Plant Ecology

Effects of drought stress and rehydration on the physiological characteristics of Pinus sylvestris var. mongolica seedlings

  • WANG Zixiang , 1 ,
  • REN Yue 2 ,
  • LU Ying 1 ,
  • GAO Guanglei , 1, 3, 4, 5, 6 ,
  • DING Guodong 1, 4, 5, 6 ,
  • ZHANG Ying 1, 4, 5, 6
Expand
  • 1. School of Soil and Water Conservation, Beijing Forestry University, Beijing 100083, China
  • 2. College of Desert Control Science and Engineering, Inner Mongolia Agricultural University, Hohhot 010018, Inner Mongolia, China
  • 3. State Key Laboratory for Efficient Production of Forest Resources, Beijing 100083, China
  • 4. Yanchi Ecology Research Station of the Mu Us Desert, Yanchi 751500, Ningxia, China
  • 5. Engineering Research Center of Forestry Ecological Engineering, Ministry of Education, Beijing 100083, China
  • 6. Key Laboratory of State Forestry and Grassland Administration on Soil and Water Conservation, Beijing 100083, China

Received date: 2024-05-26

  Revised date: 2024-09-19

  Online published: 2025-08-12

Abstract

In this study, we investigated the physiological responses of Pinus sylvestris var. mongolica seedlings to drought stress and subsequent rehydration. A pot experiment was conducted using 2-year-old seedlings subjected to five water treatments, including control (80%), light drought (40%), moderate drought (20%), severe drought (10%), and extremely severe drought (5%). We measured leaf water content, photosynthesis, chlorophyll fluorescence, leaf osmoregulatory substances, and antioxidant enzyme activity during drought and after rehydration. The results showed the following: (1) The physiological state of the seedlings was minimally affected by the light drought. The activities of superoxide dismutase and peroxidase peaked under moderate and severe drought stress, increasing by 25.26% and 38.8%, respectively. Conversely, the net photosynthetic rate, transpiration rate, and photochemical quenching coefficient under extremely severe drought stress decreased by 94.76%, 87.19%, and 72.35%, respectively, while the leaf malondialdehyde content was the highest in this condition. (2) The chlorophyll fluorescence and leaf proline content of the seedlings were restored to control levels after rehydration. However, the average photosynthetic indices of rehydrated leaves only returned to 28.51% after extremely severe drought stress. Additionally, leaf water use efficiency, soluble sugar content, and antioxidant enzyme activity were significantly higher than the control after rehydration (P<0.05). In conclusion, extremely severe drought stress primarily reduces photosynthetic ability and disrupts the cell membrane stability of Pinus sylvestris var. mongolica seedlings. Conversely, rehydration after moderate drought improves water utilization and the scavenging ability of reactive oxygen species, thereby improving drought resistance. This improved information provides theoretical insights for the efficient cultivation, management, and evaluation of drought resistance in the Pinus sylvestris var. mongolica plantation.

Cite this article

WANG Zixiang , REN Yue , LU Ying , GAO Guanglei , DING Guodong , ZHANG Ying . Effects of drought stress and rehydration on the physiological characteristics of Pinus sylvestris var. mongolica seedlings[J]. Arid Zone Research, 2024 , 41(12) : 2120 -2131 . DOI: 10.13866/j.azr.2024.12.13

工业革命以来,化石燃料的大量燃烧等不合理的人类活动加剧了全球变暖[1]。IPCC第六次报告指出,全球气温升高预计在2021—2040年内达到1.5 ℃。持续的气候变化导致许多地区,特别是北半球的干旱频率增加[2]。干旱被认为是限制植物正常生长发育的主要因素之一[3],造成植物叶面积减小、水力结构破坏、光合速率降低、光合碳同化减少、激素分泌失调等许多负面效应[4-5]。目前,全球各地都发现了由于干旱而造成的树木大面积死亡现象[6]。随着全球气候变化加剧,提高植物在干旱胁迫下的适应能力对于生态恢复等工程至关重要。然而,植物对干旱的适应能力不仅体现在干旱过程中自我调节,还表现在复水后的恢复过程中能否迅速弥补干旱胁迫造成的损害[7-8]。相关研究表明,植物经过干旱复水后,相关耐受基因转录、渗透调节和抗氧化能力增强[9],体现干旱后复水对植物生理状态提升的积极作用。因此,探究植物对干旱-复水的响应对阐明其对干旱胁迫适应策略和恢复机理有重要意义。
樟子松(Pinus sylvestris var. mongolica)具有耐旱、耐寒、耐瘠薄和适应沙生的特点,在中国的天然分布区主要位于大兴安岭北部山地及呼伦贝尔沙地,是“三北”防护林体系建设工程主要造林树种之一[10]。然而,由于干旱胁迫等原因,樟子松林内幼树保存率不高,严重限制防护林的可持续发展[11-12]。樟子松生理特性是评价其生态效益和生长情况的重要指标[13],前人对于樟子松干旱适应机制的研究主要集中于干旱胁迫下非结构性碳水化合物[14]、生长特征[15]或叶水势、净光合速率[16]的变化等,而忽视了“干-湿”交替对于樟子松抗旱能力的影响。同时渗透调节物质和抗氧化酶是植物面对干旱胁迫时生理生化调节的重要组成部分[17],阐明上述指标的变化规律有助于完善和深化对樟子松幼苗在干旱-复水条件下生理响应特点的认识。
鉴于此,以2 a生樟子松幼苗为研究对象,通过盆栽试验,分别测定樟子松幼苗干旱时和复水后叶水势、水分利用效率等水分参数,蒸腾速率、净光合速率等光合参数,最大光化学效率、稳态光适应淬灭系数等叶绿素荧光参数,丙二醛、可溶性糖等渗透调节物质以及抗氧化酶活性参数,探讨干旱-复水条件下樟子松幼苗生理特征的响应,以期为樟子松在中国北方干旱风沙区的育苗栽培和造林推广提供技术支撑。

1 材料与方法

1.1 试验材料和试验设计

2023年7月,在北京林业大学三顷园苗圃(40°0′28″N, 116°20′19″E)开展樟子松幼苗干旱胁迫与复水试验。试验所用的樟子松幼苗和风沙土均来自辽宁省阜新市彰武县章古台镇。选取生长较为一致的2 a生樟子松幼苗,其株高为16.7±0.7 cm,基径为3.9±0.1 mm。每2株栽植在规格一致的花盆(上口径为24.5 cm,高为25 cm,下口径为18.5 cm)中,每盆装6 kg试验用土,共100盆。风沙土为樟子松林下0~40 cm土层土壤,移栽前挑去砾石和枯落物,土壤基质理化性质如下:土壤pH值6.85,有机质含量7.59 g·kg-1,全氮含量0.52 g·kg-1,全磷含量0.47 g·kg-1,铵态氮含量1.95 mg·kg-1,速效磷含量0.98 mg·kg-1。缓苗期为保证幼苗健康,土壤含水量保持在23%左右。
试验以土壤饱和含水量(25%)的80%作为对照组(CK),设置轻度干旱(Light Drought,LD)、中度干旱(Moderate Drought,MD)、重度干旱(Severe Drought,SD)、极重度干旱(Extremely Severe Drought,ESD)4个干旱胁迫梯度,分别约为土壤饱和含水量的40%、20%、10%和5%[18],即为干旱胁迫开始后的第7 d、14 d、21 d和35 d。试验共5组,每组各20盆。试验组通过自然干旱的方式达到土壤目标含水量,对照组每隔1 d在17:00—20:00进行浇水,并采用称重法[19]控制土壤含水量。当到达干旱节点时测定樟子松幼苗各项生理指标,之后立刻进行复水,复水标准为饱和含水量的80%,复水1 d后再次测定。干旱胁迫结束时和复水后,在试验组和对照组中分别随机挑选3株樟子松幼苗进行光合参数和叶水势测定。之后完整挖出幼苗,取无损伤根测定根水势。最后将植株连带部分土壤放进密封袋中。当天在实验室收集3株樟子松幼苗叶片样品,一部分用于叶绿素荧光、叶片相对含水量测定;另一部分放入70 ℃的烘箱内48 h烘干,完成后使用球磨仪将叶片磨成粉末,用于测定叶片渗透调节物质含量以及抗氧化酶活性。

1.2 试验方法

1.2.1 土壤性质测定

使用pH分析仪(上海雷磁,中国)测定土壤pH值,采用烘干法测定土壤饱和含水率,采用重铬酸钾稀释热法测定土壤有机质含量,采用靛酚蓝比色法测定全氮含量,采用钼锑抗比色法测定全磷含量,采用碱解扩散法测定有效氮含量,采用碳酸氢钠法测定有效磷含量。

1.2.2 叶片光合参数测定

使用Li-6800便携式光合作用测定仪(Li-COR, Lincoln, USA),于晴朗的上午9:00—11:00测定樟子松幼苗上、中、下3个部位叶片的光合参数,包括蒸腾速率(Transpiration Rate,Tr)、净光合速率(Net Photosynthetic Rate,Pn)、胞间CO2(Intracellular CO2 Concentration,Ci)、气孔导度(Stomatal Conductance,Gs),注意使透明气室阳光直射,流速设定值500 μmol·s-1。每个叶片重复测定3次。测量完成后,摘取测量叶片并计算叶面积,校准光合参数。

1.2.3 叶片水分参数测定

采用饱和水重法测定叶片相对含水量(Relative Water Content,RWC),采集的针叶迅速带回实验室称量其鲜重,之后将针叶浸泡于去离子水中24 h称量其饱和水重,最后在烘箱中105 ℃烘干称量其干重。按照如下公式计算叶片相对含水量[20]
R W C = m 1 - m 3 m 2 - m 3 × 100 %
式中:m1为叶片鲜重(g);m2为叶片饱和水重(g);m3为叶片干重(g)。
测量樟子松针叶的叶片净光合速率和蒸腾速率,叶片水分利用效率(Water Use Efficiency,WUE)按照如下公式计算:
W U E = P n T r
式中:Pn为叶片净光合速率(μmol·m-2·s-1);Tr为叶片蒸腾速率(mol·m-2·s-1)。
使用PSYPRO露点水势仪(PSYPRO,美国)测定叶水势(Leaf Water Potential,ψl)和根水势(Root Water Potential,ψr),每个叶片和根系重复测定3次。

1.2.4 叶绿素荧光参数测定

使用Fluor Cam开放式叶绿素荧光成像系统(Fluor Cam,捷克),于晚上18:00—22:00测定樟子松幼苗叶绿素荧光参数,先将植株进行20 min的暗处理,之后测定初始荧光(Fluorescence Origin,Fo)、最大光化学效率[Maximum Photochemical Efficiency,为可变荧光Fv与最大荧光Fm的比值,即Fv/Fm=(Fm-Fo)/Fm]、非光化学淬灭系数(Non-photochemical Quenching Coefficient,NPQ)和稳态光适应淬灭系数(Photochemical Quenching Coefficient,qP[21],每个叶片重复测定3次。

1.2.5 叶片渗透调节物质含量测定

分别采用硫代巴比妥酸法、茚三酮比色法和蒽酮比色法测定樟子松幼苗叶片丙二醛(Malondialdehyde,MDA)、脯氨酸(Proline,PRO)和可溶性糖(Soluble Sugar,SS)含量[22]

1.2.6 叶片抗氧化酶活性测定

分别采用氮蓝四唑光还原法、紫外分光光度法和愈创木酚显色法测定樟子松幼苗叶片超氧化物歧化酶(Superoxide Dismutase,SOD)、过氧化氢酶(Catalase,CAT)和抗氧化物酶(Peroxidase,POD)活性[22]

1.3 数据处理与分析

使用SPSS 22.0和Excel 2021进行数据统计分析,使用OriginPro 2021软件绘图。采用单因素方差分析(One-way ANOVA)检验分析不同组别之间植株各项生理参数差异的显著性,并采用Duncan法进行多重比较。采用Pearson相关系数分析干旱胁迫时和复水后樟子松幼苗生理指标之间的相关性。采用主成分分析(PCA)解释樟子松幼苗对干旱-复水的响应特征。

2 结果与分析

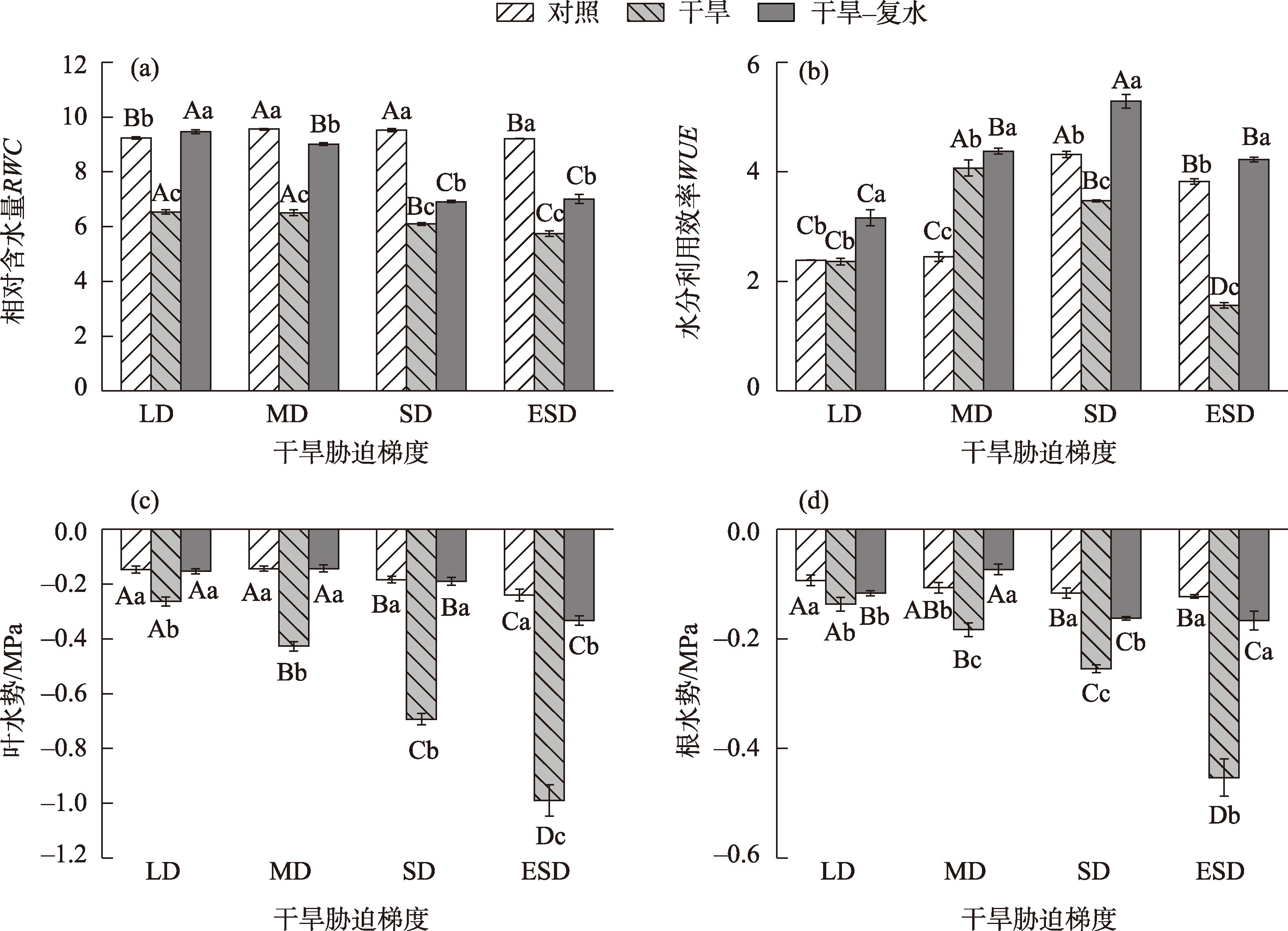
2.1 干旱-复水条件下叶片水分参数变化

随干旱胁迫加剧,樟子松幼苗叶片相对含水量(RWC)、叶水势(ψl)和根水势(ψr)呈现出下降趋势(图1a图1c图1d),而叶片水分利用效率(WUE)呈现出先上升后下降的趋势(图1b)。相比于对照组,从轻度到极重度干旱胁迫叶水势分别下降0.09 MPa、0.26 MPa、0.54 MPa、0.66 MPa,根水势分别下降0.04 MPa、0.1 MPa、0.15 MPa、0.29 MPa,可见干旱胁迫下叶水势下降幅度比根水势大。WUE在中度干旱胁迫下达到最大且显著高于对照(P<0.05);复水后,樟子松幼苗RWCWUE和叶水势均显著上升(P<0.05)。其中WUE复水后出现超补偿现象,同样的情况也发生在轻度干旱胁迫复水后的RWC。叶水势除极重度干旱胁迫外,其余均恢复到对照水平,根水势则除中度干旱胁迫外,其余均显著低于对照(P<0.05)。
图1 干旱-复水对樟子松幼苗水分参数的影响

注:LD、MD、SD和ESD分别代表轻度、中度、重度和极重度干旱胁迫;不同大写字母表示在不同干旱胁迫梯度之间差异显著;不同小写字母表示在不同复水处理之间差异显著(P<0.05)。下同。

Fig. 1 Effect of drought-rewatering on water parameters of Pinus sylvestris var. mongolica seedlings

2.2 干旱-复水条件下光合参数变化

随干旱胁迫加剧,樟子松幼苗叶片净光合速率(Pn)、蒸腾速率(Tr)、胞间CO2浓度(Ci)和气孔导度(Gs)均呈现出下降趋势(图2)。极重度干旱胁迫下,Pn仅为1.22 μmol·m-2·s-1,相比于对照下降了94.76%。同样条件下,Gs下降了92.18%,Tr下降了87.19%;复水后,PnTrCiGs均显著上升(P<0.05)。Pn在轻度和中度干旱胁迫复水后高于对照组且之间差异显著(P<0.05),而Tr仅在轻度干旱胁迫复水后恢复至对照水平。值得注意的是,极重度干旱胁迫复水后PnTrGs仅恢复至对照组的23.71%、21.45%和12.22%,说明此时补偿效应不明显。
图2 干旱-复水对樟子松幼苗光合参数的影响

Fig. 2 Effect of drought-rewatering on photosynthetic parameters of Pinus sylvestris var. mongolica seedlings

2.3 干旱-复水条件下叶绿素荧光参数变化

随干旱胁迫加剧,樟子松幼苗叶片初始荧光(Fo)、最大光化学效率(Fv/Fm)、非光化学淬灭系数(NPQ)和稳态光适应淬灭系数(qP)均呈现出下降趋势(图3),且除中度干旱胁迫下的Fo外,其余所有参数在各干旱胁迫下均与对照组差异显著(P<0.05)。相比于对照,FoFv/FmNPQqP平均下降12.73%、31.94%、45.18%、61.53%,干旱胁迫对于Fo影响较小;复水后FoFv/FmNPQqP均显著上升且出现超补偿现象。其中Fv/FmNPQ在重度干旱胁迫复水后恢复至对照水平,FoqP在中度干旱胁迫复水后恢复至对照水平。
图3 干旱-复水对樟子松幼苗叶绿素荧光参数的影响

Fig. 3 Effect of drought-rewatering on chlorophyll fluorescence parameters of Pinus sylvestris var. mongolica seedlings

2.4 干旱-复水条件下叶片渗透调节物质变化

随干旱胁迫加剧,樟子松幼苗叶片丙二醛(MDA)含量和叶片脯氨酸(PRO)含量均呈现出显著上升趋势(图4b图4c),叶片可溶性糖(SS)含量呈现出先上升后下降的趋势(图4a)。可溶性糖含量在中度干旱胁迫时达到最大,为47.41 μg·mL-1,相比于对照组上升了2.2倍。MDA含量和脯氨酸含量在极重度干旱胁迫时达到最大,为4.25 μg·g-1和455.91 μg·g-1,均相比于对照组上升了1.5倍。复水后,脯氨酸含量基本恢复至对照水平,而可溶性糖含量则相较于干旱时显著上升(P<0.05)。此外,极重度干旱胁迫复水后,MDA含量仍显著高于对照组(P<0.05)。
图4 干旱-复水对樟子松幼苗渗透调节物质的影响

Fig. 4 Effect of drought-rewatering on osmotic regulators in Pinus sylvestris var. mongolica seedlings

2.5 干旱-复水条件下叶片抗氧化酶活性变化

随干旱胁迫加剧,樟子松幼苗叶片超氧化物歧化酶(SOD)活性和叶片过氧化物酶(POD)活性均呈现出先上升后下降的趋势(图5a图5c),叶片过氧化氢酶(CAT)活性呈现出上升趋势(图5b)。SOD活性在中度干旱胁迫下达到最大值1046.89 U·g-1·FW-1,POD活性在重度干旱胁迫下达到最大值6.03 U·g-1·FW-1。复水后,不同抗氧化酶活性表现差异较大,但都高于对照水平。SOD活性复水后稍有下降,CAT活性复水后显著上升,相比于干旱胁迫时,从轻度到重度干旱胁迫复水后POD活性分别下降5.14%、7.40%、19.95%,而极重度干旱胁迫复水后POD活性上升38.74%。
图5 干旱-复水对樟子松幼苗抗氧化酶活性的影响

Fig. 5 Effect of drought-rewatering on antioxidant enzyme activity of Pinus sylvestris var. mongolica seedlings

2.6 樟子松干旱-复水条件下生理特征参数的主成分分析和相关性分析

干旱胁迫下,前2个主成分累计方差解释率为94.2%,因此,前2个主成分能有效解释樟子松幼苗干旱胁迫下生理特征(图6a)。其中对PC1贡献较大的有PnGsFv/FmCi,对PC2贡献较大的有WUE、SS、SOD。干旱胁迫下,TrPnCiGs两两互相呈极显著正相关(P<0.01),同时,也均与RWCψlψr呈显著正相关(P<0.05)(图6b)。叶片MDA、叶片PRO含量和CAT活性与大多数光合参数、叶绿素荧光参数和水分参数都呈显著负相关(P<0.05)。叶片WUE与SOD活性、叶片SS含量呈极显著正相关(P<0.001)。MDA与PRO含量、CAT活性呈极显著正相关(P<0.001)。
图6 干旱-复水条件下樟子松幼苗生理特征参数的主成分分析和相关性分析

注:主成分分析中CK、RLD、RMD、RSD和RESD分别代表对照组、轻度干旱胁迫复水、中度干旱胁迫复水、重度干旱胁迫复水和极重度干旱胁迫复水;相关性分析中红色代表正相关关系,蓝色代表负相关关系;***、**、*分别表示Duncan法检验显著性小于0.001,0.01,0.05。

Fig. 6 Principal component analysis and correlation of physiological characteristics of Pinus sylvestris var. mongolica seedlings under drought stress conditions

干旱-复水后,前2个主成分累计方差解释率为94%,因此,前2个主成分也能有效解释樟子松幼苗复水后的生理特征(图6c)。其中对PC1贡献较大的有Gs、CAT、Tr、MDA。对PC2贡献较大的有Fv/Fm、SOD、NPQ、SS。干旱-复水后,参数间相关性和显著性都有所减弱(图6d)。然而,POD活性与TrPnCiGsFv/Fm、叶水势呈极显著负相关(P<0.05),SOD与Fv/Fm呈极显著正相关(P<0.001)。

3 讨论

3.1 干旱胁迫对樟子松幼苗生理特征参数的影响

水分含量极大影响植物生命活动。当植物面临干旱或缺水条件时,它们通过形态或生理水平上的调节机制来应对胁迫[23]。其中生理指标对环境变化响应最为显著,气孔导度、蒸腾速率、叶片相对含水量等指标常作为抗旱性评价标准;脯氨酸、可溶性糖等渗透调节物质常作为耐旱性评价标准[24]。同时为避免活性氧(ROS)的过度积累而导致膜伤害,植物也会产生酶促氧化防御机制,产生如超氧化物歧化酶、过氧化氢酶等抗氧化剂[23]
植物叶片的相对含水量和水势能直接反映植物水分情况[25],植物水势值表现为:叶片>根系,符合植物水分从高水势向低水势传输的一般规律,且随水分胁迫的加剧而下降[26]。本试验中,干旱胁迫下樟子松幼苗RWC下降的同时,叶、根水势下降,其能促进水分吸收;另外,发现叶水势在各干旱胁迫梯度中下降幅度均大于根水势,说明干旱胁迫对于蒸腾器官的影响大于对水分吸收器官的影响,这使樟子松幼苗可以维持体内水分传输。衡量碳固定和水分消耗可以参考叶片水分利用效率,其代表植物消耗单位水分所产生的同化物质量[27],因此,WUE越大,说明植物可以用更少的水固定更多的碳。本试验中,随干旱胁迫的加剧,WUE呈现出先上升后下降的趋势,这在许多试验中有过报道[27-29]。干旱胁迫较轻时,气孔关闭,蒸腾速率下降幅度大于净光合速率,WUE上升,樟子松幼苗发挥自我调节能力;而之后WUE下降可能与干旱胁迫加剧导致可溶性糖含量下降,叶肉细胞脱水,生理代谢受影响有关。
干旱胁迫下,植物光合速率降低。其中气孔和非气孔因素是植物光合作用变化的主要原因[30],前者是由于叶片气孔自身关闭,后者则是由于叶片光合结构受损[31]。具体原因可以通过Ci值判断,如Gs下降,Ci也显著下降,则为典型的气孔限制,反之则为典型的非气孔限制[32]。本试验中,随着干旱胁迫的加剧,PnCiGs变化趋势一致,说明Pn降低是由气孔限制引起,这一结果跟冯延芝等[33]、高琦等[34]研究结论一致,即气孔关闭导致CO2浓度下降,光合作用原料缺失。研究进一步发现,干旱胁迫较轻时,樟子松幼苗通过关闭气孔、减弱蒸腾来减少水分丧失,进而增加叶片保水能力,防止焦枯,这是一种御旱策略,与射干(Belamcanda chinensis[35]类似。而严重干旱胁迫会对樟子松幼苗气孔导度产生难以短时间恢复的不利影响,CO2交换效率下降,进而降低光合作用能力,最终对植株生理状态产生严重影响。
光系统II(PS II)对于非生物胁迫十分敏感[36],而叶绿素荧光参数可以准确分析植物对于光能吸收、利用和转化的过程[37],并反映出植物体PS II活性及对于逆境胁迫的响应和对策。本试验中,随干旱胁迫加剧,Fv/FmqP均下降,说明PS II受损伤,反应中心电子传递速率降低,原初反应受到抑制,最终导致樟子松幼苗光合作用降低;同时NPQ呈现出下降趋势,这与多数植物不同[36,38],推测是因为樟子松幼苗通过权衡,降低自身热耗散的比例,最大化利用光能进行碳固定,从而维持自身基础代谢。该结论与刁珊等[39]、李秋静等[40]相同。
在干旱等非生物或生物胁迫下植物体内ROS代谢平衡受到破坏,导致ROS过量积累引起膜脂过氧化,使细胞膜功能受损,严重时甚至导致植物死亡[23,41],同时会形成氧化产物MDA。然而,有研究表明,可溶性糖和脯氨酸不仅作为渗透调节物质降低细胞渗透势,减少水分流失,也作为2种重要的抗氧化剂,可以有效清除ROS[41-42]。Sperdouli等[43]发现,可溶性糖和脯氨酸含量的增加与相互作用为干旱胁迫下的拟南芥(Arabidopsis thaliana)提供了保护,2种物质的相互作用也在本试验中有所体现。本试验中,随干旱胁迫加剧,叶片MDA含量显著上升,反映出细胞膜受损程度加深,这与前人研究结果相同[44]。叶片可溶性糖含量呈现出先上升后下降的趋势,这与张天泽等[45]对于山新杨(Populus davidiana×P. bolleana)幼苗研究结果一致。这说明植物的渗透调节能力有一定限度,干旱胁迫较轻时,樟子松幼苗叶片可以通过积累可溶性糖和脯氨酸来提高细胞吸水能力,维持细胞正常新陈代谢;干旱胁迫较重时,过度失水导致叶片可溶性糖合成能力下降。笔者还发现,樟子松幼苗叶片脯氨酸含量随干旱胁迫加剧一直呈上升趋势,极重度干旱胁迫时脯氨酸含量达到最高,说明樟子松在极严重的干旱胁迫条件下更依赖脯氨酸调节来保持细胞水分含量。
除了脯氨酸等非酶抗氧化物质外,主要负责植物体内ROS清除的是酶物质,而其中SOD、POD和CAT是植物体内重要的抗氧化酶。SOD首先将植物体内的O2-.转化成H2O2,然后由POD和CAT等酶共同作用清除H2O2[25]。茶晓飞等[44]通过对白枪杆(Fraxinus malacophylla)幼苗研究发现,其叶片SOD和POD活性随干旱程度加剧均呈现出先上升后下降趋势;金思雨等[5]发现刺槐(Robinia pseudoacacia)叶片CAT活性随干旱胁迫加剧也呈现出先上升后下降趋势。本试验中,SOD和POD活性变化与茶晓飞[44]等研究结果相同,说明随干旱胁迫加剧,ROS的产生和清除速率逐渐失衡,细胞抗氧化酶系统受到影响,酶活性逐渐下降[45];而CAT活性随干旱胁迫加剧呈现出一直上升趋势,这说明其对干旱胁迫耐受性和解毒能力强[46]。发现在干旱胁迫较轻时,樟子松幼苗主要由SOD、POD和CAT通过相互作用协同抵御胁迫;干旱胁迫较重时,CAT发挥关键作用,证明樟子松幼苗面对不同程度的干旱胁迫会采取不同的ROS清除策略。此外,笔者还发现可溶性糖与SOD,脯氨酸与CAT均存在极显著正相关关系(P<0.05),说明两者之间可能存在某种相互促进作用。

3.2 干旱胁迫后复水对樟子松幼苗生理特征参数的影响

判断树木是否死亡一般可以通过判断该树是否有恢复其关键生理功能的能力[9]。干旱后复水能够使植物相关生理功能得到恢复,弥补干旱造成的损害,本试验中,复水后1 d樟子松幼苗各项生理参数指标均有所恢复,但干旱胁迫强度不同,樟子松幼苗复水后恢复能力和程度不同。
复水后,樟子松幼苗叶片水分状况明显改善。各干旱胁迫处理复水后叶片RWCWUE和叶水势均比干旱时显著提高,这与邓平等[47]对青冈栎(Cyclobalanopsis glauca)的研究一致。但在重度和极重度干旱胁迫复水后,RWC和根水势恢复程度均低于轻度和中度干旱胁迫复水,这一点在叶水势上体现更为明显,其仅在极重度干旱胁迫复水后没有恢复至对照水平。此外,复水后樟子松幼苗PnCiGsTr均有不同程度恢复,但Pn仅在轻度和中度干旱胁迫复水后出现超补偿现象,结合此时的水分状况变化,说明樟子松幼苗在干旱程度较轻时有较强的旱后恢复能力,干旱胁迫较重时恢复能力减弱。
复水后,樟子松幼苗叶片叶绿素荧光参数指标恢复良好。其中FoFv/FmNPQqP均恢复至对照组的83%以上,甚至在FoFv/FmNPQ中均出现超补偿的情况,说明樟子松幼苗在经历不同程度的干旱胁迫后,光合系统受到了可逆性的损伤,复水后迅速恢复,这可能是由于樟子松耐旱性较强的缘故,这一结果与张玉玉等[21]对侧柏(Platycladus orientalis)研究结果一致;部分强度下的干旱胁迫在复水后没有恢复至对照水平,这可能是由于复水时间不够长的缘故[48]
复水后,樟子松幼苗叶片MDA和脯氨酸含量均有所下降,而叶片可溶性糖含量显著上升。其中MDA含量仅在极重度干旱胁迫复水后显著高于对照组,其余均低于或与对照组无显著差异,说明此时樟子松幼苗细胞膜发生严重损伤,MDA仍有积累[49]。叶片可溶性糖含量在复水后相较于对照组显著上升,这与赵英等[50]对于红背山麻杆(Alchornea trewioides)的研究结果相反。推测是因为复水后樟子松幼苗为迅速恢复正常生理状态,主动提高细胞溶质含量,使细胞可以从外界大量吸水,进一步补充水分[8]
复水后,樟子松幼苗SOD、POD和CAT活性大多数都显著高于对照组,其中CAT活性甚至高于干旱胁迫时,说明复水可以有效提高樟子松幼苗抗氧化酶活性,其在短时间复水后仍在清理干旱期间积累的ROS,从而促进植株在干旱胁迫后快速恢复[51]。此外,李春燕等[52]通过对侧柏(Platycladus orientalis)的研究发现,干旱胁迫后复水能使SOD和POD协作清除ROS的能力加强,进而增强侧柏抗旱能力。本研究在樟子松上也发现了类似特点,轻度和中度干旱胁迫复水后樟子松幼苗叶片PnWUE、可溶性糖含量以及抗氧化酶活性都显著高于对照组,表明适度的干旱胁迫后复水能提高樟子松幼苗抗旱性。

4 结论

通过干旱-复水试验对2 a生樟子松幼苗生理特征进行研究,得出如下主要结论:
(1) 干旱胁迫对樟子松幼苗水分、光合、叶绿素荧光、渗透调节物质和抗氧化酶活性等生理指标负面影响显著,复水后各项生理指标都有所恢复,但干旱胁迫强度不同,樟子松幼苗复水后恢复能力和程度不同。
(2) 干旱胁迫下樟子松幼苗叶片Pn的降低主要由气孔限制引起。干旱胁迫较轻时,樟子松幼苗光合作用和水分状态受影响较大,植株主要采取关闭气孔,降低蒸腾的方式抵御干旱,且叶片大量合成可溶性糖进行渗透调节;干旱胁迫较重时,樟子松幼苗细胞膜受损严重,植株主要依靠脯氨酸与CAT进行抵御,同时降低自身热耗散来固碳和维持代谢。
(3) 干旱-复水可以有效提高樟子松幼苗叶片SOD、POD、CAT活性和WUE,从而促进植株在干旱胁迫后快速恢复。樟子松幼苗在轻度和中度干旱胁迫复水后渗透调节能力和抗氧化酶活性显著增强,说明适度干旱可以提高樟子松幼苗抗旱能力。然而,极重度干旱胁迫下MDA含量仍然积累,这说明樟子松幼苗调节能力有限。
[1]
Al-Ghussain L. Global warming: Review on driving forces and mitigation[J]. Environmental Progress Sustainable Energy, 2019, 38(1): 13-21.

[2]
Haleh H, Matti H, Jenny L, et al. The impact of drought stress on the height growth of young Norway spruce full-sib and half-sib clonal trials in Sweden and Finland[J]. Forests, 2021, 12(4): 498-498.

[3]
庞志强, 余迪求. 干旱胁迫下的植物根系-微生物互作体系及其应用[J]. 植物生理学报, 2020, 56(2): 109-126.

[Pang Zhiqiang, Yu Diqiu. Plant root-microbial interaction system under drought stress and its application[J]. Chinese Journal of Plant Physiology, 2020, 56(2): 109-126. ]

[4]
Li P D, Zhu Y F, Song X L, et al. Negative effects of long-term moderate salinity and short-term drought stress on the photosynthetic performance of Hybrid pennisetum[J]. Plant Physiology and Biochemistry, 2020, 155: 93-104.

[5]
金思雨, 彭祚登. 刺槐和油松干旱胁迫响应研究进展[J]. 西北林学院学报, 2022, 37(4): 79-91.

[Jin Siyu, Peng Zuodeng. Research progress on drought stress on Robinia pseudoacacia and Pinus tabuliformis[J]. Journal of Northwest Forestry University, 2022, 37(4): 79-91. ]

[6]
Adams H D, Zeppel M J B, Anderegg W R L, et al. A multi-species synthesis of physiological mechanisms in drought-induced tree mortality[J]. Nature Ecology & Evolution, 2017, 1(9): 1285-1291.

[7]
赵娜, 赵旭, 李少宁, 等. 干旱复水下北京地区刺槐与油松叶绿素荧光特性研究[J]. 干旱地区农业研究, 2023, 41(2): 27-37.

[Zhao Na, Zhao Xu, Li Shaoning, et al. Chlorophyll fluorescence characteristics of Robinia pseudoacacia and Pinus tabuliformis under drought stress and rehydration in Beijing area[J]. Agricultural Research in the Arid Areas, 2023, 41(2): 27-37. ]

[8]
曾露婧, 王国华. 干旱及复水对荒漠绿洲过渡带一年生草本植物生长及生理特性的影响[J]. 草业学报, 2024, 33(5): 41-57.

[Zeng Lujing, Wang Guohua. Effects of drought and rehydration on growth and physiological characteristics of annual herbaceous plants from a desert-oasis ecotone[J]. Acta Prataculturae Sinica, 2024, 33(5): 41-57. ]

[9]
游韧, 邓湘雯, 胡彦婷, 等. 树木对干旱胁迫及复水的生理生态响应研究进展[J]. 林业科学, 2023, 59(11): 124-136.

[You Ren, Deng Xiangwen, Hu Yanting, et al. Progress on physiological and ecological responses of trees to drought stress and rewatering[J]. Scientia Silvae Sinica, 2023, 59(11): 124-136. ]

[10]
路伟伟, 吴波, 白建华, 等. 樟子松人工林退化原因及研究展望[J]. 科学通报, 2023, 68(11): 1286-1297.

[Lu Weiwei, Wu Bo, Bai Jianhua, et al. Causes and research prospects of the decline of Pinus sylvestris var. mongolica plantation[J]. Chinese Science Bulletin, 2023, 68(11): 1286-1297. ]

[11]
朱媛君, 山丹, 孙云海, 等. 天然樟子松林幼树更新格局及其影响因子分析[J]. 森林与环境学报, 2019, 39(4): 372-379.

[Zhu Yuanjun, Shan Dan, Sun Yunhai, et al. Analysis of the regeneration pattern of natural Pinus sylvestris var. mongolica seedlings and its influencing factors[J]. Journal of Forestry and Environment, 2019, 39(4): 372-379. ]

[12]
Yin D C, Wang H L, Qi J Y. The enhancement effect of calciumions on ectomycorrhizal fungi-mediated drought resistance in Pinus sylvestris var. mongolica[J]. Journal of Plant Growth Regulation, 2021, 40: 1389-1399.

[13]
Deng J F, Yao J Q, Zheng X, et al. Transpiration and canopy stomatal conductance dynamics of Mongolian pine plantations in semiarid deserts, Northern China[J]. Agricultural Water Management, 2021, 249: 106806.

[14]
王凯, 芦珊, 刘畅, 等. 土壤含水量对樟子松幼苗非结构性碳水化合物及生长的影响[J]. 生态学杂志, 2023, 42(3): 617-625.

[Wang Kai, Lu Shan, Liu Chang, et al. Effects of soil water content on non-structural carbohydrates and growth of Pinus sylvestris var. mongolica seedlings[J]. Chinese Journal of Ecology, 2023, 42(3): 617-625. ]

[15]
宋立宁, 朱教君, 康宏樟. 樟子松幼苗水力结构参数和生长特征对模拟降水梯度的响应[J]. 干旱区研究, 2013, 30(6): 1021-1027.

[Song Lining, Zhu Jiaojun, Kang Hongzhang. Response of hydraulic structure parameters and growth characteristics of Pinus sylvestris var. mongolica seedlings to simulated precipitation gradient[J]. Arid Zone Research, 2013, 30(6): 1021-1027. ]

[16]
Liu X, Zhang Q Y, Song M X, et al. Physiological responses of Robinia pseudoacacia and Quercus acutissima seedlings to repeated drought-rewatering under different planting methods[J]. Frontiers in Plant Science, 2021, 12: 760510.

[17]
何凌仙子, 贾志清, 刘涛, 等. 植物适应逆境胁迫研究进展[J]. 世界林业研究, 2018, 31(2): 13-18.

[He Lingxianzi, Jia Zhiqing, Liu Tao, et al. Research progress on plant adaptation to aversity stress[J]. World Forestry Research, 2018, 31(2): 13-18. ]

[18]
郭米山. 沙地樟子松外生菌根真菌特性及其对樟子松幼苗的影响[D]. 北京: 北京林业大学, 2020.

[Guo Mishan. Ectomycorrhizal Fungal Characteristics of Pinus sylvestris var. mongolica and Their Effects on the Seedlings[D]. Beijing: Beijing Forestry University, 2020. ]

[19]
Liu C C, Liu Y G, Guo K, et al. Influence of drought intensity on the response of six woody Karst species subjected to successive cycles of drought and rewatering[J]. Physiologia Plantarum, 2010, 139: 39-54.

[20]
赵子涵, 王树森, 罗于洋, 等. 旱榆幼树对土壤失水及复水的生理响应过程研究[J]. 干旱区研究, 2022, 39(5): 1534-1542.

[Zhao Zihan, Wang Shusen, Luo Yuyang, et al. Physiological response of a young Gansu elm(Ulmus glaucescens) to soil water loss and rehydration[J]. Arid Zone Research, 2022, 39(5): 1534-1542. ]

[21]
张玉玉, 王进鑫, 马戌, 等. 土壤干旱及复水对侧柏叶绿素荧光参数的影响[J]. 水土保持研究, 2021, 28(2): 242-247.

[Zhang Yuyu, Wang Jinxin, Ma Xu, et al. Effects of drought and rewatering on chlorophyll fluorescence parameters of Platycladus orientalis[J]. Research of Soil and Water Conservation, 2021, 28(2): 242-247. ]

[22]
高俊凤. 植物生理学实验指导[M]. 北京: 高等教育出版社, 2006: 1-231.

[Gao Junfeng. Plant Physiology Experimental Guidance[M]. Beijing: Higher Education Press, 2006: 1-231. ]

[23]
Fang Y J, Xiong L Z. General mechanisms of drought response and their application in drought resistance improvement in plants[J]. Cellular and Molecular Life Sciences, 2015, 72(4): 673-689.

[24]
Hu H, Xiong L. Genetic engineering and breeding of drought-resistant crops[J]. Annual Review of Plant Biology, 2014, 65: 715-741.

[25]
熊仕发, 吴立文, 陈益存, 等. 不同种源白栎幼苗叶片对干旱胁迫的响应及抗旱性评价[J]. 生态学杂志, 2020, 39(12): 3924-3933.

[Xiong Shifa, Wu Liwen, Chen Yicun, et al. Response of leaves of Quercus fabri seedlings from different provenances to drought stress and drought resistance evaluation[J]. Chinese Journal of Ecology, 2020, 39(12): 3924-3933. ]

[26]
秦洁, 司建华, 贾冰, 等. 巴丹吉林沙漠典型植物水势与导水率的时空变化[J]. 生态学杂志, 2021, 40(6): 1629-1638.

[Qin Jie, Si Jianhua, Jia Bing, et al. Temporal and spatial variations of water potential and hydraulic conductivity of typical plants species in Badain Jaran Desert[J]. Chinese Journal of Ecology, 2021, 40(6): 1629-1638. ]

[27]
陈斐, 闫霜, 王鹤龄, 等. 不同水分胁迫下的春小麦叶片气体交换参数和水分利用效率研究[J]. 干旱区研究, 2021, 38(3): 821-832.

[Chen Fei, Yan Shuang, Wang Heling, et al. Study on gas exchange parameters and water use efficiency of spring wheat leaves under different water stresses[J]. Arid Zone Research, 2021, 38(3): 821-832. ]

[28]
魏媛, 喻理飞. 西南喀斯特地区构树苗木对土壤干旱胁迫的生理响应[J]. 水土保持研究, 2010, 17(2): 164-167.

[Wei Yuan, Yu Lifei. Physiological responses of Broussonetia papyrifera seedlings to soil drought stress in southwest Karst Region[J]. Research of Soil and Water Conservation, 2010, 17(2): 164-167. ]

[29]
周英, 吴沿友, 李海涛, 等. 土壤逐渐干旱条件下玉米和构树光合特性的变化[J]. 地球与环境, 2024, 52(3): 365-374.

[Zhou Ying, Wu Yanyou, Li Haitao, et al. Changes in photosynthetic characteristics of Zea mays L. and Broussonetia papyrifera (Linn.). ex Ven. under progressive soil drought[J]. Earth and Environment, 2024, 52(3): 365-374. ]

[30]
Liang G T, Bu J W, Zhang S Y, et al. Effects of drought stress on the photosynthetic physiological parameters of Populus×euramericanaNeva”[J]. Journal of Forestry Research, 2019, 30(2): 409-416.

[31]
付士磊, 周永斌, 何兴元, 等. 干旱胁迫对杨树光合生理指标的影响[J]. 应用生态学报, 2006, 17(11): 2016-2019.

[Fu Shilei, Zhou Yongbin, He Xingyuan, et al. Effects of drought stress on photosynthetic physiology of Populus pseudo-simonii[J]. Chinese Journal of Applied Ecology, 2006, 17(11): 2016-2019. ]

[32]
Farquhar G D, Sharkey T D. Stomatal conductance and photosynthesis[J]. Annual Review of Plant Physiology, 1982, 33(1): 317-345.

[33]
冯延芝, 赵阳, 王保平, 等. 干旱复水对楸叶泡桐幼苗光合和叶绿素荧光的影响[J]. 中南林业科技大学学报, 2020, 40(4): 1-8.

[Feng Yanzhi, Zhao Yang, Wang Baoping, et al. Effects of drought and rewatering on photosynthesis and chlorophyll fluorescence of Paulownia catalpifolia seedlings[J]. Journal of Central South University of Forestry & Technology, 2020, 40(4): 1-8. ]

[34]
高琦, 刘亚敏, 刘玉民, 等. 外源调节物质对干旱胁迫红椿苗木形态及光合生理的影响[J]. 西北农林科技大学学报(自然科学版), 2024, 52(7): 53-63.

[Gao Qi, Liu Yamin, Liu Yumin, et al. Effects of exogenous substances on morphology and photosynthetic physiology of Toona ciliata seedlings under drought stress[J]. Journal of Northwest A & F University (Natural Science Edition), 2024, 52(7): 53-63. ]

[35]
杨肖华, 郭圣茂, 冯美玲, 等. 干旱胁迫及复水对射干光合作用和叶绿素荧光特性的影响[J]. 江西农业大学学报, 2018, 40(3): 525-532.

[Yang Xiaohua, Guo Shengmao, Feng Meiling, et al. Effects of drought stress and rewatering on the characteristics of photosynthesis and chlorophyll fluorescence of blackberry lily[J]. Journal of Jiangxi Agricultural University, 2018, 40(3): 525-532. ]

[36]
程爽, Ulaanduu Namuun, 李卓琳, 等. 植物光系统II (PSII)应答非生物胁迫机理研究进展[J]. 生物技术通报, 2023, 39(12): 33-42.

[Cheng Shuang, Ulaanduu Namuun, Li Zhuolin, et al. Research progress on the mechanism of plant photosystem II (PSII) in response to abiotic stress[J]. Biotechnology Bulletin, 2023, 39(12): 33-42. ]

[37]
冯蕊, 周琪, 吴令上, 等. PEG 6000模拟干旱胁迫对铁皮石斛幼苗生理和叶绿素荧光特性的影响[J]. 浙江农林大学学报, 2024, 41(1): 132-144.

[Feng Rui, Zhou Qi, Wu Lingshang, et al. Effect of PEG 6000 simulated drought stress on physiological and chlorophyll fluorescence characteristics of Dendrobium officinale seedlings[J]. Journal of Zhejiang A & F University, 2024, 41(1): 132-144. ]

[38]
李泽, 谭晓风, 卢锟, 等. 干旱胁迫对两种油桐幼苗生长、气体交换及叶绿素荧光参数的影响[J]. 生态学报, 2017, 37(5): 1515-1524.

[Li Ze, Tan Xiaofeng, Lu Kun, et al. Influence of drought stress on growth, leaf gas exchange, and chlorophyll fluorescence in two varieties of tung seedlings[J]. Chinese Journal of Ecology, 2017, 37(5): 1515-1524. ]

[39]
刁珊, Nami Kana, 纪薇, 等. 11个鲜食葡萄品种幼苗抗旱性研究及抗旱指标筛选[J]. 果树学报, 2023, 40(9): 1871-1884.

[Diao Shan, Nami Kana, Ji Wei, et al. Drought resistance of seedlings of 11 table grape varieties and screening of drought resistance indicators[J]. Journal of Fruit Science, 2023, 40(9): 1871-1884. ]

[40]
李秋静, 卢广超, 薛立, 等. 臭氧与干旱胁迫对华南地区3种绿化树种荧光生理的影响[J]. 华南农业大学学报, 2015, 36(1): 91-95.

[Li Qiujing, Lu Guangchao, Xue Li, et al. Effects of ozone and drought on fluorescence physiology of seedlings of three afforestation tree species in south China[J]. Journal of South China Agricultural University, 2015, 36(1): 91-95. ]

[41]
Gill S S, Tuteja N. Reactive oxygen species and antioxidant machinery in abiotic stress tolerance in crop plants[J]. Plant Physiology and Biochemistry, 2010, 48(12): 909-930.

[42]
Els K, Darin P, Jaco V, et al. Plant sugars are crucial players in the oxidative challenge during abiotic stress: Extending the traditional concept[J]. Plant, Cell Environment, 2013, 36(7): 1242-1255.

[43]
Sperdouli I, Moustakas M. Interaction of proline, sugars, and anthocyanins during photosynthetic acclimation of Arabidopsis thaliana to drought stress[J]. Journal of Plant Physiology, 2012, 169(6): 577-585.

[44]
茶晓飞, 董琼, 段华超, 等. 干旱下白枪杆幼苗生物量及生理活性物质对钙添加的适应性调节[J]. 西北林学院学报, 2023, 38(3): 10-17.

[Cha Xiaofei, Dong Qiong, Duan Huachao, et al. Adaptive regulation of biomass and physiologically active substances in response to calcium addition in Fraxinus malacophylla seedlings under drought[J]. Journal of Northwest Forestry University, 2023, 38(3): 10-17. ]

[45]
张天泽, 孟凡君, 尹大川. 干旱胁迫下外生菌根菌对山新杨幼苗生物量、渗透调节物质和抗氧化酶的影响[J]. 菌物学报, 2023, 42(7): 1558-1574.

[Zhang Tianze, Meng Fanjun, Yin Dachuan. Effects of ectomycorrhizal fungi on biomass, osmotic substances and antioxidant enzymes of Populus davidiana×P. bolleana seedlings under drought stress[J]. Mycosystema, 2023, 42(7): 1558-1574. ]

[46]
Laxa M, Liebthal M, Telman W, et al. The role of the plant antioxidant system in drought tolerance[J]. Antioxidants, 2019, 8(4): 94.

[47]
邓平, 吴敏, 林丁, 等. 干旱-复水对桂西北喀斯特地区青冈栎幼苗叶片光合能力、叶绿素荧光和显微结构的影响[J]. 西北植物学报, 2024, 44(1): 63-76.

[Deng Ping, Wu Min, Lin Ding, et al. Effects of drought-rehydration on photosynthetic capacity, chlorophyll fluorescence, and microstructure of Cyclobalanopsis glauca seedling leaves in Karst area of northwest Guangxi[J]. Northwest Chinese Journal of Botany, 2024, 44(1): 63-76. ]

[48]
Dan L, Guo H L, Yan L P, et al. Physiological, photosynthetic and stomatal ultrastructural responses of Quercus acutissima seedlings to drought stress and rewatering[J]. Forests, 2023, 15(1): 71.

[49]
Xiong S F, Wang Y D, Chen Y C, et al. Effects of drought stress and rehydration on physiological and biochemical properties of four oak species in China[J]. Plants, 2022, 11(5): 679.

[50]
赵英, 赵凯丽, 朱宇林, 等. 干旱胁迫与复水对喀斯特地区红背山麻杆生长及生理特性的影响[J]. 西北农林科技大学学报(自然科学版), 2023, 51(8): 59-68.

[Zhao Ying, Zhao Kaili, Zhu Yulin, et al. Effects of drought stress and re-watering on growth and physiological characteristics of Alchornea trewioides in Karst areas[J]. Journal of Northwest A & F University (Natural Science Edition), 2023, 51(8): 59-68. ]

[51]
金思雨, 彭祚登. 刺槐苗木碳水生理参数对长期干旱及复水的响应变化[J]. 北京林业大学学报, 2023, 45(8): 43-56.

[Jin Siyu, Peng Zuodeng. Changes in response of carbon and water physiological parameters of Robinia pseudoacacia seedlings to long-term drought and rehydration[J]. Journal of Beijing Forestry University, 2023, 45(8): 43-56. ]

[52]
李春燕, 王进鑫, 薛设. 干旱及复水对侧柏幼苗叶片抗氧化酶活性的影响[J]. 西北林学院学报, 2015, 30(2): 33-37.

[Li Chunyan, Wang Jinxin, Xue She. Effects of drought and rewatering on activity of protect enzymes in the leaves of Platycladus orientalis seedlings[J]. Journal of Northwest Forestry University, 2015, 30(2): 33-37. ]

Outlines

/