Plant Ecology

Morphological characteristics of the leaves and roots of Caroxylon passerinum seedlings in response to drought-induced stress

  • YAN Qiaofang ,
  • SHAN Lishan ,
  • XIE Tingting ,
  • WANG Hongyong ,
  • SHI Yating
Expand
  • College of Forestry, Gansu Agricultural University, Lanzhou 730070, Gansu, China

Received date: 2023-05-15

  Revised date: 2023-08-24

  Online published: 2024-06-20

Abstract

Exploring the response of leaf and root morphological characteristics of desert plants to drought stress is helpful in understanding and predicting their growth regulation strategies under the climate change scenario. The seedlings of the typical desert plant Caroxylon passerinum were treated with slow and rapid drought, and the morphological indices of leaves and roots were measured. The morphological characteristics of leaves and roots of C. passerinum seedlings under drought stress were analyzed using slow and fast drought treatments. The results showed that: (1) with an extension in slow drought stress treatment time, thick-root diameter, fine-root specific length, and specific root area decreased; the leaf tissue density under rapid drought treatment increased; after slow drought treatment, the thick-root tissue density increased, while it increased at first and then decreased post-rapid drought treatment. (2) At the end of the growth period of 54 days, the thick-root diameter reduced markedly under the two treatments; the succulent degree and water content were significantly lower under rapid drought than those of the control and slow drought treatments, respectively. The thick-root tissue density of C. passerinum seedlings increased significantly after 37 days of stress, which was higher post-slow than fast drought. (3) The first four axes of principal components were mainly affected by coarse-root specific root length, thick-root tissue density, fine-root specific root length, and specific leaf area. Correlation analysis revealed that 29 pairs of characters were interrelated. In summary, the leaves, thick roots, and fine roots of C. passerinum showed varying adaptation strategies especially by reducing the diameter of thick roots under the two types of drought treatment. Under rapid drought, C. passerinum adapted to soil water deficit by enhancing the leaf tissue density and reducing fine-root specific root length and specific root area. Thus, C. passerinum seedlings adapt to drought through a coordination or tradeoff within and between leaf and root traits.

Cite this article

YAN Qiaofang , SHAN Lishan , XIE Tingting , WANG Hongyong , SHI Yating . Morphological characteristics of the leaves and roots of Caroxylon passerinum seedlings in response to drought-induced stress[J]. Arid Zone Research, 2024 , 41(1) : 92 -103 . DOI: 10.13866/j.azr.2024.01.09

干旱是植物在生长发育过程中所遭受的最严重的胁迫之一,不仅会影响到植物正常的生长和发育,当干旱发生较严重时,还会导致植物个体发生死亡现象[1]。近年来,随着全球变暖及降水格局的变化,极端干旱事件在干旱半干旱区频发[2]。植物在长期进化过程中,常以复杂的生存机制和抗逆策略生存在特定的环境中[3]。根叶形态变化是植物在选择压力下适应不同生境的表现,反映了植物适应环境变化而形成的生存策略[4]。叶片作为植物对环境变化反应最敏感的器官,在不同尺度的环境变化下,均会形成不同的适生形态类型,根系作为植物吸收养分和水分的主要器官,也是植物最先感受到土壤逆境胁迫的重要部位,其形态是评价植物受逆境胁迫的重要指标,在一定程度上反映了根系对不同生境的适应策略[5-6]。叶片和根系形态间的关联有助于更深入的揭示植物适应策略及其与环境变化的关系。因此,探究叶片和根系形态变化对干旱胁迫的响应具有重要的生态学意义。
目前国内外众多学者就植物根叶形态性状对干旱胁迫的响应已作了大量研究[7],一方面,在干旱胁迫下,植物叶片的比叶面积减小、叶组织密度增大、角质层增厚以及有较大的叶肉细胞表面积等,这会使叶片的储水能力增强,而蒸腾速率降低,从而提高其光合效率,最终表现出较强的耐旱性[8-9];随着土壤中水分含量的减少,植物叶片含水量下降,叶绿素合成受阻,进而影响植物光合作用[10]。另一方面,在不同干旱胁迫下,随着胁迫强度的加剧,植物的比根长、比根面积、根平均直径、根表面积、根体积及根尖数均在逐渐减小,而根组织密度在增大,进而减缓植物根系整体的生长发育,抑制根系的活性,减少根系对有机物的消耗[11-12]。植物对环境的适应策略通常体现在地上和地下性状间的共同变化上[7],目前相关研究认为叶片和根系形态间的关联关系以协同变化较多,而权衡作用较少[13],具体如何还需要更进一步探究。虽然这些研究丰富了植物对干旱胁迫适应的相关理论,但其主要集中在单一叶片或根系形态对水分适应策略的研究[14],而对于根叶形态特征组合的相关研究相对较少,较单一形态相比,根叶形态组合与植物面对干旱胁迫时的应对策略更为契合[15],因此,研究植物叶片和根系形态的耐旱策略还需要从根叶形态关联角度去开展更多工作。
珍珠柴(Caroxylon passerinum)是荒漠生态系统中的主要建群种,其抗逆性较强,生态可塑性大,对荒漠环境的保护发挥着重要生态作用[16]。众多学者已围绕生理生态、种群结构、叶片功能性状、根系形态[17-18]等方面对珍珠柴开展了系统研究,但目前关于珍珠柴根叶形态特征组合对干旱胁迫的响应尚不明晰,因此,本研究通过盆栽控水试验,人工模拟干旱,测定不同时期珍珠柴幼苗叶片和根系的相关形态指标,试图回答以下几个问题:(1)随干旱胁迫时间延长和胁迫强度的增加,珍珠柴幼苗如何调控叶片和根系形态性状以响应干旱胁迫;(2)叶片、根系形态性状内部,及之间有什么关联性;(3)是否存在特定性状集合适应不同干旱胁迫。回答以上问题,将有助于揭示荒漠植物在干旱胁迫条件下的生存调节策略,为荒漠植被的生存、保护与恢复等提供参考。

1 材料与方法

1.1 材料培养

2021年4月,在甘肃省景泰县的山前戈壁,选取株高10 cm、株幅10 cm左右的珍珠柴幼苗数株进行移栽。该区属温带干旱型大陆性气候(36°43′N,104°43′E),无霜期为141 d左右,年均风速3.5 m·s-1,年均降雨量184 mm,年均气温9.0 ℃。土壤类型主要有洪积灰棕荒漠土和灰钙土。地带性植被有红砂(Reaumuria songarica)、珍珠柴、白刺(Nitraria tangutorum)、芨芨草(Neotrinia splendens)、盐爪爪(Kalidium foliatum)等。幼苗选取后,进行挖掘带回甘肃农业大学校内试验基地进行栽植,每个花盆栽植幼苗1株,花盆上径30 cm,下径18 cm,高38 cm,移栽时每盆装土10 kg。培养基质由沙壤土和珍珠岩按照4:1混合,田间持水量为17.41%。待幼苗生长成活后,于2021年8月通过控制土壤含水量进行抗旱试验。每两天下午18:00采用人工称重补水的方式使得各处理土壤含水量符合设置要求。苗木培育地点在甘肃农业大学校内试验场地的遮雨棚内进行,遮雨棚为透光材料,仅供遮雨使用,光照和通风不受影响。棚周围无遮挡物,光照充足,通风良好。

1.2 试验设计

本试验设置一个对照组(充分供水组)和两个处理组(慢速干旱组和快速干旱组),每个处理3个重复,共计45盆植株(3个处理×5次取样×每次3盆),样本量n=45。按随机区组设计,依据不同水分处理设3个小区,各小区间隔2 m。于2021年7月,对全部的试验苗木进行了15 d的水分适应处理,土壤含水量为田间持水量的80%。2021年8月,考虑到单株植物耗水量的不同,本试验使用称重控水的方法,在每两天的18:00点控制土壤含水量。充分供水组的植物每次浇水量使土壤含水量控制在田间持水量80%附近。慢速干旱组的植物处理开始时的浇水量为田间持水量的80%,之后回浇失水量的60%。快速干旱组的植物不浇水,使其自然干旱。

1.3 指标测定和计算

分别在干旱胁迫后7 d、15 d、27 d、37 d和54 d取样,每个处理每次取3株。样品采集时,将珍珠柴幼苗整株从盆中取出,尽可能地确保根系的完整性,用保鲜膜包裹根系以防止水分流失,迅速将样品带回实验室,分离叶片和根系,分离后清除叶片和根系上的杂质,称量叶片得到叶片鲜重。用游标卡尺区分粗根(直径>2 mm)和细根(直径≤2 mm),之后用扫描仪(Win-RhIZO 2008a)扫描叶片、粗根、细根,得到叶表面积、叶体积、根长、根直径、根表面积、根体积。测量完成后将叶片和粗细根分别装入信封袋并置于105 ℃ 30 min除去生物活性,75 ℃烘箱烘至恒重,之后用天平称得各部分干重,各指标计算如下:
( D O F ) = ( g ) ( g )
( W C ) = ( g ) - ( g ) ( g ) × 100 %
( S L A ) = ( c m 2 ) ( g )
( L T D ) = ( g ) ( c m 3 )
( S R L ) = ( c m ) ( g )
( S R A ) = ( c m ) ( g )
( R T D ) = ( g ) ( c m 3 )

1.4 数据处理

运用SPSS 26.0软件对数据进行统计分析,不同干旱强度、干旱时间及其交互作用对珍珠柴形态特征的影响采用重复测量方差分析,并使用最小显著性(LSD)法检验同一胁迫时间或胁迫强度下珍珠柴形态特征的显著性差异。采用R 4.2.1中的factoextra包对主成分前4个轴作重要性排序,其余图均由Origin 2021完成,各图数据均为平均值±标准误差。

2 结果与分析

2.1 干旱胁迫条件下珍珠柴的叶片形态特征

重复测量方差分析表明(表1),干旱强度对珍珠柴幼苗叶片含水量有显著影响(P<0.05);干旱时间对珍珠柴叶片肉质化程度、含水量具有极显著影响(P<0.01);干旱强度和干旱时间的交互作用对珍珠柴叶片含水量有极显著影响,对叶片比叶面积均无显著差异。
表1 干旱胁迫强度和胁迫时间对珍珠柴幼苗叶片性状的重复测量方差分析

Tab. 1 Repeated measurement ANOVA of drought stress intensity and stress time on C. passerinum leaf traits

性状 干旱强度 干旱时间 交互作用
肉质化程度/(g·g-1 0.207 21.456** 1.844
叶片含水量/% 3.944* 16.404** 5.385**
比叶面积/(cm2·g-1 0.543 1.181 1.434
叶组织密度/(g·cm-3 0.155 1.753 1.805
粗根比根长/(cm·g-1 4.405* 12.653** 2.979
粗根比根面积/(cm2·g-1 8.380** 9.602** 1.119
粗根组织密度/(g·cm-3 8.498** 18.124** 2.047
粗根直径/mm 1.292 3.258 7.588**
细根比根长/(cm·g-1 6.424** 29.991** 7.112**
细根比根面积/(cm2·g-1 20.576 22.702** 5.228**
细根组织密度/(g·cm-3 6.594* 114.10** 41.609**
细根直径/mm 25.939** 49.613** 9.015**

注:*表示相关性显著,**表示相关性极显著。

图1可知,随干旱时间的延长,充分供水和两种干旱处理下的珍珠柴幼苗叶片肉质化程度和含水量均呈减小趋势,与干旱初期相比(7 d),生长末期(54 d)充分供水、慢速干旱和快速干旱处理的肉质化程度和含水量分别显著减小57.647%、54.013%、80.412%和15.716%、11.708%、46.486%(图1a图1b);而随干旱时间延长,快速干旱处理的珍珠柴幼苗叶组织密度整体增加,与干旱初期相比(7 d),其生长末期(54 d)增大了32.732%(图1d)。在生长末期(54 d),快速干旱处理下的肉质化程度和含水量分别显著低于充分供水和慢速干旱处理(P<0.05),与充分供水相比,其肉质化程度和叶片含水量分别降低56.890%、37.931%,与慢速干旱相比,其肉质化程度和叶片含水量分别降低52.218%、37.363%(图1a图1b)。
图1 干旱胁迫下珍珠柴叶片形态指标动态变化特征

注:大写字母表示同一胁迫强度不同胁迫时间下珍珠柴在0.05水平存在显著性差异(P<0.05);小写字母表示同一胁迫时间不同胁迫强度下珍珠柴在0.05水平存在显著性差异(P<0.05);下同。

Fig. 1 Characterization of dynamic changes in morphological indexes of C. passerinum leaves under drought stress

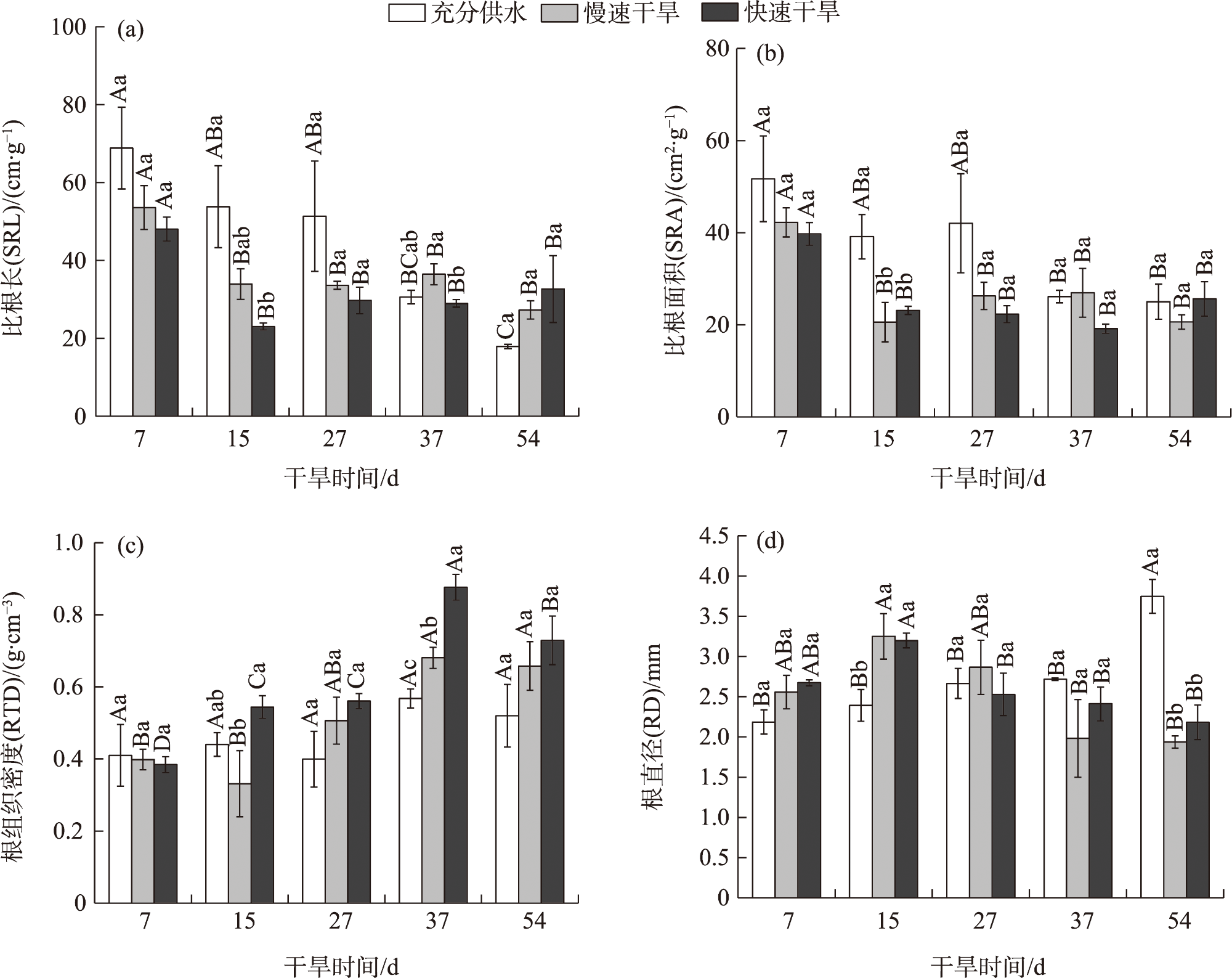
2.2 干旱胁迫条件下珍珠柴的粗根形态特征

重复测量方差分析结果表明(表1),干旱强度对珍珠柴幼苗粗根比根长有显著影响(P<0.05),对粗根组织密度、粗根比根面积有极显著影响(P<0.01);干旱时间对珍珠柴粗根比根长、粗根组织密度、粗根比根面积有极显著影响;干旱强度和干旱时间交互作用对粗根直径有极显著影响。
图2可知,随干旱时间的延长,两种处理下的珍珠柴幼苗粗根比根长和比根面积呈先减小后趋于平缓的变化趋势,与干旱初期相比(7 d),干旱15 d时两种处理的粗根比根长和比根面积分别显著减小36.656%、52.036%和51.333%、41.802%(图2a图2b);随干旱时间延长,慢速干旱处理的珍珠柴幼苗粗根组织密度呈增加趋势,与干旱初期相比(7 d),生长末期(54 d)慢速干旱增加了39.407%,而快速干旱处理的粗根组织密度呈增减趋势,与干旱初期(7 d)相比,37 d时增加了56.132%,与37 d相比,54 d时减小了16.787%(图2c);随干旱时间延长,充分供水的粗根直径呈增加趋势,与干旱初期相比(7 d),生长末期(54 d)充分供水增加了41.695%,与15 d相比,干旱54 d时,两种处理的珍珠柴幼苗粗根直径整体呈减小趋势,分别减小40.398%、31.761%(图2d)。胁迫15 d时,快速干旱处理的粗根比根长和比根面积显著低于充分供水(P<0.05),与充分供水相比,其粗根比根长和比根面积减少57.163%、40.910%(图2a图2b);干旱37 d时,充分供水和两种干旱处理的珍珠柴幼苗粗根组织密度呈显著差异(P<0.05),表现为快速干旱>慢速干旱>充分供水,与充分供水相比,两种干旱处理分别增加16.566%、35.198%(图2c);胁迫54 d时,两种干旱处理的粗根直径显著小于充分供水(P<0.05),与充分供水相比,两种干旱处理的粗根直径分别小48.317%、41.784%(图2d)。
图2 干旱胁迫下珍珠柴粗根形态指标动态变化特征

Fig. 2 Characterization of dynamic changes in morphological indexes of C. passerinum thick root under drought stress

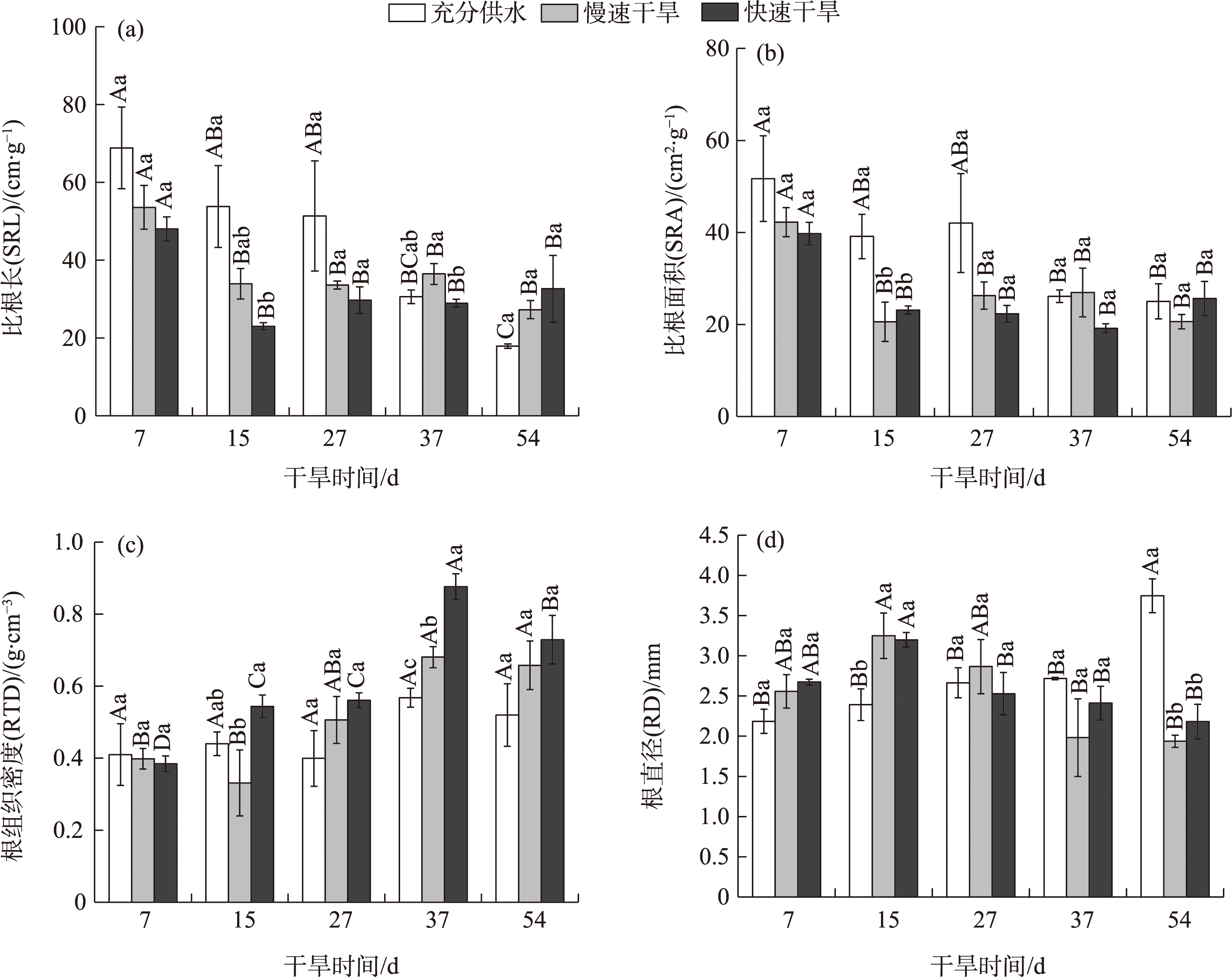
2.3 干旱胁迫条件下珍珠柴的细根形态特征

重复测量方差分析结果表明(表1),干旱强度对珍珠柴幼苗细根比根长、细根直径有极显著影响(P<0.01);对细根组织密度有显著影响(P<0.05)。干旱时间对细根比根长、细根比根面积、细根组织密度及细根直径有极显著影响;干旱强度和干旱时间的交互作用对细根比根长、细根比根面积、细根组织密度和细根直径有极显著影响。
图3可知,随着干旱时间的延长,快速干旱处理的珍珠柴幼苗细根比根长和比根面积整体呈减小趋势,与干旱初期相比(7 d),生长末期(54 d)快速干旱处理的细根比根长和比根面积分别减小47.277%、48.147%,而慢速干旱处理的细根比根长和比根面积呈先减(7~15 d)后增(15~54 d)趋势,与7 d相比,15 d时比根长和比根面积分别减小50.528%、43.822%,与15 d相比,54 d时比根长和比根面积分别增加48.100%、35.182%(图3a图3b);在15~54 d,两种干旱处理下的细根组织密度和直径整体呈先减(15~27 d)后增(27~54 d)趋势,与15 d相比,27 d时两种干旱处理下的细根组织密度和直径分别减小40.778%、28.317%和34.674%、49.114%,与27 d相比,54 d时两种干旱处理下的细根组织密度和直径分别增加29.794%、56.532%和55.001%、64.660%(图3c图3d)。在54 d时,慢速干旱处理下的细根比根长和比根面积均显著高于充分供水和快速干旱处理(P<0.05),与充分供水相比,其比根长和比根面积分别增加48.316%、34.263%,与快速干旱相比,其比根长和比根面积分别增加37.980%、36.612%;54 d时,快速干旱处理的细根组织密度均显著高于充分供水和慢速干旱处理(P<0.05),分别增加22.621%、37.214%。
图3 干旱胁迫下珍珠柴细根形态指标动态变化特征

Fig. 3 Characterization of dynamic changes in morphological indexes of C. passerinum fine roots under drought stress

2.4 珍珠柴幼苗叶片和根系形态特征差异及相关性

主成分分析显示了4个主要的性状变异轴(图4表2),累计解释率为78.744%。其中,第一轴解释总变异的36.868%,主要由表征植物耐旱性能的肉质化程度所决定;第二轴解释总变异的15.645%,主要由表征植物获取水分和养分资源的粗根形态指标粗根比根长以及表征植物防御功能的指标叶组织密度、粗根组织密度所决定;第三轴解释总变异的13.826%,主要由细根形态指标细根比根长、细根组织密度决定;第四轴解释总变异的12.406%,主要由表征植物资源分配利用的叶片形态指标比叶面积所决定。在主成分分析中,不同水分处理下的珍珠柴个体在第一轴或第二轴上无明显区分。对形态性状的重要性排序发现(图5),粗根比根长、粗根组织密度、细根比根长、比叶面积是珍珠柴性状变异的主要指标。
图4 干旱胁迫条件下珍珠柴幼苗根叶形态特征PCA分析结果

注:DOF为肉质化程度,WC为叶片含水量,SLA为比叶面积,LTD为叶组织密度,T-SRL为粗根比根长,T-SRA为粗根比根面积,T-RTD为粗根组织密度,T-RD为粗根直径,F-SRL为细根比根长,F-SRA为细根比根面积,F-RTD为细根组织密度,F-RD为细根直径。下同。

Fig. 4 Results of PCA analysis of root and leaf morphological characteristics of C. passerinum seedlings under drought stress

表2 主成分载荷矩阵

Tab. 2 Principal component loading matrix

PC1 PC2 PC3 PC4
肉质化程度 0.409 -0.150 0.125 0.070
叶片含水量 0.365 -0.237 0.231 -0.105
比叶面积 0.215 -0.331 -0.087 0.545
叶组织密度 -0.259 0.416 -0.133 -0.342
粗根比根长 0.279 0.503 0.035 0.255
粗根比根面积 0.353 0.063 -0.338 -0.129
粗根组织密度 0.282 0.503 0.105 0.187
粗根直径 0.364 0.013 -0.286 -0.276
细根比根长 -0.252 -0.221 -0.539 0.099
细根比根面积 -0.279 0.205 0.231 0.393
细根组织密度 -0.044 -0.182 0.590 -0.331
细根直径 -0.168 -0.065 0.073 0.322
贡献率/% 36.868 15.645 13.826 12.406
累积贡献率/% 36.868 52.512 66.338 78.744
图5 重要性排序图

Fig. 5 Importance ranking diagram

由相关性分析结果可知(图6),肉质化程度与叶片含水量、比叶面积、粗根比根面积呈极显著正相关(P<0.01),与叶组织密度、细根比根长呈极显著负相关(P<0.01),与粗根比根长、粗根组织密度呈显著正相关,与细根比根面积显著负相关。叶片含水量与叶组织密度、细根比根长、细根比根面积呈极显著负相关,与比叶面积、粗根比根面积呈显著正相关。粗根比根长与粗根组织密度呈极显著正相关,与细根比根长呈极显著负相关,与粗根比根面积呈显著正相关,与细根组织密度呈显著负相关。粗根比根面积与粗根组织密度呈极显著正相关,与细根比根长呈极显著负相关。细根比根长与粗根组织密度和细根组织密度呈极显著负相关。
图6 干旱胁迫条件下珍珠柴幼苗根叶形态特征相关性分析

注:*表示相关性显著,**表示相关性极显著,红色代表正相关,蓝色代表负相关,红色斜杠代表自相关。

Fig. 6 Correlation analysis of root and leaf morphological characteristics of C. passerinum seedlings under drought stress

3 讨论

3.1 干旱胁迫对珍珠柴幼苗叶片形态特征的影响

叶片形态性状变化能反映出植物所处生态系统的功能特征,以及对所处生态系统的适应能力[19]。有研究指出,随干旱胁迫加强,植物能通过增加叶干物质量和降低比叶面积、叶片含水量、肉质化程度等适应干旱胁迫[20]。本研究发现,随干旱胁迫时间延长,珍珠柴幼苗叶片肉质化程度和含水量呈减小趋势,且在生长末期,快速干旱处理的肉质化程度和叶片含水量最小,这与赵广兴等[21]研究的结果类似。说明干旱胁迫时,随干旱胁迫时间延长,珍珠柴幼苗会通过肉质化叶片所储存的水分来维持正常生理活动,所以会导致叶片肉质化程度和叶片含水量会显著减小,且快速干旱对其的影响最大。然而,也有研究表明,随自然降水量的减少,红砂叶片肉质化程度和含水量呈增加趋势[22],可能是因为在受到干旱胁迫影响后,植物各有其特定的抗旱特性,珍珠柴主要通过消耗肉质化叶片所贮存的水分维持正常生长,而红砂则通过提高肉质化程度锁住水分,维持细胞正常代谢。说明随着土壤中水分减少,根系供应到地上部分的水分减少,植物为应对这种胁迫,会通过增加叶片肉质化程度和含水量来减少自身水分散失,以此增加资源的保有能力。
比叶面积可直接反映植物对不同生境的适应性和对资源的获取能力[23]。有研究表明,在干旱胁迫条件下,荒漠植物通过减小比叶面积适应生境中的水分亏缺[24]。本研究发现,干旱胁迫时间的延长和胁迫强度的加剧并没有对珍珠柴幼苗比叶面积产生影响。然而,这与张曦等[25]认为随着干旱胁迫加剧而紫花苜蓿(Medicago sativa)比叶面积减小的研究结果相悖。可能是因为物种不同或所设干旱胁迫梯度不同所导致,因此,在今后更深入研究干旱胁迫条件下植物叶片形态变化时,需综合考虑物种选择及干旱梯度设置。叶组织密度是研究荒漠植物抗逆能力的重要指标之一,叶组织密度较高的植物生长缓慢,可以为防御构造储备更多的碳,使植物体内保存更多的水分和养分,以适应干旱生境[26]。本研究中,随干旱胁迫时间的延长,快速干旱处理的珍珠柴幼苗叶组织密度呈增加趋势。这与Shipley等[27]发现生长在干旱地区的植物会通过增大叶片组织密度适应干旱胁迫的研究结果类似。这说明在快速干旱处理下,随干旱胁迫时间的延长,珍珠柴通过增大叶组织密度形成对干旱胁迫的适应性。然而,这与许敏[28]研究干旱胁迫下密蒙花(Buddleja officinalis)以较小的叶组织密度抵抗干旱胁迫的研究结果相悖,可能是因为生长在荒漠生境中的植物与生长在喀斯特石漠化生境的植物在应对土壤中水分亏缺时各有其特定的抗旱特性,这可能与本身的遗传特性有关。

3.2 干旱胁迫对珍珠柴幼苗根系形态特征的影响

根系形态特征直接影响植物地上部分的生长和发育,细根是根系中对土壤水分和养分吸收最活跃的部分,其根尖细胞具有高度的可分裂性和代谢性,较细根而言,粗根对土壤水分和养分的供应不敏感[29]。比根长和比根面积作为反应根系形态结构的重要指标,可综合反映植物对于水分和养分的吸收能力以及生态适应性[30]。有研究表明,随着干旱强度的增加,植物的比根长、比根面积减小[31]。也有研究认为,水分胁迫使红砂(Reaumuria songarica)幼苗比根长和比根面积增加,且主要通过低级根来实现[32]。本研究发现,在不同处理下,随着干旱胁迫时间的延长,珍珠柴幼苗粗根比根长和比根面积整体呈先减小后趋于平缓的变化趋势;细根比根长和比根面积在快速干旱处理下呈不断减小的变化趋势,而在慢速干旱处理下则呈先减后增的趋势,然而,这与李帅等[32]和黄海霞等[33]的研究结果相悖,可能是因为细根一开始受到慢速干旱胁迫影响后,通过减小比根长和比根面积响应水分胁迫,之后通过自身调节增加细根比根长和比根面积扩大根系生长空间,以此适应干旱环境[34]。而粗根受到干旱胁迫影响一段时间后基本适应干旱环境,比根长和比根面积基本保持稳定。说明较粗根而言,珍珠柴幼苗细根比根长和比根面积对干旱处理的敏感性可能更高,以及适度的干旱胁迫强度和延长干旱时间有利于珍珠柴幼苗提高水分和养分资源的获取能力。
根组织密度大的植物,根系组织防御力和伸展力较大,在获取水分和养分方面更有利[35]。本研究发现,随干旱强度加强和干旱时间延长,珍珠柴幼苗粗根组织密度整体增加,但在快速干旱胁迫后期,粗根组织密度减小,细根组织密度在干旱胁迫一定时间开始至干旱胁迫末期整体呈先减后增的趋势。然而,这与孙婧珏[36]认为随生境中水分的减少,植物细根组织密度变大的研究结果相悖。可能是因为降低根组织密度可以加快植株生长周转,减少水分及养分的流失,提高水分和养分利用效率[37],然而,在珍珠柴幼苗适应干旱环境后会通过自身调节使得细根组织密度提高,这加强了细根的韧性,增强了防御力,弥补了在干旱时根系变细变长所带来的风险[38]。说明适度的干旱胁迫强度和干旱胁迫时间有利于扩大植物根系的防御作用以及提高物质贮存能力和耐旱力,即珍珠柴在慢速干旱条件下能获得最大生长收益。而在快速干旱胁迫后其粗根耐旱力下降。
根系直径影响根系固持植物于土壤及根系吸收水分和养分的能力,可反应根系在空间中的发育情况[39]。有研究认为,植物能利用自身形态性状间的协同或权衡作用形成不同的避逆策略来适应干旱胁迫[14],本研究发现,随胁迫时间的延长,慢速和快速干旱处理下珍珠柴幼苗粗根直径整体呈减小趋势,而细根则呈先减后增趋势。这与张金菊等[40]发现随干旱胁迫强度的加剧,黑果枸杞(Lycium ruthenicum)幼苗的平均根系直径呈先减小后增大的研究结果类似。这说明在一定干旱胁迫时期内,干旱处理后的珍珠柴幼苗其根系直径均有不同水平的降低。但在干旱胁迫中后期,细根直径增加,可能是因为干旱胁迫使得珍珠柴幼苗的粗根生长发育受阻,导致细根数量增多,有利于细根的生长发育[41]。表明随着干旱胁迫时间延长,植物通过减小粗根生长来调节细根生长,即植物在干旱胁迫条件下能通过自身性状间的权衡作用来做出相应的生存策略以响应水分胁迫[42]

3.3 根叶形态性状之间的关联关系

通过对珍珠柴幼苗根叶形态性状进行主成分分析发现,不同水分处理下的珍珠柴个体在主成分第一轴或第二轴上无明显区分,即珍珠柴在不同干旱胁迫条件下很难划分出与抗旱有关的特定组合。然而,本研究通过对形态性状的重要性排序发现,粗根比根长、粗根组织密度、细根比根长、比叶面积是影响珍珠柴性状变异的主要指标。表明了珍珠柴能通过调控以上指标来适应环境中的土壤水分变化。然而,这与周洁等[42]研究骆驼刺(Alhagi spasifolia)对干旱适应策略差异所得的研究结果相悖,可能是因为比叶面积和比根长是表征植物适应不同生境和获取资源能力的重要指标,根组织密度是表征植物防御力和吸收能力的根系形态指标[43]。也可能与研究的物种特性有关或不同植物在不同水分环境条件下所形成的适应方式不同有关而导致的结果差异,因此,加强这方面的进一步研究可为理解植物在干旱胁迫下的形态适应提供参考依据。
有研究表明,植物各功能性状在发挥作用时,并不是相互独立的,而是各个性状间均存在一定的相关性[44],本研究发现,珍珠柴幼苗叶片和根系形态性状内部存在不同程度的相关性,即肉质化程度与叶片含水量、比叶面积、粗根比根面积、粗根比根长之间存在显著正相关关系,这说明在不同水分胁迫条件下,珍珠柴幼苗通过叶片与粗根间的协同变异响应干旱胁迫。可能原因是在水分胁迫生境中,珍珠柴幼苗通过增加其叶片的持水能力以及加强粗根旱生形态特征形成耐旱策略[45]。本研究也发现,叶片含水量与叶组织密度、细根比根长、细根比根面积呈极显著负相关关系。这与马丽等[45]、顾娇等[46]的研究结果较为一致,这说明珍珠柴幼苗通过叶片与细根间的权衡策略响应干旱胁迫。可能是因为在干旱胁迫条件下,随叶片含水量的降低,植物体为了防止叶片水分流失过多,叶组织密度增大,且随着干旱胁迫强度的加强,细根根尖细胞分裂旺盛,进而细根根长和生物量增加,从而导致细根比根长和比根面积增大,由此珍珠柴幼苗获取和利用水分和养分的能力增强[47]。本研究还发现细根比根长与粗根组织密度存在负相关关系,这与戚德辉等[37]研究不同水分梯度下所得的细根比根长和细根组织密度负相关的结果不同。可能是因为在干旱条件下,珍珠柴幼苗侧重于细根的生长,因此粗根生长受阻,粗根防御功能下降,这说明珍珠柴幼苗是通过权衡根系形态特征之间的相互关系来响应水分胁迫[48]

4 结论

通过研究珍珠柴幼苗叶片和根系形态特征对干旱胁迫的响应,发现干旱胁迫使粗根生长受阻,在慢速干旱条件下,细根比根长和比根面积均减小、粗根组织密度增大,而快速干旱处理的粗根组织密度则呈先增后减。快速干旱处理的肉质化程度和含水量分别显著低于充分供水和慢速干旱处理。快速干旱处理下,珍珠柴通过增大叶组织密度来构造防御系统使植物保存体内养分以适应干旱环境。适度延长干旱时间和增加干旱胁迫强度更有利于珍珠柴幼苗对水分和养分资源的获取和根系防御功能的提升。珍珠柴幼苗通过根叶性状内部及之间的协同或权衡策略适应干旱生境,在不同干旱处理下,珍珠柴并不存在特定性状组合来形成抗旱策略。
[1]
夏振华, 陈亚宁, 朱成刚, 等. 干旱胁迫环境下的胡杨叶片气孔变化[J]. 干旱区研究, 2018, 35(5): 1111-1117.

[Xia Zhenhua, Chen Yaning, Zhu Chenggang, et al. Stomatal changes in leaves of Populus euphratica under drought stress[J]. Arid Zone Research, 2018, 35(5): 1111-1117.]

[2]
Liu L B, Gudmundsson L, Hauser M, et al. Soil moisture dominates dryness stress on ecosystem production globally[J]. Nature Communications, 2020, 11(1): 4892.

DOI PMID

[3]
黄文琳, 张强, 孔冬冬, 等. 1982—2013年内蒙古地区植被物候对干旱变化的响应[J]. 生态学报, 2019, 39(13): 4953-4965.

[Huang Wenlin, Zhang Qiang, Kong Dongdong, et al. Response of vegetation phenology to drought changes in Inner Mongolia from 1982 to 2013[J]. Acta Ecologica Sinica, 2019, 39(13): 4953-4965.]

[4]
刘莹, 盖钧镒, 吕彗能. 作物根系形态与非生物胁迫耐性关系的研究进展[J]. 植物遗传资源学报, 2003, 4(3): 265-269.

[Liu Ying, Gai Junyi, Lv Huineng. Advances of the relationship between crop root morphology and abiotic stress tolerance to antibiotic stress[J]. Journal of Plant Genetic Resources, 2003, 4(3): 265-269.]

[5]
马剑英, 方向文, 夏敦胜, 等. 荒漠植物红砂叶片元素含量与气候因子的关系[J]. 植物生态学报, 2008, 32(4): 848-857.

DOI

[Ma Jianying, Fang Xiangwen, Xia Dunsheng, et al. Relationship between element contents in leaves of desert plant Reaumuria soongorica and climatic factors[J]. Chinese Journal of Plant Ecology, 2008, 32(4): 848-857.]

DOI

[6]
Dai A. Drought under global warming: A review[J]. Wiley Interdisciplinary Reviews: Climate Change, 2011, 2(1): 45-65.

DOI

[7]
Fang Y J, Xiong L Z. General mechanisms of drought response and their application in drought resistance improvement in plants[J]. Cellular and Molecular Life Sciences, 2015, 72(4): 673-689.

DOI PMID

[8]
张盼盼, 慕芳, 宋慧, 等. 糜子叶片解剖结构与其抗旱性关联研究[J]. 农业机械学报, 2013, 44(5): 119-126.

[Zhang Panpan, Mu Fang, Song Hui, et al. Anatomical structure and drought resistance in broomcorn millet leaf[J]. Transactions of the Chinese Society for Agricultural Machinery, 2013, 44(5): 119-126.]

[9]
闫小莉, 戴腾飞, 邢长山, 等. 水肥耦合对欧美108杨幼林表土层细根形态及分布的影响[J]. 生态学报, 2015, 35(11): 3692-3701.

[Yan Xiaoli, Dai Tengfei, Xing Changshan, et al. Coupling effect of water and nitrogen on the morphology and distribution of fine root in surface soil layer of young Populus x canadensis plantation[J]. Acta Ecologica Sinica, 2015, 35(11): 3692-3701.]

[10]
蔡丽平, 吴鹏飞, 侯晓龙, 等. 类芦根系对不同强度干旱胁迫的形态学响应[J]. 中国农学通报, 2012, 28(28): 44-48.

[Cai Liping, Wu Pengfei, Hou Xiaolong, et al. Morphological responses to different drought stress in the roots of Neyraudia reynaudiana[J]. Chinese Agricultural Science Bulletin, 2012, 28(28): 44-48.]

[11]
赵忠, 李鹏. 渭北黄土高原主要造林树种根系分布特征及抗旱性研究[J]. 水土保持学报, 2002, 16(1): 96-99, 107.

[Zhao Zhong, Li Peng. Researches on vertical root distributions and drought resistance of main planting tree species in Weibei Loess Plateau[J]. Journal of Soil and Water Conservation, 2002, 16(1): 96-99, 107.]

[12]
韦柳端. 北京石质山地主要景观树种根系功能性状对干瘠环境的适应[D]. 北京: 北京林业大学, 2021.

[Wei Liuduan. Adaptation of Root Functional Traits of Main Landscape Tree Species in Rocky Mountain Area of Beijing to Dry and Barren Environment[D]. Beijing: Beijing Forestry University, 2021.]

[13]
Withington J M, Reich P B, Oleksyn J, et al. Comparisons of structure and life span in roots and leaves among temperate trees[J]. Ecological Monographs, 2006, 76(3): 381-397.

DOI

[14]
Ordoniez J C, Van Bodegom P M, Witte J P M, et al. A global study of relationships between leaf traits climate and soil measures of nutrient fertility[J]. Global Ecology and Biogeography, 2009, 18(2): 137-149.

DOI

[15]
何芸雨, 郭水良, 王喆. 植物功能性状权衡关系的研究进展[J]. 植物生态学报, 2019, 43(12): 1021-1035.

DOI

[He Yunyu, Guo Shuiliang, Wang Zhe. Research progress of trade-off relationships of plant functional traits[J]. Chinese Journal of Plant Ecology, 2019, 43(12): 1021-1035.]

DOI

[16]
贾喆亭, 杨九艳, 孙艳霞, 等. 阿拉善高原珍珠猪毛菜(Salsola passerina)种群空间分布格局[J]. 中国沙漠, 2021, 41(1): 119-128.

DOI

[Jia Zheting, Yang Jiuyan, Sun Yanxia, et al. Spatial distribution pattern of Salsola passerina population in Alashan Plateau[J]. Journal of Desert Research, 2021, 41(1): 119-128.]

DOI

[17]
田艳丽, 种培芳, 陆文涛, 等. 模拟氮沉降和降水变化对红砂(Reaumuria soongorica)、珍珠猪毛菜(Salsola passerina)生理的影响[J]. 中国沙漠, 2021, 41(3): 165-173.

DOI

[Tian Yanli, Chong Peifang, Lu Wentao, et al. Effects of simulated nitrogen settlement and precipitation changes on physiology characteristics of Reaumuria soongorica and Salsola passerina[J]. Journal of Desert Research, 2021, 41(3): 165-173.]

DOI

[18]
李善家, 苏培玺, 张海娜, 等. 荒漠植物叶片水分和功能性状特征及其相互关系[J]. 植物生理学报, 2013, 49(2): 153-160.

[Li Shanjia, Su Peixi, Zhang Haina, et al. Characteristics and relationships of foliar water and leaf functional traits of desert plant[J]. Plant Physiology Journal, 2013, 49(2): 153-160.]

[19]
Eller C B, Lima A L, Oliveira R S, et al. Cloud forest trees with higher foliar water uptake capacity and anisohydric behavior are more vulnerable to drought and climate change[J]. The New Phytologist, 2016, 211(2): 489-501.

DOI

[20]
李镯. 吉兰泰盐湖周边典型荒漠植物叶片性状及养分回收特征[D]. 呼和浩特: 内蒙古农业大学, 2021.

[Li Zhuo. Leaf Characteristics and Nutrient Recovery Characteristics of Typical Desert Plants Around Jilantai Salt Lake[D]. Hohhot: Inner Mongolia Agricultural University, 2021.]

[21]
赵广兴, 徐天渊, 李王成, 等. 白茎盐生草幼苗对干旱胁迫的响应研究[J]. 干旱区资源与环境, 2021, 35(4): 195-202.

[Zhao Guangxing, Xu Tianyuan, Li Wangcheng, et al. Response of Halogeton arachnoideus seedlings to drought stress[J]. Journal of Arid land Resources and Environment, 2021, 35(4): 195-202.]

[22]
李瑞, 单立山, 解婷婷, 等. 典型荒漠灌木叶片功能性状特征随降水梯度的变化研究[J]. 干旱区研究, 2023, 40(3): 425-435.

[Li Rui, Shan Lishan, Xie Tingting, et al. Variation in the leaf functional traits of typical desert shrubs under precipitation gradient[J]. Arid Zone Research, 2023, 40(3): 425-435.]

[23]
刘远瞻, 徐晓, 刘浩, 等. 中国滨海盐沼互花米草和芦苇叶片功能性状的纬度梯度变异[J]. 复旦学报(自然科学版), 2020, 59(4): 381-389.

[Liu Yuanzhan, Xu Xiao, Liu Hao, et al. Latitude gradient variation of leaf functional traits of Spartina alternifora and Phragmites australis along the coastal saltmarshes of China[J]. Journal of Fudan University (Natural Science), 2020, 59(4): 381-389.]

[24]
李红, 喻阳华, 龙健, 等. 顶坛花椒叶片功能性状对早衰的响应[J]. 生态学杂志, 2021, 40(6): 1695-1704.

[Li Hong, Yu Yanghua, Long Jian, et al. Responses of leaf functional traits of Zanthoxylum planispinum var. dintanensis to premature senescence[J]. Chinese Journal of Ecology, 2021, 40(6): 1695-1704.]

[25]
张曦, 王振南, 陆姣云, 等. 紫花苜蓿叶性状对干旱的阶段性响应[J]. 生态学报, 2016, 36(9): 2669-2676.

[Zhang Xi, Wang Zhennan, Lu Jiaoyun, et al. Response of leaf traits to drought at different growth stages of Medicago sativa[J]. Acta Ecologica Sinica, 2016, 36(9): 2669-2676.]

[26]
Craine J M, Froehle J, Tilman D G, et al. The relationships among root and leaf traits of 76 grassland species and relative abundance along fertility and disturbance gradients[J]. Oikos, 2001, 93(2): 274-285.

DOI

[27]
Shipley B, Vu T T. Dry matter content as a measure of dry concentration in their parts[J]. New Phytologist, 2002, 153(2): 359-364.

DOI

[28]
许敏. 喀斯特石漠化生境质量与林灌草多样性修复研究[D]. 贵阳: 贵州师范大学, 2019.

[Xu Min. Study on Habitat Quality and Restoration of Forrst-shrub-grass Diversity[D]. Guiyang: Guizhou Normal University, 2019.]

[29]
刘佳, 项文化, 徐晓, 等. 湖南会同5个亚热带树种的细根构型及功能特征分析[J]. 植物生态学报, 2010, 34(8): 938-945.

DOI

[Liu Jia, Xiang Wenhua, Xu Xiao, et al. Analysis of architecture and functions of fine roots of five subtropical tree species in Huitong, Hunan Province, China[J]. Chinese Journal of Plant Ecology, 2010, 34(8): 938-945.]

DOI

[30]
Bauhus J, Khanna P K, Menden N. Aboveground and belowground interactions in mixed plantations of Eucalyptus globulus and Acacia meansii[J]. Canadian Journal of Forest Research, 2000, 30(12): 1886-1894.

DOI

[31]
单立山. 西北典型荒漠植物根系形态结构和功能及抗旱生理研究[D]. 兰州: 甘肃农业大学, 2013.

[Shan Lishan. Studies on Morphological and Function of Root of Typical Desert Plant and Its Drought-resistant Physiology Characteristics on Northwest China[D]. Lanzhou: Gansu Agricultural University, 2013.]

[32]
李帅, 赵国靖, 徐伟洲, 等. 白羊草根系形态特征对土壤水分阶段变化的响应[J]. 草业学报, 2016, 25(2): 169-177.

DOI

[Li Shuai, Zhao Guojing, Xu Weizhou, et al. Responses of old world Bothriochloa ischcemum root systems to changes in soil water conditons[J]. Acta Prataculturae Sinica, 2016, 25(2): 169-177.]

DOI

[33]
黄海霞, 杨琦琦, 崔鹏, 等. 裸果木幼苗根系形态和生理特征对水分胁迫的响应[J]. 草业学报, 2021, 30(1): 197-207.

DOI

[Huang Haixia, Yang Qiqi, Cui Peng, et al. Changes in morphological and physiological characteristics of Gymnocarpos przewalskii roots in response to water stress[J]. Acta Prataculturala Sinica, 2021, 30(1): 197-207.]

[34]
孙佳, 夏江宝, 董波涛, 等. 黄河三角洲滨海滩涂不同密度柽柳林的根系形态及生长特征[J]. 生态学报, 2021, 41(10): 3775-3783.

[Sun Jia, Xia Jiabao, Dong Botao, et al. Root morphology and growth characteristics of Tamarix chinensis with different densities on the beach of the Yellow River Delta[J]. Acta Ecologica Sinica, 2021, 41(10): 3775-3783.]

[35]
Eissenstat D M, Caldwell M M. Competitive ability is linked to rates of water extraction: A field study of two aridland tussock grasses[J]. Oecologia, 1988, 75(1): 1-7.

DOI PMID

[36]
孙婧珏. 两种生境下15种木本植物叶和细根功能性状的差异[D]. 哈尔滨: 东北林业大学, 2020.

[Sun Jingjue. Variations of Leaf and Fine Root Functional Traits of 15 Woody Species in Two Habitats[D]. Harbin: Northeast Forestry University, 2020.]

[37]
戚德辉, 温仲明, 杨士梭, 等. 基于功能性状的铁杆蒿对环境变化的响应与适应[J]. 应用生态学报, 2015, 26(7): 1921-1927.

[Qi Dehui, Wen Zhongming, Yang Shisuo, et al. Trait-based responses and adaptation of Artemisia sacrorum to environmental changes[J]. Chinese Journal of Applied Ecology, 2015, 26(7) 1921-1927.]

PMID

[38]
王豪杰, 侯月爽, 陈静, 等. 干旱胁迫对白花泡桐幼苗根、叶形态特征和生理变化的影响[J]. 河南农业大学学报, 2023, 57(5): 784-793.

[Wang Haojie, Hou Yueshuang, Chen Jing, et al. Effects of drought stress on root and leaf morphological characteristics phyological changes in Paulownia fortunei seedlings[J]. Journal of Henan Agricultural University, 2023, 57(5): 784-793.]

[39]
马晓东, 朱成刚, 李卫红. 多枝柽柳幼苗根系形态及生物量对不同灌溉处理的响应[J]. 植物生态学报, 2012, 36(10): 1024-1032.

DOI

[Ma Xiaodong, Zhu Chenggang, Li Weihong. Response of root morphology and biomass of Tamarix ramosissima seedlings to different water irrigations[J]. Chinese Journal of Plant Ecology, 2012, 36(10): 1024-1032.]

DOI

[40]
张金菊, 郭有燕, 田青, 等. 黑果枸杞根系构型对干旱胁迫的响应机制[J]. 南方农业学报, 2022, 53(8): 2215-2223.

[Zhang Jinju, Guo Youyan, Tian Qing, et al. Response mechanism of Lycium ruthenicum root architecture to drought stress[J]. Journal of Southern Agriculture, 2022, 53(8): 2215-2223.]

[41]
吴敏, 张文辉, 周建云, 等. 干旱胁迫对栓皮栎幼苗细根的生长与生理生化指标的影响[J]. 生态学报, 2014, 34(15): 4223-4233.

[Wu Min, Zhang Wenhui, Zhou Jianyun, et al. Effects of drought stress on growth, physiological and biochemical parameters in fine roots of Quercus variabilis seedlings[J]. Acta Ecologica Sinica, 2014, 34(15): 4223-4233.]

[42]
周洁, 杨晓东, 王雅芸, 等. 梭梭和骆驼刺对干旱的适应策略差异[J]. 植物生态学报, 2022, 46(9): 1064-1076.

DOI

[Zhou Jie, Yang Xiaodong, Wang Yayun, et al. Differences in adaptation strategy of Haloxylon ammodendron and Alhagi sparsifolia to drought[J]. Chinese Journal of Plant Ecology, 2022, 46(9): 1064-1076.]

DOI

[43]
王世琪, 刘金彪, 康继月, 等. 水分和磷处理对建植当年柳枝稷根系生长和形态特征的影响[J]. 草业科学, 2019, 36(8): 2096-2104.

[Wang Shiqi, Liu Jinbiao, Kang Jiyue, et al. Effects of water and phosphorus treatments on root growth and morphological characteristics of switchgrass in the establishment year[J]. Pratacultural Sciences, 2019, 36(8): 2096-2104.]

[44]
施宇, 温仲明, 龚时慧. 黄土丘陵区植物叶片与细根功能性状关系及其变化[J]. 生态学报, 2011, 31(22): 6805-6814.

[Shi Yu, Wen Zhongming, Gong Shihui. Comparisons of relationships between leaf and fine root traits in hilly area of the Loess Plateau, Yanhe River Basin, Shaanxi Province, China[J]. Acta Ecologica Sinica, 2011, 31(22): 6805-6814.]

[45]
马丽, 单立山, 解婷婷, 等. 基于同质园实验的两种典型荒漠植物叶片功能性状变异研究[J]. 草地学报, 2022, 30(3): 701-711.

DOI

[Ma Li, Shan Lishan, Xie Tingting, et al. Variation in plant functional traits of two typical desert based on common garden experiment[J]. Acta Agrestia Sinica, 2022, 30(3): 701-711.]

[46]
顾娇, 毛莹儿, 李秀秀, 等. 杉木叶片、细根功能性状对毛竹扩张及伐除的响应[J]. 生态学报, 2023, 43(8): 3286-3294.

[Gu Jiao, Mao Yinger, Li Xiuxiu, et al. Responses of leaf and fine root functional traits of Cunninghamia lanceolata to Phyllostachys expansion and removal[J]. Acta Ecologica Sinica, 2023, 43(8): 3286-3294.]

[47]
王文新, 郭景唐, 陈峻崎. 华北落叶松各器官营养元素分布及季节变化[J]. 北京林业大学学报, 1992, 15(S5): 124-129.

[Wang Wenxin, Guo Jingtang, Chen Junqi. Distributions and seasonal changes of nutrient elements contents in different organs of Larix principis-rupprechtii[J]. Journal of Beijing Forestry University, 1992, 15(S5): 124-129.]

[48]
郑东辉, 马伟伟, 谢路路, 等. 青杨扦插苗生物量积累与分配对土壤水-氮有效性的短期响应及动态调整[J]. 应用与环境生物学报, 2022, 28(4): 1002-1011.

[Zheng Donghui, Ma Weiwei, Xie Lulu, et al. Response of biomass accumulation and allocation in Populus cathayana cuttings to soil water and nitrogen availabilities and its dynamic adjustment[J]. Chinese Journal of Applied and Environmental Biology, 2022, 28(4): 1002-1011.]

Outlines

/