Plant Ecology

Effects of meteorological factors on the litter decomposition of the fungal endophyte Stipa purpurea symbiont in alpine grassland

  • GUO Qiang , 1 ,
  • WANG Yuqin 2 ,
  • SONG Meiling , 2
Expand
  • 1. Xinghai County Meteorological Bureau, Xinghai 813300, Qinghai, China
  • 2. Academy of Animal and Veterinary Science of Qinghai University, Xining 810016, Qinghai, China

Received date: 2025-03-27

  Revised date: 2025-04-15

  Online published: 2025-08-13

Abstract

Litter decomposition has an important role in the carbon and nutrient cycling of terrestrial ecosystems. Climatic conditions are the main factors involved in litter decomposition. Currently, few studies have examined litter decomposition in alpine grassland ecosystems. To determine the effects of meteorological factors on the litter decomposition and nutrient release processes under a climate change background, the Stipa purpurea endophytic fungal symbiont was used along with the litter decomposition bag method to analyze the decomposition characteristics with endophytic fungi (E+) and without endophytic fungi (E-). The effect of meteorological factors on the decomposition rate of Stipa purpurea was analyzed. The results indicated that the decomposition rate of E+ was higher compared with that of E-, whereas the decomposition cycle was shorter. With the extension of time, the total nitrogen content of Stipa purpurea showed an increasing trend, lignin content gradually changed from significantly higher in E+ to no significant difference between the two, and the cellulose content gradually changed from significantly lower in E+ compared with E- (P<0.05). Regardless of endophytic fungi, the litter weight and mass loss rate of Stipa purpurea were correlated with the mean monthly temperature and the mean ground temperature (P<0.05). Precipitation was positively correlated with the litter decomposition rate of Stipa purpurea, and the total nitrogen content of the litter was positively correlated with temperature and precipitation (P<0.05). The lignin and cellulose content were negatively correlated with temperature and precipitation. The duration of sunshine had a positive effect on the decomposition of litter, and the lignin, cellulose, and litter weight content were strongly correlated with sunshine duration. Overall, endophytic fungi accelerate the decomposition of Stipa purpurea litter. For E+ and E-, the effect of meteorological factors on the decomposition of Stipa purpurea litter was consistent.

Cite this article

GUO Qiang , WANG Yuqin , SONG Meiling . Effects of meteorological factors on the litter decomposition of the fungal endophyte Stipa purpurea symbiont in alpine grassland[J]. Arid Zone Research, 2025 , 42(7) : 1269 -1278 . DOI: 10.13866/j.azr.2025.07.10

凋落物是草地生态系统的重要组成部分,它通过物质循环、能量流动以及信息传递等生态过程,连接着草地生态系统的生产者、分解者和消费者,还可以通过形成缓冲界面来调节地表微环境[1]。凋落物分解是有机物质降解的核心阶段,是生态系统中矿质养分周转和循环的关键过程,该过程通过释放氮(N)、磷(P)等营养元素,提高土壤生态系统营养物质的输入,增加植物的可吸收养分,进而促进生产力的提高[2-3]。凋落物的分解速率的快慢是内在因素[4](包括凋落物N、P、木质素以及纤维素等含量)和外在因素[3](包括参与分解的土壤微生物和土壤动物以及气候因素)共同影响的结果。在全球和区域大尺度上,凋落物的分解主要受气候因素如温度和降水影响[5],在较小的空间尺度或没有气候变化的情况下,凋落物的化学组成和土壤生物在凋落物周转和养分释放方面起决定性作用[6-7]
近年来,在全球气候变暖和降水格局改变的大背景下,随着学者们关于气候因子对凋落物影响研究的不断深入,发现凋落物分解不仅依赖于植物本身的生物学特性,还与当地的气候条件密切相关[8],如不同海拔对植物凋落物的影响可能是由温度的变化引起的,凋落物量呈季节性的变化可能与降水状况有关,以及凋落物分解速率与紫外线辐射量呈正相关关系等[9-10]。同时,凋落物各组分对气象因子的敏感性存在异质性,导致气象因子对凋落物各组分的影响程度也具有差异性[11]。目前,关于凋落物分解的研究多聚焦森林生态系统,而高寒草地生态系统的高海拔、强辐射以及干旱的特殊生态环境,气候条件在凋落物分解和养分循环过程中可能扮演重要的角色,因此,解析气象因子对高寒草地植物凋落物分解的影响是很有必要的,这将有助于更好地理解未来气候变化对高寒草地植物凋落物变化特征的影响。
紫花针茅(Stipa purpurea)系寒旱生植物,是青藏高原高寒草原中分布面积最大、最具代表性的群落类型,在防风固沙、水土保持等维护自然环境稳定性等方面起着重要作用,同时还为草地畜牧业的发展提供了不可缺少的物质基础[12]。近年来,针对和涉及到紫花针茅的研究主要集中在群落结构[13]、放牧响应[14],以及土壤养分和微生物[15-16]等方面,而有关气象因子对紫花针茅凋落物分解的影响及其机制的研究鲜见报道。值得注意的是,紫花针茅具有显著的内生真菌共生特性[17],内生真菌能通过改变寄主植物的代谢来影响凋落物分解,而气候因素对凋落物分解也起一定的调控作用[18]。因此,为了探讨气象因子与内生真菌在紫花针茅凋落物分解过程中发挥的作用以及试图找到影响凋落物分解的关键气象因子,本研究以紫花针茅内生真菌共生体为研究对象,分析紫花针茅内生真菌共生体凋落物分解特征及化学组分的动态变化,探究气象因子对紫花针茅内生真菌共生体凋落物分解的影响,为了解气象因子对高寒草地生态系统物质循环的影响提供理论依据。

1 材料与方法

1.1 凋落物采集

按照李春杰等[19]的方法对采自野外的紫花针茅花序进行内生真菌的检测工作,采集带菌紫花针茅种子,采用高温高湿法对其进行去除内生真菌的处理,获得紫花针茅不带内生真菌(E-)种子。将处理好的带内生真菌(E+)、不带内生真菌(E-)种子分别种植于盛有灭菌土的花盆内,置于温室中让其自然生长,种植E+和E-的花盆间隔3 m放置,避免E-再次感染内生真菌。待植株生长后期,收集植株地上枯黄组织,自然风干,作为凋落物备用。

1.2 试验设计

试验点设在青海省贵南县(35°34′11″N,100°46′51″E),属于典型高寒草甸地区。将紫花针茅的E+、E-植株枯黄组织全部剪成5 cm的小段,分别称取5.00 g凋落物装入1 mm孔径的10 cm× 10 cm大小的尼龙网袋中,于1月中旬随机放置到试验点,放置前需清除地上植物组织,确保网袋可以均匀地平铺在地表与土壤直接接触,并用钉子固定,每个网袋间距大于10 cm。在放置网袋后的第0、3、6、8、10、12个月随机采集凋落物网袋,每次每个处理采集4个网袋,自然风干后测定凋落物重量以及全N、木质素和纤维素等的含量[12]

1.3 指标测定和计算方法

测定所有采集样品的全氮、木质素和纤维素含量。全N含量运用全自动凯氏定氮仪进行测定[20],木质素和纤维素的含量则依据酸性洗涤纤维法进行测定[21]
气象数据来自青海省海南藏族自治州贵南县国家基本气象站(35°35′12″N,100°44′24″E),海拔3107 m。
凋落物质量损失率( M c[22]计算公式如下:
M c = W 0 - W t W 0 × 100 %
采用修正的Olson指数模型计算凋落物的分解速率(k[23]、凋落物分解50%时间( T 50 %)和95%时间( T 95 %[24]
W t / W 0 = a e - k t
T 50 % = - l n   1 - 0.50 / k
T 95 % = - l n   1 - 0.95 / k
式中: W t为时间t取样的重量(g); W 0为初始时间样品的重量(5 g);a为修正系数;k为分解速率(g·g-1·a-1);t为分解时间(a)。

1.4 数据分析

通过Microsoft Excel进行试验数据整理及绘图,同时,运用 SPSS 27. 0软件采用单因素方差分析进行凋落物各指标随时间的变化差异情况,采用独立样本T检验对E+与E-之间凋落物重量、全N、木质素和纤维素含量的差异显著性进行分析,采用Pearson相关性分析进行凋落物分解特征与气象因子之间的相关性分析,显著性区间定义为95%水平。另外,用冗余分析(Redundancy Analysis,RDA)进一步分析环境因子变量组(气象因子)与紫花针茅凋落物分解特征之间的关系。

2 结果与分析

2.1 紫花针茅凋落物分解特征变化

紫花针茅凋落物的重量和分解率如图1所示。随着时间的延长,无论是带内生真菌(E+)还是不带内生真菌(E-)的紫花针茅凋落物,其重量都大幅度下降。到了8月之后,凋落物重量下降趋势开始变得平缓(图1)。比较来说,E+紫花针茅的凋落物重量下降比E-的快,且6个月之后,E+的凋落物重量显著低于E-(P<0.05)。凋落物的质量损失率随着分解时间的延长而增大,在8月之前,凋落物分解率显著升高(P<0.05),8月后分解率比较缓慢,E+的凋落物质量损失率显著高于E-(P<0.05)。
图1 紫花针茅凋落物重量、质量损失率随时间的变化

注:小写字母代表不同月份间差异显著(P<0.05);*代表E+和E-之间差异显著(P<0.05)。下同。

Fig. 1 Change of litter weight and decomposition rate of Stipa purpurea with time

通过拟合指数回归方程可知(表1),回归方程的R2均大于0.95,拟合效果较好。E+紫花针茅凋落物的分解速率高于E-,分解速率分别为0.869和0.66,并估算出2种处理的半分解时间分别为0.80 a和1.05 a,分解95%的时间分别为3.45 a和4.54 a。
表1 E+和E-紫花针茅凋落物Olson指数模型和分解速率

Tab. 1 Olson exponential model and decomposition rate of E+ and E- Stipa purpurea litters

凋落物
种类
回归方程 相关系
数(R2
分解速
率(k
T 50 % / a T 95 % / a
E+ y=1.1024e-0.869t 0.970 0.869 0.80 3.45
E- y=1.09698e-0.66t 0.963 0.66 1.05 4.54

注: T 50 %为凋落物分解50%所需要的时间; T 95 %为凋落物分解95%所需要的时间。

2.2 紫花针茅凋落物组成成分分析

E+和E-紫花针茅的凋落物全氮含量随着时间的延长逐渐增加(图2a),其中6月、10月和12月的E+植株的全氮含量高于E-,8月的全氮含量是E-显著高于E+(P<0.05)。E+和E-紫花针茅凋落物的木质素含量整体呈现下降趋势(图2b),刚开始E+的木质素含量显著高于E-,3个月时E+和E-的木质素含量基本一致,6个月后E-的木质素含量低于E+,8个月后木质素含量变化不明显,趋于稳定。随着时间的延长,紫花针茅凋落物的木质素含量均显著降低(P<0.05)。紫花针茅凋落物的纤维素含量呈先升高后降低的趋势(图2c),3个月之前E-紫花针茅凋落物的纤维素含量显著高于E+(P<0.05),且均有一定的升高趋势,但差异不显著,随着时间的延长,纤维素含量均显著降低,到8个月后,纤维素含量下降趋于平缓,总体上,E-紫花针茅凋落物的纤维素含量高于E+。
图2 紫花针茅凋落物全氮、木质素和纤维素含量随时间的变化特征

Fig. 2 Changes of total nitrogen, lignin and cellulose contents of Stipa purpurea with time

2.3 气象因子变化情况

图3所示,月平均气温和降水量的变化在一年内均呈现峰型分布,其中月平均气温在1—8月逐渐升高,平均气温最高值出现在8月,之后开始逐步下降,气温下降至-10 ℃左右。降水量在5月达到一年中的最高值,5—8月的降水量均高于其余月份,8月后降水量开始下降。平均地面温度的变化趋势与月平均气温相似,同样在8月达到一年中的最高值,然后开始下降,最终也降至-10 ℃左右。日照时数在一年内没有明显的规律性,4月日照时数达到一年中的最高值,5—10月的日照时数相对较短,10月之后日照时数逐渐增加。
图3 月平均气温、降水量、月平均地面温度以及日照时数的变化

Fig. 3 Changes of monthly mean temperature, precipitation, monthly mean ground temperature and sunshine hours

2.4 凋落物分解特征与气象因子的关系分析

表2可知,对于E+紫花针茅凋落物来说,其凋落物重量与月平均气温和地温呈极显著负相关(P<0.01),凋落物质量损失率与月平均气温和地温呈极显著正相关(P<0.01),两者均与降水量和日照时数相关性不显著;全氮含量与月平均气温、降水量以及月平均地温呈显著正相关(P<0.05),木质素含量和纤维素含量与月平均气温和地温均呈极显著负相关(P<0.01),与日照时数相关不显著。E-紫花针茅凋落物分解特征与气象因子的相关性与E+的略有不同,其中全氮含量与月平均气温呈极显著正相关,木质素含量和纤维素含量与月平均气温呈显著负相关(P<0.05),以及凋落物重量和质量损失率与降水量呈显著相关关系(P<0.05),分解特征均与日照时数相关关系不显著。
表2 紫花针茅凋落物分解特征与气象因子的相关性分析

Tab. 2 Correlation analysis of litter decomposition characteristics and meteorological factors of Stipa purpurea

凋落物种类 指标 月平均
气温
降水量 月平均地
面温度
日照时数
E+ 凋落物重量 -0.990** -0.802 -0.993** 0.290
质量损失率 0.989** 0.805 0.992** -0.287
全氮 0.872* 0.915* 0.856* -0.502
木质素 -0.938** -0.659 -0.955** 0.169
纤维素 -0.924** -0.703 -0.935** 0.065
E- 凋落物重量 -0.995** -0.831* -0.992** 0.369
质量损失率 0.993** 0.835* 0.989** -0.367
全氮 0.931** 0.885* 0.917* -0.398
木质素 -0.894* -0.640 -0.910* 0.033
纤维素 -0.913* -0.710 -0.921** 0.063

注:*表示P<0.05;**表示P<0.01。

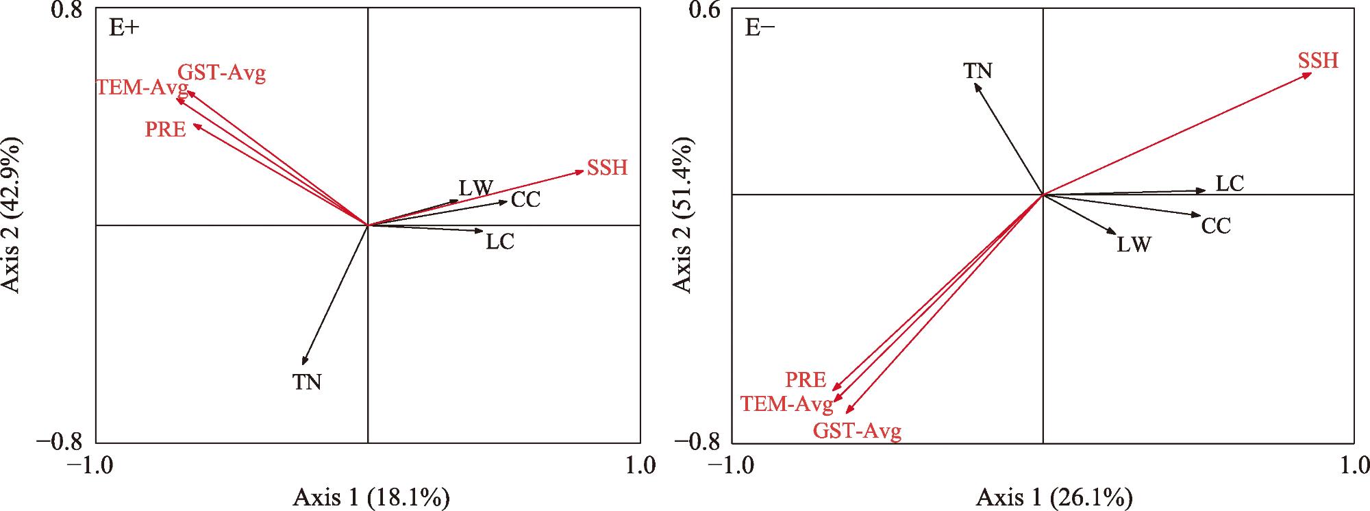
通过RDA进一步分析气象因子与紫花针茅凋落物分解特征之间的相互关系可知(图4),E+紫花针茅凋落物的分解特征和气象因子在RDA第一轴和第二轴解释量分别为18.1%和42.9%,累积解释量为61%,能准确地反映植物凋落物分解特征与环境气象因子的关系。E+紫花针茅凋落物分解特征中纤维素含量、木质素含量、凋落物重量与日照时数呈正相关,全氮含量与气象因子呈负相关,且日照时数与排序轴一的相关性较高,气象因子与E+紫花针茅凋落物分解的相关性明显。E-紫花针茅凋落物的分解特征和气象因子在RDA第一轴和第二轴解释量分别为26.1%和51.4%,累积解释量为77.5%,能准确地反映植物凋落物分解特征与环境气象因子的关系。E-紫花针茅凋落物分解特征中纤维素含量、木质素含量、凋落物重量与日照时数也呈正相关,全氮含量与月平均地面温度、月平均气温、降水量呈负相关,气象因子与E-紫花针茅凋落物分解的相关性也比较明显。
图4 气象因子与紫花针茅凋落物分解特征的RDA分析

注:TN表示全氮含量;LC表示木质素含量;CC表示纤维素含量;LW表示凋落物重量;SSH表示日照时数;PRE表示降水量;TEM-Avg表示月平均气温;GST-Avg表示月平均地面温度。

Fig. 4 RDA analysis of meteorological factors and litter decomposition characteristics of Stipa purpurea

3 讨论

3.1 紫花针茅内生真菌共生体凋落物分解速率及基质质量的动态分析

凋落物分解实质是矿质元素与养分含量的释放过程,影响凋落物分解的重要内在因素是凋落物基质质量,主要包括N、P等营养元素和木质素、纤维素等的含量[25]。微生物是凋落物分解过程中的关键驱动力,对凋落物分解速率起到重要的调控作用[26]。近年来,许多研究发现禾本科植物与内生真菌存在普遍的共生现象,而内生真菌在禾本科植物凋落过程中,与土壤中的腐生菌相互拮抗竞争,间接影响凋落物的分解速率[27,12]。本研究中,随着时间的推移,紫花针茅凋落物质量损失主要在前8个月,8月后分解速度趋于平缓,这与大多数研究结果相同,即在分解初期,凋落物分解速率较快,到了分解后期逐渐趋于平缓[28]。通过指数模型得到E+紫花针茅的分解速率比E-的快30%左右,分解周期大大缩短,这进一步说明内生真菌能加速紫花针茅凋落物的分解进程,这样更有利于养分的释放和归还,这与Bell-Dereske等[29]发现的内生真菌侵染可提高美国沙茅草(Ammaophila breviligulata)的凋落物分解速率的结果一致,即内生真菌能加速凋落物的分解,这可能是内生真菌能引起土壤微生物群落结构和数量的变化,进而影响凋落物的分解进程[30]。但与Lemons等[31]的研究内生真菌降低了禾草分解速率的结果相反,这可能与宿主植物的种类以及共生体的生长环境有关。
凋落物分解过程中植物养分含量的变化能直接反映养分元素的转化过程,同时也在一定程度上影响凋落物的分解速率[32]。凋落物在分解过程中养分迁移变化有三种模式:直接释放、淋溶-富集-释放和富集-释放[33]。凋落物N含量作为调控凋落物分解速度的重要质量因子,其决定了凋落物分解速率的快慢,含N量越高表示凋落物分解速率越快[34]。在本研究中,E+紫花针茅凋落物的全氮含量呈先减少后增加、再减少又增加的波动状态,这与“淋溶-富集-释放”的养分迁移过程相似,这说明E+紫花针茅凋落物可能发生了“淋溶-富集-释放”的现象。E-紫花针茅凋落物的全氮含量呈先减少后增加的过程,这可能是E-紫花针茅的分解速率较低,在试验过程中还没有监测到其养分释放的过程。同时,E+紫花针茅的全氮含量总体高于E-,这可能是E+紫花针茅植株在分解过程中由于内生真菌的存在,需要更多的养分来维持生存,而E-的N含量低也进一步解释了E-紫花针茅凋落物分解速率低的原因,即养分限制了微生物的活性,进而降低了凋落物的分解[30]。而在本研究中全N的整体趋势是N元素积累的过程,这原因可能是在紫花针茅凋落物分解过程中,微生物为了满足自身的分解需求,会从环境中汲取N元素进而转化为自身的生物量或胞外酶,从而导致N元素的富集[35]。木质素和纤维素是凋落物的主要成分,其降解速率关系到自然界碳素平衡的维持,是凋落物分解的限速步骤[36]。本研究中,凋落物的木质素含量呈显著降低趋势,同时E+紫花针茅凋落物的木质素含量降低较E-明显,8月后趋于稳定且基本一致,这说明在本研究中E+紫花针茅凋落物中的木质素在8月前相比E-的降解速率更快。有研究表明,凋落物木质素含量与分解速率呈负相关关系[37],这与本研究结果不同,这可能是由于凋落物木质素的初始量不同,进而影响了与分解速率的关系。随着分解时间的延长,紫花针茅凋落物的纤维素含量均逐渐降低,这说明纤维素随着凋落物的分解被逐渐降解,同时E+的纤维素含量较E-的低,这说明内生真菌加速了紫花针茅纤维素的降解。另外,有研究表明较高的N含量能增加纤维素酶的活性,从而促进纤维素的降解[38],本研究结果也进一步印证了这一结果。总体而言,内生真菌对紫花针茅凋落物的木质素含量、纤维素含量、全氮含量以及凋落物分解速率都有不同程度的加速影响,内生真菌在一定程度上对草地生态系统的养分循环和能量流动产生重要影响。

3.2 气象因子对紫花针茅内生真菌共生体凋落物分解的影响

凋落物的分解除了受凋落物质量和土壤生物群落的影响外,还受到外界环境的重要影响,其中气候条件(温度、湿度)被认为是凋落物分解最重要的影响因素[39]。在本研究中无论E+和E-,紫花针茅凋落物重量以及质量损失速率与月平均气温和月平均地面温度呈显著相关关系,而凋落物重量和质量损失率均反映分解速率的快慢,从研究中可以发现,月平均气温和月平均地面温度与紫花针茅凋落物的分解速率呈显著正相关,这与Kravchenko等[40]的研究结果一致,即凋落物的分解速率随着地面温度升高逐渐加快,这可能原因是温度可控制微生物的活动和代谢速度,进而调节凋落物的分解过程,通常情况下温度升高,微生物的活动加速,进而加快有机残留物在土壤中的循环速度[41]。降水是影响凋落物分解的另一因素,有研究表明高强度的降水能加速土壤表面凋落物的分解和水溶性物质的淋溶,导致凋落物质量快速流失,降水量越大,凋落物分解越快[42-43]。本研究结果显示,降水量与紫花针茅凋落物分解速率呈正相关,这与上述结果一致。也有研究发现,降水对凋落物分解速率没有明显影响[44],这可能是降水变化对凋落物分解的影响还取决于降水变化的幅度、土壤表面的湿度以及凋落物自身的特性等[45]。温度和降水影响微生物生物量和活性,而微生物活性的增加和降低影响凋落物养分浓度的变化[46]。在本研究中,无论E+和E-,紫花针茅凋落物全氮含量与温度和降水呈显著正相关,这也进一步说明温度和降水可通过影响微生物量和活性来改变紫花针茅凋落物分解过程中养分的变化过程,在微生物降解过程中,温度和降水影响了N的积累和释放。同时紫花针茅凋落物的木质素和纤维素含量与温度和降水呈负相关,其中与温度的相关性更显著。因此,从相关性分析得到月平均气温、降水和月平均地面温度是影响紫花针茅凋落物分解过程的关键气象因子。通过RDA进一步分析得到无论E+还是E-,日照时数对紫花针茅凋落物分解的影响较大,在分解过程中与日照时数相关性较强的是木质素、纤维素以及凋落物重量。有研究表明,在干旱半干旱生态系统中紫外线辐射是导致凋落物分解的重要驱动力[47],太阳辐射显著提高了凋落物分解速率[48],以及凋落物中的木质素可以被紫外线辐射优先降解[49]等,本研究的结论也进一步说明了日照时数是凋落物分解的另一重要因子。另外,由于高寒草地生态系统处于强辐射、干旱以及高海拔等环境条件下,微生物活性和数量相对较少,因此,无论是E+还是E-,气象因子对紫花针茅凋落物分解的影响基本一致,但从结果中可以看出,E+与气象因子的相关性较强,这也说明气象因子对内生真菌加速凋落物分解过程有一定的促进作用。另外,在本研究中进行的是气象因子整体对凋落物分解的影响,为了进一步厘清不同气象因子对凋落物分解的相对贡献和影响机制,下一步将继续开展模拟不同温度、光照和降水条件对凋落物分解的影响,进一步阐明气象因子对凋落物分解的影响及其作用机制,以全面了解气候变化如何影响凋落物分解,为明确全球气候变暖背景下凋落物分解对气候变化的响应机制提供科学依据。

4 结论

通过分析紫花针茅内生真菌共生体凋落物分解特征以及进行气象因子对紫花针茅内生真菌共生体凋落物分解的影响研究,得到如下主要结论:
(1) 内生真菌在增强宿主植物紫花针茅的凋落物分解速率,缩短其分解周期方面有积极作用,而且随着分解时间的延长,内生真菌不同程度地促进了紫花针茅凋落物中N元素、木质素和纤维素的降解。
(2) 气温、地面温度以及降水量是影响紫花针茅凋落物分解过程的关键气象因子,日照时数对紫花针茅凋落物分解过程也起到一定作用。无论是E+还是E-,气象因子对紫花针茅凋落物分解均产生明显影响,其中E+与气象因子的相关性更强。
[1]
王静, 赵萌莉, Willms W, 等. 内蒙古典型草原及不同功能群生产力对凋落物添加的响应[J]. 植物生态学报, 2010, 34(8): 907-914.

DOI

[Wang Jing, Zhao Mengli, Willms W, et al. Productivity responses of different functional groups to litter addition in typical grassland of Inner Mongolia[J]. Chinese Journal of Plant Ecology, 2010, 34(8): 907-914.]

DOI

[2]
王静, 张峰, 李治国, 等. 不同剂量凋落物添加对荒漠草原生物量的影响[J]. 中国草地学报, 2023, 45(6): 64-72.

[Wang Jing, Zhang Feng, Li Zhiguo, et al. Effect of different doses of litter addition on the biomass of desert steppe[J]. Chinese Journal of Grassland, 2023, 45(6): 64-72.]

[3]
曲浩, 赵学勇, 赵哈林, 等. 科尔沁沙地3种灌木凋落物分解速率及其与关键气象因子的关系[J]. 中国沙漠, 2010, 30(4): 844-849.

[Qu Hao, Zhao Xueyong, Zhao Halin, et al. Litter decomposition rates of three shrub species in Horqin Sandy Land and their relationship with key meteorological factors[J]. Journal of Desert Research, 2010, 30(4): 844-849.]

[4]
薛立, 邝立钢. 杉木凋落物分解速率的研究[J]. 四川林业科技, 1990, 11(1): 1-4.

[Xue Li, Kuang Ligang. Study on decomposition rate of Chinese fir litter[J]. Journal of Sichuan Forestry Science and Technology, 1990, 11(1): 1-4.]

[5]
Couteaux M M, Bottner P, Berg B. Litter decomposition climate and litter quality[J]. Trends in Ecology and Evolution, 1995, 10(2): 63-66.

[6]
Swift M J, Heal O W, Anderson J M. Decomposition in terrestrial ecosystems[J]. Studies in Ecology, 1979, 5(14): 2772-2774.

[7]
Lucía V, Amy T A. The importance of macro-and micro-nutrients over climate for leaf litter decomposition and nutrient release in Patagonian temperate forests[J]. Forest Ecology and Management, 2019, 441: 144-154.

[8]
李凯, 赵文东, 朱传晟, 等. 滨海防护林月凋落物量及其与气象因子的关系[J]. 森林与环境学报, 2021, 41(6): 570-575.

[Li Kai, Zhao Wendong, Zhu Chuansheng, et al. Monthly litter production of Acacia aulacocarpa and Pinus elliottii artificial forest and its relationship with meteorological factors[J]. Journal of Forest and Environment, 2021, 41(6): 570-575.]

[9]
Kitayamak , Aiba S. Ecosystem structure and productivity of tropical rain forests along altitudinal gradients with contrasting soil phosphorus pools on Mount Kinabalu, Borneo[J]. Journal of Ecology, 2002, 90(1): 37.

[10]
Liu G F, Wang L, Liang L, et al. Specific leaf area predicts dryland litter decomposition via two mechanisms[J]. Journal of Ecology, 2018, 106: 218-229.

[11]
邓秀秀, 王忠诚, 李程, 等. 浙江天童常绿阔叶林凋落物量季节动态及其与气象因子的关系[J]. 中南林业科技大学学报, 2017, 37(3): 73-78.

[Deng Xiuxiu, Wang Zhongcheng, Li Cheng, et al. Seasonal dynamics of the litter fall production of evergreen broadleaf forest and its relationships with meteorological factors at Tiantong of Zhejiang Province[J]. Journal of Central South University of Forestry & Technology, 2017, 37(3): 73-78.]

[12]
宋梅玲, 王玉琴, 王宏生, 等. 内生真菌对高寒草地紫花针茅凋落物分解的影响[J]. 草业学报, 2021, 30(9): 150-158.

DOI

[Song Meiling, Wang Yuqin, Wang Hongsheng, et al. Effect of Epichloë endophyte on the litter decomposition of Stipa purpurea in alpine grassland[J]. Acta Prataculturae Sinica, 2021, 30(9): 150-158.]

DOI

[13]
岳鹏鹏, 卢学峰, 叶润蓉, 等. 青海湖地区紫花针茅草原群落特征[J]. 草业学报, 2014, 23(4): 10-19.

DOI

[Yue Pengpeng, Lu Xuefeng, Ye Runrong, et al. Community characteristies of Stipa purpurea stepp in the Qinghai Lake region[J]. Acta Prataculturae Sinica, 2014, 23(4): 10-19.]

DOI

[14]
张晓艳, 胡玉昆, 李凯辉, 等. 围封条件下紫花针茅群落主要结构特征和地上生物量变化[J]. 干旱区资源与环境, 2009, 23(1): 197-200.

[Zhang Xiaoyan, Hu Yukun, Li Kaihui, et al. The changes of community structure and above ground biomass in Stipa purpurea steppe of enclosure[J]. Journal of Arid Land Resources and Environment, 2009, 23(1): 197-200.]

[15]
洪江涛, 吴建波, 王小丹. 放牧和围封对藏北高寒草原紫花针茅群落生物量分配及碳、氮、磷储量的影响[J]. 草业科学, 2015, 32(11): 1878-1886.

[Hong Jiangtao, Wu Jianbo, Wang Xiaodan. Effects of grazing and fencing on Stipa purpurea community biomass allocation and carbon, nitrogen and phosphorus pools on the northern Xizang Plateau alpine[J]. Pratacultural Science, 2015, 32(11): 1878-1886.]

[16]
付莉娇, 李雪琴, 范继辉, 等. 藏北高寒草原典型植物根际土壤细菌群落结构多样性及根系特征分析[J]. 草地学报, 2022, 30(5): 1131-1140.

DOI

[Fu Lijiao, Li Xueqin, Fan Jihui, et al. Analysis of rhizosphere soil bacterial community structure diversity and root characteristics of typical plants in alpine steppe of Northern Tibet[J]. Acta Agrestia Sinica, 2022, 30(5): 1131-1140.]

DOI

[17]
鲍根生. 甘肃马先蒿寄生对紫花针茅内生真菌共生体生长和光合特性的影响[D]. 兰州: 兰州大学, 2015.

[Bao Gensheng. Effects of the Hemiparasitic Plant Pedicularis kansuensis on Growth and Photosynthetic Properties of Stipa purpurea-Epichloë symbiosis[D]. Lanzhou: Lanzhou University, 2015.]

[18]
Gundel P E, Helander M, Garibaldi L A, et al. Role of foliar fungal endophytes in litter decomposition among species and population origins[J]. Fungal Ecology, 2016, 21: 50-56.

[19]
李春杰, 南志标, 刘勇, 等. 醉马草内生真菌检测方法的研究[J]. 中国食用菌, 2008, 27 (Suppl.): 16-19.

[Li Chunjie, Nan Zhibiao, Liu Yong, et al. Methodology of endophyte detection of drunken horse grass (Achnatherum inebrians)[J]. Edible Fungi of China, 2008, 27 (Suppl.): 16-19.]

[20]
黎冬容, 张世庆, 甘世端, 等. 全自动凯氏定氮仪测定土壤全氮含量[J]. 南方国土资源, 2015(8): 38-39.

[Li Dongrong, Zhang Shiqing, Gan Shirui, et al. Determination of total nitrogen content in soil by automatic Kjeldahl nitrogen analyzer[J]. Southern Land Resources, 2015(8): 38-39.]

[21]
何忠武. 酸性洗涤纤维和木质素测定的国际标准[J]. 饲料广角, 2011(6): 31-32.

[He Zhongwu. International standard for determination of acid detergent fibers and lignin[J]. Feed China, 2011(6): 31-32.]

[22]
李娜, 赵传燕, 郝虎, 等. 海拔和郁闭度对祁连山青海云杉林叶凋落物分解的影响[J]. 生态学报, 2021, 41(11): 4493-4502.

[Li Na, Zhao Chuanyan, Hao Hu, et al. Decomposition and its nutients dyamic of Qinghai spruce leaf litter with elevation gradient in Qilian Mountains[J]. Acta Ecologica Sinica, 2021, 41(11): 4493-4502.]

[23]
Olson J S. Energy storage and the balance of producers and decomposers in ecological systems[J]. Ecology, 1963, 44: 322-331.

[24]
王嘉年, 李向义, 李成道, 等. 自然光照和荫蔽条件下两种荒漠植物叶片凋落物分解特征研究[J]. 干旱区地理, 2023, 46(6): 949-957.

DOI

[Wang Jianian, Li Xiangyi, Li Chengdao, et al. Decomposition characteristics of two desert plant leaf under natural light and shade environment[J]. Arid Land Geography, 2023, 46(6): 949-957.]

DOI

[25]
张悦, 张艺凡, 马怡波, 等. 森林生态系统凋落物分解影响因素研究进展[J]. 环境生态学, 2023, 5(4): 45-56.

[Zhang Yue, Zhang Yifan, Ma Yibo, et al. Research progress on influencing factors of litter decomposition in forest ecosystem[J]. Environmental Ecology, 2023, 5(4): 45-56.]

[26]
Uroz S, Buee M, Deveau A, et al. Ecology of the forest microbiome: Highlights of temperate and boreal ecosystems[J]. Soil Biology and Biochemistry, 2016, 103: 471-488.

[27]
Saikkonen K, Mikola J, Helander M. Endophytic phyllosphere fungi and nutrient cycling in terrestrial ecosystems[J]. Current Science, 2015, 109(1): 121-126.

[28]
侯卓男, 李欣彤, 张新军, 等. 海拔和坡向对色季拉山高山杜鹃凋落物分解的影响[J]. 中国农业大学学报, 2024, 29(4): 264-273.

[Hou Zhuonan, Li Xintong, Zhang Xinjun, et al. Effects of elevation and slope orientation on litter decomposition of Rhododendron simsii in Mount Segrila[J]. Journal of China Agricultural University, 2024, 29(4): 264-273.]

[29]
Bell-Dereske L, Gao X D, Masiello C A, et al. Plant-fungal symbiosis affects litter decomposition during primary succession[J]. Oikos, 2017, 126(6): 801-811.

[30]
Andersson M, Kjøller A, Struwe S. Microbial enzyme activities in leaf litter, humus and mineral soil layers of European forests[J]. Soil Biology and Biochemistry, 2004, 36(10): 1527-1537.

[31]
Lemons A, Clay K, Rudgers J A. Connecting plant-microbial interactions above and belowground: A fungal endophyte affects decomposition[J]. Oecologia, 2005, 145(4): 595-604.

PMID

[32]
Jiang Y F, Yin X Q, Wang F B. The influence of litter mixing on decomposition and soil fauna assemblages in a Pinus koraiensis mixed broadleaved forest of the Changbai Mountains, China[J]. European Journal of Soil Biology, 2013, 55: 28-39.

[33]
宋学贵, 胡庭兴, 鲜骏仁, 等. 川西南常绿阔叶林凋落物分解及养分释放对模拟氮沉降的响应[J]. 应用生态学报, 2007, 18(10): 2167-2172.

[Song Xuegui, Hu Tingxing, Xian Junren, et al. Responses of litter decom position and nutrient release to simulated nitrogen deposition m an evergreen broad-leaved forest in southwestern Sichuan[J]. Chinese Journal of Applied Ecology, 2007, 18(10): 2167-2172.]

PMID

[34]
Xu D W, Liu J F, Marshall P, et al. Leaf litter decomposition dynamics in unmanaged Phyllostachys pubescens stands at high elevations in the Daiyun Mountain national nature reserve[J]. Journal of Mountain Science, 2017, 14(11): 2246-2256.

[35]
Frey S, Elliott E, Paustian K, et al. Fungal translocation as a mechanism for soil nitrogen inputs to surface residue decomposition in a no-tillage agroecosystem[J]. Soil Biology and Biochemistry, 2000, 32(5): 689-698.

[36]
彭少麟, 刘强. 森林凋落物动态及其对全球变暖的响应[J]. 生态学报, 2002, 22(9): 1534-1544.

[Peng Shaolin, Liu Qiang. The dynamics of forest litter and its responses to global warming[J]. Acta Ecologica Sinica, 2002, 22(9): 1534-1544.]

[37]
Liu G D, Sun J F, Tian K, et al. Long-term responses of leaf litter decomposition to temperature, liter quality and litter mixing in plateau wetlands[J]. Freshwater Biology, 2017, 62(1): 178-190.

[38]
周梦田, 刘莉, 付若仙, 等. 杉木与木荷凋落物分解对杉木人工林土壤碳氮含量和酶活性的影响[J]. 南京林业大学学报(自然科学版), 2024, 48(5): 131-138.

DOI

[Zhou Mengtian, Liu Li, Fu Ruoxian, et al. Effects of litter decomposition of Cunninghamia lanceolata and Schima superba on soil carbon contents, nitrogen contents and enzyme activities in Cunninghamia lanceolata plantations[J]. Journal of Nanjing Forestry University (Natural Sciences Edition), 2024, 48(5): 131-138.]

[39]
熊红福. 贵州省喀斯特地区凋落物分解对气候变暖的响应[J]. 现代农业科技, 2023(24): 118-121, 127.

[Xiong Hongfu. Litter decomposition and its responses to climate warming in Karst area of Guizhou Province[J]. Modern Agricultural Science and Technology, 2023(24): 118-121, 127.]

[40]
Kravchenko I K, Tikhonova E N, Ulanova R V, et al. Effect of temperature on litter decomposition, soil microbial community structure and biomass in a mixed-wood forest in European Russia[J]. Current Science, 2019, 116(5): 765-772.

DOI

[41]
代松家, 周晨霓, 段斐, 等. 组分和生境差异对藏东南原始冷杉林凋落物分解和养分释放特征的影响[J]. 中国水土保持科学, 2020, 18(6): 72-80.

[Dai Sunjia, Zhou Chenni, Duan Fei, et al. Effects of composition and habitat differences on litter decomposition and nutrient release characteristics of Abies georgei var. smithii in southeastern Xizang[J]. Science of Soil and Water Conservation, 2020, 18(6): 72-80.]

[42]
霍利霞, 红梅, 赵巴音那木拉, 等. 氮沉降和降雨变化对荒漠草原凋落物分解的影响[J]. 生态学报, 2019, 39(6): 2139-2146.

[Huo Lixia, Hong Mei, Zhao Bayinnamula, et al. Effects of increased nitrogen deposition and changing rainfall patterns on litter decomposition in a desert grassland[J]. Acta Ecologica Sinica, 2019, 39(6): 2139-2146.]

[43]
Salamanca E F, Kaneko N, Katagiri S. Rainfall manipulation effects on litter decomposition and the microbial biomass of the forest floor[J]. Applied Soil Ecology, 2003, 22(3): 271-281.

[44]
王新源, 赵学勇, 李玉霖, 等. 环境因素对干旱半干旱区凋落物分解的影响研究进展[J]. 应用生态学报, 2013, 24(11): 3300-3310.

[Wang Xinyuan, Zhao Xueyong, Li Yulin, et al. Effects of environmental factors on litter decomposition in arid and semi-arid regions: A review[J]. Chinese Journal of Applied Ecology, 2013, 24(11): 3300-3310.]

PMID

[45]
郑俊强, 郭瑞红, 李东升, 等. 氮沉降和干旱对阔叶红松林凋落物分解的影响[J]. 北京林业大学学报, 2016, 38(4): 21-28.

[Zhen Junqiang, Guo Ruihong, Li Dongsheng, et al. Effects of nitrogen deposition and drought on litter decomposition in a temperate forest[J]. Journal of Beijing Forestry University, 2016, 38(4): 21-28.]

[46]
Kurzatkowski D, Martius C, Höfer H, et al. Litter decomposition, microbial biomass and activity of soil organisms in three agroforestry sites in Central Amazonia[J]. Nutrient Cycling in Agroecosystems, 2004, 69(3): 257-267.

[47]
Day T A, Guenonr, Ruhland C T. Photodegradation of plant litter in the Sonoran Desert varies by litter type and age[J]. Soil Biology and Biochemistry, 2015, 89: 109-122.

[48]
Baker N R, Allison S D. Ultraviolet photodegradation facilitates microbial litter decomposition in a Mediterranean climate[J]. Ecology, 2015, 96: 1994-2003.

PMID

[49]
He M, Zhao R D, Tian Q X, et al. Predominant effects of litter chemistry on lignin degradation in the early stage of leaf litter decomposition[J]. Plant Soil, 2019, 442: 453-469.

Outlines

/