Land and Water Resources

Effects of micro-topography on water use characteristics of alpine sand-fixing plants

  • FAN Mingyan , 1 ,
  • TIAN Lihui , 1 ,
  • ZHOU Hai 2
Expand
  • 1. State Key Laboratory of Plateau Ecology and Agriculture, Qinghai University, Xining 810016, Qinghai, China
  • 2. Northwest Institute of Eco-Environment and Resources, Chinese Academy of Sciences, Lanzhou 730000, Gansu, China

Received date: 2023-07-11

  Revised date: 2023-09-13

  Online published: 2024-06-20

Abstract

Water is the most critical limiting factor for plant survival, and the study of water utilization in desert plants has become the key to ecological protection and vegetation restoration programs. This study focused on three typical sand-fixing plants: Pinus sylvestris, Populus simonii, and Hippophae rhamnoides, in the sandy land on the east shore of Qinghai Lake, as the research material. The potential water source (varying levels of soil water) and the primary water sources for plants under the influence of micro-topography were analyzed by hydrogen and oxygen stable isotope technology (δ18O and δD) and the IsoSource isotope mixing model. The results show that: (1) the soil water content demonstrated micro-topography-based differences, which manifested as the soil water content on the windward slope being higher than that on the top of the sand dunes and the middle of the windward slope and the soil water content was at its highest in September. (2) the δ18O value of the xylem water varied in the tree species under different micro-topographic conditions. The δ18O values of P. sylvestris in the lowland of the windward slope were the lowest, while those of H. rhamnoides and P. simonii were the least in the middle of the windward slope. (3) marked seasonal variations were observed in the primary sources of water for different plants. In June, P. sylvestris and H. rhamnoides used deep soil water as the major source under varied micro-topographic conditions, while P. simonii mainly used deep soil water at the top of sand dunes. The soil water of the middle-layer was utilized more in the middle and lowlands of the windward slope. Still, with the increase of precipitation, various tree species turned to mainly using the shallow and middle soil water in September. In summary, the water use patterns of sand-fixing plants in the alpine sandy land were influenced by micro-topographic conditions, and varying species showed different degrees of response to precipitation.

Cite this article

FAN Mingyan , TIAN Lihui , ZHOU Hai . Effects of micro-topography on water use characteristics of alpine sand-fixing plants[J]. Arid Zone Research, 2024 , 41(1) : 60 -70 . DOI: 10.13866/j.azr.2024.01.06

沙地是一种表层被沙粒覆盖、基本无植被的土地,其风沙活动强烈,土壤贫瘠,水分分布状况及其量值是沙地植被生长的重要制约因素[1]。沙地土壤水分的主要来源是降水,但在西北内陆干旱区降水稀少,且具有较大的变异性,土壤水分长期处于一种严重匮缺状态。土壤水分作为土壤-植物-大气连续体(Soil-Plant-Atmosphere Continuum,SPAC)的关键限制因子,其大小不仅影响土壤特性,也决定着植物的生存分布和区域的小气候特征[2]。因此,由降水事件发生所引起的短期水资源富集会对固沙植物的水分来源产生一定程度的扰动[3]。植物水分利用模式会影响生态系统对环境水分的响应,而生态系统对降水的响应存在临界性、等级性和滞后性,如小降水事件只对浅层土壤水有影响,而大降水事件通常能使降水入渗至深层,导致不同植物水分来源动态响应的降水量级有所不同[3]。植物的水分来源受降水格局的变化而变化。因此,探究沙地固沙植被对降水的响应及其水分利用特征,对深入研究植被对恶劣自然环境的自我调节和适应能力具有重要的理论意义,进而可为典型脆弱区域的生态治理提供指导。
20世纪80年代,稳定同位素技术开始应用于生态学领域,解决了传统植物水分来源研究方法破坏性较大且无法满足日趋复杂和精细化生态学问题的弊端[4]。研究表明,陆地植物(除少数盐生植物、旱生植物和湿地植物)根系吸收的水分在未到达叶片或幼嫩未栓化的枝条之前一般不发生同位素分馏[5],这为基于稳定同位素方法揭示植物水分利用机制奠定了理论基础。在干旱半干旱地区,植物根系具有“两层用水模式”,即分布较浅的根系对降水的利用较多,而较深层次的根系主要利用深层土壤水或地下水[6]。然而,研究发现,植物根系分布并不能代表植物吸水特征,地形、降水、气候、自身生长特性等也对植物水分利用存在重要影响[7]。其中地形会引起土壤水分的异质性分布,进而影响植物水分来源[8]。如张世才等[9]对腾格里沙漠东南缘不同微地形土壤水分的研究表明,土壤水分在流动沙丘>半固定沙丘>固定沙丘;朱玉伟等[10]研究了古尔班通古特沙漠南缘半固定沙丘水分的时空分布特征,认为土壤水分含量在丘间地>丘顶>背风坡>迎风坡。田丽慧等[11]对高寒沙地典型固沙植物乌柳在沙丘不同地貌部位的水分利用特征的研究表明,微地形会影响植物的水分来源,但是该研究主要关注单一物种的差异性。以上研究表明,微地形对沙地土壤水分含量及植物的水分来源具有较为明显的影响,但微地形对混交物种的水分来源具有怎样的影响?不同固沙物种如何响应不同的降水事件?这是理解高寒沙区植物与水分关系的关键环节,也是探究固沙植被水分适应性的重要理论基础。
青海湖流域是典型的生态脆弱区,该区气候恶劣,受多种生态环境问题困扰[11]。1980年,在青海湖湖东建立了治沙试验站,经过一系列的防沙治沙及造林工程项目,本区沙化土地的扩张得到了有效遏制[12]。但对本区植被恢复方面的研究仍较为薄弱,已有研究主要关注土壤改良[12]、植被群落特征[13]、植物与土壤水分变化的关系[14]等,而缺乏深入探讨微地形影响下的植被——水分反馈机制。因此,本文以青海湖湖东沙地2008年建立的防沙治沙综合试验示范区中的3种典型固沙树种——樟子松(Pinus sylvestris)、小叶杨(Populus simonii)和沙棘(Hippophae rhamnoides)为研究对象,利用氢氧稳定同位素技术(δ18O和δD)分析其水分来源的动态变化特征及其对降水事件的响应,以期阐述微地形影响下混交植物的水分利用模式及其应对干旱的机制,为高寒沙地治理提供一定的理论基础。

1 材料与方法

1.1 试验地概况

研究区位于青海省青海湖湖东岸克土沙区(100°75′~100°78′E,36°77′~36°78′N),本区平均海拔3300 m,面积约为753 km2,地处三大自然环境区域的交汇地带[11],属于典型的高原半干旱气候。根据2011—2017年的克土沙区自动气象站监测,本区年均气温为0.7 ℃,年均降水量约370 mm,风沙活动在秋末至早春时段最强烈,盛行西南-西-西北(SW-W-NW)风[12]。本区沙丘类型多样,近湖岸区域主要分布着人工固定沙丘、自然固定沙丘及半固定沙丘,近山地区域以流动沙丘为主[13],其中流动沙地(丘)394 km2,占本区沙化土地总面积的33.9%;半固定沙地(丘)101 km2,占8.7%;固定沙地(丘)212 km2,占18.3%;裸露沙地443 km2,占38.3%。本区沙丘地表沉积物以中砂为主,平均粒径在0.16~0.31 mm,属于中砂;丘间地沉积物的平均粒径为0.21 mm,属于细砂[12]。在2008—2017年,本区栽植有11种固沙植物,其中典型固沙植物有樟子松、小叶杨、沙棘,其他固沙植物分别为乌柳(Salix cheilophila)、柠条(Caragana korshinskii)、沙蒿(Artemisia desertorum)、花棒(Hedysarum scoparium)、沙地柏(Sabina vulgaris)、柽柳(Tamarix chinensis)、青海云杉(Picea crassifolia)和金露梅(Potentilla fruticosa)等,治沙植被恢复效益显著[13]

1.2 样地概况

研究样地位于青海湖湖东克土沙区2008年建立的防沙治沙综合试验示范区。在本区内,选择一个于2015年铺设麦草沙障(规格为1.5 m×1.5 m)后栽植沙棘和樟子松实生苗的沙丘,同年秋季,又在该沙丘以高杆深栽的方式栽植了小叶杨[14]。2020年在该沙丘迎风坡的低地、中部和顶部各设置3个10 m×10 m的固定样方。2020年8月在固定样方内测定植物高度、冠幅等指标,并计算其盖度、密度等(表1)。
表1 研究样地植被群落特征(10 m×10 m样方内)

Tab. 1 Characteristics of vegetation communities in different micro-topography

样地部位 物种 株高/cm 东西长/cm 南北长/cm 覆盖度/% 密度/株
沙丘顶部 樟子松 57.30±16.89Ba 35.30±7.54Ba 36.40±10.82Ba 0.13±0.06Ba 19
沙棘 82.20±30.20Ba 81.10±25.44ABa 84.70±25.91ABa 0.73±0.40ABa 63
小叶杨 195.50±145.13Aa 120.00±104.73Aa 118.70±105.31Aa 2.41±3.51Aa 11
迎风坡中部 樟子松 50.60±13.88Ba 26.60±4.45Bb 30.80±5.94Ba 0.08±0.02Ba 10
沙棘 73.40±27.02Ba 86.70±40.87Aa 89.10±41.15Aa 0.91±0.72Aa 48
小叶杨 164.60±46.82Aa 107.30±66.17Aa 120.50±82.79Aa 1.78±2.79Aa 10
迎风坡低地 樟子松 58.50±8.42Ba 32.30±7.94Bab 35.50±9.50Ba 0.11±0.05Ba 22
沙棘 81.70±22.98Ba 69.80±21.46Ba 78.70±13.22ABa 0.57±0.24Ba 71
小叶杨 198.90±105.28Aa 125.40±77.10Aa 132.60±84.74Aa 2.21±2.41Aa 14

注:表中数字表示平均值±标准差,n=10。同列不同大写字母表示相同微地形下不同树种之间差异显著(P<0.05),同列不同小写字母表示同一树种在不同微地形之间差异显著(P<0.05)。

1.3 样品采集

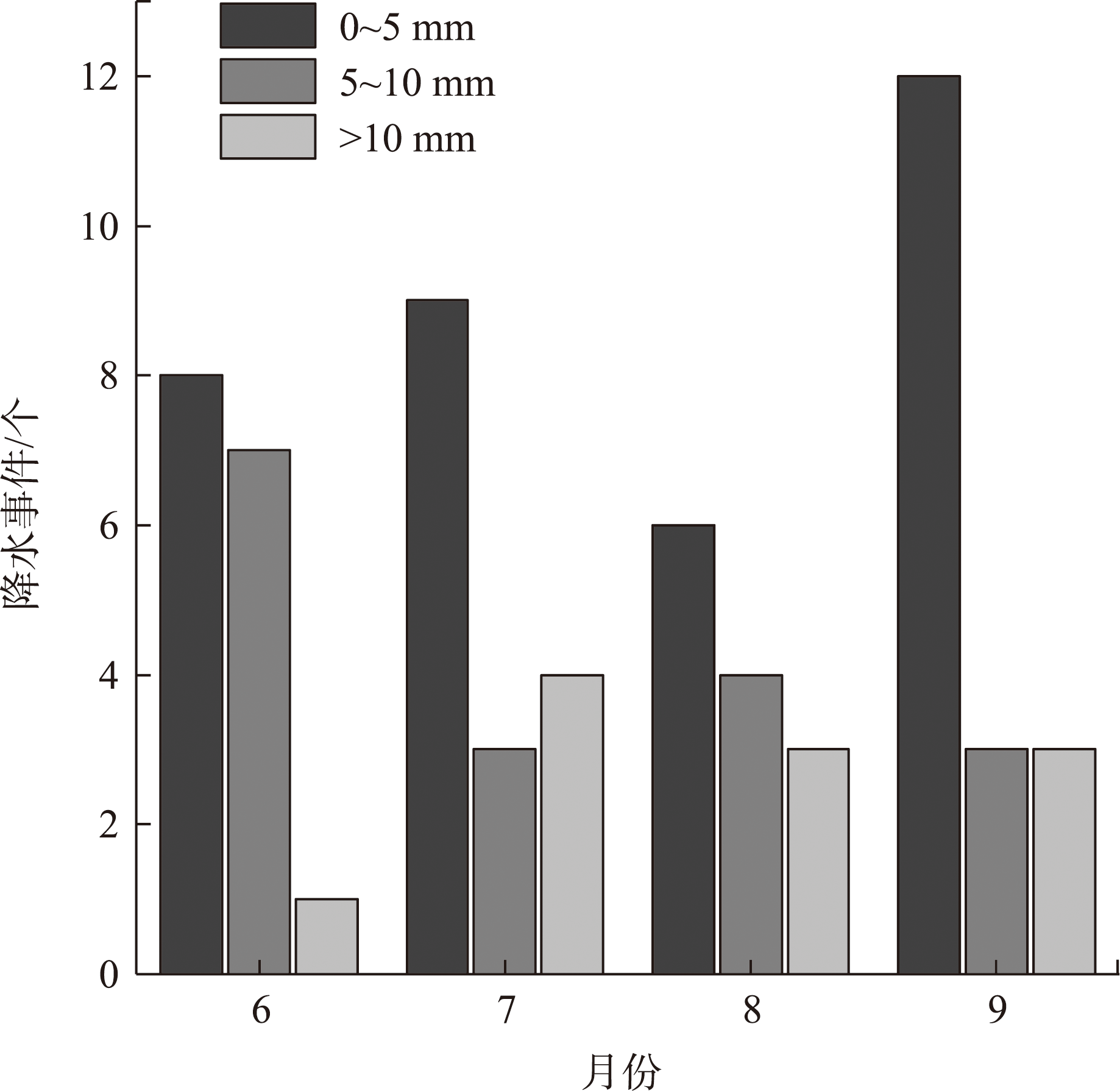
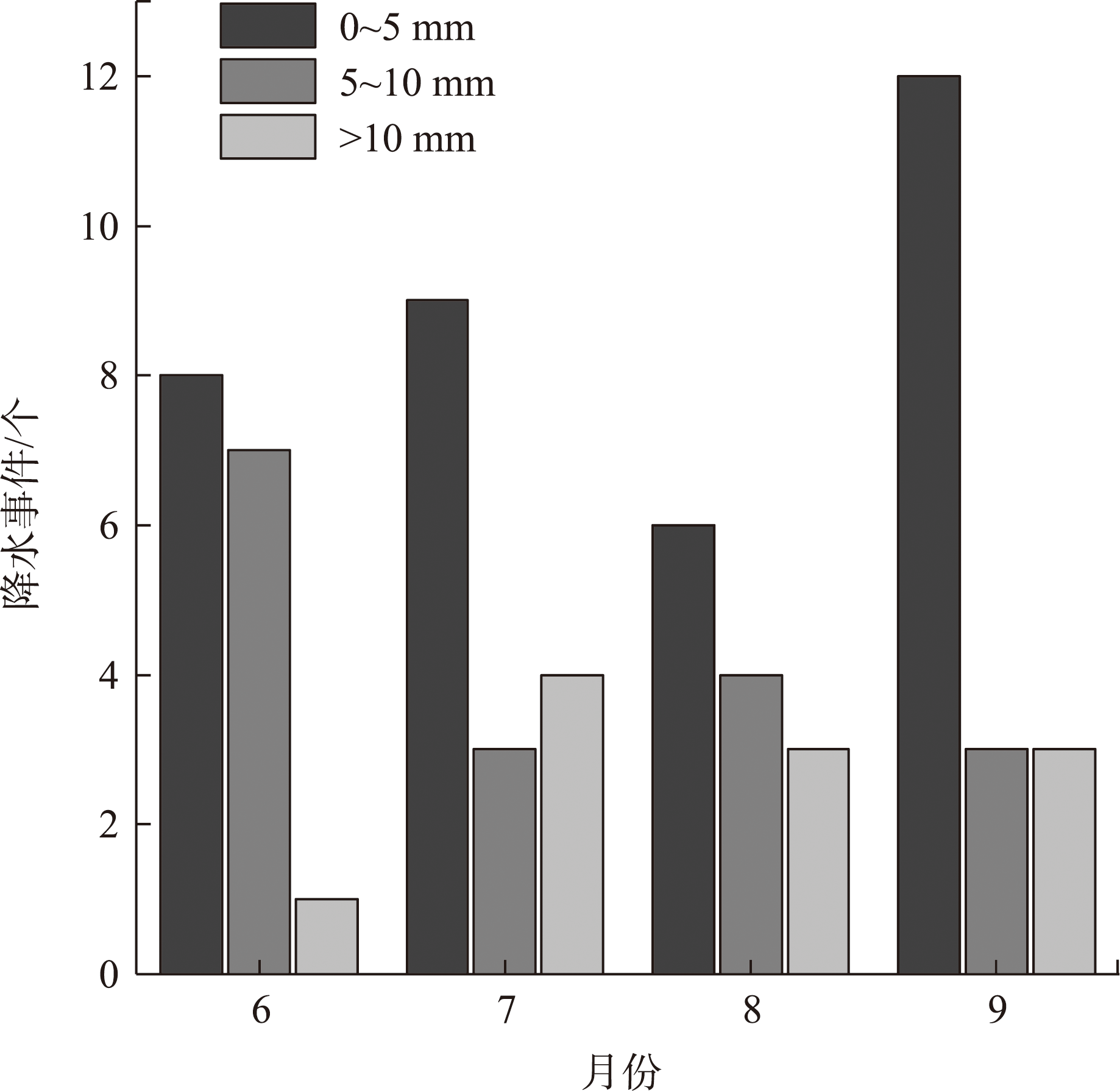
在本区植物的生长季(6—9月),共计发生63个降水事件(图1),其中,0~5 mm的降水事件发生频率较高,而5~10 mm和>10 mm的降水事件发生频率相对较低。在干旱半干旱区小降水事件(<5 mm)仅对表层土壤水分产生影响,引起表层土壤水分变化,而大降水事件能够入渗至较深的土层,对深层土壤水分的影响较大[15]。因此,为了探究不同微地形条件植物对降水的响应,于2020年6月24日(4.1 mm小降水事件后第2 d)和9月1日(25.5 mm大降水事件后第3 d)进行植物及土壤样品采集。每个样方内,同种植物分别选取3株无病虫害、生长旺盛、形态相似的植株作为试验植株,在植物高度的2/3处,分别从植株东、西、南、北四个方向剪取直径为0.3~0.5 cm非绿色的栓化小枝段,每段长约3~5 cm,除去外皮和韧皮部后装入玻璃瓶中,用Parafilm封口膜密封,放入随身携带的冰盒中,带回实验室后冷冻保存,直至抽提。
图1 研究区降水事件统计

Fig. 1 Statistics of precipitation events in study area

土壤采样时间与植物采样时间一致,使用土钻法在选定样方内三种植物的中心空地钻取土样,土层深度为150 cm,分7层(0~10 cm、10~20 cm、20~40 cm、40~60 cm、60~80 cm、80~100 cm、100~150 cm)取样,将每层土壤样品一部分迅速装入取样瓶中,用Parafilm封口膜密封,放入冰盒中,带回实验室后冰箱冷冻保存;同时将剩余部分土壤样品装入携带的铝盒中,然后带回实验室,称量其鲜重,再放入烘箱(105 ℃)烘干称量其干重,最后计算土壤质量含水量(Soil Water Content,SWC)。
降水利用自制的降水稳定同位素样品采集器收集[11],为了避免蒸发影响,在采集器内放置乳胶管。每次降雨过后,及时将降水转入30 mL的密封瓶中,用Parafilm封口膜密封,立即放入冰箱冷藏保存,直至测定。
降水量的数据来源于研究区内放置的自计式雨量筒。由于本区人工治理沙丘的高度一般为8~12 m,迎风坡中部地形坡度为14.83°,而地下水在本区的埋深深度较深[11-16],因此,本文不考虑地下水对3种植物水源的影响。

1.4 样品测定

样品测定在中国科学院西北生态环境资源研究院完成,先利用低温真空冷凝抽提系统(Li-2100 Pro,北京理加联合有限公司)提取以上采集的植物样品和土壤样品的水分,再进行过滤,将过滤后的水装入2 mL样瓶中,密封后放入冰箱(4 ℃)低温保存待测。
采用液态水同位素分析仪(DLT-100)测量抽提出的植物水、土壤水及降水的H、O稳定同位素比率:
δ X ( ) = ( R s a / R s t - 1 ) × 1000
式中:Rsa是样品中元素的重轻同位素丰度之比(如D/H,18O/16O)saRst是国际通用标准物(H、O稳定同位素采用v-SMOW)稳定同位素丰度之比(如D/H,18O/16O)st[17]

1.5 数据处理

由于植物样品(植物茎秆、植物叶片)在抽提过程中会存在光谱污染,可能会导致其结果存在误差,需要对植物水的δ18O及δD进行光谱污染修正,因此,采用LGR公司提供的修正方法:将同一来源的去离子水与99.9%色谱纯级的乙醇和甲醇配置成不同浓度梯度的乙醇和甲醇溶液,利用本实验室的液态水同位素分析仪依次测定不同浓度的乙醇和甲醇溶液,以建立δ18O的修正曲线:
甲醇光谱污染校正曲线:
Δ δ 18 Ο = 0.1455 l n ( N B ) 2 + 0.0255 l n ( N B ) + 0.3292 , R 2 = 0.9946
乙醇光谱污染校正曲线:
Δ δ 18 O = - 9.14 l n ( B B ) + 9.1269 , R 2 = 0.8926
式中: Δ δ 18 O为真值δ18O值的偏差值,NBBB值可以通过光谱诊断软件(LWIA-SCI)直接得出。
根据各树种在高寒沙地的生长特征及土壤水分分布状况[13],将土壤水分划分为以下3个潜在水源[11]
(1)浅层土壤水(0~20 cm):0~20 cm受蒸发作用以及降水变化的影响较大,其土壤水分及稳定同位素值存在较大变异。
(2)中层土壤水(20~60 cm):20~60 cm随土壤深度的增加,降水入渗和蒸发作用对其产生的影响相对较小,其土壤水分及稳定同位素值表现为随深度变化的特征。
(3)深层土壤水(60~150 cm):60~150 cm几乎不受降水和蒸发作用的影响,土壤水分及同位素组成均相对稳定。
采用IsoSource模型分析植物茎水及潜在水源的利用比例。
实验数据使用SPSS 26.0进行相关分析,并在0.05水平上检验其显著性。使用Origin 2022进行图表的绘制。

2 结果与分析

2.1 降水分布及其δ18O值和δD值变化特征

研究区降水稳定同位素具有显著的季节变化特征(图2)。研究区6月降水量较少,9月降水量较多,主要表现为小降水事件,多集中在5 mm左右,大降水事件频率较少,但大降水事件对总降雨量的影响较大,最大的一次降水量为25.5 mm发生在8月29日。对研究区降水δD值和δ18O值通过回归分析得出区域大气降水(LMWL:δD=7.705δ18O+21.625,R2=0.948)(图3),与全球大气降水线(GMWL:δD=8δ18O+10)(图3)相比斜率偏小,说明降水成分以西北干旱地区陆地水二次或多次蒸发形成为主,氢氧稳定同位素动力分馏作用强烈[3]。降水δ18O值及δD值总体变化趋势基本一致(图2),δ18O值及δD值变化范围依次为-11.68‰~1.40‰和-68.65‰~30.29‰,且表现出显著的季节变化特征。
图2 降水量、平均气温和降水δ18O及δD值的季节变化特征

Fig. 2 Seasonal variations of precipitation, mean temperature and δ18O and δD values of precipitation

图3 研究区大气降水、土壤水和木质部水中δ18O及δD的线性关系

Fig. 3 Linear relationship of δ18O and δD in precipitation, soil water and xylem water in study area

2.2 土壤含水量及其δ18O值在不同微地形的分布特征

土壤含水量在不同微地形条件下其变化趋势不同,且9月土壤含水量在各微地形均高于6月(图4)。6月与9月土壤含水量在迎风坡低地的平均值分别为3.19%、4.19%,在沙丘顶部和迎风坡中部土壤含水量的平均值依次为2.80%、4.16%和2.15%、3.40%。在不同微地形条件下迎风坡低地土壤含水量最高,沙丘顶部次之,迎风坡中部最低。
图4 土壤质量含水量的垂直变化特征

Fig. 4 Vertical changes of soil water content

土壤水δ18O值具有明显的微地形差异,且随土壤深度的变化具有一定的差异(图5)。沙丘顶部6月和9月土壤水δ18O值的差异最明显,迎风坡中部次之,迎风坡低地差异最小。沙丘顶部6月和9月的土壤水δ18O值变化范围分别为-4.86%~1.19%和-9.02%~ -5.80%;迎风坡中部6月和9月的土壤水δ18O值变化范围分别为-6.11%~-3.55%和-9.39%~-7.56%;迎风坡低地6月和9月的土壤水δ18O值变化范围分别为-7.41%~-5.72%和-9.11%~-5.36%,6月土壤水 δ18O值与9月土壤水δ18O值基本一致。而在不同微地形条件下,6月和9月土壤水δ18O值在不同土壤深度具有一定的差异性。浅层土壤中土壤水δ18O值在微地形的影响下6月和9月呈现两极分化,即6月浅层土壤水δ18O值随深度的增加逐渐变小,9月则随土壤深度的增加逐渐增大。沙丘顶部的中层土壤水 δ18O值在6月和9月均表现出随土壤深度增加逐渐降低的趋势,到深层土壤水基本趋于稳定;迎风坡中部中层土壤水6月和9月的δ18O值随深度增加而增加,而深层土壤水趋于稳定且δ18O值随深度增加逐渐减小;迎风坡低地中层土壤水和深层土壤水 δ18O值在6月和9月并没有表现出较大差异。
图5 土壤水δ18O值的垂直变化

Fig. 5 Vertical changes of soil water δ18O values

2.3 植物木质部水稳定同位素变化特征

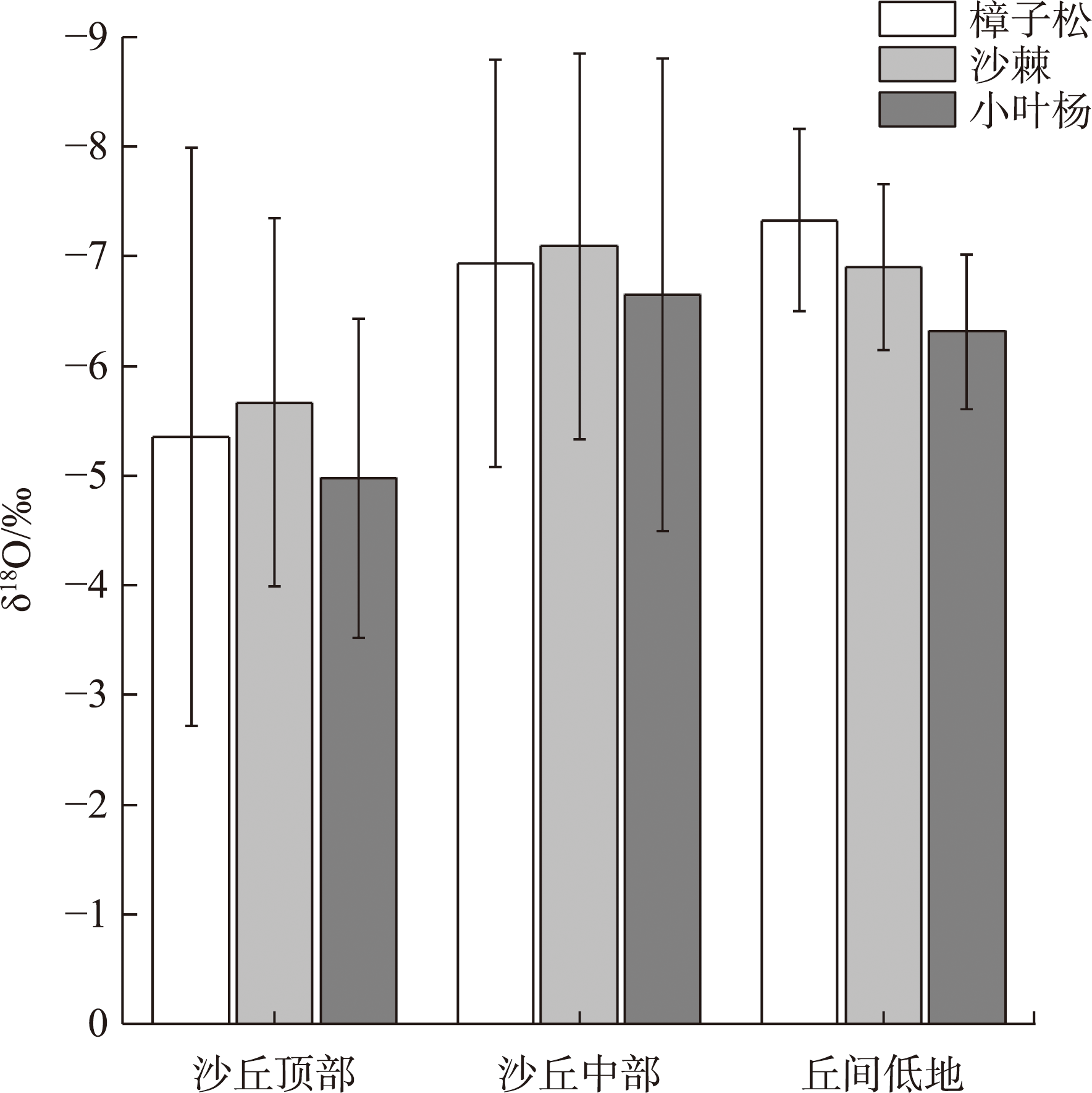
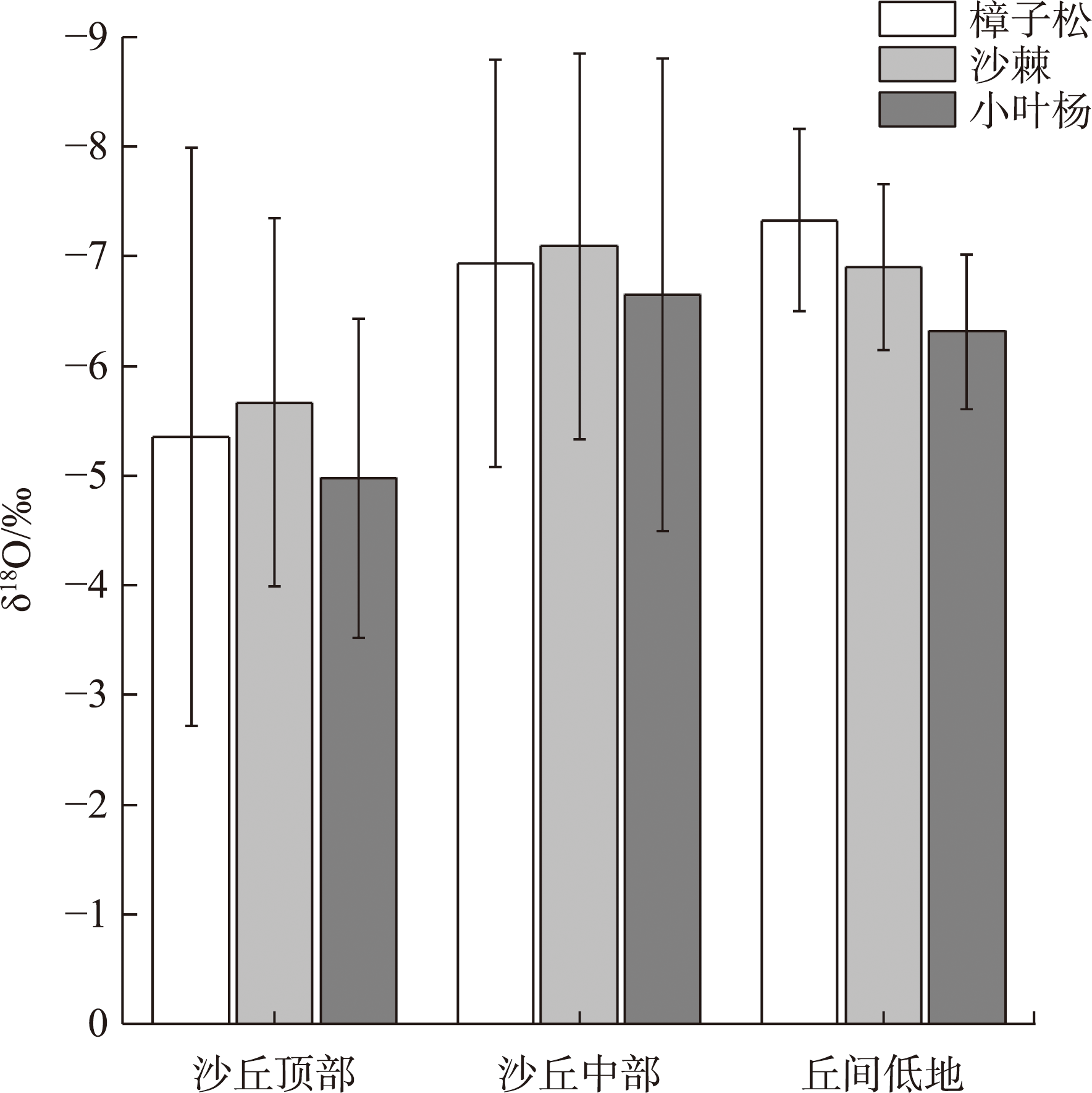
图3可知,3种植物木质部水的δ18O值都位于大气降水线的右侧,说明这些植物的主要水分来源受到因蒸发作用富集重同位素的土壤水分的影响。由图6可知,在不同微地形条件下樟子松、沙棘和小叶杨木质部水的δ18O值的变化范围依次为-7.33‰~ -5.35‰、-7.09‰~-5.67‰和-6.65‰~-4.97‰。同一树种在不同微地形条件下,δ18O值具有差异性。樟子松、沙棘、小叶杨的δ18O值在沙丘顶部最大,分别为-5.35‰、-5.67‰和-4.97‰;而樟子松在迎风坡低地δ18O值最小,其值为-7.33‰,沙棘和小叶杨在迎风坡中部δ18O值最小,分别为-7.09‰、-6.65‰。在同一地貌部位,3种植物的δ18O值表现出不同程度的差异,迎风坡中部差异最小,迎风坡低地差异相对较大。
图6 不同微地形条件3种植物木质部水δ18O值的变化特征

Fig. 6 The variation of δ18O values of the xylem water in three plants under different micro-topography

2.4 植物水分来源比例

图7可知,不同沙丘微地形生长的3种植物的水分利用比例存在差异。6月,樟子松在沙丘顶部以中层和深层土壤水为主要水源,利用比例分别为43.2%、47.8%;而迎风坡中部和低地的樟子松均以深层土壤水为主要水源,利用比例为48.3%和49.6%。9月,沙丘顶部的樟子松增加了对浅层土壤水的利用比例,对中层和深层土壤水利用比例略有下降;而在迎风坡中部和低地,樟子松主要利用浅层土壤水,利用比例分别为45.6%和45.9%,对深层土壤水的利用比例均大幅降低。
图7 不同微地形3种植物对各潜在水源的利用比例

Fig. 7 Proportion of potential water source for three typical sand-fixing plants

6月,沙棘在沙丘顶部以中层和深层土壤水为主要水源,分别为37.3%、55.8%;迎风坡中部以深层土壤水为主要水源,其值为59%;迎风坡低地沙棘对各层土壤水均有利用,分别为33.5%、31.2%和35.4%。9月,三种不同微地形生长的沙棘均增加了对浅层土壤水的利用比例。
6月,沙丘顶部的小叶杨主要利用深层土壤水,利用比例为50.4%;而在迎风坡中部和低地的小叶杨主要利用浅层和中层土壤水。9月,小叶杨在沙丘顶部以中层土壤水为主要水源,利用比例为74.4%;迎风坡中部主要以浅层土壤水为主要水源,其值为44.5%;而在迎风坡低地主要利用中层土壤水,利用比例为59.8%。
综上所述,各植物在6月基本以中层和深层土壤水为主要水源,随着降雨量的增加(9月),各植物对浅层土壤水的利用比例有不同程度的增加。

3 讨论

3.1 土壤水分及其同位素组成对降水的响应

土壤水分是植被恢复的主要限制因素之一,其决定着干旱环境中植物的存活,而降水是土壤水分主要补给来源[14-18]。研究区9月降水较6月多,土壤含水量也相对较高。本区的降水主要表现为小降水事件,浅层土壤水对小降水的响应更为敏感,大降水事件发生较少,但其能有效补给深层土壤水分[19]。6月,降水较少且蒸发作用较强使得不同微地形的土壤含水量相对较低。进入9月,浅层土壤受到降水的补充作用明显,土壤含水量增加,随着土壤深度的增加,降水对土壤水分的影响逐渐减弱[20]
在干旱半干旱区,土壤水稳定同位素组成受降水的影响呈脉动式变化[21]。降水事件发生后,土壤水δ18O值受降雨量和降水δ18O值的影响较大,如8 mm的降水入渗后对土壤水δ18O的变化影响较小,而24.8 mm的降水发生后土壤水的δ18O值受极大影响,即降水量能显著影响降水入渗量和入渗深度[22]。6月,降水较少,蒸发作用强烈,易引起土壤水稳定同位素富集,9月随着降水的增多,土壤水稳定同位素也逐渐减小,且土壤水稳定同位素表现出随深度的增加而逐渐减小的趋势(图5)。这与周海等[21]对准噶尔盆地东南缘多枝柽柳、白刺和红砂水分来源研究中土壤水同位素对降水响应的变化一致。

3.2 微地形对土壤水分及其同位素组成的影响

各微地形条件下,土壤水及其δ18O值具有明显的差异性。迎风坡低地土壤含水量最高(7.38%),沙丘顶部次之(6.96%),迎风坡中部最低(5.56%)。已有研究表明,沙丘不同微地形具有生境异质性[23],且对土壤水分和养分的时空分布规律有一定程度的影响[24]。微地形对土壤水分的影响主要表现在坡度引起的空间变化,坡度较陡的区域土壤含水量较低,而坡度较平缓的区域土壤水分较充足[11],本研究证实了这一观点。黄俊等[25]的研究表明,当坡度>10°后,坡度的增加不利于水分入渗,即坡度变大后,坡面流的势能更多的转化为动能,促使坡面流速增大,从而增加了坡面径流形成的机会,使得更多的降雨量向坡面径流转化,入渗量相对减少。迎风坡中部地形较陡,不利于降水入渗,降水以径流的方式流入迎风坡低地,且迎风坡低地地势相对平坦,利于降水汇集,为降水入渗至深层土壤提供了良好条件[26-27]。因此,迎风坡中部土壤水分条件最差,沙丘顶部次之,迎风坡低地土壤水分条件最好。
同一微地形条件下,土壤水的δ18O值在土壤垂直剖面上存在较大差异[28]。与深层土壤相比,浅层土壤受蒸发作用影响较大,其δ18O值呈现富集现象[29],但土壤水δ18O值随深度增加,逐渐贫化,蒸发作用也逐渐减弱[30],土壤水δ18O值差异越小。沙丘顶部土壤水δ18O值相对最大,迎风坡中部次之,迎风坡低地最小,由此可知,即使处于同一降水区域,但因不同微地形条件的差异,降水、太阳辐射在空间上发生了再分配的过程,改变了区域的小气候条件及土壤水分的空间分布[20],从而引起土壤水分及其同位素组成存在差异。

3.3 高寒固沙植物水分利用模式的生态启示

植物的水分利用特征对沙地生态水文循环存在重要影响,植物能够从各潜在水源中获取水分供自身生长。受季节和潜在水源的影响,植物通过调节自身的用水策略来避免干旱胁迫并更好地适应环境[29]。在高寒沙地,水分是植物生存更新的关键核心因素[31]。本研究中,6月,表层土壤水分处于相对匮缺的状态,无法供给植物生长,因此樟子松、沙棘和小叶杨的水分利用来源以深层土壤水为主,以中层土壤水为辅,以适应水分较少的环境;9月随着自然降水的增加,3种树种通过调整自身策略,分别增大了对浅层土壤水的利用比例来维持生命,表现出对降水脉动的积极响应[32]。由于表层土壤水分增加,植物利用浅层土壤水消耗的能量小于利用深层土壤水的能量[33]。这与植物根系吸水特性有关[34],即降水较少的旱期,主根通过吸收深层土壤水来适应干旱胁迫,主要是由于表层土壤中的根在干旱情况下可能处于不活动状态[35],而降水较多的湿润期,由雨水补充的表层土壤水增多,植物通过侧根吸收浅层土壤水,增加对浅层土壤水的利用[13]
已有研究表明,沙丘微地形通过影响风沙活动、土壤性质和植物的水分利用进而影响植被生长[11]。在本研究中,不同微地形条件下各植物的主要水分来源存在差异。沙丘顶部樟子松和沙棘在降水较少的情况下主要利用中层和深层土壤水分,随着降水的增加,增加了对浅层土壤水的利用;小叶杨在降水较少的情况下以深层土壤水为主要水源(50.4%),而随着降水的增加,对中层土壤水的利用比例较大(74.4%)。迎风坡中部土壤含水量最少,因此各树种在降水较少的情况下对深层土壤水的利用较多,而在降水比较充足的情况下对浅层土壤水的利用更多。迎风坡低地土壤水分条件较好,各树种总体上对各层潜在水源均有利用,降水较多的情况下增加对浅层土壤水的利用。总而言之,微地形和降水对植物的水分利用产生较为明显的影响。
本文只对3种典型高寒固沙植物在不同微地形及降水条件下的各树种水分来源进行分析,但未深入探讨植物根系及其生理生态因子与植物水分来源的密切关联,尤其是植物根系及其他因子如何调控高寒固沙植物对水分的利用及各物种之间对水分利用的合理分配,即物种在水分利用的基础上如何共存是植物群落水分利用策略中需要考虑的关键问题,也是今后研究的重点。

4 结论

(1)微地形是影响土壤含水量的重要因素。地形越陡,土壤含水量越低。即迎风坡低地土壤含水量最高,沙丘顶部次之,迎风坡中部最低。
(2)高寒沙区植物对降水表现出积极的响应。6月降水较少,各树种对深层土壤水有很强的依赖性;9月降水较多,各树种分别增大了对浅层土壤水的利用比例。
(3)不同微地形下,混交的植物具有不同的水分来源。沙丘顶部,樟子松对各层土壤水均有利用,沙棘和小叶杨以中层和深层土壤水为主要水源;迎风坡中部,各树种主要利用深层土壤水,但小叶杨对浅层和中间层的利用比例相对较多;迎风坡低地,樟子松以深层土壤水为主要水源,而沙棘和小叶杨以浅层和中层土壤水为主要水源。
[1]
冯起, 程国栋. 我国沙地水分分布状况及其意义[J]. 土壤学报, 1999, 36(2): 225-236.

[Feng Qi, Cheng Guodong. Moisture distribution and movement in sandy lands of Chian[J]. Acta Pedologica Sinica, 1999, 36(2): 225-236.]

[2]
Dai J J, Zhang X P, Luo Z D, et al. Variation of the stable isotopes of water in the soil-plant-atmosphere continuum of a Cinnamomum camphora woodland in the East Asian monsoon region[J]. Journal of Hydrology, 2020, 589: 125199.

DOI

[3]
周海, 赵文智, 何志斌. 两种荒漠生境条件下泡泡刺水分来源及其对降水的响应[J]. 应用生态学报, 2017, 28(7): 2083-2092.

DOI

[Zhou Hai, Zhao Wenzhi, He Zhibin. Water sources of Nitraria sibirica and response to precipitation in two desert habitats[J]. Chinese Journal of Applied Ecology, 2017, 28(7): 2083-2092.]

DOI

[4]
Yang B, Wen X F, Sun X M. Seasonal variations in depth of water uptake for a subtropical coniferous plantation subjected to drought in an East Asian monsoon region[J]. Agricultural and Forest Meteorology, 2015, 201: 218-228.

DOI

[5]
Ehleringer J R, Dawson T E. Water uptake by plants: Perspectives from stable isotope composition[J]. Plant, Cell & Environment, 1992, 15(9): 1073-1082.

[6]
Ward D, Wiegand K, Getzin S. Walter’s two-layer hypothesis revisited: back to the roots![J]. Oecologia, 2013, 172(3), 617-630.

DOI

[7]
Volkmann T H M, Haberer K, Gessler A, et al. High-resolution isotope measurements resolve rapid ecohydrological dynamics at the soil-plant interface[J]. The New phytologist, 2016, 210(3): 839-849.

DOI

[8]
Zhang C C, Li X Y, Wu H W, et al. Differences in water-use strategies along an aridity gradient between two coexisting desert shrubs (Reaumuria soongorica and Nitraria sphaerocarpa): Isotopic approaches with physiological evidence[J]. Plant Soil, 2017, 419(1/2), 169-187.

DOI

[9]
张世才, 王慧娟, 张定海, 等. 腾格里沙漠东南缘3种沙丘4种微地貌上土壤水分与地形-植被因子之间的关系[J]. 甘肃农业大学学报, 2023, 58(3): 160-168, 179.

[Zhang Shicai, Wang Huijuan, Zhang Dinghai, et al. Relationship between soil moisture and topography-vegetation factors on three types of sand dunes and four types of microgeomorphology in the southeastern margin of Tengger Desert in northern China[J]. Journal of Gansu Agricultural University, 2023, 58(3): 160-168, 179.]

[10]
朱玉伟, 陈启民, 刘茂秀, 等. 古尔班通古特沙漠南缘沙丘水分的时空分布特征[J]. 草业科学, 2008, 25(12): 6-11.

[Zhu Yuwei, Chen Qimin, Liu Maoxiu, et al. Spatiotemporal distribution of moisture content in sand dunes of the unirrigated forestation along the southern marginal zone of Gurbantunggut Desert[J]. Pratacultural Science, 2008, 25(12): 6-11.]

[11]
田丽慧, 汪海娇, 张登山, 等. 高寒沙地典型固沙植物在沙丘不同地貌部位的水分利用特征[J]. 生态学报, 2021, 41(15): 6215-6226.

[Tian Lihui, Wang Haijiao, Zhang Dengshan, et al. Water use patterns for a typical afforested shrub among topographic positions in an alpine desert of Qinghai-Tibet Plateau using stable isotopes tracers[J]. Acta Ecologica Sinica, 2021, 41(15): 6215-6226.]

[12]
吴汪洋, 张登山, 田丽慧, 等. 青海湖湖东沙地固沙植物的土壤改良作用[J]. 东华理工大学学报(自然科学版), 2022, 45(6): 607-614.

[Wu Wangyang, Zhang Dengshan, Tian Lihui, et al. Soil amelioration benefit of sand-binding vegetation in east-shore sandy land of Qinghai Lake[J]. Journal of East China University of Technology(Natural Science), 2022, 45(6): 607-614.]

[13]
吴汪洋, 张登山, 田丽慧, 等. 近10年青海湖东沙地人工植被群落特征[J]. 生态学报, 2019, 39(6): 2109-2121.

[Wu Wangyang, Zhang Dengshan, Tian Lihui, et al. Features of artificial plant communities from the east sand region of the Qinghai Lake over the last 10 years[J]. Acta Ecologica Sinica, 2019, 39(6): 2109-2121.]

[14]
汪海娇, 田丽慧, 张登山, 等. 青海湖东沙地不同植被恢复措施下土壤水分变化特征[J]. 干旱区研究, 2021, 38(1): 76-86.

[Wang Haijiao, Tian Lihui, Zhang Dengshan, et al. Variation of soil moisture content in vegetation restoration area of sandy land at east shore of Qinghai Lake[J]. Arid Zone Research, 2021, 38(1): 76-86.]

[15]
石明明, 王晓敏, 陈奇, 等. 高寒草地干湿生态系统土壤水分及入渗对降水的响应[J]. 草业学报, 2021, 30(12): 49-58.

DOI

[Shi Mingming, Wang Xiaomin, Chen Qi, et al. Responses of soil moisture to precipitation and infiltration in dry and wet alpine grassland ecosystems[J]. Acta Prataculturae Sinica, 2021, 30(12): 49-58.]

DOI

[16]
吴汪洋, 张登山, 田丽慧, 等. 青海湖沙地人工治理沙丘的风速廓线变化特征[J]. 水土保持研究, 2013, 20(6): 162-167.

[Wu Wangyang, Zhang Dengshan, Tian Lihui, et al. Variable characteristics of wind profile of the artificial sand dune in sandy land around the Qinghai Lake[J]. Research of Soil and Water Conservation, 2013, 20(6): 162-167.]

[17]
郑永飞, 陈江峰. 稳定同位素地球化学[M]. 北京: 科学出版社, 2000.

[Zheng Yongfei, Chen Jiangfeng. Stable Isotope Geochemistry[M]. Beijing: Science Press, 2000.]

[18]
Schwinning S S, Sala O E, Loik M E, et al. Thresholds, memory, and seasonality: Understanding pulse dynamics in arid/semi-arid ecosystems[J]. Oecologia, 2004, 141(2): 191-193.

PMID

[19]
Banes C J, Allison G B. Tracing of water movement in the unsaturated zone using stable isotopes of hydrogen and oxygen[J]. Journal of Hydrology, 1988, 100(1-3): 143-176.

DOI

[20]
Ran M L, Hao T, Guang Y, et al. Source water apportionment using stable isotopes for typical riparian plants along the Manas River in Xinjiang, Northwest China[J]. Water, 2023, 15(5): 927.

DOI

[21]
周海, 郑新军, 唐立松, 等. 准噶尔盆地东南缘多枝柽柳、白刺和红砂水分来源的异同[J]. 植物生态学报, 2013, 37(7): 665-673.

DOI

[Zhou Hai, Zheng Xinjun, Tang Lisong, et al. Differences and similarities between water sources of Tamarix ramosissima, Nitraria sibirica and Reaumuria soongorica in the southeastern Junggar Basin[J]. Chinese Journal of Plant Ecology, 2013, 37(7): 665-673.]

DOI

[22]
Ohte N, Koba K, Yoshikawa K, et al. Water utilization of natural and planted trees in the Semiarid Desert of Inner Mongolia, China[J]. Ecological Applications, 2003, 13(2): 337-351.

DOI

[23]
Dai Y, Zheng X J, Tang L S, et al. Stable oxygen isotopes reveal distinct water use patterns of two Haloxylon species in the Gurbantonggut Desert[J]. Plant Soil, 2015, 389(1-2), 73-87.

DOI

[24]
Li C J, Li Y, Ma J, et al. Spatial heterogeneity of soil chemical properties between Haloxylon persicum and Haloxylon ammodendron populations[J]. Journal of Arid Land, 2010, 2(4): 257-265.

[25]
黄俊, 吴普特, 赵西宁. 坡面生物调控措施对土壤水分入渗的影响[J]. 农业工程学报, 2010, 26(10): 29-37.

[Huang Jun, Wu Pute, Zhao Xining. Impact of slope biological regulated measures on soil water infiltration[J]. Transactions of the Chinese Society of Agricultural Engineering (Transactions of the CSAE), 2010, 26(10): 29-37.]

[26]
Kidron G J. Runoff generation and sediment yield on homogeneous dune slopes: Scale effect and implications for analysis[J]. Earth Surface Processes and Landforms, 2011, 36(13): 1809-1824.

DOI

[27]
Wu Y S, Hasi E, Wu X, et al. Characteristics of surface runoff in a sandy area in southern Mu Us sandy land[J]. Chinese Science Bulletin, 2012, 57(2-3): 270-275.

DOI

[28]
Liu W J, Li J T, Lu H J, et al. Vertical patterns of soil water acquisition by non-native rubber trees (Hevea brasiliensis) in Xishuangbanna, Southwest China[J]. Ecohydrology, 2014, 7(4), 1234-1244.

DOI

[29]
Qian J, Zheng H, Wang P F, et al. Assessing the ecohydrological separation hypothesis and seasonal variations in water use by Ginkgo biloba L. in a subtropical riparian area[J]. Journal of Hydrology, 2017, 553: 486-500.

DOI

[30]
Zimmermann U, Münnich K O, Roether W, et al. Tracers determine movement of soil moisture and evapotranspiration[J]. Science, 1966, 152(3720): 346-347.

PMID

[31]
Zhao Y, Wang L. Plant Water use strategy in response to spatial and temporal variation in precipitation patterns in China: A stable isotope analysis[J]. Forests, 2018, 9(3): 123.

DOI

[32]
Zhao L J, Xie C, Liu X H, et al. Water sources of major plant species along a strong climatic gradient in the inland Heihe River Basin[J]. Plant Soil, 2020, 455(1-2), 439-466.

DOI

[33]
Sun S J, Meng P, Zhang J S, et al. Variation in soil water uptake and its effect on plant water status in Juglans regia L. during dry and wet seasons[J]. Tree Physiology, 2011, 31(12): 1378-1389.

DOI

[34]
Wu H, Zhao G, Li X Y, et al. Identifying water sources used by alpine riparian plants in a restoration zone on the Qinghai-Tibet Plateau: Evidence from stable isotopes[J]. Science of the Total Environment, 2019, 697: 134092.

DOI

[35]
Schenk H J, Jackson R B. Mapping the global distribution of deep roots in relation to climate and soil characteristics[J]. Geoderma, 2005, 126(1-2): 129-140.

DOI

Outlines

/