Land and Water Resources

Characteristics of soil moisture dynamics and influencing factors of three landscape types at the oasis edge in the middle reaches of the Heihe River

  • HU Guanglu , 1, 2 ,
  • LIU Peng 1 ,
  • LI Jia’nan 3 ,
  • TAO Hu 1 ,
  • ZHOU Chengqian 1
Expand
  • 1. School of Environmental and Municipal Engineering, Lanzhou Jiaotong University, Lanzhou 730070, Gansu, China
  • 2. Key Laboratory of Yellow River Water Environment in Gansu Province, Lanzhou 730070, Gansu, China
  • 3. Gansu Provincial Soil and Water Conservation Reseach Institute, Lanzhou 730020, Gansu, China

Received date: 2023-11-27

  Revised date: 2024-01-18

  Online published: 2024-06-20

Abstract

Soil moisture is indispensable for the growth and development of plants in arid zones and determines the dynamics and direction of the succession of arid plant communities. It is particularly important to investigate the dynamic characteristics of soil moisture in different landscape types at the edge of the oasis in the middle reaches of the Heihe River and to develop effective, scientific, and reasonable measures to prevent wind and fix sand to prevent desertification. This study focused on three landscape types—protected forest landscapes, desert-oasis transition zone landscapes, and desert landscapes—at the edge of the oasis in the middle reaches of the Heihe River. HYDRUS-2D model simulation, LSD analysis, and Pearson correlation analysis were used to study the characteristics of soil moisture dynamics and the influencing factors of the three landscape types. The results were as follows: (1) the RMSE of soil volumetric water content ranged from 0.002 to 0.006 cm3·cm-3, MRE ranged from 4.22% to 5.20%, and R2 ranged from 0.725 to 0.967. The simulation results showed a high degree of agreement with the measured data, and the HYDRUS-2D model can be used for simulation studies of soil moisture in this study area. (2) The soil volumetric water content of protected forest landscapes and desert-oasis transition zone landscapes showed a trend of initial increase and subsequent decrease with increasing soil depth, whereas desert landscapes showed a trend of initial decrease and subsequent increase with increasing soil depth. (3) Effective precipitation plays a decisive role in the dynamics of the soil volumetric water content, and precipitation above 9.5 mm significantly increases the soil moisture content and infiltration depth over a short period. The depth of soil moisture infiltration in all periods after precipitation in desert landscapes was higher than that in protected forest landscapes and desert-oasis transition zone landscapes. (4) The soil volumetric water content of the three landscape types was related to factors such as precipitation, evapotranspiration, bulkiness, soil granular composition, and soil water-holding properties. The soil water-holding properties were significantly correlated with factors such as precipitation and evapotranspiration (P<0.01). Of these, precipitation and clay-powder grain content were significantly positively correlated with soil volumetric water content, whereas bulk weight and sand grain content were significantly negatively correlated with soil volumetric water content. Thus, planting windbreak shrubs in the study area can increase the content of soil sticky powder particles, improve the ability of the soil to collect and utilize rainwater, and slow the process of infiltration, thus positively affecting the soil water-holding properties.

Cite this article

HU Guanglu , LIU Peng , LI Jia’nan , TAO Hu , ZHOU Chengqian . Characteristics of soil moisture dynamics and influencing factors of three landscape types at the oasis edge in the middle reaches of the Heihe River[J]. Arid Zone Research, 2024 , 41(4) : 550 -565 . DOI: 10.13866/j.azr.2024.04.03

黑河流域是我国西北第二大内陆河,横跨青海、甘肃、内蒙古三省(区),流域中游地区西北毗邻巴丹吉林沙漠,区域内太阳辐射强烈,降水稀少,蒸发量大,水资源相对匮乏[1-3]。为遏制绿洲农田遭受风沙的侵害,当地群众在绿洲与荒漠之间设置了一道道防风固沙的植被隔离带,使黑河中游形成了农田、防护林、荒漠-绿洲过渡带和荒漠等不同景观类型交错分布的空间格局[4-5]。近年来,伴随着全球气候变暖和人类一些不合理的社会经济活动,水资源匮乏程度日益加剧,生态环境亦呈现出不同程度的恶化迹象,土地荒漠化存在进一步扩大的趋势[6]。绿洲边缘的防护林可以有效地减轻风沙对农田土壤的侵蚀,对防护林土壤水分的探究有助于科学管理绿洲水土资源[5,7];荒漠-绿洲过渡带具有防风固沙的生态功能,固沙植物的生长发育也与土壤水分密切相关,土壤水分是维持荒漠-绿洲过渡带生态系统稳定的关键因素[8-9];而荒漠地区水资源极度匮乏,了解该区域土壤水分的禀赋及分配过程对探明荒漠植物如何合理利用水资源具有参考意义[10-11]。因此,探究黑河中游绿洲边缘不同景观的土壤水分状况,制定切实有效、科学合理的防风固沙措施,对于阻止荒漠化进程显得尤为重要[12]。多年来,国内许多专家学者对黑河中游绿洲边缘不同景观类型的土壤水分状况做了大量研究。研究人员运用GIS技术、HYDRUS-1D数值模型探究了黑河中游绿洲及其边缘不同景观的植被生态需水以及土壤水分运动过程[13-18],这些技术方法已成为探究该区域土壤水分动态的主要工具。
HYDRUS是美国国家岩土实验室(US Salinity Laboratory)开发的用于模拟土壤水分运动过程的模型,近年来,应用HYDRUS模型模拟预测多孔介质内水分变化已经成为研究不同尺度下水量平衡及土壤水分动态特征的主要手段之一[5,15,19 -25]。目前,大量研究表明,HYDRUS-1D模型可以很好的描述毛乌素沙地、科尔沁沙地不同景观类型土壤水分动态变化[19-21,23 -24],在黑河中游农田景观和防护林景观水分运动及水量交换的探究方面也具有良好的适用性[5,15 -16]。然而,相较于HYDRUS-1D模型不能捕捉到多维度的水文现象的弊端,HYDRUS-2D模型有丰富的初始条件和边界条件可供选择,能够同时处理土壤中水分在垂直和水平方向上的运动,可以更为精确的模拟水分入渗过程,并且HYDRUS-2D模型对编程语言和内置算法也进行了优化,能够将模拟剖面划分为一定数量的有限元网格,即将复杂的连续体结构分割成若干个小的、简单的几何形状,并通过适当的网格大小和形状来建立更为优化的离散模型,提高计算精度和效率,进而增大模型模拟结果的可靠性。以往的研究,大多集中在农田和防护林景观,以灌水条件下的入渗作用为主,且多利用HYDRUS-1D模型,但基于HYDRUS-2D模型模拟黑河中游绿洲边缘不同景观的土壤水分动态特征,并对比分析不同景观在降雨入渗时空变化方面的相关研究鲜有报道。因此,本研究探讨HYDRUS-2D模型在黑河中游绿洲边缘不同景观上的应用,利用该模型对绿洲边缘防护林景观、荒漠-绿洲过渡带景观和荒漠景观的土壤水分动态状况进行模拟,并分析土壤水分入渗特征及影响因素,以期为该区域在防风固沙工程实践中的生态植被建设提供科学依据。

1 数据与方法

1.1 研究区概况

研究区位于甘肃省张掖市临泽县境内的中国科学院内陆河流域综合研究站(39°20′52″~39°22′01″N,100°09′12″~100°09′22″E)附近,北接巴丹吉林沙漠,南邻黑河中游临泽绿洲,属温带大陆性荒漠气候,常年气候干燥。全年气温差异较大,年均气温为7.6 ℃,最高气温为39.1 ℃,最低气温为-27.3 ℃。多年平均降水量约为117 mm,降水年内分布不均,主要集中在7—9月,约占全年降水量的70%~80%,年平均蒸发量2390 mm以上[7]。年平均无霜期152 d,年均日照时数3045 h,盛行西北风,风沙活动强烈,年均风速为3.2 m·s-1,最大风速为21 m·s-1。研究区从南至北,主要景观类型有防护林带、荒漠-绿洲过渡带和荒漠。防护林景观的土壤类型以砂质壤土为主,主要植物为二白杨(Populus gansuensis)和新疆杨(Populus bolleana Lauche);荒漠-绿洲过渡带景观的土壤类型以风沙土和灰棕色漠土为主,主要植物为梭梭(Haloxylon ammodendron)、沙拐枣(Calligonum mongolicum)和泡泡刺(Nitraria sphaerocarpa);荒漠景观的土壤类型以风沙土为主,主要植物为沙蓬(Agriophyllum squarrosum)和小画眉草(Gramineae)等[5,8,11]

1.2 样点选择及采样方法

于2021年5月开始,在研究区防护林景观(二白杨林地)、荒漠-绿洲过渡带景观(梭梭林地)和荒漠景观(裸地)内分别布设1块长400 m、宽10 m的观测样地,基于调查和测量的情况,在每块样地内沿长度方向间隔约100 m选取5个采样位置,附近植株分布均匀、长势相近。然后在每个采样位置中心约120°的方向上选取3个采样点,采样点距离采样位置中心约80 cm,采样时先对每个采样点附近的表层凋落物进行清理,再利用土钻(D=5 cm)和环刀(V=100 cm3)分别在每个采样点的0~100 cm土层分层采样,即分层采集0~20 cm、20~40 cm、40~60 cm、60~80 cm、80~100 cm土层的土壤样品。每个位置上3个采样点同一土层的土钻样混合均匀后装入样品袋并标记,环刀样单独存放并标记,然后将所有样品带回实验室用于土壤理化性质及相关参数的测定。于2021年5—9月(共151 d)按7 d 1次的频率进行土壤样品采集,为排除气象因子以外的其他因素(如人为扰动、动物踩踏等)干扰,在开始采样的前6 d先以2 d 1次的频率额外采样3次,待连续3次的样品测定数据趋于稳定且无显著差异后方可对不同样地按照设计的采样频率进行正常采样。

1.3 指标测定方法

将带回实验室的土壤样品,分别测定土壤理化性质指标。土壤质量含水量(θm)用105 ℃铝盒烘干法测定;残余含水量(θr,亦称风干土含水量),测定前先将原状土壤样品风干3~5 d至恒重,再利用铝盒烘干法测定[5,26 -27];饱和含水量(θs)、土壤饱和导水率(Ks)采用定水头法测定[27];土壤容重(BD)用环刀法测定[27-28];土壤机械组成用激光粒度仪(Mastersizer 3000)测定,分级标准采用美国农业部标准[5],即将土壤机械组成按其粒径大小分为黏粒(<2 μm)、粉粒(2~50 μm)、砂粒(>50 μm);土壤体积含水量(θ)由土壤质量含水量(θm)和土壤容重(BD)计算得出;土壤温度利用手持插入式数显地温计野外采样时测定。每个采样位置上同一土层的土样进行3组重复实验,然后对同一景观内的5个采样位置同一土层的土壤样品实验数据取平均值,作为该景观类型的相关指标值进行统计分析。
研究区2021年5月1日至9月28日的降雨和蒸发数据从中国科学院西北生态环境资源研究院临泽野外气象观测站(http://lzd.cern.ac.cn)逐日观测记录中获取。临泽站在荒漠-绿洲过渡带景观区、荒漠景观区均布设了自动气象观测仪器,而防护林景观在临泽站围栏范围内,考虑到不同景观地处同一气候区,不同景观采样点之间直线距离不足400 m,本文选用荒漠-绿洲过渡带景观的气象观测数据来反映研究期间的气象变化数据(图1)。
图1 研究区2021年5—9月降水量和蒸发量

Fig. 1 Precipitation and evaporation from May to September 2021 in the study area

1.4 模型建立

1.4.1 土壤水分运动模型

采用Richard方程描述土壤水分运动过程[5,22,29 -30]
θ t = x K ( h ) h x + z K ( h ) h z + K ( h ) z
式中:θ为土壤体积含水量(cm3·cm-3);xz为径向和垂向空间坐标(cm),向右向上为正;h为基质势(cm);K(h)为土壤非饱和导水率(cm·d-1),即沿水流方向上土水势梯度为1时的通量密度[29]t为土壤水分运动时间(d)。
采用Van-Genuchten(1980)方程描述土壤水力特性[19,22,29 -30]
θ = θ r + θ s - θ r 1 + α h n m , h < 0                               θ s ,                   h 0
K h = K s S e 0.5 1 - ( S e 1 / m ) m 2
S e = θ - θ r θ s - θ r = 1 1 + α h n m
式中:θr为残余含水量(cm3·cm-3);θs为饱和含水量(cm3·cm-3),其值为表层土壤含水量最大值;θ为土壤体积含水量(cm3·cm-3);h为土壤基质势(cm);Ks为饱和导水率(cm·d-1);K(h)为非饱和导水率(cm·d-1);mn为经验参数,m=1-1/nn>1),n又称作形状系数或孔隙分布指数;进气吸力α为拟合参数,其值等于进气值的倒数;Se为无量纲的相对体积含水量,可由θθsθr及相关经验参数计算得出。
采用Fedds模型描述土壤根系吸水作用,具体见文献[31-32]。

1.4.2 土壤水分特征参数

研究区土壤水分特征参数采用土壤传递函数(本文选用Rosetta模型)计算[20],Rosetta模型通过神经网络来预测Van-Genuchten方程中的土壤水力特征参数(如残余含水量θr、形状系数n、进气吸力α等),这些参数用土壤容重(BD)、黏粒(Clay)、粉粒(Silt)、砂粒(Sand)的含量(表1)代入Rosetta软件(Rosetta Lite v. 1.1)预测获得。
表1 三种景观类型的土壤容重及颗粒组成

Tab. 1 Bulk density and particle composition of soil in three landscape types

景观类型 土层
深度
/cm
土壤
容重/
(g·cm-3)
土壤颗粒含量/%
黏粒
(≤2 μm)
粉粒
(2~50 μm)
砂粒
(≥50 μm)
防护林 0~20 1.43 2.58 34.99 62.43
20~40 1.42 2.93 36.92 60.15
40~60 1.37 3.59 46.65 49.76
60~80 1.31 3.69 53.79 42.52
80~100 1.42 2.92 40.11 56.97
荒漠-
绿洲
过渡带
0~20 1.65 0.17 3.13 96.70
20~40 1.60 0.17 3.21 96.62
40~60 1.60 0.17 3.51 96.32
60~80 1.58 0.18 3.48 96.34
80~100 1.55 0.17 3.20 96.63
荒漠 0~20 1.55 0.04 4.51 95.45
20~40 1.53 0.05 3.11 96.84
40~60 1.48 0.04 4.49 95.47
60~80 1.48 0.04 7.73 92.23
80~100 1.46 0.16 7.83 92.01
为较准确的描述研究区土壤水分动态,需对Rosetta模型预测得出的残余含水量θr、饱和含水量θs和饱和导水率Ks做出适当的调整和优化。考虑区域气候特点及样地土壤性质的实测情况,本文主要通过对比采样点实测土壤含水量与Rosetta模型预测值的差异来调整参数值,实测值和模拟值之间差异性用均方根误差(RMSE)和平均相对误差(MRE)来判断,经过反复调整试算,直至使模拟的土壤水分分布与采样点实际相符[33]。调整后土壤水分特征参数见表2
表2 三种景观类型的土壤水分特征参数

Tab. 2 Characteristic parameters of soil moisture in three landscape types

景观
类型
土层
深度
/cm
残余含
水量θr
/(cm3·cm-3)
饱和含
水量θs
/(cm3·cm-3)
进气
吸力α
/cm-1
形状
系数
n
饱和
导水率
Ks/(cm·d-1)
防护林 0~20 0.034 0.39 0.033 1.43 143.57
20~40 0.034 0.39 0.029 1.43 67.72
40~60 0.029 0.36 0.015 1.47 58.13
60~80 0.028 0.35 0.009 1.55 69.44
80~100 0.029 0.36 0.022 1.44 63.46
荒漠-
绿洲
过渡带
0~20 0.016 0.34 0.033 3.79 427.90
20~40 0.023 0.35 0.033 3.90 446.60
40~60 0.024 0.35 0.033 3.84 455.60
60~80 0.025 0.36 0.033 3.88 483.20
80~100 0.027 0.37 0.032 3.98 569.80
荒漠 0~20 0.017 0.34 0.037 3.22 456.65
20~40 0.019 0.34 0.032 4.24 1182.54
40~60 0.020 0.37 0.034 3.75 960.86
60~80 0.016 0.36 0.037 3.17 530.96
80~100 0.025 0.36 0.038 3.10 530.61

1.4.3 时空离散和边界条件

拟定模拟时间单位为天(d),并通过时间离散化形式进行模拟,根据收敛的迭代次数调整时间离散间隔。本模拟在土壤剖面沿垂直方向设置5个观测点(图2),初始时间步长设置为0.0001 d,最小时间步长为0.0001 d,最大时间步长为5 d,起始时间为0 d,模拟结束时间为151 d。
图2 Hydrus-2D模型边界条件设置

Fig. 2 Boundary condition setting for Hydrus-2D Model

以定含水量作为HYDRUS-2D模型的初始条件,设置径向长度x=80 cm且纵向长度z=100 cm的长方形模拟区域。由于样地内无径流产生,且需考虑降水、蒸散发等因素,故上边界设置为无径流的大气边界;前期调查结果表明,样地内地下水位埋深均较大(H>5 m),故下边界设置为自由排水边界;绿洲边缘三种景观类型的土壤均为风沙土,同一景观的土壤质地接近相同,土体可视为均质连续介质,由于土壤颗粒的孔隙比较大,发生降水事件时土壤水分主要以重力水的形式垂直向下入渗,而侧向渗透量较小,且一段时间内侧向渗透进出控制体(图2)左右边界不同土层的土壤水分变化量[ θ h / t]等于零,另外,研究区样地的垂向边界也没有水分的水平运移,水分通量( h / x)为零,故将模型左右两边界设置为零通量边界。

1.5 模型检验及数据处理

为判断水分动态过程模拟的准确性,需利用拟合系数R2P<0.05)、均方根误差(RMSE)和平均相对误差(MRE)评价实测值和模拟值之间的差异性[30,33]。根据相关文献[21-22],MRE值小于10%时模拟结果可靠,MRE值越趋近于0,则模拟效果越佳。RMSE和MRE计算公式如下:
R M S E = 1 N i = 1 N S i - O i 2
M R E = 1 N i = 1 N S i - O i S i × 100 %
式中:Si为样本模拟值;Oi为样本实测值;i为样本序号;N为观测样本个数。
利用SPSS v26.0和Excel 2003完成土壤体积含水量实测值和HYDRUS-2D模拟值的多重比较(LSD分析法和沃勒-邓肯分析法),并完成土壤体积含水量模拟值及其影响因素之间的Pearson相关性分析;采用Origin 2019b作图。

2 结果与分析

2.1 土壤水分动态模拟

利用优化土壤参数后的HYDRUS-2D模型对黑河中游绿洲边缘的防护林景观、荒漠-绿洲过渡带景观和荒漠景观2021年5—9月的土壤水分动态进行了模拟(图3)。由图3可知,防护林景观、荒漠-绿洲过渡带景观和荒漠景观在不同土层处的土壤体积含水量模拟值与实测值变化基本趋于一致。但在地表发生有效降雨以后(图1),不同景观0~20 cm土层中的土壤水分含量急剧增加,尤其荒漠-绿洲过渡带景观和荒漠景观增加明显,而不同景观较深层次的土壤受到的影响相对较小。将不同景观类型0~100 cm土层的模型模拟值与实测数据进行对比分析(图4),结果显示,模拟值与实测值均相对均匀的分布在1:1直线两侧,说明模型模拟值与实测值的拟合度较高。
图3 三种景观类型的土壤体积含水量实测值与模拟值

Fig. 3 Measured and modelled soil volumetric water content for three landscape types

图4 三种景观类型的土壤体积含水量模拟值与实测值对比

Fig. 4 Comparison of modelled and measured soil moisture values in three landscape types

为进一步评价模型的精确性,采用3个评价指标(RMSE、MRE和R2)对不同景观类型在不同土层处的土壤体积含水量模拟效果分别进行验证(表3)。由表3可以看出,RMSE为0.002~0.006 cm3·cm-3,而肖庆礼等[5]利用HYDRUS模拟黑河中游绿洲防护林入渗过程时得出,模拟值与实测值的RMRE在0.02 cm3·cm-3以下,洪光宇等[19-20]在研究毛乌素沙地土壤水分动态变化过程时发现,模型模拟结果与实测值的RMRE为0.001~0.012 cm3·cm-3,本文研究中的RMRE值在上述学者所得结果的范围之内,说明优化土壤参数后的HYDRUS-2D模型在本研究区的模拟精度较高。MRE为4.22%~5.20%,说明本文利用HYDRUS-2D模型模拟出来的土壤体积含水量值与实测值之间的MRE指标符合模拟精度要求。R2为0.725~0.967,数值点平均分布于1:1线两侧(图4),说明模拟结果与实测值具有较高的吻合度,这与易军[16]的研究结果基本一致。综上所述,利用优化土壤参数后的HYDRUS-2D模型模拟黑河中游绿洲边缘不同景观类型的土壤体积含水量可以满足精度要求,模型模拟结果可靠。
表3 三种景观类型的土壤体积含水量模拟结果检验

Tab. 3 Examination of simulation results of soil volumetric water content in three landscape types

景观类型 RMSE/(cm3·cm-3) MRE/% R2
防护林 0.006 5.20 0.725
荒漠-绿洲过渡带 0.002 4.37 0.966
荒漠 0.002 4.22 0.967

2.2 土壤水分分布特征

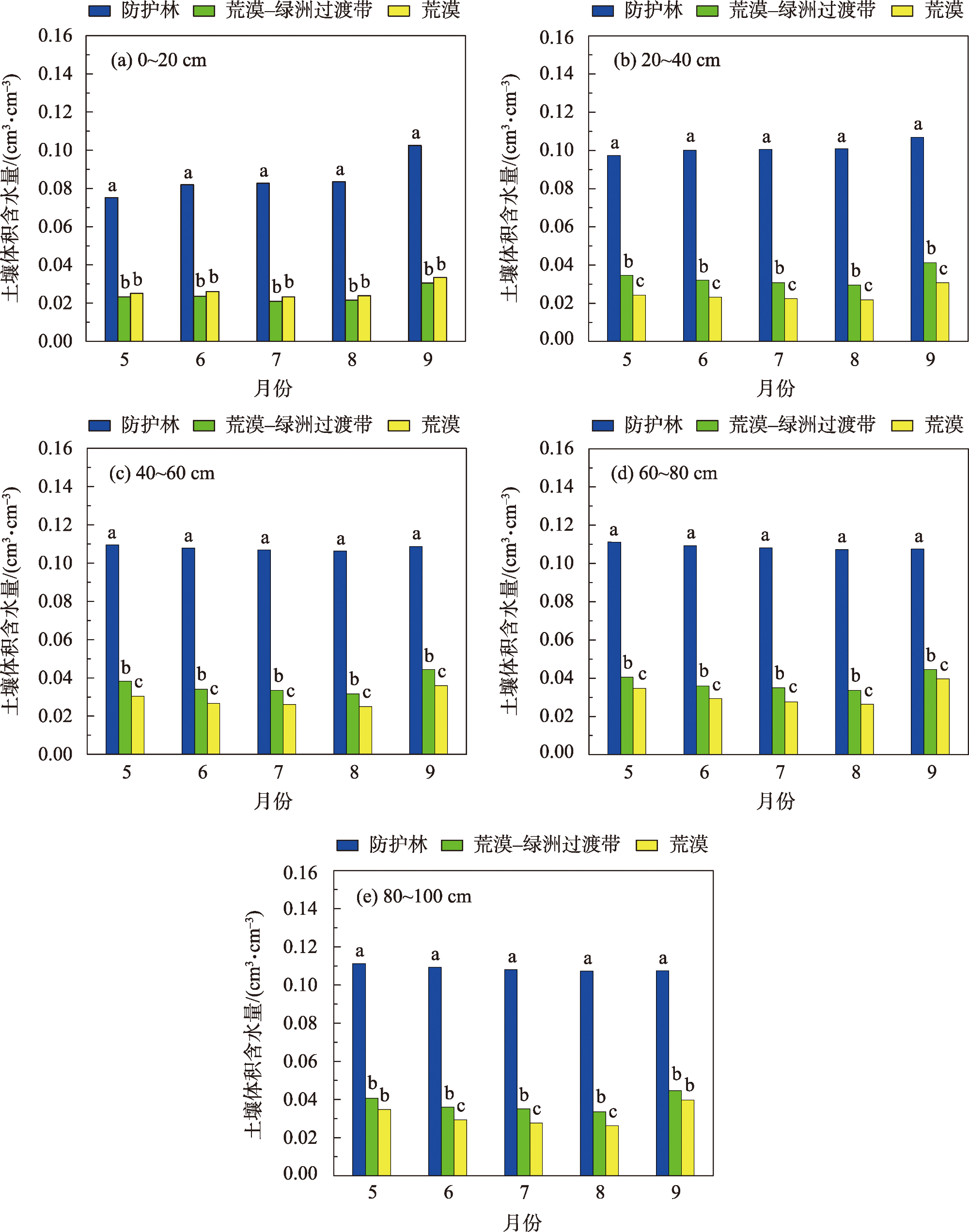
通过优化土壤参数后的HYDRUS-2D模型模拟了不同景观类型不同土层深度处的土壤体积含水量逐日变化情况(图3),对不同土层各月模拟得出的土壤体积含水量在不同景观类型之间的差异性进行分析(图5),防护林景观土壤体积含水量模拟值各土层平均值5—8月在0.100~0.101 cm3·cm-3浮动,9月增大至0.106 cm3·cm-3;荒漠-绿洲过渡带景观5—8月由0.035 cm3·cm-3减小至0.029 cm3·cm-3,9月增大至0.041 cm3·cm-3;荒漠景观5—8月由0.031 cm3·cm-3减小至0.026 cm3·cm-3,9月增大至0.037 cm3·cm-3。除0~20 cm和80~100 cm土层外,其他土层不同景观类型的土壤体积含水量模拟值呈现出相同的显著差异性(P<0.05),且防护林景观与荒漠-绿洲过渡带景观和荒漠景观之间在每个土层上的土壤体积含水量模拟值差异性尤为显著(P<0.05),而荒漠-绿洲过渡带景观和荒漠景观之间则无显著性差异(P<0.05)。
图5 三种景观类型的土壤体积含水量模拟值差异性分析

注:不同小写字母表示不同景观类型间土壤体积含水量差异(P<0.05)。

Fig. 5 Analysis of variability in modelled soil volumetric water content values for three landscape types

图6可知,模拟得出的防护林景观土壤体积含水量各月平均值由0.085 cm3·cm-3(0~20 cm土层)增大至0.109 cm3·cm-3(60~80 cm土层),再减小至0.105 cm3·cm-3(80~100 cm土层),随土层深度增加呈现出先增大后减小的变化趋势;荒漠-绿洲过渡带景观土壤体积含水量各月平均值由0.024 cm3·cm-3(0~20 cm土层)增大至0.038 cm3·cm-3(60~80 cm土层),再减小至0.035 cm3·cm-3(80~100 cm土层),随土层深度增加呈现出先增大后减小的变化趋势;荒漠景观的土壤体积含水量各月平均值由0.026 cm3·cm-3(0~20 cm土层)减小至0.024 cm3·cm-3(60~80 cm土层),再增大至0.042 cm3·cm-3(80~100 cm土层),随土层深度增加则呈现出先减小后增大的变化趋势。
图6 三种景观类型的土壤体积含水量模拟值垂向变化

Fig. 6 Vertical changes in modelled values of soil volumetric water content in three landscape types

2.3 土壤水分入渗特征

利用优化土壤参数后的HYDRUS-2D模型模拟不同景观类型在不同降水条件下的土壤水分入渗过程。以第46 d、第122 d和第136 d实际降水量依次为9.5 mm、11.2 mm和32.7 mm的3次降水事件为例,将三种不同景观类型在降水后0 h、6 h、12 h和18 h的土壤体积含水量模拟数据生成垂直剖面分布图(图7)。由图7可知,小于11.2 mm的降水事件后防护林景观的土壤水分主要集中在0~10 cm土层,而荒漠-绿洲过渡带景观和荒漠景观的土壤水分主要分布于0~20 cm土层。32.7 mm的降水事件后不同景观类型土壤水分入渗中的深度出现较大幅度的变化,可见,降水量的增加对不同景观类型土壤水分含量和入渗深度存在影响。降水量从9.5 mm增加至32.7 mm,防护林景观、荒漠-绿洲过渡带景观和荒漠景观0~20 cm土层土壤含水量的增加量平均为0.146 cm3·cm-3、0.029 cm3·cm-3和0.031 cm3·cm-3,土壤水分入渗深度的增加量分别为32.4 cm、70.6 cm和73.1 cm,可见,9.5 mm以上的降水量可以在短期内显著提高土壤水分含量和入渗深度,随入渗时间的延长,入渗深度增加,入渗量下移,荒漠-绿洲过渡带景观和荒漠景观40~80 cm土层的土壤水分含量增大明显,而防护林景观0~40 cm土层增大较明显。
图7 三种景观类型第46 d、122 d和136 d土壤水分垂向分布模拟

Fig. 7 Simulation of soil moisture vertical distribution at 46 d, 122 d and 136 d in three landscape types

3次降水事件后防护林景观0~100 cm土层的土壤体积含水量分别为0.077~0.118 cm3·cm-3、 0.101~ 0.115 cm3·cm-3、0.101~0.255 cm3·cm-3;荒漠-绿洲过渡带景观分别为0.030~0.048 cm3·cm-3、0.029~ 0.063 cm3·cm-3、0.035~0.097 cm3·cm-3;荒漠景观分别为0.022~0.050 cm3·cm-3、0.021~0.067 cm3·cm-3、0.029~0.102 cm3·cm-3。分析3次不同降水事件下不同景观在降水后0 h至降水后18 h的土壤水分入渗深度的变化,防护林景观分别为:减少5.8 cm、增加3.7 cm、增加16.5 cm,平均增加值为4.8 cm;荒漠-绿洲过渡带景观分别为:减少17.1 cm、增加14.7 cm、增加29.4 cm,平均增加值为9.0 cm;荒漠景观分别为:减少18.8 cm、增加17.2 cm、增加29.5 cm,平均增加值为9.3 cm。综上可知,相较于荒漠景观,防护林景观和荒漠-绿洲过渡带景观各入渗时段的土壤水分含量更高,入渗深度更小,栽植防风固沙植物可以提高土壤收集利用雨水的能力,增大土壤水分含量,减缓入渗作用的进程,从而对土壤持水性能产生积极影响。

2.4 土壤水分特征影响因素

为探究黑河中游绿洲边缘不同景观类型土壤水分入渗特征的影响因素,采用SPSS分析三种不同景观类型土壤体积含水量模拟值与其影响因子的相关关系,结果见表4~表6。分析结果表明,气象因素方面,大气降水与三种景观类型土壤体积含水量模拟值均呈显著正相关,荒漠景观的拟合程度最高,Pearson系数为0.249;土壤蒸发与三种景观类型土壤体积含水量模拟值均呈显著负相关,防护林景观的拟合程度最高,Pearson系数为-0.225。需要说明的是上述结果是在当地大气条件基本相同的情况下得出的,如果区别三种景观内实测气象数据的差异,影响因素特别是土壤蒸发量与土壤体积含水量模拟值的相关程度可能会有所不同,后续研究需要进一步补充完善。
表4 防护林景观土壤体积含水量模拟值与其影响因子的相关关系

Tab. 4 Correlation between modelled values of volumetric soil water content in protection forest landscapes and their influencing factors

体积含水量 降水 蒸发 容重 黏粒 粉粒 砂粒 残余含水量 饱和含水量 饱和导水率
体积含水量 1
降水 0.168** 1
蒸发 -0.225** -0.322** 1
容重 -0.318** 0 0 1
黏粒 0.411** 0 0 -0.916** 1
粉粒 0.365** 0 0 -0.979** 0.950** 1
砂粒 -0.369** 0 0 0.978** -0.955** -1.000** 1
残余含水量 -0.374** 0 0 0.722** -0.785** -0.843** 0.842** 1
饱和含水量 -0.373** 0 0 0.767** -0.804** -0.875** 0.874** 0.997** 1
饱和导水率 -0.485** 0 0 0.412** -0.664** -0.528** 0.538** 0.627** 0.609** 1

注:**表示置信度在(P<0.01)水平(双尾)上极显著相关。下同。

表5 荒漠-绿洲过渡带景观土壤体积含水量模拟值与其影响因子的相关关系

Tab. 5 Correlation between modelled values of volumetric soil water content in desert-oasis transition zone landscapes and their influencing factors

体积含水量 降水 蒸发 容重 黏粒 粉粒 砂粒 残余含水量 饱和含水量 饱和导水率
体积含水量 1
降水 0.245** 1
蒸发 -0.193** -0.322** 1
容重 -0.583** 0 0 1
黏粒 0.201** 0 0 -0.245** 1
粉粒 0.332** 0 0 -0.273** 0.554** 1
砂粒 -0.333** 0 0 0.275** -0.571** -1.000** 1
残余含水量 0.613** 0 0 -0.967** 0.267** 0.463** -0.463** 1
饱和含水量 0.534** 0 0 -0.974** 0.294** 0.172** -0.177** 0.891** 1
饱和导水率 0.440** 0 0 -0.888** 0.066 -0.040 0.038 0.756** 0.950** 1
表6 荒漠景观土壤体积含水量模拟值与其影响因子的相关关系

Tab. 6 Correlation between modelled values of volumetric soil water content in desert landscapes and their influencing factors

体积含水量 降水 蒸发 容重 黏粒 粉粒 砂粒 残余含水量 饱和含水量 饱和导水率
体积含水量 1
降水 0.249** 1
蒸发 -0.193** -0.322** 1
容重 -0.515** 0 0 1
黏粒 0.361** 0 0 -0.045 1
粉粒 0.386** 0 0 -0.301** 0.753** 1
砂粒 -0.388** 0 0 0.296** -0.765** -1.000** 1
残余含水量 0.477** 0 0 -0.562** 0.418** 0.037 -0.048 1
饱和含水量 0.500** 0 0 -0.961** 0.105** 0.495** -0.487** 0.369** 1
饱和导水率 -0.322** 0 0 0.148** -0.782** -0.987** 0.988** 0.039 -0.352** 1
土壤机械组成方面,防护林景观的土壤体积含水量模拟值与黏粒含量(≤2 μm土壤颗粒)的拟合程度最高,呈显著正相关,Pearson系数为0.411;荒漠绿洲过渡带景观和荒漠景观的土壤体积含水量模拟值与砂粒含量(≥50 μm土壤颗粒)的拟合程度最高,均呈显著负相关,Pearson系数分别为-0.333和-0.388。
土壤水力特性方面,防护林景观的土壤体积含水量模拟值与土壤饱和导水率呈显著负相关,拟合程度最高,Pearson系数为-0.485,这说明防护林景观土壤体积含水量模拟值主要受到土壤饱和导水率的调控;荒漠-绿洲过渡带景观的土壤体积含水量模拟值与土壤残余含水量的拟合程度最高,Pearson系数为0.613,与土壤饱和导水率的拟合程度最低,Pearson系数为0.440;荒漠景观的土壤体积含水量模拟值与土壤饱和含水量呈正相关,拟合程度最高,Pearson系数为0.500,与土壤饱和导水率呈负相关,拟合程度最低,Pearson系数为-0.322,这说明荒漠景观土壤体积含水量模拟值主要受到土壤饱和含水量的影响。

3 讨论

随着国内外对包气带土壤水分运动过程的研究不断深入,美国国家盐土实验室(U.S. Salinity Laboratory)开发的HYDRUS模型得到了广泛的应用,近年来,逐渐演变为理论概化和数值模拟土壤水分运动特征的重要工具[5,15 -16,19 -20,22 -23]。本文在利用HYDRUS-2D模型研究黑河中游绿洲边缘不同景观类型土壤水分运动过程时发现,优化土壤参数后的HYDRUS-2D模型在本研究区模拟值与实测值的拟合度较高,RMSE为0.002~0.006 cm3·cm-3,MRE为4.22%~5.20%,R2为0.725~0.967。模拟结果与实测情况具有较高的拟合度,说明该模型可以适用于研究黑河中游绿洲边缘不同景观类型的土壤水分动态变化,尤其对荒漠-绿洲过渡带景观和荒漠景观的土壤水分变化特征模拟效果更佳。

3.1 水分动态特征

土壤水分分布特征是指土壤水分含量在时间和空间上的变化规律,了解土壤水分分布特征对于水资源管理和生态系统的健康维护至关重要[34-35]。本研究表明,黑河中游绿洲边缘三种景观类型的土壤水分分布特征存在显著性差异(P<0.05),这可能与土壤质地、结构和容重对土壤水分分布特征的影响有关。巩炜[36]的研究表明,土壤质地对土壤水分分布特征有着决定性的影响,土壤颗粒越粗,表面积越大,形成的孔隙就会越大,土壤对水分的吸持能力就会减小,相反土壤中细颗粒含量越多,对水分的吸持能力就会增大。防护林景观的粉黏粒含量(37.57%~57.48%)远大于荒漠-绿洲过渡带景观(3.30%~3.68%)和荒漠景观(2.16%~7.99%),故防护林景观的土壤体积含水量模拟值显著大于荒漠-绿洲过渡带景观与荒漠景观。付鹏程等[37]研究认为,土壤容重与土壤水力特征参数具有较强的相关关系,这是因为容重减小时,土壤孔隙数量会随之增多,进而导致土壤饱和含水量(θs)增大。防护林景观的土壤容重(1.42~1.52 g·cm-3)同比于荒漠-绿洲过渡带景观(155~1.65 g·cm-3)和荒漠景观(1.46~1.55 g·cm-3)更小,致使防护林景观的θs同比于荒漠-绿洲过渡带景观与荒漠景观较高。孙龙[38]的研究表明,土壤孔隙度、孔隙连通性以及土壤颗粒间的排列等因素是土壤水力特性的重要影响因子,孔隙连通性对饱和导水率的影响显著,大孔隙可以降低土壤饱和导水率,当土壤团聚结构比较好时,土壤水分特征曲线呈现出上升的趋势。综上可知,黑河中游绿洲边缘不同景观类型的土壤水分特征所呈现出的差异性可能与其土壤质地和孔隙特征的差异有关,这需要后续进一步研究。另外模拟结果显示,除0~20 cm和80~100 cm土层外(图5),其他土层不同景观类型的土壤体积含水量模拟值呈现出相同的显著差异性(P<0.05),这也说明研究区不同景观类型在20~80 cm土层深度的水分动态变化特征基本一致。
通过分析不同景观类型土壤体积含水量的垂直变化发现,防护林景观、荒漠-绿洲过渡带景观和荒漠景观的土壤体积含水量随土层深度的增加表现出了不同的变化趋势。(1) 防护林景观的土壤体积含水量垂直分布趋势为先增大后减小,究其原因可能与防护林的枝叶分布及根系结构有关。首先,防护林景观表层土壤更容易受到蒸散发作用的影响[7],表层土壤体积含水量较低;第二,防护林景观植物根系随土层深度的增大而逐渐放散,同比于上层紧密集中的植物根系,放散状的植物根系对土壤水分吸收作用更小,使得防护林景观60~80 cm土层的土壤水分含量大于0~60 cm土层[5,39];第三,80~100 cm土层孔隙度较小,土壤受到其上层土壤的滞水作用,故含水量较低,同时由表1可知,60~80 cm土层土壤质地较为细腻,可能含有较多的有机质和胶结物质,这些物质可以提高土壤的保水性,促进土壤水分在60~80 cm土层的积聚[31,40],故其土壤体积含水量的最大值位于60~80 cm土层。(2) 荒漠-绿洲过渡带景观的土壤体积含水量垂直分布趋势与防护林景观相同,这可能与过渡带植物的根系分布特征有关,过渡带植物群落组成简单,植物根系集中分布于60~80 cm土层[8,31],植物根系具有固结土壤的作用,加之根区土壤优先流的作用,使得根系区的土壤持水能力相对稳定且保持一致[34]。(3) 荒漠景观的土壤体积含水量垂直分布趋势呈现出减小-增大的趋势,其最大值位于80~100 cm土层,这是因为荒漠景观的土壤主要为风沙土,土壤持水性能较弱,深层土壤水分含量与地下水补充的关联性较强,更容易受到地下水补给的影响[11,41],因而,深层土壤的体积含水量更高,这与付晨馨等[42]的研究结果一致。

3.2 影响因素

研究区地处干旱荒漠气候区,不同景观类型的土壤水分分布和入渗特征受到气象因素、土壤机械组成等因素的综合影响。本文研究结果表明,土壤体积含水量和降水作用呈正相关性,这与胡安焱等[43]的研究趋于一致。与土壤蒸散发作用呈现出负相关性,这与车宗玺等[44]的研究结果一致。土壤蒸散发对干旱和半干旱地区的水文循环和植物分布特征具有一定的调控作用,土壤体积含水量随蒸散发作用的增强而降低,土壤体积含水量的降低又会制约植物的生长发育,覆盖度减小,导致植物遮荫作用减弱,进一步加剧了土壤水分蒸散发[28],因此,土壤水分与蒸散发呈显著负相关的变化趋势。土壤颗粒含量在小于2 μm、2~50 μm范围内与土壤体积含水量呈正相关性,大于50 μm土壤颗粒含量与土壤体积含水量呈负相关性,这与前人[45-49]的研究结果相近。土壤颗粒组成不同,则其孔隙状况不同。当土壤粗粒径占比增大,土壤的孔隙度也会随之增大,致使土壤对水分的吸持作用减弱,土壤水分在重力作用下运移,入渗能力增强[37]。研究区防护林景观、荒漠-绿洲过渡带景观、荒漠景观中土壤粗粒径颗粒的占比不同,孔隙特征不同,因而表现出不同的水分下渗能力,荒漠景观中的土壤水分下渗现象最为明显。
另外需要说明的是,课题组在研究区开展多项生态水文方面的观测研究,本文仅对HYDRUS-2D模型在土壤水分动态模拟方面的应用进行了初探,是部分阶段性成果。至于不同景观类型的小气候特点、土壤孔隙特征以及植物分布格局等对土壤水分时空分布和入渗造成的影响,本文尚未做深入研究,所得结果可能存在一定的误差。后续研究需要在连续观测的基础上全面考虑各种因素对土壤水分动态变化的影响,深化影响机理研究的同时,进一步优化HYDRUS-2D模型参数,以提高模型模拟的精度。

4 结论

在现有观测资料的基础上,本文尝试利用HYDRUS-2D模型模拟干旱区不同景观类型的土壤水分动态变化,是对土壤水分研究方法的一种探索实践,初步得出的结论如下:
(1) 利用优化土壤参数后的HYDRUS-2D模型模拟土壤体积含水量的RMSE为0.002~0.006 cm3·cm-3,MRE为4.22%~5.20%,R2为0.725~0.967,模拟值与实测值具有较高的拟合度,模型的适用性较高,故该模型可用于对研究区土壤水分动态的定量分析。
(2) 模拟结果显示,研究区防护林景观和荒漠-绿洲过渡带景观的土壤体积含水量随土层深度的增加呈现出先增大后减小的变化趋势,而荒漠景观则呈现出先减小后增大的变化趋势;除0~20 cm和80~100 cm土层外,其他土层不同景观类型的土壤体积含水量所呈现出的差异性水平大致相同(P<0.05),但月际间防护林景观与其他两种景观土壤体积含水量在不同土层均表现出显著差异性(P<0.05)。
(3) 三种景观对降水入渗的响应不同,相较于防护林景观和荒漠-绿洲过渡带景观,荒漠景观响应更积极,各入渗时段的土壤水分入渗深度更大。9.5 mm以上的降水量可以在短期内显著提高土壤水分含量和入渗深度。栽植防风固沙灌木能更好的提高土壤收集利用雨水的能力,减缓入渗作用的进程,从而对土壤持水性能产生积极影响。
(4) 三种景观类型的土壤体积含水量模拟值与降水、蒸散发、容重、土壤颗粒含量、土壤持水性能等因素呈现出不同水平的显著相关性(P<0.01),但均与降水、黏粉粒含量呈显著正相关,与蒸散发、容重、砂粒含量呈显著负相关。
[1]
郝丽娜, 粟晓玲. 黑河干流中游地区适宜绿洲及耕地规模确定[J]. 农业工程学报, 2015, 31(10): 262-268.

[Hao Li’na, Su Xiaoling. Determination for suitable scale of oasis and cultivated land in middle reaches of Heihe River basin[J]. Transactions of the Chinese Society of Agricultural Engineering, 2015, 31(10): 262-268.]

[2]
胡广录, 陶虎, 焦娇, 等. 黑河中游正义峡径流变化趋势及归因分析[J]. 干旱区研究, 2023, 40(9): 1414-1424.

[Hu Guanglu, Tao Hu, Jiao Jiao, et al. Runoff trend and attribution analysis of the Zhengyi Gorge in the middle reaches of the Heihe River[J]. Arid Zone Research, 2023, 40(9): 1414-1424.]

[3]
苏永中, 杨晓, 杨荣. 黑河中游边缘荒漠-绿洲非饱和带土壤质地对土壤氮积累与地下水氮污染的影响[J]. 环境科学, 2014, 35(10): 3683-3691.

[Su Yongzhong, Yang Xiao, Yang Rong. Effect of soil texture in unsaturated zone on soil nitrate accumulation and groundwater nitrate contamination in a marginal oasis in the middle of Heihe River Basin[J]. Environmental Science, 2014, 35(10): 3683-3691.]

DOI

[4]
胡广录, 陈海志, 麻进, 等. 黑河中游荒漠绿洲过渡带典型灌丛植物防风固沙效应[J]. 中国沙漠, 2023, 43(5): 31-40.

DOI

[Hu Guanglu, Chen Haizhi, Ma Jin, et al. Windbreak and sand-fixation effects of typical shrub plants in the desert-oasis transitional zone in the middle reaches of the Heihe River[J]. Journal of Desert Research, 2023, 43(5): 31-40.]

DOI

[5]
肖庆礼, 黄明斌, 邵明安, 等. 黑河中游绿洲不同质地土壤水分的入渗与再分布[J]. 农业工程学报, 2014, 30(2): 124-131.

[Xiao Qingli, Huang Mingbin, Shao Ming’an, et al. Infiltration and drainage processes of different textural soil moisture in middle reaches of Heihe River Basin[J]. Transactions of the Chinese Society of Agricultural Engineering, 2014, 30(2): 124-131.]

[6]
王金哲, 张光辉, 王茜, 等. 西北干旱区地下水生态功能评价指标体系构建与应用[J]. 地质学报, 2021, 95(5): 1573-1581.

[Wang Jinzhe, Zhang Guanghui, Wang Qian, et al. Construction and application of evaluation index system of groundwater ecological function in northwest arid area[J]. Acta Geologica Sinica, 2021, 95(5): 1573-1581.]

[7]
周川, 胡广录, 邓丽媛, 等. 黑河中游不同景观类型土壤有机质与含水率变化特征[J]. 甘肃农业大学学报, 2021, 56(4): 126-135.

[Zhou Chuan, Hu Guanglu, Deng Liyuan, et al. Variation characteristics of soil organic matter and water content in different types of landscape in the middle reaches of Heihe River[J]. Journal of Gansu Agricultural University, 2021, 56(4): 126-135.]

[8]
孙雪, 龙永丽, 刘乐, 等. 河西走廊中段荒漠绿洲土壤生态化学计量特征[J]. 环境科学, 2023, 44(6): 3353-3363.

[Sun Xue, Long Yongli, Liu Le, et al. Soil stoichiometry characterization in the oasis-desert transition zone of Linze, Zhangye[J]. Environmental Science, 2023, 44(6): 3353-3363.]

[9]
赵文玥, 吉喜斌, 金博文, 等. 西北干旱区泡泡刺灌丛的降雨再分配特征及影响因素分析[J]. 生态学报, 2022, 42(2): 804-817.

[Zhao Wenyue, Ji Xibin, Jin Bowen, et al. Rainfall partitioning patterns of the desert shrub Nitraria sphaerocarpa and its influencing factors in drylands of Northwest China[J]. Acta Ecologica Sinica, 2022, 42(2): 804-817.]

[10]
周宏. 基于多入渗模型的荒漠砂质土壤积水入渗模拟对比[J]. 干旱区研究, 2022, 39(1): 123-134.

[Zhou Hong. A comparative study of ponded infiltration in a desert sandy soil based on multi-hydrological models[J]. Arid Zone Research, 2022, 39(1): 123-134.]

[11]
李昌盛, 张志山, 张金林, 等. 荒漠-绿洲区土壤性质过渡特征[J]. 中国沙漠, 2022, 42(4): 209-218.

DOI

[Li Changsheng, Zhang Zhishan, Zhang Jinlin, et al. Transition characteristics of soil properties in desert-oasis[J]. Journal of Desert Research, 2022, 42(4): 209-218.]

DOI

[12]
赵文智, 任珩, 杜军, 等. 河西走廊绿洲生态建设和农业发展的若干思考与建议[J]. 中国科学院院刊, 2023, 38(3): 424-434.

[Zhao Wenzhi, Ren Heng, Du Jun, et al. Thoughts and suggestions on oasis ecological construction and agricultural development in Hexi Corridor[J]. Bulletin of Chinese Academy of Sciences, 2023, 38(3): 424-434.]

[13]
何志斌, 赵文智, 方静. 黑河中游地区植被生态需水量估算[J]. 生态学报, 2005, 25(4): 705-710.

[He Zhibin, Zhao Wenzhi, Fang Jing, et al. Ecological water requirements of vegetation in the middle reaches of Heihe River[J]. Acta Ecologica Sinica, 2005, 25(4): 705-710.]

[14]
赵文智, 程国栋. 干旱区生态水文过程研究若干问题评述[J]. 科学通报, 2001, 46(22): 1851-1857.

[Zhao Wenzhi, Cheng Guodong. Review of some issues in the study of ecohydrological processes in arid zones[J]. Chinese Science Bulletin, 2001, 46(22): 1851-1857.]

[15]
张克海, 胡广录, 方桥, 等. 黑河中游荒漠绿洲过渡带固沙植被根区土壤含水量[J]. 中国沙漠, 2020, 40(3): 33-42.

DOI

[Zhang Kehai, Hu Guanglu, Fang Qiao, et al. Water content in the root zone of sand-fixation vegetation in desert-oasis ecotone in the middle reaches of the Heihe River[J]. Journal of Desert Research, 2020, 40(3): 33-42.]

DOI

[16]
易军. 黑河中游不同景观单元水分运动与景观间水量交换[D]. 杨凌: 西北农林科技大学, 2016.

[Yi Jun. Water Transport in Different Landscepes and Water Exchange among Landscape Transtion Zone in the Middle Reaches of Heihe River Basin[D]. Yangling: Northwest A & F University, 2016.]

[17]
蒋小芳, 段翰晨, 廖杰, 等. 基于PLUS-SD耦合模型的黑河流域中游甘临高地区土地利用研究[J]. 干旱区研究, 2022, 39(4): 1246-1258.

[Jiang Xiaofang, Duan Hanchen, Liao Jie, et al. Land use in the Gan-Lin-Gao region of middle reaches of Heihe River Basin based on a PLUS-SD coupling model[J]. Arid Zone Research, 2022, 39(4): 1246-1258.]

[18]
Hou L Z, Wang X S, Hu B X, et al. Experimental and numerical investigations of soil water balance at the hinterland of the Badain Jaran Desert for groundwater recharge estimation[J]. Journal of Hydrology, 2016, 504: 386-396.

[19]
洪光宇, 王晓江, 刘铁山, 等. 基于Hydrus-1D模型的毛乌素沙地杨柴(Hedysarum laeve)灌木林土壤含水量模拟[J]. 中国沙漠, 2022, 42(6): 233-242.

DOI

[Hong Guangyu, Wang Xiaojiang, Liu Tieshan, et al. Applicability of Hydrus-1D Model in simulating the soil moisture in Hedysarum leave in Mu Us Sandy Land, China[J]. Journal of Desert Research, 2022, 42(6): 233-242.]

DOI

[20]
洪光宇, 王晓江, 苏庆溥, 等. 毛乌素沙地流动沙丘土壤水分模拟及渗漏特征[J]. 中国沙漠, 2023, 43(2): 288-298.

DOI

[Hong Guangyu, Wang Xiaojiang, Su Qingpu, et al. Simulation of soil moisture and leakage characteristics of mobile dunes in Mu Us Sandy Land[J]. Journal of Desert Research, 2023, 43(2): 288-298.]

DOI

[21]
王宇祥, 刘廷玺, 段利民, 等. 科尔沁不同类型沙丘土壤水分时空变化特征及其环境影响因子[J]. 水土保持学报, 2020, 34(6): 125-134, 142.

[Wang Yuxiang, Liu Tingxi, Duan Limin, et al. Temporal and spatial variation characteristics of soil moisture and environmental impact factors in different types of dunes in Horqin[J]. Journal of Soil and Water Conservation, 2020, 34(6): 125-134, 142. ]

[22]
代智光. 基于Hydrus-2D的红壤区涌泉根灌自由入渗土壤水分运移数值模拟[J]. 干旱地区农业研究, 2020, 38(4): 27-31.

[Dai Zhiguang. Numerical simulation of soil water movement in free infiltration under surge-root irrigation in red soil region based on Hydrus-2D[J]. Agricultural Research in the Arid Areas, 2020, 38(4): 27-31.]

[23]
王宇祥, 刘廷玺, 段利民, 等. 基于Hydrus-1D模型的科尔沁沙地沙丘-草甸相间区土壤水分动态模拟[J]. 中国沙漠, 2020, 40(2): 195-205.

DOI

[Wang Yuxiang, Liu Tingxi, Duan Limin, et al. Dynamic law of soil moisture in Horqin Sand Dune-Meadow Area based on Hydrus-1D Model and its applicability evaluation[J]. Journal of Desert Research, 2020, 40(2): 195-205.]

DOI

[24]
吉吉佳门, 程一本, 谌玲珑, 等. 科尔沁沙地樟子松人工林土壤水分动态及其对降雨的响应[J]. 干旱区研究, 2023, 40(5): 756-766.

[Jiji Jiamen, Cheng Yiben, Chen Linglong, et al. Dynamic changes in soil moisture and its response to rainfall in Pinus sylvestris var. mongolica plantation in Horqin Sandy Land[J]. Arid Zone Research, 2023, 40(5): 756-766.]

[25]
Yang T, Šimůnek J, Mo M, et al. Assessing salinity leaching efficiency in three soils by the HYDRUS-1D and -2D simulations[J]. Soil and Tillage Research, 2019, 194: 104342.

DOI

[26]
付玉娟, 李尧, 喻浩洋, 等. Hydrus-2D模拟起垄覆膜处理对夏玉米生育期水量平衡的影响[J]. 农业工程学报, 2023, 39(10): 76-87.

[Fu Yujuan, Li Yao, Yu Haoyang, et al. Effects of ridging and plastic film mulching on the water balance of summer maize during its growth period[J]. Transactions of the Chinese Society of Agricultural Engineering, 2023, 39(10): 76-87.]

[27]
张炜, 王浩远, 赵玉华, 等. 基于HYDRUS-1D生物滞留设施雨水径流水文调控模拟[J]. 水资源保护, 2022, 38(3): 102-108.

[Zhang Wei, Wang Haoyuan, Zhao Yuhua, et al. Hydrological regulation simulation of rainwater runoff of bioretention based on HYDRUS-1D[J]. Water Resources Protection, 2022, 38(3): 102-108.]

[28]
郭勇, 尹鑫卫, 李彦, 等. 农田-防护林-荒漠复合系统土壤水盐运移规律及耦合模型建立[J]. 农业工程学报, 2019, 35(17): 87-101.

[Guo Yong, Yin Xinwei, Li Yan, et al. Soil water and salt dynamics and its coupling model at cropland-treebelt-desert compound system[J]. Transactions of the Chinese Society of Agricultural Engineering, 2019, 35(17): 87-101.]

[29]
李仙岳, 陈宁, 史海滨, 等. 膜下滴灌玉米番茄间作农田土壤水分分布特征模拟[J]. 农业工程学报, 2019, 35(10): 50-59.

[Li Xianyue, Chen Ning, Shi Haibin, et al. Soil moisture distribution characteristics simulation of maize-tomato intercropping field with drip-irrigated under plastic mulch[J]. Transactions of the Chinese Society of Agricultural Engineering, 2019, 35(10): 50-59.]

[30]
王印杰, 王玉珉. 非饱和土壤水分函数解析与Richards方程入渗新解[J]. 水文, 1996, 1(2): 1-9, 65.

[Wang Yinjie, Wang Yumin. Analysis of the unsaturated soil moisture function and new interpretation of the richards infiltration equation[J]. Journal of China Hydrology, 1996, 1(2): 1-9, 65. ]

[31]
吉喜斌, 康尔泗, 陈仁升, 等. 植物根系吸水模型研究进展[J]. 西北植物学报, 2006, 26(5): 1079-1086.

[Ji Xibin, Kang Ersi, Chen Rensheng, et al. Research advances about water uptake models by plant roots[J]. Acta Botanica Boreali-Occidentalia Sinica, 2006, 26(5): 1079-1086.]

[32]
Wu X, Zuo Q, Shi J, et al. Introducing water stress hysteresis to the Feddes empirical macroscopic root water uptake model[J]. Agricultural Water Management, 2020, 240: 106293.

DOI

[33]
Sadeghi M, Hatch T, Huang G, et al. Estimating soil water flux from single-depth soil moisture data[J]. Journal of Hydrology, 2022, 610: 127999.

DOI

[34]
陈斌, 鲁延芳, 占玉芳, 等. 荒漠绿洲过渡带土壤水分空间分布特征及对植被的影响[J]. 西北林学院学报, 2023, 38(2): 25-32.

[Chen Bin, Lu Yanfang, Zhan Yufang, et al. Spatial distribution characteristics of soil moisture and its influence on vegetation in desert-oasis ecoton[J]. Journal of Northwest Forestry University, 2023, 38(2): 25-32.]

[35]
Rojano-Cruz R, Martínez-Moreno F J, Galindo-Zaldívar J, et al. Impacts of a hydroinfiltrator rainwater harvesting system on soil moisture regime and groundwater distribution for olive groves in semi-arid Mediterranean regions[J]. Geoderma, 2023, 438: 116623.

DOI

[36]
巩炜. 荒漠-绿洲过渡带斑块状植被区土壤水分入渗特征及其影响因素[D]. 兰州: 兰州交通大学, 2022.

[Gong Wei. Characteristics of Soil Water Infiltration and Its Influencing Factors in Patchy Vegetation Areas in the Desert-oasis Transition Zone[D]. Lanzhou: Lanzhou Jiaotong University, 2022.]

[37]
付鹏程, 胡广录, 巩炜, 等. 河西走廊沙漠-绿洲过渡带固沙植物根区土壤物理性质及持水特性[J]. 土壤通报, 2021, 52(4): 811-820.

[Fu Pengcheng, Hu Guanglu, Gong Wei, et al. Soil physical properties and water retention characteristics of the sand-fixing plant root zone in the desert-oasis transition area of Gansu corridor[J]. Chinese Journal of Soil Science, 2021, 52(4): 811-820.]

[38]
孙龙. 三峡库区紫色砂岩区柑橘地优先路径分布及其对溶质运移影响[D]. 北京: 北京林业大学, 2013.

[Sun Long. Transportation and Path Distribution of Preferential Flow in Citrus Soils of Purple Sandstone Regions, Three Gorges Reservoir Area[D]. Beijing: Beijing Forestry University, 2013.]

[39]
闫冰, 周智彬, 雷加强, 等. 塔里木沙漠公路防护林带土壤入渗研究[J]. 水土保持学报, 2012, 26(4): 98-103.

[Yan Bin, Zhou Zhibin, Lei Jiaqianh, et al. Studies on soil infiltration of shelter-forest along Tarim desert highway[J]. Journal of Soil and Water Conservation, 2012, 26(4): 98-103.]

[40]
孔东升, 金博文, 金铭, 等. 黑河流域中游农田防护林小气候效应[J]. 干旱区资源与环境, 2014, 28(1): 32-36.

[Kong Dongsheng, Jin Bowen, Jin Ming, et al. Microclimate effects of farmland shelterbelt in middle reaches of Heihe basin[J]. Journal of Arid Land Resources and Environment, 2014, 28(1): 32-36.]

[41]
王新平, 李新荣, 康尔泗, 等. 腾格里沙漠东南缘人工植被区降水入渗与再分配规律研究[J]. 生态学报, 2003, 23(6): 1234-1241.

[Wang Xinping, Li Xinrong, Kang Ersi, et al. The infiltration and redistribution of precipitation in revegetated sand dunes in the Tengger Desert,Shapotou,China[J]. Acta Ecologica Sinica, 2003, 23(6): 1234-1241.]

[42]
付晨馨, 种培芳, 周海, 等. 河西走廊绿洲边缘降水对土壤水分特征的影响[J]. 甘肃农业大学学报, 2023, 58(1): 137-145, 155.

[Fu Chenxin, Chong Peifang, Zhou Hai, et al. Effect of precipitation on soil moisture characteristics at the oasis edge of the Hexi Corridor[J]. Journal of Gansu Agricultural University, 2023, 58(1): 137-145, 155. ]

[43]
胡安焱, 付稳东, 陈云飞, 等. 毛乌素沙地不同覆被类型土壤水分动态及其对降水的响应[J]. 水土保持研究, 2023, 30(6): 133-142.

[Hu Anyan, Fu Wendong, Chen Yunfei, et al. Soil moisture dynamics and its response to precipitation in different cover types of the Mu Us sandy land[J]. Research of Soil and Water Conservation, 2023, 30(6): 133-142.]

[44]
车宗玺, 李进军, 汪有奎, 等. 祁连山西段草地土壤温度、水分变化特征[J]. 生态学报, 2018, 38(1): 105-111.

[Che Zongxi, Li Jinjun, Wang Youkui, et al. Characteristics of soil temperature and water content variation in the western Qilian Mountains[J]. Acta Ecologica Sinica, 2018, 38(1): 105-111.]

[45]
朱丽平, 夏江宝, 赵自国, 等. 温度和粒径分布对贝壳砂土壤水分的影响[J]. 水土保持学报, 2014, 28(6): 268-272, 288.

[Zhu Liping, Xia Jiangbao, Zhao Ziguo, et al. Effects of temperature and particle size distribution on soil moisture in shell sand[J]. Journal of Soil and Water Conservation, 2014, 28(6): 268-272, 288. ]

[46]
崔珍. 压砂地土壤水分、粒径、容重的空间变异及相关性研究[D]. 兰州: 兰州理工大学, 2018.

[Cui Zhen. Spatial Variability of Soil Water Content, Particle-size, Bulk Densityand Their Correlations in Gravel-mulched Fields[D]. Lanzhou: Lanzhou University of Technology, 2018.]

[47]
张鹏飞, 贾小旭, 赵春雷, 等. 初始容重对土壤水分特征曲线的影响[J]. 干旱区研究, 2022, 39(4): 1174-1180.

[Zhang Pengfei, Jia Xiaoxu, Zhao Chunlei, et al. Effects of initial bulk density on soil water characteristic curve[J]. Arid Zone Research, 2022, 39(4): 1174-1180.]

[48]
刘冠亨, 吴冠宇, 李建德, 等. 降雨过程中土壤物理结皮入渗情况及当量孔径的变化研究[J]. 干旱区研究, 2023, 40(10): 1608-1614.

[Liu Guanheng, Wu Guanyu, Li Jiande, et al. Equivalent pore size characteristics in the soil physical crust[J]. Arid Zone Research, 2023, 40(10): 1608-1614.]

[49]
吴凤平, 王辉, 卢霞, 等. 砂石含量及粒径对红壤水分扩散率的影响[J]. 水土保持学报, 2009, 23(2): 228-231.

[Wu Fengping, Wang Hui, Lu Xia, et al. Effect of rock fragment content and size on red soil water diffusivity[J]. Journal of Soil and Water Conservation, 2009, 23(2): 228-231.]

Outlines

/