Weather and Climate

Aircraft observation of the cloud microphysical characteristics of stratocumulus precipitation in the Qilian Mountains

  • FU Shuangxi , 1 ,
  • QI Peng , 2 ,
  • CHANG Yi 2 ,
  • BA Li 1 ,
  • CHEN Qi 1
Expand
  • 1. Gansu Weather Modification Office, Lanzhou 730000, Gansu, China
  • 2. CMA Cloud-Precipitation Physics and Weather Modification Key Laboratory, Beijing 100081, China

Received date: 2024-07-03

  Revised date: 2024-09-18

  Online published: 2025-08-13

Abstract

The microphysical characteristics of a stratiform precipitation cloud in the central Qilian Mountains on August 27, 2022, were analyzed through aircraft measurements. The results revealed significant differences in the cloud microphysical characteristics with different altitudes and regions. The supercooled liquid water content decreased as the altitude increased. In the -6 ℃ to -3 ℃ layer, the mean supercooled liquid water content was about 0.05 g·m-3, while in the higher layer of -15 ℃ to -12 ℃, the supercooled liquid water content was only 0.015 g·m-3, less than one-third of the lower layer. The riming process is essential in the growth of particles at all altitudes, with the mean diameter of the particles in the cloud reaching several hundred micrometers. Combining riming and aggregation processes can result in a particle spectrum width of over 6 mm. The mean diameter of the particles in the -6 ℃ to -3 ℃ layer was smaller than that in the upper layer, which may be caused by the evaporation and fragmentation of large particles while falling. On the mountain’s southwestern side, the low-level southerly wind with moisture lifted by the topography resulted in condensation and the production of numerous cloud droplets. The small particle concentration on the mountain’s southwestern side is one order of magnitude higher than that on the northeastern side, and the supercooled liquid water content is also higher. On the mountain’s southwestern side, the cloud particles are mainly supercooled cloud droplets and graupel particles; the aggregation process is not obvious, and the particle concentration is high. On the northeastern side, aggregated ice particles and graupels dominate, and the low concentration of small particles leads to a larger mean size of cloud particles.

Cite this article

FU Shuangxi , QI Peng , CHANG Yi , BA Li , CHEN Qi . Aircraft observation of the cloud microphysical characteristics of stratocumulus precipitation in the Qilian Mountains[J]. Arid Zone Research, 2025 , 42(2) : 212 -222 . DOI: 10.13866/j.azr.2025.02.03

祁连山绵亘于青藏高原东北边缘,位于中国青海省东北部与甘肃省西部边境,长达1000 km,宽200~500 km,海拔4000~6000 m,面积约2062 km2,由多条西北-东南走向的平行山脉和宽谷组成,是石羊河、黑河、疏勒河等多条内陆河流发源地,对我国西北干旱、半干旱区具有重要生态意义。祁连山地区特殊的地形对降水的动力、热力、云物理作用关系密切,被越来越多的国内研究学者所重视[1-5];而云和降水的微物理特征研究一直是大气科学领域的热点之一。云微物理过程决定着水成物粒子的尺度、形状以及相态变化过程,影响着潜热释放,与动力过程相互作用,共同主导着天气系统的发生、发展与消散[6-7],其作用通过影响云中液态水分布的变化及降水粒子的增长方式等影响降水[8]。云和降水粒子的相态、形状、粒径分布、粒子数浓度和含水量等参数对气候变化、天气预测、人工影响天气、飞行安全等众多领域都有重要影响[9],云中粒子形状作为云微物理特征的重要参量,准确的云粒子形状信息是计算含水量、云相态等云微物理参量的重要前提[10]。飞机穿云探测则是目前直接获取云内微物理特征、了解云内微物理过程、降水形成机制的最直接手段[11],其探测资料可用于云结构、云微物理过程机理、人工增雨的物理机制和作业效果检验等研究。因此,利用机载云粒子测量系统获得云粒子形状、谱分布和图像等特征,是研究云物理结构和降水形成机理的重要途径之一。
在祁连山地区,降水分布与地形密切相关,不同海拔高度、南北坡的降水存在明显差异[12-14]。但受祁连山海拔与地形的限制,该区域云和降水的结构及发生机制的研究受到限制。主要原因是飞机在祁连山腹地及南北两侧进行穿云探测获得的资料很有限,进而研究其云微物理特征及降水机制较少。
本文利用青海省人工影响天气办公室空中国王350ER飞机(编号B3586)在祁连山中部的一次层状云降水探测数据,结合卫星、探空、地面等多源数据,分析研究了祁连山中部南北两侧地形影响下云的微物理结构特征,及该地区云中降水粒子形成及降水产生的物理机制,旨在更好地选择最佳作业时机和作业部位,对提高人工催化效果、科学开展人工增雨作业具有重要意义。

1 仪器和数据处理

空中国王350ER飞机搭载有美国DMT公司的粒子探测设备,可对粒径0.54~6200 μm的云和降水粒子图像和浓度进行测量;飞机综合气象要素测量系统(Aircraft Integrated Meteorological Measurement System,AIMMS)可对经纬度、海拔高度,以及温度、气压、气流速度等常规气象要素进行收集;热线含水量仪(HotwireLWC)可获取液态水含量。主要设备及参数如表1所示。
表1 主要机载探测设备及参数

Tab. 1 Main airborne detection equipment and parameters

设备名称
探测范围 分辨率
云和气溶胶粒子谱仪(CAS) 0.54~50 μm 0.7~5 μm
云粒子成像仪(CIP) 25~1550 μm 25 μm
降水粒子成像仪(PIP) 100~6200 μm 100 μm
热线含水量仪(Hotwire_LWC) 0~3 g·m-3 -
飞机综合气象要素测量系统(AIMMS20) 温度、海拔、空气流速、经纬度等
根据探测的粒子直径,本文中将CAS探测的2~50 μm粒子称为云粒子,CIP与PIP探测的100~6200 μm粒子称为降水粒子。在飞机观测过程中,部分飞行出现PIP、CIP、CAS等探头工作不正常情况,影响探测数据收集,这些探测数据被剔除,仅保留探头工作正常时采样数据;同时,由于高速采样和飞机飞行颠簸等的影响,飞行探测采样数据出现跳跃脉动的异常值,通过数据质量初步控制剔除以确保数据准确性,并且定义飞机平行飞行的误差在上下10 m范围内。
在利用CIP和PIP探测结果进行粒子数浓度、含水量和粒子有效直径计算时,由于散射信号的测量局限性导致CIP和PIP边界部分的测量值不准确,故将前2个通道的采样剔除,即CIP、PIP分别采用75~1500 μm、300~6200 μm通道的采样来计算[15-16]。云(雨)粒子数浓度、粒子平均直径的计算方法[17-19]如下:
N c o n = i = 1 m N c o n , i Δ D p i
N c o n , i = N c n t , i 1000 V i Δ D p i
M D = 1 N c o n i = 1 m ( D p i ) N c o n , i Δ D p i
式中: N c o n为粒子数浓度(cm-3); N c n t , i为第i档的粒子个数; N c o n , i为第i档的粒子数随档宽的分布即粒子谱(cm-3·g·μm-1); Δ D p i为第i档的档宽(μm); D p i为第i档的粒子中值尺度(μm);MD为粒子平均直径(μm)。
20 世纪70年代Hobbs[20]对美国温带气旋云系和地形云进行了探测试验,提出利用FSSP探头观测到云中大于2 μm的粒子总浓度超过10 cm-3时判断为云水区。本文云水区的判断标准是连续10个探测纪录满足云粒子数浓度(Nc)大于10 cm-3且云内液水含量(LWC)大于0.001 g·m-3,采用NcLWC两个标准可以消除气溶胶对云滴样本的影响[21]。文中在进行环流场分析时,使用了中央气象台发布的500 hPa与700 hPa等压面天气图,要素包含位势高度、温度、水平风、比湿等。卫星云图使用的是FY-2G卫星黑体亮温产品,空间分辨率10 km,时间分辨率1 h。此外,还使用了张掖和西宁2022年8月27日8:00的探空数据分析大气层结状况。

2 天气背景和飞机探测情况

2.1 天气背景

2022年8月27日祁连山区出现了一次降水天气过程,山区普降中雨,较大降水落区有沿山分布的特点,降水中心在野牛沟至祁连一带,达到大雨量级。27日17:00祁连观测站小时降水5.6 mm,具有明显的短时强降水分布特征。27日08:00 500 hPa高空中高纬为“两槽一脊”的形势(图1a),河西及祁连山区处在新疆高空槽和副热带高压之间的偏西气流中,新疆高空槽不断有冷空气分裂东移至河西中部;700 hPa上酒泉西部有一西北、东南风切变,河西中东部有显著的东风气流沿高原边坡向西输送水汽,河西中东部及祁连山区大部比湿在10 g·kg-1以上(图1b)。
图1 2022年8月27日08:00 500 hPa(a)、700 hPa(b)天气形势

注:黑色线为位势高度,单位:dagpm;红色线为温度,单位:℃;蓝色线为槽线;双棕色线为切变线;“+”为兰州所在位置。

Fig. 1 Weather situation at 08:00 on August 27, 2022 at 500 hPa (a) and 700 hPa (b)

由张掖(图2a)与西宁(图2b)27日08:00的探空图上看,两地大气层结均接近饱和。张掖位于祁连山东北侧,探空结果表明,2500 m以下的低层为西北风,2500 m以上为西南风、西风;祁连山东南方向的西宁探空表明,3000 m以下低层为东南风,3000~5000 m为南风,5000 m以上为西风,祁连山东南部低层受东南气流影响。祁连山区局地存在100 J·kg-1以上的对流有效位能(CAPE)值,河西及祁连山区水汽条件十分充沛,且具备一定的能量及动力抬升条件。
图2 2022年8月27日08:00 张掖站(a)、西宁站(b)探空曲线

Fig. 2 Sounding profile of Zhangye Station (a) and Xining Station (b) at 08:00 on August 27, 2022

从卫星云图(图3)上看,27日上午云系由青藏高原中部移出、覆盖祁连山中、东部上空,云系呈西南-东北走向,并自西南向东北移动。云系水平分布不均,08:00祁连山中西部云顶黑体亮温最低可达-30 ℃,12:00祁连山中段南侧云顶黑体亮温最低达-40 ℃,东北侧-15 ℃左右。综上所述,此次祁连山地区降水云系分布范围较广,河西大部整层湿度条件较好,受西风与低层东南气流共同作用,配合高空冷平流形成上冷干下暖湿的环境层结,在祁连山北麓至河西走廊一带复杂地形上,局地可能触发对流。
图3 2022年8月27日8:00(a)、12:00(b)FY2G卫星黑体亮温(TBB)分布

注:蓝色线为海岸线,黑色线为3000 m等高线,红色框为祁连山地区。

Fig. 3 Black body temperature (TBB) measured by FY2G satellite at 8:00 (a) and 12:00 (b) on August 27, 2022

2.2 飞机飞行探测情况

2022年8月27日,空中国王350ER飞机于8:06(北京时,下同)在青海曹家堡国际机场(海拔高度2146 m)起飞,至12:37落地,航程2091 km,飞行4 h 32 min,期间最大飞行海拔高度超过8000 m,飞机飞行高度随时间变化及飞行探测轨迹如图4所示。
图4 飞机飞行高度随时间变化(a)及飞机飞行轨迹与祁连山地形分布(b)

注:红色、蓝色折线分别为飞机在山脉西南侧、东北侧飞行探测(a);填色为祁连山地形高度,A、B、E、F段探测区域位于山脉西南侧即红框区域内,C段探测区域位于山脉东北侧即蓝框区域内,D段探测往返于红、蓝框之间,红色箭头为机场位置和飞行方向(b)。

Fig. 4 The flight altitude of the aircraft (a), the flight path of the aircraft and the terrain of the Qilian Mountains (b)

飞机起飞后于8:33爬升至8240 m高度,平飞至山脉西南侧后于9:01开始做盘旋向下的垂直探测(A段),9:27下降到6600 m高度。9:30飞机开始盘旋上升垂直探测(B段),9:44到达7899 m高度,随后向东北方向平飞至山脉东北侧,9:53—10:18开展了盘旋向下的垂直探测(C段),高度范围7890~6256 m。在6260 m高度飞机飞回山脉西南侧,并在10:31—11:10期间往返穿越山脉上空进行了山脉两侧的爬升垂直探测(D段)至7885 m。11:25在7882 m高度飞回山脉西南侧,随后在11:25—11:52、11:52—12:00分别进行了山脉西南侧下降与爬升的垂直探测(E、F段),探测海拔高度范围均为6270~7900 m。之后飞机开始返航,在7900 m高度平飞至12:10后降低高度,于12:37降落完成探测试验。
此次飞机探测的区域主要是以层云为主的降水云,整个飞行过程除去起飞和降落阶段,共连续进行了6次垂直探测,其中4次在山脉西南侧(A、B、E、F段,图5a红色轨迹),1次在山脉东北侧(C段,图4a蓝色轨迹),1次在两侧穿插进行(D段);其中5次垂直探测过程都加入了不同高度的水平探测。通过对数据的筛选发现,A、D、E、F段观测到的云粒子很少,难以连续达到入云判定标准;B、C段先后在山脉西南、东北侧观测,前后间隔较短(6 min),且获取的数据相对较多。因此,本文将重点以B、C段探测结果进行分析。
图5 飞机在山脉西南侧8230 m高度探测数据(8:53—8:54)

Fig. 5 Data collected by the aircraft observation at 8230 m on the southwestern side of the mountain (8:53-8:54)

3 云微物理特征分析

文中主要利用飞机在祁连山中部主峰南北两侧获得的垂直探测数据,即图4a中B、C段探测过程来分析云系微物理特征,并对南北两侧云结构的差异进行对比。

3.1 山脉西南侧云微物理特征

飞机在山脉西南侧8230 m高度平飞探测(图5)时,环境温度在-12~-11.6 ℃之间,平均温度为-11.8 ℃。过冷水含量较低,不超过0.02 g·m-3,平均过冷水含量0.014 g·m-3,高过冷水含量区对应的粒子浓度也更高。云中粒子浓度较低且分布不均,CAS、CIP、PIP测得的粒子浓度依次减少,粒子尺度越大浓度越小。CAS测得的云滴浓度最高为24680.16 L-1,平均浓度为1306.31 L-1,粒子谱显示大多为10 μm以下的小云滴。CIP所测粒子谱宽可达1500 μm,主要呈单峰分布,谱峰在100 μm以下;部分区域在300~500 μm也存在谱峰,说明存在聚并增长过程;粒子数浓度最大为991.27 L-1,平均浓度为127.74 L-1,粒子平均直径396.0 μm。PIP探头测得的粒子谱均呈单峰分布,谱峰在1000 μm以下,2000 μm以上粒子谱大都不连续,粒子平均直径525.5 μm,但也存在6000 μm尺度的大粒子;粒子数浓度最大达224.15 L-1,平均浓度为30.0 L-1
9:27—9:30期间飞机在山脉南部上空海拔6600 m高度开始平飞探测,之后进行6600 m爬升至7899 m高度的B段垂直探测(9:30—9:47,图6),期间还分别在7600 m、7300 m、6900 m进行了平飞探测。垂直探测阶段温度范围-14~-4 ℃,始终在0 ℃层以上;入云观测主要位于7 km以下高度,7 km以上基本没有观测到云粒子。
图6 飞机在山脉西南侧B段垂直探测数据(9:30—9:47)

Fig. 6 Data collected during the vertical observation of the B section by the aircraft on the southwestern side of the mountain (9:30-9:47)

在9:27—9:30期间飞机在6600 m高度附近探测,环境温度范围在-5.1~-4.1 ℃,平均温度为-4.7 ℃。过冷水含量在0.046~0.063 g·m-3之间,平均值为0.055 g·m-3,相比8230 m高度过冷水更加丰富,约为8230 m云中平均过冷水含量的4倍。在该高度,云滴尺度较小,均在10 μm以下,浓度可达34802.81 L-1,比8230 m高度高1个量级。CIP与PIP探头测得的粒子尺度明显小于8230 m高度。CIP测得的粒子谱宽不超过500 μm,最大数浓度为81.39 L-1,平均浓度为10.18 L-1,这与8230 m探测结果相差不大,但该高度粒子集中在CIP探头的前3档,即以100 μm以下的粒子为主、粒子谱窄,粒子平均直径为180.7 μm。PIP探头测得的粒子谱宽也不超过1500 μm,最大数浓度为7.22 L-1,平均浓度为0.42 L-1,均比8230 m小2个数量级,粒子平均直径为390.2 μm。
随着高度增加,过冷水含量呈下降的趋势。6.5~7.0 km高度液态水含量最大为0.071 g·m-3,平均值为0.056 g·m-3;7.0~7.5 km高度液态水含量平均值为0.038 g·m-3;7.5 km高度以上平均值为0.027 g·m-3,约为6.5~7.0 km高度的一半。6.6~7.0 km高度CAS、CIP、PIP探头测得的粒子谱宽均较窄,CIP测得的最大粒子数浓度为53.21 L-1,平均值为2.48 L-1,以200 μm以下粒子为主,粒子平均直径为215.1 μm,粒子谱不连续;PIP粒子谱宽基本在1000 μm以下,粒子数浓度最大为2.86 L-1,平均浓度为0.09 L-1,平均直径为479.6 μm。在7 km以上,CIP与PIP基本未观测到粒子,CAS测得粒子均在2 μm以下,浓度很低、不超过102 L-1
飞机在山脉西南侧上空开展的水平和垂直探测主要在6~7 km,以及8230 m高度范围进行。从现有观测结果来看,西南侧上空6~7 km在0 ℃层以上,温度不低于-5 ℃;过冷水含量较高,且随高度变化不大;粒子谱宽较窄、尺度较小。8230 m高度温度在-12 ℃左右,过冷水含量仅为低层(6~7 km)的1/4,但粒子谱更宽、粒子尺度更大。

3.2 山脉东北侧云微物理特征

C段探测(9:53—10:21,图7)时间上紧随B段探测,且位于山脉东北侧上空,下面针对该时段探测结果分析山脉东北侧云系结构。
图7 飞机在山脉东北侧C段垂直探测数据(9:53—10:21)

Fig. 7 Data collected during the vertical observation of the C section by the aircraft on the northeastern side of the mountain (9:53-10:21)

在C段垂直探测过程,飞机首先由7890 m高度下降至6250 m,期间在7.7 km、7.2 km、6.9 km、6.6 km高度加入了水平探测。垂直探测的温度范围为-15~-1 ℃,低层接近0 ℃层附近。与在山脉西南侧进行的垂直探测类似,C段也不完全在云中进行,入云过程集中在7.5~7.9 km、7.2 km、6.9 km。液态水含量随高度增加也呈减少趋势。在6650 ~6765 m,温度范围为-4.5~-4 ℃,平均液态水含量为0.048 g·m-3,PIP探头测得的粒子数浓度最大为0.51 L-1,平均浓度为0.18 L-1,粒子平均直径为642.4 μm,CAS、CIP测得的粒子浓度、尺度都很小。6900 m高度平飞平均温度为-5.7 ℃,平均液态水含量为0.039 g·m-3,CIP探头平均粒子直径与浓度分别为345.1 μm、4.2 L-1,最大浓度为64.5 L-1。PIP探头平均粒子直径与浓度分别为579.6 μm、0.61 L-1,最大浓度为7.37 L-1。在7230 m高度的平飞探测平均温度为-8.82 ℃,探测时长为220 s。液态水含量在0.015~0.032 g·m-3之间,平均值为0.025 g·m-3。CIP探头测得的最大粒子数浓度为203.10 L-1,平均浓度为20.24 L-1,是7.5~7.9 km平均浓度的10倍,粒子平均直径为344.7 μm。PIP探头测得的粒子数浓度最大为10.03 L-1,平均浓度为1.10 L-1,粒子平均直径为648.7 μm。
在整个垂直探测过程中,7.5~7.9 km高度测得的粒子数最大,该高度温度范围为-15.5~-12 ℃,液态水含量最大为0.024 g·m-3,平均值为0.016 g·m-3。CIP探头测得的最大粒子数浓度为120.56 L-1,平均浓度为4.39 L-1,粒子平均直径为416.1 μm。PIP探头测得的粒子数浓度最大为16.44 L-1,平均浓度为0.82 L-1,粒子平均直径为477.2 μm,与CIP相差不大。
在-5~-4 ℃层,山脉两侧过冷水均在0.05 g·m-3左右,东北侧粒子数明显小于西南侧,PIP探头的最大与平均粒子浓度均比西南侧小一个量级。与山脉西南侧-12 ℃高度探测结果相比,东北侧粒子平均直径更小,数浓度也更小,CIP和PIP粒子平均浓度比西南侧小一个量级,但CIP测得的最大粒子浓度与东北侧相差不大,西南侧两探头测得的粒子谱更宽,但两侧平均过冷水含量相差不大,均在0.015 g·m-3左右。

3.3 山脉两侧云微物理特征差异

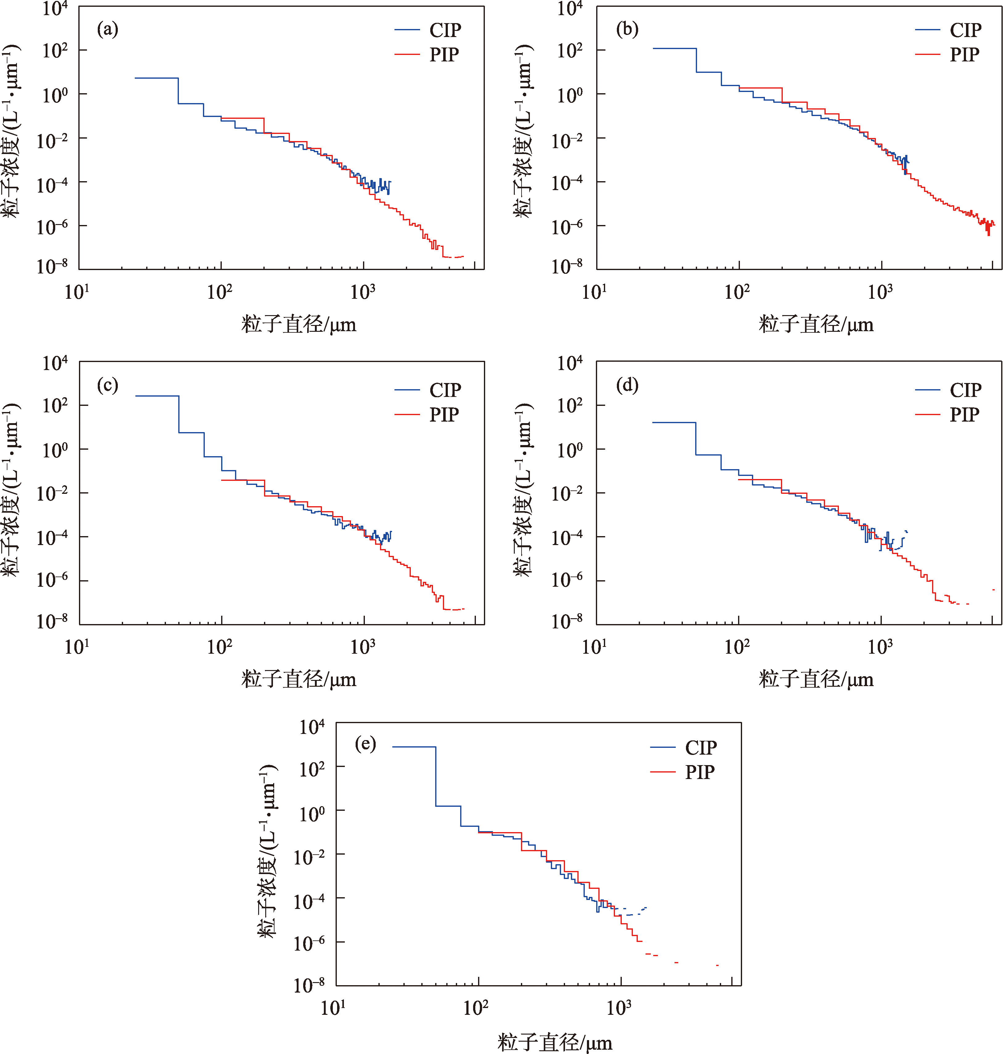
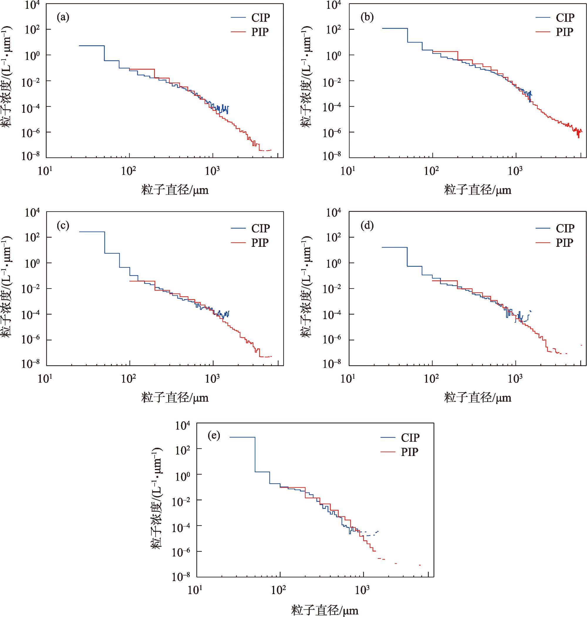
在山脉南北两侧,不同温度层内粒子均呈单峰分布(图8),谱峰位于小粒子端,PIP粒子谱在-15~-12 ℃层相比-6~-3 ℃层更宽,即高层毫米尺度的大粒子更多。南北两侧各温度层液态水含量(表2)相差不大,均随温度升高而增加;各高度CIP、PIP平均粒子直径都较大,均为几百微米;在-15~-12 ℃层,75 μm以上粒子浓度(表3)高于-6~-3 ℃层,在南坡尤为明显,浓度比低层高2个量级。
图8 山脉东北侧(a、c、d)与西南侧(b、e)在-15~-12 ℃层(a、b)、-9~-6 ℃层(c)、-6~-3 ℃层(d、e)平均粒子谱分布

Fig. 8 Mean particle spectrums on the northeastern (a, c, d) and southwestern (b, e) sides of the mountains at -15~-12 ℃ (a, b), -9 ~-6 ℃ (c) and -6~-3 ℃ (d, e) layer

表2 山脉两侧不同温度层平均液态水含量与粒子平均直径

Tab. 2 Mean liquid water content and mean particle diameters at different temperature layers on the northeastern and southwestern sides of the mountains

LWC/(g·m-3) D_CIP/μm D_PIP/μm
东北 西南 东北 西南 东北 西南
-15~-12 ℃ 0.015 0.014 418.35 396.04 478.85 525.54
-9~-6 ℃ 0.028 - 386.33 - 721.21 -
-6~-3 ℃ 0.043 0.056 363.37 187.46 598.08 418.18
表3 山脉两侧不同温度层粒子平均浓度

Tab. 3 Mean particle concentrations at different temperature layers on the northeastern and southwestern sides of the mountains

N_CAS/L-1 N_CIP/L-1 N_PIP/L-1
东北 西南 东北 西南 东北 西南
-15~-12 ℃ 1094.66 1306.31 5.36 127.74 1.00 30.00
-9~-6 ℃ 6567.96 - 10.83 - 0.60 -
-6~-3 ℃ 3100.97 25828.10 2.97 6.19 0.44 0.25
在-15~-12 ℃的高层,南北两侧过冷水含量、小云粒子(1~50 μm)浓度、粒子平均尺度相差不大,但南坡大粒子(75 μm以上)浓度更高。CIP粒子浓度为127.7 L-1,比东北侧(5.3 L-1)高2个量级;PIP浓度为30.0 L-1,比东北侧(1.0 L-1)高1个量级。从粒子图像(图9)可以看到,南北两侧高层均分布有针柱状、板状和枝状冰粒子,凇附过程非常明显,产生的密度较大的冰粒子尺度可达毫米量级,山脉东北侧分布有更多的板状冰、雪晶。山脉西南侧缺少-9~-6 ℃层的观测;在山脉东北侧,该温度层CIP粒子浓度最大(10.8 L-1),是-15~-12 ℃与-6~-3 ℃层的2~3倍,PIP粒子浓度为0.6 L-1,随高度降低而减小;CIP与PIP粒子平均尺度与上下层差别不大。除分布有板状与枝状冰、雪晶粒子外,聚合与凇附过程共同作用产生了大尺度冰粒子。云滴浓度也更高(6567.9 L-1),约为-6~-3 ℃层的2倍、-15~-12 ℃层的6倍。
图9 CIP与PIP在山脉东北侧与西南侧不同温度层获取的典型粒子图像

Fig. 9 Typical particle images obtained by CIP and PIP at different temperature layers on the northeastern and southwestern sides of the mountains

在-6~-3 ℃层,液态水含量最高,凇附增长过程明显、南北两侧均分布有大量霰粒子。在东北侧,以霰粒子和聚合状冰粒子为主。在西南侧,粒子过冷液滴和霰粒子为主,粒子尺度明显小于-15~-12 ℃的高层,聚合作用不明显,因此,大粒子少于东北侧、粒子谱更窄(图8d图8e)。此外,粒子谱(图8e)和CAS浓度也可以看到,西南侧小云粒子平均浓度更高,达25828.1 L-1,比东北侧(3100.9 L-1)高出1个量级,也比西南侧-15~-12 ℃层高1个量级,这是低层携带水汽的东南气流爬升凝结造成的。更多的小粒子和更少的大粒子使西南侧粒子平均尺度小于东北侧,CIP粒子尺度为187.4 μm,约为东北侧的1/2,PIP粒子尺度为418.2 μm,为东北侧的2/3。

4 结论

2022年8月27日,青海省人工影响天气办公室的空中国王350ER飞机针对祁连山地区一次降水过程开展了飞行探测,探测主要位于祁连山中部,以垂直探测为主,穿插了不同高度的水平探测。本文针对在山脉西南侧和东北侧的2次垂直探测结果进行了重点分析,对比了两侧云微物理特征与云结构的差异,得到如下主要结论:
(1)此次祁连山中部降水云系不同高度层的云微物理特征有明显差异。随海拔高度升高过冷水含量减少,在-6~-3 ℃层,过冷水含量在0.05 g·m-3左右,在-15~-12 ℃的高层,过冷水含量仅为0.015 g·m-3,不到低层的1/3。云中粒子呈浓度低、尺度大的分布特征,平均直径达几百微米,凇附过程对各高度层粒子增长起重要作用。山脉两侧的观测结果均显示,-6~-3 ℃层粒子平均直径小于其上层粒子,这可能是大粒子下落过程中蒸发、破碎造成的。
(2)山脉西南侧粒子浓度更高。低层偏南气流携带水汽遇地形抬升凝结,在-6~-3 ℃层山脉西南侧小粒子浓度比东北侧高一个量级,过冷水含量也更高。西南侧粒子以过冷液滴和霰粒子为主,聚合作用不明显、大粒子少、粒子谱窄;东北侧以霰粒子和聚合状冰粒子为主。在-15~-12 ℃的高层,山脉西南侧降水云系75 μm以上粒子浓度比东北侧高1~2个量级,云中粒子在凇附和聚合过程共同作用,谱宽可达6 mm以上。
通过对飞机探测数据的分析,本文总结了此次祁连山中部降水过程的云结构特征,但飞机入云观测较少,部分结论可能需要进一步的观测验证其代表性,尤其是高低层和山脉两侧云结构特征的差异。此外,此次飞机垂直探测均在0 ℃层之上,对0 ℃层及其以下的液相过程有待后续研究。
[1]
刘晓迪, 宋孝玉, 覃琳, 等. 祁连山北麓牧区植被生长季不同等级降水时空变化特征[J]. 水资源与水工程学报, 2020, 31(4): 31-39.

[Liu Xiaodi, Song Xiaoyu, Qin Lin, et al. Spatio-temporal variations of different grade precipitation in the pastoral area on the northern slope of Qilian Mountains during vegetation growing season[J]. Journal of Water Resources and Water Engineering, 2020, 31(4): 31-39. ]

[2]
张百娟, 李宗省, 王昱, 等. 祁连山北坡中段降水稳定同位素特征及水汽来源分析[J]. 环境科学, 2019, 40(12): 5272-5285.

[Zhang Baijuan, Li Zongxing, Wang Yu, et al. Characteristics of stable isotopes and analysis of water vapor sources of precipitation at the northern slope of the Qilian Mountains[J]. Environmental Science, 2019, 40(12): 5272-5285. ]

[3]
陈乾, 陈添宇, 肖宏斌. 祁连山区夏季降水过程天气分析[J]. 气象科技, 2010, 38(1): 26-31.

[Chen Qian, Chen Tianyu, Xiao Hongbin. Synoptic analysis of summer precipitation over Qilian Mountains[J]. Meteorological Science and Technology, 2010, 38(1): 26-31. ]

[4]
付双喜, 张鸿发, 楚荣忠. 河西走廊中部一次强降水过程的多普勒雷达资料分析[J]. 干旱区研究, 2009, 26(5): 656-663.

[Fu Shuangxi, Zhang Hongfa, Chu Rongzhong. Aanalzing on a heavy precipitation with Doppler radar data in the middle of Hexi Corridor[J]. Arid Zone Research, 2009, 26(5): 656-663. ]

[5]
付双喜, 张洪芬, 杨丽杰, 等. 地形影响下祁连山北麓不同类型降水特征对比分析[J]. 干旱区研究, 2021, 38(5): 1226-1234.

DOI

[Fu Shuangxi, Zhang Hongfen, Yang Lijie, et al. Comparative analysis of radar characteristics of different types of precipitation on the northern foothills of Qilian Mountain by the influence of topography[J]. Arid Zone Research, 2021, 38(5): 1226-1234. ]

DOI

[6]
赵宇, 朱皓清, 蓝欣, 等. 基于CloudSat资料的北上江淮气旋暴雪云系结构特征[J]. 地球物理学报, 2018, 61(12): 4789-4804.

DOI

[Zhao Yu, Zhu Haoqing, Lan Xin, et al. Structure of the snowstorm cloud associated with northward Jianghuai cyclone based on CloudSat satellite data[J]. Chinese Journal of Geophysics, 2018, 61(12): 4789-4804. ]

[7]
黄兴友, 陆琳, 洪滔, 等. 利用毫米波云雷达数据反演层云微物理参数和云内湍流耗散率[J]. 大气科学学报, 2020, 43(5): 908-916.

[Huang Xingyou, Lu Lin, Hong Tao, et al. A case study on the retrieval of microphysical parameter retrieval and in-loud stratus turbulent dissipation rate by millimeter-wave cloud radar measuremen[J]. Transactions of Atmospheric Sciences, 2020, 43(5): 908-916. ]

[8]
廖菲, 洪延超, 郑国光. 地形对降水的影响研究概述[J]. 气象科技, 2007, 35(3): 309-316.

[Liao Fei, Hong Yanchao, Zheng Guoguang. Overview of the research on the influence of topography on precipitation[J]. Meteorological Science and Technology, 2007, 35(3): 309-316. ]

[9]
Pruppacher H R, Klett J D. Microstructure of Atmospheric Clouds and Precipitation[M]. Dordrecht, Springer Nether-lands: Microphysics of Clouds and Precipitation, 2010.

[10]
Bailey M P, Hallett J. A comprehensive habit diagram for atmospheric ice crystals: Confirmation from the laboratory, AIRS II, and other field studies[J]. Journal of the Atmospheric Sciences, 2009, 66(9): 2888-2899.

[11]
Miles N L, Verlinde J, Clothiaux E E. Cloud droplet size distributions in low-level stratiform clouds[J]. Journal of the Atmospheric Sciences, 2000, 57(2): 295-311.

[12]
李岩瑛, 张强, 徐霞, 等. 祁连山及周边地区降水与地形的关系[J]. 冰川冻土, 2010, 32(1): 52-61.

[Li Yanying, Zhang Qiang, Xu Xia, et al. Relationship between precipitation and terrain over the Qilian Mountains and their ambient areas[J]. Journal of Glaciology and Geocryology, 2010, 30(1): 52-61.]

[13]
孙美平, 张海瑜, 巩宁刚, 等. 基于TRMM降水订正数据的祁连山地区最大降水高度带研究[J]. 自然资源学报, 2019, 34(3): 646-657.

DOI

[Sun Meiping, Zhang Haiyu, Gong Ninggang, et al. Study on maximum precipitation height zone in Qilian Mountains area based on TRMM precipitation data[J]. Journal of Natural Resources, 2019, 34(3): 646-657. ]

DOI

[14]
Li L, Li J, Chen H, et al. Diurnal variations of summer precipitation over the Qilian Mountains in Northwest China[J]. Journal of Meteorological Research, 2019, 33(1): 21-33. ]

[15]
杨洁帆, 胡向峰, 雷恒池, 等. 太行山东麓层状云微物理特征的飞机观测研究[J]. 大气科学, 2021, 45(1): 88-106.

[Yang Jiefan, Hu Xiangfeng, Lei Hengchi, et al. Airborne observations of microphysical characteristics of stratiform cloud over eastern side of Taihang Mountains[J]. Atmospheric Sciences, 2021, 45(1): 88-106. ]

[16]
刘春文, 郭学良, 段玮, 等. 云南省积层混合云微物理特征飞机观测[J]. 应用气象学报, 2022, 33(2): 142-154.

[Liu Chunwen, Guo Xueliang, Duan Wei, et al. Observation and analysis of microphysical characteristics of stratiform clouds with embedded convections in Yunnan[J]. Journal of Applied Meteorological Science, 2022, 33(2): 142-154. ]

[17]
黄兴友, 芦荀, 黄勇, 等. 层状云微物理参数反演及其辐射效应的个例研究[J]. 大气科学学报, 2019, 42(5): 769-777.

[Huang Xingyou, Lu Xun, Huang Yong, et al. A case study on the microphysical parameter retrieval and radiative effects of stratus clouds[J]. Transactions of Atmospheric Sciences, 2019, 42(5) :769-777. ]

[18]
Kenneth Sassen. Deep orograohic cloud structure and composition derived from comprehensive remote sensing measurements[J]. Journal of Climate and Applied Meteorology, 1984, 2(3): 568-583.

[19]
洪钟祥, 黄美元. 南岳云滴谱第二极大及其他特征[C]// 我国云雾降水微物理特征的研究. 北京: 科学出版社, 1965: 18-29.

[Hong Zhongxiang, Huang Meiyuan. The second maximum and other features of clouds drop spectrum in Nanyue[C]// Study of Cloud Recipitation Microphysical Characteristics in China. Beijing: Science Press, 1965: 18-29. ]

[20]
Hobbs P V. Twenty years of airborne resear chat the university of Washington[J]. Bulletin of the American Meteorological Society, 1991, 72(11): 1707-1716.

[21]
Lu C, Niu S, Liu Y, et al. Empirical relationship between entrainment rate and microphysics in cumulus clouds[J]. Geophysical Research Letters, 2013, 40(10): 2333-2338.

Outlines

/