65%);将水分生产率变化分为高度不适宜(-55%~-10%]、不适宜(-10%~0%]、低度适宜(0%~10%]、中度适宜(10%~20%]、高度适宜(20%~30%]和最佳适宜(30%~45%)。
图6 未来情景下棉花产量、灌溉量和水分生产率变化空间特征

Fig. 6 Spatial variation characteristics of cotton yield, irrigation amount and water productivity under future scenarios

图7 子流域尺度上未来棉花产量、灌溉量和水分生产率变化

Fig. 7 Changes in future cotton yield, irrigation amount and water productivity at the sub-basin scale

未来情景下塔里木河流域棉花产量可能大幅增加,水资源形势严峻,水分生产率变化幅度剧烈,即棉花生产风险与机遇并存。棉花产量较历史时期增加12.42%~23.96%,灌溉量增加1.76%~21.82%,水分生产率增加0.95%~20.61%(图6)。SSP2-4.5情景下,像元尺度棉花产量、灌溉量和水分生产率变化规律如图6a图6b图6c所示。塔里木河流域棉花产量较历史时期变化趋势表现为“增加-停滞”状态,2070s棉花产量增加潜力达到峰值,较历史时期增加23.96%,此后的2090s基本维持该水平且略有下降。棉花产量不适宜区占比较小,且随时间变化呈逐渐减少趋势。2030s不适宜区仅占流域耕地面积的5.13%,且主要分布在和田河流域、阿克苏河上游、渭干河上游和开都-孔雀河东北部分区域;2090s不适宜区则降至0.00%。2030s塔里木河流域棉花产量以中度适宜为主,占流域耕地总面积的72.63%,高度及以上适宜区仅占3.51%;2090s高度及以上适宜区占流域耕地总面积比例上升为49.09%,中度适宜区则下降为46.39%,适宜区变化呈向高海拔方向发展趋势。
对于水资源紧张的塔里木河流域,更少的灌溉量需求是我们的期待。然而,SSP2-4.5情景下,塔里木河流域棉花生产所需灌溉量持续增加,至2090s灌溉量较历史时期增加8.34%,这将进一步加剧塔里木河流域水资源紧张形势;最佳适宜区面积由2030s占流域耕地总面积的35.75%下降到2090s的14.45%,而低度及以上不适宜则从6.74%增加到40.17%。灌溉量较历史时期显著增加的区域主要集中在喀什噶尔河流域东部、叶尔羌河中游、阿克苏河中游,塔里木河干流的上游和下游,渭干河流域中部等区域。
较历史时期,SSP2-4.5情景下,塔里木河流域棉花水分生产率变化趋势呈“增加-下降”特征,2070s水分生产率增加潜力达到峰值,较历史时期增加20.61%,此后的2090s则下降为18.85%。水分生产率适宜区占比由2030s的94.32%上升到2070s的98.90%,之后下降到2090s的97.82%。
综上所述,在SSP2-4.5情景下,2021—2100年塔里木河流域表现出不错的棉花产量增加潜力,水分生产率增加显著,但水资源紧张局势可能加剧。较SSP2-4.5情景,SSP5-8.5情景在棉花产量、灌溉量和水分生产率变化上表现得更加剧烈(图6d图6e图6f)。棉花产量较历史时期变化趋势表现为“增加-停滞-下降”,2050s和2070s出现明显的停滞期。灌溉量较历史时期变化则表现为持续增加趋势,至2090s灌溉量将增加21.82%。水分生产率较历史时期变化趋势表现为“增加-停滞-急剧下降”,至2090s水分生产率已降至历史时期平均水平。棉花产量、灌溉量和水分生产率在2090s变化较为剧烈,例如在喀什噶尔河东部、叶尔羌河中下游、阿克苏河流域、塔里木河干流及其毗邻区棉花产量下降、灌溉量增加导致水分生产率急剧下降。较SSP2-4.5情景,SSP5-8.5情景下产量变化趋势拐点出现更早,水分生产率在2090s急剧下降,水资源紧张局势进一步加剧。
棉花产量、灌溉量和水分生产率在子流域尺度上特征如图7所示。在SSP2-4.5情景下,2030s和2050s时期喀什噶尔河流域、叶尔羌河流域和克里雅河棉花产量更高,而在2070s和2090s棉花产量较高流域则为喀什噶尔河流域、克里雅河和车尔臣河。SSP5-8.5情景下,2030s棉花产量较高流域为喀什噶尔河流域、叶尔羌河流域和克里雅河流域,而在2050s、2070s和2090s棉花产量较高流域则为车尔臣河流域、克里雅河流域和喀什噶尔河流域。SSP2-4.5情景下,车尔臣河流域、塔里木河干流和开都-孔雀河流域所需灌溉量较高,水资源压力较大;SSP5-8.5情景表现出相同规律,但灌溉压力更大。SSP2-4.5和SSP5-8.5情景下喀什噶尔河流域、和田河流域和克里雅河流域水分生产率较高。总之,在仅考虑气候变化的背景下,依据棉花产量、灌溉量和水分生产率指标,认为在未来情景下喀什噶尔河流域是塔里木河流域最佳棉花生产地区。

2.2.3 未来棉花生产模拟结果及归因分析

本研究发现,在未来情景下棉花产量将增加12.4%~23.9%,这与相关研究结果基本一致[26]。未来情景下塔里木河流域棉花生产所需灌溉量增加1.76%~21.82%,在美国得克萨斯的相关研究认为,到本世纪中叶,季节性灌溉用水量预计增加6%~11%,这与本文对灌溉量变化的模拟结果较为相似[37]。棉花生长的适宜温度为25 ℃~35 ℃。在全球气温升高的背景下,适宜气温升高可促进棉花新陈代谢率和碳利用效率,使棉花在生长过程中产生更多的花和蕾[38],温度过高会缩短棉花从开花到成熟的时间,缩短棉铃的发育周期,影响纤维特征,减少棉铃体积,最终导致产量下降[39]。CO2浓度升高可增加作物光合作用,降低气孔导度,减少叶面积蒸腾,从而促进作物生长和产量,提高水分利用效率[4]。CO2浓度升高是研究区产量增加最重要的因素,当CO2浓度到达一定水平后,其施肥效应对产量的增益效果将下降,相关研究结果支持此结论[4,11]。随着未来情景下温度升高,棉花植株的蒸腾作用和土壤的蒸发作用增强,使得棉花生长过程中的水分消耗加快,从而需要更多的灌溉量来满足棉花水分需求。气候变暖后高温频率增加,加快了棉花的生长发育速度,导致棉花提前成熟,生长期明显缩短[24,40]。棉花生育期缩短意味着棉花在较短时间内完成生长发育过程,这可能导致棉花在关键生育阶段对水分的需求更加集中和迫切。

2.3 未来棉花生产重心转移

图6图7可知,未来情景下,棉花产量、灌溉量和水分生产率在像元和子流域尺度上随时间变化表现出强烈的空间异质性。利用空间分析工具,探究未来情景下棉花产量、灌溉量和水分生产率在空间上的转移规律对塔里木河流域棉花产业布局和可持续发展有重要意义。历史时期棉花产量、灌溉量和水分生产率重心及未来情景下重心转移规律如图8所示。
图8 子流域尺度上未来棉花产量、灌溉量和水分生产率重心转移

Fig. 8 Center of gravity shift of future cotton yield, irrigation amount and water productivity at the sub-basin scale

在SSP2-4.5情景下,塔里木河流域棉花产量重心向东北方向移动了6.9 km,而开都-孔雀河流域棉花产量重心向东北方向移动了6.7 km,贡献较高。其他子流域棉花产量重心转移表现出极强的规律性,即均向高海拔方向移动。SSP5-8.5情景下棉花产量重心转移则表现为“东北(7.9 km)-西南(6.4 km)”的折返状态,各子流域中心转移方向与SSP2-4.5情景相似,除叶尔羌河和克里雅河外,其他子流域转移距离更远。SSP2-4.5和SSP5-8.5情景下,塔里木河流域灌溉量重心分别向东北方向移动了11.3 km和13.6 km;子流域尺度上,重心转移方向多指向流域下游。SSP2-4.5和SSP5-8.5情景下,塔里木河流域水分生产率重心分别向西南方向移动了5.2 km和12.0 km;子流域尺度上,重心转移方向多指向流域上游。总之,由塔里木河流域及各子流域棉花产量、灌溉量和水分生产率重心转移规律不难发现,由于气候变化,塔里木河流域棉花生产重心向高海拔(上游)区域转移则更加有利。
未来气候变化可能会显著改善区域尺度水热资源分布,棉花的适宜种植区也将随之移动[18-19]。在未来棉花种植的过程中,可以调整其种植区域,然而考虑到现有耕地分布情况,棉花产量重心和灌溉重心向东北方向移动,水分生产率重心向西南方向移动等情况,调整方案需根据实际情况综合评判。

3 结论与讨论

本文对比分析了DSSAT-CROPGRO-Cotton+GIS耦合模型在塔里木河流域棉花生产中的适应性,利用SSP2-4.5、SSP5-8.5两种共享社会经济路径下的气候变化数据集,预估了2030s、2050s、2070s和2090s四个时段气候变化特征,探讨了未来塔里木河流域棉花产量、灌溉量和水分生产率空间变化特征和转移规律。主要结论如下:
(1) DSSAT-CROPGRO-Cotton+GIS耦合模型具有较高的田间棉花生长模拟能力,能够准确模拟塔里木河流域棉花产量和灌溉量。相比于历史时期(2001—2020年),未来情景下塔里木河流域气温上升显著,升温最高可达4.9 ℃,降水平均减少3.4~4.4 mm,辐射平均降低0.6~0.7 MJ∙m-2
(2) 未来情景下塔里木河流域棉花产量较历史时期增加12.4%~23.9%,灌溉量增加1.76%~21.82%,水分生产率增加0.95%~20.61%。在SSP2-4.5情景下,在塔里木河流域尺度上棉花产量、灌溉量和水分生产率变化规律分别表现为“增加-停滞”“持续增加”和“增加-下降”特征,峰值分别为23.96%、8.34%和20.61%;而SSP5-8.5情景下三指标变化规律则为“增加-停滞-下降”“持续增加”和“增加-停滞-急剧下降”特征,其中,灌溉量在2090s较历史时期将增加21.82%。未来情景下喀什噶尔河流域是塔里木河流域最佳棉花生产地区。
(3) SSP2-4.5情景下,棉花产量重心向东北方向移动6.9 km;而SSP5-8.5情景下则表现为“东北(7.9 km)-西南(6.4 km)”的折返状态。未来情景下灌溉量重心将向东北方向移动,而水分生产率重心则向西南方向移动。子流域尺度上,产量和水分生产率重心向高海拔的上游地区移动,而灌溉量重心向低海拔的下游移动。
影响棉花生产的因素有很多,如气候条件、CO2浓度、灌溉水平、施肥、作物品种和土壤类型等[4-6]。然而,我们的研究只考虑了气候和CO2浓度因素,而棉花品种、播期等管理差异、土壤盐渍化问题和水资源紧张等因素对棉花生产的影响没有得到有效讨论[41-42]。例如,未来热量资源变化对播期调整的潜在影响不容忽略;有研究表明,在中国3月31日播种的棉花产量比5月10日播种平均增产5.32%[24]。此外,未来情景数据的不确定性和校正偏差的影响不可忽略[31,43]。未来的研究中将考虑棉花品种、田间管理措施、水资源胁迫及未来情景数据不确定性和校正偏差等因素的影响,以期模拟结果更加真实可信,为塔里木河流域棉花产业可持续发展提供数据支撑。
[1]
Lin S D, Wang Q J, Deng M J, et al. Assessing the influence of water fertilizer, and climate factors on seed cotton yield under mulched drip irrigation in Xinjiang Agricultural Regions[J]. European Journal of Agronomy, 2024, 152: 127034.

[2]
李娜. 气候变化对棉花生长和产量的影响[D]. 西安: 西北农林科技大学, 2021.

[Li Na. Effects of Climate Change on Cotton Growth and Yield[D]. Xi’an: Northwest A & F University, 2021. ]

[3]
Wu H, Xu M, Peng Z Y, et al. Quantifying the potential impacts of meltwater on cotton yields in the Tarim River Basin, Central Asia[J]. Agricultural Water Management, 2022, 269: 107639.

[4]
Adhikari P, Ale S, Bordovsky J P, et al. Simulating future climate change impacts on seed cotton yield in the Texas High Plains using the CSM-CROPGRO-Cotton model[J]. Agricultural Water Management, 2016, 164: 317-330.

[5]
李萌. 南疆膜下滴灌棉花灌溉和施肥调控效应及生长模拟研究[D]. 杨凌: 西北农林科技大学, 2020.

[Li Meng. Study on Effect of Irrigation and Fertilization Regulation and Simulation of Cotton Growth under Film-mulched Drip Irrigation in Southern Xinjiang[D]. Yangling: Northwest A & F University, 2020. ]

[6]
杜江涛, 张楠, 龚珂宁, 等. 基于DSSAT模型的南疆膜下滴灌棉花灌溉制度优化[J]. 生态学杂志, 2021, 40(11): 3760-3768.

[Du Jiangtao, Zhang Nan, Gong Kening, et al. Optimization of cotton irrigation schedule under mulch drip irrigation in southerm Xinjiang based on DSSAT model[J]. Chinese Journal of Ecology, 2021, 40(11): 3760-3768. ]

[7]
Zhou T J, Chen Z M, Chen X L, et al. Interpreting IPCC AR6: Future global climate based on projection under scenarios and on near-term information[J]. Advances in Climate Change Research, 2021, 17(6): 652.

[8]
陈发虎, 谢亭亭, 杨钰杰, 等. 我国西北干旱区“暖湿化”问题及其未来趋势讨论[J]. 中国科学:地球科学, 2023, 53(6): 1246-1262.

[Chen Fahu, Xie Tingting, Yang Yujie, et al. Discussion of the “warming and wetting” trend and its future variation in the drylands of Northwest China under global warming[J]. Science China Earth Sciences, 2023, 53(6): 1246-1262. ]

[9]
山建安, 朱睿, 尹振良, 等. 基于CMIP6模式的中国西北地区干旱时空变化[J]. 干旱区研究, 2024, 41(5): 717-729.

DOI

[Shan Jianan, Zhu Rui, Yin Zhenliang, et al. Spatial and temporal variation of drought in Northwest China based on CMIP6 model[J]. Arid Zone Research, 2024, 41(5): 717-729. ]

DOI

[10]
Tian X, Dong J Z, Jin S Y, et al. Climate change impacts on regional agricultural irrigation water use in semi-arid environments[J]. Agricultural Water Management, 2023, 281: 108239.

[11]
徐杨, 李秀芬, 葛全胜, 等. 气象干旱对中亚棉花产量的影响[J]. 地理学报, 2022, 77(9): 2338-2352.

DOI

[Xu Yang, Li Xiufen, Ge Quansheng, et al. Effect of meteorological drought on cotton yield in Central Asia[J]. Acta Geographica Sinica, 2022, 77(9): 2338-2352. ]

DOI

[12]
Qin Y, Abatzoglou J T, Siebert S, et al. Agricultural risks from changing snowmelt[J]. Nature Climate Change, 2020, 10(5): 459-465.

[13]
Wen M N, Chen L Y. Global food crop redistribution reduces water footprint without compromising species diversity[J]. Journal of Cleaner Production, 2023, 383: 135437.

[14]
Xie W, Zhu A F, Ali T, et al. Crop switching can enhance environmental sustainability and farmer incomes in China[J]. Nature, 2023, 616(7956): 300-305.

[15]
罗磊, 李曦光, 李萧婷, 等. 气候变化下沙棘在新疆潜在分布格局的变化[J]. 干旱区研究, 2025, 42(3): 511-522.

DOI

[Luo Lei, Li Xiguang, Li Xiaoting, et al. Potential distribution pattern of Hippophae rhamnoides in Xinjiang under climate change predicted using the MaxEnt model[J]. Arid Zone Research, 2025, 42(3): 511-522. ]

[16]
Shi X Y, Wang C, Zhao J C, et al. Increasing inconsistency between climate suitability and production of cotton (Gossypium hirsutum L.) in China[J]. Industrial Crops and Products, 2021, 171: 113959.

[17]
Li L L, Wu H Q, Gao Y M, et al. Predicting ecologically suitable areas of cotton cultivation using the MaxEnt model in Xinjiang, China[J]. Ecologies, 2023, 4(4): 654-670.

[18]
Zhu Y Q, Sun L, Luo Q Y, et al. Spatial optimization of cotton cultivation in Xinjiang: A climate change perspective[J]. International Journal of Applied Earth Observation and Geoinformation, 2023, 124: 103523.

[19]
Mai J F, Liu G L. Modeling and predicting the effects of climate change on cotton-suitable habitats in the Central Asian arid zone[J]. Industrial Crops and Products, 2023, 191: 115838.

[20]
王兴鹏, 辛朗, 杜江涛, 等. 基于DSSAT模型的南疆膜下滴灌棉花生长与产量模拟[J]. 农业机械学报, 2022, 53(9): 314-321.

[Wang Xingpeng, Xin Lang, Du Jiangtao, et al. Simulation of cotton growth and yield under film drip irrigation condition based on DSSAT model in southern Xinjiang[J]. Transactions of the Chinese Society for Agricultural Machinery, 2022, 53(9): 314-321. ]

[21]
Fan X W, Duan Q Y, Shen C W, et al. Global surface air temperatures in CMIP6: Historical performance and future changes[J]. Environmental Research Letters, 2020, 15(10): 104056.

[22]
Jin Z R, Ge F, Chen Q L, et al. To what extent horizontal resolution improves the simulation of precipitation in CMIP6 HighResMIP models over Southwest China?[J]. Frontiers in Earth Science, 2023, 10: 1003748.

[23]
Mahajan S, Evans K J, Branstetter M, et al. Fidelity of precipitation extremes in high resolution global climate simulations[J]. Procedia Computer Science, 2015, 51: 2178.

[24]
Li Y, Li N, Javed T, et al. Cotton yield responses to climate change and adaptability of sowing date simulated by AquaCrop model[J]. Industrial Crops and Products, 2024, 212: 118319.

[25]
Wang L C, Zhong D H, Chen X X, et al. Impact of climate change on rice growth and yield in China: Analysis based on climate year type[J]. Geography and Sustainability, 2024, 5(4): 548-560.

[26]
Yue S R, Wang L C, Cao Q, et al. Assessment of future cotton production in the Tarim River Basin under climate model projections and water management[J]. Journal of Earth Science, 2025, 36(4): 1780-1792.

[27]
Li N, Lin H X, Wang T X, et al. Impact of climate change on cotton growth and yields in Xinjiang, China[J]. Field Crops Research, 2020, 247: 107590.

[28]
陈亚宁, 徐宗学. 全球气候变化对新疆塔里木河流域水资源的可能性影响[J]. 中国科学(D辑: 地球科学), 2004, 34(11): 1047-1053.

[Chen Yaning, Xu Zongxue. Potential impact of global climate change on water resources in the Tarim River Basin of Xinjiang[J]. Scientia Sinica (Terrae), 2004, 34(11): 1047-1053. ]

[29]
张音, 孙从建, 刘庚, 等. 近20a塔里木河流域山区NDSI对气候变化的响应[J]. 干旱区研究, 2024, 41(10): 1639-1648.

DOI

[Zhang Yin, Sun Congjian, Liu Geng, et al. Response of NDSI in the Tarim River Basin mountainous areas to climate change over the past 20 years[J]. Arid Zone Research, 2024, 41(10): 1639-1648. ]

DOI

[30]
朱世峰, 王卫光, 丁一民, 等. 基于CMIP6的长江中下游未来水稻高温热害时空变化特征[J]. 农业工程学报, 2023, 39(3): 113-122.

[Zhu Shifeng, Wang Weiguang, Ding Yimin, et al. Spatiotemporal variation of future heat damage of rice in the Middle and Lower Reaches of the Yangtze River using CMIP6 projections[J]. Transactions of the Chinese Society of Agricultural Engineering, 2023, 39(3): 113-122. ]

[31]
Chen X X, Wang L C, Niu Z G, et al. The effects of projected climate change and extreme climate on maize and rice in the Yangtze River Basin, China[J]. Agricultural and Forest Meteorology, 2020, 282: 107867.

[32]
童成立, 张文菊, 汤阳, 等. 逐日太阳辐射的模拟计算[J]. 中国农业气象, 2005, 26(3): 165-169.

[Tong Chengli, Zhang Wenju, Tang Yang, et al. Estimation of daily solar radiation in China[J]. Chinese Journal of Agrometeorology, 2005, 26(3): 165-169. ]

[33]
王雪姣. 气候变化对新疆棉花物候、产量和品质的影响与适应措施[D]. 北京: 中国农业大学, 2015.

[Wang Xuejiao. Impact and Adaptation of Climate Change on Cotton Phenology, Yield and Fiber Quality in Xinjiang[D]. Beijing: China Agricultural University, 2015. ]

[34]
Zhang Q, Yang J H, Wang W, et al. Climatic warming and humidification in the arid region of Northwest China: Multi-scale characteristics and impacts on ecological vegetation[J]. Journal of Meteorological Research, 2021, 35(1): 113-127.

[35]
Zhong L H, Hua L J, Yao Y, et al. Interdecadal aridity variations in Central Asia during 1950-2016 regulated by oceanic conditions under the background of global warming[J]. Climate Dynamics, 2021, 56: 3665-3686.

[36]
赵爱琴. 基于大尺度水肥耦合模型估算新疆膜下滴灌棉花生产潜力(英文)[J]. 农业工程学报, 2019, 35(5): 111-118.

[Zhao Aiqin. Mulched drip irrigation cotton yield potential estimation based on large-scale water-nitrogen coupling model in Xinjiang, China with limits of water resources[J]. Transactions of the Chinese Society of Agricultural Engineering, 2019, 35(5): 111-118. ]

[37]
Kothari K, Ale S, Bordovsky J P, et al. Potential genotype-based climate change adaptation strategies for sustaining cotton production in the Texas High Plains: A simulation study[J]. Field Crops Research, 2021, 271: 108261.

[38]
Wang H L, Gan Y T, Wang R Y, et al. Phenological trends in winter wheat and spring cotton in response to climate changes in Northwest China[J]. Agricultural and Forest Meteorology, 2008, 148(8-9): 1242-1251.

[39]
Zahid K R, Ali F, Shah F, et al. Response and tolerance mechanism of cotton Gossypium hirsutum L. to elevated temperature stress: A review[J]. Frontiers in Plant Science, 2016, 7: 937.

[40]
Yang Y M, Yang Y H, Han S M, et al. Prediction of cotton yield and water demand under climate change and future adaptation measures[J]. Agricultural Water Management, 2014, 144: 42-53.

[41]
Wang F, Yang S T, Wei Y, et al. Characterizing soil salinity at multiple depth using electromagnetic induction and remote sensing data with random forests: A case study in Tarim River Basin of southern Xinjiang, China[J]. Science of the Total Environment, 2021, 754: 142030.

[42]
Li Q S, Liu Z H, Yang Y H, et al. Evaluation of water resources carrying capacity in Tarim River Basin under game theory combination weights[J]. Ecological Indicators, 2023, 154: 110609.

[43]
Gupta R, Mishra A. Climate change induced impact and uncertainty of rice yield of agro-ecological zones of India[J]. Agricultural Systems, 2019, 173: 1-11.

Options
Outlines

/